Главная // Актуальные документы // ГОСТ Р (Государственный стандарт)СПРАВКА
Источник публикации
М.: Стандартинформ, 2019
Примечание к документу
Документ
введен в действие с 1 декабря 2019 года.
Название документа
"ГОСТ Р 53188.1-2019. Национальный стандарт Российской Федерации. Государственная система обеспечения единства измерений. Шумомеры. Часть 1. Технические требования"
(утв. и введен в действие Приказом Росстандарта от 23.04.2019 N 162-ст)
"ГОСТ Р 53188.1-2019. Национальный стандарт Российской Федерации. Государственная система обеспечения единства измерений. Шумомеры. Часть 1. Технические требования"
(утв. и введен в действие Приказом Росстандарта от 23.04.2019 N 162-ст)
Утвержден и введен в действие
агентства по техническому
регулированию и метрологии
от 23 апреля 2019 г. N 162-ст
НАЦИОНАЛЬНЫЙ СТАНДАРТ РОССИЙСКОЙ ФЕДЕРАЦИИ
ГОСУДАРСТВЕННАЯ СИСТЕМА ОБЕСПЕЧЕНИЯ ЕДИНСТВА ИЗМЕРЕНИЙ
ШУМОМЕРЫ
ЧАСТЬ 1
ТЕХНИЧЕСКИЕ ТРЕБОВАНИЯ
State system for ensuring the uniformity of measurements.
Sound level meters. Part 1. Specifications
(IEC 61672-1:2013, NEQ)
ГОСТ Р 53188.1-2019
Дата введения
1 декабря 2019 года
1 РАЗРАБОТАН Обществом с ограниченной ответственностью "Производственно-коммерческая фирма Цифровые приборы" (ООО "ПКФ Цифровые приборы")
2 ВНЕСЕН Техническим комитетом по стандартизации ТК 206 "Эталоны и поверочные схемы"
3 УТВЕРЖДЕН И ВВЕДЕН В ДЕЙСТВИЕ
Приказом Федерального агентства по техническому регулированию и метрологии от 23 апреля 2019 г. N 162-ст
4 В настоящем стандарте учтены основные нормативные положения международного стандарта МЭК 61672-1:2013 "Электроакустика. Шумомеры. Часть 1. Технические требования" (IEC 61672-1:2013 "Electroacoustics - Sound level meters - Part 1: Specifications", NEQ)
5 ВВЕДЕН ВПЕРВЫЕ
Правила применения настоящего стандарта установлены в статье 26 Федерального закона от 29 июня 2015 г. N 162-ФЗ "О стандартизации в Российской Федерации". Информация об изменениях к настоящему стандарту публикуется в ежегодном (по состоянию на 1 января текущего года) информационном указателе "Национальные стандарты", а официальный текст изменений и поправок -
в ежемесячном информационном указателе "Национальные стандарты". В случае пересмотра (замены) или отмены настоящего стандарта соответствующее уведомление будет опубликовано в ближайшем выпуске ежемесячного информационного указателя "Национальные стандарты". Соответствующая информация, уведомление и тексты размещаются также в информационной системе общего пользования -
на официальном сайте Федерального агентства по техническому регулированию и метрологии в сети Интернет (www.gost.ru)
Настоящий стандарт входит в комплекс стандартов на шумомеры ГОСТ Р 53188 редакции 2019 года в качестве его первой части. В частях 2 и 3 изложены методы испытаний в целях утверждения типа и методика поверки соответственно.
В настоящем стандарте, как и во второй редакции стандарта МЭК 61672-1, для оценки соответствия техническим требованиям используют критерии, которые отличаются от применявшихся в первой редакции международного стандарта.
В период с 1961 по 1985 гг. международные стандарты на шумомеры не содержали каких-либо требований или рекомендаций по учету неопределенности измерений при оценке соответствия техническим нормативам.
Такое отсутствие требований или рекомендаций приводило к двусмысленности при принятии решения о соответствии в ситуациях, когда измеренные отклонения от норматива были близки к границам интервала допустимых значений. Если решение о соответствии принималось только на основании факта выхода или невыхода измеренным отклонением за границы допустимого интервала, конечный пользователь рисковал получить шумомер, действительное отклонение которого от технических требований превышает допустимую величину.
Для того чтобы устранить эту двусмысленность, технический комитет МЭК ТК 29 на заседании в 1996 г. принял политику учета неопределенности измерений при подтверждении соответствия в тех международных стандартах, которые он готовит.
Первая редакция МЭК 61672-1-2002 г., как и
ГОСТ Р 53188.1-2008 (МЭК 61672-1:2002), реализовала идею учета неопределенности измерений с помощью двух явных критериев соответствия техническим требованиям. Эти два критерия следующие:
- измеренные отклонения от нормативов, увеличенные на расширенную неопределенность измерений, не превышают соответствующих предельных значений;
- расширенная неопределенность измерения не превышает согласованных максимальных величин. Для большинства технических характеристик предельные значения допустимых отклонений были рассчитаны путем увеличения конструкционно-производственных пределов приемки из международных стандартов на шумомеры 1979 и 1985 гг. на максимально разрешенную неопределенность измерений. Эти допустимые отклонения устанавливались так, чтобы представлять собой границы интервала допустимых значений действительного отклонения от норматива с вероятностью охвата 95%.
В настоящем стандарте, как и во второй редакции МЭК 61672-1:2013, используется измененный критерий оценки соответствия. Соответствие требованиям считается установленным, если (а) измеренные отклонения от нормативов не выходят за пределы допусков и (б) неопределенность измерений не превышает соответствующей максимально разрешенной неопределенности. Пределы допусков в данном стандарте аналогичны конструкционно-производственным допускам, которые были неявно использованы в первой редакции (2002 г.). Значения фактической и максимальной разрешенной неопределенности установлены для вероятности охвата 95%. Новый критерий оценки соответствия не требует внесения каких-либо изменений в конструкцию шумомера для удовлетворения требований настоящего стандарта.
Максимальная расширенная неопределенность измерений не эквивалентна неопределенностям, которые связаны с выполнением измерений уровней звука. Неопределенность измерений уровня звука рассчитывается с учетом предполагаемых отклонений электроакустических характеристик шумомера от нормативных значений, а также оценок неопределенности, обусловленной специфическими условиями измерений. При отсутствии дополнительной информации оценка вклада конкретного шумомера в общую неопределенность измерений может быть основана на значениях пределов допусков и максимальной разрешенной неопределенности, указанных в настоящем стандарте.
Настоящий стандарт устанавливает требования к электроакустическим характеристикам для приборов трех видов, предназначенных для измерения звука:
- обычный шумомер (шумомер со среднеквадратичным детектором), который измеряет уровень звука с экспоненциальной временной коррекцией;
- интегрирующий - усредняющий шумомер, который измеряет средние по времени (эквивалентные) частотно-корректированные уровни звука;
- интегрирующий шумомер, который измеряет частотно-корректированный уровень звукового воздействия.
Шумомеры, удовлетворяющие требованиям настоящего стандарта, имеют стандартизованную частотную характеристику при падении звуковой волны с заданного опорного направления в свободном звуковом поле.
Шумомеры, удовлетворяющие требованиям настоящего стандарта, предназначены для измерения слышимых звуков.
Примечание - Частотная коррекция AU может применяться для измерения A-корректированного уровня звука в присутствии источников, содержащих спектральные частотные компоненты выше 20 кГц.
Настоящий стандарт устанавливает две категории функционирования шумомеров: 1-го и 2-го классов. Требования для шумомеров 1-го и 2-го класса различаются пределами допусков и диапазоном рабочих температур. Пределы допусков для шумомеров 2-го класса больше или равны пределам допусков для шумомеров 1-го класса.
Стандарт распространяется на шумомеры различных конструкций. Шумомер может представлять собой отдельный портативный прибор с присоединенным микрофоном и встроенным индикатором. Шумомер может состоять из нескольких частей в едином или в нескольких корпусах и быть способным отображать множество различных видов уровней акустических сигналов. Шумомер может иметь аналоговую или цифровую обработку сигнала, раздельно или комбинированно, и множество аналоговых и цифровых выходов. Шумомер может содержать в своем составе компьютеры общего назначения, регистраторы, принтеры и иные устройства, являющиеся неотъемлемой частью прибора.
Шумомер может быть сконструирован для работы под управлением оператора или для автоматических непрерывных измерений уровней звука в отсутствие оператора. Требования настоящего стандарта к частотным характеристикам шумомера применяются без учета присутствия оператора в звуковом поле.
В настоящем стандарте использованы нормативные ссылки на следующие стандарты:
ГОСТ 30804.4.2 (IEC 61000-4-2:2008) Совместимость технических средств электромагнитная. Устойчивость к электростатическим разрядам. Требования и методы испытаний
ГОСТ 30804.6.2-2013 (IEC 61000-6-2:2005) Совместимость технических средств электромагнитная. Устойчивость к электромагнитным помехам технических средств, применяемых в промышленных зонах. Требования и методы испытаний
ГОСТ 30805.16.1.1 (CISPR 16-1-1:2006) Совместимость технических средств электромагнитная. Требования к аппаратуре для измерения параметров индустриальных радиопомех и помехоустойчивости и методы измерений. Часть 1-1. Аппаратура для измерения параметров индустриальных радиопомех и помехоустойчивости. Приборы для измерения индустриальных радиопомех
ГОСТ Р 53188.2 Государственная система обеспечения единства измерений. Шумомеры. Часть 2. Методы испытаний
ГОСТ Р 53188.3 Государственная система обеспечения единства измерений. Шумомеры. Часть 3. Методика поверки
ГОСТ Р МЭК 60942 Калибраторы акустические. Технические требования и требования к испытаниям
Примечание - При пользовании настоящим стандартом целесообразно проверить действие ссылочных стандартов в информационной системе общего пользования - на официальном сайте Федерального агентства по техническому регулированию и метрологии в сети Интернет или по ежегодному информационному указателю "Национальные стандарты", который опубликован по состоянию на 1 января текущего года, и по выпускам ежемесячного информационного указателя "Национальные стандарты" за текущий год. Если заменен ссылочный стандарт, на который дана недатированная ссылка, то рекомендуется использовать действующую версию этого стандарта с учетом всех внесенных в данную версию изменений. Если заменен ссылочный стандарт, на который дана датированная ссылка, то рекомендуется использовать версию этого стандарта с указанным выше годом утверждения (принятия). Если после утверждения настоящего стандарта в ссылочный стандарт, на который дана датированная ссылка, внесено изменение, затрагивающее положение, на которое дана ссылка, то это положение рекомендуется применять без учета данного изменения. Если ссылочный стандарт отменен без замены, то положение, в котором дана ссылка на него, рекомендуется применять в части, не затрагивающей эту ссылку.
В настоящем стандарте применены термины по
[1],
ГОСТ 30804.6.2, а также следующие термины с соответствующими определениями:
3.1 звуковое давление, Па: Разность между мгновенным суммарным давлением и соответствующим статическим давлением.
3.2 уровень звукового давления Lp, дБ: Десять десятичных логарифмов отношения среднего по времени квадрата звукового давления к квадрату опорного звукового давления.
Примечание - Значение опорного звукового давления принимается равным 20 мкПа.
3.3 частотная коррекция, дБ: Разность между уровнем частотно-корректированного сигнала, показываемым на устройстве отображения шумомера, и соответствующим уровнем установившегося синусоидального входного сигнала с постоянной амплитудой, выраженная как функция частоты.
Примечание - В межгосударственных стандартах по шуму и акустике английским терминам "A-weighted (или C-weighted)", означающим "стандартная частотная коррекция A (или C)", соответствуют термины "корректированный по A (или C)". Аналогично образуются термины для других видов стандартных частотных коррекций.
3.4 временная коррекция: Экспоненциальная функция времени со стандартной постоянной времени, которая применяется в качестве весовой функции для квадрата мгновенного звукового давления при операции усреднения по времени.
Примечание - Для обозначения режима работы шумомера с использованием стандартной временной коррекции, а также для индикации измеряемой при этом акустической величины используют термин "временная характеристика F (или S)".
3.5 уровень звука, корректированный уровень звука, дБ: Уровень корректированного по частоте квадрата звукового давления с учетом временной коррекции или усреднения по времени.
3.6 уровень звука с временной коррекцией: Десять десятичных логарифмов отношения усредненного с учетом временной коррекции квадрата звукового давления к квадрату опорного звукового давления.
Примечания
1 Для уровней звука, полученных с временными характеристиками F и S, рекомендуют следующие обозначения: LAF, LAS - для корректированных по A, LCF, LCS - для корректированных по C уровней звука.
2 В межгосударственных стандартах и национальных стандартах по акустике единицы измерения уровней звука, корректированные по A, обозначают дБА, корректированные по C - дБС.
3 Допускается вместо термина "корректированный по A (или C) уровень звука" применять термин "уровень звука A" (или "уровень звука C").
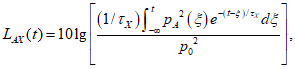
4 Корректированный по A уровень звука с временной коррекцией LAX(t) в произвольный момент времени t представляется формулой

(1)
где

- экспоненциальная постоянная времени для временных характеристик
F или
S, с;

- переменная интегрирования от некоторого времени в прошлом, которое обозначено

как нижний предел интегрирования, до времени наблюдения
t;

- мгновенное корректированное по
A звуковое давление;
P0 - опорное звуковое давление.
5 На рисунке 1 представлена последовательность обработки сигнала, описываемая
формулой (1).
┌───┐ ┌───┐ ┌───┐ ┌───┐ ┌───┐
│ а ├───>│ б ├───>│ в ├───>│ г ├───>│ д │
└───┘ └───┘ └───┘ └───┘ └───┘
а - входной сигнал с частотной коррекцией; б - возведение
в квадрат; в - применение фильтра низких частот с одним
действительным полюсом

(временная коррекция);
г - логарифмирование; д - представление результата
в децибелах относительно квадрата
опорного значения 20 мкПа
Рисунок 1 - Последовательность обработки сигнала
при формировании показаний уровня звука
с временной коррекцией
3.7 максимальный уровень звука с временной коррекцией, дБ: Наибольший на заданном интервале времени уровень звука с временной коррекцией.
Примечание - Рекомендуемые обозначения максимального уровня звука с временной коррекцией: LAFmax, LASmax, LCFmax, LCSmax для частотных коррекций A и C и временных характеристик F и S.
3.8 пиковое звуковое давление, Па: Наибольшее абсолютное значение мгновенного (отрицательного или положительного) звукового давления на заданном интервале времени.
Примечание - Пиковое звуковое давление может возникать как при положительном, так и отрицательном мгновенном звуковом давлении.
3.9 пиковый уровень звука, дБ: Десять десятичных логарифмов отношения квадрата пикового корректированного по частоте звукового давления к квадрату опорного значения.
Примечание - Опорное значение равно 20 мкПа.
3.10 средний по времени уровень звука, эквивалентный непрерывный уровень звука, дБ: Десять десятичных логарифмов отношения среднего по времени квадрата корректированного по частоте звукового давления на заданном временном интервале к квадрату опорного значения.
Примечания
1 Средний по времени корректированный по A уровень звука обозначают LAT или LAeqT и определяют формулой

(2)
где

- переменная интегрирования по интервалу времени усреднения, который заканчивается в момент времени наблюдения
t;
T - время усреднения;

- мгновенное корректированное по
A звуковое давление;
p0 - опорное звуковое давление, равное 20 мкПа.
2 Принципиально, что функция временной коррекции не используется в определении среднего по времени уровня звука.
3.11 звуковое воздействие, Па2·с: Интеграл по времени от квадрата звукового давления за указанный интервал времени или событие заданной продолжительности.
Примечания
1 Величина интервала интегрирования входит неявно в интеграл по времени и не всегда явно указывается, хотя это полезно делать для описания природы события. При измерениях звукового воздействия на фиксированном интервале времени продолжительность интегрирования обычно указывается в виде соответствующего нижнего индекса, например EA,1ч.
2 Корректированное по A звуковое воздействие EA,T вычисляют по формуле

(3)
где

- квадрат мгновенного корректированного по
A звукового давления на интервале времени
T, который начинается в момент времени
t1 и заканчивается в
t2.
3 Для таких приложений, как измерение шума на рабочем месте, звуковое воздействие удобнее выражать в Па2·ч, а не в Па2·с.
4 В стандартах допускается применять также эквивалентные термины: "доза шума" или "экспозиция".
3.12 уровень звукового воздействия, дБ: Десять десятичных логарифмов отношения звукового воздействия к опорному звуковому воздействию; опорное звуковое воздействие равно 400·1012 Па2с.
Примечания
1 Корректированный по A уровень звукового воздействия LAE,T связан с соответствующим средним по времени корректированным по A уровнем звука LAeq,T соотношением

(4)
где
EA,T - корректированное по
A звуковое воздействие на интервале времени
T, Па
2с [см.
формулу (3)];
E0 - опорное звуковое воздействие, равное (20 мкПа)2·(1 с) = 400·10-12 Па2·с;
T - интервал времени измерения, который начинается в момент времени t1 и заканчивается в t2;
T0 - опорное время для измерения уровня звукового воздействия, равное 1 с.
2 Средний по времени корректированный по A уровень звука LAeq,T для интервала времени T связан с соответствующим корректированным по A звуковым воздействием EA,T и (или) корректированным по A уровнем звукового воздействия, имевшего место на том же интервале, соотношением:

(5)
или

(6)
3.13 микрофон: Электроакустический преобразователь, с помощью которого из акустических колебаний получают электрический сигнал.
Примечание - В данной серии стандартов под микрофоном понимают сочетание капсюля конденсаторного микрофона с предусилителем, если капсюль не упоминается отдельно.
3.14 опорная точка микрофона: Точка, указанная на микрофоне или вблизи него, для описания положения микрофона.
Примечание - Опорной точкой может быть центр мембраны микрофона.
3.15 опорное направление: Направление извне на опорную точку микрофона, указываемое для определения характеристики направленности и частотной характеристики шумомера.
Примечание - Опорное направление может быть указано по отношению к оси симметрии.
3.16 угол падения звука, град: Угол между опорным направлением и прямой, соединяющей акустический центр источника звука с опорной точкой микрофона.
3.17 относительная характеристика направленности, дБ: Разность показания уровня звука при заданном угле падения и показания уровня звука той же частоты и того же источника для опорного направления падения, определяемая для любой частотной коррекции и любой частоты синусоидального звукового сигнала в заданной плоскости, содержащей главную ось микрофона.
3.18 коэффициент направленности: Мера отклонения характеристики направленности шумомера от идеальной характеристики направленности при равной чувствительности и всех возможных углах падения звука на микрофон.
Примечание - Коэффициент направленности является безразмерной величиной.
3.19 показатель направленности, дБ: Десять десятичных логарифмов коэффициента направленности.
3.20 относительная частотная характеристика по свободному полю, дБ: Определяемая как функция частоты разность между показанием корректированного по частоте среднего по времени уровня звука или уровня звука с временной коррекцией для плоской синусоидальной звуковой волны, падающей на микрофон в опорном направлении, и соответствующим средним по времени уровнем звука или уровнем звука с временной коррекцией в опорной точке микрофона шумомера от того же самого источника звука в отсутствие шумомера.
3.21 относительная частотная характеристика по диффузному полю, дБ: Определяемая как функция частоты разность между показанием корректированного по частоте среднего по времени уровня звука или уровня звука с временной коррекцией в диффузном звуковом поле и соответствующим средним по времени уровнем звука или уровнем звука с временной коррекцией в опорной точке микрофона шумомера от того же самого источника звука в отсутствие шумомера.
3.22 диапазон шкалы, дБ: Интервал номинальных уровней звука, измеряемых при определенном положении элементов управления шумомера.
3.23 опорный уровень звукового давления, дБ: Уровень звукового давления, установленный для испытания электроакустических характеристик шумомера.
3.24 опорный диапазон шкалы, дБ: Диапазон шкалы, указанный для испытания электроакустических характеристик шумомера и включающий в себя опорный уровень звукового давления.
3.25 частота проверки калибровки, дБ: Номинальная частота синусоидального звукового давления, создаваемого акустическим калибратором.
3.26 погрешность линейности уровня: Определяемая для заданной частоты разность показания уровня сигнала и значения ожидаемого уровня сигнала.
3.27 линейный рабочий диапазон, дБ: Определяемый для любого диапазона шкалы и заданной частоты интервал уровней звука, для которого погрешности линейности уровня не превышают пределов допуска, указанных в настоящем стандарте.
3.28 общий диапазон, дБ: Интервал корректированных по A уровней звука при отклике на синусоидальные сигналы от самого низкого уровня звука в наиболее чувствительном диапазоне шкалы до самого высокого уровня звука в наименее чувствительном диапазоне шкалы, которые могут быть измерены без индикации перегрузки или индикации слабого сигнала и без превышения пределов допусков, указанных в настоящем стандарте для погрешности линейности уровня.
3.29 радиоимпульс: Один или более полных периодов синусоидального сигнала, начинающихся и заканчивающихся в момент пересечения нулевого значения.
3.30 отклик на радиоимпульс, дБ: Разность максимального уровня звука с временной коррекцией или уровня звукового воздействия, измеренного при подаче радиоимпульса, и соответствующего уровня звука стационарного синусоидального сигнала, из которого был извлечен радиоимпульс.
3.31 опорная ориентация: Ориентация шумомера для испытаний с целью подтверждения соответствия требованиям настоящего стандарта по электромагнитной совместимости и электромагнитной восприимчивости.
3.32
вероятность охвата: Вероятность того, что совокупность истинных значений измеряемой величины находится в указанном интервале охвата. |
3.33 предел допуска; граница интервала приемки: Предписанные верхняя и нижняя границы допустимых значений измеряемой величины.
4 Опорные внешние условия
Опорные внешние условия для определения электроакустических характеристик шумомера:
- температура воздуха 23 °C;
- статическое давление 101,325 кПа;
- относительная влажность 50%.
Условия испытаний, близкие к опорным, называют также нормальными условиями.
5.1 Общие требования
5.1.1 Шумомер в целом представляет собой сочетание микрофона (микрофонного капсюля и предусилителя), устройства обработки сигналов и устройства отображения. Технические требования настоящего стандарта распространяются на любые конструкции микрофонов и предусилителей, которые являются подходящими для шумомеров.
Устройство обработки сигналов включает в себя комбинированные функции усилителя с нормированной частотной характеристикой, блока формирования квадрата частотно корректированного зависящего от времени звукового давления, а также временного интегратора или блока усреднения во времени. Обработка сигналов, необходимая для выполнения требований стандарта, является неотъемлемой частью шумомера.
В настоящем стандарте под устройством отображения понимается устройство физического и визуального представления либо сохранения результатов измерения. Любые сохраненные результаты измерения должны быть доступны для отображения посредством указанного изготовителем устройства, например компьютера с соответствующим программным обеспечением.
5.1.2 Технические требования настоящего раздела применяются при опорных внешних условиях, указанных в
разделе 4.
5.1.3 Для установления требований по электромагнитной совместимости и восприимчивости к воздействию радиочастотных полей шумомеры подразделяют на следующие три группы:
- шумомеры группы X: автономные приборы, которые включают в себя средства измерения уровня звука согласно настоящему стандарту, предусматривают для нормального режима работы питание от встроенной батареи и не требуют подключения к внешним устройствам для измерения уровней звука;
- шумомеры группы Y: автономные приборы, которые включают в себя средства измерения уровня звука согласно настоящему стандарту, предусматривают для нормального режима работы питание от внешней электросети и не требуют подключения к внешним устройствам для измерения уровней звука;
- шумомеры группы Z: приборы, включающие в себя средства измерения уровня звука согласно настоящему стандарту, для нормального режима работы которых требуется соединение двух или более отдельных устройств, являющихся неотъемлемой частью шумомера. Эти отдельные устройства могут функционировать как от внутренних батарей, так и от внешней электросети.
5.1.4 Конфигурация укомплектованного шумомера и его нормальный режим работы должны быть указаны в эксплуатационной документации. Если это требуется, конфигурация укомплектованного шумомера включает в себя ветрозащиту и другие устройства, располагаемые вблизи микрофона, в качестве составных частей для нормального режима работы.
5.1.5 Шумомер, о котором в эксплуатационной документации указано, что он является шумомером 1-го или 2-го класса, должен удовлетворять всем требованиям к шумомеру 1-го или 2-го класса соответственно, которые установлены в настоящем стандарте. Шумомер 2-го класса может обеспечивать некоторые возможности шумомера 1-го класса, но если какой-либо показатель соответствует только требованиям шумомера 2-го класса, его считают шумомером 2-го класса. Шумомер может быть определен как 1-го класса для одной конфигурации и как 2-го класса для другой конфигурации (например, с другим микрофоном или предусилителем).
5.1.6 В эксплуатационной документации должны быть указаны модели микрофонов, с которыми укомплектованный шумомер удовлетворяет требованиям 1-го или 2-го класса для звуковых волн, падающих на микрофон с опорного направления в свободном звуковом поле. Эксплуатационная документация должна содержать соответствующие процедуры использования (методики измерения) шумомером.
5.1.7 Эксплуатационная документация должна, если это применимо, указывать способы крепления микрофонного капсюля и предусилителя, обеспечивающие выполнение требований к характеристике направленности и частотным характеристикам. Для выполнения этих требований могут потребоваться удлинительные приспособления или кабели. В таком случае эксплуатационная документация должна указывать, что шумомер удовлетворяет требованиям к характеристике направленности и частотной характеристике только при установке определенных приспособлений.
5.1.8 Компьютерное программное обеспечение может быть составной частью шумомера. Эксплуатационная документация должна описывать способы, с помощью которых пользователь может идентифицировать версию программного обеспечения, установленного для функционирования шумомера.
5.1.9 Шумомер должен иметь частотную коррекцию A. Как минимум, обычный шумомер должен обеспечивать представление корректированного по A уровня звука с временной коррекцией F. Интегрирующий-усредняющий шумомер должен, как минимум, обеспечивать представление корректированного по A среднего по времени уровня звука. Интегрирующий шумомер должен, как минимум, обеспечивать представление корректированного по A уровня звукового воздействия. Шумомер может содержать любые или все функциональные возможности, для которых в настоящем стандарте установлены требования. Шумомер должен соответствовать техническим требованиям для функциональных возможностей, которые в нем реализованы.
5.1.10 Если шумомер имеет только индикацию уровня звукового воздействия, то средний по времени уровень звука должен определяться с помощью
формулы (6), где время усреднения равно интервалу интегрирования.
5.1.11 Шумомер 1-го класса должен также иметь частотную коррекцию C. Шумомеры, которые измеряют пиковые корректированные по C уровни звука, должны также быть способны измерять средние по времени корректированные по C уровни звука. Частотная коррекция Z является необязательной. В эксплуатационной документации должны быть приведены все реализованные в шумомере частотные коррекции.
Примечание - Соединение по аналоговому или цифровому выходу само по себе не является устройством отображения.
5.1.12 Шумомер может иметь более одного диапазона шкалы и соответствующий переключатель диапазонов. Эксплуатационная документация должна содержать информацию об идентификации диапазонов шкалы в виде нижнего и верхнего пределов для номинального корректированного по A уровня звука частоты 1 кГц, а), и в ней должна быть приведена инструкция по работе с переключателем диапазонов, б). В эксплуатационной документации должны быть приведены рекомендации по выбору оптимального диапазона шкалы для отображения результатов измерения уровня звука или уровня звукового воздействия.
5.1.13 Опорный уровень звукового давления, опорный диапазон шкалы и опорная ориентация должны быть указаны в эксплуатационной документации. Предпочтительно, чтобы опорный уровень звукового давления был 94 дБ. В эксплуатационной документации должно быть указано опорное направление для каждой модели микрофона, предназначенной для использования с шумомером. Положение опорной точки микрофона также должно быть указано.
Примечание - Уровень звукового давления 94 дБ соответствует приблизительно среднему по времени квадрату звукового давления 1 Па2 или среднеквадратичному звуковому давлению 1 Па.
5.1.14 Если шумомер измеряет максимальный уровень звука с временной коррекцией или пиковый уровень звука, в нем должен быть предусмотрен механизм удержания показаний. В эксплуатационной документации должны быть приведены описание работы механизма удержания и способы сброса показаний, которые он удерживает.
5.1.15 Для установления соответствия многим из требований настоящего стандарта используют электрические сигналы, которые должны быть эквивалентны сигналам с выхода микрофона. В зависимости от особенностей каждой определенной модели микрофона в эксплуатационной документации должны быть указаны нормативное значение и пределы допуска для каждой электрической характеристики устройства сопряжения или способ подачи сигналов на электрический вход предусилителя. Электрические характеристики включают в себя активную и реактивную составляющие выходного электрического импеданса устройства. Нормативное значение импеданса должно быть указано для частоты 1 кГц.
5.1.16 Микрофонный капсюль должен быть съемным для обеспечения подачи электрических тестовых сигналов на вход предусилителя.
5.1.17 В эксплуатационной документации должен быть указан наибольший уровень звукового давления и максимальный размах напряжения, которое можно подать на электрический вход предусилителя без повреждения шумомера.
5.1.18 Технические требования настоящего стандарта применимы к любым частотным и временным характеристикам, используемым как параллельно, так и к каждому независимому каналу многоканального шумомера, если таковые имеются. Многоканальный шумомер может иметь два или более микрофонных входа. В эксплуатационной документации должны быть приведены характеристики и описание работы каждого независимого канала.
5.1.19 Характеристики шумомера проверяют по истечении начального интервала времени стабилизации после включения. Начальное время стабилизации, указанное в эксплуатационной документации, не должно превышать 2 мин.
5.1.20 Пределы допусков измеренных отклонений от нормативных значений приведены в соответствующих подразделах.
Приложение А описывает соотношение между интервалами допустимых отклонений, соответствующих пределов допусков и максимальной разрешенной неопределенностью измерений.
5.1.21 Соответствие требованиям к функционированию подтверждается, когда выполнены два следующих критерия: а) измеренное отклонение от нормативного значения не выходит за пределы допуска, б) соответствующая неопределенность измерений не превышает максимальную разрешенную неопределенность измерений, указанную в
приложении Б для вероятности охвата 95%.
5.1.22
Приложение В содержит примеры оценки соответствия требованиям настоящего стандарта.
5.2 Регулировка на частоте проверки калибровки
5.2.1 По крайней мере одна модель акустического калибратора должна быть указана в эксплуатационной документации для проверки или регулировки общей чувствительности шумомера для оптимизации его электроакустического функционирования во всем диапазоне частот.
5.2.2 Акустический калибратор по
ГОСТ Р МЭК 60942 должен соответствовать требованиям: для шумомеров 1-го класса - акустический калибратор 1-го класса; для шумомеров 2-го класса - акустический калибратор 1-го или 2-го классов.
Примечание - Лабораторные эталонные калибраторы не пригодны для применений общего назначения с шумомерами, потому что их технические характеристики установлены в
ГОСТ Р МЭК 60942 только для ограниченного диапазона условий окружающей среды.
5.2.3 В эксплуатационной документации должна быть приведена инструкция по регулировке показаний шумомера, при использовании акустического калибратора, для получения требуемой индикации опорного уровня звукового давления в опорном диапазоне шкалы и частоты проверки калибровки от 160 Гц до 1250 Гц уровня.
5.2.4 Регулировочные поправки применяют для условий окружающей среды в диапазонах, как минимум, от 80 кПа до 105 кПа для статистического давления, от 20 °C до 26 °C для температуры воздуха и от 25% до 70% относительной влажности. Эти поправки должны применяться для микрофонов всех моделей, предусмотренных в эксплуатационной документации для использования с шумомером и для всех приспособлений, предоставляемых изготовителем шумомера для присоединения микрофона к прибору. Разброс значений этих регулировочных поправок в указанных выше диапазонах внешних условий должен учитываться при оценке соответствующей неопределенности.
5.2.5 Разница между регулировочными поправками, измеренными согласно
ГОСТ Р 53188.2, и регулировочными поправками, приведенными в эксплуатационной документации, должна находиться в пределах +/- 0,3 дБ.
5.3 Поправки к отображаемым уровням
5.3.1.1 Поправки на влияние различных явлений, приведенные в эксплуатационной документации, могут быть использованы для измерений уровня звука пользователем, а также при испытаниях работы шумомера.
5.3.1.2 Скорректированные результаты получают добавлением соответствующей поправки к отображаемым уровням.
ГОСТ Р 53188.2 содержит методы и критерии, которые следует использовать для принятия значений поправок при испытаниях в целях утверждения типа.
5.3.2 Отражения и дифракция
5.3.2.1 Для микрофонов всех моделей, указанных в эксплуатационной документации для использования в составе шумомера, в эксплуатационной документации должны быть приведены поправки и связанные с ними неопределенности на типовое влияние отражений и дифракции на корпусе шумомера. Эти поправки и неопределенности приводят для установки микрофона при нормальном режиме работы. Влияние отражений и дифракции определяют по отношению к частотной характеристике отдельно рассматриваемого микрофона.
5.3.2.2 Поправки на влияние отражений и дифракции и связанные с ними неопределенности измерений должны быть определены для вероятности охвата 95% и соответствующего коэффициента охвата.
5.3.3.1 Наряду с другими сведениями о поправках в эксплуатационной документации приводят поправки для типового влияния ветрозащиты на характеристику направленности и относительную частотную характеристику шумомера в свободном поле, по крайней мере, для опорного направления.
5.3.3.2 Данные о поправках на влияние ветрозащиты являются обязательными, если в эксплуатационной документации указано, что шумомер соответствует требованиям настоящего стандарта как в конфигурации с ветрозащитой, так и в конфигурации, которая не включает в себя ветрозащиту.
5.3.3.3 Если ветрозащита и связанные с ней элементы не являются симметричными относительно главной оси микрофона, дифракционные поправки на влияние ветрозащиты на характеристику направленности и частотную характеристику в свободном поле должны быть предоставлены для различных углов падения звука в соответствующих плоскостях, содержащих главную ось микрофона.
5.3.3.4 Разница между поправкой на ветрозащиту, измеренной согласно
ГОСТ Р 53188.2, и соответствующей поправкой, приведенной в эксплуатационной документации, не должна превышать пределов допуска, приведенных в таблице 1.
Таблица 1
Пределы допуска отклонения измеренной поправки
на ветрозащиту от соответствующей поправки
из эксплуатационной документации
Частота, кГц | Пределы допуска, дБ |
Класс |
1 | 2 |
От 0,063 до 2 | +/- 0,5 | +/- 0,5 |
От > 2 до 8 | +/- 0,8 | +/- 0,8 |
От > 8 до 12,5 | +/- 1,0 | ... |
От > 12,5 до 16 | +/- 1,5 | ... |
5.3.4 Формат представления данных о поправках
5.3.4.1 Данные о поправках и связанных с ними неопределенностях измерений должны быть представлены в эксплуатационной документации отдельно в табличной форме. Неопределенности, указанные в эксплуатационной документации, должны представлять собой действительные и реалистичные (ненулевые) значения, даже если сама поправка равна нулю.
5.3.4.2 Данные, требуемые в
5.3.1 -
5.3.3, должны быть представлены следующим образом:
- для шумомеров 1-го класса - в виде таблицы для частот, равных номинальным частотам 1/3-октавных интервалов от 63 Гц до 1 кГц и номинальным частотам 1/12-октавных интервалов в диапазоне от более 1 кГц до, как минимум, 16 кГц;
- для шумомеров 2-го класса - в виде таблицы для частот, равных номинальным частотам 1/3-октавных интервалов от 63 Гц до, как минимум, 8 кГц;
- поправки на типовое влияние ветрозащиты на частотную характеристику шумомера в свободном поле должны быть приведены в виде таблицы для частот, равных номинальным частотам 1/3-октавных интервалов от 1 кГц до 16 кГц для шумомеров 1-го класса и от 1 кГц до 8 кГц для шумомеров 2-го класса.
В
приложении Г приведены частоты для 1/3-октавных, 1/6-октавных и 1/12-октавных интервалов.
5.3.5 Поправки, используемые в процессе периодических испытаний и поверки
5.3.5.1 Если для периодических испытаний (в процессе поверки и т.п.) акустической характеристики шумомера используют многочастотный калибратор, камеру малого объема или электростатический возбудитель, в эксплуатационной документации приводят сведения о поправках для получения частотно-корректированных уровней звука, эквивалентных уровням, которые отображались бы при номинальных условиях окружающей среды в случае плоскопадающей в опорном направлении синусоидальной звуковой волны. Применимые поправки и связанные с ними неопределенности должны подтверждаться в ходе испытаний с целью утверждения типа средства измерения.
5.3.5.2 Сведения о поправках (см.
5.3.5.1) приводят, по крайней мере, для частот 125 Гц, 1 кГц и 8 кГц и применяют для указанных конфигураций шумомера (включая микрофон и предусилитель) и модели акустического калибратора, камеры малого объема или электростатического возбудителя. Эти поправки должны быть представлены для всех моделей микрофонов или комбинаций "микрофон-ветрозащита", которые по эксплуатационной документации используются с шумомером с соблюдением требований настоящего стандарта. Неопределенности для этих поправок должны быть представлены, по крайней мере, для упомянутых выше частот и конфигураций.
5.4 Характеристики направленности
5.4.1 Нормативом характеристики направленности на любой частоте в диапазоне шумомера является одинаковый отклик для всех углов падения звуковой волны. В
таблице 2 указаны пределы допуска для отклонений характеристики направленности от нормативной в виде пределов для максимального абсолютного значения разности между отображаемыми уровнями звука для двух углов падения звуковой волны внутри определенного углового сектора, охватывающего опорное направление.
Таблица 2
Пределы допуска для отклонения характеристики
направленности от норматива
Частота, кГц | Максимальное абсолютное значение разности между отображаемыми уровнями звука для любых двух углов падения внутри сектора,  градусов, относительно опорного направления, дБ |
| | |
Класс |
1 | 2 | 1 | 2 | 1 | 2 |
От 0,25 до 1,0 | 1,0 | 2,0 | 1,5 | 3,0 | 2,0 | 5,0 |
От 1 до 2 | 1,0 | 2,0 | 2,0 | 4,0 | 4,0 | 7,0 |
От 2 до 4 | 1,5 | 4,0 | 4,0 | 7,0 | 6,0 | 12,0 |
От 4 до 8 | 2,5 | 6,0 | 7,0 | 12,0 | 10,0 | 16,0 |
От 8,0 до 12,5 | 4,0 | ... | 10,0 | ... | 14,0 | ... |
5.4.2 Требования к характеристике направленности (см.
таблицу 2) применяют:
- к конфигурации шумомера, которая в эксплуатационной документации указана для нормального режима работы, или для тех блоков шумомера, которые предназначены для размещения в звуковом поле;
- для синусоидальных бегущих звуковых волн, распространяющихся под любым углом внутри обозначенных секторов, включающих в себя опорное направление, и в любой плоскости, содержащей главную ось микрофона.
5.4.3 Для любой частоты внутри нормируемого частотного диапазона (см.
таблицу 2) применяют требования к характеристике направленности для любой ориентации шумомера или его соответствующих блоков относительно опорного направления. Требования таблицы применяют для показаний любых корректированных по частоте уровней звука.
5.4.4 Для любой пары уровней звука, отображаемых при углах падения внутри секторов, и для любой частоты из соответствующего частотного диапазона измеренное максимальное абсолютное значение разности между отображаемыми уровнями звука не должно превышать указанных допустимых значений (см.
таблицу 2).
5.4.5 Если в эксплуатационной документации приведены подробные таблицы относительной характеристики направленности, то эту характеристику для шумомеров 1-го и 2-го классов приводят для номинальных частот 1/3-октавных полос от 250 Гц до 2 кГц включительно, затем для номинальных частот 1/6-октавных полос в диапазоне от более 2 кГц до 8 кГц. Для шумомеров 1-го класса приводят также характеристику направленности на номинальных частотах 1/12-октавных полос в диапазоне от более 8 кГц до 12,5 кГц. В
приложении Г приведены номинальные частоты 1/3-октавных, 1/6-октавных и 1/12-октавных полос. Для каждой частоты величины угловых интервалов в таблице относительной характеристики направленности не должны превышать 10 градусов.
5.5 Частотные коррекции
5.5.1 Нормативное значение всех частотных коррекций на частоте 1 кГц равно 0 дБ. В
приложении Д приведены аналитические выражения, которые можно использовать для вычисления частотных коррекций
C,
A и
Z.
5.5.2 В
таблице 3 приведены нормативные значения для частотных коррекций
A,
C и
Z, округленные до десятых децибела, а также соответствующие пределы допусков для шумомеров 1-го и 2-го классов. Приведенные в таблице 3 пределы допусков применяют для конкретного класса шумомеров с учетом регулировочных поправок для применяемого калибратора на частоте проверки калибровки при номинальных внешних условиях, как описано в
5.2.
Таблица 3
Частотные коррекции и пределы допуска
Номинальная частота, ГЦ | Частотные коррекции, дБ | Пределы допуска, дБ |
Класс |
A | C | Z | 1 | 2 |
10 | -70,4 | -14,3 | 0,0 | +3,0;  | +5,0;  |
12,5 | -63,4 | -11,2 | 0,0 | +2,5;  | +5,0;  |
16 | -56,7 | -8,5 | 0,0 | +2,0; -4,0 | +5,0;  |
20 | -50,5 | -6,2 | 0,0 | +/- 2,0 | +/- 3,0 |
25 | -44,7 | -4,4 | 0,0 | +2,0; -1,5 | +/- 3,0 |
31,5 | -39,4 | -3,0 | 0,0 | +/- 1,5 | +/- 3,0 |
40 | -34,6 | -2,0 | 0,0 | +/- 1,0 | +/- 2,0 |
50 | -30,2 | -1,3 | 0,0 | +/- 1,0 | +/- 2,0 |
63 | -26,2 | -0,8 | 0,0 | +/- 1,0 | +/- 2,0 |
80 | -22,5 | -0,5 | 0,0 | +/- 1,0 | +/- 2,0 |
100 | -19,1 | -0,3 | 0,0 | +/- 1,0 | +/- 1,5 |
125 | -16,1 | -0,2 | 0,0 | +/- 1,0 | +/- 1,5 |
160 | -13,4 | -0,1 | 0,0 | +/- 1,0 | +/- 1,5 |
200 | -10,9 | 0,0 | 0,0 | +/- 1,0 | +/- 1,5 |
250 | -8,6 | 0,0 | 0,0 | +/- 1,0 | +/- 1,5 |
315 | -6,6 | 0,0 | 0,0 | +/- 1,0 | +/- 1,5 |
400 | -4,8 | 0,0 | 0,0 | +/- 1,0 | +/- 1,5 |
500 | -3,2 | 0,0 | 0,0 | +/- 1,0 | +/- 1,5 |
630 | -1,9 | 0,0 | 0,0 | +/- 1,0 | +/- 1,5 |
800 | -0,8 | 0,0 | 0,0 | +/- 1,0 | +/- 1,5 |
1 000 | 0 | 0 | 0 | +/- 0,7 | +/- 1,0 |
1 250 | +0,6 | 0,0 | 0,0 | +/- 1,0 | +/- 1,5 |
1 600 | +1,0 | -0,1 | 0,0 | +/- 1,0 | +/- 2,0 |
2 000 | +1,2 | -0,2 | 0,0 | +/- 1,0 | +/- 2,0 |
2 500 | +1,3 | -0,3 | 0,0 | +/- 1,0 | +/- 2,5 |
3 150 | +1,2 | -0,5 | 0,0 | +/- 1,0 | +/- 2,5 |
4 000 | +1,0 | -0,8 | 0,0 | +/- 1,0 | +/- 3,0 |
5 000 | +0,5 | -1,3 | 0,0 | +/- 1,5 | +/- 3,5 |
6 300 | -0,1 | -2,0 | 0,0 | + 1,5; -2,0 | +/- 4,5 |
8 000 | -1,1 | -3,0 | 0,0 | + 1,5; -2,5 | +/- 5,0 |
10 000 | -2,5 | -4,4 | 0,0 | +2,0; -3,0 | +5,0;  |
12 500 | -4,3 | -6,2 | 0,0 | +2,0; -5,0 | +5,0;  |
16 000 | -6,6 | -8,5 | 0,0 | +2,5; -16,0 | +5,0;  |
20 000 | -9,3 | -11,2 | 0,0 | +3,0;  | +5,0;  |
Примечание - Частотные коррекции рассчитаны с использованием аналитических выражений приложения Д, в которых частота f вычислялась как f = ( fr[10 0,1(n-30)], где fr = 1000 Гц, n - целое в диапазоне от 10 до 43. Частотные коррекции округлены до десятых долей децибела. |
5.5.3 Для тех микрофонов, у которых опорное направление не совпадает с осью симметрии, измеренные характеристики для всех опорных направлений не должны превышать пределов допустимых значений (см.
таблицу 3).
5.5.4 Для той конфигурации шумомера, которая в эксплуатационной документации указана для нормального режима работы, требования к частотным коррекциям и пределам допустимых значений (см.
таблицу 3) применяют для частотной характеристики по свободному полю.
5.5.5 Для любой номинальной частоты (см.
таблицу 3) измеренные отклонения относительной частотно-корректированной характеристики в свободном поле от соответствующей нормативной частотной коррекции (см.
таблицу 3) или от рассчитанной в соответствии с
приложением Д не должны выходить за соответствующие пределы допуска.
5.5.6 Для частот, расположенных между двумя последовательными номинальными частотами (см.
таблицу 3), нормативные значения частотных коррекций
C или
A следует рассчитывать по
формулам (Д.1) или
(Д.6) приложения Д соответственно и округлять до десятых долей децибела.
5.5.7 Если шумомер обладает одной или более дополнительными частотными коррекциями, в эксплуатационной документации приводят нормативные значения для этих коррекций и пределы допусков для них.
5.5.8 Для стационарных синусоидальных входных электрических сигналов частоты 1 кГц измеренная разность между показаниями уровня корректированной по
C или по
Z измеренной величины и показаниями уровня соответствующей корректированной по
A измеренной величины не должна выходить за пределы +/- 0,2 дБ. Это требование применяется для опорного уровня звукового давления в опорном диапазоне шкалы. Это требование не применяется к показаниям пикового уровня звука.
5.6.1 Во всем общем диапазоне измеренный уровень сигнала должен быть линейной функцией уровня звукового давления на микрофоне. Требования к линейности уровня применяют к измерениям уровней звука с временной коррекцией, средних по времени (эквивалентных) уровней звука и уровней звукового воздействия.
5.6.2 Пределы допуска для отклонений от линейности уровней распространяются на измерения электрических сигналов, подаваемых на микрофонный предусилитель через соответствующее устройство.
5.6.3 В любом диапазоне шкалы на заданной частоте ожидаемый уровень сигнала должен определяться как сумма начального отображаемого уровня, указанного в эксплуатационной документации для опорного диапазона шкалы, и изменения уровня входного сигнала по отношению к тому значению, при котором отображаются показания начального уровня. Для частоты 1 кГц начальным отображаемым уровнем, с которого начинается испытание линейности, является опорный уровень звукового давления.
5.6.4 Для опорного диапазона шкалы величина линейного рабочего диапазона на частоте 1 кГц должна быть по меньшей мере 60 дБ.
5.6.5 Измеренные отклонения от линейности уровня не должны выходить за пределы +/- 0,8 дБ для шумомеров 1-го класса и +/- 1,1 дБ для шумомеров 2-го класса.
5.6.6 Любое изменение уровня входного сигнала от 1 до 10 дБ должно вызывать то же самое изменение отображаемого уровня звука. Измеренные отклонения от нормативного значения не должны выходить за пределы +/- 0,3 дБ для шумомеров 1-го класса и +/- 0,5 дБ для шумомеров 2-го класса.
5.6.7 Требования
5.6.5 и 5.6.6 применяют в общем диапазоне уровней для любой частоты в пределах частотного диапазона шумомера и для любой имеющейся частотной коррекции или частотной характеристики.
Примечание - Требования к линейности уровней применяют для частот, как минимум, от 16 Гц до 16 кГц для шумомеров 1-го класса и от 20 Гц до 8 кГц для шумомеров 2-го класса.
5.6.8 Если отклонение от линейности измеряют на низких частотах, то при оценке результатов испытаний следует принять во внимание эффект пульсаций, которые происходят при измерении синусоидальных сигналов с использованием временной коррекции F.
Примечание - На частоте 16 Гц этот эффект пульсаций приводит к флуктуациям отображаемого уровня примерно на +/- 0,2 дБ.
5.6.9 Для частоты 1 кГц линейные рабочие диапазоны соседних диапазонов шкалы шумомеров, измеряющих уровни звука с временной коррекцией, должны перекрываться, как минимум, на 30 дБ. Для шумомеров, измеряющих средние по времени уровни звука или уровни звукового воздействия, перекрытие должно быть, как минимум, 40 дБ.
5.6.10 В эксплуатационной документации для каждого диапазона шкалы должны быть указаны номинальные корректированные по
A,
C и
Z (при наличии) уровни звука для нижних и верхних границ линейных рабочих диапазонов, внутри которых уровни звука могут измеряться без появления индикации слабого сигнала или перегрузки. В эксплуатационной документации линейные рабочие диапазоны должны быть указаны для частот 31,5 Гц, 1 кГц, 4 кГц, 8 кГц и 12,5 кГц для шумомеров 1-го класса и 31,5 Гц, 1 кГц, 4 кГц, 8 кГц для шумомеров 2-го класса.
Примечание - Частоты, требуемые в
5.6.10, были выбраны для минимизации количества информации, предоставляемой в эксплуатационной документации, а также стоимости испытаний.
5.6.11 В эксплуатационной документации должны быть приведены значения начального уровня для частот, указанных в
5.6.10, с которого следует начинать испытания линейности в соответствующем диапазоне шкалы.
5.7.1 В эксплуатационной документации для наиболее чувствительных диапазонов шкалы приводят уровни звука, которые отображались бы, если бы шумомер был помещен в тихое звуковое поле, не вносящее значительный вклад по сравнению с собственным шумом прибора. Эти уровни звука должны соответствовать наивысшему ожидаемому уровню собственных шумов для каждой комбинации шумомера и микрофона, предусмотренной эксплуатационной документацией, включая прогнозируемые эффекты старения компонент.
5.7.2 В эксплуатационной документации приводят уровни собственных шумов для каждой доступной частотной коррекции в виде уровней звука с временной коррекцией или средних по времени уровней звука, в зависимости от типа шумомера.
5.7.3 В эксплуатационной документации для каждой доступной частотной коррекции также приводят наивысший ожидаемый уровень собственных шумов при замене микрофона (микрофонного капсюля) предусмотренным в документации электрическим эквивалентом с закороченным входом.
5.7.4 Уровни звука, указанные в эксплуатационной документации в качестве уровней собственных шумов, должны соответствовать опорным внешним условиям.
5.7.5 В эксплуатационной документации приводят процедуру измерения слабых уровней звука с учетом влияния собственных шумов.
5.8 Временные характеристики F и S
5.8.1 Нормативные значения постоянной времени составляют 0,125 с для временной коррекции
F и 1 с для временной коррекции
S. Нормативные значения скорости спада корректированных по времени уровней звука после внезапного прекращения стационарного синусоидального электрического входного сигнала частоты 4 кГц составляют 34,7 дБ/с для временной коррекции
F и 4,3 дБ/с для временной коррекции
S. Доступные временные коррекции должны быть в эксплуатационной документации.
Примечание - Обозначения F и S соответствуют английским словам "fast" (быстро) и "slow" (медленно).
5.8.2 Пределы допуска для отклонения скорости спада отображаемого уровня звука относительно нормативного значения спада составляют плюс 3,8 дБ/с, минус 3,7 дБ/с для временной коррекции
F и плюс 0,8 дБ/с, минус 0,7 дБ/с для временной коррекции
S. Эти требования применяют к любому диапазону шкалы.
5.8.3 Для стационарного синусоидального электрического сигнала частоты 1 кГц отклонение показаний корректированного по
A уровня звука с временной коррекцией
S и среднего по времени корректированного по
A уровня звука (при наличии) относительно показаний корректированного по
A уровня звука с временной коррекцией
F должны находиться в пределах +/- 0,1 дБ. Эти требования применяют для опорного уровня звукового давления в опорном диапазоне шкалы.
5.9 Отклик на радиоимпульс
5.9.1 Требования к измерению шумомером уровня звука переходного сигнала устанавливают для радиоимпульсов с частотой заполнения 4 кГц, подаваемых на электрический вход.
5.9.2 Для частотных коррекций
A,
C и
Z нормативные значения отклика на одиночный радиоимпульс с частотой заполнения 4 кГц приведены в таблице 4. Измеренные отклонения отклика на радиоимпульс относительно соответствующих нормативных значений должны находиться в пределах допустимых значений для указанных в таблице диапазонов длительности радиоимпульсов.
Таблица 4
Нормативные значения отклика на радиоимпульсы
с частотой заполнения 4 кГц и пределы допуска
Длительность радиоимпульса, Tb, мс | Нормативный отклик на радиоимпульс с частотой заполнения 4 кГц,  , относительно уровня стационарного сигнала, дБ | Пределы допуска, дБ |
для максимальных уровней звука с временными коррекциями F или S LAFmax - LA LCFmax - LC LZFmax - LZ; | для уровней звукового воздействия LAE - LA LCE - LC LZE - LZ; | Класс |
1 | 2 |
1 000 | 0,0 | 0,0 | +/- 0,5 | +/- 1,0 |
500 | -0,1 | -3,0 | +/- 0,5 | +/- 1,0 |
200 | -1,0 | -7,0 | +/- 0,5 | +/- 1,0 |
100 | -2,6 | -10,0 | +/- 1,0 | +/- 1,0 |
50 | -4,8 | -13,0 | +/- 1,0 | +1,0; -1,5 |
20 | -8,3 | -17,0 | +/- 1,0 | +1,0; -2,0 |
10 | -11,1 | -20,0 | +/- 1,0 | +1,0; -2,0 |
5 | -14,1 | -23,0 | +/- 1,0 | +1,0; -2,5 |
2 | -18,0 | -27,0 | +1,0; -1,5 | +1,0; -2,5 |
1 | -21,0 | -30,0 | +1,0; -2,0 | +1,0; -3,0 |
0,5 | -24,0 | -33,0 | +1,0; -2,5 | +1,0; -4,0 |
0,25 | -27,0 | -36,0 | +1,0; -3,0 | +1,5; -5,0 |
| LASmax - LA LCSmax - LC LZSmax - LZ; | |
1 000 | -2,0 | | +/- 0,5 | +/- 1,0 |
500 | -4,1 | +/- 0,5 | +/- 1,0 |
200 | -7,4 | +/- 0,5 | +/- 1,0 |
100 | -10,2 | +/- 1,0 | +/- 1,0 |
50 | -13,1 | +/- 1,0 | +1,0; -1,5 |
20 | -17,0 | +1,0; -1,5 | +1,0; -2,0 |
10 | -20,0 | +1,0; -2,0 | +1,0; -3,0 |
5 | -23,0 | +1,0; -2,5 | +1,0; -4,0 |
2 | -27,0 | +1,0; -3,0 | +1,0; -5,0 |
Примечания 1 Для целей настоящего стандарта и для шумомеров, измеряющих уровни звука с временной коррекцией, нормативное значение отклика на радиоимпульс с частотой заполнения 4 кГц  для максимальных уровней звука с временной коррекцией определяют по формуле  (7) где Tb - заданная длительность радиоимпульса, с, например из графы 1;  - стандартная постоянная времени, указанная в 5.8.1; e - число e (основание натурального логарифма). Формулу (7) применяют к одиночным радиоимпульсам с частотой заполнения 4 кГц. 2 Для целей настоящего стандарта и для интегрирующих и усредняющих-интегрирующих шумомеров нормативное значение отклика на радиоимпульс с частотой заполнения 4 кГц  для уровней звукового воздействия определяется формулой  (8) где Tb - заданная длительность радиоимпульса, с, например из графы 1; T0 - опорное значение, равное 1 для уровня звукового воздействия. 3 Нормативные значения отклика на радиоимпульс с частотой заполнения 4 кГц действительны для частотных коррекций A, C и Z. Для других частотных коррекций могут быть иные нормативные значения отклика на радиоимпульсы. |
5.9.3 Нормативные значения отклика на радиоимпульс и пределы допустимых значений (см.
таблицу 4) применяют также к усредняющим-интегрирующим шумомерам, не имеющим индикации уровня звукового воздействия. Для них уровни звукового воздействия для отклика на радиоимпульс рассчитывают с помощью
формулы (4) по измеренным средним по времени (эквивалентным) уровням звука для соответствующего времени усреднения. Интервал усреднения принимают при этом равным времени, отображаемому шумомером. Этот интервал должен включать в себя событие радиоимпульса.
5.9.4 Для любой длительности радиоимпульса (см.
таблицу 4), попадающей между двумя соседними длительностями, нормативное значение отклика определяют по
формулам (7) или
(8) в зависимости от временной характеристики. В качестве пределов допуска принимают соответствующие пределы допуска более короткого радиоимпульса.
5.9.5 Нормативные значения откликов на радиоимпульс и соответствующие пределы допустимых значений применяют для любой длительности радиоимпульсов в диапазоне, приведенном в
таблице 4, в опорном диапазоне шкалы и для определенного диапазона уровней входных стационарных сигналов. Диапазон уровней стационарных входных сигналов частоты 4 кГц, из которых выделяются радиоимпульсы, находится между уровнем, при котором показания на 3 дБ ниже верхней границы линейного рабочего диапазона, и уровнем, при котором показания на 10 дБ выше заданной нижней границы. Измеренные отклонения отклика на радиоимпульс относительно нормативных значений не должны выходить за пределы допуска при условии, что радиоимпульс вызывает показания по меньшей мере на 10 дБ выше ожидаемого корректированного по
A уровня собственных шумов, как указано в
5.7.3.
5.9.6 Индикация перегрузки не должна появляться в процессе любых измерений отклика на радиоимпульс во всем диапазоне входных сигналов, указанных в
5.9.5.
5.10 Отклик на повторяющиеся радиоимпульсы
5.10.1 Требования к отклику на повторяющиеся радиоимпульсы применяют для частотной коррекции
A, а также для коррекций
C и
Z (при наличии) и для любой последовательности радиоимпульсов с частотой заполнения 4 кГц равной амплитуды и равной длительности. Измеренные отклонения средних по времени уровней звука относительно средних по времени уровней, рассчитанных для последовательности радиоимпульсов, не должны выходить за пределы допуска (см.
таблицу 4) для отклика уровня звукового воздействия на радиоимпульс.
5.10.2 Требования к отклику на повторяющиеся радиоимпульсы применяют в опорном диапазоне шкалы для радиоимпульсов длительностью от 0,25 мс до 1 с и амплитудами, соответствующими уровням входного стационарного сигнала частоты 4 кГц от точки "минус 3 дБ" относительно заданной верхней границы линейного рабочего диапазона на частоте 4 кГц до точки "+10 дБ" относительно нижней границы линейного рабочего диапазона.
5.10.3 Для любой общей длительности измерения разница

, в децибелах, между теоретическим средним по времени уровнем звука серии
n радиоимпульсов, извлеченных из стационарного синусоидального сигнала частоты 4 кГц, и средним по времени уровнем звука стационарного синусоидального сигнала определена по формуле

(9)
где Tb - длительность радиоимпульсов, с;
Tm - общая длительность измерения, с.
5.11 Индикация перегрузки
5.11.1 Шумомер должен иметь индикатор перегрузки, который должен работать в каждом применяемом устройстве отображения шумомера. В эксплуатационной документации описывают порядок работы и методы интерпретации индикации перегрузки.
5.11.2 Состояние перегрузки должно отображаться до превышения пределов допустимых значений для линейности уровня или отклика на радиоимпульс при уровнях звука выше верхней границы линейного рабочего диапазона. Данное требование применяют для любых диапазонов шкалы и для любой частоты от 31,5 Гц до 12,5 кГц для шумомеров 1-го класса или от 31,5 Гц до 8 кГц для шумомеров 2-го класса.
5.11.3 Индикатор перегрузки должен срабатывать как при положительных, так и отрицательных полупериодных сигналах, полученных из стационарного синусоидального электрического сигнала. Полученные полупериодные сигналы должны начинаться и заканчиваться нулевым значением. Разница между уровнями приводящих к первой индикации перегрузки входных сигналов с положительным и отрицательным полупериодами не должна превышать 1,5 дБ.
5.11.4 Если шумомер используют для измерения уровней звука с временной коррекцией F или S, индикация перегрузки должна отображаться до тех пор, пока сохраняется состояние перегрузки, или 1 с, исходя из того, что больше.
5.11.5 Если шумомер измеряет средние по времени (эквивалентные) уровни звука или уровни звукового воздействия, индикатор перегрузки должен включаться в состояние удержания в момент возникновения состояния перегрузки. Состояние удержания индикации перегрузки должно сохраняться до сброса результатов измерений. Требование к удержанию индикации перегрузки применяется также к измерениям максимальных уровней звука с временной коррекцией, пиковых уровней звука и иных величин, рассчитываемых на временном интервале измерения или отображаемых по истечении этого интервала.
5.12 Индикация слабого сигнала
5.12.1 Для всех диапазонов шкалы индикация слабого сигнала должна отображаться, когда измеряемый уровень звука с временной коррекцией, средний по времени уровень звука или уровень звукового воздействия меньше нижней границы соответствующего линейного рабочего диапазона.
5.12.2 Индикация слабого сигнала должна отображаться, по крайней мере, до тех пор, пока существует состояние слабого сигнала, или в течение 1 с, исходя из того, что больше. В эксплуатационной документации должна быть описана работа и интерпретация индикации слабого сигнала.
Примечание - Индикация слабого сигнала не всегда обусловлена собственными шумами микрофона (см.
5.7), поскольку требования к отклонениям от линейности уровня применяют к измерениям электрических сигналов, подаваемых на предусилитель через подходящее входное устройство (см.
5.6).
5.13 Корректированный по C пиковый уровень звука
5.13.1 Шумомеры могут отображать корректированные по C пиковые уровни звука. Для каждого диапазона шкалы в эксплуатационной документации указывают номинальный диапазон корректированных по C пиковых уровней звука, в котором разница между показанием корректированного по C пикового уровня звука и корректированного по C уровня соответствующего стационарного сигнала не выходит за пределы допуска. По крайней мере для опорного диапазона шкалы диапазон индикации пиковых уровней звука должен быть не менее 40 дБ. В пределах нормируемых диапазонов корректированные по C уровни звука должны отображаться без индикации перегрузки.
Примечание - Корректированные по Z пиковые уровни звука не являются эквивалентом корректированных по C пиковых уровней звука.
5.13.2 Требования к показаниям корректированных по C уровней звука установлены для отклика на электрические сигналы, представляющие собой один полный период, один положительный и один отрицательный полупериоды синусоиды. Эти однопериодные и полупериодные сигналы следует создавать из стационарных синусоидальных сигналов и подавать на вход предусилителя. Однопериодные и полупериодные сигналы должны начинаться и заканчиваться нулевым значением.
5.13.3 Измеренное отклонение разности между показанием корректированного по
C уровня звука
LCpeak и соответствующим показанием корректированного по
C уровня звука стационарного сигнала
LC относительно нормативного значения разности не должно выходить за пределы допустимых значений, приведенных в таблице 5.
Таблица 5
Нормативные значения разности корректированных
по C уровней звука и пределы допуска
Количество циклов (периодов) тестового сигнала | Номинальная частота тестового сигнала, Гц | Нормативное значение LCpeak - LC, дБ | Пределы допусков, дБ |
Класс |
1 | 2 |
один | 31,5 | 2,5 | +/- 2,0 | +/- 3,0 |
один | 500 | 3,5 | +/- 1,0 | +/- 2,0 |
один | 8 000 | 3,4 | +/- 2,0 | +/- 3,0 |
положительный полупериод | 500 | 2,4 | +/- 1,0 | +/- 2,0 |
отрицательный полупериод | 500 | 2,4 | +/- 1,0 | +/- 2,0 |
Примечание - Точное значение частоты тестового сигнала, соответствующее указанной номинальной частоте, приведено в
приложении Г.
5.14 Стабильность измерений при непрерывной работе
5.14.1 Шумомер должен обеспечивать непрерывную работу в умеренном звуковом поле без значительных измерений чувствительности. Для оценки стабильности измерений при непрерывной работе следует использовать разность между корректированными по A уровнями звука, отображаемыми при подаче стационарного электрического сигнала частоты 1 кГц в начале и в конце 30-минутного интервала работы шумомера. Для каждого отображаемого значения уровень входного электрического сигнала должен быть таким, какой требуется для отображения уровня звука, соответствующего опорному уровню звукового давления в опорном диапазоне шкалы.
5.14.2 Измеренная разность между начальным и конечным показаниями корректированного по
A уровня звука не должна выходить за пределы +/- 0,1 дБ для шумомеров 1-го класса или +/- 0,3 дБ для шумомеров 2-го класса. В качестве отображаемого уровня может выступать средний по времени уровень звука, уровень звука с временной коррекцией
F или
S, в зависимости от наличия.
5.15 Стабильность измерения высоких уровней
| | ИС МЕГАНОРМ: примечание. Текст дан в соответствии с официальным текстом документа. | |
5.15.1 Шумомер должен обеспечивать непрерывную работу при высоком уровне звука без значительных измерений чувствительности. Для оценки стабильности измерения высоких уровней следует использовать разность между корректированными по A уровнями звука, отображаемыми при подаче стационарного электрического сигнала частоты 1 кГц в начале и в конце 5-минутного интервала воздействия сигнала. Уровень входного электрического сигнала должен быть таким, какой требуется для отображения уровня звука на 1 дБ ниже верхней границы линейного рабочего диапазона для частоты 1 кГц в наименее чувствительном диапазоне шкалы.
5.15.2 Измеренная разность между начальным и конечным показаниями корректированного по
A уровня звука не должна выходить за пределы +/- 0,1 дБ для шумомеров 1-го класса или +/- 0,3 дБ для шумомеров 2-го класса. В качестве отображаемого уровня может выступать средний по времени уровень звука, уровень звука с временной коррекцией
F или
S, в зависимости от наличия.
5.16 Сброс
5.16.1 Шумомеры, предназначенные для измерения среднего по времени уровня звука, уровня звукового воздействия, максимального уровня звука с временной коррекцией и частотно-корректированного пикового уровня звука, должны иметь функцию сброса (очистки буфера данных и перезапуска измерения).
5.16.2 Применение функции сброса не должно приводить к ложным показаниям на устройстве отображения шумомера или в сохраняемых данных.
5.17 Пороги
Если в интегрирующем-усредняющем или в интегрирующем шумомере имеется функция настройки пользователем пороговых значений, в эксплуатационной документации приводят описание характеристик порогов и способа работы с ними при измерениях средних по времени уровней звука и уровней звукового воздействия.
5.18 Устройство отображения
5.18.1 Измеряемая шумомером в данный момент акустическая величина должна быть ясно обозначена на устройстве отображения или с помощью элементов управления. Эти обозначения должны быть описаны в эксплуатационной документации и должны содержать частотную коррекцию, временную коррекцию или время усреднения в зависимости от типа величины. Обозначения могут быть выполнены посредством подходящего буквенного символа или аббревиатуры. Примеры соответствующих буквенных символов даны в определениях, формулах и таблицах настоящего стандарта.
5.18.2 Устройство (устройства) отображения должно быть описано в эксплуатационной документации и должно позволять проводить измерения с разрешением не хуже 0,1 дБ в диапазоне индикации, как минимум, 60 дБ.
5.18.3 Для цифровых устройств отображения, которые обновляют показания через периодические интервалы времени, при каждом обновлении показаний должно отображаться значение выбранной пользователем величины, соответствующей моменту времени обновления. Значения других величин также могут отображаться при обновлении показаний; в таком случае отображаемые величины должны быть описаны в эксплуатационной документации.
5.18.4 Если шумомер имеет цифровой индикатор, то в эксплуатационной документации должны быть указаны темп обновления показаний, а также условия, при которых после запуска измерений отображаются первые значимые данные.
5.18.5 Если результаты измерений подаются на цифровой выход, эксплуатационная документация должна содержать описание способа передачи или выгрузки цифровых данных на внешний накопитель или на внешнее устройство отображения. Компьютерное программное обеспечение и аппаратные средства такого интерфейса должны быть идентифицированы.
5.18.6 Каждое дополнительное устройство отображения, указанное в эксплуатационной документации как соответствующее требованиям настоящего стандарта, является составной частью шумомера. Каждое такое дополнительное устройство должно быть включено в состав блоков шумомера, подлежащих подтверждению требованиям данного раздела, а также применимым требованиям к влиянию условий окружающей среды
раздела 6.
5.19 Аналоговый и цифровой выход
5.19.1 Если шумомер имеет аналоговый или цифровой выход, то их характеристики должны быть описаны в эксплуатационной документации. Для аналоговых выходов эти характеристики должны включать в себя частотную характеристику, диапазон уровней выходного сигнала, внутренний электрический импеданс и рекомендуемый диапазон импеданса нагрузки.
5.19.2 Подсоединение к аналоговому выходу любой пассивной нагрузки без накопленной электрической энергии, в том числе короткозамкнутой цепи, не должно влиять на результаты текущего измерения более чем на 0,1 дБ.
5.19.3 Если ни аналоговый, ни цифровой выход не предусмотрены для общего применения шумомера, то какой-то выход обязательно должен быть предоставлен для испытания характеристик шумомера 1-го класса и может быть предоставлен для испытания шумомера 2-го класса.
5.19.4 Для стационарных синусоидальных электрических сигналов любой частоты в диапазоне частот шумомеров 1-го или 2-го классов нормативное значение разности между показаниями на устройстве отображения и соответствующими уровнями на аналоговом или цифровом выходе для частотных коррекций A, C и Z и любого уровня входного сигнала в пределах линейного рабочего диапазона любого диапазона шкалы составляет 0,0 дБ с пределами допуска +/- 0,1 дБ.
5.20 Встроенные часы и таймер
5.20.1 Шумомер 1-го класса, отображающий средний по времени уровень звука или уровень звукового воздействия, должен быть способен показывать истекшее время в конце интервала интегрирования или эквивалентное ему показание интервала интегрирования звукового воздействия. Функция предварительной установки времени усреднения (интервала интегрирования) также может быть предоставлена. Рекомендуемые значения предварительно задаваемых интервалов усреднения - 10 с, 1 мин, 5 мин, 10 мин, 30 мин, 1 ч, 8 ч и 24 ч. Календарное время может также отображаться. Если шумомер может отображать календарное время, то номинальный уход календарного времени на суточном интервале должен быть указан в эксплуатационной документации. При наличии соответствующей функции эксплуатационная документация должна содержать описание предварительной установки времени усреднения и календарных часов.
5.20.2 Для уровней сигнала в пределах отображаемого диапазона должны быть указаны минимальное и максимальное времена усреднения или интегрирования для измерений средних по времени уровней звука или уровней звукового воздействия, соответственно.
5.21 Радиочастотные электромагнитные излучения и кондуктивные помехи в сети электропитания
5.21.1 Если конструкция шумомера предусматривает подключение интерфейсных или коммутационных кабелей, то в эксплуатационной документации должны быть указаны длины и виды типовых кабелей (например, экранированные или неэкранированные), а также характеристики всех устройств, к которым эти кабели предполагается подключать.
5.21.2 Квазипиковый уровень напряженности радиочастотного электрического поля, излучаемого портом корпуса шумомера, не должен превышать 30 дБ для частот от 30 МГц до 230 МГц и 37 дБ для частот от 230 МГц до 1 ГГц. Для частоты 230 МГц применяется предел 30 дБ. Уровни напряженности поля в децибелах определены по отношению к опорному значению 1 мкВ/м. Настоящие требования применяют для полностью собранных шумомеров групп X или Y на расстоянии 10 м от порта корпуса. В эксплуатационной документации указывают режимы работы шумомера, а также любых подсоединенных к нему устройств, при которых производится наиболее сильное радиочастотное излучение.
Примечание - Под портом корпуса понимается физическая граница шумомера, через которую могут излучаться или восприниматься электромагнитные поля.
5.21.3 Для шумомеров групп
Y и
Z максимальные кондуктивные помехи, излучаемые в сеть электропитания, не должны превышать на сетевом порте шумомера пределов квазипиковых и средних уровней напряжения, приведенных в
таблице 6. Если квазипиковые уровни максимальных кондуктивных помех, излучаемых шумомером в сеть электропитания, не превышают пределов для средних уровней напряжения, то шумомер считается удовлетворяющим пределам для квазипиковых и средних уровней напряжения.
Таблица 6
Пределы для кондуктивных помех,
излучаемых в сеть электропитания
Диапазон частот, МГц | Пределы уровней напряжения помех (отн. 1 мкВ), дБ |
Квазипиковые уровни | Средние уровни |
От 0,15 до 0,50 | 66 - 56 | 56 - 46 |
От 0,50 до 5 | 56 | 46 |
От 5 до 30 | 60 | 50 |
Для граничных частот применяют более низкие пределы уровней напряжения. В диапазоне частот от 0,15 МГц до 0,50 МГц пределы уровней напряжения уменьшаются с частотой на 20 десятичных логарифмов частоты. Примечание - В ГОСТ 30805.16.1.1 приведены характеристики квазипиковых измерительных приемников. |
5.22 Перекрестные помехи
5.22.1 На перекрестные помехи или взаимопроникновение сигналов между парами каналов необходимо обращать внимание в многоканальных шумомерах.
5.22.2 Для многоканальных шумомеров 1-го или 2-го классов и для любой частоты от 10 Гц до 20 кГц разность между а) показаниями уровня на устройстве отображения при стационарном сигнале, подаваемом через соответствующее приспособление электрического входа на один канал и отрегулированном так, чтобы отображаемый уровень совпадал с верхней границей линейного рабочего диапазона, и б) соответствующим уровнем, отображаемым для любого другого канала, должна быть не менее 70 дБ. При этом на входы каналов, на которые сигнал не подается, должны быть установлены указанные в эксплуатационной документации закороченные электрические эквиваленты микрофона.
5.23 Электропитание
5.23.1 Должна быть предусмотрена индикация того, что напряжение питания достаточно для работы шумомера в соответствии с требованиями настоящего стандарта.
5.23.2 В эксплуатационной документации должны быть указаны максимальное и минимальное напряжения питания, при которых шумомер соответствует требованиям стандарта. При присоединении акустического калибратора к микрофону шумомера изменение отображаемого уровня звука при уменьшении напряжения питания от максимального до минимального предела не должно превышать +/- 0,1 дБ для шумомеров 1-го класса и +/- 0,2 дБ для шумомеров 2-го класса.
5.23.3 Если для питания шумомера используют встроенные батареи, то рекомендуемые типы батарей должны быть указаны в эксплуатационной документации и на самом приборе, если это возможно.
5.23.4 В эксплуатационной документации должно быть указано время непрерывной работы, которое ожидается для указанного нормального режима работы шумомера от полностью заряженных установленных батарей при номинальных внешних условиях.
5.23.5 Для шумомеров с питанием от встроенных батарей и имеющих возможность отображать уровни звука на временном интервале, превышающем номинальное время работы батареи, в эксплуатационной документации приводят описание рекомендуемых способов работы шумомера от внешнего источника питания.
5.23.6 Для шумомеров, которые предназначены для работы от внешней электросети переменного тока, в эксплуатационной документации должны указывать номинальные напряжение и частоту источника питания, а также соответствующие пределы допустимых значений.
6 Влияние внешних условий электростатических и электромагнитных полей
6.1 Общие положения
6.1.1 Шумомер должен соответствовать всем требованиям
раздела 6 при его использовании по назначению. При подаче акустических сигналов на микрофон ветрозащиту снимают, если это возможно.
6.1.2 Требования к влиянию внешних рабочих условий применяют к шумомеру, который включен и настроен на типовое выполнение измерений. В эксплуатационной документации указывают интервал времени, необходимый для акклиматизации шумомера после изменений внешних условий.
6.1.3 Требования к влиянию изменений атмосферного давления, температуры и относительной влажности воздуха установлены для показаний уровней звука при использовании акустического калибратора с частотой в диапазоне от 160 Гц до 1250 Гц. Влияние изменений атмосферного давления, температуры и относительной влажности воздуха на уровень звукового давления калибратора должно быть известно.
6.1.4 Комбинации значений температуры и относительной влажности, при которых точка росы лежит выше +39 °C или ниже -15 °C, не используют для подтверждения соответствия требованиям стандарта.
6.2 Статическое давление
6.2.1 Отклонение показаний уровня звука при статическом (атмосферном) давлении в диапазоне от 85 кПа до 108 кПа относительно показаний при опорном статическом давлении должно находиться в пределах +/- 0,4 дБ для шумомеров 1-го класса или +/- 0,7 дБ для шумомеров 2-го класса.
6.2.2 Отклонение показаний уровня звука при статическом (атмосферном) давлении в диапазоне от 65 кПа до 85 кПа (не включая 85 кПа) относительно показаний при опорном статическом давлении должно находиться в пределах +/- 0,9 дБ для шумомеров 1-го класса или +/- 1,6 дБ для шумомеров 2-го класса. В эксплуатационной документации должны быть приведены руководство и процедуры по использованию шумомера в местах или в условиях со статическим давлением ниже 85 кПа.
Примечание - Частотная характеристика микрофона может зависеть от статического давления. Применение звукового калибратора для настройки чувствительности шумомера не предоставляет никакой информации о влиянии атмосферного давления на частотную характеристику.
6.3 Температура воздуха
6.3.1 Влияние изменений температуры воздуха на измеряемый уровень сигнала нормирован в диапазоне температур от -10 °C до +50 °C для шумомеров 1-го класса и от 0 °C до +40 °C для шумомеров 2-го класса. Диапазоны температур устанавливают для шумомера в сборе.
6.3.2 Для тех блоков шумомера (например, компьютера), которые согласно эксплуатационной документации предназначены для работы только в замкнутом пространстве с контролируемыми внешними условиями (например, внутри помещения), диапазон температур воздуха может быть ограничен интервалом от +5 °C до +35 °C. Ограниченный диапазон температур не распространяется на микрофон.
6.3.3 Измеренные отклонения показаний уровня звука при любой температуре относительно показаний при опорной температуре воздуха не должны выходить за пределы +/- 0,5 дБ для шумомеров 1-го класса и +/- 1,0 дБ для шумомеров 2-го класса. Это требование применяют для соответствующих диапазонов температур, которые приведены в
6.3.1 и
6.3.2, и любых относительных влажностей в пределах диапазонов, указанных в
6.4.
6.3.4 Измеренные значения отклонения линейности на частоте 1 кГц в заданном линейном рабочем диапазоне опорного диапазона шкалы не должны выходить за пределы допуска, установленные в
5.6. Настоящее требование к линейности уровня применяют для диапазонов температур воздуха, указанных в
6.3.1 или
6.3.2, при относительной влажности в пределах +/- 20% от опорной относительной влажности.
Измеренные отклонения показаний уровня звука при любой относительной влажности от показаний при опорной относительной влажности воздуха не должны выходить за пределы +/- 0,5 дБ для шумомеров 1-го класса и +/- 1,0 дБ для шумомеров 2-го класса. Это требование применяют для относительной влажности воздуха от 25% до 90% и для любой температуры в пределах применимых диапазонов по
6.3.1 или
6.3.2 с учетом ограничений на точку росы, оговоренных в
6.1.4.
6.5 Электростатический разряд
6.5.1 Шумомер или система многоканального шумомера должны продолжать функционировать в соответствии со своим назначением после воздействия контактного электростатического разряда с напряжением до +/- 4 кВ и воздушного электростатического разряда с напряжением до +/- 8 кВ. Полярность электростатического напряжения указана относительно земли. Методика воздействия электростатическими разрядами приведена в
ГОСТ 30804.4.2.
6.5.2 Воздействие электростатических разрядов, указанных в
6.5.1, не должно приводить к необратимому ухудшению функционирования или к потере работоспособности шумомера. Работоспособность шумомера может быть временно снижена или утрачена из-за электростатических разрядов, если это указано в эксплуатационной документации. Оговоренные в документации снижение или утрата работоспособности не должны включать в себя какие-либо изменения рабочего состояния, изменения конфигурации шумомера, повреждение или утрату сохраненных ранее данных.
6.6 Электромагнитные поля сетевой частоты и радиочастотные поля
6.6.1 Воздействие полей сетевой частоты и электромагнитных радиочастотных излучений не должно приводить к изменениям рабочего состояния и конфигурации шумомера, а также к повреждению или утрате сохраненных ранее данных. Это требование распространяется на весь шумомер в сборе, на его соответствующие составные части или на систему многоканального шумомера и на любые режимы работы, присущие обычному функционированию. Для проверки этого требования следует выбирать режимы работы шумомера и любых присоединяемых устройств, при которых, согласно эксплуатационной документации, имеет место наименьшая устойчивость к воздействию полей сетевой частоты и радиочастотных излучений.
6.6.2 Требования устойчивости к воздействию полей сетевой частоты должны применяться к воздействию однородного магнитного поля частотой 50 Гц со среднеквадратичным значением напряженности 80 А/м.
6.6.3 Требования к воздействию полей сетевой частоты применяют для ориентации шумомера в пространстве, при которой, согласно эксплуатационной документации, устойчивость к такого рода воздействиям является наименьшей.
6.6.4 Требования устойчивости к воздействию радиочастотных полей должны применяться для излучений с несущей частотой от 26 МГц до 1 ГГц. Сигнал несущей частоты должен быть амплитудно-модулирован стационарным синусоидальным сигналом частоты 1 кГц с глубиной модуляции 80%. Немодулированное радиочастотное излучение в отсутствие шумомера должно быть однородным и иметь среднеквадратичное значение напряженности электрического поля 10 В/м.
6.6.5 Дополнительно испытания устойчивости к воздействию радиочастотных излучений должны охватывать частотный диапазон от 1,4 ГГц до 2,0 ГГц со среднеквадратичным значением напряженности электрического поля немодулированного сигнала 3 В/м при синусоидальной амплитудной модуляции 1 кГц с глубиной 80%, а также частотный диапазон от более 2,0 ГГц до 2,7 ГГц со среднеквадратичным значением напряженности электрического поля немодулированного сигнала 1 В/м при синусоидальной амплитудной модуляции 1 кГц с глубиной 80%. Шумомер может соответствовать требованиям настоящего стандарта при более высоком среднеквадратичном значении напряженности электрического поля немодулированного сигнала. В таком случае это значение указывают в эксплуатационной документации.
6.6.6 Устойчивость шумомера к воздействию электромагнитных полей сетевой частоты и радиочастотных излучений проверяют при синусоидальном акустическом сигнале частоты 925 Гц, подаваемом на микрофон. При включенном поле сетевой частоты или радиочастотном излучении источник звука должен быть отрегулирован таким образом, чтобы шумомер отображал корректированные по
A уровни звука 74 дБ +/- 1 дБ для временной коррекции
F или для линейного временного усреднения. Уровень звука должен отображаться в диапазоне шкалы, нижняя граница которого является ближайшей, но не превышает 70 дБ, если шумомер имеет более одного диапазона шкалы. Если шумомер может отображать только уровни звукового воздействия, то соответствующие средние по времени уровни звука рассчитывают по
формуле (6) для применяемого времени усреднения.
6.6.7 Измеренные отклонения отображаемого уровня звука относительно показаний уровня в отсутствие полей сетевой частоты или радиочастотных излучений должны находиться в пределах +/- 1,0 дБ для шумомеров 1-го класса и +/- 2,0 дБ для шумомеров 2-го класса.
6.6.8 Для шумомеров групп
Y или Z, имеющих вход для подключения к сети переменного тока и (или) выход сети переменного тока, проверяют устойчивость к кондуктивным помехам, наведенным радиочастотными электромагнитными полями в диапазоне частот от 0,15 МГц до 80 МГц. Радиочастотное поле должно быть амплитудно модулировано синусоидальным сигналом частотой 1 кГц при глубине модуляции 80%. Среднеквадратичное значение напряжения немодулированного сигнала, излучаемого источником с выходным импедансом 150 Ом, должно быть 10 В. В соответствии с ГОСТ 30804.6.2-2013
(таблица 4) устойчивость к перепадам напряжения питания проверяют для сигналов с пиковым напряжением 2 кВ и частотой повторения 5 кГц. Дополнительные требования, приведенные в ГОСТ 30804.6.2-2013 (см.
таблицу 4), также распространяются на устойчивость к провалам напряжения, прерываниям напряжения и к микросекундным импульсным помехам большой энергии.
6.6.9 Для шумомеров группы
Z, имеющих сигнальные или контрольные порты, требования ГОСТ 30804.6.2-2013
(таблица 2) применяют при проверке устойчивости к кондуктивным помехам, наведенным радиочастотными электромагнитными полями в диапазоне частот от 0,15 МГц до 80 МГц, для среднеквадратичного значения напряжения немодулированного сигнала 10 В, если длина соединительного кабеля между частями шумомера превышает 3 м. Требования по устойчивости к влиянию наносекундных импульсных помех в сети питания по ГОСТ 30804.6.2-2013
(таблица 2) применяют при проверке сигналов с пиковым напряжением 2 кВ и частотой следования импульсов 5 кГц.
6.6.10 В эксплуатационной документации допускается указывать о соответствии шумомера требованиям настоящего стандарта по устойчивости к воздействию радиочастотных излучений при уровнях звука ниже 74 дБ. В этом случае измеренные отклонения отображаемого уровня звука относительно показаний уровня в отсутствие радиочастотных излучений не должно выходить за пределы допусков по
6.6.6 для уровней звука, меньших 74 дБ, вплоть до установленного нижнего уровня. Устойчивость проверяют на используемых диапазонах шкалы и ко всем нормируемым показателям такого типа.
6.7 Механическая вибрация
Микрофоны, применяемые в составе шумомера, часто чувствительны к воздействию механической вибрации. У микрофонов емкостного типа вибрационная чувствительность обычно максимальна для направления воздействия по нормали к плоскости мембраны. В эксплуатационной документации приводят рекомендации по способам минимизации влияния механических вибраций на показания уровней звука и предупреждение о том, что механическая вибрация с частотой в пределах частотного диапазона шумомера может оказывать значительное влияние на показания уровней звука вблизи нижней границы диапазона измерений.
7 Требования к использованию шумомера с дополнительными устройствами
7.1 Изготовитель шумомера может предоставлять по дополнительному заказу удлинительное устройство или кабель для установки между микрофоном и предусилителем либо между предусилителем и иными частями шумомера. При наличии такого устройства или кабеля в эксплуатационной документации приводят сведения о любого рода поправках, которые следует учитывать в результатах измерений подобным способом.
7.2 В эксплуатационной документации приводят сведения о типовом влиянии на электроакустические характеристики дополнительных принадлежностей, поставляемых изготовителем шумомера. Эти сведения приводят для всех характеристик шумомера, которые могут быть затронуты при установке таких принадлежностей: ветровой и дождевой защиты. Для любого рекомендованного типа ветрозащиты должны быть предоставлены сведения о ее типовом влиянии в отсутствие ветра на чувствительность микрофона, характеристику направленности и частотную характеристику.
7.3 В эксплуатационной документации указывают о соответствии шумомера требованиям настоящего стандарта для того же самого класса в случае установки дополнительной принадлежности. Если шумомер с установленной дополнительной принадлежностью не соответствует требованиям исходного класса, в этом случае в эксплуатационной документации указывают о соответствии требованиям другого класса.
7.4 При наличии внешних или внутренних полосовых фильтров для спектрального анализа звукового давления в эксплуатационной документации приводят описание способа применения шумомера для измерения уровней звукового давления в частотных полосах этих фильтров.
7.5 В эксплуатационной документации приводят описание схемы подсоединения дополнительных устройств к шумомеру, предоставляемых изготовителем, и какое влияние они оказывают, если оказывают, на электроакустические характеристики шумомера.
8.1 Шумомер, соответствующий требованиям настоящего стандарта, должен иметь маркировку, показывающую номер стандарта и год его публикации. Маркировка должна идентифицировать поставщика, ответственного за обеспечение технических характеристик шумомера в полном комплекте. Маркировка шумомера должна включать в себя обозначение модели и серийного номера. Обозначение класса полностью укомплектованного шумомера, определяемого по требованиям настоящего стандарта, может быть размещено на самом шумомере либо показано на его индикаторе.
8.2 Если шумомер состоит из нескольких отдельных блоков, то все основные блоки должны иметь маркировку согласно
8.1, если это реализуемо.
9 Эксплуатационная документация
9.1 Общие положения
Эксплуатационная документация должна поставляться с каждым шумомером, который соответствует требованиям настоящего стандарта.
а) Эксплуатационная документация должна содержать все сведения, которые требуются в
разделах 4,
5,
6,
7. Она также должна содержать сведения, требуемые в
9.2 и
9.3.
б) Если шумомер состоит из нескольких отдельных блоков, то должна быть предоставлена эксплуатационная документация для их комбинации, которая образует шумомер в полном комплекте. В эксплуатационной документации должны быть приведены описания всех необходимых компонентов и их взаимное влияние.
в) Эксплуатационная документация должна быть предоставлена в виде напечатанного или готового к распечатке документа в одной или более частях.
9.2 Сведения об эксплуатации
В эксплуатационной документации приводят следующие сведения об эксплуатации, насколько это применимо к конкретному шумомеру.
9.2.1 Общие сведения
а) Описание вида шумомера, классификация по группам (X, Y, Z) восприимчивости к воздействию электромагнитных излучений, обозначение класса (1-го или 2-го) в соответствии с требованиями настоящего стандарта. Если это актуально, описание конфигураций шумомера, которые соответствуют требованиям 1-го или 2-го классов.
б) Описание укомплектованного шумомера и его конфигурации для нормального режима работы, включая ветрозащиту и соответствующие приспособления при их наличии. Это описание должно включать в себя способ установки микрофона с указанием дополнительных принадлежностей, а также процедуру установки ветрозащиты на микрофон. К дополнительным принадлежностям относятся удлинительное устройство или кабель, которые могут потребоваться для того, чтобы конкретный шумомер удовлетворял требованиям настоящего стандарта.
в) Указание модели микрофонов, с которыми шумомер соответствует требованиям 1-го или 2-го классов для звуковой волны, падающей в опорном направлении в свободном звуковом поле.
г) При необходимости использования удлинительного устройства или кабеля, указание на то, что шумомер соответствует требованиям к характеристике направленности и к частотной характеристике только при установке оговоренного устройства или кабеля.
д) Характеристики и работа каждого независимого канала шумомера.
е) Рекомендации по способам минимизации влияния механической вибрации на показания уровней звука и предупреждение о том, что механическая вибрация может повлиять на показания уровней вблизи нижней границы диапазона измерений для частот в пределах частотного диапазона шумомера.
9.2.2 Конструктивные особенности
а) Описание акустических величин, которые шумомер может измерять с использованием каждого устройства отображения, например уровень звука с временной коррекцией, средний по времени (эквивалентный) уровень звука, уровень звукового воздействия, по отдельности или в комбинациях, а также объяснение всех сокращений, буквенных символов и пиктограмм, которые показываются на устройстве отображения.
б) Детальное табличное представление характеристики направленности шумомера, сконфигурированного для нормального режима работы, как функции частоты и угла падения синусоидальной плоской падающей звуковой волны в свободном поле по отношению к соответствующим характеристикам при падении волны в свободном поле в опорном направлении (представление характеристики направленности возможно ограничить ссылкой на соответствие подходящим требованиям настоящего стандарта).
в) Описание частотных коррекций, которые соответствуют требованиям настоящего стандарта.
г) Описание доступных временных коррекций.
д) Обозначение диапазонов шкалы посредством номинальных корректированных по A уровней звука нижней и верхней границ линейных рабочих диапазонов для частоты 1 кГц.
е) Описание работы переключателя диапазонов шкалы.
ж) Описание всех устройств отображения, включая режимы работы и доступные темпы обновления показаний цифровых индикаторов. При наличии нескольких устройств отображения, указание на то, какие из них обеспечивают работу шумомера в соответствии с требованиями настоящего стандарта, а какие предназначены для других целей.
и) Полный диапазон корректированных по A уровней звука, которые могут быть измерены при частоте сигнала 1 кГц без нарушения соответствующих пределов допусков.
к) Диапазон корректированных по C пиковых уровней звука, при наличии таковых, которые могут быть измерены в каждом диапазоне шкалы.
л) Способы идентификации всего программного обеспечения, которое является частью шумомера при его функционировании.
м) Информация о нормативных характеристиках и пределах допусков для величин, которые шумомер может измерять, но для которых в настоящем стандарте отсутствуют требования. К таким показателям относятся дополнительные частотные коррекции.
9.2.3 Электропитание
а) Рекомендации для шумомеров с питанием от встроенных батарей - рекомендации о допустимых типах элементов питания и номинальной продолжительности непрерывной работы для нормальной работы шумомера с установленными полностью заряженными батареями при нормальных внешних условиях.
б) Способ контроля того, что напряжения питания достаточно для функционирования шумомера в соответствии с требованиями настоящего стандарта.
в) Описание способов работы от внешнего источника питания для шумомеров с питанием от встроенной батареи, которые способны измерять уровни звука на временном интервале, превышающем номинальное время автономной работы.
г) Указание номинального среднеквадратичного значения и частоты сети переменного тока с пределами допусков для шумомеров, предназначенных для работы от внешней сети.
9.2.4 Сведения о проверке и регулировке калибровочных параметров
а) Указание модели акустического калибратора, которую можно использовать для проверки и настройки требуемых показаний шумомера при нормальных внешних условиях.
б) Значение частоты проверки калибровки.
в) Методика проверки, а также сведения о регулировке показаний шумомера при подключении к рекомендуемому акустическому калибратору. Эти процедура и сведения должны применяться для опорного уровня звукового давления на частоте проверки калибровки в опорном диапазоне шкалы.
9.2.5 Сведения о поправках к отображаемым уровням
а) Отдельные таблицы с поправками и связанными с ними неопределенностями измерения (допускается выносить подобные сведения в обособленные части эксплуатационной документации, описывающие конкретные методики измерения).
б) Должны быть предоставлены поправки на типовое влияние отражений от корпуса шумомера и на влияние дифракции вокруг микрофона для опорных внешних условий.
в) Поправки на усредненное влияние ветрозащиты на характеристику направленности и на относительную частотную характеристику шумомера для опорного направления падения звука, если это применимо.
г) Поправки, применяемые в ходе поверки или периодических испытаний, для определения эквивалентных уровней по свободному полю, если эксплуатационная документация рекомендует использовать многочастотный акустический калибратор, камеру сравнения или электростатический возбудитель для оценки электроакустической характеристики.
9.2.6 Порядок применения шумомера
а) Опорное направление.
б) Методика измерения звука, распространяющегося в опорном направлении, в том числе рекомендации по минимизации влияния корпуса прибора и оператора, при наличии таковых, при измерении звука.
в) Методики измерения низких уровней звука в наиболее чувствительном диапазоне шкалы с учетом влияния собственных шумов.
г) Время от включения шумомера, предварительно пришедшего в термодинамическое равновесие с окружающей средой, до момента готовности прибора к выполнению измерений уровней звука.
д) Инструкции и методики измерения уровней звука в местах со статическим давлением от 65 кПа до менее 85 кПа.
е) Процедура предварительной установки времени усреднения или интервала интегрирования, а также календарного времени, при наличии этих функций.
ж) Минимальное и максимальное время усреднения для измерений средних по времени уровней звука, минимальных и максимальных интервалов интегрирования для измерений уровней звукового воздействия, в зависимости от типа шумомера.
и) Описание функции удержания показаний и способов сброса удерживаемых показаний.
к) Описание функции обнуления результатов измерения среднего по времени уровня звука, уровня звукового воздействия, максимального уровня звука с временной коррекцией и пикового уровня звука. Сведения о том, сбрасывает ли функция обнуления индикацию перегрузки.
л) Описание работы и объяснение индикации перегрузки и слабого сигнала, а также способов сброса этой индикации.
м) Характеристики и описание работы любых устанавливаемых пользователем пороговых значений для измерения среднего по времени уровня звука и уровня звукового воздействия.
н) Способ передачи или выгрузки цифровых данных на внешний накопитель или устройство отображения, а также идентификационные сведения о программном и аппаратном обеспечении для выполнения этих действий.
п) Для шумомеров, обеспечивающих подключение интерфейсных или коммуникационных кабелей, рекомендации по типовым длинам и видам кабелей (например, экранированный или неэкранированный), а также описание характеристик устройств, к которым эти кабели можно подключать.
р) При наличии электрических выходов частотная коррекция, диапазон среднеквадратичных значений напряжения синусоидального выходного сигнала, внутренний электрический импеданс на выходе и рекомендуемый диапазон импеданса нагрузки.
9.2.7 Сведения о принадлежностях
а) Описание типового влияния в отсутствие ветра на соответствующие характеристики шумомера: рекомендованных ветрозащиты, дождевой защиты или иных приспособлений, надеваемых на микрофон, которые предоставляются или рекомендуются эксплуатационной документацией для использования с шумомером. К таким характеристикам относятся характеристика направленности и частотные характеристики. Сведения о том, какому классу соответствует шумомер при установке таких принадлежностей, либо указание на то, что шумомер в этом случае не соответствует ни 1-му классу, ни 2-му классу.
б) Поправки к результатам измерения или процедуры, которые следует выполнять, при установке дополнительных удлинительных устройств или кабелей между выходом предусилителя и другими частями шумомера.
в) Сведения о использовании шумомера в комплекте с полосовыми фильтрами.
г) Сведения о подключении к шумомеру предоставляемых изготовителем дополнительных устройств и о влиянии этих устройств на характеристики шумомера.
9.2.8 Влияние внешних условий
а) Указание частей шумомера, предназначенных для работы только в местах с контролируемыми условиями окружающей среды.
б) Сведения о влиянии электростатических разрядов на функционирование шумомера. Уведомление о возможности временного ухудшения или прекращения функционирования шумомера, если такое имеет место, вследствие воздействия электростатическими разрядами. Для шумомеров, обслуживание которых предполагает доступ пользователя к внутренним частям, предупреждение о мерах предосторожности от повреждения прибора электростатическими разрядами (при необходимости).
в) Указание о соответствии шумомера требованиям стандарта по устойчивости к воздействию электромагнитных полей сетевой частоты и радиочастотных излучений. В качестве альтернативы могут быть представлены сведения для всех подходящих диапазонов шкалы об уровнях звука с временной коррекцией F или средних по времени уровнях звука, меньших 74 дБ, для которых шумомер соответствует требованиям настоящего стандарта по воздействию электромагнитных полей промышленной частоты и радиочастотных излучений.
9.3 Информация для испытаний
Эксплуатационная документация должна содержать следующую информацию для испытаний шумомера:
а) Опорный уровень звукового давления.
б) Опорный диапазон шкалы.
в) Опорная точка микрофона для моделей микрофонов, которые предусмотрены для использования в составе шумомера.
г) Сведения о поправках к показаниям корректированных по A уровней звука: 1) при воздействии звукового давления многочастотного акустического калибратора, 2) при использовании камеры сравнения или 3) при использовании электростатического возбудителя, которые следует учитывать для получения корректированных по A уровней звука, соответствующих показаниям для плоской звуковой волны, распространяющейся в свободном поле в опорном направлении. Сведения о поправках и связанные с ними значения расширенной неопределенности должны предоставляться, по крайней мере, для тех частот, которые требуются для периодических испытаний или поверки. Модели акустического калибратора, камеры сравнения, электростатического возбудителя, для которых действительны значения поправок, должны быть указаны.
д) Таблицы номинальных корректированных по A уровней звука, соответствующих верхней и нижней границам линейного рабочего диапазона в каждом диапазоне шкалы. Уровни звука должны быть представлены в этих таблицах, по крайней мере, для частот 31,5 Гц, 1 кГц, 4 кГц, 8 кГц, 12,5 кГц для шумомеров 1-го класса и 31,5 Гц, 1 кГц, 4 кГц, 8 кГц для шумомеров 2-го класса. Рекомендуется также предоставлять таблицы номинальных уровней для всех частотных коррекций, имеющихся в шумомере.
е) Начальный уровень проверки линейности для каждой частоты, для которой указаны корректированные по A уровни звука верхней и нижней границ линейных рабочих диапазонов в опорном диапазоне шкалы. Для частоты 1 кГц начальный уровень должен совпадать с опорным уровнем звукового давления.
ж) Электрические характеристики входных адаптеров или приспособлений (с пределами допуска), используемых в качестве эквивалентов микрофонов, определенных в эксплуатационной документации, для подачи электрических сигналов на вход микрофонного предусилителя.
и) Уровни звука с временной коррекцией или средние по времени уровни звука (в зависимости от типа шумомера), соответствующие наивысшему ожидаемому уровню показаний прибора, размещенного в акустическом поле с низким уровнем шумов, для каждой модели микрофона, с которой шумомер заявлен удовлетворяющим требованиям настоящего стандарта. Наивысшие ожидаемые уровни собственных шумов должны быть также указаны для случая замены микрофона соответствующим электрическим эквивалентом с правильно закороченным входом (согласно эксплуатационной документации). Уровни собственных шумов должны быть указаны для наиболее чувствительного диапазона шкалы. Уровни собственных шумов должны быть указаны для каждой доступной частотной коррекции. Интервал усреднения среднего по времени (эквивалентного) уровня звука должен быть указан и должен быть не менее 30 с.
к) Максимальный уровень звукового давления на микрофоне и максимальный размах напряжения на входе предусилителя, которые может воспринять шумомер без повреждения, для каждой модели микрофона, с которой шумомер заявлен соответствующим требованиям настоящего стандарта.
л) Максимальное и минимальное напряжения электропитания, при которых шумомер удовлетворяет требованиям настоящего стандарта.
м) Типичный временной интервал, требуемый для акклиматизации шумомера после изменения условий окружающей среды.
н) Среднеквадратичное значение напряженности немодулированного электрического поля, для которого шумомер удовлетворяет требованиям настоящего стандарта (если это значение превышает стандартную нормативную величину напряженности поля).
п) Режим (режимы) работы шумомера и любых присоединенных к нему устройств, при котором генерируется наиболее сильное радиочастотное излучение, с указанием диапазона шкалы. Описание конфигураций шумомера, которые создают такое же или более слабое радиочастотное излучение.
р) Режим (режимы) работы шумомера и любых присоединенных к нему устройств, для которого имеет место наибольшая восприимчивость к воздействию электромагнитных полей сетевой частоты и радиочастотных излучений, а также соответствующая опорная ориентация шумомера по отношению к основному направлению напряженности поля.
(справочное)
СООТНОШЕНИЕ МЕЖДУ ИНТЕРВАЛАМИ ДОПУСТИМЫХ ЗНАЧЕНИЙ
И СООТВЕТСТВУЮЩИМИ ПРЕДЕЛАМИ ДОПУСКА И МАКСИМАЛЬНОЙ
РАЗРЕШЕННОЙ НЕОПРЕДЕЛЕННОСТЬЮ
Для удобства понимания пользователей и испытательных лабораторий МЭК/ТК 29 принял методологию, в которой интервалы допустимых отклонений от норматива не устанавливают в явном виде, но могут быть определены, при необходимости, по нормируемым пределам допуска для отклонений от контролируемого значения (границам интервала приемки) и соответствующей указанной максимальной разрешенной неопределенности измерения, как показано на рисунке А.1.
AI - интервал приемки; TI - интервал допустимых
значений; Umax - полоса запаса на максимальную разрешенную
неопределенность измерений для вероятности охвата 95%;
AL - нижний предел допусков; AU - верхний предел
допусков; TL - нижний предел допустимых значений;
TU - верхний предел допустимых значений
Рисунок А.1 - Соотношение между интервалом допустимых
значений, соответствующими пределами допуска и максимальной
разрешенной неопределенностью измерений
Пределы допусков обусловлены только интервалом приемки и не связаны с полосой запаса на максимальную разрешенную неопределенность измерений. В этом случае попадание измеренного отклонения в интервал приемки (невыход за пределы допусков) означает соответствие требованию при условии, что неопределенность измерения, достигаемая испытательной лабораторией, не превышает нормативную максимальную расширенную неопределенность.
(обязательное)
МАКСИМАЛЬНАЯ РАЗРЕШЕННАЯ НЕОПРЕДЕЛЕННОСТЬ ИЗМЕРЕНИЙ
В
таблице Б.1 представлены значения максимальной разрешенной неопределенности измерений для вероятности охвата 95%, которые применяют при испытаниях с целью утверждения типа, при периодических испытаниях для подтверждения соответствия требованиям настоящего стандарта и поверке.
Примечание - Максимальные разрешенные неопределенности измерений таблицы Б.1 не эквивалентны неопределенностям измерений, выполняемых шумомером.
Таблица Б.1
Максимальные разрешенные неопределенности измерений
для вероятности охвата 95%
Требование стандарта | Номер таблицы или раздела | Максимальная разрешенная неопределенность измерений, дБ |
Характеристика направленности:  | | 0,25 |
Характеристика направленности:  | | 0,25 |
Характеристика направленности:  | | 0,35 |
Характеристика направленности:  | | 0,45 |
| | ИС МЕГАНОРМ: примечание. Значения в графе "Номер таблицы или раздела" даны в соответствии с официальным текстом документа. | |
|
Характеристика направленности:  | | 0,55 |
Характеристика направленности:  и 150° | | 0,25 |
Характеристика направленности:  и 150° | | 0,45 |
Характеристика направленности:  и 150° | | 0,45 |
Характеристика направленности:  и 150° | | 0,85 |
Характеристика направленности:  и 150° | | 1,15 |
Частотные коррекции A, C, Z | | 0,60 |
Частотные коррекции A, C, Z | | 0,70 |
Частотные коррекции A, C, Z | | 1,00 |
Отклонение коррекции по A уровней относительной коррекции по C или Z для частоты 1 кГц | | 0,20 |
Отклонение от линейности уровня | | 0,30 |
Линейность при изменении уровня на 1 дБ - 10 дБ | | 0,25 |
Скорость спада для временных коррекций F и S | | 3,50 дБ/с для F; 0,40 дБ/с для S |
Отклонение показаний для F и S для частоты 1 кГц | | 0,20 |
Отклик на радиоимпульс | | 0,30 |
Повторяющиеся радиоимпульсы | | 0,30 |
Индикация перегрузки | | 0,25 |
Разность корректированных по C пиковых уровней звука | | 0,35 |
Стабильность измерений при непрерывной работе | | 0,10 |
Стабильность измерений высоких уровней | | 0,10 |
Стабильность измерений при подсоединении нагрузки к аналоговому входу | | 0,15 |
Стабильность измерений при изменении напряжения питания | | 0,20 |
Влияние статического давления | | 0,30 |
Влияние температуры воздуха | | 0,30 |
Влияние влажности | | 0,30 |
Комбинированное влияние влажности и температуры | | 0,35 |
Влияние сетевых и радиочастотных электромагнитных полей | | 0,30 |
Примечания 1 Максимальная расширенная неопределенность измерений для испытаний характеристики направленности соответствует требованиям 5.4 и таблицы 2. 2 Максимальные расширенные неопределенности измерений при испытаниях характеристики направленности и частотных коррекций не включают в себя неопределенность, вносимую переустановкой микрофона, и любые неопределенности, связанные с использованием принадлежностей, которые устанавливают вокруг микрофона. |
(справочное)
ПРИМЕРЫ ОЦЕНОК СООТВЕТСТВИЯ ТРЕБОВАНИЯМ
НАСТОЯЩЕГО СТАНДАРТА
В.1 Общие положения
В.1.1 Цель настоящего приложения состоит в том, чтобы сделать более понятным применение результатов и неопределенности измерений для оценки соответствия шумомера требованиям настоящего стандарта в ходе испытаний с целью утверждения типа по
ГОСТ Р 53188.2 или в ходе поверки по ГОСТ Р 53188.3.
В.1.2 Настоящее приложение поясняет процесс оценки соответствия, используя некоторые показательные примеры общего характера.
В.2 Критерии соответствия
В.2.1 В соответствии с настоящим стандартом соответствие требованиям устанавливается, если измеренные отклонения от нормативного значения находятся в пределах допусков (не выходят за пределы интервала приемки), при этом неопределенность измерений не превышает значение максимальной разрешенной неопределенности для вероятности охвата 95%.
В.2.2 Существуют четыре возможные комбинации результатов проверки по этим двум критериям:
1) Измеренные отклонения находятся в пределах допуска, и фактическая неопределенность не превышает максимальную разрешенную неопределенность.
В этом случае соответствие требованиям достигнуто.
2) Измеренные отклонения находятся в пределах допуска, и фактическая неопределенность превышает максимальную разрешенную неопределенность.
В этом случае соответствие требованиям не достигнуто, так как превышена максимальная разрешенная неопределенность измерения.
3) Измеренные отклонения выходят за пределы допуска, и фактическая неопределенность не превышает максимальную разрешенную неопределенность.
В этом случае соответствие требованиям не достигнуто, так как измеренные отклонения выходят за пределы допуска.
4) Измеренные отклонения выходят за пределы допуска, и фактическая неопределенность превышает максимальную разрешенную неопределенность.
В этом случае соответствие требованиям не достигнуто вследствие нарушения обоих критериев.
Примечание - В обоснованных случаях лаборатория может предварительно оценить неопределенность измерений. Если предварительно оцененная неопределенность превышает максимальное разрешенное значение, то лаборатория может не выполнять тест.
В.3 Примеры результатов испытаний
В.3.1 В
таблице В.1 приведены примеры результатов испытаний, которые поясняют методологию оценки соответствия или несоответствия требованиям настоящего стандарта. Эта методология применима к любым видам испытаний, в которых указаны пределы допусков и максимальная разрешенная неопределенность.
Таблица В.1
Примеры оценки соответствия
Номер примера | Измеренное отклонение, дБ | Пределы допусков, дБ | Фактическая неопределенность, дБ | Максимальная разрешенная неопределенность, дБ | Соответствие требованиям, Да или Нет | Причины соответствия или несоответствия |
1 | +1,7 | +1,0; -1,2 | 0,3 | 0,5 | Нет | Отклонение за пределом допуска |
2 | +1,1 | +1,0; -1,2 | 0,3 | 0,5 | Нет | Отклонение за пределом допуска |
3 | +1,0 | +1,0; -1,2 | 0,3 | 0,5 | Да | Отклонение в пределах допуска и неопределенность не превышает максимально разрешенной |
4 | 0,0 | +1,0; -1,2 | 0,3 | 0,5 | Да | Отклонение в пределах допуска и неопределенность не превышает максимально разрешенной |
5 | 0,0 | +1,0; -1,2 | 0,9 | 0,5 | Нет | Неопределенность превышает максимально разрешенную |
6 | -0,5 | +1,0; -1,2 | 0,3 | 0,5 | Да | Отклонение в пределах допуска и неопределенность не превышает максимально разрешенной |
7 | -1,2 | +1,0; -1,2 | 0,3 | 0,5 | Да | Отклонение в пределах допуска и неопределенность не превышает максимально разрешенной |
8 | -1,3 | +1,0; -1,2 | 0,3 | 0,5 | Нет | Отклонение за пределом допуска |
9 | -2,0 | +1,0; -1,2 | 0,3 | 0,5 | Нет | Отклонение за пределом допуска |
10 | -2,0 | +1,0; -1,2 | 0,7 | 0,5 | Нет | Отклонение за пределом допуска и неопределенность превышает максимально разрешенную |
В.3.2 Десять примеров оценки соответствия из
таблицы В.1 представлены в графическом виде на рисунке В.1.
a - отклонение от нормативного значения, дБ; b - номер
d - нижний предел допуска
Рисунок В.1 - Примеры оценки соответствия
В.3.3 На рисунке В.1 нижний и верхний пределы допусков (пределы интервалов приемки) показаны темными горизонтальными линиями. Измеренные отклонения от нормативных значений обозначены сплошными маркерами. Маркеры-ромбы показывают соответствие требованиям, а маркеры-крестики - несоответствие.
В.3.4 На
рисунке В.1 фактическая неопределенность измерения показана в виде вертикального отрезка, а максимальная разрешенная неопределенность - в виде затененной полоски.
В.3.5 Принцип оценки соответствия, проиллюстрированный примерами
таблицы В.1 и
рисунка В.1, применим как для испытаний утверждения типа, так и для периодических испытаний (поверки).
(справочное)
ЧАСТОТЫ ДЛЯ ИНТЕРВАЛОВ ШИРИНОЙ В ДОЛЮ ОКТАВЫ
Г.1 В эксплуатационной документации, в соответствии с настоящим стандартом, приводят сведения о поправках для различных частотных полос шириной в долю октавы. Настоящее приложение предлагает способ расчета точных значений частот для определенных долей октавы.
Г.2 Точные среднегеометрические частоты интервалов шириной в долю октавы рассчитывают по формуле

(Г.1)
где fx - частота для полосы с индексом x (Гц);
fr - опорная частота, равная 1000 Гц;
10(3/10) - номинальное октавное отношение для систем по основанию 10;
x - произвольное целое число (положительное, отрицательное или нуль);
b - показатель ширины полосы для интервалов в долю октавы (например, b = 3 для 1/3-октавных интервалов, b = 6 для 1/6-октавных интервалов, b = 12 для 1/12-октавных интервалов).
Г.3 В
таблицах Г.1,
Г.2 и
Г.3 представлены частоты, рассчитанные согласно
(Г.1), но выраженные в килогерцах, для 1,3-, 1/16- и 1/12-октавных интервалов соответственно. Рассчитанные частоты даны с точностью до пяти значащих цифр. Диапазоны индекса
x выбраны так, чтобы частоты были совместимы с настоящим стандартом. Другие частоты могут быть рассчитаны с помощью соответствующего выбора индекса
x.
Таблица Г.1
Частоты для 1/3-октавных интервалов
Частота, кГц |
0,050 119 | 0,251 19 | 1,258 9 | 6,309 6 |
0,063 096 | 0,316 23 | 1,584 9 | 7,943 3 |
0,079 433 | 0,398 11 | 1,995 3 | 10,000 |
0,100 00 | 0,501 19 | 2,511 9 | 12,589 |
0,125 89 | 0,630 96 | 3,162 3 | 15,849 |
0,158 49 | 0,794 33 | 3,981 1 | 19,953 |
0,199 53 | 1,000 00 | 5,011 9 | 25,119 |
Таблица Г.2
Частоты для 1/6-октавных интервалов
Частота, кГц |
1,995 3 | 3,548 1 | 6,309 6 |
2,238 7 | 3,981 1 | 7,079 5 |
2,511 9 | 4,466 8 | 7,943 3 |
2,818 4 | 5,011 9 | 8,912 5 |
3,162 3 | 5,623 4 | 10,000 |
Таблица Г.3
Частоты для 1/12-октавных интервалов
Частота, кГц |
1,059 3 | 2,238 7 | 4,731 5 | 10,000 |
1,122 0 | 2,371 4 | 5,011 9 | 10,593 |
1,188 5 | 2,511 9 | 5,308 8 | 11,220 |
1,258 9 | 2,660 7 | 5,623 4 | 11,885 |
1,333 5 | 2,818 4 | 5,956 6 | 12,589 |
1,412 5 | 2,985 4 | 6,309 6 | 13,335 |
1,496 2 | 3,162 3 | 6,683 4 | 14,125 |
1,584 9 | 3,349 7 | 7,079 5 | 14,962 |
1,678 8 | 3,548 1 | 7,498 9 | 15,849 |
1,778 3 | 3,758 4 | 7,943 3 | 16,788 |
1,883 6 | 3,981 1 | 8,414 0 | 17,783 |
1,995 3 | 4,217 0 | 8,912 5 | 18,836 |
2,113 5 | 4,466 8 | 9,440 6 | 19,953 |
Г.4 Частоты для 1/3-октавных интервалов в
таблице Г.1 были рассчитаны для значений индекса
x в диапазоне от минус 13 до плюс 14.
Г.5 Частоты для 1/6-октавных интервалов в
таблице Г.2 были рассчитаны для значений индекса
x в диапазоне от +6 до +20.
Г.6 Частоты для 1/12-октавных интервалов в
таблице Г.3 были рассчитаны для значений индекса
x в диапазоне от +1 до +52.
(обязательное)
АНАЛИТИЧЕСКИЕ ВЫРАЖЕНИЯ ДЛЯ ЧАСТОТНЫХ КОРРЕКЦИЙ C, A И Z
Д.1 Введение
В настоящем приложении приведены аналитические выражения для вычисления нормативных значений частотных коррекций C, A и Z.
Д.2 Частотная коррекция C
Д.2.1 Для любой частоты f, в герцах, характеристику C(f) частотной коррекции C в децибелах вычисляют по формуле

(Д.1)
Д.2.2 Нормировочная константа C1000 соответствует величине электрического усиления, в децибелах, необходимого для достижения значения 0 дБ частотной коррекции на частоте 1000 Гц.
Д.2.3 Характеристика частотной коррекции
C имеет два низкочастотных полюса на частоте
f1, два высокочастотных полюса на частоте
f4 и два нуля на частоте 0 Гц. При таких полюсах и нулях характеристика мощности коррекции
C относительно значения опорной частоты,
fr, 1000 Гц будет спадать по закону
D2 = 1/2 (приблизительно -3 дБ) на частотах
fL = 10
1,5 Гц и
fH = 10
3,9 Гц.
Д.2.4 Частоты полюсов
f1 и
f4, в герцах, из
выражения (Д.1) определяют с помощью решения квадратного уравнения, из которого получают выражения:

(Д.2)
и

(Д.3)

(Д.4)
где

и

(Д.5)
где -
fr,
fL,
fH приведены в
Д.2.3.
Д.3 Частотная коррекция A
Д.3.1 Значение характеристики A(f) частотной коррекции A, в децибелах, вычисляют по формуле

(Д.6)
Д.3.2 Нормировочная константа A1000 соответствует величине электрического усиления, в децибелах, необходимого для достижения значения 0 дБ частотной коррекции на частоте 1000 Гц.
Д.3.3 Характеристика частотной коррекции
A имеет два сдвоенных фильтра высоких частот первого порядка, которые приложены к характеристике коррекции
C. Частоту среза каждого добавленного фильтра высоких частот определяют выражением
fA = 10
2,45 Гц.
Д.3.4 С учетом частоты среза
fA из
Д.3.3 полюса, в герцах, характеристики
A для частот
f2 и
f3, которые используют в
формуле (Д.6) для реализации дополнительных фильтров высоких частот, определяют соотношениями:

(Д.7)
и

(Д.8)
Примечание - Добавление сдвоенных фильтров высоких частот к характеристике коррекции C при вычислении характеристики коррекции A равносильно добавлению двух нулей на частоте 0 Гц и полюсов на частотах f2 и f3.
Д.4 Значения частот полюсов и нормировочных констант
Д.4.1 Приблизительные значения частот полюсов
f1 -
f4 из
формул (Д.1) и
(Д.6):
f1 = 20,60 Гц;
f2 = 107,7 Гц;
f3 = 737,9 Гц;
f4 = 12 194 Гц.
Д.4.2 Нормировочные константы C1000 и A1000, округленные до тысячных долей децибела, равны -0,062 дБ и -2,000 дБ, соответственно.
Д.5 Частотная коррекция Z
Для любой частоты в нормируемом диапазоне шумомера характеристику Z(f) частотной коррекции Z, в децибелах, определяют равенством
Z(f) = 0. (Д.9)
(обязательное)
ВРЕМЕННАЯ ХАРАКТЕРИСТИКА I (ИМПУЛЬС)
Е.1 Общие требования к временной коррекции I
Е.1.1 Требования к временной характеристике I подобны требованиям к временным коррекциям F и S. Отличие характеристики I состоит в том, что она представляет собой комбинацию функции временной коррекции с очень маленькой постоянной времени и специального дополнительного детектора. Нормативное значение постоянной времени для коррекции I равно 35 мс как для нарастания, так и для спада сигнала. Дополнительный детектор предназначен для хранения результата в течение времени, необходимого для отображения уровня с коррекцией I.
Е.1.2 Постоянная времени нарастания дополнительного детектора мала по сравнению с постоянной времени временной коррекции 35 мс. Нормативное значение скорости спада детектора характеристики I равно 2,9 дБ/с, пределы допуска при этом составляют +/- 0,8 дБ/с для шумомеров 1-го класса и +/- 1,3 дБ/с для шумомеров 2-го класса. Такие значения скорости спада и пределы допуска примерно соответствуют постоянной времени спада (1500 +/- 250) мс для шумомеров 1-го класса и (1500 +/- 500) мс для шумомеров 2-го класса.
Е.1.3 Шумомеры с временной характеристикой
I должны удовлетворять требованиям к отклику на единичные и на повторяющиеся радиоимпульсы с заполнением синусоидальным сигналом в соответствии с
Е.2.
Е.1.4 Для стационарных синусоидальных электрических сигналов частоты от 315 Гц до 8 кГц отклонение показаний корректированного по A уровня звука с временной коррекций F относительно показаний корректированного по A уровня звука с временной характеристикой I должны находиться в пределах +/- 0,4 дБ. Для одиночного короткого радиоимпульса уровень звука, отображаемый с временной характеристикой I, обычно бывает больше, чем уровень звука для временных коррекций F и S.
Е.2 Испытания шумомера с временной характеристикой I
Е.2.1 В
таблице Е.1 приведены нормативные значения максимальных корректированных по
A уровней звука с временной характеристикой
I при подаче единичных электрических радиоимпульсов с частотой заполнения 4 кГц; нормативные значения даны относительно показаний корректированного по
A уровня звука для стационарного синусоидального сигнала частоты 4 кГц. Измеренные отклонения от нормативных значений должны находиться в пределах допусков. Расширенная неопределенность измерений при вероятности охвата 95% не должна превышать 0,3 дБ. Радиоимпульсы должны извлекаться из стационарного электрического входного сигнала частоты 4 кГц, для которого показания корректированного по
A уровня звука соответствуют верхней границе опорного диапазона шкалы.
Таблица Е.1
Нормативные значения относительного отклика на одиночные
радиоимпульсы с частотой заполнения 4 кГц и пределы допусков
Длительность радиоимпульса, Tb, мс | Нормативный отклик на радиоимпульс с частотой заполнения 4 кГц,  , относительно уровня стационарного сигнала, дБ | Пределы допуска, ДБ |
Класс |
LAImax - LA | 1 | 2 |
20 | -3,6 | +/- 1,5 | +/- 2,0 |
5 | -8,8 | +/- 2,0 | +/- 3,0 |
2 | -12,6 | +/- 2,0 | ... |

для максимальных уровней звука с временной коррекцией
I определена выражением:
где
Tb - заданная длительность радиоимпульса, с, например из
графы 1;

- стандартная постоянная времени, равная 0,035 с;
e - число e (основание натурального логарифма).
Е.2.2 Для шумомеров 1-го класса изменение на 10 дБ уровня радиоимпульса длительностью 2 мс с частотой заполнения 4 кГц должно вызывать изменение показаний корректированного по
A уровня звука с временной характеристикой
I на (10 +/- 1,3) дБ. Для шумомеров 2-го класса изменение на 5 дБ уровня радиоимпульса длительностью 5 мс с частотой заполнения 4 кГц должно вызывать изменение показаний корректированного по
A уровня звука с временной характеристикой
I на (5 +/- 1,3) дБ.
Е.2.3 В
таблице Е.2 приведены нормативные значения и пределы допусков для максимальных корректированных по
A уровней звука с временной коррекцией
I при подаче последовательности радиоимпульсов с частотой заполнения 4 кГц и длительностью 5 мс. Частота повторения указана в
первой графе таблицы Е.2, нормативные значения даны относительно показаний корректированного по
A уровня звука для стационарного сигнала частоты 4 кГц. Измеренные отклонения от нормативных значений должны находиться в пределах интервала допусков, фактическая расширенная неопределенность измерений для вероятности охвата 95% не должна превышать 0,3 дБ. Радиоимпульсы должны извлекаться из стационарного электрического входного сигнала частоты 4 кГц, для которого показания корректированного по
A уровня звука соответствуют верхней границе опорного диапазона шкалы.
Таблица Е.2
Нормативные значения относительного отклика
на последовательность радиоимпульсов длительностью 5 мс
с частотой заполнения 4 кГц и пределы допусков
| Нормативный отклик на последовательность радиоимпульсов относительно уровня стационарного сигнала, дБ | Пределы допуска, дБ |
Класс |
LAImax - LA | 1 | 2 |
100 | -2,7 | +/- 1,0 | +/- 1,0 |
20 | -7,6 | +/- 2,0 | +/- 2,0 |
2 | -8,8 | +/- 2,0 | +/- 2,0 |
Е.2.4 Увеличение на 5 дБ уровня радиоимпульса в последовательности с частотой повторения 2 Гц должно вызывать изменение показаний корректированного по
A уровня звука с временной характеристикой
I на (5 +/- 1,3) дБ.
Е.2.5 Скорость спада дополнительного детектора временной коррекции
I проверяют посредством внезапного отключения стационарного синусоидального электрического входного сигнала частоты 4 кГц. Наблюдаемый при этом спад показаний корректированного по
A уровня звука для характеристики
I должен находиться в пределах интервала допуска по
Е.2.2. Входной синусоидальный сигнал должен быть настроен так, чтобы изначально отображать корректированный по
A уровень звука, соответствующий верхнему пределу опорного диапазона шкалы.
Е.2.6 Шумомер должен соответствовать требованиям
Е.2.1 и
Е.2.4 при изменениях уровня радиоимпульсов с шагом 10 дБ от верхней границы опорного диапазона шкалы для корректированного по
A уровня звука до наименьшего уровня, который может отображаться.
(справочное)
ЧАСТОТНАЯ КОРРЕКЦИЯ AU
Ж.1 Частотная коррекция AU предназначена для измерений слышимой составляющей звука в присутствии ультразвука. Нормативные значения для относительной характеристики частотной коррекции AU и допустимые для номинальных частот третьоктавных интервалов от 10 Гц до 40 кГц приводят в эксплуатационной документации.
Ж.2 Если шумомер имеет частотную коррекцию AU, результат измерений обозначают как корректированный по AU уровень звука.
Ж.3 Для шумомеров, удовлетворяющих требованиям 1-го класса или 2-го класса настоящего стандарта, нормативные значения относительной характеристики частотной коррекции AU в частотном диапазоне от 10 Гц до 20 кГц, соответствующие пределы допусков и также максимальная разрешенная неопределенность измерений совпадают с требованиями к коррекции A для шумомеров соответствующего класса точности. Измерение корректированного по AU уровня звука является также измерением корректированного по A уровня звука.
| | Государственная система обеспечения единства измерений. Метрология. Основные термины и определения |