Главная // Актуальные документы // ГОСТ (Государственный стандарт)СПРАВКА
Источник публикации
М.: Стандартинформ, 2012
Примечание к документу
Документ утратил силу на территории Российской Федерации с 1 декабря 2019 года в связи с изданием
Приказа Росстандарта от 23.04.2019 N 162-ст. Взамен введен в действие
ГОСТ Р 53188.1-2019.
Документ
введен в действие с 1 ноября 2012 года.
Название документа
"ГОСТ 17187-2010 (IEC 61672-1:2002). Межгосударственный стандарт. Шумомеры. Часть 1. Технические требования"
(введен в действие Приказом Росстандарта от 15.12.2011 N 1570-ст)
"ГОСТ 17187-2010 (IEC 61672-1:2002). Межгосударственный стандарт. Шумомеры. Часть 1. Технические требования"
(введен в действие Приказом Росстандарта от 15.12.2011 N 1570-ст)
агентства по техническому
регулированию и метрологии
от 15 декабря 2011 г. N 1570-ст
МЕЖГОСУДАРСТВЕННЫЙ СТАНДАРТ
ШУМОМЕРЫ
ЧАСТЬ 1
ТЕХНИЧЕСКИЕ ТРЕБОВАНИЯ
Sound level meters. Part 1. Technical requirements
(IEC 61672-1:2002, MOD)
ГОСТ 17187-2010
(IEC 61672-1:2002)
Дата введения
1 ноября 2012 года
Цели, основные принципы и основной порядок проведения работ по межгосударственной стандартизации установлены
ГОСТ 1.0-92 "Межгосударственная система стандартизации. Основные положения" и
ГОСТ 1.2-2009 "Межгосударственная система стандартизации. Стандарты межгосударственные, правила, рекомендации по межгосударственной стандартизации. Порядок разработки, принятия, обновления и отмены".
1. Подготовлен Автономной некоммерческой организацией "Научно-исследовательский центр контроля и диагностики технических систем" (АНО "НИЦ КД") на основе собственного аутентичного перевода на русский язык стандарта, указанного в
пункте 4.
2. Внесен Федеральным агентством по техническому регулированию и метрологии.
3. Принят Межгосударственным советом по стандартизации, метрологии и сертификации (Протокол от 10 июня 2010 г. N 37).
За принятие проголосовали:
Краткое наименование страны по МК (ИСО 3166) 004-97 | Код страны по МК (ИСО 3166) 004-97 | Сокращенное наименование национального органа по стандартизации |
Армения | AM | Минэкономики Республики Армения |
Беларусь | BY | Госстандарт Республики Беларусь |
Казахстан | KZ | Госстандарт Республики Казахстан |
Кыргызстан | KG | Кыргызстандарт |
Молдова | MD | Молдова-Стандарт |
Российская Федерация | RU | Росстандарт |
Таджикистан | TJ | Таджикстандарт |
Узбекистан | UZ | Узстандарт |
Украина | UA | Госпотребстандарт Украины |
4. Настоящий стандарт является модифицированным по отношению к международному стандарту IEC 61672-1:2002. Electroacoustics - Sound level meters - Part 1: Specifications (Электроакустика. Шумомеры. Часть 1. Технические требования) путем внесения технических отклонений, объяснение которых приведено во
Введении к настоящему стандарту.
Международный стандарт разработан IEC/TC 29 "Electroacoustics".
Перевод с английского языка (en).
Степень соответствия - модифицированная (MOD).
Ссылки на международные стандарты, которые приняты в качестве межгосударственных, заменены в
разделе "Нормативные ссылки" и тексте настоящего стандарта ссылками на соответствующие идентичные и модифицированные межгосударственные стандарты, сведения о которых приведены в дополнительном
Приложении ДА.
| | ИС МЕГАНОРМ: примечание. В официальном тексте документа, видимо, допущена опечатка: имеется в виду ГОСТ 17187-81, а не 17187-81. | |
5. Взамен
17187-81 в части технических требований.
Приказом Федерального агентства по техническому регулированию и метрологии от 15 декабря 2011 г. N 1570-ст межгосударственный стандарт ГОСТ 17187-2010 введен в действие в качестве национального стандарта Российской Федерации с 1 ноября 2012 г.
Информация о введении в действие (прекращении действия) настоящего стандарта публикуется в указателе "Национальные стандарты".
Информация об изменениях к настоящему стандарту публикуется в указателе "Национальные стандарты", а текст изменений - в информационных указателях "Национальные стандарты". В случае пересмотра или отмены настоящего стандарта соответствующая информация будет опубликована в информационном указателе "Национальные стандарты".
Настоящий стандарт имеет следующие отличия от примененного в нем международного стандарта МЭК 61672-1:2002:
- в соответствии с требованиями
ГОСТ 1.5-2001 в связи с невведением МЭК 60050-801, МЭК 60942, ИСО/МЭК "Руководство по выражению неопределенности измерений", ИСО "Международный словарь по основным и общим терминам в метрологии" в качестве межгосударственных стандартов эти документы перенесены из раздела нормативных ссылок в структурный элемент "Библиография";
- из текста стандарта [
1.2,
5.1.6,
5.2.3,
5.4.3,
9.2.1 перечисление c),
9.2.5 перечисление b)] исключены требования, имеющие отношение к нормированию характеристик шумомеров в диффузном звуковом поле. Указанное исключение обусловлено требованием действующих санитарных норм и межгосударственных стандартов применять средства измерения шума, частотная характеристика которых нормируется исключительно в условиях свободного звукового поля при падении звуковой волны на микрофон с заданного опорного направления;
- в соответствии с требованиями
ГОСТ 1.5 обозначения величин приводятся после названия термина в его определении, в связи с этим исключены примечания, содержащие информацию об обозначениях величин;
- к
термину 3.3 добавлено
примечание, указывающее эквивалентные русскоязычные термины для английских терминов
"A-weighted" (
или "C-weighted");
- к
термину 3.4 добавлено
примечание, поясняющее связь между стандартными постоянными времени временной коррекции и временными характеристиками F (или S);
- к
термину 3.5 добавлены
примечание 2 с информацией об обозначениях единиц измерения уровней звука, принятых в межгосударственных стандартах, и
примечание 3, допускающее использование термина "уровень звука A (C)";
- исключены примечания к
термину 3.8 в связи с включением приведенной в них информации в термин и его определение;
- исключено примечание 3 к
термину 3.9 в связи с включением эквивалентного по смыслу пояснения в
примечание 2 к данному термину;
- изменены отдельные слова и добавлены фразы, более точно раскрывающие смысл некоторых положений настоящего стандарта.
Указанные изменения выделены в тексте курсивом.
1.1. Настоящий стандарт устанавливает требования к электроакустическим характеристикам для приборов трех видов, предназначенных для измерения звука:
- обычные шумомеры, которые измеряют уровень звука с экспоненциальной временной коррекцией;
- интегрирующие-усредняющие шумомеры, которые измеряют линейно усредненный по времени уровень звука;
- интегрирующие шумомеры, которые измеряют уровень звукового воздействия.
Отдельный прибор может выполнять любой или все из указанных видов измерений. Дополнительные технические требования приведены для измерений максимального уровня звука с временной коррекцией и пикового корректированного по C уровня звука. Шумомеры, удовлетворяющие требованиям настоящего стандарта, должны иметь частотную характеристику A.
1.2. Частотные характеристики шумомеров должны удовлетворять требованиям настоящего стандарта при падении звуковой волны на микрофон с заданного опорного направления в свободном звуковом поле.
1.3. Шумомеры, удовлетворяющие требованиям настоящего стандарта, предназначены для измерения слышимых звуков.
Примечание. Для измерения звука в слышимом диапазоне при наличии ультразвука можно применять частотную характеристику AU по
[1].
1.4. Настоящий стандарт устанавливает требования к шумомерам 1-го и 2-го классов. Шумомеры 1-го и 2-го классов имеют одни и те же номинальные значения характеристик и отличаются допустимыми отклонениями этих характеристик и рабочим диапазоном температур. Предельные отклонения характеристик для шумомеров 2-го класса больше или равны предельным отклонениям для шумомеров 1-го класса.
1.5. Стандарт распространяется на шумомеры различных конструкций. Шумомер может быть отдельным ручным прибором с присоединенным микрофоном и встроенным устройством отображения. Шумомер может состоять из отдельных частей в одном или более корпусах и отображать различные виды уровней акустического сигнала. Шумомер может выполнять сложную аналоговую или цифровую обработку сигналов, каждого по отдельности или совместно, со многими аналоговыми или цифровыми выходами. В состав шумомеров могут входить компьютеры общего назначения, устройства регистрации, печатающие и другие устройства, составляющие неотъемлемую часть укомплектованного прибора.
1.6. Конструкции шумомеров могут допускать работу под управлением и в присутствии оператора или при автоматическом и непрерывном измерении уровня шума в отсутствии оператора. Требования настоящего стандарта относительно отклика на звуковые волны применимы в случае, если оператор не присутствует в звуковом поле.
В настоящем стандарте использованы нормативные ссылки на следующие стандарты:
ГОСТ 30804.4.2-2002. Совместимость технических средств электромагнитная. Устойчивость к электростатическим разрядам. Требования и методы испытаний
ГОСТ 30804.6.2-2002. Совместимость технических средств электромагнитная. Устойчивость к электромагнитным помехам технических средств, применяемых в промышленных зонах. Требования и методы испытаний
ГОСТ 30847-2002. Совместимость технических средств электромагнитная. Приборы для измерения индустриальных радиопомех. Технические требования и методы испытаний.
Примечание. При пользовании настоящим стандартом целесообразно проверить действие ссылочных стандартов на территории государства по соответствующему указателю стандартов (и классификаторов), составленному по состоянию на 1 января текущего года, и по соответствующим информационным указателям, опубликованным в текущем году. Если ссылочный стандарт заменен (изменен), то при пользовании настоящим стандартом следует руководствоваться заменяющим (измененным) стандартом. Если ссылочный стандарт отменен без замены, то положение, в котором дана ссылка на него, применяется в части, не затрагивающей эту ссылку.
В настоящем стандарте применены термины по
[2] -
[4],
ГОСТ 30804.6.2, а также следующие термины с соответствующими определениями:
3.1. Опорное звуковое давление (reference sound pressure): установленное по соглашению опорное значение звукового давления в воздухе, равное 20 мкПа.
3.2. Уровень звукового давления

(sound pressure level), дБ: двадцать десятичных логарифмов отношения среднеквадратичного значения данного звукового давления к опорному звуковому давлению.
3.3. Частотная коррекция (frequency weighting), дБ: для шумомера - разность между уровнем сигнала, показываемым на устройстве отображения шумомера, и соответствующим уровнем установившегося синусоидального (далее - синусоидального) входного сигнала с постоянной амплитудой как функция частоты.
Примечание. В межгосударственных стандартах по шуму и акустике английским терминам "A-weighted (или C-weighted)", означающим "стандартная частотная коррекция A (или C)", соответствуют термины "корректированное по A (или C)". Аналогично образуются термины для других видов стандартных частотных коррекций Z, AU, FLAT.
3.4.
Функция временной коррекции (time weighting
function): экспоненциальная функция времени с заданной постоянной времени, которая применяется в качестве весовой функции для квадрата мгновенного звукового давления
при операции усреднения по времени.
Примечание. Для обозначения режима работы шумомера с экспоненциальным усреднением по времени при стандартной постоянной времени экспоненциальной весовой функции, установленной в настоящем стандарте, а также для индикации измеряемой при этом акустической величины используют термин "временная характеристика F (или S)".
3.5. Уровень звука с временной коррекцией (time-weighted sound level), дБ: двадцать десятичных логарифмов отношения данного среднеквадратичного частотно-корректированного звукового давления, полученного путем усреднения по времени с заданной функцией временной коррекции, к опорному звуковому давлению.
Примечания.
1. Для уровней звука, полученных с временными характеристиками F и S, рекомендуют следующие обозначения:

,

- для корректированных по A,

,

- для корректированных по C уровней звука.
2.
В межгосударственных стандартах единицы измерения уровней звука, корректированные по A, обозначают дБA, корректированные по C - дБC.
3. При необходимости допускается вместо термина "корректированный по A (или C) уровень звука" применять термин "уровень звука A" (или "уровень звука C"). Например, допустимо словосочетание "корректированный уровень звука A", где слово "корректированный" применяют в ином, по сравнению с указанным в примечании к 3.3, смысле.
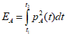
4. Корректированный по A уровень звука с временной коррекцией

в произвольный момент времени t представляется формулой

, (1)
где

- экспоненциальная постоянная времени для временных характеристик F или S, с;

- переменная интегрирования от некоторого времени в прошлом, которое обозначено

как нижний предел интегрирования, до времени наблюдения t;

- мгновенное корректированное по A звуковое давление;

- опорное звуковое давление.
В
формуле (1) числитель аргумента под знаком логарифма - экспоненциально взвешенное среднеквадратичное корректированное по A звуковое давление в момент наблюдения t.
5. На рисунке 1 представлена последовательность
обработки сигнала, описываемая
формулой (1).
┌──────────┐ ┌──────────────┐ ┌───────────┐
│Возведение│ │Фильтр низких │ │Извлечение │ ┌────────────────┐
┌─>│в квадрат │─>│частот с одним│─>│квадратного│─>│Логарифмирование├──┐
│ └──────────┘ │действительным│ │ корня │ └────────────────┘ │
│ │ полюсом │ └───────────┘ │
│ │ минус 1/тау │ │
│ └──────────────┘ V
Входной сигнал Результат в децибелах
с заданной частотной относительно опорного
коррекцией значения p
0
Рисунок 1. Последовательность обработки сигнала
при формировании показаний уровня звука
с временной коррекцией
3.6. Максимальный уровень звука с временной коррекцией (maximum time-weighted sound level), дБ: наибольший на заданном интервале времени уровень звука с временной коррекцией.
Примечание. Рекомендуемые обозначения максимального уровня звука с временной коррекцией:

,

,

и

для частотных коррекций A и C и временных характеристик F и S.
3.7. Пиковое звуковое давление (peak sound pressure): наибольшее абсолютное мгновенное звуковое давление на заданном интервале времени.
3.8. Пиковый
корректированный по C уровень звука

(peak sound level), дБC: двадцать десятичных логарифмов отношения пикового корректированного по C звукового давления к опорному звуковому давлению.
3.9. Средний по времени уровень звука (time-average sound level), эквивалентный непрерывный уровень звука (equivalent continuous sound level), дБ: двадцать десятичных логарифмов отношения среднеквадратичного значения звукового давления в течение указанного интервала времени к опорному звуковому давлению при условии, что звуковое давление получено со стандартной частотной коррекцией.
Примечания.
1. Средний по времени корректированный по A уровень звука обозначают

или

и определяют формулой

, (2)
где

- переменная интегрирования по интервалу времени усреднения, который заканчивается в момент времени наблюдения t;
T - интервал времени усреднения;

- мгновенное корректированное по A звуковое давление;

- опорное звуковое давление.
В формуле (2) числитель аргумента логарифма - линейно взвешенное на интервале времени T среднеквадратичное корректированное по A значение звукового давления.
2. Принципиально, что
функция временной коррекции не используется в определении среднего по времени уровня звука.
3.10. Звуковое воздействие (sound exposure): интеграл по времени от квадрата звукового давления за указанный интервал времени или продолжительность события.
Примечания.
1. Интервал интегрирования входит неявно в интеграл по времени, и нет необходимости приводить его в явном виде, однако природа события должна быть указана. Для измерений звукового воздействия за определенный интервал времени, например 1 ч, время интегрирования должно указываться.
2. Корректированное по A звуковое воздействие

указанного события вычисляют по формуле

, (3)
где

- квадрат мгновенного корректированного по A звукового давления на интервале от момента времени

до

.
Если звуковое давление выражают в паскалях, а текущее время - в секундах, то размерность корректированного по A звукового воздействия - паскаль в квадрате в секунду.
3. Звуковое воздействие в паскалях в квадрате в час удобнее для таких применений, как измерения звукового воздействия шума на рабочих местах (см.
[5]).
4. В межгосударственных стандартах применяют также эквивалентный термин "доза шума".
3.11. Уровень звукового воздействия (sound exposure level), дБ: десять десятичных логарифмов отношения звукового воздействия к опорному звуковому воздействию; опорное звуковое воздействие - произведение квадрата опорного звукового давления и опорного интервала времени 1 с.
Примечания.
1. Корректированный по A уровень звукового воздействия

связан с соответствующим средним по времени корректированным по A уровнем звука

или

соотношением:

, (4)
где

- корректированное по A звуковое воздействие,

[см.
формулу (3)];

- опорное звуковое воздействие, равное

;

;

- интервал времени измерений уровня звукового воздействия и среднего по времени уровня звука, с.
2. Средний по времени корректированный по A уровень звука

или

в течение интервала времени T связан с общим корректированным по A звуковым воздействием

за этот интервал соотношением:

, (5a)
или

. (5b)
3.12. Опорная точка микрофона (microphone reference point): точка, указанная на микрофоне или вблизи него, для описания положения микрофона.
Примечание. Опорной точкой может быть центр мембраны микрофона.
3.13. Опорное направление (reference direction): направление извне на опорную точку микрофона, задаваемое для определения акустического отклика, характеристики направленности и частотной характеристики шумомера.
Примечание. Опорное направление может быть указано по отношению к оси симметрии.
3.14. Угол падения звука (sound-incidence angle): угол между опорным направлением и прямой, соединяющей акустический центр источника звука с опорной точкой микрофона.
Примечание. Угол падения звука выражают в градусах.
3.15. Диапазон шкалы (level range), дБ: интервал номинальных уровней звука, измеряемых при определенном положении элементов управления шумомера.
3.16. Опорный уровень звукового давления (reference sound pressure level), дБ: уровень звукового давления, установленный для испытания электроакустических характеристик шумомера.
3.17. Опорный диапазон шкалы (reference level range), дБ: диапазон шкалы, указанный для испытания электроакустических характеристик шумомера и включающий опорный уровень звукового давления.
3.18. Частота проверки калибровки (calibration check frequency), Гц: номинальная частота в диапазоне от 160 до 1250 Гц синусоидального звукового давления, создаваемого акустическим калибратором, который используют для проверки и регулировки шумомера.
3.19. Погрешность линейности уровня (level linearity error), дБ: на указанной частоте есть отображаемый уровень сигнала минус ожидаемый уровень сигнала.
3.20. Линейный рабочий диапазон (linear operating range), дБ: в любом диапазоне шкалы и на указанной частоте интервал уровней звука, в котором погрешности линейности уровня находятся в предельных отклонениях, указанных в настоящем стандарте.
3.21. Общий диапазон шкалы (total range), дБ: интервал корректированных по A уровней звука при отклике на синусоидальные сигналы от самого низкого уровня звука в наиболее чувствительном диапазоне шкалы до самого высокого уровня звука в наименее чувствительном диапазоне шкалы, которые могут быть измерены без индикации перегрузки или индикации недопустимо слабого сигнала и без выхода за предельные отклонения для погрешностей линейности уровня, указанные в настоящем стандарте.
3.22. Радиоимпульс (toneburst): один или более полных периодов синусоидального сигнала, начинающихся и заканчивающихся в момент пересечения нулевого значения.
3.23. Отклик на радиоимпульс (toneburst response), дБ: максимальный уровень звука с временной коррекцией, средний по времени уровень звука или уровень звукового воздействия, измеренный при отклике на синусоидальный электрический радиоимпульс, минус соответствующий измеренный уровень звука синусоидального входного сигнала с постоянной амплитудой, из которого был извлечен радиоимпульс.
3.24. Опорная ориентация (reference orientation): ориентация шумомера для испытаний с целью доказательства соответствия требованиям настоящего стандарта в части радиопомех и помехоустойчивости.
4. Номинальные внешние условия
Номинальные внешние условия для определения характеристик шумомера:
- температура воздуха - 23 °C;
- статическое давление - 101,325 кПа;
- относительная влажность - 50%.
5. Технические требования
5.1.1. Шумомер в целом представляет собой сочетание микрофона, устройства обработки сигналов и устройства отображения.
Устройство обработки сигналов объединяет функции усилителя с заданной и управляемой частотной характеристикой, устройства формирования квадрата изменяющегося во времени звукового давления с заданной частотной коррекцией, временного интегратора или устройства усреднения по времени. Обработка сигналов, необходимая для выполнения требований настоящего стандарта, является неотъемлемой частью шумомера.
В настоящем стандарте устройство отображения обеспечивает физическое и видимое отображение либо сохранение результатов измерений. Любые сохраненные результаты измерений должны быть доступны для отображения при помощи устройства, указанного изготовителем, например компьютера с соответствующим программным обеспечением.
5.1.2. Технические требования настоящего раздела применимы при номинальных внешних условиях, указанных в
разделе 4.
5.1.3. Для нормирования радиопомех и помехоустойчивости шумомеры подразделяют на три группы:
- шумомеры группы X: смонтированные в общем корпусе приборы с функциональными возможностями для измерения уровня звука в соответствии с требованиями настоящего стандарта, которые в нормальном режиме работы питаются от встроенных батарей и не требуют для измерения уровня звука внешних подключений к другим приборам;
- шумомеры группы Y: смонтированные в общем корпусе приборы с функциональными возможностями для измерения уровня звука в соответствии с требованиями настоящего стандарта, которые в нормальном режиме работы питаются от электросети и не требуют для измерения уровня звука внешних подключений к другим приборам;
- шумомеры группы Z: приборы с функциональными возможностями для измерения уровня звука в соответствии с требованиями настоящего стандарта, для нормального режима работы которых требуется два или более модуля, соединенных определенным образом и являющихся неотъемлемыми составными частями шумомера. Отдельные модули могут работать от внутренних батарей или от электросети.
5.1.4. Конфигурация укомплектованного шумомера и его нормальный режим работы должны быть указаны в руководстве по эксплуатации. Конфигурация укомплектованного шумомера может включать в себя ветрозащитное устройство и другие устройства, устанавливаемые вблизи микрофона в качестве неотъемлемых частей для нормального режима работы.
5.1.5. Шумомер, для которого в руководстве по эксплуатации указано, что он является шумомером 1-го или 2-го класса, должен удовлетворять всем обязательным требованиям к шумомеру 1-го или 2-го класса соответственно, которые установлены в настоящем стандарте. Шумомер 2-го класса может обеспечивать некоторые возможности шумомера 1-го класса, но если какая-либо из возможностей удовлетворяет только требованиям шумомера 2-го класса, прибор является шумомером 2-го класса. Шумомер может быть указан как прибор 1-го класса в одной конфигурации и прибор 2-го класса в другой конфигурации (например, с другим микрофоном или предусилителем).
5.1.6. В руководстве по эксплуатации должны быть указаны модели микрофонов, с которыми укомплектованный шумомер удовлетворяет требованиям к характеристикам 1-го или 2-го класса для звуковых волн, падающих на микрофон с опорного направления в свободном звуковом поле. В руководстве по эксплуатации должны быть описаны соответствующие процедуры пользования шумомером.
5.1.7. В руководстве по эксплуатации при необходимости должно быть указано, как следует закреплять микрофон, чтобы удовлетворить требованиям к характеристике направленности и частотным характеристикам. Чтобы соответствовать требованиям, может понадобиться удлинительное устройство или кабель для микрофона. В этом случае в руководстве по эксплуатации должно быть указано, что шумомер удовлетворяет требованиям к характеристике направленности и частотной характеристике только при установке указанного устройства.
5.1.8. Компьютерное программное обеспечение может быть неотъемлемой частью шумомера. Руководство по эксплуатации должно обеспечивать однозначную идентификацию подобного программного обеспечения.
5.1.9. Как минимум, обычный шумомер должен обеспечивать средства для отображения корректированного по A уровня звука с временной характеристикой F; интегрирующий-усредняющий шумомер должен обеспечивать средства для отображения среднего по времени корректированного по A уровня звука; интегрирующий шумомер должен обеспечивать средства для отображения корректированного по A уровня звукового воздействия. Шумомеры могут содержать одну или все функциональные возможности, для которых в настоящем стандарте указаны технические требования. Шумомер должен соответствовать применимым техническим требованиям для предусмотренных функциональных возможностей.
5.1.10. Шумомер должен иметь частотную характеристику A. Шумомер, удовлетворяющий предельным отклонениям для класса 1, должен также иметь частотную характеристику C, по крайней мере, для испытаний с целью утверждения типа. Шумомеры, которые измеряют пиковые корректированные по C уровни звука непостоянных шумов, должны также измерять корректированные по C уровни звука постоянных шумов, по крайней мере, для испытаний с целью утверждения типа. Частотная характеристика ZERO (характеристика Z) является дополнительной. В руководстве по эксплуатации должны быть описаны все частотные характеристики, которые реализованы.
5.1.11. Шумомер может иметь более одного устройства отображения.
Примечание. Выход шумомера по переменному, постоянному току или цифровой выход сам по себе не является устройством отображения.
5.1.12. Шумомер может иметь более одного диапазона шкалы и устройство их переключения. В руководстве по эксплуатации диапазон (диапазоны) шкалы должен быть описан в виде номинального корректированного по A уровня звука на частоте 1 кГц. В руководстве по эксплуатации должна быть описана работа устройств переключения диапазонов шкалы и даны рекомендации по выбору оптимального диапазона шкалы для отображения результатов измерения уровня звука или уровня звукового воздействия.
5.1.13. В руководстве по эксплуатации должны быть указаны: опорный уровень звукового давления, опорный диапазон шкалы и опорная ориентация. Для каждой модели микрофона, предназначенной для использования в составе шумомера, в руководстве по эксплуатации должны быть указаны опорное направление и положение опорной точки микрофона.
Примечание. Предпочтительным является опорный уровень звукового давления 94 дБ. Могут также быть указаны опорные уровни звукового давления 74, 84, 104, 114 и 124 дБ. Уровень звукового давления 94 дБ приблизительно соответствует среднеквадратичному звуковому давлению 1 Па.
5.1.14. Если шумомер способен измерять максимальный уровень звука с заданной частотной коррекцией и пиковый корректированный по C уровень звука, то он должен обладать способностью удержания показаний. В руководстве по эксплуатации должна быть описана работа устройства удержания показаний и способы сброса удержанных показаний.
5.1.15. Для установления соответствия многим из требований настоящего стандарта необходимо использовать электрические сигналы. Электрические сигналы должны быть эквивалентны сигналам первичного преобразователя микрофона. Для каждой указанной модели микрофона в руководстве по эксплуатации должны быть указаны номинальные значения и применимые предельные отклонения электрических характеристик устройства или средства подачи сигнала на электрический вход шумомера. Электрические характеристики должны включать активную и реактивную составляющие выходного электрического импеданса устройства. Номинальное значение импеданса должно быть указано для частоты 1 кГц.
5.1.16. В руководстве по эксплуатации должны быть указаны наибольший уровень звукового давления на микрофоне и максимальный размах напряжения, которое можно приложить к электрическому входу без повреждения шумомера.
5.1.17. Технические характеристики в настоящем стандарте применимы к любым временным или частотным характеристикам, работающим параллельно, или к каждому независимому каналу многоканального шумомера, если таковые имеются. В руководстве по эксплуатации должны быть описаны характеристики и работа каждого независимого канала.
Примечание. Многоканальный шумомер может иметь два и более микрофонных входа.
5.1.18. Требования к электроакустическим характеристикам шумомера применимы после начального интервала времени после включения питания. Начальный интервал, указанный в руководстве по эксплуатации, не должен превышать 2 мин. Перед включением питания шумомер должен прийти в равновесное состояние с условиями окружающей среды.
5.1.19. Предельные отклонения в настоящем стандарте включают допуски при конструировании и изготовлении, а также максимальную расширенную неопределенность измерений при испытаниях для подтверждения соответствия требованиям (см.
Приложение A).
Примечание. В некоторых случаях предельные отклонения в настоящем стандарте больше предельных отклонений на соответствующие характеристики в
[6] и
[7]. Предельные отклонения в
[6] и
[7] не включают неопределенности измерений.
5.2. Настройки отображаемых уровней
5.2.1. В руководстве по эксплуатации должна быть указана, по крайней мере, одна модель акустического калибратора для проверки и поддержания правильных показаний на устройстве отображения шумомера.
5.2.2. Для шумомеров 1-го класса акустический калибратор должен удовлетворять требованиям к классу 1 по
[8]. Для шумомеров 2-го класса акустический калибратор должен удовлетворять требованиям к классу 1 или 2 по
[8].
Примечание. Лабораторные эталонные калибраторы не подходят для общего использования с шумомерами, поскольку в
[8] их технические характеристики указаны только для ограниченного диапазона внешних условий.
5.2.3. Для опорного уровня звукового давления в опорном диапазоне шкалы и на частоте проверки калибровки в руководстве по эксплуатации должны быть данные и методика настройки уровня звука, отображаемого при подаче акустического сигнала от акустического калибратора, указанного в
пунктах 5.2.1 и
5.2.2. Данные и методика настройки должны обеспечивать уровень звука или уровень звукового воздействия, которые отображались бы как отклик на плоскую бегущую синусоидальную звуковую волну, приходящую с опорного направления.
Данные и методика настройки должны быть применимы, по крайней мере, в рабочем диапазоне внешних условий, указанных в
разделе 6, включая номинальные внешние условия. Настроечные данные должны быть применимы для микрофонов всех моделей, указанных в руководстве по эксплуатации для использования в составе шумомера, и для любых соответствующих устройств, поставляемых изготовителем шумомера для установки микрофона на прибор. Данные должны включать поправки на типовое влияние ветрозащитного устройства на частотную характеристику микрофона, если ветрозащитное устройство является неотъемлемой частью шумомера в нормальном режиме работы или же если в руководстве по эксплуатации указано, что шумомер удовлетворяет требованиям настоящего стандарта с микрофоном, установленным в рекомендованном ветрозащитном устройстве.
5.2.4. Для микрофонов всех моделей, указанных в руководстве по эксплуатации для использования в составе шумомера, в руководстве по эксплуатации должны быть приведены данные для поправок на отклонение типовой частотной характеристики микрофона от равномерной частотной характеристики и на типовое влияние отражений от корпуса шумомера и дифракции на микрофоне. Типовые влияния отражений и дифракции определяют по отношению к уровню звукового давления в точке размещения микрофона в отсутствие шумомера.
Если в руководстве по эксплуатации указано, что шумомер удовлетворяет требованиям настоящего стандарта как с установленным на шумомер ветрозащитным устройством, так и без него, то приведенные выше данные должны быть указаны для обеих конфигураций. Данные для конфигурации с ветрозащитным устройством должны включать поправки на типовое влияние ветрозащитного устройства на частотную характеристику микрофона. Если ветрозащитное устройство является неотъемлемой частью шумомера в нормальном режиме работы, то поправочные данные для ветрозащитного устройства должны быть указаны только для этой конфигурации.
Поправки на типовую частотную характеристику микрофона, на типовое влияние отражений, дифракции и ветрозащитного устройства, если имеется, должны соответствовать плоской бегущей синусоидальной звуковой волне, приходящей с опорного направления в отсутствие ветра. Информация должна включать соответствующие значения расширенной неопределенности измерений. Расширенная неопределенность измерений и основная информация должны быть приведены раздельно в табличном виде в руководстве по эксплуатации.
Примечание. Поправки на типовую частотную характеристику микрофона и на типовое влияние отражений и дифракции могут быть приведены как две отдельные поправки или как одна объединенная поправка.
5.2.5. Необходимые в соответствии с
5.2.4 данные должны быть приведены в следующих форматах:
- для шумомеров 1-го класса - в виде таблицы для частот от 63 Гц до 1 кГц с номинальными интервалами одна треть октавы и для частот свыше 1 кГц, по крайней мере, до 16 кГц - с номинальными интервалами одна двенадцатая октавы;
- для шумомеров 2-го класса - в виде таблицы для частот от 63 Гц, по крайней мере, до 8 кГц с номинальными интервалами одна треть октавы;
- поправки на типовое влияние ветрозащитного устройства на частотную характеристику микрофона должны быть указаны в виде таблицы в диапазоне от 1 до 16 кГц с номинальными интервалами одна треть октавы для шумомеров 1-го класса и от 1 до 8 кГц - для шумомеров 2-го класса.
5.2.6. Отклонения измеренных влияний отражений, дифракции и ветрозащитного устройства, если применимо, на частотную характеристику микрофона, от влияний, указанных в руководстве по эксплуатации, увеличенные на расширенную неопределенность измерений, не должны превышать двух третей от соответствующих предельных отклонений, указанных в
таблице 2.
5.2.7. Если в руководстве по эксплуатации при поверке рекомендовано использовать акустический калибратор или электростатический возбудитель, то должны быть указаны поправки, позволяющие получить эквивалентные корректированные по A уровни звука, соответствующие отклику на плоскую бегущую синусоидальную звуковую волну, приходящую с опорного направления при номинальных внешних условиях. Эти поправки должны быть применимы к корректированным по A уровням звука, соответствующим отклику на звуковое давление, создаваемое поверенным многочастотным акустическим калибратором, или отклику на эквивалент звукового давления, создаваемого электростатическим возбудителем.
5.2.8. Поправки должны быть указаны, по крайней мере, на частотах 125 Гц, 1 кГц и 4 кГц или 8 кГц для указанных комбинаций микрофона, шумомера и модели акустического калибратора или электростатического возбудителя. Поправки должны быть указаны для всех моделей микрофонов и конфигураций "микрофон - ветрозащитное устройство", для которых шумомер удовлетворяет требованиям настоящего стандарта. Отклонение измеренных поправок от поправок, указанных в руководстве по эксплуатации, не должно превышать +/- 0,4 дБ или половины величины соответствующих поправок (выбирают большее из этих значений).
5.3. Характеристики направленности
5.3.1. В
таблице 1 приведены требования к характеристике направленности для конфигурации шумомера, указанной в руководстве по эксплуатации для нормального режима работы, или для тех составляющих частей шумомера, которые предназначены для размещения в звуковом поле. Требования таблицы 1 применяются для плоских бегущих звуковых волн при любом угле падения звуковой волны в указанных диапазонах, включая опорное направление. На любой частоте номинальное значение характеристики направленности представляет собой равномерную характеристику для всех углов падения звуковой волны.
Таблица 1
Предельные отклонения характеристики направленности,
включая максимальную расширенную неопределенность измерений
Частота, кГц | Максимальная абсолютная разность отображаемых уровней звука при любых двух углах падения звуковой волны в пределах  градусов от опорного направления, дБ |
| | |
Класс шумомера |
1 | 2 | 1 | 2 | 1 | 2 |
От 0,25 до 1 включ. | 1,3 | 2,3 | 1,8 | 3,3 | 2,3 | 5,3 |
Св. 1 " 2 " | 1,5 | 2,5 | 2,5 | 4,5 | 4,5 | 7,5 |
" 2 " 4 " | 2,0 | 4,5 | 4,5 | 7,5 | 6,5 | 12,5 |
" 4 " 8 " | 3,5 | 7,0 | 8,0 | 13,0 | 11,0 | 17,0 |
" 8 " 12,5 " | 5,5 | - | 11,5 | - | 15,5 | - |
Примечание. Для подтверждения соответствия указанным выше пределам максимальные абсолютные разности индицируемых уровней звука должны быть увеличены на расширенную неопределенность измерений. |
5.3.2. На любой частоте в указанных диапазонах требования
таблицы 1 применяются для произвольной ориентации шумомера или соответствующих составных частей относительно опорного направления.
5.4.1. На частоте 1 кГц номинальное значение для всех частотных коррекций равно 0 дБ с соответствующими предельными отклонениями +/- 1,1 дБ для шумомеров 1-го класса и +/- 1,4 дБ для шумомеров 2-го класса.
5.4.2. В таблице 2 приведены частотные коррекции A, C и Z, округленные до десятых децибела, и соответствующие предельные отклонения для шумомеров 1-го и 2-го классов. Приведенные в таблице 2 предельные отклонения применимы для всех диапазонов шкалы после выполнения настройки, описанной в
5.2, с использованием акустического калибратора на частоте проверки калибровки при номинальных внешних условиях.
Таблица 2
Частотные коррекции и предельные отклонения,
включающие максимальную расширенную неопределенность
измерений
Номинальная частота <a>, Гц | Частотная коррекция <b>, дБ | Предельные отклонения, дБ |
Класс |
A | C | Z | 1 | 2 |
10 | -70,4 | -14,3 | 0,0 | +3,5;  | +5,5;  |
12,5 | -63,4 | -11,2 | 0,0 | +3,0;  | +5,5;  |
16 | -56,7 | -8,5 | 0,0 | +2,5; -4,5 | +5,5;  |
20 | -50,5 | -6,2 | 0,0 | +/- 2,5 | +/- 3,5 |
25 | -44,7 | -4,4 | 0,0 | +2,5; -2,0 | +/- 3,5 |
31,5 | -39,4 | -3,0 | 0,0 | +/- 2,0 | +/- 3,5 |
40 | -34,6 | -2,0 | 0,0 | +/- 1,5 | +/- 2,5 |
50 | -30,2 | -1,3 | 0,0 | +/- 1,5 | +/- 2,5 |
63 | -26,2 | -0,8 | 0,0 | +/- 1,5 | +/- 2,5 |
80 | -22,5 | -0,5 | 0,0 | +/- 1,5 | +/- 2,5 |
100 | -19,1 | -0,3 | 0,0 | +/- 1,5 | +/- 2,0 |
125 | -16,1 | -0,2 | 0,0 | +/- 1,5 | +/- 2,0 |
160 | -13,4 | -0,1 | 0,0 | +/- 1,5 | +/- 2,0 |
200 | -10,9 | 0,0 | 0,0 | +/- 1,5 | +/- 2,0 |
250 | -8,6 | 0,0 | 0,0 | +/- 1,4 | +/- 1,9 |
315 | -6,6 | 0,0 | 0,0 | +/- 1,4 | +/- 1,9 |
400 | -4,8 | 0,0 | 0,0 | +/- 1,4 | +/- 1,9 |
500 | -3,2 | 0,0 | 0,0 | +/- 1,4 | +/- 1,9 |
630 | -1,9 | 0,0 | 0,0 | +/- 1,4 | +/- 1,9 |
800 | -0,8 | 0,0 | 0,0 | +/- 1,4 | +/- 1,9 |
1000 | 0 | 0,0 | 0,0 | +/- 1,1 | +/- 1,4 |
1250 | +0,6 | 0,0 | 0,0 | +/- 1,4 | +/- 1,9 |
1600 | +1,0 | -0,1 | 0,0 | +/- 1,6 | +/- 2,6 |
2000 | +1,2 | -0,2 | 0,0 | +/- 1,6 | +/- 2,6 |
2500 | +1,3 | -0,3 | 0,0 | +/- 1,6 | +/- 3,1 |
3150 | +1,2 | -0,5 | 0,0 | +/- 1,6 | +/- 3,1 |
4000 | +1,0 | -0,8 | 0,0 | +/- 1,6 | +/- 3,6 |
5000 | +0,5 | -1,3 | 0,0 | +/- 2,1 | +/- 4,1 |
6300 | -0,1 | -2,0 | 0,0 | +2,1; -2,6 | +/- 5,1 |
8000 | -1,1 | -3,0 | 0,0 | +2,1; -3,1 | +/- 5,6 |
10000 | -2,5 | -4,4 | 0,0 | +2,6; -3,6 | +5,6;  |
12500 | -4,3 | -6,2 | 0,0 | +3,0; -6,0 | +6,0;  |
16000 | -6,6 | -8,5 | 0,0 | +3,5; -17,0 | +6,0;  |
20000 | -9,3 | -11,2 | 0,0 | +4,0;  | +6,0;  |
<a> Номинальные частоты соответствуют ряду R10 (см. [9], таблица 1). <b> Частотные коррекции C и A рассчитаны по формулам (6) и (7) для частоты f, вычисленной по формуле  , где  и n - целое от 10 до 43. Результаты округлены до десятых долей децибела. |
5.4.3. Для конфигурации шумомера, которая указана в руководстве по эксплуатации для нормального режима работы, частотные коррекции и предельные отклонения
таблицы 2 применяются для отклика на плоские бегущие звуковые волны, падающие на микрофон с опорного направления.
5.4.4. На любой частоте из
таблицы 2 отклонение отображаемого уровня звука от уровня звукового давления в точке расположения микрофона в отсутствие шумомера, увеличенное на расширенную неопределенность измерений, не должно превышать соответствующих предельных отклонений. При этом к уровням звукового давления, измеренным в отсутствие шумомера, необходимо прибавить поправки для соответствующей частотной коррекции по
формулам (6),
(7) или
(8).
5.4.5. Значения частотных коррекций C или A для всех частот, расположенных между двумя последовательными частотами из
таблицы 2, должны рассчитываться по
формулам (6) или
(7) и округляться до десятых децибела. Соответствующие предельные отклонения в этом случае равны наибольшим из отклонений, приведенных в
таблице 2 для двух соседних частот.
5.4.6. Частотная коррекция C реализуется двумя низкочастотными полюсами на частоте

, двумя высокочастотными полюсами на частоте

и двумя нулями при 0 Гц. При таких полюсах и нулях зависимость квадрата модуля частотной коррекции C от частоты будет спадать в

(приблизительно минус 3 дБ) на частотах

и

относительно значения на опорной частоте

. Частотная коррекция A реализуется добавлением к частотной коррекции C двух связанных фильтров низких частот первого порядка. Для каждого низкочастотного фильтра частота среза равна

.
5.4.7. Практическая реализация приведенных в
таблице 2 частотных коррекций C, A и Z как функций частоты может быть получена из формул (6), (7) и
(8) соответственно.
5.4.8. Для любой частоты f в герцах частотную коррекцию C, C(f) в децибелах вычисляют по формуле

. (6)
Частотную коррекцию A, A(f) в децибелах вычисляют по формуле

, (7)
где

и

- нормирующие постоянные в децибелах, представляющие собой некоторые коэффициенты электрического усиления сигналов, необходимые для обеспечения равенства частотных коррекций нулю децибел на частоте 1 кГц.
Частотную коррекцию Z, Z(f) в децибелах вычисляют по формуле
5.4.9. Частоты полюсов

и

в герцах определяют из решения биквадратного уравнения по формулам:

(9)
и

. (10)
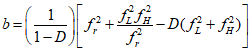
Постоянные b и c определяют по формулам

(11)
и

, (12)
где

,

,

и

приведены в
5.4.6 и

.
5.4.10. При частоте среза

из
5.4.6 полюсы коррекции на частотах

и

в герцах, необходимые для реализации дополнительных фильтров нижних частот для частотной коррекции A, должны определяться по формулам:

(13)
и

. (14)
Примечание. Добавление связанных фильтров нижних частот к коррекции C эквивалентно добавлению двух полюсов при 0 Гц и полюсов на частотах

и

(см.
5.4.6).
5.4.11. Приближенные значения для частот с

по

в
формулах (6) и
(7) равны:

,

,

,

.
Нормирующие постоянные

и

, округленные до 0,001 дБ, равны минус 0,062 дБ и минус 2,000 дБ соответственно.
5.4.12. Если шумомер имеет одну или более дополнительных частотных характеристик, то в руководстве по эксплуатации должны быть указаны номинальные значения и соответствующие предельные отклонения дополнительных частотных характеристик. Если дополнительная частотная характеристика определена в каком-либо международном стандарте, номинальная частотная характеристика должна быть такой, какая определена в этом стандарте. Предельные отклонения должны включать соответствующие максимальные расширенные неопределенности измерений, указанные в
Приложении A для частотных характеристик.
5.4.13. Дополнительная частотная характеристика FLAT должна иметь номинальное значение 0 дБ отклика на звуковые волны от частот менее 31,5 Гц до частот более 8 кГц. Для любой частоты в
таблице 2 предельные отклонения от номинального значения не должны превышать отклонений, указанных в
таблице 2 для соответствующего класса технических характеристик. Предельные отклонения могут быть установлены отдельно для акустических и для электрических входных сигналов. Предельные отклонения должны включать соответствующие максимальные расширенные неопределенности измерений, указанные в
Приложении A для частотных характеристик.
5.4.14. Для синусоидального сигнала с частотой 1 кГц разность между отображаемым уровнем любой из измеряемых величин с частотной коррекцией C, Z или FLAT и отображаемым уровнем соответствующей измеряемой величины с частотной коррекцией A, увеличенная на расширенную неопределенность измерений, не должна превышать +/- 0,4 дБ. Это требование применяется для опорного уровня звукового давления в опорном диапазоне шкалы и не применяется к показаниям пикового корректированного по C уровня звука.
5.5.1. На всем общем диапазоне шкалы измеренный уровень сигнала должен быть линейной функцией уровня звукового давления на микрофоне. Требования к линейности уровня применяют к измерениям уровней звука с временной коррекцией, средних по времени уровней звука и уровней звукового воздействия.
5.5.2. Предельные отклонения погрешностей линейности уровня также проверяют электрическими сигналами, подаваемыми через соответствующее устройство.
5.5.3. В любом диапазоне шкалы на данной частоте ожидаемый уровень сигнала должен равняться сумме исходного значения, указанного в руководстве по эксплуатации в опорном диапазоне шкалы, и изменения уровня входного сигнала по отношению к уровню входного сигнала, соответствующего показанию исходного значения. На частоте 1 кГц исходное значение уровня, с которого начинают проверку погрешности линейности уровня, должно равняться показанию опорного уровня звукового давления.
5.5.4. В опорном диапазоне шкалы протяженность линейного рабочего диапазона должна быть не менее 60 дБ на частоте 1 кГц.
5.5.5. Погрешность линейности уровня, увеличенная на расширенную неопределенность измерений, не должна превышать +/- 1,1 дБ для шумомеров 1-го класса и +/- 1,4 дБ для шумомеров 2-го класса.
5.5.6. Любое изменение уровня входного сигнала от 1 до 10 дБ должно вызывать такое же изменение отображаемого уровня звука. Отклонение от этого номинального значения, увеличенное на расширенную неопределенность измерений, не должно превышать +/- 0,6 дБ для шумомеров 1-го класса и +/- 0,8 дБ для шумомеров 2-го класса.
5.5.7. Требования в 5.5.5 и 5.5.6 применимы от начала и до конца общего диапазона шкалы на любой частоте в пределах диапазона частот шумомера и для любой предусмотренной частотной характеристики.
Примечания.
1. Требования к погрешности линейности уровня распространяются на весь диапазон частот от 16 Гц до 16 кГц для шумомера 1-го класса и от 20 Гц до 8 кГц для шумомера 2-го класса.
2. Когда погрешность линейности уровня измеряется на низких частотах, при оценке результатов испытаний следует учитывать пульсации, обусловленные измерениями синусоидальных сигналов с временной характеристикой F. На частоте 16 Гц пульсации примерно равны 0,2 дБ.
5.5.8. Для шумомеров, измеряющих уровни звука с временной коррекцией, на частоте 1 кГц линейные рабочие диапазоны на смежных диапазонах шкалы должны перекрываться по крайней мере на 30 дБ. Перекрытие должно быть не менее 40 дБ для шумомеров, измеряющих средние по времени уровни звука или уровни звукового воздействия.
5.5.9. Для нижнего и верхнего пределов линейного рабочего диапазона, в котором уровни звука могут быть измерены без индикации недопустимо слабого сигнала или перегрузки, для каждого диапазона шкалы в руководстве по эксплуатации должны быть указаны номинальные корректированные по A уровни звука и номинальные корректированные по C и Z уровни звука, если они предусмотрены. Линейные рабочие диапазоны должны быть указаны в руководстве по эксплуатации для частот 31,5 Гц, 1 кГц, 4 кГц, 8 кГц и 12,5 кГц для шумомеров 1-го класса и на частотах 31,5 Гц, 1 кГц, 4 кГц и 8 кГц для шумомеров 2-го класса.
Примечание. Частоты, определенные в требованиях
5.5.9, были выбраны с целью уменьшения данных, которые должны содержаться в руководстве по эксплуатации, и для снижения стоимости испытаний с целью утверждения типа.
5.5.10. Для частот, приведенных в
5.5.9, в руководстве по эксплуатации должно быть указано начальное значение уровня, с которого начинают проверку погрешности линейности уровня в указанном диапазоне шкалы.
5.5.11. Для шумомеров, использующих устройство отображения со шкалой, меньшей линейного рабочего диапазона, в руководстве по эксплуатации должны быть описаны средства для проверки погрешности линейности уровня вне пределов шкалы устройства отображения.
5.6.1. Для наиболее чувствительных диапазонов шкалы в руководстве по эксплуатации должны быть указаны уровни звука, которые будут отображаться, если поместить шумомер в звуковое поле с низким уровнем, не вносящим значительный вклад в собственные шумы. Эти уровни звука должны соответствовать наибольшему уровню собственных шумов для каждой модели микрофона, которая указана для использования в составе шумомера.
5.6.2. Уровни собственных шумов должны быть указаны в руководстве по эксплуатации как уровни звука с временной коррекцией и/или как средние по времени уровни звука, в зависимости от того, что применимо.
5.6.3. В руководстве по эксплуатации также должны быть указаны наибольшие ожидаемые собственные шумы при замене микрофона электрическим входным устройством так, как указано в руководстве по эксплуатации.
5.6.4. Уровни звука, указанные в руководстве по эксплуатации для собственных шумов, должны соответствовать номинальным внешним условиям. Уровни собственных шумов должны быть указаны для всех доступных частотных характеристик.
5.6.5. В руководстве по эксплуатации должны быть описаны процедуры, учитывающие влияние собственных шумов при измерении звука с низкими значениями уровней.
5.7. Временные характеристики F и S
5.7.1. Номинальные значения постоянных времени составляют 0,125 с для временной характеристики F (Fast) и 1 с для временной характеристики S (Slow). Реализованные временные характеристики должны быть описаны в руководстве по эксплуатации.
5.7.2. Для уровней звука с временной коррекцией постоянная времени спада определяется по отклику на мгновенное прекращение синусоидального электрического входного сигнала частоты 4 кГц. После прекращения сигнала скорость уменьшения отображаемого уровня звука, увеличенная на расширенную неопределенность измерений, должна быть не менее 25 дБ/с для временной характеристики F и иметь значение от 3,4 до 5,3 дБ/с для временной характеристики S. Данное требование должно выполняться для любого диапазона шкалы.
5.7.3. Для синусоидального электрического сигнала с частотой 1 кГц отклонение показаний как корректированного по A уровня звука и временной характеристикой S, так и среднего по времени корректированного по A уровня звука, если такой режим имеется в шумомере, от показаний корректированного по A уровня звука и временной характеристикой F, увеличенное на расширенную неопределенность измерений, не должно превышать +/- 0,3 дБ. Данное требование применяется для опорного уровня звукового давления в опорном диапазоне шкалы.
5.8. Отклик на радиоимпульс
5.8.1. Требования к измерениям уровня звука кратковременных сигналов установлены для радиоимпульсов с частотой 4 кГц. Требования к отклику на радиоимпульс применяются к электрическим входным сигналам.
5.8.2. Для частотной характеристики A и дополнительных характеристик C и Z номинальный отклик на одиночный радиоимпульс 4 кГц должен быть таким, как указано в столбце 2 таблицы 3 для максимальных уровней звука с временной характеристикой F или S и в столбце 3 для уровней звукового воздействия. Отклонение измеренного отклика на радиоимпульс от соответствующего номинального отклика, увеличенное на расширенную неопределенность измерений, не должно превышать соответствующих предельных отклонений во всем диапазоне длительностей радиоимпульса.
Таблица 3
Номинальные отклики на радиоимпульсы с частотой 4 кГц
и предельные отклонения, включающие максимальную
расширенную неопределенность измерений
Длительность радиоимпульса,  , мс | Номинальный отклик на радиоимпульс 4 кГц,  , относительно установившегося уровня звука, дБ | Предельные отклонения, дБ |
Класс |
| | 1 | 2 |
1000 | 0,0 | 0,0 | +/- 0,8 | +/- 1,3 |
500 | -0,1 | -3,0 | +/- 0,8 | +/- 1,3 |
200 | -1,0 | -7,0 | +/- 0,8 | +/- 1,3 |
100 | -2,6 | -10,0 | +/- 1,3 | +/- 1,3 |
50 | -4,8 | -13,0 | +/- 1,3 | +1,3; -1,8 |
20 | -8,3 | -17,0 | +/- 1,3 | +1,3; -2,3 |
10 | -11,1 | -20,0 | +/- 1,3 | +1,3; -2,3 |
5 | -14,1 | -23,0 | +/- 1,3 | +1,3; -2,8 |
2 | -18,0 | -27,0 | +1,3; -1,8 | +1,3; -2,8 |
1 | -21,0 | -30,0 | +1,3; -2,3 | +1,3; -3,3 |
0,5 | -24,0 | -33,0 | +1,3; -2,8 | +1,3; -4,3 |
0,25 | -27,0 | -36,0 | +1,3; -3,3 | +1,8; -5,3 |
- | | - |
1000 | -2,0 | - | +/- 0,8 | +/- 1,3 |
500 | -4,1 | +/- 0,8 | +/- 1,3 |
200 | -7,4 | +/- 0,8 | +/- 1,3 |
100 | -10,2 | +/- 1,3 | +/- 1,3 |
50 | -13,1 | +/- 1,3 | +1,3; -1,8 |
20 | -17,0 | +1,3; -1,8 | +1,3; -2,3 |
10 | -20,0 | +1,3; -2,3 | +1,3; -3,3 |
5 | -23,0 | +1,3; -2,8 | +1,3; -4,3 |
2 | -27,0 | +1,3; -3,3 | +1,3; -5,3 |
Примечания |
1. Для целей настоящего стандарта для обычных шумомеров номинальный отклик на радиоимпульс 4 кГц,  , для максимальных уровней звука с временной коррекцией определяется из следующей формулы: |
 , (15) |
где  - указанная длительность радиоимпульса, с; |
 - стандартная экспоненциальная постоянная времени, указанная в 5.7.1; |
e - основание натурального логарифма. |
Формула (15) применяется к одиночным радиоимпульсам с частотой 4 кГц. |
2. Для целей настоящего стандарта для интегрирующих и интегрирующих-усредняющих шумомеров номинальный отклик на радиоимпульс 4 кГц,  , для частотно-корректированных уровней звукового воздействия определяются из следующей формулы: |
 , (16) |
где  - указанная длительность радиоимпульса, с; |
 - опорная длительность звукового воздействия, равная 1 с. |
3. Номинальные отклики на радиоимпульс 4 кГц, приведенные в таблице 3, установлены для характеристик A, C и Z. Для других частотных характеристик могут быть иные номинальные отклики на радиоимпульс. |
5.8.3. Номинальные отклики на радиоимпульс и предельные отклонения из
таблицы 3 применяют также для интегрирующих-усредняющих шумомеров, которые не отображают уровень звукового воздействия. Для таких приборов уровень звукового воздействия для радиоимпульса должен рассчитываться из измерений среднего по времени уровня звука с использованием
формулы (4). Время усреднения T должно соответствовать отображаемому на шумомере и должно включать в себя радиоимпульс.
5.8.4. Для радиоимпульса, длительность которого лежит между двумя последовательными значениями в
таблице 3, номинальный отклик вычисляют по
формулам (15) или
(16), в зависимости от того, что применимо. В этом случае применяют предельные отклонения, указанные в
таблице 3 для более короткой длительности радиоимпульса.
5.8.5. Для установившихся входных сигналов в пределах опорного диапазона шкалы номинальный отклик на радиоимпульс и соответствующие предельные отклонения применяют для всех длительностей радиоимпульса, указанных в
таблице 3. Величина установившегося входного сигнала с частотой 4 кГц, из которого получают радиоимпульс, должна находиться в диапазоне, верхняя граница которого соответствует показаниям на 3 дБ ниже указанного верхнего предела линейного рабочего диапазона, нижняя граница - показаниям на 10 дБ выше указанного нижнего предела. Отклики на радиоимпульс должны соответствовать приведенным в
таблице 3 предельным отклонениям, пока они могут наблюдаться на устройстве отображения и, по крайней мере, на 10 дБ превышать установленный уровень шумов, обусловленный собственными шумами микрофона и электронных элементов в шумомере.
5.8.6. В ходе любых измерений отклика на радиоимпульс во всем диапазоне уровней сигнала, указанном в
5.8.5, не должно возникать индикации перегрузки.
5.9. Отклик на повторяющиеся радиоимпульсы
5.9.1. Требования к отклику на повторяющиеся электрические радиоимпульсы применяют к характеристике A и характеристикам C и Z, где они предусмотрены, для любой последовательности радиоимпульсов 4 кГц равной амплитуды и равной длительности. Отклонение среднего по времени уровня звука от среднего по времени уровня звука, рассчитанного для последовательности радиоимпульсов, увеличенное на расширенную неопределенность измерений, не должно превышать соответствующих предельных отклонений из
таблицы 3 для отклика уровня звукового воздействия на радиоимпульс. Данное требование применяют для опорного диапазона шкалы для радиоимпульса длительностью от 0,25 мс до 1 с и от 3 дБ ниже указанного верхнего предела линейного рабочего диапазона вниз до входного сигнала, соответствующего показаниям на 10 дБ выше указанного нижнего предела.
5.9.2. При любой общей длительности измерений разность

в децибелах между теоретическим средним по времени уровнем звука последовательности из N радиоимпульсов, полученных из синусоидального сигнала, и среднего по времени уровня звука соответствующего синусоидального сигнала равна:

, (17)
где

- длительность радиоимпульса, с;

- общая длительность измерения, с.
Соответствующий синусоидальный сигнал должен быть усреднен по общей длительности измерения.
5.10. Индикация перегрузки
5.10.1. Шумомер должен иметь индикатор перегрузки, который должен работать с любым применимым устройством отображения. В руководстве по эксплуатации должна быть описана работа и интерпретация индикаций перегрузки.
5.10.2. Состояние перегрузки должно отображаться для уровней звука, превышающих верхний предел линейного рабочего диапазона, перед тем как предельные отклонения для линейности уровня установившегося сигнала или отклика на радиоимпульс будут превышены. Данное требование применяют для всех диапазонов шкалы на любой частоте от 31,5 Гц до 12,5 кГц для шумомеров 1-го класса и от 31,5 Гц до 8 кГц для шумомеров 2-го класса.
5.10.3. Индикатор перегрузки должен срабатывать как для положительного, так и для отрицательного полупериодного сигналов, полученных из синусоидального электрического сигнала. Сигналы должны начинаться и заканчиваться в момент пересечения нулевого значения. Для положительного и отрицательного полупериодных сигналов разность между входными уровнями сигнала, впервые вызывающего индикацию перегрузки, увеличенная на расширенную неопределенность измерений, не должна превышать 1,8 дБ.
5.10.4. В том случае, когда шумомер используют для измерения уровня звука с временной характеристикой F или S, перегрузка должна индицироваться, пока существует условие перегрузки или в течение 1 с (выбирается больший из двух интервалов времени).
5.10.5. В том случае, когда измеряют средние по времени уровни звука или уровни звукового воздействия, индикатор перегрузки должен включаться в момент наступления условия перегрузки. Включенное состояние должно сохраняться до сброса результатов измерений. Данные требования также применяют для измерений максимального уровня звука с временной коррекцией, пикового корректированного по C уровня звука и других величин, рассчитываемых на всем интервале измерений, или отображаемых по окончании интервала измерений.
5.11. Индикация слабого сигнала
5.11.1. Если любой результат измерения уровня звука с временной коррекцией, среднего по времени уровня звука или уровня звукового воздействия меньше указанного нижнего предела линейного рабочего диапазона на данной частоте, то должно отображаться наличие недопустимо слабого сигнала прежде, чем будут превышены предельные отклонения на погрешность линейности уровня. Недопустимо слабый сигнал должен индицироваться, по крайней мере, пока он существует или в течение 1 с (выбирается больший из двух интервалов времени). В руководстве по эксплуатации должна быть описана работа и интерпретация индикаций недопустимо слабого сигнала.
5.11.2. Для наиболее чувствительных диапазонов шкалы нет необходимости индицировать недопустимо слабый сигнал, если нижний предел для погрешности линейности уровня обусловлен собственными шумами микрофона и электронных элементов в шумомере.
5.12. Пиковый корректированный по C уровень звука
5.12.1. Шумомеры 1-го и 2-го классов могут отображать пиковые корректированные по C уровни звука. В каждом диапазоне шкалы в руководстве по эксплуатации должен быть указан номинальный диапазон пиковых корректированных по C уровней звука, которые измеряются с соответствующими предельными отклонениями. По крайней мере, в опорном диапазоне шкалы протяженность диапазона пиковых уровней должна составлять как минимум 40 дБ для показаний пиковых корректированных по C уровней звука. Внутри указанных диапазонов пиковые корректированные по C уровни звука должны отображаться без индикации перегрузки.
Примечание. Пиковые корректированные по Z уровни звука и пиковые корректированные по FLAT уровни звука не идентичны пиковым корректированным по C уровням звука.
5.12.2. Требования к показаниям пиковых корректированных по C уровней звука установлены для отклика на однопериодные, а также положительные и отрицательные полупериодные электрические сигналы. Однопериодные и полупериодные сигналы должны получаться из синусоидальных электрических сигналов и подаваться на указанное устройство подачи электрических входных сигналов. Полные периоды и полупериоды должны начинаться и заканчиваться в пересечении с нулевым значением.
5.12.3. Отклонение разности показания пикового корректированного по C уровня звука

и соответствующего показания корректированного по C уровня звука установившегося сигнала (LC) не должно отличаться от приведенной в таблице 4 соответствующей разности на величину, превышающую указанные там же допустимые предельные отклонения, уменьшенные на расширенную неопределенность измерений.
Таблица 4
Пиковые корректированные по C уровни звука
и предельные отклонения, включающие максимальную
расширенную неопределенность измерений
Количество периодов тестового сигнала | Частота тестового сигнала, Гц |  , дБ | Предельные отклонения, дБ |
Класс |
1 | 2 |
Один | 31,5 | 2,5 | +/- 2,4 | +/- 3,4 |
500 | 3,5 | +/- 1,4 | +/- 2,4 |
8000 | 3,4 | +/- 2,4 | +/- 3,4 |
Положительный полупериод | 500 | 2,4 | +/- 1,4 | +/- 2,4 |
Отрицательный полупериод | 500 | 2,4 | +/- 1,4 | +/- 2,4 |
5.13.1. Шумомеры, предназначенные для измерений среднего по времени уровня звука, уровня звукового воздействия, максимального уровня звука с временной коррекцией и пикового корректированного по C уровня звука, должны включать в себя устройство для сброса устройства хранения данных и запуска измерения с начала.
5.13.2. Использование устройства сброса не должно вызывать ложных показаний на устройстве отображения или искажать сохраненные данные.
Если в интегрирующем-усредняющем или в интегрирующем шумомере предусмотрены определяемые пользователем пороги, то их характеристики и принцип действия должны быть указаны в руководстве по эксплуатации для измерений средних по времени уровней звука или уровней звукового воздействия.
5.15. Устройство отображения
5.15.1. Для шумомеров, которые могут отображать более одной измеряемой величины, должен быть предусмотрен способ индикации той величины, которая отображается в данный момент.
5.15.2. Акустическая величина, которая измеряется в данный момент, должна быть ясно показана на устройстве отображения или органами управления. Показания должны быть описаны в руководстве по эксплуатации и должны содержать частотную и временную характеристику или время усреднения, в зависимости от того, что применяют. Показание можно обозначить посредством подходящего буквенного символа или сокращения. Примеры соответствующих буквенных символов даны в определениях, формулах и таблицах настоящего стандарта.
5.15.3. Устройство (устройства) отображения должно быть описано в руководстве по эксплуатации и должно позволять выполнять измерения с разрешением 0,1 дБ или более высоким в диапазоне показаний не менее 60 дБ.
Примечание. В шумомерах с аналоговым устройством отображения диапазон показаний 60 дБ может быть реализован двумя поддиапазонами.
5.15.4. Для цифровых устройств отображения, обновляемых через периодические интервалы, показание при каждом обновлении должно представлять собой значение выбранной пользователем величины, соответствующее моменту обновления устройства отображения. Во время обновления устройства отображения могут отображаться другие величины. В таком случае отображаемые величины должны быть описаны в руководстве по эксплуатации.
5.15.5. Если предусмотрен цифровой индикатор, в руководстве по эксплуатации должна быть указана скорость обновления его показаний и условия отображения первого после запуска измерений показания.
5.15.6. Для интегрирующих-усредняющих и интегрирующих шумомеров в руководстве по эксплуатации должен быть указан временной интервал после завершения интегрирования до момента отображения показания.
5.15.7. Когда результаты измерений выдаются на цифровой выход, в руководстве по эксплуатации должен быть описан метод передачи или загрузки цифровых данных во внешнее устройство хранения данных или устройство отображения. Компьютерное программное и аппаратное обеспечение интерфейса должны быть идентифицированы.
5.15.8. Каждое дополнительное устройство для отображения уровня сигнала, указанное в руководстве по эксплуатации как удовлетворяющее требованиям настоящего стандарта, является неотъемлемой частью шумомера. Каждое такое дополнительное устройство должно включаться в состав модулей, необходимых для соответствия требованиям к характеристикам настоящего раздела и соответствующим требованиям к допустимым внешним условиям
раздела 6.
5.16. Аналоговый или цифровой выход
5.16.1. Если предусмотрен аналоговый или цифровой выход, то характеристики выходных сигналов должны быть приведены в руководстве по эксплуатации. Характеристики должны включать частотную характеристику, диапазон выходных сигналов, электрический импеданс выхода и рекомендуемый диапазон импеданса нагрузки.
5.16.2. Подключение пассивного импеданса без накопленной электрической энергии, включая короткозамкнутую цепь, к аналоговому выходу не должно влиять на любые выполняемые измерения более чем на 0,2 дБ.
5.16.3. Если аналоговый или цифровой выход не предусмотрен для общего применения, такой выход должен быть предусмотрен для проверки характеристик шумомера 1-го класса и может быть предусмотрен для шумомера 2-го класса. Изменения уровня сигнала на аналоговом или цифровом выходе вследствие изменений звукового давления на микрофоне или изменений электрического входного сигнала должны совпадать до одной десятой децибела с изменениями показаний на устройстве отображения.
5.17. Возможности по работе с временными интервалами
и временем суток
5.17.1. Шумомер 1-го класса, отображающий средний по времени уровень звука или уровень звукового воздействия, должен иметь возможность в конце периода интегрирования отображать истекшее время или эквивалентное ему показание интервала времени интегрирования. Также может быть предусмотрена возможность предварительной установки интервала времени интегрирования и отображения времени суток. При наличии указанных возможностей в руководстве по эксплуатации должны быть описаны процедуры предварительной установки интервала времени интегрирования и установки времени суток.
Примечания.
1. Рекомендуются следующие предварительно устанавливаемые интервалы времени интегрирования: 10 с, 1 мин, 5 мин, 10 мин, 30 мин, 1 ч, 8 ч и 24 ч.
2. Если шумомер способен отображать время суток, то в руководстве по эксплуатации должен быть указан номинальный дрейф отображаемого времени за период 24 ч.
5.17.2. Для уровней сигнала в диапазоне устройства отображения в руководстве по эксплуатации должны быть указаны минимальное и максимальное время усреднения и интегрирования для измерений средних по времени уровней звука и уровней звукового воздействия соответственно.
5.18. Радиопомехи и помехи электропитания
5.18.1. Если шумомер имеет возможность подключения интерфейсных или соединительных кабелей, то в руководстве по эксплуатации должны быть указаны длина и тип (например, экранированный или без экрана) кабелей и характеристики устройств, к которым могут подключаться кабели.
5.18.2. Квазипиковый уровень напряженности электрического поля, излучаемый портом корпуса шумомера, не должен превышать 30 дБ для частот от 30 до 230 МГц и не должен превышать 37 дБ для частот от 230 МГц до 1 ГГц. На частоте 230 МГц применяется нижняя норма. Уровни напряженности электрического поля в дБ вычисляются относительно опорной напряженности электрического поля 1 мкВ/м. Данные требования применяются для укомплектованных шумомеров групп X и Y на расстоянии 10 м. В руководстве по эксплуатации должен(ны) быть указан(ы) режим(ы) работы шумомера и подключаемых устройств, создающий наиболее сильную радиопомеху.
5.18.3. Для шумомеров групп Y и Z максимальные уровни напряжения кондуктивных радиопомех, создаваемых в электросети, не должны превышать норм квазипиковых и средних уровней напряжения на сетевых зажимах, приведенных в таблице 5. Если шумомер удовлетворяет нормам на среднее напряжение радиопомехи при использовании устройства, измеряющего квазипиковое значение, то следует считать, что шумомер удовлетворяет нормам на квазипиковое и среднее напряжения.
Таблица 5
Пределы напряжения кондуктивных радиопомех
на сетевых зажимах, включающие максимальную
расширенную неопределенность измерений
Диапазон частот, МГц | Пределы уровня напряжения радиопомех, дБ относительно 1 мкВ |
Квазипиковое значение | Среднее значение |
От 0,15 до 0,50 | От 66 до 56 | От 56 до 46 |
" 0,50 " 5 | 56 | 46 |
" 5 " 30 | 60 | 50 |
Примечания 1. Характеристики квазипикового измерительного приемника см. ГОСТ 30847. 2. На границах между диапазонами пределом является нижний уровень напряжения. 3. В диапазоне частот от 0,15 до 0,50 МГц пределы уровней напряжения вычисляют по формулам: для квазипиковых значений и для средних значений, где f - частота измерений, МГц. |
5.19. Переходное затухание между каналами
5.19.1. Переходное затухание между каналами или проникновение сигналов между парами каналов имеют значение для многоканальных шумомеров.
5.19.2. На любой частоте в диапазоне многоканального шумомера 1-го или 2-го класса разность между уровнем, отображаемым на устройстве отображения, при отклике на установившийся электрический сигнал, поданный на электрический вход одного канала и отрегулированный так, чтобы давать показание верхнего предела применимого линейного рабочего диапазона, и уровнем сигнала, отображаемым на любом другом канале, должна составлять не менее 70 дБ. На другие входы вместо микрофонов должны быть подключены нагрузочные устройства, указанные в руководстве по эксплуатации.
5.20.1. Должна быть предусмотрена индикация подтверждения достаточности напряжения питания для работы шумомера с соблюдением требований настоящего стандарта.
5.20.2. В руководстве по эксплуатации должны быть указаны максимальное и минимальное напряжения питания, при которых шумомер удовлетворяет требованиям настоящего стандарта. Если на микрофон подается звуковое давление акустического калибратора, то изменение отображаемого уровня звука, увеличенное на расширенную неопределенность измерений, не должно превышать +/- 0,3 дБ для шумомеров 1-го класса и +/- 0,4 дБ для шумомеров 2-го класса при уменьшении напряжения питания от максимального до минимального.
5.20.3. Если для питания шумомера используются внутренние батареи, то рекомендуемые типы батарей должны быть указаны в руководстве по эксплуатации и, желательно, на самом приборе. В руководстве по эксплуатации также должно быть указано время непрерывной работы при номинальных внешних условиях для указанного нормального режима работы при установке полностью заряженных батарей.
5.20.4. Для работающих от батарей шумомеров, в которых предусмотрена возможность отображения уровней звука за отрезок времени, превышающий номинальное время работы батарей, в руководстве по эксплуатации должны быть описаны рекомендуемые средства для работы шумомера от внешнего источника питания.
5.20.5. Для шумомеров, предназначенных для работы от электросети переменного тока, в руководстве по эксплуатации должны быть указаны номинальное напряжение и частота сети, а также соответствующие предельные отклонения.
6. Влияние внешних условий, электростатических
и радиочастотных полей
6.1.1. При надлежащем использовании шумомера он должен удовлетворять всем требованиям
раздела 6. При подаче на микрофон звукового сигнала ветрозащитное устройство не применяют.
6.1.2. Требования относительно внешних условий применяют к шумомеру, включенному и настроенному для выполнения измерений обычным образом. В руководстве по эксплуатации должны быть указаны типовые интервалы времени, необходимые для приведения шумомера в стабильное состояние после изменения внешних условий.
6.1.3. Требования относительно влияния изменений статического давления, температуры и относительной влажности воздуха применимы для измерений уровней звука, создаваемых акустическим калибратором на одной частоте в диапазоне частот от 125 до 1250 Гц. Влияние изменений статического давления, температуры и относительной влажности воздуха на уровень звукового давления, создаваемый акустическим калибратором, должно быть известно.
6.1.4. Совокупность значений температуры и относительной влажности воздуха, приводящие к точке росы в интервале температур от минус 15 °C до плюс 39 °C, не применяют для испытаний на соответствие требованиям настоящего раздела.
6.2. Статическое давление
6.2.1. Отклонение показаний уровня звука при статическом давлении, находящемся в интервале значений от 85 до 108 кПа, от показаний уровня звука при номинальном статическом давлении, увеличенное на расширенную неопределенность измерений, не должно превышать +/- 0,7 дБ для шумомеров 1-го класса и +/- 1,0 дБ для шумомеров 2-го класса.
6.2.2. Отклонение показаний уровня звука при статическом давлении, находящемся в интервале значений от 65 до менее чем 85 кПа, от показаний уровня звука при номинальном статическом давлении, увеличенное на расширенную неопределенность измерений, не должно превышать +/- 1,2 дБ для шумомеров 1-го класса и +/- 1,9 дБ для шумомеров 2-го класса.
Примечание. Частотная характеристика микрофона может зависеть от статического давления. Использование акустического калибратора для настройки чувствительности шумомера на частоте проверки калибровки не дает информации относительно влияния статического давления на частотную характеристику. В руководстве по эксплуатации должны быть приведены указания и процедуры по применению шумомера в условиях, когда статическое давление не превышает 85 кПа.
6.3.1. Влияние изменений температуры воздуха на измеренный уровень сигнала регламентируется в интервале от минус 10 °C до плюс 50 °C для шумомеров 1-го класса и в интервале от 0 °C до плюс 40 °C для шумомеров 2-го класса. Данные интервалы температуры применяют для укомплектованных шумомеров.
6.3.2. Для модулей, входящих в состав шумомера (например, компьютер), предназначенных согласно руководству по эксплуатации для работы только в замкнутом объеме с контролируемыми внешними условиями (например, в помещении), диапазон температур воздуха может быть ограничен от плюс 5 °C до плюс 35 °C. Ограниченный диапазон температур не распространяется на микрофон.
6.3.3. Отклонение показаний уровня звука, полученных при произвольной температуре, от показаний уровня звука при номинальной температуре воздуха, увеличенное на расширенную неопределенность измерений, не должно превышать +/- 0,8 дБ для шумомера 1-го класса и +/- 1,3 дБ для шумомера 2-го класса. Это требование применяется для температур воздуха в соответствии с
6.3.1 или
6.3.2 для относительной влажности по 6.4.
6.3.4. Погрешность линейности уровня на частоте 1 кГц в указанном линейном рабочем диапазоне в опорном диапазоне шкалы должна соответствовать требованиям, указанным в
5.5. Данные требования применяют в диапазонах температур воздуха по
6.3.1 или
6.3.2 и в пределах +/- 20% от номинальной относительной влажности.
Отклонение показаний уровня звука при любой относительной влажности, от показаний уровня звука при номинальной относительной влажности, увеличенное на расширенную неопределенность измерений, не должно превышать +/- 0,8 дБ для шумомера 1-го класса и +/- 1,3 дБ для шумомера 2-го класса. Данное требование применяют в интервале значений относительной влажности от 25% до 90% и для температуры в интервалах, указанных в
6.3.1 или
6.3.2, и параметров точек росы, указанных в
6.1.4.
6.5. Электростатический разряд
6.5.1. Шумомер или многоканальный шумомер должен продолжать функционировать в соответствии с назначением после воздействия контактного разряда электростатического напряжения до +/- 4 кВ и воздушного разряда электростатического напряжения до +/- 8 кВ. Полярность электростатического напряжения определяют относительно земли. Методы подачи электростатических разрядов указаны в ГОСТ 30804.4.2.
6.5.2. Воздействие электростатических разрядов, указанных в 6.5.1, не должно вызывать долговременного ухудшения характеристики или утраты функции шумомера. Характеристика или функция шумомера могут временно ухудшиться или временно утратиться от электростатических разрядов, если это указано в руководстве по эксплуатации. Указанное ухудшение или утрата функции не должно включать какое-либо изменение режима работы, изменение конфигурации, порчу или потерю хранимых данных.
6.6. Поля промышленной частоты и радиочастотные поля
6.6.1. Воздействие установленных полей промышленной частоты и радиочастотных полей не должно вызывать какие бы то ни было изменения в рабочем состоянии, изменение конфигурации, порчу или потерю сохраненных данных. Данное требование применяют для укомплектованного шумомера, его составных частей или для многоканального шумомера во всех режимах работы, совместимых с нормальным режимом. Режим(ы) работы шумомера и любых присоединенных устройств должен(ны) быть таким(и), как указано в руководстве по эксплуатации, когда прибор имеет наибольшую восприимчивость (наименьшую помехоустойчивость) к полям промышленной частоты и радиочастотным полям.
6.6.2. Требования по устойчивости к полям промышленной частоты должны применяться при воздействии однородного магнитного поля со среднеквадратичной напряженностью 80 А/м на частотах 50 и 60 Гц. Однородность магнитного поля должна определяться в отсутствие шумомера.
6.6.3. Требования по воздействию полей промышленной частоты применяют к указанной в руководстве по эксплуатации ориентации шумомера, соответствующей наибольшей восприимчивости (наименьшей помехоустойчивости) к данным полям.
6.6.4. Требования по устойчивости к радиочастотным полям должны быть применены при воздействии в диапазоне несущих частот от 26 МГц до 1 ГГц. Сигнал несущей частоты радиочастотного поля должен быть модулирован по амплитуде синусоидальным сигналом с частотой 1 кГц при глубине модуляции 80%. Немодулированное радиочастотное поле в отсутствие шумомера должно быть однородным со среднеквадратичной напряженностью электрического поля 10 В/м.
Примечание. Шумомер может удовлетворять требованиям настоящего стандарта при немодулированной среднеквадратичной напряженности электрического поля большей 10 В/м. В этом случае соответствующая напряженность поля должна быть указана в руководстве по эксплуатации.
6.6.5. Помехоустойчивость шумомера к полям промышленной частоты и радиочастотным полям должна быть подтверждена при подаче на микрофон синусоидального звукового сигнала с частотой 925 Гц. В отсутствие поля промышленной частоты или радиочастотного поля источник звука должен быть настроен так, чтобы вызывать показания корректированного по A уровня звука, равные (74 +/- 1) дБA с временной характеристикой F или среднего по времени уровня звука. Уровень звука должен отображаться в диапазоне шкалы, для которого нижний предел лежит ближе всего, но не превышает 70 дБA, если имеется больше одного диапазона шкалы.
| | ИС МЕГАНОРМ: примечание. В официальном тексте документа, видимо, допущена опечатка: формула (5б) отсутствует. Возможно, имеется в виду формула (5b). | |
Примечание. Если шумомер отображает только уровень звукового воздействия, то эквивалентный средний по времени уровень звука должен быть рассчитан по
формуле (5б).
6.6.6. Отклонение показаний уровня звука от показаний уровня звука в отсутствие поля промышленной частоты или радиочастотного поля, увеличенное на расширенную неопределенность измерений, не должно превышать +/- 1,3 дБ для шумомера 1-го класса и +/- 2,3 дБ для шумомера 2-го класса.
6.6.7. Для шумомеров групп Y и Z с входными сетевыми зажимами и, если имеется, выходными сетевыми зажимами помехоустойчивость к радиочастотным синфазным помехам должна быть подтверждена в диапазоне частот от 0,15 до 80 МГц. Радиочастотная помеха должна быть модулирована по амплитуде синусоидальным сигналом 1 кГц с глубиной модуляции 80%. При отсутствии модуляции среднеквадратичное напряжение радиочастотной помехи должно равняться 10 В при излучении источником с выходным сопротивлением 150 Ом. Помехоустойчивость к кратковременным помехам источника питания должна быть проверена сигналами с пиковым напряжением 2 кВ и частотой повторения 5 кГц в соответствии с таблицей 4 ГОСТ 30804.6.2. Дополнительные требования, указанные в ГОСТ 30804.6.2 (таблица 4), также распространяются на помехоустойчивость к провалам напряжения электропитания, прерываниям напряжения электропитания и импульсам напряжения.
6.6.8. Для шумомеров группы Z с портами ввода-вывода сигналов или управления требования ГОСТ 30804.6.2 (таблица 2) применяют для помехоустойчивости к радиочастотным синфазным помехам в диапазоне частот от 0,15 до 80 МГц для среднеквадратичного напряжения 10 В (без модуляции). Эти требования применяют, когда длина любых соединительных кабелей между частями шумомера превышает 3 м. Требования к устойчивости к кратковременным помехам электросети проверяют сигналами с пиковым напряжением 2 кВ и частотой повторения 5 кГц в соответствии с ГОСТ 30804.6.2 (таблица 2).
6.6.9. В руководстве по эксплуатации может быть указано, что шумомер удовлетворяет требованиям настоящего стандарта при воздействии радиочастотных полей при уровне звука менее 74 дБ. В этом случае шумомер должен удовлетворять требованиям предельных отклонений по
6.6.6 для уровней звука меньше 74 дБ и до указанного нижнего уровня. Данное условие применяют во всех применимых диапазонах шкалы для всех требований, относящихся к данной группе. Нижний уровень, указанный в руководстве по эксплуатации до ближайшего 1 дБ, должен применяться ко всем режимам работы шумомера.
7. Условия для использования с дополнительными устройствами
7.1. Изготовителем шумомера могут быть предусмотрены дополнительное удлинительное устройство или кабель для установки между микрофоном и микрофонным предварительным усилителем или между микрофонным предварительным усилителем и другими частями шумомера. Если такое устройство или кабель предусмотрены, то в руководстве по эксплуатации должны быть указаны поправки к результатам измерений, выполненных подобным образом.
7.2. Типовое влияние дополнительных устройств, поставляемых изготовителем шумомера, должно быть указано в руководстве по эксплуатации. Данные должны быть применимы ко всем характеристикам шумомера, на которые влияет применение дополнительных устройств. Дополнительные устройства включают в себя ветрозащитные устройства или устройства защиты от дождя, которые следует устанавливать вблизи микрофона. Должны быть приведены данные по типовому влиянию (в отсутствие ветра) любого рекомендованного ветрозащитного устройства на чувствительность микрофона, характеристику направленности и частотные характеристики.
7.3. В руководстве по эксплуатации должно быть указано, удовлетворяет ли шумомер требованиям настоящего стандарта к тому же классу характеристик при установке дополнительного устройства. Если при установке дополнительного устройства шумомер не удовлетворяет требованиям к тому же классу характеристик, то в руководстве по эксплуатации должно быть указано, удовлетворяет ли шумомер требованиям другого класса, или же то, что он более не удовлетворяет требованиям классов 1 и 2.
7.4. Если предусмотрены внутренние или внешние полосовые фильтры для спектрального анализа сигнала звукового давления, то в руководстве по эксплуатации должно быть описано, как следует использовать шумомер для измерения фильтрованных уровней звука.
7.5. В руководстве по эксплуатации должны содержаться сведения по подключению к шумомеру предусмотренных изготовителем дополнительных устройств и по влиянию, если таковое имеется, подобных устройств на характеристики шумомера.
8.1. Шумомер, удовлетворяющий всем применимым требованиям настоящего стандарта, должен быть маркирован указанием номера и года публикации настоящего стандарта. Маркировка должна указывать наименование или знак поставщика, ответственного за технические характеристики, применимые к укомплектованному шумомеру. Кроме того, маркировка должна содержать обозначение модели, заводской номер, класс характеристик укомплектованного шумомера в соответствии с требованиями настоящего стандарта.
8.2. Если шумомер состоит из нескольких отдельных частей, то каждый главный модуль или часть должны маркироваться, как указано в
8.1, если это возможно.
8.3. Для защиты частей шумомера, доступных для пользователя, которые могут повлиять на электроакустические характеристики, должны использоваться подходящие пломбы или отметки.
9. Руководство по эксплуатации
9.1. Руководство по эксплуатации должно поставляться с каждым шумомером или эквивалентным прибором, удовлетворяющим требованиям настоящего стандарта:
a) в руководстве по эксплуатации должна содержаться вся информация, необходимая в соответствии с
разделами 4,
5,
6 и
7, а также информация, необходимая в соответствии с 9.2 и
9.3;
b) если шумомер состоит из нескольких отдельных частей, то должно быть в наличии руководство по эксплуатации для совокупности устройств, образующих укомплектованный шумомер, в котором должны быть описаны все необходимые части и их взаимное влияние;
c) руководство по эксплуатации должно поставляться в виде печатного документа в одной или более частях.
9.2. Руководство по эксплуатации должно содержать следующую информацию по работе, соответствующую данному шумомеру.
9.2.1. Общие сведения
a) Описание вида шумомера; классификация по группам X, Y или Z для восприимчивости к радиочастотным полям; обозначение характеристик 1-му или 2-му классу в соответствии с требованиями настоящего стандарта. Если необходимо, то описание конфигурации шумомера, которая удовлетворяет требованиям для класса 1 или 2.
b) Описание укомплектованного шумомера и его конфигурации в нормальном режиме работы, включая ветрозащитное устройство и присоединяемые устройства, если требуется. Описание должно содержать метод установки микрофона с идентификацией дополнительных устройств и процедуру установки ветрозащитного устройства на микрофон. Дополнительные устройства включают в себя удлинительное устройство или кабель для микрофона, которые могут потребоваться, чтобы данный шумомер удовлетворял требованиям настоящего стандарта для данного класса характеристик.
c) Модели микрофонов, с которыми укомплектованный шумомер удовлетворяет требованиям к характеристикам класса 1 или 2 в свободном звуковом поле.
d) Если требуется удлинительное устройство или кабель для микрофона, то должно содержаться указание, что шумомер удовлетворяет требованиям к характеристикам направленности и частотным характеристикам, только в том случае, когда указанное устройство или кабель установлены.
e) Характеристики и работа каждого независимого канала многоканального шумомера.
9.2.2. Конструктивные особенности
a) Описание акустических величин, которые могут измеряться данным шумомером на каждом устройстве отображения, например, уровень звука с временной коррекцией, средний по времени уровень звука, уровень звукового воздействия, в отдельности или в комбинациях, а также объяснения всех отображаемых сокращений и буквенных символов.
b) Подробные табличные данные зависимости от угла падения и частоты относительного отклика в свободном звуковом поле на синусоидальные плоские волны для шумомера в конфигурации для нормального режима работы (данная информация необязательна).
c) Описание частотных характеристик, удовлетворяющих требованиям настоящего стандарта, и дополнительных частотных характеристик Z и FLAT, если имеются.
d) Описание предусмотренных временных характеристик.
f) Обозначение диапазонов шкалы через номинальные корректированные по A уровни звука на частоте 1 кГц.
| | ИС МЕГАНОРМ: примечание. Обозначение пунктов дано в соответствии с официальным текстом документа. | |
f) Описание работы устройств переключения диапазонов шкалы.
g) Описание всех устройств отображения, включая режимы работы и применимые скорости обновления показаний для цифровых устройств отображения. Если предусмотрено более одного устройства отображения, то указание, какие из этих устройств соответствуют требованиям настоящего стандарта и какие используются для других целей.
h) Общий диапазон шкалы уровней с частотной коррекцией A, которые могут быть измерены шумомером на частоте 1 кГц в пределах применяемых предельных отклонений.
i) Если предусмотрено, диапазоны пиковых корректированных по C уровней звука, которые могут быть измерены в каждом диапазоне шкалы.
j) Однозначная идентификация всего компьютерного программного обеспечения, необходимого для работы шумомера, и процедуры его установки и использования.
k) Информацию о номинальных значениях и предельных отклонениях, которые должны выдерживаться для величин, отображаемых шумомером, и для которых в настоящем стандарте не приведены требования к техническим характеристикам. Данные характеристики включают в себя дополнительные частотные характеристики.
9.2.3. Электропитание
a) Для шумомеров, питаемых от внутренних батарей, рекомендации по рекомендуемым типам батарей и номинальной продолжительности непрерывной работы для нормального режима работы при номинальных внешних условиях после установки полностью заряженных батарей.
b) Метод подтверждения достаточности питания для работы шумомера согласно требованиям настоящего стандарта.
c) Описание средств обеспечения работы шумомера от внешнего источника питания для шумомеров, предназначенных для измерения уровней звука за интервал времени, превышающий номинальное время работы батарей.
d) Указание номинального напряжения, частоты питания и приемлемые предельные отклонения от номинальных значений параметров электросети переменного напряжения для шумомеров, предназначенных для работы от электросети.
9.2.4. Настройки отображаемых уровней
a) Обозначение модели(ей) акустических калибраторов, которые могут применяться для проверки и обеспечения правильных показаний шумомера.
b) Частота проверки калибровки.
c) Методика проверки и данные для настройки показаний шумомера. Методика и данные должны применяться для опорного уровня звукового давления в опорном диапазоне шкалы и на частоте проверки калибровки.
d) Объединенные поправки на отклонение типовой частотной характеристики микрофона в свободном звуковом поле от равномерной частотной характеристики и на типовое влияние отражений от корпуса прибора и дифракции на микрофоне при внешних условиях, близких к номинальным, на частотах и при условиях испытаний, указанных в
5.2.4 и
5.2.5, для микрофонов всех моделей, которые указаны для использования в составе шумомера. Информация также должна включать поправки на типовое влияние ветрозащитного устройства, если ветрозащитное устройство является неотъемлемой частью конфигурации шумомера для нормального режима работы или, если указано, что шумомер удовлетворяет требованиям настоящего стандарта с ветрозащитным устройством на микрофоне.
Примечание. Информация может быть приведена в виде отдельных данных для типовой частотной характеристики микрофона в свободном звуковом поле и для типового влияния отражений, дифракции и ветрозащитного устройства.
9.2.5. Работа шумомера
a) Опорное направление.
b) Методики измерения звука, приходящего с опорного направления, включая рекомендации по уменьшению влияния корпуса прибора и наблюдателя, если он присутствует, при измерении звука.
c) Рекомендации по выбору оптимального диапазона шкалы для измерений уровня звука и уровней звукового воздействия.
d) Методики для измерения звуковых полей низкого уровня на наиболее чувствительных диапазонах шкалы с учетом влияния собственных шумов.
e) Время, по истечении которого шумомер может использоваться для измерения уровня звука после достижения равновесия с окружающей средой и включения питания.
f) Для интегрирующих-усредняющих и интегрирующих шумомеров, интервал времени после завершения измерений до отображения показаний.
g) Процедура предварительной установки времени интегрирования и установки времени суток, если применимо.
h) Минимальное и максимальное время интегрирования для измерений средних по времени уровней звука и уровней звукового воздействия.
i) Работа устройства удержания показаний и способы сброса удерживаемых показаний.
j) Работа устройства сброса для измерений среднего по времени уровня звука, уровня звукового воздействия, максимального уровня звука с временной коррекцией и дополнительного пикового корректированного по C уровня звука. Указание того, сбрасывается ли показание перегрузки при срабатывании устройства сброса. Номинальное время задержки между срабатыванием устройства сброса и повторным началом измерения.
k) Работа и интерпретация показаний перегрузки и недопустимо слабого сигнала и способы сброса этих показаний.
l) Характеристики и работа любых настраиваемых пользователем порогов для измерений среднего по времени уровня звука или уровня звукового воздействия.
m) Методы пересылки или загрузки цифровых данных во внешнее устройство хранения данных или устройство отображения и идентификацию компьютерного программного обеспечения и аппаратуры для выполнения этих действий.
n) Для шумомеров, допускающих подключение интерфейсов или кабелей связи, рекомендации по типовым длинам кабелей и типам (например, экранированный или неэкранированный) и описание характеристик устройств, к которым могут подключаться кабели.
o) Для наиболее чувствительных диапазонов шкалы и для каждой доступной частотной характеристики при номинальных внешних условиях, уровни звука с временной коррекцией и средние по времени уровни звука, если применимо, соответствующие наибольшему уровню собственных шумов. Собственный шум должен быть таким, который можно ожидать от сочетания микрофона любой указанной модели и других частей шумомера. Время усреднения для среднего по времени уровня звука должно быть указано и, по меньшей мере, равно 30 с.
p) Для электрических выходов, частотные характеристики, диапазон среднеквадратичных напряжений для синусоидальных выходных сигналов, электрический импеданс выхода и рекомендуемый диапазон импеданса нагрузки.
9.2.6. Принадлежности
a) Описание типового влияния на характеристики шумомера, оказываемого в отсутствие ветра рекомендованным ветрозащитным устройством, устройством защиты от дождя или другой принадлежностью, поставляемой или рекомендуемой в руководстве по эксплуатации. Соответствующие характеристики включают в себя характеристики направленности и частотные характеристики. Указание класса характеристик, которым удовлетворяет шумомер при установке таких принадлежностей, или указание, что шумомер более не удовлетворяет требованиям класса 1 и 2.
b) Поправки, которые необходимо применить к результатам измерений, или процедура, которую нужно выполнить, когда дополнительное удлинительное устройство или кабель установлены между микрофонным предварительным усилителем и другими частями шумомера.
c) Информация по использованию шумомера, оснащенного полосовыми фильтрами.
d) Информация по подключению дополнительных устройств, поставляемых изготовителем, к шумомеру и влияние таких дополнительных устройств на характеристики шумомера.
9.2.7. Влияние изменений внешних условий
a) Обозначение частей шумомера, предназначенных для работы только в помещениях с контролируемыми внешними условиями.
b) Влияние электростатических разрядов на работу шумомера. Указание на временное ухудшение или утрату, если имеется, характеристики или функции шумомера, происходящие от воздействия электростатических разрядов. Для шумомеров, которым требуются внутренний доступ для обслуживания пользователем, указание на предосторожности относительно возможности вывода из строя электростатическим разрядом.
c) Указание, что шумомер удовлетворяет основным требованиям настоящего стандарта по необходимой помехоустойчивости к полям промышленной частоты и радиочастотным полям, или же, если применимо, указание уровней звука, полученных с временной характеристикой F, или средних по времени уровней звука менее 74 дБ на всех применимых диапазонах шкалы, для которых шумомер удовлетворяет требованиям настоящего стандарта по воздействию полей промышленной частоты и радиочастотных полей. Данная информация должна содержать указание частоты поля промышленной частоты.
9.3. В руководстве по эксплуатации должна содержаться следующая информация для испытаний, соответствующая шумомеру:
a) Опорный уровень звукового давления.
b) Опорный диапазон шкалы.
c) Опорная точка микрофона для моделей микрофонов, указанных для использования в составе шумомера.
d) Для корректированных по A уровней звука, отображаемых при отклике на звуковое давление, создаваемое многочастотным акустическим калибратором, или при отклике на эквивалент звукового давления, создаваемый электростатическим возбудителем, поправки для получения корректированных по A уровней звука, эквивалентных отклику на плоские синусоидальные звуковые волны, приходящие с опорного направления, по крайней мере, для частот, необходимых для поверки. Должна быть указана модель акустического калибратора или электростатического возбудителя, для которого справедливы поправки.
e) Таблицы номинальных корректированных по A уровней звука для верхнего и нижнего пределов линейного рабочего диапазона в каждом диапазоне шкалы. Уровни звука должны быть указаны на частотах 31,5 Гц, 1 кГц, 4 кГц, 8 кГц и 12,5 кГц для шумомеров 1-го класса и на частотах 31,5 Гц, 1 кГц, 4 кГц, 8 кГц для шумомеров 2-го класса.
f) Исходное значение, с которого начинают испытания погрешности линейности уровня в опорном диапазоне шкалы, для каждой частоты, для которой указаны частотно корректированные уровни звука для верхнего и нижнего пределов линейного рабочего диапазона. На частоте 1 кГц исходное значение должно быть опорным уровнем звукового давления.
g) Для каждой указанной модели микрофона в руководстве по эксплуатации должны приводиться номинальные значения и применимые предельные отклонения электрических характеристик входного устройства или средства подачи сигнала на электрический вход шумомера.
h) Для каждой модели микрофона, совместно с шумомером удовлетворяющего требованиям настоящего стандарта, уровни звука с временной коррекцией или средние по времени уровни звука, смотря, что применимо, соответствующие наибольшим ожидаемым собственным шумам, создаваемым, когда шумомер помещается в звуковое поле с низким уровнем и когда указанное электрическое входное устройство или указанное средство помещается вместо микрофона и нагружается указанным способом. Уровни звука должны быть указаны для наиболее чувствительных диапазонов шкалы и для каждой доступной частотной характеристики.
i) Для каждой модели микрофона, совместно с шумомером удовлетворяющего требованиям настоящего стандарта, наибольший допустимый уровень звукового давления на микрофон и наибольший допустимый размах напряжения на электрическом входе шумомера.
j) Максимальное и минимальное напряжения питания, при которых шумомер удовлетворяет требованиям настоящего стандарта.
k) Для шумомеров, имеющих устройство отображения с диапазоном, меньшим линейного рабочего диапазона в любом диапазоне шкалы, рекомендуемые средства испытаний погрешности нелинейности уровня вне пределов отображаемого диапазона.
l) Типовой интервал времени для стабилизации состояния шумомера после изменений внешних условий.
m) Если применимо, немодулированная среднеквадратичная напряженность электрического поля более 10 В/м, при которой шумомер удовлетворяет требованиям настоящего стандарта.
n) Режим(ы) работы шумомера и любых подключаемых устройств, производящих наибольшие уровни радиопомех в указанном диапазоне шкалы. Описание конфигураций шумомера, которые производят те же или меньшие уровни радиопомех.
o) Режим(ы) работы шумомера и любых подсоединяемых устройств, которые обладают наибольшей восприимчивостью (наименьшей помехоустойчивостью) к полям промышленной частоты и радиочастотным полям, и соответствующая опорная ориентация шумомера по отношению к главному направлению поля.
(обязательное)
МАКСИМАЛЬНЫЕ РАСШИРЕННЫЕ НЕОПРЕДЕЛЕННОСТИ ИЗМЕРЕНИЙ
A.1. В настоящем стандарте предельные отклонения на электроакустические характеристики содержат оценки расширенной неопределенности измерений. В настоящем приложении приведены максимальные значения расширенных неопределенностей, допустимых при испытаниях с целью подтверждения соответствия шумомера требованиям настоящего стандарта.
A.2. Предельные отклонения в настоящем стандарте содержат соответствующие расширенные неопределенности измерений, рассчитанные для коэффициента охвата 2, что соответствует доверительной вероятности приблизительно 0,95 согласно
[4]. Максимальные расширенные неопределенности измерений для соответствующих требований приведены в таблице A.1. Изготовители шумомеров могут рассчитать предельные отклонения для проектирования и изготовления путем вычитания максимальных допустимых расширенных неопределенностей измерений из соответствующих предельных отклонений, указанных в настоящем стандарте.
Таблица A.1
Максимальные расширенные неопределенности измерений
Требование | Пункт или таблица | Диапазон частот | Максимальная расширенная неопределенность измерений, дБ |
Характеристика направленности | | От 250 Гц до 1 кГц включ. | 0,3 |
Св. 1 кГц " 4 кГц " | 0,5 |
" 4 кГц " 8 кГц " | 1,0 |
" 8 кГц " 12,5 кГц " | 1,5 |
Частотные характеристики A, C, Z, FLAT | | " 10 Гц " 200 Гц " | 0,5 |
" 200 Гц " 1,25 кГц " | 0,4 |
Частотные характеристики A, C, Z, FLAT | | " 1,25 кГц " 10 кГц " | 0,6 |
" 10 кГц " 20 кГц " | 1,0 |
Частотные характеристики C, Z или FLAT относительно A на 1 кГц | | - | 0,2 |
Погрешности линейности уровня | | - | 0,3 |
Изменение уровня от 1 дБ до 10 дБ | | - | 0,3 |
Скорости спада для F и S | | - | 2 дБ/с для F; 0,4 дБ/с для S |
Уровень S относительно F на 1 кГц | | - | 0,2 |
Отклик на радиоимпульс | | - | 0,3 |
Повторяющиеся радиоимпульсы | | - | 0,3 |
Показание перегрузки | | - | 0,3 |
Пиковые корректированные по C уровни звука | | - | 0,4 |
Электрический выход | | - | 0,1 |
Напряжение питания | | - | 0,2 |
Влияние статического давления | | - | 0,3 |
Влияние температуры воздуха | | - | 0,3 |
Влияние влажности | | - | 0,3 |
Поля промышленной частоты и радиочастотные поля | | - | 0,3 |
(справочное)
ЧАСТОТНАЯ ХАРАКТЕРИСТИКА AU
B.1. Частотная характеристика AU, определенная в
[1], предназначена для измерений слышимой составляющей звука в присутствии ультразвука. Относительная характеристика и предельные отклонения для характеристики AU указаны для частот с номинальным третьоктавным интервалом от 10 Гц до 40 кГц.
B.2. Если шумомер имеет частотную характеристику AU, результат измерений обозначается как корректированный по AU уровень звука.
B.3. Номинальные значения для характеристики AU и соответствующие предельные отклонения согласованы с номинальными значениями и предельными отклонениями, приведенными в
таблице 2 настоящего стандарта для частотной характеристики A в частотном диапазоне от 10 Гц до 20 кГц. Измерение корректированного по AU уровня звука является также измерением корректированного по A уровня звука.
B.4. Если необходимо измерить корректированный по AU уровень звука, шумомер должен соответствовать предельным отклонениям соответствующих требований настоящего стандарта, как и требованиям в
[1] для характеристики AU. Может потребоваться микрофон, отличный от микрофона, необходимого для того, чтобы шумомер удовлетворял только требованиям настоящего стандарта.
(справочное)
ТРЕБОВАНИЯ К ВРЕМЕННОЙ ХАРАКТЕРИСТИКЕ I (ИМПУЛЬС)
C.1. Введение
C.1.1. Различные исследования привели к выводу, что временная характеристика I не пригодна для классификации импульсных шумов по их громкости. Временная характеристика I также не пригодна для оценки риска нарушения слуха или же определения "импульсного характера" шумов. Ввиду возможности получения неверных результатов, временная характеристика I не может быть рекомендована для описанных выше целей.
C.1.2. Вместе с тем, временная характеристика I упоминается в некоторых документах, и поэтому временная характеристика I включена в настоящее приложение. Приведенные рекомендации взяты из
[6], за исключением того, что частота электрического радиоимпульса равна 4 кГц для соответствия с данным стандартом, а не 2 кГц, как в
[6].
C.1.3. В настоящем приложении предельные отклонения, разрешенные для проектирования и изготовления, были увеличены на максимальную допустимую расширенную неопределенность измерений 0,3 дБ. Реальные расширенные неопределенности должны рассчитываться испытательной лабораторией для уровня доверия 95%, используя необходимый коэффициент охвата.
Примечание. Обычно коэффициент охвата 2 является приближением для уровня доверия 95%, за исключением случаев, когда составляющие неопределенности измерений таковы, что необходимо использовать другой коэффициент охвата для обеспечения уровня доверия 95%.
C.1.4. Для дополнительной временной характеристики I испытательная лаборатория не должна выполнять испытания для подтверждения рекомендаций настоящего приложения, если реальная расширенная неопределенность измерений лаборатории превосходит 0,3 дБ.
C.1.5. Соответствие рекомендациям настоящего приложения подтверждается, когда измеренные отклонения от номинального значения, увеличенные на реальную расширенную неопределенность измерений испытательной лаборатории, полностью лежат в указанных предельных отклонениях. Неопределенности измерений должны определяться в соответствии с
[4].
C.2. Общие требования к временной характеристике I
C.2.1. Требования к временной характеристике I подобны требованиям к временным характеристикам F и S за исключением того, что постоянная времени другая, и вводится специальный детектор сигнала после того, как сигнал возводится в квадрат и к нему применяется временная коррекция. Для временной характеристики I номинальное значение постоянной времени составляет 35 мс, и постоянная времени одинакова для сигналов, нарастающих и спадающих во времени. Детектор служит для запоминания сигнала, поданного на него, на время, достаточное для отображения сигнала с временной характеристикой I.
C.2.2. Постоянная времени нарастания специального детектора сигнала мала по сравнению с постоянной времени 35 мс. Номинальное значение скорости спада детектора 2,9 дБ/с с предельными отклонениями +/- 0,8 и +/- 3 дБ/с для шумомеров 1-го и 2-го классов соответственно. Номинальное значение скорости спада и предельные отклонения при проектировании и изготовлении примерно соответствуют постоянной времени спада (1500 +/- 250) мс и (1500 +/- 500) мс для шумомеров 1-го и 2-го классов соответственно.
C.2.3. Шумомеры с временной характеристикой I должны давать отклик на одиночный синусоидальный радиоимпульс и на последовательность синусоидальных радиоимпульсов в соответствии с испытаниями, указанными в C.3.
C.2.4. Для синусоидальных электрических входных сигналов с частотами от 315 Гц до 8 кГц уровни звука, измеренные с временными характеристиками F и I должны совпадать в пределах 0,4 дБ. Для одиночного короткого радиоимпульса уровень звука, отображаемый с временной характеристикой I, обычно бывает больше, чем уровень звука, отображаемый с временными характеристиками F или S.
C.3. Испытания уровня звука с временной характеристикой I
C.3.1. Для одиночного синусоидального электрического радиоимпульса частоты 4 кГц указанной длительности в
таблице C.1 приведены соответствующие номинальные значения для наибольшего корректированного по A уровня звука с временной характеристикой I по отношению к корректированному по A уровню звука, отображаемому при установившемся сигнале. Измеренные отклонения от номинальных значений, увеличенные на реальную расширенную неопределенность измерений, должны быть в применимых предельных отклонениях. Радиоимпульсы должны извлекаться из синусоидального входного сигнала частотой 4 кГц, который вызывает показание корректированного по A уровня звука, указанное в руководстве по эксплуатации в качестве верхнего предела опорного диапазона шкалы.
Таблица C.1
Номинальные значения с предельными отклонениями
для относительного отклика корректированных по A
уровней звука с временной характеристикой I
на одиночный радиоимпульс частотой 4 кГц
Длительность радиоимпульса  , мс | Наибольшее показание для радиоимпульса минус показание для установившегося сигнала <a>, дБ | Предельные отклонения, дБ |
Класс |
1 | 2 |
20 | -3,6 | +/- 1,8 | +/- 2,3 |
5 | -8,8 | +/- 2,3 | +/- 3,3 |
2 | -12,6 | +/- 2,3 | - |
<a> Рассчитано по формуле  , где  - указанная длительность радиоимпульса, с;  - постоянная времени 0,035 с для временной характеристики I. |
C.3.2. Для шумомеров 1-го класса при изменении на 10 дБ уровня радиоимпульса длительностью 2 мс и частотой 4 кГц показания корректированного по A уровня звука с временной характеристикой I должны измениться на (10 +/- 1,3) дБ. Для шумомеров 2-го класса при изменении на 5 дБ уровня радиоимпульса длительностью 5 мс и частотой 4 кГц показания корректированного по A уровня звука с временной характеристикой I должны измениться на (5 +/- 1,3) дБ.
C.3.3. Для последовательностей синусоидальных электрических радиоимпульсов длительностью 5 мс и частотой 4 кГц с частотами повторения, приведенными в
таблице C.2, указаны соответствующие номинальные значения для наибольших корректированных по A уровней звука с временной характеристикой I относительно корректированных по A уровней звука, отображаемых для установившегося сигнала. Измеренные отклонения от номинальных значений, увеличенные на реальную расширенную неопределенность измерений, должны находиться в применимых предельных отклонениях. Радиоимпульсы должны извлекаться из синусоидального входного сигнала частотой 4 кГц, который вызывает показание корректированного по A уровня звука, указанное в руководстве по эксплуатации в качестве верхнего предела опорного диапазона шкалы.
Таблица C.2
Номинальные значения с предельными отклонениями
для относительного отклика корректированных по A уровней
с временной характеристикой I на последовательность
радиоимпульсов длительностью 5 мс и частотой 4 кГц
Частота повторения, Гц | Наибольший отклик на последовательность радиоимпульсов минус отклик на установившийся сигнал, дБ | Предельные отклонения, дБ |
Класс |
1 | 2 |
100 | -2,7 | +/- 1,3 | +/- 1,3 |
20 | -7,6 | +/- 2,3 | +/- 2,3 |
2 | -8,8 | +/- 3,3 | +/- 3,3 |
C.3.4. Для последовательности радиоимпульсов с частотой повторения 2 Гц при увеличении уровня сигнала на 5 дБ показания корректированного по A уровня звука с временной характеристикой I должны увеличиться на (5 +/- 1,3) дБ.
C.3.5. Скорость спада специального детектора сигнала, связанного с временной характеристикой I, должна испытываться путем внезапного отключения синусоидального электрического сигнала частотой 4 кГц и наблюдения того, что спад корректированного по A уровня звука с временной характеристикой I находится в применимых предельных отклонениях, указанных в
C.2.2. Входной синусоидальный сигнал должен быть настроен так, чтобы изначально отображать корректированный по A уровень звука, который указан в руководстве по эксплуатации в качестве верхнего предела опорного диапазона шкалы.
C.3.6. Шумомер должен удовлетворять рекомендациям
C.3.1 и
C.3.3 на интервалах в 10 дБ от корректированного по A уровня звука, указанного в руководстве по эксплуатации в качестве верхнего предела опорного диапазона шкалы, вниз до наименьшего уровня сигнала, который может отображаться.
(справочное)
СВЕДЕНИЯ О СООТВЕТСТВИИ ССЫЛОЧНЫХ МЕЖДУНАРОДНЫХ
(ЕВРОПЕЙСКИХ) СТАНДАРТОВ МЕЖГОСУДАРСТВЕННЫМ СТАНДАРТАМ,
ИСПОЛЬЗОВАННЫМ В НАСТОЯЩЕМ СТАНДАРТЕ
В КАЧЕСТВЕ НОРМАТИВНЫХ ССЫЛОК
Таблица ДА.1
Обозначение и наименование международного стандарта | Степень соответствия | Обозначение и наименование межгосударственного стандарта |
IEC 61000-4-2:1995. Электромагнитная совместимость. Часть 4: Методики испытаний и измерений. Раздел 2: Испытание на невосприимчивость к электростатическому разряду | MOD | ГОСТ 30804.4.2-2002 (МЭК 61000-4-2:1995). Совместимость технических средств электромагнитная. Устойчивость к электростатическим разрядам. Требования и методы испытаний |
IEC 61000-6-2:1999. Электромагнитная совместимость. Часть 6-2. Общие стандарты. Невосприимчивость к промышленной окружающей среде | MOD | ГОСТ 30804.6.2-2002 (МЭК 61000-6-2:1999). Совместимость технических средств электромагнитная. Устойчивость к электромагнитным помехам технических средств, применяемых в промышленных зонах. Требования и методы испытаний |
CISPR 16-1:1993. Технические требования к аппаратуре для измерения радиопомех и помехоустойчивости и методы измерений. Часть 1. Аппаратура для измерения радиопомех и помехоустойчивости | NEQ | ГОСТ 30847-2002. Совместимость технических средств электромагнитная. Приборы для измерения индустриальных радиопомех. Технические требования и методы испытаний |
Примечание. В настоящей таблице использованы следующие условные обозначения степени соответствия стандартов: - MOD - модифицированные стандарты; - NEQ - неэквивалентные стандарты. |
[1] МЭК 61012:1990 Фильтры для измерения слышимого звука
в присутствии ультразвука
(IEC 61012:1990) (Ed. 1.0 Filters for the measurement of
audible sound in the presence of ultrasound)
[2] МЭК 60050-801:1994 Международный электротехнический словарь.
Часть 801. Акустика и электроакустика
(IEC 60050(801):1994) (International Electrotechnical Vocabulary -
Chapter 801: Acoustics and electroacoustics)
[3] ИСО Международный словарь по основным и общим терминам в метрологии
(ISO Publication, ISBN 92-67-01075-1, International vocabulary
of basic and general terms in metrology)
[4] ИСО/МЭК Руководство по выражению неопределенности измерений
(ISO/IEC GUIDE EXPRESS: 1995, Guide to the expression of uncertainty
in measurement)
[5] МЭК 61252:2002 Электроакустика. Требования к персональным
дозиметрам
(IEC 61252:2002) (Ed. 1.1. Electroacoustics - Specifications
for personal sound exposure meters)
[6] МЭК 60651:2001 <*> Шумомеры
[7] МЭК 60804:2000 <*> Интегрирующие-усредняющие шумомеры
[8] МЭК 60942:2003 Электроакустика. Калибраторы акустические
(IEC 60942:2003) (Electroacoustics - Sound calibrators)
[9] ИСО 266:1997 Акустика. Предпочтительные частоты
(ISO 266:1997) (Acoustics - Preferred frequencies)
--------------------------------
<*> Заменен на МЭК 61672-1:2002.