Главная // Актуальные документы // ГОСТ (Государственный стандарт)СПРАВКА
Источник публикации
М.: ИПК Издательство стандартов, 1997
Примечание к документу
Документ утратил силу с 1 октября 2018 года в связи с изданием
Приказа Росстандарта от 27.02.2018 N 108-ст. Взамен введен в действие
ГОСТ 12020-2018.
Документ включен в
Перечень национальных стандартов, содержащих правила и методы исследований (испытаний) и измерений, в том числе правила отбора образцов, необходимые для применения и исполнения технического регламента о безопасности средств индивидуальной защиты и осуществления оценки соответствия (
Распоряжение Правительства РФ от 15.02.2011 N 222-р).
С 1 июля 2003 года до вступления в силу технических регламентов акты федеральных органов исполнительной власти в сфере технического регулирования носят рекомендательный характер и подлежат обязательному исполнению только в части, соответствующей целям, указанным в
пункте 1 статьи 46 Федерального закона от 27.12.2002 N 184-ФЗ.
Документ
введен в действие с 1 июля 1973 года.
Взамен ГОСТ 12020-66.
Название документа
"ГОСТ 12020-72 (СТ СЭВ 428-89). Государственный стандарт Союза ССР. Пластмассы. Методы определения стойкости к действию химических сред"
(утв. и введен в действие Постановлением Госстандарта СССР от 26.09.1972 N 1994)
(ред. от 01.04.1990)
"ГОСТ 12020-72 (СТ СЭВ 428-89). Государственный стандарт Союза ССР. Пластмассы. Методы определения стойкости к действию химических сред"
(утв. и введен в действие Постановлением Госстандарта СССР от 26.09.1972 N 1994)
(ред. от 01.04.1990)
Утвержден и введен в действие
Постановлением Государственного
комитета СССР по стандартам
от 26 сентября 1972 г. N 1994
ГОСУДАРСТВЕННЫЙ СТАНДАРТ СОЮЗА ССР
ПЛАСТМАССЫ
МЕТОДЫ ОПРЕДЕЛЕНИЯ СТОЙКОСТИ К ДЕЙСТВИЮ ХИМИЧЕСКИХ СРЕД
Plastics. Testing methods of plastics resistance
to chemical substances
ГОСТ 12020-72
(СТ СЭВ 428-89)
| | Список изменяющих документов (в ред. Изменения N 1, утв. в июле 1978 г., Изменения N 2, утв. в декабре 1987 г., Изменения N 3, утв. в апреле 1990 г.) | |
Группа Л29
ОКСТУ 2209
Дата введения
1 июля 1973 года
1. Разработан и внесен Министерством химической промышленности СССР.
Разработчики: В.А. Попов, Н.Н. Павлов.
2. Утвержден и введен в действие Постановлением Государственного комитета СССР по стандартам от 26.09.72 N 1994.
3. Периодичность проверки - 5 лет.
4. Взамен ГОСТ 12020-66.
5. В стандарт введены международные стандарты МС ИСО 175, СТ СЭВ 428-89.
6. Стандарт унифицирован с БДС 6441-75.
7. Ссылочные нормативно-технические документы
───────────────────────────────────────┬───────────────────────────────────
Обозначение НТД, на который дана │ Номер пункта, подпункта,
ссылка │ приложения
───────────────────────────────────────┼───────────────────────────────────
ГОСТ 2222-78 │ "
ГОСТ 2548-77 │ "
ГОСТ 4233-87 │ "
ТУ6-09-228-76 │ "
ТУ6-09-921-76 │ "
ТУ6-01-1287-84 │ "
ТУ6-09-5290-86 │ "
8. Ограничение срока действия снято по Протоколу N 7-95 Межгосударственного Совета по стандартизации, метрологии и сертификации (ИУС 11-95).
9. Переиздание (июль 1997 г.) с Изменениями N 1, 2, 3, утвержденными в июле 1978 г., декабре 1987 г., апреле 1990 г. (ИУС 9-78, 3-88, 8-90).
Настоящий стандарт распространяется на пластмассы и устанавливает методы определения стойкости к действию химических сред.
Сущность методов заключается в определении изменения массы, линейных размеров, внешнего вида стандартных образцов пластмасс в ненапряженном состоянии и растрескивания их в напряженно-деформированном состоянии после выдержки в течение определенного периода времени в реагентах: жидких химических веществах, растворах твердых химических веществ и технических жидких средах (топлива, масла и т.п.).
Результаты испытаний, полученные по настоящему стандарту, позволяют:
установить сравнительную стойкость различных пластмасс в данной химической среде;
установить сравнительную стойкость испытуемой пластмассы в различных химических средах;
установить влияние введенных в пластмассу добавок на стойкость в данной химической среде или в нескольких химических средах.
Метод определения изменения массы образцов пластмасс после выдержки в химических реагентах также применяют для определения количества экстрагируемых из пластмасс веществ при воздействии на них химических реагентов.
(Измененная редакция, Изм. N 1, 3).
1. ОПРЕДЕЛЕНИЕ ИЗМЕНЕНИЯ МАССЫ И ЛИНЕЙНЫХ РАЗМЕРОВ
ОБРАЗЦОВ ПЛАСТМАСС, КОЭФФИЦИЕНТОВ ДИФФУЗИИ,
СОРБЦИИ И ПРОНИЦАЕМОСТИ
(Испытания в ненапряженном состоянии)
Сосуды из стекла или другого материала, стойкого к действию химического реагента, стеклянные банки или химические стаканы, закрываемые крышками. Размеры их должны быть пропорциональны размерам образцов.
Для проведения испытаний при повышенных температурах и при использовании легколетучих жидкостей применяют сосуды с плотно закрывающимися крышками или снабженные обратными холодильниками.
Термостаты или жидкостные бани для круглосуточного длительного нагрева сосудов с химическими реагентами и испытуемыми образцами пластмасс. Система обогрева должна быть снабжена приборами, позволяющими устанавливать необходимую температуру и поддерживать ее в пределах +/- 2 °C.
Измерительный инструмент для определения линейных размеров образцов с погрешностью не более 0,01 мм.
Для испытания применяют один или несколько химических реагентов, рекомендуемых в
Приложении 1. Химический реагент и его концентрацию выбирают в соответствии с условиями эксплуатации пластмасс. Допускается использовать другие концентрации, а также химические реагенты в зависимости от условий эксплуатации пластмасс.
Испытания проводят с соблюдением правил по технике безопасности, установленных для работы с применяемым химическим реагентом.
Весы, обеспечивающие взвешивание с точностью до четвертого десятичного знака образцов массой до 1 г, или весы, обеспечивающие взвешивание с точностью до третьего десятичного знака образцов массой более 1 г.
(Измененная редакция, Изм. N 2, 3).
1.2 Подготовка к испытанию
1.2.1. Для испытания пластмасс, перерабатываемых литьем под давлением или прессованием, образцы изготавливают литьем под давлением или прессованием в форме диска диаметром (50 +/- 1) мм и толщиной (3 +/- 0,2) мм.
1.2.2. Для испытания пластмасс, перерабатываемых методом экструзии, образцы вырезают в форме диска диаметром (50 +/- 1) мм, толщиной (3,0 +/- 0,2) мм. По согласованию с потребителем допускается использовать образцы в форме квадрата со стороной (50 +/- 1) мм, толщиной (4,0 +/- 0,2) мм.
(Измененная редакция, Изм. N 3).
1.2.3. Для испытания пленочных, листовых и слоистых материалов образцы вырезают в форме диска диаметром (50 +/- 1) мм или квадрата со стороной (50 +/- 1) мм и толщиной, равной толщине пленочного, листового или слоистого материала.
Для получения гладкого среза края вырезанных образцов подвергают обработке. Торцевую часть образцов, изготовленных из слоистого материала, защищают связующим, состав которого должен быть таким же, как и у слоистого материала. Результаты испытания не следует сравнивать с результатами, полученными при испытании образцов по
пп. 1.2.1 и
1.2.2.
(Измененная редакция, Изм. N 1, 2).
1.2.4. Для испытания труб и прутков применяют следующие образцы:
для труб с наружным диаметром менее 50 мм в качестве образца используют кусок трубы длиной (50 +/- 1) мм;
для труб с наружным диаметром, равным или большим 50 мм, вырезают образец шириной и длиной (50 +/- 1) мм;
для прутков с диаметром, равным или большим 50 мм, образец должен быть механически обработан, чтобы он не превышал размера (50 +/- 1) мм в любом направлении.
(Измененная редакция, Изм. N 1, 3).
1.2.5. Условия изготовления образцов предусматриваются в стандартах и технических условиях на пластмассы.
1.2.6. Для испытания должно быть не менее пяти образцов.
1.2.7. Поверхность образцов должна быть гладкой, без вздутий, сколов, трещин, раковин и других дефектов. На поверхности образцов не должно быть загрязнений, следов краски, масляных пятен и наличия каких-либо липких веществ.
(Измененная редакция, Изм. N 3).
1.2.7а. Для сравнительных испытаний различных пластмасс данными методами необходимо использовать образцы одной формы, одних размеров, изготовленные по одной технологии, и испытывать их в одинаковых режимах, слоистые материалы - при одном и том же способе защиты поверхности среза.
(Введен дополнительно, Изм. N 3).
1.2.8. Перед испытанием образцы кондиционируют по ГОСТ 12423 в течение 88 ч при (23 +/- 2) °C и относительной влажности (50 +/- 5)% при отсутствии влияния света.
(Измененная редакция, Изм. N 1).
1.3. Проведение испытания
1.3.1. После кондиционирования каждый образец взвешивают в стеклянном закрытом сосуде (бюксе) и измеряют его линейные размеры (четыре стороны квадрата или два взаимно перпендикулярных диаметра диска).
Толщину образца измеряют не менее чем в четырех точках.
Толщину образца из листовых и пленочных материалов определяют по
ГОСТ 17035.
За результат измерения принимают среднее арифметическое результатов всех измерений.
(Измененная редакция, Изм. N 3).
1.3.2. Образцы помещают в сосуд с химическим реагентом, нагретым до температуры испытания.
В один сосуд допускается помещать пять образцов, изготовленных из одного и того же материала, если он не содержит экстрагируемых веществ. Образцы помещают в сосуд так, чтобы они полностью были погружены в химический реагент (образцы не должны соприкасаться друг с другом и со стенками сосудов) и выдерживают при температуре испытания по
п. 1.3.4.
1.3.3. Объем химического реагента зависит от вида и размера испытуемого образца.
При испытании пластмасс, не содержащих экстрагируемых веществ, объем химического реагента должен быть 8 см3 на каждый квадратный сантиметр полной поверхности испытуемого образца.
При испытании пластмасс, имеющих тенденцию к растворению или содержащих экстрагируемые вещества, объем химического реагента должен быть 20 см3 на каждый квадратный сантиметр полной поверхности испытуемого образца.
1.3.4. Температуру испытания, в зависимости от условий эксплуатации материала или других требований, предъявляемых к испытанию, выбирают из следующего ряда: 20 +/- 2; 23 +/- 2; 27 +/- 2; 40 +/- 2; 50 +/- 2; 55 +/- 2; 60 +/- 2; 70 +/- 2; 80 +/- 2; 85 +/- 2; 100 +/- 2; 125 +/- 2 и далее с интервалом 25 °C.
Допускается проводить испытания при других температурах, в том числе при пониженных, если это предусмотрено в нормативно-технической документации на конкретную продукцию.
1.3.5. Продолжительность испытания пластмасс:
24 ч - краткосрочных испытаний;
7 сут - стандартных испытаний;
16 недель - длительных испытаний;
период времени (не более 5 лет), необходимый для установления сорбционного равновесия или нестойкости образцов пластмасс в данном реагенте (явное растворение или химическая деструкция) для более точной оценки поведения пластмассы в данном реагенте.
Промежуточные измерения рекомендуется проводить, выбирая время из следующих рядов: 1 - 2 - 4 - 8 - 16 - 24 - 48 - 96 ч;
1 - 2 - 4 - 8 - 16 - 26 - 52 - 78 недель; 1 - 1,5 - 2 - 3 - 4 - 5 лет.
1.3.4, 1.3.5. (Измененная редакция, Изм. N 3).
1.3.6. Химический реагент в ходе испытания перемешивают при помощи мешалки не реже одного раза в сутки и периодически, но не реже двух раз в смену, визуально контролируют объем его в сосуде. Вязкие химические реагенты перемешивают непрерывно.
(Измененная редакция, Изм. N 2).
1.3.7. После окончания испытания образцы ополаскивают неагрессивной жидкостью: при испытании в кислотах, щелочах или водных растворах - водой; при испытании в нелетучих и нерастворимых в воде органических веществах - легколетучим инертным растворителем. Если образцы испытывались в легколетучих растворителях, например в ацетоне, то образцы не ополаскивают.
Затем образцы вытирают неворсистым материалом, взвешивают и определяют линейные размеры по
п. 1.3.1.
1.3.8. Для определения количества экстрагируемых веществ образцы сушат до постоянной массы, т.е. пока значения массы при двух последовательных взвешиваниях будут отличаться не более чем на +/- 0,0001 г в условиях, обеспечивающих полное удаление химического реагента (например, под вакуумом).
После сушки образцы помещают в эксикатор, заполненный хлористым кальцием, кондиционируют в условиях, указанных в
п. 1.2.8, и взвешивают по
п. 1.3.1.
(Измененная редакция, Изм. N 2).
1.3.9. Условия проведения испытания зависят от условий эксплуатации и предусматриваются в стандартах и технических условиях на материал.
1.4. Обработка результатов
1.4.1. Изменение массы образца после каждого периода испытания

в процентах привеса или потери массы вычисляют (по величине и знаку) по формуле

,
где M - масса испытуемого образца до первого погружения его в химический реагент, г;

- масса испытуемого образца после выдержки его в химическом реагенте, г.
1.4.2. Изменение массы образца при определении количества экстрагируемых веществ

в процентах (после сушки и повторного кондиционирования) вычисляют по формуле

,
где

- масса образца после сушки и повторного кондиционирования, г.
1.4.3. Изменение каждого из линейных размеров после каждого периода испытания

в процентах вычисляют (по величине и знаку) по формуле

,
где l - линейный размер до первого погружения образца в химический реагент, мм;

- линейный размер образца после выдержки его в химическом реагенте, мм.
1.4.4. За результат каждого испытания принимают среднее арифметическое не менее пяти определений.
1.4.5. По полученным результатам
пп. 1.4.1 и
1.4.2 строят графическую зависимость

(см.
черт. 1, Приложение 2).
1.4.6. По графику (см.
черт. 2, Приложение 2) определяют время, за которое произошло увеличение массы образца до значения

, и вычисляют коэффициент диффузии химического реагента в образце пластмассы (Д) в см2/с по формуле

,
где

- время, за которое произошло увеличение массы образца до

, с;

- масса испытуемого образца при установившемся сорбционном равновесии, г;

- толщина образца, см.
1.4.7. Используя результаты
пп. 1.3.1 и
1.3.7, вычисляют коэффициент сорбции химического реагента в образце пластмассы (S) в г/см3 по формуле

,
где

- объем испытуемого образца после окончания испытания, см3.
Массу химического реагента, поглощенную испытуемым образцом

в г, вычисляют по формуле

,
где

- масса испытуемого образца при установившемся сорбционном равновесии, г;
M - масса испытуемого образца до первого погружения его в химический реагент, г.
(Измененная редакция, Изм. N 2).
1.4.8. Коэффициент проницаемости химического реагента через образцы пластмасс (P) в г·см/см2·с вычисляют по формуле
P = Д · S,
где Д - коэффициент диффузии, см2/с;
S - коэффициент сорбции, г/см3.
1.4.8а. Изменение внешнего вида образцов определяют путем его визуального сравнения с образцом, не подвергавшимся испытанию. При этом определяют изменения цвета, блеска, наличие трещин, пузырей.
Визуальную оценку изменения внешнего вида рекомендуется обозначать следующим образом: 0 - без изменений; F - незначительные изменения; M - умеренные изменения; L - значительные изменения.
(Введен дополнительно, Изм. N 3).
1.4.9. Результаты испытаний оформляют протоколом, который должен содержать:
а) наименование испытуемой пластмассы, способ и режим изготовления испытуемых образцов;
б) наименование химического реагента, температуру и продолжительность испытания;
в) массу каждого из испытуемых образцов до и после выдержки в химическом реагенте, г;
г) изменение массы каждого образца и среднее арифметическое величин, полученных для всех образцов, %;
д) линейные размеры образцов до и после каждого испытания, мм;
е) изменение линейных размеров каждого образца и среднее арифметическое величин, полученных для всех образцов, %;
ж) значения коэффициентов диффузии (см2/с), сорбции (г/см3) и проницаемости (г·см/см2·с);
з) наблюдаемое изменение поверхности и внешнего вида образца и т.п.;
и) дату проведения испытания и обозначение настоящего стандарта;
к) прочие данные.
2. ОПРЕДЕЛЕНИЕ ИЗМЕНЕНИЯ СВОЙСТВ ОБРАЗЦОВ ПЛАСТМАСС
(Испытания в ненапряженном состоянии)
2.1. Средства анализа
Для определения свойств применяют средства измерений и оборудование, предусмотренные соответствующими стандартами на методы испытаний.
Сосуды для испытания и химические реагенты по
п. 1.1.
(Измененная редакция, Изм. N 2, 3).
2.2. Подготовка к испытанию
2.2.1. Для испытания применяют образцы, форма, размеры и количество которых предусмотрены в соответствующих стандартах на методы испытаний пластмасс.
2.2.2. На поверхности образцов до испытания в химической среде не должно быть загрязнений, царапин и других видимых дефектов (трещины, вздутия и т.п.).
2.2.3. При необходимости проведения промежуточных определений свойств количество образцов устанавливают, исходя из числа промежуточных определений и количества образцов, необходимых на одно определение.
(Измененная редакция, Изм. N 3).
2.2.4. Перед испытанием образцы кондиционируют по
п. 1.2.8.
2.3. Проведение испытания
2.3.1. После кондиционирования определяют свойства пластмасс по методикам, изложенным в соответствующих стандартах на методы испытаний.
2.3.2. Выбор определяемого показателя зависит от условий эксплуатации и предусматривается в стандартах и технических условиях на пластмассы.
Рекомендуется выбирать один или два таких показателя, изменение которых сверх определенных пределов делает невозможным дальнейшее применение пластмассы в конкретных условиях эксплуатации.
2.3.1, 2.3.2. (Измененная редакция, Изм. N 3).
2.3.3. Условия проведения испытания, количество взятого химического реагента должны соответствовать
пп. 1.3.2,
1.3.3 и
1.3.6.
2.3.4. Продолжительность испытания устанавливают по результатам испытания
п. 1.3.5.
2.3.5. Для сокращения общей продолжительности испытания допускается начинать определение изменения свойств одновременно с началом испытаний по
п. 1.3.1. При отклонении толщины образцов от величины, указанной в
пп. 1.2.1 и
1.2.2, необходимо дополнительно определять время достижения сорбционного равновесия.
(Измененная редакция, Изм. N 3).
2.3.6. Температуру испытания устанавливают по
п. 1.3.4.
2.3.7. После извлечения образцов из жидкой химической среды их обрабатывают по
п. 1.3.7. Испытание проводят не позднее чем через 2 - 3 мин после извлечения образцов из эксикатора.
Нахождение образцов в эксикаторе не должно превышать 24 ч после извлечения их из химической среды.
(Измененная редакция, Изм. N 1).
2.4. Обработка результатов
2.4.1. Вычисляют отношение конечного значения показателя к исходному значению в процентах, пользуясь соответствующими формулами:
или

,
где G - среднее арифметическое значение определяемого показателя в исходном состоянии до погружения в реагент;

- среднее арифметическое значение определяемого показателя после выдержки образцов в реагенте;

- среднее арифметическое значение определяемого показателя после сушки и повторного кондиционирования по
п. 1.3.8.
2.4.2. Предварительную оценку стойкости пластмасс к действию химических сред по изменению механических показателей рекомендуется проводить согласно Приложению 3.
2.4 - 2.4.2. (Измененная редакция, Изм. N 3).
2.4.3. (Исключен, Изм. N 3).
2.4.4. Результаты испытаний оформляют протоколом, который должен содержать:
а) наименование испытуемой пластмассы; способ и режим изготовления испытуемых образцов;
б) наименование химического реагента, температуру и продолжительность испытания;
в) результаты определений механических показателей до и после выдержки образцов пластмасс в химическом реагенте и их изменения в процентах;
г) дату проведения испытания и обозначение настоящего стандарта;
д) прочие данные.
3. ОПРЕДЕЛЕНИЕ РАСТРЕСКИВАНИЯ ОБРАЗЦОВ ПЛАСТМАСС
(Испытания в напряженно-деформированном состоянии)
Приспособление для создания напряженно-деформированного состояния (эллипс), с помощью которого достигаются переменные по длине образца нормальные напряжения и относительные деформации (см. черт. 1).
1 - эллипс; 2 - прижимная планка; 3 - винты;
4 - шкала отсчета.
Приспособление изготавливают из стали 12X1810Т по ГОСТ 5632 или другого материала, стойкого к воздействию химического реагента.
Приспособления изготавливают по размерам, указанным в
табл 2.
Микроскоп с увеличением в

. Посуда и химические реагенты по
п. 1.1.
Размеры полуосей приспособления для определения
растрескивания пластмасс в зависимости от их модуля
упругости при изгибе
--------------------------------
<*> Табл. 1. (Исключена, Изм. N 3).
───────────────────────────────────────┬───────────────────────────────────
Модуль упругости, МПА (кгс/см2) │ Размеры полуосей, см
├─────────────────┬─────────────────
│ большая a │ малая b
───────────────────────────────────────┼─────────────────┼─────────────────
3 │ │
Меньше или равен (10 - 15) · 10 │ 8 │ 4,0
│ 8 │ 2,7
│ 5 │ 1,0
───────────────────────────────────────┼─────────────────┼─────────────────
3 │ │
Больше (10 - 15) · 10 │ 16 │ 5,5
│ 16 │ 4,0
(Измененная редакция, Изм. N 2).
3.2. Подготовка к испытанию
3.2.1. Для испытания применяют образцы пластмасс в форме полосок толщиной 1 - 2 мм и шириной 20 мм, изготовленные прессованием, литьем под давлением или механической обработкой из листового или слоистого материала. Длина испытуемого приспособления (см.
черт. 1 -
2).
3.2.2. Для испытания должно быть не менее трех образцов.
3.2.3. На поверхности испытуемых образцов до погружения их в химический реагент не должно быть загрязнений, царапин и других дефектов.
3.3. Проведение испытания
3.3.1. Перед испытанием измеряют не менее чем в пяти различных точках толщину образца с точностью до 0,01 мм.
Образец закрепляют на приспособлении и погружают в сосуд с химическим реагентом.
3.3.2. Количество взятого химического реагента и условия проведения испытания должны соответствовать
пп. 1.3.3 -
1.3.6.
3.3.3. Одновременно проводят испытание контрольных образцов при той же температуре без воздействия химического реагента.
3.3.4. Приспособление помещают под микроскоп и определяют на образце по шкале отсчета (см.
черт. 2) длину участка растрескивания (z) в сантиметрах. За результат испытания принимают среднее арифметическое трех определений, вычисленное с точностью до 0,1%.
При промежуточных определениях длины участка растрескивания после осмотра испытуемых образцов пластмасс приспособления с образцами сейчас же погружают в сосуд с химическим реагентом.
Схема приспособления (эллипс)
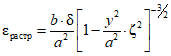
3.4. Обработка результатов
3.4.1. Деформацию растрескивания

вычисляют по формуле

,
где a - длина большой полуоси эллипса, см;
b - длина малой полуоси эллипса, см;

- толщина образца, см;
y - эксцентриситет эллипса, равный

;

- длина участка растрескивания, см.
3.4.2. Условное напряжение растрескивания

, МПа (кгс/см2) вычисляют по формуле

,
где

- деформация растрескивания;

- модуль упругости при изгибе, определяемой по
ГОСТ 9550, МПа (кгс/см2).
3.4.3. Результаты испытаний оформляют протоколом, который должен содержать:
а) наименование испытуемой пластмассы, способ и режим изготовления испытуемых образцов;
б) толщину образца, мм;
в) наименование химического реагента, температуру и продолжительность испытания;
г) деформацию растрескивания;
д) модуль упругости при изгибе, МПа (кгс/см2);
е) условное напряжение растрескивания, МПа (кгс/см2);
ж) дату проведения испытания и обозначение настоящего стандарта.
3.4.2, 3.4.3. (Измененная редакция, Изм. N 2).
Рекомендуемое
ЖИДКИХ ХИМИЧЕСКИХ РЕАГЕНТОВ
──────────────────────────────┬────────┬───────────────────────────────────
Наименование реагента │Раствор,│ Примечание
│массовая│
│ доля, %│
──────────────────────────────┼────────┼───────────────────────────────────
Уксусная кислота по
ГОСТ 61 │ 5 │ -
Уксусная кислота по
ГОСТ 61 │ 100 │ -
Аммиак водный │ 10 │ Получают, разбавляя раствор с
│ │дистиллированной водой
Хромовая кислота │ 40 │ Получают, используя хромовый
│ │технический ангидрид по ГОСТ 2548
Лимонная кислота по │ 10 │ -
Диэтиловый эфир │ 100 │ -
Дистиллированная вода по │ - │ -
Спирт этиловый │ 96 │ -
ректификованный технический по│ │
Спирт этиловый │ 50 │ Получают, разбавляя раствор с
ректификованный технический по│ │массовой долей 96% дистиллированной
Гептан нормальный эталонный │ 100 │
Фтористоводородная кислота │ 40 │ -
Перекись водорода по │ 3 │ -
Перекись водорода по │ 30 │ -
Молочная кислота │ 10 │ Получают разбавлением молочной
│ │кислоты по ТУ 6-09-298 или
│ │ТУ 6-09-33-72
Азотная кислота │ 70 │ Получают разбавлением азотной
│ │концентрированной кислоты по
│ │ГОСТ 701 дистиллированной водой
Азотная кислота │ 40 │ Получают разбавлением азотной
│ │дистиллированной водой
Азотная кислота │ 10 │ То же
Олеиновая кислота по │ 100 │
ТУ 6-09-5290 │ │
Фенол по ГОСТ 23519 │ 5 │ -
Натрий углекислый │ 20 │ Получают растворением натрия
│ │дистиллированной воде
Натрий углекислый │ 2 │ То же
Хлористый натрий │ 10 │ Получают растворением хлористого
│ │натрия по ГОСТ 4233 в
│ │дистиллированной воде
Гидроокись натрия │ 40 │ Получают растворением гидроокиси
│ │дистиллированной воде
Гидроокись натрия │ 1 │ То же
Гипохлорит натрия │ 10 │ Получают растворением
│ │технического гипохлорита натрия по
│ │ТУ 6-01-1287
Серная кислота │ 98 │ Получают, укрепляя серную кислоту
Серная кислота │ 75 │ Получают, разбавляя серную
│ │дистиллированной водой
Серная кислота │ 30 │ То же
Серная кислота │ 3 │ Получают, разбавляя серную
│ │дистиллированной водой
2,2,4-триметилпентан │ 100 │ "
(изооктан) по ТУ 6-09-921 │ │
(Измененная редакция, Изм. N 3).
Справочное
ГРАФИК ИЗМЕНЕНИЯ МАССЫ ОБРАЗЦОВ ПЛАСТМАСС,
ХАРАКТЕРИЗУЮЩИЙ СОРБЦИОННОЕ РАВНОВЕСИЕ И НЕСТОЙКОСТЬ
ИСПЫТУЕМЫХ ПЛАСТМАСС
1 и 2 - сорбционное равновесие;
3 - нестойкость испытуемых пластмасс.
Схема графического определения величины

.
Рекомендуемое
ПРЕДВАРИТЕЛЬНАЯ ОЦЕНКА СТОЙКОСТИ ПЛАСТИЧЕСКИХ МАСС
К ВОЗДЕЙСТВИЮ ХИМИЧЕСКОГО РЕАГЕНТА ПО ИЗМЕНЕНИЮ
МЕХАНИЧЕСКИХ ПОКАЗАТЕЛЕЙ
1. Изменение механического показателя (увеличение или уменьшение его по сравнению с начальным значением) после пребывания образцов в реагенте

в процентах вычисляют по формуле

,
где

- среднее арифметическое значение определяемого механического показателя в исходном состоянии до погружения в реагент;

- среднее арифметическое значение определяемого механического показателя после выдержки образцов в реагенте.
2. Изменение механического показателя после сушки и повторного кондиционирования по
п. 1.3.8 
в процентах вычисляют по формуле

,
где

- среднее арифметическое значение определяемого механического показателя после сушки и повторного кондиционирования.
Результаты расчетов округляют до целых чисел.
3. Предварительную оценку стойкости пластмасс к действию химического реагента проводят по изменению механических показателей пластмассы в соответствии с табл. 3.
Таблица 3
───────────────────────┬────────────────────────┬──────────────────────────
Тип пластмассы │ Оценка стойкости │ Изменение показателя, %
───────────────────────┼────────────────────────┼──────────────────────────
Термопласты │ Хорошая │ От 0 до 10
│ Удовлетворительная │ Св. 10 до 15
│ Плохая │ Св. 15
───────────────────────┼────────────────────────┼──────────────────────────
Реактопласты │ Хорошая │ От 0 до 15
│ Удовлетворительная │ Св. 15 до 25
│ Плохая │ Св. 25
(Измененная редакция, Изм. N 3).