Главная // Актуальные документы // ГОСТ Р (Государственный стандарт)СПРАВКА
Источник публикации
М.: Стандартинформ, 2014
Примечание к документу
Отдельные положения данного документа включены в
Перечень документов в области стандартизации, в результате применения которых на добровольной основе обеспечивается соблюдение требований Федерального
закона от 22.07.2008 N 123-ФЗ "Технический регламент о требованиях пожарной безопасности" (
Приказ Росстандарта от 13.02.2023 N 318).
Отдельные положения данного документа включены в
Перечень документов в области стандартизации, в результате применения которых на добровольной основе обеспечивается соблюдение требований Федерального
закона от 22.07.2008 N 123-ФЗ "Технический регламент о требованиях пожарной безопасности" (
Приказ Росстандарта от 14.07.2020 N 1190).
Отдельные положения данного документа включены в
Перечень документов в области стандартизации, в результате применения которых на добровольной основе обеспечивается соблюдение требований Федерального
закона от 22.07.2008 N 123-ФЗ "Технический регламент о требованиях пожарной безопасности" (
Приказ Росстандарта от 03.06.2019 N 1317).
Документ включен в
Перечень документов в области стандартизации, в результате применения которых на добровольной основе обеспечивается соблюдение требований Федерального
закона от 22.07.2008 N 123-ФЗ "Технический регламент о требованиях пожарной безопасности" (
Приказ Росстандарта от 16.04.2014 N 474).
Документ включен в
Перечень национальных стандартов, содержащих правила и методы исследований (испытаний) и измерений, в том числе правила отбора образцов, необходимых для применения и исполнения Федерального
закона от 22.07.2008 N 123-ФЗ "Технический регламент о требованиях пожарной безопасности" и осуществления оценки соответствия (
Распоряжение Правительства РФ от 10.03.2009 N 304-р).
Документ
введен в действие с 1 января 2014 года.
Название документа
"ГОСТ Р 12.3.047-2012. Национальный стандарт Российской Федерации. Система стандартов безопасности труда. Пожарная безопасность технологических процессов. Общие требования. Методы контроля"
(утв. и введены в действие Приказом Росстандарта от 27.12.2012 N 1971-ст)
"ГОСТ Р 12.3.047-2012. Национальный стандарт Российской Федерации. Система стандартов безопасности труда. Пожарная безопасность технологических процессов. Общие требования. Методы контроля"
(утв. и введены в действие Приказом Росстандарта от 27.12.2012 N 1971-ст)
Утвержден и введен в действие
агентства по техническому
регулированию и метрологии
от 27 декабря 2012 г. N 1971-ст
НАЦИОНАЛЬНЫЙ СТАНДАРТ РОССИЙСКОЙ ФЕДЕРАЦИИ
СИСТЕМА СТАНДАРТОВ БЕЗОПАСНОСТИ ТРУДА
ПОЖАРНАЯ БЕЗОПАСНОСТЬ ТЕХНОЛОГИЧЕСКИХ ПРОЦЕССОВ
ОБЩИЕ ТРЕБОВАНИЯ. МЕТОДЫ КОНТРОЛЯ
Occupational safety standards system. Fire safety
of technological processes. General requirements.
Methods of control
ГОСТ Р 12.3.047-2012
Дата введения
1 января 2014 года
1. Разработан Федеральным государственным бюджетным учреждением "Всероссийский ордена "Знак Почета" научно-исследовательский институт противопожарной обороны" МЧС России (ФГБУ "ВНИИПО" МЧС России).
2. Внесен Техническим комитетом по стандартизации ТК 274 "Пожарная безопасность".
3. Утвержден и введен в действие
Приказом Федерального агентства по техническому регулированию и метрологии от 27 декабря 2012 г. N 1971-ст.
Правила применения настоящего стандарта установлены в ГОСТ Р 1.0-2012
(раздел 8). Информация об изменениях к настоящему стандарту публикуется в ежегодном (по состоянию на 1 января текущего года) информационном указателе "Национальные стандарты", а официальный текст изменений и поправок - в ежемесячном информационном указателе "Национальные стандарты". В случае пересмотра (замены) или отмены настоящего стандарта соответствующее уведомление будет опубликовано в ближайшем выпуске ежемесячного информационного указателя "Национальные стандарты". Соответствующая информация, уведомление и тексты размещаются также в информационной системе общего пользования - на официальном сайте Федерального агентства по техническому регулированию и метрологии в сети Интернет (gost.ru).
Настоящий стандарт устанавливает общие требования пожарной безопасности к технологическим процессам различного назначения при их проектировании, строительстве, реконструкции, вводе в эксплуатацию, эксплуатации и прекращении эксплуатации, капитальном ремонте, консервации, утилизации, а также при разработке и изменении нормативных документов по пожарной безопасности на объектах защиты и при разработке и изменении технологических частей проектов и технологических регламентов.
Настоящий стандарт не распространяется на:
- ядерные реакторы и предприятия по производству, переработке и хранению радиоактивных веществ и материалов;
- предприятия по производству и хранению промышленных взрывчатых веществ и боеприпасов;
- космические объекты и стартовые комплексы;
- объекты, связанные с проведением подводных и подземных работ;
- объекты по переработке и ликвидации токсичных отходов;
- объекты по уничтожению химического оружия.
В настоящем стандарте использована нормативная ссылка на следующий стандарт:
ГОСТ 12.1.044-89 (ИСО 4589-84). Система стандартов безопасности труда. Пожаровзрывоопасность веществ и материалов. Номенклатура показателей и методы их определения.
Примечание. При пользовании настоящим стандартом целесообразно проверить действие ссылочных стандартов в информационной системе общего пользования - на официальном сайте Федерального агентства по техническому регулированию и метрологии в сети Интернет или по ежегодному информационному указателю "Национальные стандарты", который опубликован по состоянию на 1 января текущего года, и по выпускам ежемесячного информационного указателя "Национальные стандарты" за текущий год. Если заменен ссылочный стандарт, на который дана датированная ссылка, то рекомендуется использовать версию этого стандарта с указанным выше годом утверждения (принятия). Если после утверждения настоящего стандарта в ссылочный стандарт, на который дана датированная ссылка, внесено изменение, затрагивающее положение, на которое дана ссылка, то это положение рекомендуется применять без учета данного изменения. Если ссылочный стандарт отменен без замены, то положение, в котором дана ссылка на него, рекомендуется применять в части, не затрагивающей эту ссылку.
В настоящем стандарте использованы следующие термины с соответствующими определениями:
3.1. Авария: разрушение сооружений и (или) технических устройств, применяемых на опасном производственном объекте, неконтролируемый пожар и (или) взрыв, и (или) выброс опасных веществ.
3.2. Анализ опасности: выявление нежелательных событий, влекущих за собой реализацию опасности, анализ механизма возникновения таких событий и масштаба их величины, способного оказать поражающее действие.
3.3. Безопасность: состояние защищенности прав граждан, природных объектов, окружающей среды и материальных ценностей от последствий несчастных случаев, аварий и катастроф на промышленных объектах.
3.4.
┌─────────────────────────────────────────────────────────────────────────┐
│ Взрыв: быстрое химическое превращение среды, сопровождающееся│
│выделением энергии и образованием сжатых газов. │
│ Федеральный закон "Технический регламент о требованиях пожарной│
└─────────────────────────────────────────────────────────────────────────┘
3.5. Время срабатывания и время отключения: промежуток времени от начала возможного поступления горючего вещества из трубопровода (перфорация, разрыв, изменение номинального давления и т.п.) до полного прекращения поступления газа или жидкости в помещение.
3.6. Горючая нагрузка: горючие вещества и материалы, расположенные в помещении или на открытых площадках.
3.7.
┌─────────────────────────────────────────────────────────────────────────┐
│ Горючая среда: горючая среда - среда, способная воспламеняться при│
│воздействии источника зажигания. │
│ Федеральный закон "Технический регламент о требованиях пожарной│
└─────────────────────────────────────────────────────────────────────────┘
3.8.
┌─────────────────────────────────────────────────────────────────────────┐
│ Допустимый пожарный риск: пожарный риск, уровень которого допустим и│
│обоснован исходя из социально-экономических условий. │
│ Федеральный закон "Технический регламент о требованиях пожарной│
└─────────────────────────────────────────────────────────────────────────┘
3.9.
┌─────────────────────────────────────────────────────────────────────────┐
│ Индивидуальный пожарный риск: пожарный риск, который может привести к│
│гибели человека в результате воздействия опасных факторов пожара. │
│ Федеральный закон "Технический регламент о требованиях пожарной│
└─────────────────────────────────────────────────────────────────────────┘
3.10.
┌─────────────────────────────────────────────────────────────────────────┐
│ Нормативные документы по пожарной безопасности: национальные│
│стандарты, своды правил, содержащие требования пожарной безопасности, а│
│также иные документы, содержащие требования пожарной безопасности,│
│применение которых на добровольной основе обеспечивает соблюдение│
│требований настоящего Федерального закона. │
│ Федеральный закон "Технический регламент о требованиях пожарной│
└─────────────────────────────────────────────────────────────────────────┘
3.11. Огненный шар: крупномасштабное диффузионное горение, реализуемое при разрыве резервуара с горючей жидкостью или газом под давлением с воспламенением содержимого резервуара.
3.12. Опасность: потенциальная возможность возникновения процессов или явлений, способных вызвать поражение людей, наносить материальный ущерб и разрушительно воздействовать на окружающую атмосферу.
3.13. Опасный параметр: параметр, который при достижении критических значений способен создавать опасность для рассматриваемого рода деятельности.
3.14.
┌─────────────────────────────────────────────────────────────────────────┐
│ Опасные факторы пожара: факторы пожара, воздействие которых может│
│привести к травме, отравлению или гибели человека и (или) к материальному│
│ущербу. │
│ Федеральный закон "Технический регламент о требованиях пожарной│
└─────────────────────────────────────────────────────────────────────────┘
3.15.
┌─────────────────────────────────────────────────────────────────────────┐
│ Пожар: неконтролируемое горение, причиняющее материальный ущерб, вред│
│жизни и здоровью граждан, интересам общества и государства. │
│ Федеральный закон "О пожарной безопасности" от 21 декабря 1994 г. N│
└─────────────────────────────────────────────────────────────────────────┘
3.16.
┌─────────────────────────────────────────────────────────────────────────┐
│ Пожарная безопасность: состояние защищенности личности, имущества,│
│общества и государства от пожаров. │
│ Федеральный закон "О пожарной безопасности" от 21 декабря 1994 г. N│
└─────────────────────────────────────────────────────────────────────────┘
3.17. Пожарная нагрузка: количество теплоты, которое может выделиться в помещении при пожаре.
3.18.
┌─────────────────────────────────────────────────────────────────────────┐
│ Пожарная опасность объекта защиты: состояние объекта защиты,│
│характеризуемое возможностью возникновения и развития пожара, а также│
│воздействия на людей и имущество опасных факторов пожара. │
│ Федеральный закон "Технический регламент о требованиях пожарной│
└─────────────────────────────────────────────────────────────────────────┘
3.19.
┌─────────────────────────────────────────────────────────────────────────┐
│ Пожарный риск: мера возможности реализации пожарной опасности объекта│
│и ее последствий для людей и материальных ценностей. │
│ Федеральный закон "Технический регламент о требованиях пожарной│
└─────────────────────────────────────────────────────────────────────────┘
3.20. Пожароопасная ситуация: ситуация, характеризующаяся вероятностью возникновения пожара с возможностью дальнейшего его развития.
3.21. Показатель пожарной опасности: величина, количественно характеризующая какое-либо свойство пожарной опасности.
3.22. Проектная авария: авария, для предотвращения которой в проекте производственного объекта предусмотрены системы обеспечения безопасности, гарантирующие обеспечение заданного уровня безопасности.
3.23. Разгерметизация как способ взрывозащиты: наиболее распространенный способ пожаро-, взрывозащиты замкнутого оборудования и помещений, заключающийся в оснащении их предохранительными мембранами и (или) другими разгерметизирующими устройствами с такой площадью сбросного сечения, которая достаточна для предотвращения разрушения оборудования или помещения от роста избыточного давления при сгорании горючих смесей.
3.24. Размер зоны: протяженность ограниченной каким-либо образом части пространства.
3.25.
┌─────────────────────────────────────────────────────────────────────────┐
│ Социальный пожарный риск: степень опасности, ведущей к гибели группы│
│людей в результате воздействия опасных факторов пожара. │
│ Федеральный закон "Технический регламент о требованиях пожарной│
└─────────────────────────────────────────────────────────────────────────┘
3.26. Сценарий развития пожара: модель последовательности событий с определенной зоной воздействия опасных факторов на людей, здания, сооружения и технологические процессы.
3.27. Технологический процесс: часть производственного процесса, связанная с действиями, направленными на изменение свойств и (или) состояния обращающихся в процессе веществ и изделий.
3.28.
┌─────────────────────────────────────────────────────────────────────────┐
│ Технологическая среда: вещества и материалы, обращающиеся в│
│технологической аппаратуре (технологической системе). │
ИС МЕГАНОРМ: примечание.
В официальном тексте документа, видимо, допущена опечатка: термин
"Технологическая среда" находится в части 46 статьи 2 закона 123-ФЗ, а не
в части 3 статьи 2 закона 123-ФЗ.
│ Федеральный закон "Технический регламент о требованиях пожарной│
└─────────────────────────────────────────────────────────────────────────┘
3.29. Технологическая установка: производственный комплекс зданий, сооружений и наружных установок, расположенных на отдельной площадке предприятия и предназначенный для осуществления технологического процесса производства.
4.1. При технико-экономическом обосновании строительства, проектировании технологического процесса и размещении технологического оборудования должен предусматриваться комплекс мер по обеспечению пожарной безопасности.
4.2. Оценку пожарной безопасности производственных объектов осуществляют с помощью критериев:
- индивидуального пожарного риска;
- социального пожарного риска;
- регламентированных параметров пожарной опасности технологических процессов.
4.3. Обеспечение пожарной безопасности технологических процессов должно быть основано на анализе их пожарной опасности.
Анализ пожарной опасности производственных объектов должен предусматривать:
- анализ пожарной опасности технологической среды и параметров технологических процессов на производственном объекте;
- определение перечня пожароопасных аварийных ситуаций и параметров для каждого технологического процесса;
- определение перечня причин, возникновение которых позволяет характеризовать ситуацию как пожароопасную для каждого технологического процесса;
- построение сценариев возникновения и развития пожаров, повлекших за собой гибель людей.
4.4. Анализ пожарной опасности технологических процессов предусматривает сопоставление показателей пожарной опасности веществ и материалов, обращающихся в технологическом процессе, с параметрами технологического процесса.
4.5. Определение пожароопасных ситуаций на производственном объекте должно осуществляться на основе анализа пожарной опасности каждого из технологических процессов и предусматривать выбор ситуаций, при реализации которых возникает опасность для людей, находящихся в зоне поражения опасными факторами пожара и сопутствующими проявлениями опасных факторов пожара. К пожароопасным ситуациям не относятся ситуации, в результате которых не возникает опасность для жизни и здоровья людей. Эти ситуации не учитываются при расчете пожарного риска.
4.6. Для каждой пожароопасной ситуации на производственном объекте должно быть приведено описание причин возникновения и развития пожароопасных ситуаций, мест их возникновения и факторов пожара, представляющих опасность для жизни и здоровья людей в местах их пребывания.
4.7. Для определения причин возникновения пожароопасных ситуаций должны быть определены события, реализация которых может привести к образованию горючей среды и появлению источника зажигания.
4.8. Анализ пожарной опасности технологических процессов должен быть основой для определения комплекса мероприятий, изменяющих параметры технологического процесса до уровня, обеспечивающего допустимый пожарный риск.
4.9. Оценка опасных факторов пожара, взрыва для различных сценариев их развития осуществляется на основе сопоставления информации о моделировании динамики опасных факторов пожара на территории производственного объекта и прилегающей к нему территории и информации о критических для жизни и здоровья людей значениях опасных факторов анализируемых пожара, взрыва.
4.10. Оценка последствий воздействия опасных факторов пожара, взрыва на людей для различных сценариев развития пожароопасных ситуаций предусматривает определение числа людей, попавших в зону поражения опасными факторами пожара, взрыва.
4.11. В случае невозможности проведения оценки пожарного риска (например, из-за отсутствия необходимых данных) допускается использование иных (детерминированных) критериев пожарной безопасности технологических процессов (допустимых значений параметров этих процессов).
4.12. При оценке пожарной опасности технологического процесса необходимо определить расчетным или экспериментальным путем:
- избыточное давление, развиваемое при сгорании газо-, паро- и пылевоздушных смесей в помещении
(Приложение А);
- размер зон, ограниченных нижним концентрационным пределом распространения пламени (НКПР) газов и паров
(Приложение Б);
- интенсивность теплового излучения при пожарах проливов для сопоставления с критическими (предельно допустимыми) значениями интенсивности теплового потока для человека и конструкционных материалов
(Приложение В);
- размеры зоны распространения облака горючих газов и паров при аварии для определения оптимальной расстановки людей и техники при тушении пожара и расчета времени достижения облаком мест их расположения
(Приложение Г);
- возможность возникновения и поражающее воздействие огненного шара при аварии для расчета радиусов зон поражения людей от теплового воздействия в зависимости от вида и массы топлива
(Приложение Д);
- параметры волны давления при сгорании газо-, паро- и пылевоздушных смесей в открытом пространстве
(Приложение Е);
- поражающие факторы при разрыве технологического оборудования вследствие воздействия на него очага пожара
(Приложение Ж);
- интенсивность испарения горючих жидкостей и сжиженных газов на открытом пространстве и в помещении
(Приложение И);
- параметры истечения жидкости и газа, а также размер сливных отверстий для горючих жидкостей в поддонах, отсеках и секциях производственных участков. При этом площадь сливного отверстия должна быть такой, чтобы исключить перелив жидкости через борт ограничивающего устройства и растекание жидкости за его пределами
(Приложение К);
- параметры паровых завес для предотвращения контакта парогазовых смесей с источниками зажигания
(Приложение Л);
- концентрационные пределы распространения пламени для горючих смесей, находящихся в технологических аппаратах и оборудовании, определяемые согласно
ГОСТ 12.1.044. Допускается рассчитывать концентрационные пределы согласно
[3];
- другие показатели пожаровзрывоопасности технологического процесса, необходимые для анализа их опасности.
Выбор параметров, необходимых для оценки пожарной опасности технологических процессов, осуществляется на основе анализа специфики их пожарной опасности.
4.13. К мероприятиям по снижению последствий пожара, взрыва следует относить:
- ограничение растекания горючих жидкостей по цеху, производственной площадке или складу;
- уменьшение интенсивности испарения горючих жидкостей;
- аварийный слив горючих жидкостей в аварийные емкости;
- установку огнепреградителей;
- ограничение массы опасных веществ при хранении и в технологических аппаратах;
- водяное орошение технологических аппаратов и резервуаров
(Приложение М);
- флегматизацию горючих смесей в аппаратах и технологическом оборудовании;
- вынос пожароопасного оборудования в изолированные помещения;
- применение устройств, снижающих давление в аппаратах до безопасной величины при сгорании газо-, паро- и пылевоздушных смесей
(Приложение Н);
- установку в технологическом оборудовании быстродействующих отключающих устройств;
- ограничение распространения пожара, взрыва с помощью противопожарных разрывов и преград с требуемым пределом огнестойкости (
Приложения П и
Р);
- применение огнезащитных красок и покрытий;
- защиту технологических процессов установками пожаротушения;
- применение пожарной сигнализации и систем оповещения и управления эвакуацией людей при пожаре;
- обучение персонала предприятий способам ликвидации аварий;
- создание условий для скорейшего ввода в действие подразделений пожарной охраны путем устройства подъездных путей, пожарных водоемов и наружного противопожарного водоснабжения.
4.14. Результаты анализа параметров пожарной опасности и мероприятий по снижению последствий пожара, взрыва должны быть учтены при проектировании производственных объектов разработке планов тушения пожаров, а также планов локализации и ликвидации пожаровзрывоопасных ситуаций и аварий.
5. Порядок обеспечения пожарной безопасности
технологических процессов
5.1. Проектированию технологического процесса должен предшествовать анализ его пожарной опасности.
5.2. Анализ пожарной опасности технологических процессов должен включать:
- определение показателей пожарной опасности использующихся в технологическом процессе веществ и материалов в соответствии с методиками, регламентируемыми
ГОСТ 12.1.044;
- изучение технологического процесса с целью определения оборудования, участков или мест, где сосредоточены горючие материалы или возможно образование газо-, паро- и пылевоздушных горючих смесей;
- определение возможности образования горючей среды внутри помещений, аппаратов и трубопроводов;
- определение возможности образования в горючей среде источников зажигания;
- исследование различных вариантов аварий, путей распространения пожара и выбор вариантов проектных аварий;
- расчет категории помещений, зданий и наружных установок по взрывопожарной и пожарной опасности;
- определение состава систем предотвращения пожара, взрыва и противопожарной защиты технологических процессов;
- разработку мероприятий по повышению пожарной безопасности технологических процессов и отдельных его участков.
5.3. Пожарная опасность технологических процессов определяется на основе изучения:
- технологического регламента;
- принципиальной технологической схемы производства продукции;
- показателей пожарной опасности веществ и материалов, обращающихся в технологическом процессе;
- конструктивных особенностей аппаратов, машин и агрегатов;
- схемы расположения в цехе, на участке или открытой площадке потенциально пожароопасного оборудования.
5.4. Для оценки пожарной безопасности технологического процесса технологический регламент должен включать:
- данные по рецептуре и основным характеристикам выпускаемой продукции, сырья, материалов и полупродуктов (состав, физико-химические свойства, показатели пожарной опасности, токсичности);
- сведения об отходах производства и выбросах в атмосферу;
- информацию о параметрах технологического режима (давление, температура, состав технологической среды);
- порядок проведения технологических операций;
- сведения о средствах контроля за технологическим процессом;
- требования к пожаробезопасному ведению технологического процесса, предотвращающие возможность возникновения пожаров и (или) взрывов.
При изучении технологического регламента следует рассматривать все стадии технологического процесса от подготовки сырья и до выпуска готовой продукции.
5.5. Для анализа пожарной опасности технологического процесса принципиальная схема производства продукции должна определять последовательность технологических операций по превращению сырья в готовую продукцию, параметры технологического режима, места ввода в процесс сырья и вспомогательных веществ, места получения полупродуктов и готовой продукции.
5.6. Данные о пожаровзрывоопасных свойствах представляются для всех имеющихся на производстве опасных веществ, материалов, смесей, полупродуктов и готовой продукции с учетом особенностей и параметров технологического процесса (давления, температуры, состава окислительной среды и т.п.).
5.7. В конструкции технологических аппаратов, машин и агрегатов должны быть предусмотрены меры защиты от пожара и (или) взрыва, обеспечивающие пожарную безопасность их работы.
5.8. Разработка технологического оборудования и связанного с ним технологического процесса, разделение технологической схемы на отдельные технологические блоки, ее аппаратурное оформление, выбор типа отключающих устройств и мест их установки, средств контроля, управления и противоаварийной защиты должны осуществляться с учетом требований пожарной безопасности.
5.9. При наличии в технологическом оборудовании пожароопасных, пожаровзрывоопасных и взрывоопасных технологических сред или возможности их образования должны разрабатываться мероприятия по обеспечению пожарной безопасности.
5.10. Технологическое оборудование и связанные с ним технологические процессы должны разрабатываться так, чтобы предотвратить возможность взрыва и (или) пожара в оборудовании при регламентированных значениях их параметров в нормальном режиме работы. Регламентированные значения параметров, определяющих пожарную опасность технологического оборудования и процесса, допустимый диапазон их изменений, организация проведения процесса должны устанавливаться разработчиком оборудования и процесса на основании данных о предельно допустимых значениях параметров или их совокупности для участвующих в процессе технологических сред.
5.11. Конструкция технологического оборудования и условия ведения технологических процессов должны предусматривать необходимые режимы и соответствующие им технические средства, предназначенные для своевременного обнаружения возникновения пожароопасных аварийных ситуаций, ограничения их дальнейшего развития, а также для ограничения поступления горючих веществ и материалов из технологического оборудования в очаг возможного пожара.
5.12. Оценку опасности возникновения пожара и путей его распространения проводят с помощью схем расположения пожароопасного оборудования, построенных на основе планов производственных зданий, установок, этажерок и помещений.
На схемах и картах указывают:
- места возможного образования горючей среды;
- участки возможных пожароопасных аварий;
- вероятные источники зажигания;
- пути распространения огня при пожаре;
- предусмотренные проектом меры защиты участков, узлов и аппаратов от пожара и взрыва.
5.13. На основе анализа, проведенного в соответствии с
5.2 -
5.6 и
5.8, разрабатывают систему мер по предотвращению пожара и противопожарной защите технологических процессов.
При этом необходимо дополнительно учитывать:
- возможность образования локальных горючих смесей у мест выхода паров, газов и пылей в помещение у аппаратов, постоянно или временно сообщающихся с внешней средой через открытые люки, дыхательные линии, предохранительные клапаны или имеющие открытые поверхности испарения;
- наличие и эффективность аспирационной системы, продувки инертным газом и блокировки аппаратов периодического действия, загрузка и разгрузка которых сопровождается открытием люков и крышек;
- эффективность отводных линий у аппаратов и емкостей, оснащенных дыхательными устройствами, предохранительными клапанами, устройствами ручного стравливания;
- работоспособность и эффективность систем улавливания газов и паров, устройств против переполнения и растекания жидкостей, приборов контроля и регулирования температуры при эксплуатации открытых емкостей, заполненных горючими жидкостями;
- надежность принятых способов уплотнения сальников, необходимость применения местных отсосов и блокировки вытяжной вентиляции при работе насосов для перекачки легковоспламеняющихся и горючих жидкостей, сжиженных газов и компрессоров.
5.14. При наличии аппаратов и оборудования, работающих под вакуумом или в которых по условиям технологического процесса имеются смеси горючих веществ с окислителем, необходимо определить:
- возможность и условия образования в аппарате горючих смесей;
- необходимость контроля за составом среды в аппарате;
- необходимость в автоматических средствах предупреждения об образовании горючих смесей;
- возможность локализации горючих смесей;
- надежность и эффективность имеющихся средств защиты.
5.15. Для разработки мероприятий по обеспечению пожарной безопасности технологических процессов следует рассмотреть все виды источников зажигания, которые могут встретиться в производственном процессе.
При этом необходимо:
- установить, какие технические решения предусматриваются для того, чтобы данный аппарат или устройство сами не стали причиной возникновения пожара и (или) взрыва, оценить их эффективность и надежность;
- при наличии аппаратов, имеющих высокую температуру наружной поверхности стенок, определить возможность воспламенения горючих смесей участками, не имеющими теплоизоляции в случае аварий;
- установить перечень веществ и материалов, которые по условиям технологического процесса нагреваются выше температуры самовоспламенения и при аварийных выбросах из аппаратов способны воспламеняться при контакте с окружающим воздухом;
- определить, применяются ли в технологическом процессе вещества, способные воспламеняться при контакте с водой или другими веществами, обращающимися в технологическом процессе;
- проанализировать возможность образования и накопления пирофорных отложений;
- выявить наличие в технологическом процессе веществ, разлагающихся с воспламенением при нагреве, ударе, трении или самовозгорающихся на воздухе при нормальных условиях;
- предотвратить попадание металла и камней в машины и аппараты с вращающимися механизмами (мешалки, мельницы, дробилки, шнеки и т.п.) при наличии в них горючей среды;
- предусмотреть там, где это необходимо, применение искробезопасного и взрывозащищенного электрооборудования и другого технологического оборудования;
- предусмотреть средства контроля и защиты от перегрева подвижных частей машин и аппаратов;
- оценить возможность зажигания горючих смесей от теплового проявления электрической энергии (искры и дуги размыкания, короткие замыкания, токи перегрузки, перегрев электрических контактов, нагрев элементов оборудования индукционными токами и токами высокой частоты, удары молнии и разряды статического электричества);
- определить соответствие силового, осветительного и другого электрооборудования классам взрывоопасных и пожароопасных зон на основании требований
[4];
- предотвратить возможность проникновения газов и паров из взрывоопасных помещений в помещения с нормальной средой, в которых используется невзрывозащищенное электрооборудование, и предусмотреть соответствующие меры защиты;
- разработать при необходимости иные технические решения по защите технологических процессов от возникновения пожаров и взрывов, предусматривающие предотвращение образования горючих сред и источников зажигания.
5.16. Если применяемая в технологическом процессе система предотвращения пожара не может обеспечить в случае его возникновения и распространения на соседние участки и оборудование установленные критерии пожарной безопасности, то для технологического процесса необходимо разработать мероприятия по его противопожарной защите.
5.17. Противопожарная защита технологических процессов должна обеспечиваться:
- применением установок пожаротушения и водяного орошения (при необходимости - автоматических) и соответствующих видов пожарной техники;
- применением автоматических установок пожарной сигнализации и оповещения и управления эвакуацией при пожаре;
- устройствами, ограничивающими распространение пожара;
- применением строительных конструкций с регламентированными пределами огнестойкости и классами конструктивной пожарной опасности;
- организацией своевременной эвакуации людей и снабжением персонала средствами коллективной и индивидуальной защиты от опасных факторов пожара.
5.18. Ограничение распространения пожара должно обеспечиваться:
- устройством противопожарных преград;
- установлением предельно допустимых площадей противопожарных отсеков и секций;
- устройством аварийного отключения технологических установок и коммуникаций;
- применением средств, предотвращающих или ограничивающих разлив и растекание жидкостей при аварийной ситуации;
- применением огнепреграждающих устройств.
5.19. Выбор огнетушащих веществ, составов и автоматических установок пожарной сигнализации, количества, быстродействия и производительности установок пожаротушения следует проводить на стадии проектирования технологических процессов в зависимости от физико-химических свойств перерабатываемых веществ и средств тушения и сценариев проектных пожаров.
В случае изменения технологического процесса или отдельных его операций следует пересматривать выбор средств и способов предотвращения пожара и противопожарной защиты.
При этом применяемые виды пожарной техники должны обеспечивать эффективное тушение пожара и быть безопасными для людей.
5.20. Если при пожаре возможно горение нескольких различных горючих веществ и материалов, отличающихся друг от друга пожароопасными свойствами и характеристиками необходимых средств тушения, то расчет и проектирование установок пожаротушения должны быть произведены по наиболее неблагоприятному для ликвидации пожара веществу или продукту.
Если по условиям совместимости огнетушащих веществ с горючими материалами назначение общего для всех огнетушащего агента нецелесообразно, то допустимо применение нескольких огнетушащих веществ. При этом горючие вещества, не совместимые с тем или иным огнетушащим составом, должны быть пространственно отделены или вынесены в отдельные помещения.
МЕТОД РАСЧЕТА ИЗБЫТОЧНОГО ДАВЛЕНИЯ,
РАЗВИВАЕМОГО ПРИ СГОРАНИИ ГАЗО-, ПАРО-
И ПЫЛЕВОЗДУШНЫХ СМЕСЕЙ В ПОМЕЩЕНИИ
А.1. Выбор и обоснование расчетного варианта
А.1.1. При расчете критериев взрывопожарной опасности в качестве расчетного следует выбирать наиболее неблагоприятный вариант аварии или период нормальной работы аппаратов, при котором в образовании горючих газо-, паро- и пылевоздушных смесей участвует наибольшее количество газов, паров, пылей, наиболее опасных в отношении последствий сгорания этих смесей.
А.1.2. Количество поступивших в помещение веществ, которые могут образовать горючие газовоздушные, паровоздушные, пылевоздушные смеси, определяется исходя из следующих предпосылок:
а) происходит расчетная авария одного из аппаратов согласно А.1.1;
б) все содержимое аппарата поступает в помещение;
в) происходит одновременно утечка веществ из трубопроводов, питающих аппарат, по прямому и обратному потокам в течение времени, необходимого для отключения трубопроводов.
Расчетное время отключения трубопроводов определяют в каждом конкретном случае исходя из реальной обстановки, и оно должно быть минимальным с учетом паспортных данных на запорные устройства, характера технологического процесса и вида расчетной аварии.
Расчетное время отключения трубопроводов следует принимать равным:
- времени срабатывания системы автоматики отключения трубопроводов согласно паспортным данным установки, если вероятность отказа системы автоматики не превышает

в год или обеспечено резервирование ее элементов;
- 120 с, если вероятность отказа системы автоматики превышает

в год и не обеспечено резервирование ее элементов;
- 300 с при ручном отключении;
г) происходит испарение с поверхности разлившейся жидкости; площадь испарения при разливе на пол определяется (при отсутствии справочных данных) исходя из расчета, что 1 литр смесей и растворов, содержащих 70% и менее (по массе) растворителей, разливается на площади 0,5 м2, а остальных жидкостей - на 1 м2 пола помещения;
д) происходит также испарение жидкости из емкостей, эксплуатируемых с открытым зеркалом жидкости, и со свежеокрашенных поверхностей;
е) длительность испарения жидкости принимается равной времени ее полного испарения, но не более 3600 с.
А.1.3. Количество пыли, которое может образовать пылевоздушную смесь, определяется из следующих предпосылок:
а) расчетной аварии предшествовало пыленакопление в производственном помещении, происходящее в условиях нормального режима работы (например, вследствие пылевыделения из негерметичного производственного оборудования);
б) в момент расчетной аварии произошла плановая (ремонтные работы) или внезапная разгерметизация одного из технологических аппаратов, за которой последовал аварийный выброс в помещение всей находившейся в аппарате пыли.
А.1.4. Свободный объем помещения определяется как разность между объемом помещения и объемом, занимаемым технологическим оборудованием. Если свободный объем помещения определить невозможно, то его допускается принимать условно равным 80% геометрического объема помещения.
А.1.5. Определение пожароопасных свойств веществ и материалов проводят на основании результатов испытаний или расчетов по стандартным методикам
[3] с учетом параметров состояния (давление, температура и т.д.).
Допускается использование справочных данных.
Допускается использование показателей пожарной опасности для смесей веществ и материалов по наиболее опасному компоненту.
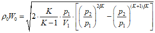
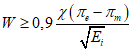
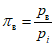
А.2. Расчет избыточного давления для горючих газов, паров легковоспламеняющихся и горючих жидкостей
А.2.1. Избыточное давление

для индивидуальных горючих веществ, состоящих из атомов C, H, O, N, Cl, Br, I, F, определяется по формуле

, (А.1)
где

- максимальное давление, развиваемое при сгорании стехиометрической газовоздушной или паровоздушной смеси в замкнутом объеме, определяемое экспериментально или по справочным данным в соответствии с требованиями
А.1.5. При отсутствии данных допускается принимать

равным 900 кПа;

- начальное давление, кПа (допускается принимать равным 101 кПа);
m - масса горючего газа (ГГ) или паров легковоспламеняющихся (ЛВЖ) и горючих жидкостей (ГЖ), вышедших в результате расчетной аварии в помещение, вычисляемая для ГГ по
формуле А.14, а для паров ЛВЖ и ГЖ - по
формуле А.19, кг;
Z - коэффициент участия горючих газов и паров в горении, который может быть рассчитан на основе характера распределения газов и паров в объеме помещения согласно
А.2.3 и
А.2.4. Допускается принимать значение Z по
таблице А.1;

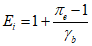
- свободный объем помещения, м3;

- плотность газа или пара при расчетной температуре

, вычисляемая по формуле

, (А.2)
где M - молярная масса,

;

- мольный объем, равный

;

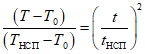
- расчетная температура, °C.
В качестве расчетной температуры следует принимать максимально возможную температуру воздуха в данном помещении в соответствующей климатической зоне или максимально возможную температуру воздуха по технологическому регламенту с учетом возможного повышения температуры в аварийной ситуации. Если такого значения расчетной температуры

по каким-либо причинам определить не удается, допускается принимать ее равной 61 °C;

- стехиометрическая концентрация ГГ или паров ЛВЖ и ГЖ, % (объемных), вычисляемая по формуле

, (А.3)
где

- стехиометрический коэффициент кислорода в реакции сгорания;

,

,

,

- число атомов C, H, O и галоидов в молекуле горючего;

- коэффициент, учитывающий негерметичность помещения и неадиабатичность процесса горения. Допускается принимать

равным трем.
Таблица А.1
Значение коэффициента Z участия горючих газов
и паров в горении
Вид горючего вещества | Значение Z |
Водород | 1,0 |
Горючие газы (кроме водорода) | 0,5 |
Легковоспламеняющиеся и горючие жидкости, нагретые до температуры вспышки и выше | 0,3 |
Легковоспламеняющиеся и горючие жидкости, нагретые ниже температуры вспышки, при наличии возможности образования аэрозоля | 0,3 |
Легковоспламеняющиеся и горючие жидкости, нагретые ниже температуры вспышки, при отсутствии возможности образования аэрозоля | 0 |
А.2.2. Расчет

для индивидуальных веществ, кроме упомянутых в
А.2.1, а также для смесей может быть выполнен по формуле

, (А.4)
где

- теплота сгорания,

;

- плотность воздуха при начальной температуре

;

- теплоемкость воздуха,

(допускается принимать равной

);

- начальная максимальная температура воздуха, для данного региона в теплый период года, К.
А.2.3. Приведенные в
А.1 и А.4 расчетные формулы применяются для случая

[

- нижний концентрационный предел распространения пламени горючего газа или пара, % (об.)] и помещений в форме прямоугольного параллелепипеда с отношением длины к ширине не более пяти.
Коэффициент участия Z горючих газов и паров, нагретых не выше температуры окружающей среды легковоспламеняющихся жидкостей при сгорании газо-, паро- и пылевоздушной смеси для заданного уровня значимости

(уровень значимости - вероятность того, что значение концентрации C превысит значение математического ожидания этой случайной величины

), рассчитывают по формулам:
при

и


, (А.5)
при

и


, (А.6)
где m - масса газа или паров ЛВЖ, поступающих в помещение в соответствии с
А.2.6 и
А.2.7, кг;

- допустимые отклонения концентраций при задаваемом уровне значимости

, приведенные в
таблице А.2;

,

,

- расстояния по осям X, Y, Z от источника поступления газа или пара, ограниченные

соответственно, м; рассчитываются по
формулам Б.1 -
Б.4;
l, b - длина и ширина помещения соответственно, м;
F - площадь пола помещения, м2;

- предэкспоненциальный множитель, % (об.), равный:
при отсутствии подвижности воздушной среды для горючих газов

, (А.7)
при подвижности воздушной среды для горючих газов

, (А.8)
где U - подвижность воздушной среды, м/с, принимается из технической документации на систему вентиляции для данного помещения;
при отсутствии подвижности воздушной среды для паров легковоспламеняющихся жидкостей

, (А.9)
где

- концентрация насыщенных паров при расчетной температуре

, °C, в воздухе в помещении, % (об.);

- плотность паров, кг/м3.
Таблица А.2
Значения допустимых отклонений

концентраций
при уровне значимости

Характер распределения концентраций | | |
Для горючих газов при отсутствии подвижности воздушной среды | 0,100000 | 1,29 |
0,050000 | 1,38 |
0,010000 | 1,53 |
0,003000 | 1,63 |
0,001000 | 1,70 |
0,000001 | 2,04 |
Для горючих газов при подвижности воздушной среды | 0,100000 | 1,29 |
0,050000 | 1,37 |
0,010000 | 1,52 |
0,003000 | 1,62 |
0,001000 | 1,70 |
0,000001 | 2,03 |
Для паров легковоспламеняющихся жидкостей при отсутствии подвижности воздушной среды | 0,100000 | 1,19 |
0,050000 | 1,25 |
0,010000 | 1,35 |
0,003000 | 1,41 |
0,001000 | 1,46 |
0,000001 | 1,68 |
Для паров легковоспламеняющихся жидкостей при подвижности воздушной среды | 0,100000 | 1,21 |
0,050000 | 1,27 |
0,010000 | 1,38 |
0,003000 | 1,45 |
0,001000 | 1,51 |
0,000001 | 1,75 |
Концентрация

может быть найдена по формуле

, (А.10)
где

- давление насыщенных паров при расчетной температуре (находится по справочной литературе), кПа;

- атмосферное давление, равное 101 кПа.
При подвижности воздушной среды для паров легковоспламеняющихся жидкостей

. (А.11)
Уровень значимости

выбирают исходя из особенностей технологического процесса. Допускается принимать

равным 0,05.
А.2.4. Коэффициент Z участия паров ненагретых легковоспламеняющихся жидкостей при сгорании паровоздушной смеси может быть определен по номограмме, приведенной на рисунке А.1.
Рисунок А.1. Зависимость коэффициента Z от X
X рассчитывают по формуле

, (А.12)
где

;

- эффективный коэффициент избытка горючего, принимаемый равным 1,9.
А.2.5. В случае обращения в помещении горючих газов, легковоспламеняющихся или горючих жидкостей при определении массы m, входящей в
формулы А.1 и
А.4, допускается учитывать работу аварийной вентиляции, если она обеспечена резервными вентиляторами, автоматическим пуском при превышении предельно допустимой взрывобезопасной концентрации и электроснабжением по первой категории надежности согласно
[4], при условии расположения устройств для удаления воздуха из помещения в непосредственной близости от места возможной аварии.
Допускается учитывать постоянно работающую общеобменную вентиляцию, обеспечивающую концентрацию горючих газов и паров в помещении, не превышающую предельно допустимую взрывобезопасную концентрацию, рассчитанную для аварийной вентиляции. Указанная общеобменная вентиляция должна быть оборудована резервными вентиляторами, включающимися автоматически при остановке основных. Электроснабжение указанной вентиляции должно осуществляться не ниже чем по первой категории надежности.
При этом массу m горючих газов или паров легковоспламеняющихся или горючих жидкостей, нагретых до температуры вспышки и выше, поступивших в объем помещения, следует разделить на коэффициент K, определяемый по формуле
K = AT + 1, (А.13)
где A - кратность воздухообмена, создаваемого аварийной вентиляцией,

;
T - продолжительность поступления горючих газов и паров легковоспламеняющихся и горючих жидкостей в объем помещения, с (принимается по
А.1.2).
А.2.6. Масса m, кг, поступившего в помещение при расчетной аварии газа, определяется по формуле

, (А.14)
где

- объем газа, вышедшего из аппарата, м3;

- объем газа, вышедшего из трубопроводов, м3.
При этом

, (А.15)
где

- давление в аппарате, кПа;
V - объем аппарата, м3;

, (А.16)
где

- объем газа, вышедшего из трубопровода до его отключения, м3;

- объем газа, вышедшего из трубопровода после его отключения, м3;

, (А.17)
где q - расход газа, определяемый в соответствии с технологическим регламентом в зависимости от давления в трубопроводе, его диаметра, температуры газовой среды и т.д.,

;
T - время, определяемое по
А.1.2, с;

, (А.18)
где

- максимальное давление в трубопроводе по технологическому регламенту, кПа;

- внутренний радиус трубопроводов, м;

- длина трубопроводов от аварийного аппарата до задвижек, м.
А.2.7. Масса паров жидкости m, поступивших в помещение при наличии нескольких источников испарения (поверхность разлитой жидкости, поверхность со свеженанесенным составом, открытые емкости и т.п.), определяется из выражения:

, (А.19)
где

- масса жидкости, испарившейся с поверхности разлива, кг;

- масса жидкости, испарившейся с поверхностей открытых емкостей, кг;

- масса жидкости, испарившейся с поверхностей, на которые нанесен применяемый состав, кг.
При этом каждое из слагаемых в формуле А.19 определяется по формуле

, (А.20)
где W - интенсивность испарения,

;

- площадь испарения, м2, определяемая в соответствии с
А.1.2 в зависимости от массы жидкости

, вышедшей в помещение.
Если аварийная ситуация связана с возможным поступлением жидкости в распыленном состоянии, то она должна быть учтена в
формуле А.19 введением дополнительного слагаемого, учитывающего общую массу поступившей жидкости от распыляющих устройств, исходя из продолжительности их работ.
Масса паров жидкости, поступивших в помещение при аварийной ситуации, может быть определена экспериментально или расчетным путем.
А.2.8. Массу паров

, кг, вышедшую в помещение жидкости, определяют в соответствии с
А.1.2.
А.2.9. Интенсивность испарения W,

, определяется по справочным и экспериментальным данным. Для ненагретых выше расчетной температуры окружающей среды ЛВЖ при отсутствии данных допускается рассчитывать W по формуле

, (А.21)
где

- коэффициент, принимаемый по таблице А.3 в зависимости от скорости и температуры воздушного потока над поверхностью испарения;

- давление насыщенного пара при расчетной температуре

, определяемое по справочным данным, кПа;
M - молярная масса, кг x к x моль.
Таблица А.3
Значение коэффициента

в зависимости от скорости
и температуры воздушного потока
Скорость воздушного потока в помещении,  | Значение коэффициента  при температуре °C, воздуха в помещении |
10 | 15 | 20 | 30 | 35 |
0 | 1,0 | 1,0 | 1,0 | 1,0 | 1,0 |
0,1 | 3,0 | 2,6 | 2,4 | 1,8 | 1,6 |
0,2 | 4,6 | 3,8 | 3,5 | 2,4 | 2,3 |
0,5 | 6,6 | 5,7 | 5,4 | 3,6 | 3,2 |
1,0 | 10,0 | 8,7 | 7,7 | 5,6 | 4,6 |
А.2.10. Масса паров m, кг, при испарении жидкости, нагретой выше расчетной температуры, но не выше температуры кипения жидкости, определяется по соотношению

, (А.22)
где

- удельная теплоемкость жидкости при начальной температуре испарения,

;

- удельная теплота испарения жидкости при начальной температуре испарения, определяемая по справочным данным,

.
При отсутствии справочных данных допускается рассчитывать

по формуле

, (А.23)
где B,

- константы уравнения Антуана, определяемые по справочным данным для давления насыщенных паров, измеряемого в кПа;

- начальная температура нагретой жидкости, К;
M - молярная масса, кг x к x моль.
Формулы А.22 и А.23 справедливы для жидкостей, нагретых от температуры вспышки и выше при условии, что температура вспышки жидкости превышает значение расчетной температуры

.
А.3. Расчет избыточного давления взрыва для горючих пылей
А.3.1. Расчет избыточного давления

, кПа, производится по
формуле (А.4), где коэффициент Z участия взвешенной пыли в горении рассчитывают по формуле
Z = 0,5F, (А.24)
где F - массовая доля частиц пыли размером менее критического, с превышением которого аэровзвесь становится неспособной распространять пламя. В отсутствие возможности получения сведений для оценки величины F допускается принимать F = 1.
К пылям, способным образовывать горючие пылевоздушные смеси, относят дисперсные материалы, характеризующиеся наличием показателей пожарной опасности: нижним концентрационным пределом распространения пламени, максимальным давлением, развиваемым при сгорании пылевоздушной смеси (более 50 кПа), и скоростью его нарастания, минимальным взрывоопасным содержанием кислорода менее 21% (об.).
А.3.2. Расчетную массу взвешенной в объеме помещения пыли m, кг, образовавшейся в результате аварийной ситуации, определяют по формуле

, (А.25)
где

- расчетная масса взвихрившейся пыли, кг;

- расчетная масса пыли, поступившей в помещение в результате аварийной ситуации, кг;

- стехиометрическая концентрация горючей пыли в аэровзвеси,

;

- расчетный объем пылевоздушного облака, образованного при аварийной ситуации в объеме помещения, м3.
В отсутствие возможности получения сведений для расчета

допускается принимать

. (А.26)
А.3.3. Расчетную массу взвихрившейся пыли

определяют по формуле

, (А.27)
где

- доля отложившейся в помещении пыли, способной перейти во взвешенное состояние в результате аварийной ситуации. При отсутствии экспериментальных сведений о величине

допускается принимать

;

- масса отложившейся в помещении пыли к моменту аварии, кг.
А.3.4. Расчетную массу пыли, поступившей в помещение в результате аварийной ситуации,

, определяют по формуле

, (А.28)
где

- масса горючей пыли, выбрасываемой в помещение из аппарата, кг;
q - производительность, с которой продолжается поступление пылевидных веществ в аварийный аппарат по трубопроводам до момента их отключения,

;
T - время отключения, определяемое по
А.1.2 (в), с;

- коэффициент пыления, представляющий отношение массы взвешенной в воздухе пыли ко всей массе пыли, поступившей из аппарата в помещение. При отсутствии экспериментальных данных о величине

допускается принимать:
-

- для пылей с дисперсностью не менее 350 мкм;
-

- для пылей с дисперсностью менее 350 мкм.
Величину

принимают в соответствии с
А.1.1 и
А.1.3.
А.3.5. Массу отложившейся в помещении пыли к моменту аварии определяют по формуле

, (А.29)
где

- доля горючей пыли в общей массе отложений пыли;

- коэффициент эффективности пылеуборки. Принимают равным 0,6 при сухой и 0,7 - при влажной пылеуборке (ручной). При механизированной вакуумной пылеуборке для ровного пола

принимают равным 0,9; для пола с выбоинами (до 5% площади) - 0,7;

- масса пыли, оседающей на труднодоступных для уборки поверхностях в помещении за период времени между генеральными уборками, кг;

- масса пыли, оседающей на доступных для уборки поверхностях в помещении за период времени между текущими уборками, кг.
Под труднодоступными для уборки площадями подразумевают такие поверхности в производственных помещениях, очистка которых осуществляется только при генеральных пылеуборках. Доступными для уборки местами являются поверхности, пыль с которых удаляется в процессе текущих пылеуборок (ежесменно, ежесуточно и т.п.).
А.3.6. Масса пыли

, оседающей на различных поверхностях в помещении за межуборочный период, определяется по формуле

, (А.30)
где

- масса пыли, выделяющаяся в объем помещения за период времени между генеральными пылеуборками, кг;

- масса пыли, выделяемая единицей пылящего оборудования за указанный период, кг;

- масса пыли, выделяющаяся в объем помещения за период времени между текущими пылеуборками, кг;

- масса пыли, выделяемая единицей пылящего оборудования за указанный период, кг;

- доля выделяющейся в объем помещения пыли, которая удаляется вытяжными вентиляционными системами. При отсутствии экспериментальных данных о величине

полагают

;

,

- доли выделяющейся в объем помещения пыли, оседающей соответственно на труднодоступных и доступных для уборки поверхностях помещения

.
При отсутствии сведений о коэффициентах

и

допускается принимать

,

.
А.3.7.

могут быть также определены экспериментально (или по аналогии с действующими образцами производств) в период максимальной загрузки оборудования по формуле

, (А.31)
где

,

- интенсивность пылеотложений соответственно на труднодоступных

и доступных

площадях,

;

,

- промежуток времени соответственно между генеральными и текущими пылеуборками, с.
А.3.8. В таблице А.4 приведены типичные предельно допустимые значения избыточного давления с точки зрения повреждения зданий.
Таблица А.4
Типичные предельно допустимые значения
избыточного давления с точки зрения повреждения зданий
Степень поражения | Типичные предельно допустимые значения избыточного давления, кПа |
Полное разрушение зданий | 100 |
50%-ное разрушение зданий | 53 |
Средние повреждения зданий | 28 |
Умеренные повреждения зданий (повреждение внутренних перегородок, рам, дверей и т.п.) | 12 |
Нижний порог повреждения человека волной давления | 5 |
Малые повреждения (разбита часть остекления) | 3 |
А.4. Определение избыточного давления для смесей, содержащих горючие газы (пары) и пыли
Расчетное избыточное давление

для гибридных смесей, содержащих горючие газы (пары) и пыли, определяется по формуле

, (А.32)
где

- избыточное давление, вычисленное для горючего газа (пара) в соответствии с
А.2.1 и
А.2.2;

- избыточное давление, вычисленное для горючей пыли в соответствии с
А.3.1.
А.5. Определение избыточного давления для веществ и материалов, способных сгорать при взаимодействии с водой, кислородом воздуха или друг с другом с образованием волн давления
Расчетное избыточное давление

для веществ и материалов, способных сгорать при взаимодействии с водой, кислородом воздуха или друг с другом, определяют по
А.2.2, полагая Z = 1 и принимая в качестве

энергию, выделяющуюся при их взаимодействии (с учетом сгорания продуктов взаимодействия до конечных соединений) или экспериментально в натурных испытаниях. В случае, когда определить величину

не представляется возможным, следует принимать ее превышающей 5 кПа.
МЕТОД РАСЧЕТА МАКСИМАЛЬНЫХ РАЗМЕРОВ
ВЗРЫВООПАСНЫХ ЗОН, ОГРАНИЧЕННЫХ НИЖНИМ КОНЦЕНТРАЦИОННЫМ
ПРЕДЕЛОМ РАСПРОСТРАНЕНИЯ ПЛАМЕНИ ГАЗОВ И ПАРОВ ЖИДКОСТЕЙ,
РАЗМЕРОВ ЗОН ПОРАЖЕНИЯ ПРИ РЕАЛИЗАЦИИ ПОЖАРА - ВСПЫШКИ
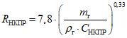
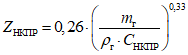
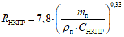
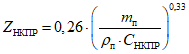
Б.1. Радиус

(м) и высота

(м) зоны, ограничивающие область концентраций, превышающих нижний концентрационный предел распространения пламени (далее - НКПР), при неподвижной воздушной среде определяется по формулам:
для горючих газов (далее - ГГ)

, (Б.1)

, (Б.2)
для паров ЛВЖ

, (Б.3)

, (Б.4)
где

- масса ГГ, поступившего в открытое пространство при пожароопасной ситуации, кг;

- плотность ГГ при расчетной температуре и атмосферном давлении, кг/м3;

- масса паров ЛВЖ, поступивших в открытое пространство за время испарения, кг;

- плотность паров ЛВЖ при расчетной температуре, кПа;

- нижний концентрационный предел распространения пламени ГГ или паров, % об.
За начало отсчета горизонтального размера зоны принимают геометрический центр пролива, а в случае, если

меньше габаритных размеров пролива, - внешние габаритные размеры пролива.
При необходимости может быть учтено влияние различных метеорологических условий на размеры взрывоопасных зон.
Б.2. В случае образования паровоздушной смеси в незагроможденном технологическим оборудованием пространстве и его зажигании относительно слабым источником (например, искрой) сгорание этой смеси происходит, как правило, с небольшими видимыми скоростями пламени. При этом амплитуды волны давления малы и могут не приниматься во внимание при оценке поражающего воздействия. В этом случае реализуется так называемый пожар-вспышка, при котором зона поражения высокотемпературными продуктами сгорания паровоздушной смеси практически совпадает с максимальным размером облака продуктов сгорания (т.е. поражаются в основном объекты, попадающие в это облако). Радиус воздействия высокотемпературных продуктов сгорания паровоздушного облака при пожаре-вспышке

определяется формулой

, (Б.5)
где

- горизонтальный размер взрывоопасной зоны, определяемый по
формуле Б.3 настоящего приложения.
МЕТОД РАСЧЕТА ИНТЕНСИВНОСТИ ТЕПЛОВОГО ИЗЛУЧЕНИЯ
ПРИ ПОЖАРАХ ПРОЛИВОВ ЛЕГКОВОСПЛАМЕНЯЮЩИХСЯ
И ГОРЮЧИХ ЖИДКОСТЕЙ
В.1. Интенсивность теплового излучения q (кВт/м2) для пожара пролива легковоспламеняющихся (ЛВЖ), горючих жидкостей (ГЖ), сжиженного природного газа (СПГ), сжиженного углеводородного газа (СУГ) определяется по формуле

, (В.1)
где

- среднеповерхностная интенсивность теплового излучения пламени, кВт/м2;

- угловой коэффициент облученности;

- коэффициент пропускания атмосферы.
Значение

принимается на основе имеющихся экспериментальных данных или по таблице В.1.
Таблица В.1
Среднеповерхностная плотность теплового излучения
пламени в зависимости от диаметра очага и удельная
массовая скорость выгорания для некоторых жидких
углеводородных топлив
Топливо |  , кВт/м2, при d, м | m', кг/(м2 x с) |
10 | 20 | 30 | 40 | 50 |
СПГ | 220 | 180 | 150 | 130 | 120 | 0,08 |
СУГ (пропан-бутан) | 80 | 63 | 50 | 43 | 40 | 0,1 |
Бензин | 60 | 47 | 35 | 28 | 25 | 0,06 |
Дизельное топливо | 40 | 32 | 25 | 21 | 18 | 0,04 |
Примечание. Для диаметров очага менее 10 м или более 50 м следует принимать

такой же, как и для очагов диаметром 10 м и 50 м соответственно.
При отсутствии данных для нефти и нефтепродуктов допускается величину

(кВт/м2) определять по формуле

, (В.2)
где d - эффективный диаметр пролива, м;
e - основание натурального логарифма, равное 2,7.
При отсутствии данных для однокомпонентных жидкостей допускается величину

(кВт/м2) определять по формуле

, (В.3)
где m' - удельная массовая скорость выгорания, кг/(м2 x с);

- удельная теплота сгорания, кДж/кг;
L - длина пламени, м.
При отсутствии данных для однокомпонентных жидкостей допускается величину m', кг/(м2 x с), определять по формуле

, (В.4)
где

- удельная теплота испарения жидкости, кДж/кг;

- удельная теплоемкость жидкости, кДж/(кг x К);

- температура кипения жидкости при атмосферном давлении, К;

- температура окружающей среды, К.
Для многокомпонентных смесей жидкостей допускается определение значений

и m' по компонентам, для которых величины

и m' максимальны.
В.2. Угловой коэффициент облученности

определяется по формуле

, (В.5)
где

,

- факторы облученности для вертикальной и горизонтальной площадок, соответственно, определяемые для площадок, расположенных в 90° секторе в направлении наклона пламени, по следующим формулам:

, (В.6)

, (В.7)

, (В.8)

, (В.9)

, (В.10)

, (В.11)

, (В.12)

, (В.13)

, (В.14)

, (В.15)
где X - расстояние от геометрического центра пролива до облучаемого объекта, м;
d - эффективный диаметр пролива, м;
L - длина пламени, м;

- угол отклонения пламени от вертикали под действием ветра.
Для площадок, расположенных вне указанного сектора, а также в случаях отсутствия ветра факторы облученности для вертикальной и горизонтальной площадок рассчитываются по
формулам В.6 - В.15 и
В.18, принимая

.
Эффективный диаметр пролива d (м) рассчитывается по формуле

, (В.16)
где F - площадь пролива, м2.
Длина пламени L (м) определяется по формулам:
при


, (В.17)
при


, (В.18)
где

, (В.19)
где m' - удельная массовая скорость выгорания топлива, кг/(м2 x с);

- плотность окружающего воздуха, кг/м3;

- плотность насыщенных паров топлива при температуре кипения, кг/м3;

- скорость ветра, м/с;
g - ускорение свободного падения (9,81 м/с2).
Угол отклонения пламени от вертикали под действием ветра

рассчитывается по формуле

. (В.20)
Коэффициент пропускания атмосферы

для пожара пролива определяется по формуле

. (В.21)
В.3. В таблице В.2 представлены типичные значения предельно допустимой интенсивности теплового излучения для различных степеней поражения человека и материалов.
Таблица В.2
Типичные предельно допустимые значения интенсивности
теплового излучения для различных степеней поражения
человека и повреждения материалов
Степень поражения | Типичные предельно допустимые значения интенсивности теплового излучения, кВт/м2 |
Без негативных последствий в течение длительного времени | 1,4 |
Безопасно для человека в брезентовой одежде | 4,2 |
Непереносимая боль через 20 - 30 с Ожог 1-й степени через 15 - 20 с Ожог 2-й степени через 30 - 40 с Воспламенение хлопка-волокна через 15 мин | 7,0 |
Воспламенение древесины, окрашенной масляной краской по строганой поверхности; воспламенение фанеры | 17,0 |
Непереносимая боль через 3 - 5 с Ожог 1-й степени через 6 - 8 с Ожог 2-й степени через 12 - 16 с | 10,5 |
Воспламенение древесины с шероховатой поверхностью (влажность 12%) при длительности облучения 15 мин | 12,9 |
Воспламенение древесины, окрашенной масляной краской по строганой поверхности; воспламенение фанеры | 17,0 |
МЕТОД РАСЧЕТА РАЗМЕРОВ ЗОН РАСПРОСТРАНЕНИЯ ОБЛАКА
ГОРЮЧИХ ГАЗОВ И ПАРОВ ПРИ АВАРИИ
Сущность метода
В настоящем приложении установлен порядок расчета изменения во времени концентрации газа в облаке при мгновенном выбросе и непрерывном истечении сжиженного углеводородного газа (СУГ).
Г.1. Мгновенный выброс СУГ
Г.1.1. Мгновенный выброс СУГ может происходить при повреждении резервуара или иного аппарата, в котором СУГ находится под давлением.
За счет внутренней энергии СУГ его массовая доля

мгновенно испаряется, образуя с капельками жидкости облако аэрозоля. За счет больших скоростей вихревых потоков происходит быстрое вовлечение в облако воздуха и быстрое испарение оставшейся части СУГ.
Массу воздуха

, кг, мгновенно вовлекающуюся в облако для такого испарения, рассчитывают по формуле

, (Г.1)
где

- масса выброшенного СУГ, кг;

- удельная теплоемкость воздуха, Дж/(кг x К);

- удельная теплота парообразования СУГ, Дж/кг;

- температура окружающего воздуха, К;

- температура кипения СУГ при атмосферном давлении, К;

- массовая доля водяных паров в воздухе;

- удельная теплота парообразования воды, Дж/кг;

- массовая доля мгновенно испарившегося СУГ.

определяют из соотношения

, (Г.2)
где

- удельная теплоемкость СУГ, Дж/(кг x К).
Г.1.2. Принимают, что образовавшееся облако дрейфует по ветру со скоростью

(

- скорость ветра) и имеет в начальный момент форму цилиндра, высота которого равна его радиусу. С течением времени высота облака уменьшается, а радиус растет.
Изменение во времени радиуса, высоты облака и концентрации газа в нем в этой фазе (называемой фазой падения) определяется путем решения методом Рунге-Кутта (реализованным в виде стандартной программы на ЭВМ) системы обыкновенных дифференциальных уравнений

, (Г.3)

, (Г.4)

, (Г.5)
где

- масса воздуха в облаке, кг;

- плотность воздуха, кг/м3;
r - радиус облака, м;

,

,

,

- коэффициенты (

,

,

,

для классов устойчивости A - B (классы устойчивости даны по Паскуиллу,
таблица Г.1); 0,24 - для C - B; 0,16 - для E - F);

- число Ричардсона, определяемое из соотношения

;
h - высота облака, м;
T - температура облака, К;

- температура земной поверхности, К;

- плотность паровоздушного облака, кг/м3.
Таблица Г.1
Классы устойчивости атмосферы по Паскуиллу
Класс по Паскуиллу | Типичная скорость ветра, м/с | Описание погоды | Вертикальный градиент температуры, К/м |
A | 1 | Безоблачно | >>> 0,01 |
B | 2 | Солнечно и тепло | >> 0,01 |
C | 5 | Переменная облачность в течение дня | > 0,01 |
D | 5 | Облачный день или облачная ночь |  0,01 |
E | 3 | Переменная облачность в течение ночи | < 0,01 |
F | 2 | Ясная ночь | Инверсия (отрицательный градиент) |
Решением системы вышеуказанных уравнений являются зависимости

, T = T(t), r = r(t).
Для решения системы уравнений необходимы дополнительные соотношения

. (Г.6)
В качестве критерия окончания фазы падения принимают выполнение условия

. (Г.7)
Зависимость h = h(t) находим из соотношения

. (Г.8)
Г.1.3. Когда плотность паровоздушного облака незначительно отличается от плотности воздуха (т.е. после окончания фазы падения), его движение определяется как фаза пассивной дисперсии и описывается процессами турбулентной диффузии.
Концентрацию газа в точке с координатами (x, y, z) в фазе пассивной дисперсии определяют из формулы

, (Г.9)
где

,

- среднеквадратичные отклонения, зависящие от величины

;

- координата центра облака в направлении ветра, м;

- координата точки окончания фазы падения, м;

;

зависят от класса устойчивости по Паскуиллу.
Г.2. Непрерывное истечение СУГ
Для описания непрерывного истечения СУГ из резервуаров или иных аппаратов предполагается, что результирующая концентрация газа в паровоздушном облаке является суммой концентраций от отдельных элементарных газовых объемов и рассчитывается по формуле

, (Г.10)
где

- масса СУГ в j-м элементарном объеме, кг;
m - массовая скорость истечения СУГ, кг/с;

- координата центра j-го элементарного объема, м;

,

- среднеквадратические отклонения распределения концентраций в j-м элементарном объеме, м;

,

- определяют аналогично

,

в
Г.1.3.
МЕТОД РАСЧЕТА ИНТЕНСИВНОСТИ ТЕПЛОВОГО ИЗЛУЧЕНИЯ
И ВРЕМЕНИ СУЩЕСТВОВАНИЯ ОГНЕННОГО ШАРА
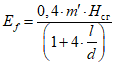
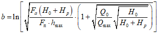
Д.1. Интенсивность теплового излучения q (кВт/м2) для огненного шара определяется по
формуле В.1.
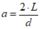
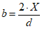
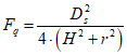
Д.2. Величина

определяется на основе имеющихся экспериментальных данных. Допускается принимать

равной 350 кВт/м2.
Д.3. Значение

определяется по формуле

, (Д.1)
где H - высота центра огненного шара, м;

- эффективный диаметр огненного шара, м;
r - расстояние от облучаемого объекта до точки на поверхности земли непосредственно под центром огненного шара, м.
Д.4. Эффективный диаметр огненного шара

(м) определяется по формуле

, (Д.2)
где m - масса продукта, поступившего в окружающее пространство, кг.
Д.5. Величину H допускается принимать равной

.
Время существования огненного шара

определяется по формуле

. (Д.3)
Д.6. Коэффициент пропускания атмосферы

для огненного шара рассчитывается по формуле

. (Д.4)
Д.7. В таблице Д.1 представлены типичные значения предельно допустимых доз теплового излучения при воздействии огненного шара на человека.
Таблица Д.1
Типичные значения предельно допустимых доз теплового
излучения при воздействии огненного шара на человека
Степень поражения | Доза теплового изучения, Дж/м2 |
Ожог 1-й степени | |
Ожог 2-й степени | |
Ожог 3-й степени | |
Примечание. Дозу теплового излучения Q, Дж/м2, рассчитывают по формуле |
 , |
где q - интенсивность теплового излучения огненного шара, Вт/м2; |
 - время существования огненного шара, с. |
q и  вычисляют в соответствии с настоящим приложением. |
МЕТОД РАСЧЕТА ПАРАМЕТРОВ ВОЛНЫ ДАВЛЕНИЯ ПРИ СГОРАНИИ
ГАЗО-, ПАРО- И ПЫЛЕВОЗДУШНЫХ СМЕСЕЙ В ОТКРЫТОМ ПРОСТРАНСТВЕ
Е.1. Методика количественной оценки параметров воздушных волн давления при сгорании газо-, паро- и пылевоздушных смесей
Методика распространяется на случаи выброса горючих газов, паров или пыли в атмосферу на производственных объектах.
Основными структурными элементами алгоритма расчетов являются:
определение ожидаемого режима сгорания облака;
расчет максимального избыточного давления и импульса фазы сжатия воздушных волн давления для различных режимов;
определение дополнительных характеристик взрывной нагрузки;
оценка поражающего воздействия.
Исходными данными для расчета параметров волн давления при сгорании облака являются:
вид горючего вещества, содержащегося в облаке;
концентрация горючего вещества в смеси

;
стехиометрическая концентрация горючего вещества с воздухом

;
масса горючего вещества, содержащегося в облаке

, с концентрацией между нижним и верхним концентрационным пределом распространения пламени. Допускается величину

принимать равной массе горючего вещества, содержащегося в облаке, с учетом коэффициента Z участия горючего вещества во взрыве. При отсутствии данных коэффициент Z может быть принят равным 0,1;
удельная теплота сгорания горючего вещества

;
скорость звука в воздухе

(обычно принимается равной 340 м/с);
информация о степени загроможденности окружающего пространства;
эффективный энергозапас горючей смеси E, который определяется по формуле

. (Е.1)
При расчете параметров сгорания облака, расположенного на поверхности земли, величина эффективного энергозапаса удваивается.
Е.2. Определение ожидаемого режима сгорания облака
Ожидаемый режим сгорания облака зависит от типа горючего вещества и степени загроможденности окружающего пространства.
Е.3. Классификация горючих веществ по степени чувствительности
Вещества, способные к образованию горючих смесей с воздухом, по степени своей чувствительности к возбуждению взрывных процессов разделены на четыре класса:
класс 1 - особо чувствительные вещества (размер детонационной ячейки менее 2 см);
класс 2 - чувствительные вещества (размер детонационной ячейки лежит в пределах от 2 до 10 см);
класс 3 - среднечувствительные вещества (размер детонационной ячейки лежит в пределах от 10 до 40 см);
класс 4 - слабочувствительные вещества (размер детонационной ячейки больше 40 см).
Классификация наиболее распространенных в промышленном производстве горючих веществ приведена в таблице Е.1. В случае, если вещество не внесено в классификацию, его следует классифицировать по аналогии с имеющимися в списке веществами, а при отсутствии информации о свойствах данного вещества его следует отнести к классу 1, т.е. рассматривать наиболее опасный случай.
Таблица Е.1
Класс 1 | Класс 2 | Класс 3 | Класс 4 |
Ацетилен | Акрилонитрил | Ацетальдегид | Бензол |
Винилацетилен | Акролеин | Ацетон | Декан |
Водород | Бутан | Бензин | о-Дихлорбензол |
Гидразин | Бутилен | Винилацетат | Додекан |
Изопропилнитрат | Бутадиен | Винилхлорид | Метан |
Метилацетилен | 1,3-Пентадиен | Гексан | Метилбензол |
Нитрометан | Пропан | Изооктан | Метилмеркаптан |
Окись пропилена | Пропилен | Метиламин | Метилхлорид |
Окись этилена | Сероуглерод | Метилацетат | Окись углерода |
Этилнитрат | Этан | Метилбутилкетон | Этиленбензол |
| Этилен | Метилпропилкетон | |
| Эфиры: | Метилэтилкетон | |
| диметиловый | Октан | |
| дивиниловый | Пиридин | |
| метилбутиловый | Сероводород | |
| | Спирты: | |
| Широкая фракция легких углеводородов | метиловый | |
| этиловый | |
| пропиловый | |
| | амиловый | |
| | изобутиловый | |
| | изопропиловый | |
| | Циклогексан | |
| | Этилформиат | |
| | Этилхлорид | |
Е.4. Теплота сгорания химических соединений при расчете полного запаса энерговыделения
При оценке масштабов поражения волнами давления должно учитываться различие химических соединений по теплоте сгорания, используемой для расчета полного запаса энерговыделения. Для типичных углеводородов принимается в расчет значение удельной теплоты сгорания

. Для иных горючих веществ в расчетах используется удельное энерговыделение

. Здесь

- корректировочный параметр. Для условно выделенных классов горючих веществ величины параметра

представлены в таблице Е.2.
Таблица Е.2
Классы горючих веществ | |
Класс 1 |
Ацетилен | 1,1 |
Метилацетилен | 1,05 |
Винилацетилен | 1,03 |
Окись этилена | 0,62 |
Гидразин | 0,44 |
Изопропилнитрат | 0,41 |
Этилнитрат | 0,30 |
Водород | 2,73 |
Нитрометан | 0,25 |
Класс 2 |
Этилен | 1,07 |
Диэтилэфир | 0,77 |
Дивинилэфир | 0,77 |
Окись пропилена | 0,7 |
Акролеин | 0,62 |
Сероуглерод | 0,32 |
Бутан | 1 |
Бутилен | 1 |
Бутадиен | 1 |
1,3-Пентадиен | 1 |
Этан | 1 |
Диметилэфир | 0,66 |
Диизопропиловый эфир | 0,82 |
ШФЛУ | 1 |
Пропилен | 1 |
Пропан | 1 |
Класс 3 |
Винилхлорид | 0,42 |
Кумол | 0,84 |
Метиламин | 0,70 |
Спирты: | |
Метиловый | 0,45 |
Этиловый | 0,61 |
Пропиловый | 0,69 |
Амиловый | 0,79 |
Циклогексан | 1 |
Ацетальдегид | 0,56 |
Винилацетат | 0,51 |
Бензин | 1 |
Гексан | 1 |
Изооктан | 1 |
Пиридин | 0,77 |
Циклопропан | 1 |
Этиламин | 0,80 |
Класс 4 |
Метан | 1,14 |
Трихлорэтан | 0,15 |
Метилхлорид | 0,12 |
Бензол | 1 |
Декан | 1 |
Додекан | 1 |
Метилбензол | 1 |
Метилмеркаптан | 0,53 |
Окись углерода | 0,23 |
Дихлорэтан | 0,24 |
Сероводород | 0,34 |
Ацетон | 0,65 |
Дихлорбензол | 0,42 |
Трихлорэтан | 0,14 |
Е.5. Классификация окружающего пространства по степени загроможденности
Характером загроможденности окружающего пространства в значительной степени определяется скорость распространения пламени при сгорании облака и, следовательно, параметры волны давления. Характеристики загроможденности окружающего пространства разделяются на четыре класса:
класс I - наличие длинных труб, полостей, каверн, заполненных горючей смесью, при сгорании которой возможно ожидать формирование турбулентных струй продуктов сгорания, имеющих размеры не менее трех размеров детонационной ячейки данной смеси. Если размер детонационной ячейки для данной смеси неизвестен, то минимальный характерный размер струй принимается равным 5 см для горючих веществ класса 1; 20 см - для горючих веществ класса 2; 50 см - для горючих веществ класса 3 и 150 см - для горючих веществ класса 4;
класс II - сильно загроможденное пространство: наличие полузамкнутых объемов, высокая плотность размещения технологического оборудования, лес, большое количество повторяющихся препятствий;
класс III - средне загроможденное пространство: отдельно стоящие технологические установки, резервуарный парк;
класс IV - слабо загроможденное и свободное пространство.
Е.6. Классификация режимов сгорания облака
Для оценки воздействия сгорания облака возможные режимы сгорания разделяются на шесть классов по диапазонам скоростей их распространения следующим образом:
класс 1 - детонация или горение со скоростью фронта пламени 500 м/с и более;
класс 2 - дефлаграция, скорость фронта пламени от 300 до 500 м/с;
класс 3 - дефлаграция, скорость фронта пламени от 200 до 300 м/с;
класс 4 - дефлаграция, скорость фронта пламени от 150 до 200 м/с;
класс 5 - дефлаграция, скорость фронта пламени определяется по формуле

, (Е.2)
где

- константа, равная 43;
M - масса горючего вещества, содержащегося в облаке, кг;
класс 6 - дефлаграция, скорость фронта пламени определяется по формуле

, (Е.3)
где

- константа, равная 26;
M - масса горючего вещества, содержащегося в облаке, кг.
Е.7. Ожидаемый режим сгорания облака
Ожидаемый режим сгорания облака определяется с помощью таблицы Е.3, в зависимости от класса горючего вещества и класса загроможденности окружающего пространства.
Таблица Е.3
Класс горючего вещества | Класс загроможденности окружающего пространства |
I | II | III | IV |
1 | 1 | 1 | 2 | 3 |
2 | 1 | 2 | 3 | 4 |
3 | 2 | 3 | 4 | 5 |
4 | 3 | 4 | 5 | 6 |
При определении максимальной скорости фронта пламени для режимов сгорания 2 - 4 классов дополнительно рассчитывается видимая скорость фронта пламени по
соотношению Е.2. В том случае, если полученная величина больше максимальной скорости, соответствующей данному классу, она принимается по
формуле Е.3.
Е.8. Расчет максимального избыточного давления и импульса фазы сжатия воздушных волн давления
Параметры воздушных волн давления (избыточное давление

и импульс фазы сжатия

) в зависимости от расстояния от центра облака рассчитываются исходя из ожидаемого режима сгорания облака.
Класс 1 режима сгорания облака
Рассчитывается соответствующее безразмерное расстояние по формуле

(Е.4)
где R - расстояние от центра облака, м;

- атмосферное давление, Па;
E - эффективный энергозапас смеси, Дж.
Величины безразмерного давления

и импульс фазы сжатия

определяются по формулам (для газо-, паро- и пылевоздушных смесей):

, (Е.5)

. (Е.6)
Формулы Е.5, Е.6 справедливы для значений

более 0,2. В случае, если

менее 0,2, то

равно 18, а в формулу Е.6 вместо

подставляется величина

.
Размерные величины избыточного давления и импульса фазы сжатия определяются по формулам:

, (Е.7)

. (Е.8)
Е.9. Классы 2 - 6 режимов сгорания облака
Рассчитывается безразмерное расстояние

от центра облака по
формуле Е.4.
Рассчитываются величины безразмерного давления

и импульса фазы сжатия

по формулам:

, (Е.9)

, (Е.10)

, (Е.11)
где

- степень расширения продуктов сгорания (для газо-, паровоздушных смесей допускается приниматься равным 7, для пылевоздушных смесей 4);
u - видимая скорость фронта пламени, м/с.
В случае дефлаграции пылевоздушного облака величина эффективного энергозапаса умножается на коэффициент

.
Размерные величины избыточного давления и импульса фазы сжатия определяются по
формулам Е.7,
Е.8. При этом в
формулы Е.7,
Е.8 вместо

и

подставляются величины

и

.
МЕТОД РАСЧЕТА ПАРАМЕТРОВ ВОЛНЫ ДАВЛЕНИЯ
ПРИ ВЗРЫВЕ РЕЗЕРВУАРА С ПЕРЕГРЕТОЙ ЖИДКОСТЬЮ
ИЛИ СЖИЖЕННЫМ ГАЗОМ ПРИ ВОЗДЕЙСТВИИ НА НЕГО ОЧАГА ПОЖАРА
При попадании замкнутого резервуара со сжиженным газом (СУГ) с легковоспламеняющейся (ЛВЖ) или горючей (ГЖ) жидкостью в очаг пожара может происходить нагрев содержимого резервуара до температуры, существенно превышающей нормальную температуру кипения, с соответствующим повышением давления. За счет нагрева несмоченных стенок сосуда снижаются прочностные характеристики материала, в результате чего при определенных условиях оказывается возможным разрыв резервуара с возникновением волн сжатия.
Рассчитывают показатель

, характеризующий возможность возникновения волн сжатия, по формуле

, (Ж.1)
где

- удельная теплоемкость жидкой фазы, Дж/кг x К (допускается принимать равной 2000 Дж/кг x К);
T - температура жидкой фазы, соответствующая температуре насыщенного пара при давлении срабатывания предохранительного клапана, К;

- нормальная температура кипения вещества, К;
L - удельная теплота испарения при нормальной температуре кипения

, Дж/кг.
Если

, возникновения волн сжатия не происходит. При

вероятность возникновения данного явления велика.
Избыточное давление

и импульс

в волне давления, образующиеся при взрыве резервуара с перегретой ЛВЖ, ГЖ или сжиженным углеводородным газом (далее - СУГ) в очаге пожара, определяются по формулам:

; (Ж.2)

; (Ж.3)

; (Ж.4)

, (Ж.5)
где

- атмосферное давление, кПа (допускается принимать равным 101 кПа);
r - расстояние от центра резервуара до объекта, подвергающегося воздействию волн сжатия, м;

- приведенная масса, кг;

- эффективная энергия взрыва;
k - доля энергии волны давления (допускается принимать равной 0,5);
m - масса ЛВЖ, ГЖ или СУГ, содержащаяся в резервуаре, кг;

- нормальная температура кипения, К.
При наличии в резервуаре предохранительного устройства (клапана или мембраны) величина T определяется по формуле

, (Ж.6)
где

- давление срабатывания предохранительного устройства;
A, B,

- константы уравнения зависимости давления насыщенных паров жидкости от температуры (константы Антуана), определяемые по справочной литературе. Единицы измерения

(кПа, мм рт. ст., атм) должны соответствовать используемым константам Антуана.
МЕТОД РАСЧЕТА ПАРАМЕТРОВ ИСПАРЕНИЯ ГОРЮЧИХ
НЕНАГРЕТЫХ ЖИДКОСТЕЙ И СЖИЖЕННЫХ УГЛЕВОДОРОДНЫХ ГАЗОВ
И.1. Интенсивность испарения W, кг/(м2 x с), для ненагретых жидкостей определяется по формуле

, (И.1)
где

- коэффициент, принимаемый для помещений по таблице И.1 в зависимости от скорости и температуры воздушного потока над поверхностью испарения. При проливе жидкости вне помещения допускается принимать

;
M - молярная масса жидкости, кг/кмоль;

- давление насыщенного пара при расчетной температуре жидкости, кПа.
Таблица И.1
Скорость воздушного потока, м/с | Значение коэффициента  при температуре t (°C) воздуха |
10 | 15 | 20 | 30 | 35 |
0 | 1,0 | 1,0 | 1,0 | 1,0 | 1,0 |
0,1 | 3,0 | 2,6 | 2,4 | 1,8 | 1,6 |
0,2 | 4,6 | 3,8 | 3,5 | 2,4 | 2,3 |
0,5 | 6,6 | 5,7 | 5,4 | 3,6 | 3,2 |
1,0 | 10,0 | 8,7 | 7,7 | 5,6 | 4,6 |
И.2. При выбросе СУГ из оборудования, в котором жидкость находится под давлением, часть продукта за счет внутренней энергии мгновенно испаряется, образуя с капельками жидкости облако аэрозоля. Массовая доля мгновенно испарившейся жидкости

определяется по формуле

, (И.2)
где

- удельная теплоемкость СУГ, Дж/(кг x К);

- температура окружающего воздуха, К;

- температура кипения СУГ при атмосферном давлении, К;

- удельная теплота парообразования СУГ, Дж/кг.
Принимается, что при

вся масса жидкости, находящаяся в оборудовании, за счет взрывного характера испарения переходит в парокапельное облако.
При

оставшаяся часть жидкости испаряется с поверхности пролива за счет потока тепла от подстилающей поверхности и воздуха.
Интенсивность испарения жидкости со свободной поверхности W, кг/(м2 x с), определяется по формуле

, (И.3)
где

- коэффициент теплопроводности материала, на поверхность которого разливается жидкость, Вт/(м x К);

- удельная теплоемкость материала, Дж/(кг x К);

- плотность материала, кг/м3;

- начальная температура материала, К;

- текущее время с момента начала испарения, с (не менее 10 с);

- коэффициент теплопроводности воздуха при температуре

;
u - скорость воздушного потока над поверхностью испарения, м/с;
d - характерный диаметр пролива, м;

- кинематическая вязкость воздуха при

, м2/с.
МЕТОДЫ РАСЧЕТА РАЗМЕРА СЛИВНЫХ ОТВЕРСТИЙ
ИЗ ТЕХНОЛОГИЧЕСКОГО ОБОРУДОВАНИЯ (ПОДДОНОВ, ОТСЕКОВ),
ИСТЕЧЕНИЯ ЖИДКОСТИ ИЗ РЕЗЕРВУАРА И ПЛОЩАДИ РАСТЕКАНИЯ
ЖИДКОСТИ ПРИ МГНОВЕННОМ РАЗРУШЕНИИ РЕЗЕРВУАРА
К.1. Метод расчета размера сливных отверстий
К.1.1. Настоящий метод устанавливает порядок расчета площади сливного отверстия в ограничивающем жидкость устройстве (поддоне, отсеке, огражденном бортиками участке цеха, производственной площадке и т.п.), при котором исключается перелив жидкости через борт ограничивающего устройства и растекание жидкости за его пределами.
К.1.2. В расчете учитывают поступление горючей жидкости в поддон из аппарата в момент его аварийного вскрытия, воды от установки пожаротушения и выгорание жидкости с поверхности поддона.
К.1.3. В методике расчета приняты следующие допущения:
- при возникновении аварийной ситуации герметичность стенок аппарата не нарушается;
- разрушаются только патрубки, лежащие ниже уровня жидкости в аппарате, образуя сливные отверстия, равные диаметру патрубков;
- вероятность одновременного разрушения двух патрубков мала;
- давление паров над поверхностью жидкости в аппарате в процессе слива жидкости не меняется.
К.1.4. Для проведения расчета необходимо знать:
- количество трубопроводов n, расположенных ниже уровня горючей жидкости в аппарате, и площадь их поперечного сечения

, м2;
- площадь поперечного сечения аппарата

, м2;
- высоту уровня жидкости над трубопроводами H, м;
- высоту борта поддона L, м;
- интенсивность орошения водой, подаваемой из установок пожаротушения, площади поддона I, кг/(м2 x с);
- скорость выгорания горючей жидкости W, кг/(м x с);
- избыточное давление в аппарате над поверхностью жидкости p, Н/м2.
Целью расчета является выбор площади поддона

, м2, и расчет площади сливного отверстия f, м2.
К.1.5. По заданным исходным данным определяют скорости истечения

, м3/с, жидкости из аппарата через отверстия, равные сечению трубопроводов, расположенных на аппарате, по формуле

, (К.1)
где

- коэффициент истечения жидкости через отверстие;

- площадь сечения i-го трубопровода;
g - ускорение силы тяжести, равное 9,81 м/с2;

- высота уровня жидкости над i-м трубопроводом.
К.1.6. По наибольшему из вычисленных начальных расходов

выбирают площадь отверстия в аппарате и высоту уровня жидкости над ним

.
К.1.7. Из конструктивных соображений выбирают площадь поддона

, м2.
К.1.8. Определяют коэффициент m, характеризующий отношение объема жидкости в аппарате к объему жидкости в поддоне

, (К.2)
где

- максимально допустимый уровень жидкости в поддоне.
К.1.9. Вычисляют объем жидкости, поступающей в поддон в единицу времени от установки пожаротушения (с учетом выгорания горючей жидкости)

, м3/с, по формуле

, (К.3)
где

- плотность огнетушащей жидкости, кг/м3.
При отсутствии данных скорость выгорания W следует принять равной нулю.
К.1.10. Если m < 1, то площадь сливного отверстия определяют по формуле

. (К.4)
К.1.11. При m >= 1 порядок расчета f следующий:
К.1.11.1. Определяют напор, создаваемый сжатыми газами в аппарате

, (К.5)
где

- плотность воды, кг/м3.
К.1.11.2. Вычисляют значение параметра

, (К.6)
где

- максимальный расход жидкости из аппарата, определяемый по
К.1.5.
К.1.11.3. По параметру b с помощью таблицы К.1 находят параметр a. Если данных таблицы К.1 для определения параметра a недостаточно, то параметр a определяют путем решения системы уравнений

. (К.7)
Таблица К.1
Зависимость параметра a от b
a | b | a | b | a | b | a | b |
0,000 | 0,000 | 0,990 | 0,993 | 3,107 | 1,901 | 14,999 | 3,408 |
0,071 | 0,106 | 1,000 | 1,000 | 3,418 | 1,987 | 16,573 | 3,506 |
0,170 | 0,241 | 1,045 | 1,030 | 3,762 | 2,075 | 18,313 | 3,605 |
0,268 | 0,361 | 1,081 | 1,053 | 4,144 | 2,164 | 20,236 | 3,705 |
0,362 | 0,467 | 1,185 | 1,117 | 4,568 | 2,255 | 22,362 | 3,804 |
0,454 | 0,560 | 1,255 | 1,158 | 5,037 | 2,347 | 24,711 | 3,903 |
0,540 | 0,642 | 1,337 | 1,205 | 5,557 | 2,440 | 27,308 | 4,003 |
0,622 | 0,714 | 1,433 | 1,256 | 6,132 | 2,534 | 30,178 | 4,102 |
0,697 | 0,777 | 1,543 | 1,313 | 6,769 | 2,628 | 33,351 | 4,219 |
0,765 | 0,831 | 1,668 | 1,374 | 7,473 | 2,725 | 36,857 | 4,302 |
0,853 | 0,877 | 1,810 | 1,439 | 8,253 | 2,821 | 40,732 | 4,401 |
0,876 | 0,915 | 1,971 | 1,509 | 9,115 | 2,918 | 45,014 | 4,501 |
0,921 | 0,946 | 2,151 | 1,581 | 10,068 | 3,015 | 54,978 | 4,701 |
0,955 | 0,970 | 2,352 | 1,657 | 11,121 | 3,113 | 67,148 | 4,901 |
0,980 | 0,980 | 2,575 | 1,736 | 12,287 | 3,211 | 74,210 | 5,000 |
0,986 | 0,986 | 2,828 | 1,817 | 13,575 | 3,309 | | |
К.1.11.4. Рассчитывают площадь сливного отверстия f, м3, по формуле

. (К.8)
К.1.12. Выбирают сечение отходящих от поддона трубопроводов

из условия

.
К.2. Истечение жидкости из резервуара
К.2.1. Метод устанавливает параметры истечения горючей жидкости из отверстия резервуара при его разгерметизации и количество жидкости, переливавшейся через обвалование.
Рассматривается резервуар, находящийся в обваловании (рисунок К.1).
Рисунок К.1. Схема для расчета истечения жидкости
из отверстия в резервуаре
Вводятся следующие допущения:
истечение через отверстие однофазное;
резервуар имеет постоянную площадь сечения по высоте;
диаметр резервуара намного больше размеров отверстия;
размеры отверстия намного больше толщины стенки;
поверхность жидкости внутри резервуара горизонтальна;
температура жидкости остается постоянной в течение времени истечения.
К.2.2. Цель расчетов заключается в определении количества жидкости, вылившейся через отверстие резервуара при его разгерметизации и перелившейся через обвалование.
К.2.3. Массовый расход жидкости G (кг/с) через отверстие во времени t (с) определяется по формуле

, (К.9)
где

- массовый расход в начальный момент времени, кг/с, определяемый по формуле

, (К.10)
где

- плотность жидкости, кг/м3;
g - ускорение свободного падения, g = 9,81, м/с2;

- коэффициент истечения;

- площадь отверстия, м2;

- высота расположения отверстия, м;

- площадь сечения резервуара, м2;

- начальная высота столба жидкости в резервуаре, м.
К.2.4. Высота столба жидкости в резервуаре h (м) в зависимости от времени t определяется по формуле

. (К.11)
К.2.5. Условие перелива струи жидкости (при

) через обвалование определяется по формуле

, (К.12)
где H - высота обвалования, м;
L - расстояние от стенки резервуара до обвалования, м.
К.2.6. Количество жидкости m (кг), перелившейся через обвалование за полное время истечения, определяется по формуле

, (К.13)
где

- время, в течение которого жидкость переливается через обвалование, с (т.е. время, в течение которого выполняется
условие (К.12)).
К.2.7. Величина

определяется по формуле

, (К.14)
где a, b, c - параметры, которые определяются по формулам:

, м/с2; (К.15)

, м/с2; (К.16)

, м. (К.17)
К.2.8. В случае, если жидкость в резервуаре находится под избыточным давлением

(Па), величина мгновенного массового расхода

(кг/с) определяется по формуле

. (К.18)
Для определения количества жидкости, перелившейся через обвалование, и времени перелива следует проинтегрировать соответствующую систему уравнений, где величина

может быть переменной.
К.3. Растекание жидкости при мгновенном разрушении резервуара
К.3.1. Метод предусматривает расчет последствий при распаде резервуара на приблизительно равные по размеру части. При такой пожароопасной ситуации часть хранимой в резервуаре жидкости может перелиться через обвалование.
К.3.2. Цель расчетов заключается в оценке с помощью математической модели определения доли жидкости, переливавшей через обвалование при мгновенном разрушении резервуара.
К.3.3. Приняты следующие допущения:
рассматривается плоская одномерная задача;
время разрушения резервуара много меньше характерного времени движения гидродинамической волны до обвалования;
жидкость является невязкой;
трение жидкости о поверхность земли отсутствует;
поверхность земли является плоской, горизонтальной.
К.3.4. Система уравнений, описывающих движение жидкости, имеет вид:

, (К.19)
где h - высота столба жидкости над фиксированным уровнем, м;

- высота подстилающей поверхности над фиксированным уровнем, м;
u - средняя по высоте скорость движения столба жидкости, м/с;
x - координата вдоль направления движения жидкости, м;
t - время, с;
g - ускорение свободного падения (9,81 м/с2).
Граничные условия с учетом геометрии задачи
(рисунок К.2) имеют вид:

; (К.20)

; (К.21)

; (К.22)

, (К.23)
где a - высота обвалования;
b - расстояние от оси резервуара до обвалования.
Рисунок К.2. Типичная картина движения жидкости
в обваловании при мгновенном разрушении резервуара

- уровень начального столба жидкости;

- уровень жидкости в промежуточный момент времени (результаты расчета)
К.3.5. Массовая доля жидкости Q (%), перелившейся через обвалование к моменту времени T, определяется по формуле

, (К.24)
где

- средняя по высоте скорость движения столба жидкости при x = b, м/с;

- высота столба жидкости при x = b, м;

- начальная высота столба жидкости в резервуаре, м;
R - ширина резервуара, м.
График расчетной и экспериментальной зависимостей массовой доли перелившейся через обвалование жидкости Q от параметра

представлен на рисунке К.3.
Рисунок К.3. Зависимость доли перелившейся
через обвалование жидкости Q от параметра

:
1 - расчет; 2 - эксперимент
МЕТОД РАСЧЕТА ПРОТИВОПОЖАРНЫХ ПАРОВЫХ ЗАВЕС
Л.1. Общие требования
Противопожарная паровая завеса предназначена для предотвращения контакта горючих газовых смесей, образующихся при авариях на предприятиях нефтехимической и газовой промышленности, с источниками зажигания (например, с нагревательными печами). Завеса должна обладать достаточными плотностью и дальнобойностью, исключающими проскок горючей смеси в защищаемую зону объекта. Выполнение этих требований достигается оптимальной компоновкой конструкции устройства, воспроизводящего завесу, и расчетом параметров завесы. Метод включает только расчет устройства, воспроизводящего паровую завесу. Расчет магистрального паропровода проводится по общеизвестным методам.
Л.1.1. Устройство для создания паровой завесы (
рисунок Л.1, разрез и план) представляет собой кольцевой трубчатый коллектор 4, вдоль оси которого по всей верхней части просверлены отверстия одинакового диаметра на равном расстоянии друг от друга. Диаметр

и длину

коллектора, количество (n) и диаметр

отверстий определяют расчетом по формулам соответственно
Л.8;
Л.2;
Л.7 и
Л.4.
Рисунок Л.1. Схема устройства для создания паровой завесы
1 - защищаемый объект; 2 - ограждение; 3 - опора коллектора;
4 - коллектор; 5 - дренажный вентиль; h - высота верхней
кромки ограждения над коллектором;

- высота опоры;
X - расстояние от коллектора до защищаемой стороны объекта;

- расстояние от ограждения до коллектора
Л.1.2. Коллектор располагается на металлических, бетонных или кирпичных опорах 3, высота которых должна быть не менее 0,2 м.
Л.1.3. Расстояние от коллектора до защищаемого объекта определяют расчетом.
Л.1.4. Коллектор должен иметь дренажные вентили 5 для спуска конденсата или атмосферных осадков.
Л.1.5. Вдоль оси коллектора устанавливают жесткое газонепроницаемое ограждение (листовое железо или кирпичная стена) для предотвращения протекания горючей смеси между отдельными струями в начальном участке завесы. Верхняя кромка ограждения должна быть от 0,4 до 0,6 м выше коллектора. Расстояние между коллектором и ограждением определяют расчетом. Проемы в ограждениях должны быть постоянно закрыты плотными дверями.
Л.1.6. Траектория струи завесы должна превышать защищаемую зону. Высоту завесы над защищаемой зоной определяют расчетом. Для высоких объектов завеса может быть выполнена многосекционной в вертикальном направлении.
Л.1.7. Для обеспечения равномерной раздачи пара по длине коллектора необходимо, чтобы отношение суммарной площади отверстий к площади поперечного сечения коллектора было меньше или равно 0,3.
Л.1.8. Температуру воздуха при расчете следует принимать равной средней для наиболее холодного (зимнего) периода времени, характерного для данного географического района.
Л.1.9. Скорость ветра при расчете следует принимать равной средней скорости для наиболее ветреного периода, характерного для данного географического района.
Л.2. Порядок расчета параметров паровой завесы
Исходными величинами для расчета параметров завесы принимают:
давление

и удельный объем

пара в коллекторе завесы;
скорость ветра

;
плотность

(температура

) воздуха;
высота (H) и периметр (P) защищаемой зоны объекта;
высота верхней кромки ограждения над коллектором (h);
высота опоры коллектора

.
Л.2.1. Рассчитывают следующие величины.
Л.2.1.1. Расстояние X, м, от коллектора завесы до защищаемого объекта:
X = 0,25H, (Л.1)
где H - высота защищаемой зоны объекта, м.
Л.2.1.2. Длина коллектора

, м:

, (Л.2)
где P - периметр защищаемого объекта, м.
Л.2.1.3. Интенсивность подачи пара из отверстий коллектора

, кг/(м2 x с):

, (Л.3)
где

- плотность пара, кг/м3;

- скорость выхода пара, м/с;

- давление пара в коллекторе, Па;

- удельный объем пара в коллекторе, м3/кг;

- атмосферное давление, Па;
K - показатель адиабаты пара (для перегретого пара принят K = 1,3, для насыщенного пара K = 1,135).
Л.2.1.4. Диаметр отверстий на коллекторе

, м:

, (Л.4)
где

- плотность воздуха, кг/м3;

- скорость ветра, м/с.
Если по условиям расчета задается диаметр отверстий

, то следует определить высоту завесы

, м:

. (Л.5)
Л.2.1.5. Расстояния между отверстиями l, м:

, (Л.6)
где h - высота верхней кромки ограждения над коллектором, м.
Л.2.1.6. Количество отверстий n, шт.:

. (Л.7)
Л.2.1.7. Диаметр коллектора

, м:

. (Л.8)
Л.2.1.8. Расход пара

, кг/с:

, (Л.9)
где

- коэффициент расхода пара через отверстие (

от 0,6 до 0,8).
Л.2.1.9. Общая высота ограждения

, м:

, (Л.10)
где

- высота опоры коллектора, м.
Л.2.1.10. Расстояние от ограждения до коллектора

, м:

. (Л.11)
Л.2.1.11. Длина ограждения

, м:

. (Л.12)
Указанный порядок расчета проводят после ориентировочного выбора значений давления пара и диаметра отверстий в коллекторе по таблице Л.1.
Таблица Л.1
Изменение высоты завесы в зависимости
от диаметра отверстий и давления пара
|  , мм |
3 | 4 | 5 | 6 | 7 | 8 | 9 | 10 |
|
3 | 3,30 | 4,05 | 4,7 | 5,3 | 5,9 | 6,5 | 7,0 | 7,5 |
4 | 4,00 | 4,80 | 5,5 | 6,3 | 7,0 | 7,6 | 8,2 | 8,7 |
5 | 4,50 | 5,40 | 6,3 | 7,2 | 7,9 | 8,7 | 9,3 | 10,0 |
6 | 4,85 | 5,80 | 6,7 | 7,7 | 8,5 | 9,3 | 10,0 | - |
7 | 5,25 | 6,30 | 7,3 | 8,3 | 9,2 | 10,0 | - | - |
8 | 5,50 | 6,60 | 7,6 | 8,7 | 9,5 | - | - | - |
9 | 5,75 | 7,00 | 8,0 | 9,2 | 10,0 | - | - | - |
10 | 6,15 | 7,40 | 8,5 | 9,8 | - | - | - | - |
12 | 6,70 | 8,00 | 9,3 | 11,0 | - | - | - | - |
14 | 7,10 | 8,50 | 10,0 | - | - | - | - | - |
16 | 7,50 | 9,00 | - | - | - | - | - | - |
|
4 | 2,60 | 3,20 | 3,70 | 4,20 | 4,60 | 5,0 | 5,5 | 5,80 |
5 | 3,00 | 3,60 | 4,15 | 4,80 | 5,25 | 5,7 | 6,2 | 6,60 |
6 | 3,20 | 3,90 | 4,50 | 5,15 | 5,70 | 6,2 | 6,7 | 7,15 |
7 | 3,50 | 4,20 | 4,85 | 5,50 | 6,10 | 6,7 | 7,2 | 7,70 |
8 | 3,65 | 4,40 | 5,20 | 5,80 | 6,40 | 7,0 | 7,6 | 8,10 |
10 | 4,10 | 5,00 | 5,70 | 6,50 | 7,20 | 7,9 | 8,5 | 9,10 |
12 | 4,40 | 5,40 | 6,20 | 7,00 | 7,80 | 8,5 | 9,2 | 9,80 |
16 | 5,00 | 6,00 | 6,90 | 7,80 | 8,70 | 9,5 | 10,3 | - |
|
4 | - | 2,40 | 2,80 | 3,1 | 3,50 | 3,8 | 4,1 | 4,4 |
5 | - | 2,80 | 3,10 | 3,5 | 3,90 | 4,3 | 4,6 | 5,0 |
6 | 2,42 | 2,92 | 3,36 | 3,8 | 4,25 | 4,6 | 5,0 | 5,4 |
7 | 2,60 | 3,16 | 3,60 | 4,1 | 4,60 | 5,0 | 5,4 | 5,8 |
8 | 2,70 | 3,30 | 3,80 | 4,3 | 4,80 | 5,2 | 5,6 | 6,0 |
9 | 2,90 | 3,45 | 4,00 | 4,5 | 5,00 | 5,5 | 5,9 | 6,3 |
10 | 3,10 | 3,74 | 4,30 | 4,9 | 5,40 | 5,9 | 6,4 | 6,8 |
12 | 3,30 | 4,10 | 4,70 | 5,1 | 5,90 | 6,4 | 6,9 | 7,4 |
15 | 3,60 | 4,40 | 5,00 | 5,7 | 6,30 | 6,9 | 7,4 | 8,0 |
|
4 | - | - | 1,84 | 2,10 | 2,30 | 2,54 | 2,75 | 2,90 |
6 | - | 1,95 | 2,25 | 2,57 | 2,82 | 3,10 | 3,34 | 3,60 |
8 | - | 2,20 | 2,52 | 2,90 | 3,20 | 3,50 | 3,80 | 4,00 |
10 | 2,10 | 2,50 | 2,85 | 3,16 | 3,60 | 4,00 | 4,30 | 4,60 |
12 | 2,20 | 2,65 | 3,06 | 3,40 | 3,85 | 4,20 | 4,60 | 4,90 |
15 | 2,42 | 2,90 | 3,86 | 3,82 | 4,25 | 4,60 | 5,00 | 5,35 |
Примечания
В
таблице Л.1 в вертикальной графе даны значения давления пара, в горизонтальной - диаметры отверстий, а в пересечении горизонтальных и вертикальных граф - высоты паровых завес (высота защищаемых зон) в метрах.
Таблица Л.1 составлена для скоростей ветра 2, 3, 4 и 6 м/с. При больших скоростях ветра указанные величины следует принимать такими же, что и для 6 м/с. Таблица дает возможность оценить необходимое значение давления пара и соответствующий ему диаметр отверстий для обеспечения требуемой высоты завесы (высоты защищаемого объекта).
Для одного и того же давления пара высота завесы будет тем больше, чем больше диаметр отверстий. Однако с увеличением диаметра будет увеличиваться и расход пара. Следует подбирать давление пара и диаметр отверстий таким образом, чтобы были обеспечены требуемая высота завесы и наиболее экономичный отбор пара. Диаметр отверстий следует принимать наименьшим из возможного (но не менее 3 мм) для каждого давления пара.
К ВОДЯНОМУ ОРОШЕНИЮ ТЕХНОЛОГИЧЕСКОГО ОБОРУДОВАНИЯ
М.1. Для предотвращения увеличения масштаба аварии при пожаре технологическое оборудование производственных объектов должно быть защищено от теплового излучения установками водяного орошения (пожарными лафетными стволами, стационарными установками водяного орошения).
М.2. Пожарные лафетные стволы устанавливаются:
- на наружных установках категорий АН, БН и ВН - для защиты колонных аппаратов высотой до 30 м, содержащих горючие газы (ГГ), легковоспламеняющиеся (ЛВЖ) и горючие жидкости (ГЖ), а на нефтеперерабатывающих, нефтехимических, химических и газоперерабатывающих предприятиях - для защиты аппаратов и оборудования, содержащих ГГ, ЛВЖ и ГЖ;
- на сырьевых, товарных и промежуточных складах (парках) - для защиты шаровых и горизонтальных (цилиндрических) резервуаров со сжиженными углеводородными газами (СУГ), ЛВЖ и ГЖ под давлением;
- на сливоналивных эстакадах СУГ, ЛВЖ и ГЖ - для защиты конструкций эстакад и цистерн подвижного состава.
М.3. Лафетные стволы устанавливают со стационарным подключением к водопроводной сети.
М.4. Количество и расположение лафетных стволов для защиты оборудования (кроме резервуаров), расположенного на наружной установке, определяют, исходя из условий орошения защищаемого оборудования не менее чем одной компактной струей.
Количество и расположение лафетных стволов для защиты резервуаров с СУГ и ЛВЖ под давлением определяют из условия орошения каждой точки резервуара не менее чем одной компактной струей.
Орошение проводят одновременно горящего и смежных с ним резервуаров (колонн).
М.5. Лафетные стволы для защиты открытых железнодорожных сливоналивных эстакад как односторонних, так и двухсторонних, должны быть расположены по обе стороны эстакады с таким расчетом, чтобы обеспечивалось орошение каждой железнодорожной цистерны и каждой точки конструкции эстакады по всей ее длине не менее чем двумя компактными струями.
М.6. Лафетные стволы следует устанавливать на расстоянии не менее:
- 15 м от защищаемого оборудования наружной установки, железнодорожной сливоналивной эстакады, железнодорожных цистерн. Допускается уменьшение расстояния от лафетного ствола до защищаемого оборудования до 10 м при условии наличия дублирующих лафетных стволов или применения дистанционно управляемых или осциллирующих лафетных стволов;
- 10 м от оси стенки или обвалования резервуаров (вне обвалования или ограждающих стен резервуаров).
Лафетные стволы и их устройства управления не допускается размещать в зоне действия паровых завес печей.
М.7. Лафетные стволы для защиты наземных (надземных) резервуаров с СУГ и ЛВЖ под давлением, а также железнодорожных сливоналивных эстакад должны устанавливаться на специальных лафетных вышках.
Оптимальную высоту лафетных вышек и расположение лафетных стволов следует определять исходя из высоты и расположения оборудования, углов наклона и расстояния лафетного ствола от защищаемого объекта.
В необходимых случаях допускается применение осциллирующих лафетных стволов.
М.8. При высоте колонных аппаратов более 30 м их защиту на высоте более 30 м следует осуществлять стационарными установками орошения.
В тех случаях, когда защита колонных аппаратов или другого оборудования лафетными стволами невозможна или нецелесообразна, их следует защищать стационарными установками водяного орошения на всю высоту.
М.9. Резервуары с СУГ и ЛВЖ под давлением в сырьевых, товарных и промежуточных складах (парках) дополнительно к лафетным стволам должны иметь автоматические стационарные системы водяного орошения.
М.10. Наземные (надземные) резервуары с ЛВЖ и ГЖ объемом 5000 м3 и более должны быть оборудованы стационарными установками водяного орошения с возможностью подсоединения передвижной пожарной техники.
Для резервуаров с теплоизоляцией из негорючих материалов допускается не присоединять стационарную установку водяного орошения к противопожарному водопроводу; при этом сухие трубопроводы ее должны быть выведены за пределы ограждения резервуаров и оборудованы соединительными головками и заглушками.
Подачу воды на орошение наземных (надземных) резервуаров с ЛВЖ и ГЖ объемом менее 5000 м3, а также наземного оборудования подземных резервуаров допускается предусматривать передвижной пожарной техникой.
М.11. Запас воды для противопожарной защиты должен обеспечивать орошение защищаемого оборудования в течение расчетного времени, необходимого для подготовки к тушению и непосредственно для тушения пожара.
М.12. Расход воды на стационарные установки орошения должен приниматься для:
- наружных установок - по аппаратам колонного типа, исходя из суммы расходов воды на охлаждение условно горящей колонны и смежных с ней колонн, расположенных на расстоянии менее двух диаметров наибольшей горящей или смежной с ней колонны;
- сырьевых, товарных и промежуточных складов (парков) со сферическими резервуарами с СУГ и ЛВЖ под давлением, на одновременное орошение условно горящего резервуара и смежных с ним резервуаров, расположенных на расстоянии менее диаметра наибольшего горящего или смежного с ним резервуара, а для горизонтальных (цилиндрических) - согласно таблице М.1;
- сырьевых, товарных и промежуточных складов (парков) с наземными (надземными) изотермическими резервуарами с СУГ на одновременное орошение условно горящего резервуара и смежных с ним резервуаров, расположенных на расстоянии трех и менее диаметров наибольшего горящего или смежного с ним резервуара.
Таблица М.1
Число одновременно орошаемых горизонтальных
(цилиндрических) резервуаров
Расположение резервуаров | Объем единичного резервуара, м3 |
25 | 50 | 100 | 160 | 175 | 200 |
В один ряд | 5 | 5 | 5 | 5 | 3 | 3 |
В два ряда | 6 | 6 | 6 | 6 | 6 | 6 |
М.13. Интенсивность подачи воды на охлаждение поверхности оборудования для стационарных установок водяного орошения должна приниматься не менее нормативных значений, приведенных в таблицах М.2 и
М.3.
Таблица М.2
Нормативная интенсивность орошения поверхности
защищаемого оборудования
Наименование оборудования | Интенсивность подачи воды, л/(м2 x с) |
Сферические и цилиндрические резервуары с СУГ и ЛВЖ, под давлением: | |
поверхности без арматуры | 0,1 |
поверхности в местах расположения арматуры | 0,5 |
Колонные аппараты: | |
с отметки установки аппарата до отметки 20 м | 0,1 |
с отметки 20 м и свыше | 0,2 |
Таблица М.3
Нормативная интенсивность орошения наземных (надземных)
резервуаров для хранения нефти и нефтепродуктов
Способ орошения резервуаров | Интенсивность подачи воды, л/с, на один метр длины |
окружности горящего резервуара | половины окружности соседнего резервуара |
1. Стационарная установка водяного орошения для резервуаров высотой стенки, м: | | |
- более 12 | 0,75 | 0,30 |
- 12 и менее и для резервуаров с плавающей крышей | 0,50 | 0,20 |
2. Передвижная пожарная техника | 0,80 | 0,30 |
М.14. Ручной пуск дистанционно управляемых лафетных стволов и стационарных установок водяного орошения должен быть предусмотрен как непосредственно с места у кольцевой сети противопожарного водопровода за пределами отбортовки оборудования или защитного ограждения резервуаров на расстоянии не менее 15 м от защищаемого оборудования, так и дистанционно из помещения с постоянным присутствием персонала (операторной).
М.15. Тип, количество и особенности расстановки оросителей стационарных установок водяного орошения, а также режим их работы (давление перед оросителями, расход воды, дисперсность распыла) должны быть определены исходя из условия равномерного орошения всех защищаемых поверхностей с заданной интенсивностью, обеспечивающей тепловую защиту оборудования.
МЕТОД ОПРЕДЕЛЕНИЯ ТРЕБУЕМОЙ БЕЗОПАСНОЙ
ПЛОЩАДИ РАЗГЕРМЕТИЗАЦИИ
Настоящий метод предназначен для определения безопасной площади разгерметизации оборудования и помещений (такая площадь сбросного сечения предохранительного устройства, вскрытие которой в процессе сгорания смеси внутри оборудования или помещения позволяет сохранить последние от разрушения или деформации), в которых обращаются горючие газы, жидкости или пыли, способные создавать с воздухом взрывоопасные смеси, сгорающие ламинарно или турбулентно во фронтальном режиме.
Метод не распространяется на системы, склонные к детонации или объемному самовоспламенению.
Н.1. Сущность метода
Безопасную площадь разгерметизации определяют по расчетным формулам на основе данных о параметрах оборудования, показателях пожаровзрывоопасности горючих смесей, условиях возникновения и развития процесса.
Метод устанавливает зависимость безопасной площади разгерметизации от объема оборудования или помещения и максимально допустимого давления внутри него, давления и температуры технологической среды, термодинамических и термокинетических параметров горючей смеси, условий истечения, степени турбулентности.
Н.2. Формулы для расчета безопасной площади разгерметизации технологического оборудования с газопаровыми смесями
Н.2.1. Безопасную площадь разгерметизации технологического оборудования с газопаровыми смесями определяют по следующим безразмерным критериальным соотношениям:

, (Н.1)
для сосудов, рассчитанных на максимальное относительное давление взрыва

(при одновременном выполнении условия

).

, (Н.2)
для сосудов, выдерживающих давление взрыва в диапазоне относительных значений

.
В
формулах Н.1 и Н.2 приняты следующие обозначения (индексы i, u, e, m относятся соответственно к начальным параметрам, параметрам горючей смеси, характеристикам горения в замкнутом сосуде, максимальным допустимым значениям):

- относительное максимально допустимое давление в сосуде, которое не приводит к его деформации и (или) разрушению;

- абсолютное максимально допустимое давление внутри сосуда, которое не приводит к его деформации и (или) разрушению, Па;

- абсолютное начальное давление горючей смеси в аппарате, при котором происходит инициирование горения, Па;
p' - абсолютное давление в пространстве, в которое происходит истечение, в момент достижения максимального давления взрыва внутри аппарата (атмосфера, буферная емкость и т.п.), Па;

- относительное максимальное давление взрыва данной горючей смеси в замкнутом сосуде;

- абсолютное максимальное давление взрыва данной горючей смеси в замкнутом сосуде при начальном давлении смеси

, Па;

- коэффициент расширения продуктов сгорания смеси;

- фактор турбулентности, представляющий собой в соответствии с принципом Гуи-Михельсона отношение действительной поверхности фронта пламени в аппарате к поверхности сферы, в которую можно собрать продукты сгорания, находящиеся в данный момент времени внутри сосуда.
Комплекс подобия W представляет собой с точностью до постоянного множителя произведение двух отношений - эффективной площади разгерметизации к внутренней поверхности сферического сосуда равного объема и скорости звука в исходной смеси к начальной нормальной скорости пламени:

, (Н.3)
где

- коэффициент расхода при истечении свежей смеси и (или) продуктов сгорания через устройство взрыворазрежения (предохранительная мембрана, клапан, разгерметизатор и т.п.);
F - площадь разгерметизации (сбросного сечения), м2;
V - максимальный внутренний объем сосуда, в котором возможно образование горючей газопаровой смеси, м3;
R - универсальная газовая постоянная, равная 8314 Дж/(кмоль x К);

- температура горючей смеси, К;

- молекулярная масса горючей смеси, кг/кмоль;

- нормальная скорость распространения пламени при начальных значениях давления и температуры горючей смеси, м/с;

- число "пи" (3,14).
Н.2.2.
Формулы Н.1 и
Н.2 могут быть использованы как для определения безопасной площади разгерметизации F при проектировании аппаратов по максимально допустимому относительному давлению взрыва в нем

(прямая задача), так и для определения максимально допустимого начального давления горючей смеси

в аппарате, рассчитанном на максимальное давление

, с уже имеющимся сбросным люком площадью F, например при анализе аварий (обратная задача).
Н.2.3.
Формулы (Н.1) и
(Н.2) охватывают весь диапазон возможных давлений в оборудовании с различной степенью негерметичности

.
Н.2.4. Точность определения диаметра сбросного сечения по инженерным
формулам Н.1,
Н.2 в сравнении с точным компьютерным решением системы дифференциальных уравнений динамики развития взрыва составляет около 10%.
Н.3. Степень влияния различных параметров на безопасную площадь разгерметизации технологического оборудования с газопаровыми смесями
Н.3.1. В настоящем методе реализован подход к расчету площади сбросного сечения, заключающийся в учете влияния различных параметров и условий на безопасную площадь разгерметизации посредством соответствующего изменения эффективного значения фактора турбулентности (отношение фактора турбулентности к коэффициенту расхода).
Н.3.2. Расчет безопасной площади разгерметизации проводится, как правило, для наиболее опасных (околостехиометрического состава) смесей, если не доказана невозможность их образования внутри защищаемого объекта.
Н.4. Зависимость фактора турбулентности от условий развития взрыва в технологическом оборудовании с газопаровыми смесями при точечном источнике зажигания
Н.4.1. Зависимость фактора турбулентности от условий развития горения может быть представлена для полых объектов формулой

, (Н.4)
где

,

,

,

- эмпирические коэффициенты, определяемые по таблице Н.1.
Таблица Н.1
Эмпирические коэффициенты для расчета фактора
Условия развития горения | Эмпирические коэффициенты |
| | | |
Объем сосуда V до 10 м3, степень негерметичности  до 0,25 | 0,15 | 4 | 1,0 | 0,0 |
Объем сосуда V до 200 м3,  : | | | | |
начально открытые сбросные сечения | 0,00 | 0 | 2,0 | 0,0 |
начально закрытые сбросные сечения | 0,00 | 0 | 8,0 | 0,0 |
Объем сосуда V до 200 м3,  : | | | | |
начально открытые сбросные сечения | 0,00 | 0 | 0,8 | 1,2 |
начально закрытые сбросные сечения | 0,00 | 0 | 2,0 | 6,0 |
Объем сосуда V до 10 м3, степень негерметичности  до 0,04; наличие сбросного трубопровода,  : | | | | |
без орошения истекающих газов | 0,00 | 0 | 4,0 | 0,0 |
с орошением истекающих газов | 0,15 | 4 | 1,0 | 0,0 |
<1> Для отсутствующих в таблице условий развития горения, например для оборудования объемом более 200 м3, фактор турбулентности определяют экспертно. В таких случаях (объекты объемом более 200 м3, объекты с внутренними элементами и струйным и другими видами зажигания, а также инерционными сбросными элементами и т.п.) определение безопасной площади разгерметизации следует осуществлять с использованием программ расчета динамики взрыва. |
Для полых аппаратов объемом менее 1 м3 фактор турбулентности

составляет от 1 до 2.
С ростом объема аппарата фактор турбулентности увеличивается и для полых аппаратов объемом около 10 м3 составляет от 2,5 до 5 в зависимости от степени негерметичности (отношение

) аппарата.
Для сосудов объемом до 200 м3 различной формы с незначительными встроенными внутрь элементами фактор турбулентности не превышает, как правило, 8.
Н.4.2. Влияние формы аппарата
Для аппаратов с соотношением длины к диаметру до 5:1 можно считать, что форма аппарата не влияет на значение фактора турбулентности, т.к. увеличение поверхности пламени из-за его вытягивания по форме аппарата компенсируется уменьшением поверхности в результате более раннего касания пламени стенок сосуда.
Н.4.3. Влияние начальной герметизации аппарата
Для полых аппаратов объемом до 200 м3 с начально открытыми сбросными сечениями, например люками, значение фактора турбулентности, как правило, не превышает 2; для аппаратов с начально закрытыми сбросными сечениями (мембраны, разгерметизаторы и т.д.) не превышает 8.
Н.4.4. Влияние степени негерметичности аппарата

Увеличение степени негерметичности

в 10 раз от 0,025 до 0,25, что равнозначно увеличению площади разгерметизации в 10 раз для одного и того же аппарата, приводит к возрастанию фактора турбулентности в 2 раза (для аппаратов объемом около 10 м3 с 2,5 до 5).
Н.4.5. Влияние максимально допустимого давления в аппарате (коррелирует с влиянием давления разгерметизации).
При увеличении относительного максимально допустимого давления внутри аппарата (прочности аппарата) в диапазоне

фактор турбулентности не изменяется. С ростом относительного максимально допустимого давления выше

(до

) для начально открытых сбросных сечений фактор турбулентности снижается с 2 до 0,8, для начально закрытых - с 8 до 2. Этот результат согласуется с физическими представлениями о том, что при большем значении давления, которое выдерживает аппарат, меньше площадь сбросного сечения, а следовательно, фронт пламени подвергается меньшему возмущающему воздействию.
Н.4.6. Влияние условий истечения
Если истечение горючей смеси и продуктов сгорания осуществляется через сбросной трубопровод, расположенный за разгерметизирующим элементом и имеющий диаметр, приблизительно равный диаметру сбросного отверстия, то значение фактора турбулентности вне зависимости от объема сосуда от 10 до 15 м3 принимается равным 4 (для сосудов со степенью негерметичности

от 0,015 до 0,035, когда оснащение сосудов сбросным трубопроводом оправдано по соображениям разумного соотношения характерных размеров сосуда и трубопровода) при условии

.
При оснащении системы разгерметизации оросителем или другим аналогичным устройством, установленным в трубопроводе непосредственно за разгерметизатором для подачи хладагента в истекающую из аппарата смесь, фактор турбулентности принимается таким же, как при истечении непосредственно из аппарата в атмосферу. Эффект интенсификации горения в аппарате при сбросе газов через трубопровод исчезает при увеличении давления разгерметизации до 0,2 МПа при начальном давлении 0,1 МПа.
Н.4.7. Влияние условий разгерметизации, мгновенное вскрытие сбросного сечения повышает вероятность возникновения вибрационного горения внутри аппарата. Амплитуда в акустической волне вибрационного горения может достигать +/- 0,1 МПа. Перемешивание смеси, например, вентилятором, приводит к уменьшению колебаний давления.
Н.4.8. Влияние препятствий и турбулизаторов
Вопрос о влиянии различных препятствий, расположенных на пути распространения пламени, и турбулентности в смеси перед фронтом пламени является одним из определяющих в выборе фактора турбулентности. Наиболее правильным методом определения фактора турбулентности при наличии внутри аппарата сложных препятствий и турбулизованной смеси может считаться метод, основанный на сравнении расчетной и экспериментальной динамики роста давления (зависимость давление - время).
Имеющиеся данные указывают, что ускорение пламени на специальных препятствиях достигает

и более уже в сосудах объемом около 10 м3.
Для углеводородовоздушных смесей турбулентное распространение пламени с автономной генерацией турбулентности внутри зоны горения характеризуется максимальным фактором турбулентности, около

.
При искусственно создаваемой изотропной турбулентности максимальное значение фактора турбулентности при точечном зажигании не превышает 4 - 6. Дальнейшее увеличение степени изотропной турбулентности приводит к гашению пламени.
Для сосудов со встроенными и подвижными элементами, влияние которых на значение фактора турбулентности не может быть в настоящее время оценено, например, с использованием литературных данных или экспертным методом, выбор фактора турбулентности должен ограничиваться снизу значением

.
Н.4.9. Коэффициент расхода

Коэффициент расхода

является эмпирическим коэффициентом, учитывающим влияние реальных условий истечения на расход газа, определенный по известным теоретическим модельным соотношениям.
Для предохранительных мембран и разгерметизирующих устройств с непосредственным сбросом продуктов сгорания в атмосферу, как правило,

. При наличии сбросных трубопроводов

от 0,4 до 1 (включая случай с подачей хладагента в трубопровод непосредственно за мембраной).
Значение коэффициента расхода возрастает в указанном диапазоне с увеличением скорости истечения и температуры истекающего газа с ростом фактора турбулентности.
Произведение коэффициента расхода на площадь разгерметизации

представляет собой эффективную площадь разгерметизации.
Н.4.10. Аналог принципа Ле Шателье-Брауна

. (Н.5)
Теоретические и экспериментальные исследования процесса сгорания газа в негерметичном сосуде позволили установить аналог принципа Ле Шателье-Брауна: газодинамика горения газа в негерметичном сосуде реагирует на внешнее изменение условий протекания процесса в том направлении, при котором эффект внешнего воздействия ослабляется. Так, увеличение с целью снижения давления площади разгерметизации F в десять раз в сосуде объемом порядка 10 м3 сопровождается увеличением фактора турбулизации в два раза. Физическое объяснение наблюдаемого явления достаточно простое: с увеличением площади разгерметизации возрастает возмущающее воздействие на фронте пламени.
| | ИС МЕГАНОРМ: примечание. В официальном тексте документа, видимо, допущена опечатка: имеется в виду соотношение Н.5, а не П.5. | |
Избыточное давление коррелирует согласно критериальному
соотношению П.5 с отношением

, а не просто

. Как показали исследования, уменьшение размера ячейки турбулизирующей решетки, приводящей к возрастанию фактора турбулизации в 1,75 раза (с 8 до 14), сопровождается существенно меньшим увеличением отношения

- лишь в 1,11 раза. Сказанное необходимо учитывать при факторе турбулентности

.
Н.5. Определение нормальной скорости распространения пламени и термодинамических параметров
Н.5.1. Нормальная скорость характеризует реакционную способность горючих газовых смесей при фронтальных режимах горения. Наиболее перспективным является экспериментально-расчетный метод оптимизации, позволяющий определять нормальную скорость в бомбе постоянного объема в широком диапазоне температур и давлений. Метод изложен в
ГОСТ 12.1.044.
Входящая в критериальные
соотношения Н.1 и
Н.2 в составе комплекса подобия W
(соотношение Н.3) нормальная скорость распространения пламени

при давлении и температуре, соответствующих началу развития процесса горения, может быть определена экспериментально или взята из научно-технической литературы, прошедшей оценку достоверности приведенных в ней данных. Если данные по нормальной скорости при характерных для технологического процесса давления p и температуре T отсутствуют, то в ограниченном диапазоне экстраполяции можно воспользоваться для оценки формулой

, (Н.6)
где

- известное значение нормальной скорости при давлении

и температуре

;
n и m - соответственно барический и температурный показатели.
В диапазоне давлений от 0,04 до 1,00 МПа и температур от 293 до 500 К для стехиометрических смесей метана, пропана, гексана, гептана, ацетона, изопропанола и бензола с воздухом барический показатель с ростом давления и температуры свежей смеси увеличивается и находится в диапазоне от 3,1 до 0,6. При значениях давления и температуры, близких к атмосферным, барический и температурный показатели для горючих паровоздушных смесей могут быть приняты в первом приближении соответственно равными n = -0,5 и m = 2,0.
Н.5.2. Термодинамические параметры

,

,

определяют термодинамическим расчетом.
Коэффициент расширения

равен по определению

,
где

и

соответственно температура и молекулярная масса продуктов сгорания горючей смеси.
Молекулярную массу смеси идеальных газов M, кг/моль, определяют по формуле

, (Н.7)
где

и

- соответственно молекулярная масса и мольная доля j-го компонента смеси.
Коэффициент расширения может быть также определен из приближенного уравнения

. (Н.8)
Таблица Н.2
Результаты расчета значений

,

,

,

и

для некоторых стехиометрических газопаровых смесей
при начальном давлении 0,1 МПа и температуре 298,15 К
Горючее | Формула |  , % об. | | | | |  , м/с |
Метан | | 9,355 | 8,71 | 1,25 | 7,44 | 2200 | 0,31 |
Пропан | | 3,964 | 9,23 | 1,25 | 7,90 | 2240 | 0,32 |
н-Гексан | | 2,126 | 9,38 | 1,25 | 8,03 | 2250 | 0,29 |
н-Гептан | | 1,842 | 9,40 | 1,25 | 8,05 | 2250 | 0,30 |
Ацетон | | 4,907 | 9,28 | 1,25 | 7,96 | 2240 | 0,32 |
Изопропанол | | 4,386 | 9,34 | 1,24 | 8,00 | 2220 | 0,30 |
Бензол | | 2,679 | 9,30 | 1,25 | 7,99 | 2320 | 0,36 |
В
таблице Н.2 приведены рассчитанные значения термодинамических параметров для некоторых стехиометрических газопаровых смесей в предположении, что продукты сгорания состоят из следующих 19 компонентов в газовой фазе:

,

,

,

, Ar, C, H, O, N, CO,

, HCN,

,

, OH, NO,

,

,

. Стехиометрическая концентрация горючего

в воздухе средней влажности определялась по известной формуле

, (Н.9)
где

- стехиометрический коэффициент, равный количеству молекул кислорода, необходимых для сгорания одной молекулы горючего.
Для многокомпонентных смесей и смесей, проведение расчетов по которым по тем или иным причинам вызывает трудности, определение максимального относительного давления

, а следовательно, и коэффициента расширения

по
формуле Н.8 проводят по соответствующей методике
ГОСТ 12.1.044.
Н.6. Формулы для расчета безопасной площади разгерметизации оборудования и помещений, в которых обращается горючая пыль
Н.6.1. Расчет безопасной площади разгерметизации низкопрочных замкнутых оболочек, не выдерживающих избыточное давление свыше 10 кПа, производится по формуле

, (Н.10)
где F - безопасная площадь разгерметизации (суммарная площадь легкосбрасываемых покрытий), м2;
C - константа, определяемая по таблице Н.3;

- площадь внутренней поверхности замкнутой оболочки, м2;

- максимально допустимое избыточное давление взрыва пыли в защищаемом объеме при наличии истечения через сбросные отверстия, кПа.
Уровень пожаровзрывоопасности пыли зависит от индекса пожаровзрывоопасности

и определяется по
таблице Н.4.
Таблица Н.3
Значение коэффициента C
Уровень пожаровзрывоопасности пыли | C,  |
1 | 0,26 |
2 | 0,30 |
3 | 0,51 |
Таблица Н.4
Уровень пожаровзрывоопасности пыли в зависимости от

Диапазон значений индекса пожаровзрывоопасности пыли, МПа x м/с | Уровень пожаровзрывоопасности пыли |
| 1 |
| 2 |
| 3 |
Удельная масса легкосбрасываемого покрытия, как правило, не должна превышать 4,0 кг/м2.
Н.6.2. Расчет безопасной площади разгерметизации высокопрочных замкнутых оболочек, находящихся под давлением, близким к атмосферному, выдерживающих избыточное давление свыше 10 кПа, производится по формуле

, (Н.11)
где

;

;

;

- индекс пожаровзрывоопасности пыли, МПа x м/с;

- избыточное давление вскрытия сбросного сечения, кПа;
V - объем защищаемой емкости, м3.
L/D < 5;
1 < V < -1000;

;

;

;

;

,
где L, D - соответственно линейный и поперечный размеры оболочки, м;

- абсолютное начальное давление горючей смеси в аппарате, при котором происходит инициирование горения, кПа.
Удельная масса запорного элемента, как правило, не должна превосходить 12,0 кг/м2. При необходимости установки сбросных каналов их диаметр должен быть не менее диаметра сбросного отверстия при минимальной длине и количестве изгибов. Установка сбросного канала приводит к существенному росту требуемой величины

.
Н.6.3. Формулы для расчета безопасной площади разгерметизации оборудования и помещений, в которых обращаются гибридные смеси
Для гибридной взрывоопасной смеси (горючего газа с горючей пылью) расчет ведут по более опасной компоненте (обычно газу).
МЕТОДЫ РАСЧЕТА ТЕМПЕРАТУРНОГО РЕЖИМА ПОЖАРА
В ПОМЕЩЕНИЯХ ЗДАНИЙ РАЗЛИЧНОГО НАЗНАЧЕНИЯ
П.1. Условные обозначения
V - объем помещения, м3;
S - площадь пола помещения, м2;

- площадь i-го проема помещения, м2;

- высота i-го проема помещения, м;

- суммарная площадь проемов помещения, м2;

- приведенная высота проемов помещения, м;

- общее количество горючей нагрузки i-го компонента твердых горючих и трудногорючих материалов, кг;
q - количество горючей нагрузки, отнесенное к площади пола, кг/м2;

- удельное критическое количество горючей нагрузки, кг/м2;

- количество горючей нагрузки, отнесенное к площади тепловоспринимающих поверхностей помещения, кг/м2;

- средняя скорость выгорания древесины, кг/(м2 x мин);

- средняя скорость выгорания i-го компонента твердого горючего материала, кг/(м2 x мин);

- низшая теплота сгорания древесины, МДж/кг;

- низшая теплота сгорания i-го компонента материала горючей нагрузки, МДж/кг;

- степень черноты факела;

- температура окружающего воздуха, К;

- температура поверхности конструкции, К;
t - текущее время развития пожара, мин;

- минимальная продолжительность начальной стадии пожара, мин;

- предельная продолжительность локального пожара при горении ЛВЖ и ГЖ, мин.
П.2. Определение интегральных теплотехнических параметров объемного свободно развивающегося пожара в помещении
П.2.1. Определение вида возможного пожара в помещении
Вычисляют объем помещения V.
Рассчитывают проемность помещений П,

, объемом V <= 1000 м3

, (П.1)
для помещений с V > 1000 м3

. (П.2)
Из справочной литературы выбирают количество воздуха, необходимое для сгорания 1 кг материала i-й горючей нагрузки

, нм3/кг.
Рассчитывают количество воздуха, необходимое для сгорания 1 кг материала горючей нагрузки

. (П.3)
Определяют удельное критическое количество горючей нагрузки

, кг/м2, для кубического помещения объемом V, равным объему исследуемого помещения

. (П.4)
Вычисляют удельное значение горючей нагрузки

, кг/м2, для исследуемого помещения

, (П.5)
где S - площадь пола помещения, равная

.
Сравнивают значения

и

. Если

, то в помещении будет пожар, регулируемый нагрузкой (ПРН); если

, то в помещении будет пожар, регулируемый вентиляцией (ПРВ).
П.2.2. Расчет среднеобъемной температуры
Определяют максимальную среднеобъемную температуру

для ПРН

, (П.6)
для ПРВ в интервале

с точностью до 8%

и с точностью до 5%

, (П.7)
где

- характерная продолжительность объемного пожара (в часах), рассчитываемая по формуле

. (П.8)
Вычисляют время достижения максимального значения среднеобъемной температуры

, мин
для ПРН

, (П.9)
для ПРВ

,
Определяют изменение среднеобъемной температуры, °C, при объемном свободно развивающемся пожаре.

. (П.10)
П.2.3. Расчет средней температуры поверхности перекрытия
Определяют значение максимальной усредненной температуры поверхности перекрытия

, °C
для ПРН

, (П.11)
для ПРВ с точностью до 8,5%

, с точностью до 5%

. (П.12)
Вычисляют время достижения максимального значения усредненной температуры поверхности перекрытия

, мин
для ПРН

, (П.13)
для ПРВ с точностью до 10%

.
Определяют изменение средней температуры поверхности перекрытия

, (П.14)
где

- начальная средняя температура поверхности перекрытия, °C;

- температура поверхности перекрытия при времени t, °C.
П.2.4. Расчет средней температуры поверхности стен
Определяют максимальную усредненную температуру поверхности стен
для ПРН

, (П.15)
для ПРВ при

с точностью до 10%

. (П.16)
При

максимальное усредненное значение температуры поверхности стены с точностью до 3,5% составляет 850 °C.
Вычисляют время достижения максимального значения усредненной температуры поверхности стен

, мин
для ПРН

, (П.17)
для ПРВ

.
Определяют изменение средней температуры стен

, (П.18)
где

- начальная средняя температура поверхности стен, °C;

- температура поверхности стен при времени t, °C.
П.2.5. Расчет плотности эффективного теплового потока в конструкции стен и перекрытия (покрытия)
Определяют максимальную усредненную плотность эффективного теплового потока в строительные конструкции

, кВт/м2:
а) при ПРН:
для конструкции стен

, (П.19)
для конструкций перекрытия

; (П.20)
б) при ПРВ:
для конструкций стен при


, (П.21)
при


;
для конструкций перекрытий (покрытий) при


, (П.22)
при


.
Вычисляют время достижения максимальной усредненной плотности теплового потока в конструкции для ПРН и ПРВ:
для конструкций стен

, (П.23)
для конструкций перекрытия (покрытия)

. (П.24)
Определяют изменение средней плотности теплового потока в соответствующие конструкции

. (П.25)
П.2.6. Расчет максимальных значений плотностей тепловых потоков, уходящих из очага пожара через проемы помещения, расположенные на одном уровне, при ПРВ.
Максимальную плотность теплового потока с продуктами горения, уходящими через проемы, рассчитывают по формуле

. (П.26)
П.3. Расчет температурного режима в помещении с учетом начальной стадии пожара при горении твердых горючих и материалов
П.3.1. По данным пожарно-технического обследования или проектной документации определяют:
- объем помещения V;
- площадь проемов помещения

;
- высоту проемов

;
- общее количество горючей нагрузки каждого вида горючего твердого материала

;
- приведенную высоту проемов h;
- высоту помещения h;
- общее количество горючей нагрузки, приведенное к древесине, P.
П.3.2. По результатам экспериментальных исследований в соответствии с объемом помещения V и горючей нагрузкой q определяют минимальную продолжительность начальной стадии пожара (НСП)

. Времени окончания НСП соответствует температура

.
П.3.3. Рассчитывают температурный режим развитой стадии пожара.
П.3.4. По результатам расчета температурного режима строят зависимость среднеобъемной температуры в помещении в координатах температура - время так, чтобы значению температуры

на восходящей ветви соответствовало значение

.
П.3.5. Определяют изменение среднеобъемной температуры в начальной стадии пожара

, (П.27)
где

- среднеобъемная температура в момент окончания НСП, °C.
Среднее значение

горения горючей нагрузки из твердых органических материалов принимается равным 250 °C.
МЕТОД РАСЧЕТА ТРЕБУЕМОГО ПРЕДЕЛА ОГНЕСТОЙКОСТИ
СТРОИТЕЛЬНЫХ КОНСТРУКЦИЙ
Р.1. Расчет требуемых пределов огнестойкости
Метод расчета требуемых пределов огнестойкости железобетонных и огнезащищенных металлических конструкций промышленных зданий (сооружений) учитывает характеристики технологических процессов и устанавливает соответствующие требования к огнестойкости конструкций, исходя из нормируемого риска достижения предельного состояния конструкций по признаку потери несущей и теплоизолирующей способностей в условиях реальных пожаров.
Требуемые пределы огнестойкости устанавливаются на основе определения эквивалентной продолжительности пожаров и коэффициента огнестойкости. Коэффициент огнестойкости рассчитывают в зависимости от заданной предельной вероятности отказов конструкций в условиях реальных пожаров.
Р.1.1. Расчет требуемых пределов огнестойкости в помещении проводят для случаев локального или объемного пожаров. Для определения вида пожара сначала по
рисункам Р.1 и
Р.2 находят минимальную продолжительность начальной стадии пожара (НСП)

. При распространении огня по горючей нагрузке, отличающейся по свойствам от древесины, продолжительность НСП вычисляется по формуле

, (Р.1)
где

,

- средние скорости выгорания древесины и i-го компонента твердого горючего или трудногорючего материала, кг/(м2 x мин);

,

- низшие теплоты сгорания древесины и i-го компонента соответственно, МДж/кг;

,

- средние линейные скорости распространения по древесине и i-му компоненту соответственно, м/мин.
Рисунок Р.1. Зависимость минимальной продолжительности
начальной стадии пожара

от объема V, высоты H помещения
и количества горючей нагрузки q, приведенной к древесине
Сплошная линия при H = 4,8 м; q = 68 - 70 кг/м2;
Пунктирные линии при H = 6,6 м:
1 - q = 2,4 - 14 кг/м2;
2 - q = 67 - 119 кг/м2;
3 - q = 60 - 66 кг/м2;
4 - q = 60 кг/м2;
5 - q = 82 - 155 кг/м2;
6 - q = 140 - 160 кг/м2;
7 - q = 200 кг/м2;
8 - q = 210 - 250 кг/м2;
9 - q = 500 - 550 кг/м2
Рисунок Р.2. Зависимость минимальной продолжительности
начальной стадии пожара

от объема V и высоты H помещения
1 - H = 3 м;
2 - H = 6 м;
3 - H = 12 м
После определения продолжительности НСП проверяют неравенство:

, (Р.2)
где F - площадь пожарной нагрузки, м2.
Если условие (Р.2) выполняется, то горючая нагрузка расположена рассредоточенно - в помещении будет локальный пожар.
В противном случае горючая нагрузка расположена рассредоточено - в помещении будет объемный пожар.
На основе данных проектной документации, пожарно-технических обследований, а также справочных материалов определяется эквивалентная продолжительность пожара

для выбранной конструкции в рассматриваемом помещении. Эквивалентную продолжительность пожара определяют по известным значениям проемности помещения П,

, и характерной длительности пожара

(в часах).
Проемности помещения при объемном пожаре П рассчитывают по формуле

, (Р.3)
где S - площадь пола, м2;
V - объем помещения, м3;

- площадь проемов, м2;

- высота i-го проема в помещении, м;
N - количество проемов.
В случае локального пожара проемность рассчитывают по формуле

, (Р.4)
где H - расстояние от зеркала горения до конструкции (высота помещения), м.
Характерную длительность объемного пожара

(в часах) для твердых горючих и трудногорючих материалов рассчитывают по формуле

, (Р.5)
где

- общее количество горючей нагрузки i-го материала в кг (j = 1,..., M);
M - число различных видов нагрузки;

- средняя скорость выгорания j-го материала, кг/(м2 x мин);

- средняя скорость выгорания, кг/(м2 x мин);

- весовая доля j-й горючей нагрузки.

,

определяют экспериментально или по справочным данным.
При горении ЛВЖ и ГЖ продолжительность локального пожара

, мин, рассчитывают по формуле

, (Р.6)
где G - количество ЛВЖ и ГЖ, которое может разлиться при аварийной ситуации, кг;

- средняя скорость выгорания ЛВЖ и ГЖ, кг/(м2 x мин).
Для рассматриваемого типа конструкций по номограммам (рисунки Р.3 -
Р.9) определяют эквивалентную продолжительность пожара

(

, П).
Рисунок Р.3. Зависимость эквивалентной
продолжительности пожара

от продолжительности пожара
для железобетонных и огнезащищенных металлических
конструкций перекрытия в условиях локальных
пожаров

(или продолжительности НСП

)
при горении твердых и трудногорючих материалов
1 -

;
2 -

;
3 -

;
4 -

;
5 -

Рисунок Р.4. Зависимость эквивалентной продолжительности
пожара

от продолжительности пожара

для железобетонных
и огнезащищенных металлических конструкций перекрытия
при горении ЛВЖ и ГЖ
1 -

;
2 -

;
3 -

;
4 -

;
5 -

;
6 -

Рисунок Р.5. Зависимость эквивалентной продолжительности
пожара

от продолжительности пожара

для горизонтальных
незащищенных металлических конструкций
1 -

;
2 -

;
3 -

;
4 -

;
5 -

;
6 -

;
7 -

;
8 -

;
9 -

;
10 -

Рисунок Р.6. Зависимость эквивалентной продолжительности
пожара

от продолжительности пожара

для вертикальных
незащищенных металлических конструкций
1 -

;
2 -

;
3 -

;
4 -

;
5 -

;
6 -

;
7 -

Рисунок Р.7. Зависимость эквивалентной продолжительности
пожара

от характерной продолжительности пожара

для огнезащищенных металлических и железобетонных
конструкций перекрытия
1 -

;
2 -

;
3 -

;
4 -

;
5 -

;
6 -

;
7 -

Рисунок Р.8. Зависимость эквивалентной продолжительности
пожара

от характерной продолжительности объемного пожара

для железобетонных несущих стен
1 -

;
2 -

;
3 -

;
4 -

;
5 -

;
6 -

;
7 -

Рисунок Р.9. Зависимость эквивалентной продолжительности
пожара

от характерного времени объемного пожара

для центрально сжатых железобетонных колонн
1 -

;
2 -

;
3 -

;
4 -

;
5 -

;
6 -

;
7 -

| | ИС МЕГАНОРМ: примечание. В официальном тексте документа, видимо, допущена опечатка: формулы (У.3), (У.4), (У.5), (У.6) отсутствуют. Возможно, имеются в виду формулы (Р.3), (Р.4), (Р.5), (Р.6). | |
Р.1.2. Коэффициент огнестойкости выбранной конструкции

определяют по значению предельной вероятности отказов

с учетом допустимой вероятности отказов конструкций

. Значения

в зависимости от того, к какой группе конструкций i принадлежит выбранная конструкция, приведены в таблице Р.1.
Таблица Р.1
Допустимые вероятности отказов конструкций от пожаров

Группа конструкций | Вероятность отказов |
Вертикальные несущие конструкции, противопожарные преграды, ригели, перекрытия, фермы, балки | |
Другие горизонтальные несущие конструкции, перегородки | |
Прочие строительные конструкции | |
Предельные вероятности отказов конструкций в условиях пожаров

рассчитывают по формуле

, (Р.7)
где

- вероятность возникновения пожара, отнесенная к 1 м2 площади помещения;

- вероятность выполнения задачи (тушения пожара) автоматической установкой пожаротушения;

- вероятность предотвращения развитого пожара силами пожарной охраны;

- рассчитывают по методу, приведенному в
[3] или принимают из таблицы Р.2.
Таблица Р.2
Вероятности возникновения пожара

для промышленных помещений
Промышленный цех | Вероятность возникновения пожара  ,  |
По обработке синтетического каучука и искусственных волокон | 2,65 |
Литейные и плавильные | 1,89 |
Механические | 0,60 |
Инструментальные | 0,60 |
По переработке мясных и рыбных продуктов | 1,53 |
Горячей прокатки металлов | 1,89 |
Текстильного производства | 1,53 |
Электростанций | 2,24 |
Величины

определяют по паспортным данным установок. Допускается использование данных
[4].

устанавливают по статистическим данным или расчетом с учетом установки автоматических средств обнаружения пожара, сил и средств пожарной охраны. В случае отсутствия данных по пожарной охране и системе пожарной сигнализации следует положить

.
| | ИС МЕГАНОРМ: примечание. В официальном тексте документа, видимо, допущена опечатка: имеется в виду таблица Р.3, а не таблица Р.4. | |
По вычисленным значениям

определяют значение характеристики безопасности, при необходимости интерполируя данные таблицы Р.4.
Таблица Р.3
Значения характеристики безопасности P
Вероятность отказов конструкций при пожаре  | Характеристика безопасности  |
| 3,7 |
4,1 |
4,4 |
4,5 |
| 3,1 |
3,5 |
3,8 |
4,0 |
| 2,3 |
2,8 |
3,2 |
3,5 |
| 1,3 |
2,0 |
2,5 |
2,6 |
Таблица Р.4
Коэффициент огнестойкости

Площадь отсеков S, м2 | Вертикальные несущие конструкции, противопожарные преграды, балки, перекрытия, фермы | Другие горизонтальные несущие конструкции, перегородки | Прочие строительные конструкции |
1000 | 1,36 | 0,99 | 0,58 |
2500 | 1,52 | 1,14 | 0,75 |
5000 | 1,69 | 1,26 | 0,87 |
7500 | 1,79 | 1,31 | 0,94 |
10000 | 1,84 | 1,42 | 0,99 |
20000 | 2,03 | 1,47 | 1,10 |
Р.1.3. Расчет коэффициента огнестойкости

проводят по формуле

. (Р.8)
В
таблице Р.4 приведены значения

для условий

,

и

для различных площадей отсеков S.
Р.1.4. Требуемый предел огнестойкости

рассчитывают по вычисленным значениям

и


. (Р.9)
| Федеральный закон от 22 июля 2008 г. N 123-ФЗ "Технический регламент о требованиях пожарной безопасности" |
| Федеральный закон "О пожарной безопасности" от 21 декабря 1994 г. N 69-ФЗ |
| Расчет концентрационных пределов распространения пламени парогазовых смесей сложного состава. Методическое пособие. Москва, ВНИИПО, 2012 |
| Правила устройства электроустановок (утверждены Министерством энергетики Российской Федерации, Приказ от 08.07.2002 N 204). |