Главная // Актуальные документы // ГОСТ (Государственный стандарт)СПРАВКА
Источник публикации
М.: Издательство стандартов, 1993
Примечание к документу
С 1 июля 2003 года до вступления в силу технических регламентов акты федеральных органов исполнительной власти в сфере технического регулирования носят рекомендательный характер и подлежат обязательному исполнению только в части, соответствующей целям, указанным в
пункте 1 статьи 46 Федерального закона от 27.12.2002 N 184-ФЗ.
Документ
введен в действие с 1 января 1980 года.
Взамен ГОСТ 18704-73.
Название документа
"ГОСТ 18704-78. Государственный стандарт Союза ССР. Кислота борная. Технические условия"
(утв. и введен в действие Постановлением Госстандарта СССР от 04.11.1978 N 2893)
(ред. от 01.05.1991)
"ГОСТ 18704-78. Государственный стандарт Союза ССР. Кислота борная. Технические условия"
(утв. и введен в действие Постановлением Госстандарта СССР от 04.11.1978 N 2893)
(ред. от 01.05.1991)
Утвержден и введен в действие
Постановлением Государственного
комитета СССР по стандартам
от 4 ноября 1978 г. N 2893
ГОСУДАРСТВЕННЫЙ СТАНДАРТ СОЮЗА ССР
КИСЛОТА БОРНАЯ
ТЕХНИЧЕСКИЕ УСЛОВИЯ
Boric acid. Specifications
ГОСТ 18704-78
| | Список изменяющих документов (в ред. Изменения N 1, утв. в феврале 1986 г., Изменения N 2, утв. в январе 1988 г., Изменения N 3, утв. в мае 1991 г.) | |
Дата введения
1 января 1980 года
1. РАЗРАБОТАН И ВНЕСЕН Министерством по производству минеральных удобрений
РАЗРАБОТЧИКИ
Н.И. Баянова, Г.П. Скотникова, Е.К. Каверзин, Г.А. Мошкарева, Д.М. Гончарова
2. УТВЕРЖДЕН И ВВЕДЕН В ДЕЙСТВИЕ Постановлением Государственного комитета СССР по стандартам от 04.11.78 N 2893
3. Периодичность проверки - 5 лет
4. ВЗАМЕН ГОСТ 18704-73
5. ССЫЛОЧНЫЕ НОРМАТИВНО-ТЕХНИЧЕСКИЕ ДОКУМЕНТЫ
Обозначение НТД, на который дана ссылка | Номер пункта, подпункта |
| |
| |
| | ИС МЕГАНОРМ: примечание. Взамен ГОСТ 12.4.013-75 Постановлением Госстандарта России от 13.05.1985 N 1336 с 1 июля 1986 года введен в действие ГОСТ 12.4.013-85. Взамен ГОСТ 12.4.013-85 Постановлением Госстандарта России от 28.04.1997 N 198 с 1 июля 1998 года введен в действие ГОСТ Р 12.4.013-97. | |
|
ГОСТ 12.4.013-85 | |
| |
| |
| |
| | ИС МЕГАНОРМ: примечание. Взамен ГОСТ 22-78 Постановлением Госстандарта России от 13.12.1995 N 598 с 1 июля 1996 года введен в действие ГОСТ 22-94. | |
|
ГОСТ 22-78 | |
| |
| |
| |
| |
| |
| |
| |
| |
| |
| |
| |
| |
| |
| |
| |
ГОСТ 4331-78 | |
| |
| |
| |
| |
| |
| |
| |
| |
| |
| |
| |
|
|
ГОСТ 7328-82 | |
| |
| |
| |
| |
| |
| |
| |
| |
| |
| |
| | ИС МЕГАНОРМ: примечание. Взамен ГОСТ 18225-72 Постановлением Госстандарта России от 08.08.1994 N 207 с 1 января 1995 года введен в действие ГОСТ 30090-93. | |
|
ГОСТ 18225-72 | |
| |
| |
| |
| |
|
|
ГОСТ 24104-88 | |
| |
| |
| |
| |
| |
| |
| |
ТУ 3.3.1766-82, ТУ 3-3.1860-85, ТУ 3-3.2164-89 | |
ТУ 6-09-5484-90 | |
ТУ УССР 38 205459-85 | |
6. Снято ограничение срока действия Постановлением Госстандарта СССР от 30.05.91 N 762
7. ПЕРЕИЗДАНИЕ (апрель 1993 г.) с Изменениями N 1, 2, 3, утвержденными в феврале 1986, январе 1988 г., мае 1991 г. (ИУС 5-86, 4-88, 8-91)
Настоящий стандарт распространяется на борную кислоту, изготовляемую для нужд народного хозяйства и экспорта.
Борная кислота применяется в химической промышленности, медицине, при производстве стекла, керамики и в других отраслях промышленности.
Формула H3BO3.
Молекулярная масса борной кислоты (по международным атомным массам 1985 г.) - 61,83.
(Измененная редакция, Изм. N 3).
1. ТЕХНИЧЕСКИЕ ТРЕБОВАНИЯ
1.1. Борная кислота должна быть изготовлена в соответствии с требованиями настоящего стандарта по технологическому регламенту, утвержденному в установленном порядке.
1.2. В зависимости от применения борная кислота выпускается четырех марок: для оптического стекловарения, А, Б и В. Область применения марок приведена в
приложении.
1.1, 1.2. (Измененная редакция, Изм. N 1).
1.3. По физико-химическим показателям борная кислота должна соответствовать требованиям и нормам, указанным в
табл. 1.
Наименование показателя | Норма для марки |
Для оптического стекловарения ОКП 21 2171 0400 | А ОКП 21 2171 0100 | Б ОКП 21 2171 0200 | В |
1-й сорт ОКП 21 2171 0330 | 2-й сорт ОКП 21 2171 0340 |
1. Внешний вид | Мелкий кристаллический сыпучий порошок белого цвета |
2. Массовая доля борной кислоты (H3BO3), %, не менее | 99,9 | 99,9 | 99,9 | 99,6 | 98,6 |
3. Массовая доля хлоридов (Cl), %, не более | 0,001 | 0,0001 | 0,001 | Не нормируется |
4. Массовая доля сульфатов (SO4), %, не более | 0,008 | 0,0005 | 0,008 | 0,2 | 0,5 |
5. Массовая доля железа (Fe), %, не более | 0,0003 | 0,0002 | 0,0005 | 0,002 | 0,003 |
6. Массовая доля тяжелых металлов (Pb), %, не более | 0,001 | 0,0005 | 0,001 | 0,001 | Не нормируется |
7. Массовая доля остатка, не растворимого в воде, %, не более | 0,005 | Должна выдерживать испытание по п. 4.8 | 0,005 | 0,01 | 0,04 |
8. Массовая доля кальция (Ca), %, не более | 0,005 | 0,001 | 0,005 | Не нормируется |
9. Массовая доля мышьяка (As), %, не более | 0,0002 | 0,0001 | 0,0002 | " |
10. Массовая доля фосфатов (PO4), %, не более | 0,001 | 0,001 | 0,001 | " |
11. Массовая доля остатка, нелетучего при обработке этиловым спиртом, %, не более | Не нормируется | 0,05 | Не нормируется |
| | | | | |
04К не более | 10 | Не нормируется | 10 | 15 | Не нормируется |
0063К не менее | 70 | " | 70 | 75 | " |
13. Массовая доля красящих примесей, %, не более: | | |
ванадий (V) | 0,0005 | Не нормируется |
кобальт (Co) | 0,000003 | " |
марганец (Mn) | 0,0003 | " |
медь (Cu) | 0,00005 | " |
никель (Ni) | 0,00001 | " |
хром (Cr) | 0,00002 | " |
Примечания:
1. Для борной кислоты марки Б массовые доли мышьяка (As) и фосфатов (PO4) нормируют только для медицинских целей.
2. Для борной кислоты марки В массовую долю тяжелых металлов (Pb) нормируют только по требованию потребителя.
3. В борной кислоте марки Б, используемой для получения электровакуумного стекла, остаток на сите с сеткой 0063К должен быть не менее 80%.
(Измененная редакция, Изм. N 3).
2. ТРЕБОВАНИЯ БЕЗОПАСНОСТИ
2.1. Борная кислота пожаро- и взрывобезопасна.
По степени воздействия на организм борная кислота относится к умеренно опасным веществам (3-й класс опасности по
ГОСТ 12.1.007-76).
Борная кислота попадает в организм при вдыхании в виде паров или аэрозоля. Растворенная в воде она хорошо проникает через поврежденные участки кожи (экземы, трещины, ожоги), вызывая отравления организма человека.
Предельно допустимая концентрация борной кислоты в воздухе рабочей зоны - 10 мг/м3.
2.2. Определение содержания борной кислоты в воздухе проводят по методам, утвержденным Министерством здравоохранения СССР. Определение основано на взаимодействии борной кислоты с 1,1-диантримидом в концентрированной серной кислоте с образованием соединения, окрашенного в синий цвет.
2.3. Воздух, выбрасываемый в атмосферу, должен проходить очистку до установленных предельно допустимых норм.
Сточные воды, образующиеся в результате смывов и влажной уборки, должны быть собраны в приемнике и направлены для обезвреживания на станцию нейтрализации или возвращены в технологический процесс.
2.4. Производственные и лабораторные помещения, в которых проводится работа с борной кислотой, должны быть оснащены приточно-вытяжной вентиляцией по
ГОСТ 12.4.021-75, обеспечивающей состояние воздуха рабочей зоны в соответствии с требованиями
ГОСТ 12.1.005-88.
| | ИС МЕГАНОРМ: примечание. Взамен ГОСТ 12.4.013-75 Постановлением Госстандарта России от 13.05.1985 N 1336 с 1 июля 1986 года введен в действие ГОСТ 12.4.013-85. Взамен ГОСТ 12.4.013-85 Постановлением Госстандарта России от 28.04.1997 N 198 с 1 июля 1998 года введен в действие ГОСТ Р 12.4.013-97. | |
2.5. Работающие с борной кислотой должны применять для защиты органов дыхания средства индивидуальной защиты по
ГОСТ 12.4.034-85, лица и глаз - очки защитные по ГОСТ 12.4.013-85, а также специальную одежду и обувь и средства защиты рук - по
ГОСТ 12.4.103-83.
2.6. Анализы борной кислоты должны проводиться с соблюдением основных правил безопасной работы в химических лабораториях, утвержденных в установленном порядке.
Разд. 2. (Измененная редакция, Изм. N 1).
3.1. Борную кислоту принимают партиями. Партией считают количество продукта, однородного по показателям качества, в объеме не более 1000 т и оформленного одним документом о качестве.
Документ о качестве должен содержать:
наименование предприятия-изготовителя и его товарный знак;
наименование, марку и сорт продукта;
номер партии;
дату изготовления;
массу нетто;
результаты проведенных анализов или подтверждение соответствия качества продукта требованиям настоящего стандарта;
обозначение настоящего стандарта.
Допускается изготовителю результат анализа сменной выработки распространять на все формируемые из нее партии.
3.2. Для проверки соответствия качества борной кислоты требованиям настоящего стандарта проводят приемо-сдаточные испытания.
3.3. Для контроля качества продукта из партии борной кислоты отбирают случайную выборку, объем которой составляет не менее 5% единиц продукции, при малых партиях (менее 60 единиц) - не менее трех единиц.
3.4. Допускается у изготовителя определять периодически, не реже одного раза в месяц следующие показатели:
в продукте марки А - массовые доли тяжелых металлов (Pb), не растворимого в воде остатка, кальция (Ca), мышьяка (As), фосфатов (PO4);
в продукте марки Б - массовые доли хлоридов (Cl), тяжелых металлов (Pb), не растворимого в воде остатка, кальция (Ca), мышьяка (As), фосфатов (PO4);
в продукте марки В - массовые доли сульфатов (SO4), железа (Fe), не растворимого в воде остатка.
3.5. При получении неудовлетворительных результатов анализа хотя бы по одному показателю проводят по нему повторный анализ на удвоенной выборке от той же партии.
Результаты повторного испытания распространяются на всю партию.
Разд. 3. (Измененная редакция, Изм. N 3).
4.1. Отбор проб
4.1а. Общие требования
Результаты анализа каждого показателя округляют до наименьшего разряда суммарной погрешности.
Допускается применение других методов анализа, прошедших метрологическую аттестацию и имеющих точностные характеристики не ниже методов, предусмотренных настоящим стандартом.
При разногласиях в оценке показателя качества анализ проводят методами, указанными в настоящем стандарте.
Допускается применение других средств измерения с метрологическими характеристиками и оборудования с техническими характеристиками не хуже, а также реактивов по качеству не ниже указанных в настоящем стандарте.
(Введен дополнительно, Изм. N 3).
4.1.1. Для проверки качества борной кислоты, подлежащей упаковыванию, точечные пробы отбирают через равные интервалы времени вручную или механическим пробоотборником любой конструкции, обеспечивающим получение точечной пробы массой не менее 100 г от 3 - 5 т продукта.
Точечные пробы упакованного продукта отбирают пробоотборником любой конструкции, погружая его не менее чем на 1/2 глубины мешка или контейнера. Масса точечной пробы при этом должна быть не менее 100 г.
Допускается у изготовителя отбор точечных проб проводить из мешков и контейнеров перед их зашиванием или завязыванием.
(Измененная редакция, Изм. N 2).
4.1.2. Отбор проб проводят по следующей схеме:
из упаковочных единиц продукции, отобранных для контроля, или массы продукта перед упаковыванием берут точечные пробы;
отобранные точечные пробы соединяют вместе, перемешивают и составляют объединенную пробу;
из объединенной пробы методом квартования берут для анализа среднюю пробу массой не менее 500 г.
4.1.3. Среднюю пробу борной кислоты помещают в сухую стеклянную или полиэтиленовую банку или полиэтиленовый мешок. Банку плотно закрывают, мешок завязывают.
На банку, мешок с пробой наносят следующие данные:
наименование предприятия-изготовителя;
наименование продукта;
номер партии;
дату отбора пробы.
4.1.2, 4.1.3. (Измененная редакция, Изм. N 3).
4.2. Внешний вид продукта определяют визуально
4.3. Определение массовой доли борной кислоты
Методика основана на алкалиметрическом титровании комплексных соединений борной кислоты с многоатомными спиртами с использованием индикатора фенолфталеина.
4.3.1.
Аппаратура, реактивы и растворы
Бумага фильтровальная.
Бюретка вместимостью 50 см3 с ценой деления 0,1 см3.
Весы лабораторные общего назначения по ГОСТ 24104-88 2-го и 4-го классов точности с наибольшими пределами взвешивания 200 и 5 кг соответственно.
Гири по ГОСТ 7328-82 2-го и 4-го классов точности.
Глицерин по
ГОСТ 6259-75, ч.д.а, раствор, разбавленный 1:1 и нейтрализованный по фенолфталеину раствором гидроокиси натрия концентрации
c (NaOH) = 0,1 моль/дм
3.
Кислота соляная по
ГОСТ 3118-77, раствор концентрации
c (HCl) = 0,1 моль/дм
3.
Д(-) Маннит по ТУ 6-09-5484-90, ч.д.а.
Натрия гидроокись по
ГОСТ 4328-77, раствор концентрации
c (NaOH) = 0,5 моль/дм
3 и
c (NaOH) = 0,1 моль/дм
3, готовят по
ГОСТ 25794.1-83. Коэффициент поправки 0,5 моль/дм
3 раствора гидроокиси натрия устанавливают по дважды перекристаллизованной янтарной кислоте методом отдельных навесок.
Кислота янтарная по
ГОСТ 6341-75, дважды перекристаллизованная.
| | ИС МЕГАНОРМ: примечание. Взамен ГОСТ 22-78 Постановлением Госстандарта России от 13.12.1995 N 598 с 1 июля 1996 года введен в действие ГОСТ 22-94. | |
Сахар-рафинад по ГОСТ 22-78.
(Д)-Сорбит.
Спирт этиловый ректификованный технический по
ГОСТ 18300-87 высшего сорта.
Фенолфталеин (индикатор), спиртовой раствор с массовой долей 1%, готовят по
ГОСТ 4919.1-77.
4.3.2. Приготовление дважды перекристаллизованной янтарной кислоты
(100,0 +/- 1,0) г янтарной кислоты растворяют при кипячении в 170 см3 воды. Горячий раствор быстро фильтруют на воронке с обрезанным носиком через фильтровальную бумагу и охлаждают при непрерывном перемешивании. Выделившиеся кристаллы отфильтровывают на воронке Бюхнера и повторно перекристаллизовывают, растворяя при кипячении в 140 см3 воды. Полученные кристаллы янтарной кислоты сушат между листами фильтровальной бумаги до тех пор, пока они не перестанут прилипать к стеклянной палочке.
Перед использованием янтарную кислоту высушивают в сушильном шкафу при температуре (105 +/-5) °C до постоянной массы.
4.3.3. Установка коэффициента поправки 0,5 моль/дм3 раствора гидроокиси натрия
(1,0000 +/- 0,1000) г янтарной кислоты помещают в коническую колбу вместимостью 250 см3 и растворяют, нагревая до кипения, в 50 см3 дистиллированной воды, не содержащей углекислоты.
Раствор титруют в горячем состоянии гидроокисью натрия в присутствии 3 - 4 капель фенолфталеина до появления не исчезающего в течение 50 - 60 с розового окрашивания.
Коэффициент поправки (K) 0,5 моль/дм3 раствора гидроокиси натрия вычисляют по формуле

,
где m - масса навески янтарной кислоты, г;
V - объем раствора гидроокиси натрия концентрации 0,5 моль/дм3, израсходованный на титрование, см3;
0,02952 - масса янтарной кислоты, соответствующая 1 см3 раствора гидроокиси натрия концентрации точно 0,5 моль/дм3, г.
За результат анализа принимают среднее арифметическое результатов трех параллельных определений, допускаемые расхождения между которыми не должны превышать 0,001 при доверительной вероятности P = 0,95.
4.3.4. Приготовление раствора инвертированного сахара
(5,00 +/- 0,05) кг сахара-рафинада растворяют в 3,2 дм3 дистиллированной воды, не содержащей углекислоты, нагревают до температуры (80 +/- 5) °C и приливают 408 см3 0,1 моль/дм3 раствора соляной кислоты, перемешивают и выдерживают при этой температуре в течение 1 ч. Затем раствор сахара фильтруют, добавляют 460 см3 0,1 моль/дм3 раствора гидроокиси натрия для нейтрализации, охлаждают и доводят дистиллированной водой, не содержащей углекислоты, до 10 дм3, тщательно перемешивают. Полученный раствор нейтрализуют по фенолфталеину растворами гидроокиси натрия концентрации 0,1 моль/дм3 и соляной кислоты до обесцвечивания окраски фенолфталеина от одной капли раствора соляной кислоты.
4.3.5. Проведение анализа
(1,0000 +/- 0,1000) г борной кислоты помещают в коническую колбу вместимостью 250 см3, растворяют в 100 см3 воды, нагретой до (65 +/- 5) °C, не содержащей углекислоты, охлаждают, прибавляют 10 г маннита или сорбита, или 60 см3 раствора сахара; или 10 см3 раствора глицерина, 5 капель фенолфталеина и титруют раствором гидроокиси натрия концентрации 0,5 моль/дм3 до появления розовой окраски. После этого прибавляют еще 2 г маннита или сорбита, или 20 см3 раствора сахара, или 5 см3 раствора глицерина и, при обесцвечивании раствора, вновь титруют до появления розовой окраски. Эту операцию проводят до тех пор, пока окраска раствора не перестанет исчезать при добавлении маннита или сорбита, или раствора сахара, или раствора глицерина.
4.3.6. Обработка результатов
Массовую долю борной кислоты (X) в процентах вычисляют по формуле

,
где V - объем раствора гидроокиси натрия концентрации 0,5 моль/дм3, израсходованный на титрование, см3;
0,03092 - масса борной кислоты, соответствующая 1 см3 раствора гидроокиси натрия концентрации точно 0,5 моль/дм3, г;
K - коэффициент поправки титрованного раствора гидроокиси натрия;
m - масса навески, г.
За результат анализа принимают среднее арифметическое результатов двух параллельных определений, абсолютное расхождение между которыми не должно превышать 0,3% при доверительной вероятности P = 0,95.
Абсолютная суммарная погрешность результата анализа +/- 0,6% при доверительной вероятности P = 0,95.
4.4. Определение массовой доли хлоридов
Определение проводят по
ГОСТ 10671.7-74. При этом (30,00 +/- 1,00) г борной кислоты помещают в коническую колбу вместимостью 150 см
3, прибавляют 120 см
3 воды и наносят метку на уровне жидкости. Колбу накрывают воронкой и растворяют пробу при нагревании на кипящей водяной бане (при необходимости объем раствора доводят водой до метки). Раствор охлаждают до комнатной температуры и фильтруют через плотный беззольный фильтр "синяя лента", предварительно промытый раствором азотной кислоты по
ГОСТ 4461-77 с массовой долей 1%.
40 см3 фильтрата (соответствуют 10 г продукта) для марки А или 20 мл фильтрата (соответствуют 5 г продукта) для марки Б помещают в коническую колбу вместимостью 100 см3 (с меткой на 50 см3), добавляют 20 см3 воды для марки Б и далее определение проводят визуально-нефелометрическим и фототурбидиметрическим (способ 2) методами. Исходная навеска для фототурбидиметрического метода - (45,00 +/- 1,00) г.
Продукт считают соответствующим требованиям настоящего стандарта, если масса хлоридов не будет превышать для марок:
А - 0,010 мг;
Б - 0,050 мг.
Погрешность определения массовой доли хлоридов не должна превышать 10% нормы, установленной для этого показателя, при доверительной вероятности P = 0,95.
4.5. Определение массовой доли сульфатов
Метод фототурбидиметрический, основан на образовании однородного мелкодисперсного осадка BaSO4 в подкисленном растворе в присутствии стабилизатора крахмала или этиленгликоля и измерении на фотоколориметре ослабления интенсивности светового потока взвесью сульфата бария.
4.5.1.
Аппаратура, реактивы и растворы
Бюретка вместимостью 10 см3 с ценой деления 0,05 см3.
Весы лабораторные общего назначения по ГОСТ 24104-88 2-го и 4-го классов точности с наибольшими пределами взвешивания 200 и 500 г соответственно.
Гири по ГОСТ 7328-82 2-го класса точности.
Колориметр фотоэлектрический лабораторный по ТУ 3-3.1766-82, ТУ 3-3.1860-85, ТУ 3-3.2164-89.
Пипетки градуированные вместимостью 1, 5, 10, 20 и 25 см3.
Секундомер.
Фильтр "синяя лента".
Барий хлористый по
ГОСТ 4108-72, раствор с массовой долей 20%; готовят по ГОСТ 4517-87;
п. 2.28.
Кислота соляная по
ГОСТ 3118-77, раствор с массовой долей 10%; готовят по ГОСТ 4517-87,
п. 2.89.
Крахмал растворимый по
ГОСТ 10163-76, раствор с массовой долей 1%; готовят по ГОСТ 4517-87,
п. 2.90.
Стандартный раствор, содержащий в 1 см
3 0,01 мг SO
4; готовят по
ГОСТ 4212-76, используют свежеприготовленный - раствор I.
4.5.2. Условия проведения анализа
Температура окружающего воздуха при проведении анализа - (25 +/- 5) °C.
При температуре воздуха ниже 20 °C необходимо перед прибавлением раствора хлористого бария подогреть растворы на водяной бане, имеющей температуру 30 - 35 °C, в течение 15 мин.
Температура анализируемых растворов при построении градуировочного графика и при анализе проб должна быть одинаковой в интервале (25 +/- 5) °C.
4.5.3. Построение градуировочного графика
Для построения градуировочного графика в конические колбы вместимостью 100 см3 помещают 2,0; 4,0; 6,0; 8,0; 10,0 см3 стандартного раствора I, что соответствует 0,02; 0,04; 0,06; 0,08; 0,10 мг SO4, объемы растворов доводят водой до 25 см3 и перемешивают.
Одновременно готовят контрольный раствор, не содержащий раствора I.
В каждый раствор прибавляют 1 см3 раствора соляной кислоты, 3 см3 крахмала или этиленгликоля и тщательно перемешивают в течение 1 мин. Затем прибавляют 3 см3 раствора хлористого бария и снова перемешивают в течение 1 мин, а затем периодически перемешивают через каждые 10 мин.
Через 40 мин измеряют оптическую плотность растворов по отношению к контрольному раствору при длине волны 490 нм в кюветах с толщиной поглощающего свет слоя 50 мм.
Каждая точка градуировочного графика должна представлять собой среднее арифметическое значение не менее чем результатов трех параллельных определений.
По полученным данным строят градуировочный график, откладывая по оси абсцисс содержащиеся в растворах массы SO4 в миллиграммах, а по оси ординат - соответствующие им значения оптических плотностей.
4.5.4.
Подготовка проб борной кислоты марок "для оптического стекловарения", А и Б
(30,00 +/- 1,00) г борной кислоты марки А или (5,00 +/- 0,50) г продукта марок "для оптического стекловарения" или Б помещают в коническую колбу вместимостью 250 см3, добавляют 100 см3 воды и наносят метку уровня жидкости.
Колбу накрывают воронкой и растворяют пробу при нагревании, но не кипятят (при необходимости доводят объем раствора водой до метки). Раствор охлаждают до комнатной температуры и фильтруют через фильтр "синяя лента", предварительно промытый 3 - 4 раза горячей водой, отбрасывая первые порции фильтрата. Фильтрат помещают в коническую колбу и закрывают - раствор II для марки А, раствор III для марок "для оптического стекловарения" или Б.
4.5.5. Подготовка проб борной кислоты марки В
(1,0000 +/- 0,1000) г борной кислоты помещают в коническую колбу вместимостью 250 см3, добавляют 100 см3 воды и нагревают, избегая кипячения, до растворения навески. Раствор охлаждают до комнатной температуры, переводят в мерную колбу вместимостью 500 см3, доводят водой до метки и перемешивают. Раствор фильтруют через фильтр "синяя лента", предварительно промытый 3 - 4 раза горячей водой, отбрасывая первые порции фильтрата - раствор IV.
4.5.6. Проведение анализа
25 см3 раствора II, 20 см3 раствора III и 10 или 5 см3 раствора IV помещают в коническую колбу вместимостью 100 см3. Объем растворов доводят водой до 25 см3, прибавляют 1 см3 раствора соляной кислоты и далее поступают, как при построении градуировочного графика.
4.5.7. Обработка результатов
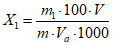
Массовую долю сульфатов (X1) в процентах вычисляют по формуле

,
где m1 - масса сульфатов, найденная по градуировочному графику, мг;
V - объем раствора с анализируемой навеской, см3;
Va - объем аликвотной части раствора, взятый для анализа, см3;.
m - масса навески борной кислоты, г.
За результат анализа принимают среднее арифметическое результатов двух параллельных определений, абсолютное расхождение между которыми не должно превышать значений, указанных в
табл. 1а, при доверительной вероятности
P = 0,95.
Абсолютная суммарная погрешность результата анализа при P = 0,95 указана в табл. 1а.
Диапазон измерений % | Абсолютные значения допускаемых расхождений между результатами параллельных определений, % | Абсолютные значения допускаемых расхождений между результатами анализа рабочей пробы в начале и в конце контролируемого периода, % | Абсолютная суммарная погрешность результата анализа, % |
От 0,0003 | | | |
до 0,0009 | 0,00040 | 0,00030 | +/- 0,00022 |
От 0,002 до 0,009 | 0,0010 | 0,0010 | +/- 0,0007 |
От 0,1 до 0,6 | 0,03 | 0,06 | +/- 0,05 |
4.6. Определение массовой доли железа
Массовую долю железа в борной кислоте марки "для оптического стекловарения" определяют по
п. 4.16.
Массовую долю железа в борной кислоте марок А, Б и В определяют фотоколориметрическим методом, который основан на измерении светопоглощения комплексного соединения Fe (II) с 1,10-фенантролином или 2,2'-дипиридилом после предварительного восстановления Fe (III) гидрохлоридом гидроксиламина.
4.6.1. Аппаратура, реактивы и растворы
Бюретка вместимостью 10 см3 с ценой деления 0,05 см3.
Весы лабораторные общего назначения по ГОСТ 24104-88 2-го класса точности с наибольшим пределом взвешивания 200 г.
Гири по ГОСТ 7328-82 2-го класса точности.
Колориметр фотоэлектрический лабораторный по ТУ 3-3.1766-82, ТУ 3-3.1860-85, ТУ 3-3.2164-89.
Пипетки градуированные вместимостью 1 и 10 см3.
Буферный раствор pH 5. Готовят следующим образом: 38 г уксусно-кислого натрия растворяют в 300 - 500 см3 воды, переводят раствор в мерную колбу вместимостью 1 дм3, приливают 58 см3 раствора уксусной кислоты, доводят объем раствора водой до метки и перемешивают.
2,2'-Дипиридил.
Кислота серная по
ГОСТ 4204-77, раствор концентрации
c (1/2 H
2SO
4) = 0,02 моль/дм
3.
Кислота уксусная по
ГОСТ 61-75, раствор с массовой долей 12%.
Раствор, содержащий в 1 см
3 0,01 мг Fe (III); готовят по
ГОСТ 4212-76 - раствор I.
Реактив на железо. Готовят двумя способами. Первый способ: к 50 см3 воды прибавляют 5,8 см3 раствора уксусной кислоты, 10 г гидрохлорида гидроксиламина и 0,1 г 2,2'-дипиридила, затем добавляют 245 см3 воды, 3,8 г уксусно-кислого натрия и снова перемешивают. Второй способ: к 200 см3 воды прибавляют 100 см3 буферного раствора. 10 г гидрохлорида гидроксиламина 0,1 г 1,10-фенантролина и перемешивают. Растворы хранят в склянках оранжевого стекла.
1,10-фенантролин.
4.6.2. Построение градуировочного графика
Для построения градуировочного графика готовят растворы сравнения. В стаканы вместимостью 100 см3 помещают 0,2; 0,5; 1,0; 1,5; 2,0; 4,0; 5,0; 6,0 см3 раствора I, что соответствует 0,002; 0,005; 0,010; 0,015; 0,020; 0,040; 0,050; 0,060 мг железа. Доводят объемы растворов водой до 20 см3 и перемешивают.
Одновременно готовят контрольный раствор; содержащий 20 см3 воды.
В каждый раствор прибавляют 0,1 см3 раствора уксусной кислоты и 5 см3 реактива на железо. Растворы погружают на 10 мин в кипящую водяную баню, затем охлаждают, переводят в мерные колбы вместимостью 50 см3, доводят объемы растворов водой до метки и перемешивают.
Оптические плотности растворов сравнения измеряют по отношению к контрольному раствору в кюветах с толщиной поглощающего свет слоя 50 мм при длине волны 490 нм.
По полученным данным строят градуировочный график, откладывая по оси абсцисс содержащиеся в растворах сравнения массы железа в миллиграммах, и по оси ординат - соответствующие им значения оптических плотностей.
Каждая точка градуировочного графика должна представлять собой среднее арифметическое значение не менее чем трех результатов параллельных определений.
При замене реактивов или прибора проверяют градуировочный график.
4.6.3. Проведение анализа
(2,00 +/- 0,10) г продукта помещают в стакан вместимостью 100 см3, прибавляют 15 см3 воды, 10 см3 раствора серной кислоты, 5 см3 реактива на железо, нагревают 10 мин на кипящей водяной бане, охлаждают, переводят раствор в мерную колбу вместимостью 50 см3, доводят водой до метки и перемешивают.
Одновременно готовят контрольный раствор, содержащий все реактивы, кроме анализируемого продукта.
Оптическую плотность анализируемого раствора измеряют по отношению к контрольному раствору так же, как при построении градуировочного графика.
4.6.4. Обработка результатов
Массовую долю железа (X2) в процентах вычисляют по формуле

,
где m1 - масса железа, найденная по градуировочному графику, мг;
m - масса навески, г.
За результат анализа принимают среднее арифметическое результатов двух параллельных определений, абсолютное расхождение между которыми не должно превышать значений, указанных в
табл. 1б, при доверительной вероятности
P = 0,95.
Абсолютная суммарная погрешность результата анализа при
P = 0,95 указана в
табл. 1б.
Диапазон измерений, % | Абсолютные значения допускаемых расхождений между результатами параллельных определений, % | Абсолютные значения допускаемых расхождений между результатами анализа рабочей пробы в начале и в конце контролируемого периода, % | Абсолютная суммарная погрешность результата анализа, % |
От 0,0001 | | | |
до 0,0006 | 0,00006 | 0,00007 | +/- 0,00005 |
От 0,001 до 0,004 | 0,0004 | 0,0004 | +/- 0,0004 |
4.3 - 4.6. (Измененная редакция, Изм. N 3).
4.7. Определение массовой доли тяжелых металлов
Определение проводят по
ГОСТ 17319-76 тиоацетамидным методом. При этом (2,00 +/- 0,50) г борной кислоты помещают в платиновую чашку вместимостью 50 см
3, прибавляют 25 см
3 этилового спирта по
ГОСТ 18300-72 и растворяют препарат при осторожном нагревании, помешивая стеклянной палочкой. Раствор выпаривают на водяной бане, остаток растворяют в 15 см
3 этилового спирта и вновь выпаривают в таких же условиях. Эту операцию повторяют 2 - 3 раза до полного улетучивания борной кислоты. К остатку прибавляют 1 см
3 раствора уксусной кислоты с массовой долей 30% по
ГОСТ 61-75, накрывают чашку стеклом и нагревают в течение 5 - 7 мин на кипящей водяной бане.
Раствор смывают 20 см
3 воды в коническую колбу вместимостью 50 см
3, прибавляют при перемешивании 4 см
3 раствора гидроокиси натрия с массовой долей 20% по
ГОСТ 4328-77 и далее определение проводят тиоацетамидным методом без прибавления раствора гидроокиси натрия.
Анализ заканчивают визуально.
Продукт считают соответствующим требованиям настоящего стандарта, если масса тяжелых металлов не будет превышать для марок:
А - 0,01 мг Pb;
Б, В - 0,02 мг Pb.
При необходимости в результат анализа вводят поправку на содержание тяжелых металлов в израсходованном на разложение количестве этилового спирта, определяемую контрольным опытом в остатке после выпаривания.
Погрешность определения массовой доли тяжелых металлов не должна превышать 10% нормы, установленной для этого показателя, при доверительной вероятности P = 0,95.
(Измененная редакция, Изм. N 1, 3).
4.8. Определение массовой доли остатка, не растворимого в воде
Массовую долю остатка, не растворимого в воде, в борной кислоте марки А определяют фотоколориметрическим методом, основанном на измерении оптической плотности раствора борной кислоты относительно дистиллированной воды.
Массовую долю остатка, не растворимого в воде, в борной кислоте марок Б, В и "для оптического стекловарения" определяют методом, основанным на растворении навески пробы борной кислоты в воде при нагревании, фильтровании полученного раствора через фильтрующие тигли, высушивании нерастворимого остатка до постоянной массы при температуре 105 °C.
4.8.1.
Аппаратура, реактивы и растворы
Весы лабораторные общего назначения по ГОСТ 24104-88 2-го и 4-го классов точности с наибольшими пределами взвешивания 200 и 500 г соответственно.
Гири по ГОСТ 7328-82 2-го класса точности.
Колориметр фотоэлектрический лабораторный по ТУ 3-3.1766-82, ТУ 3-3.1860-85, ТУ 3-3.2164-89.
Термометр стеклянный лабораторный по
ГОСТ 28498-90 с ценой деления 0,5 °C.
Шкаф сушильный, обеспечивающий температуру нагрева 100 - 110 °C.
Эксикатор стеклянный по
ГОСТ 25336-82 с прокаленным хлористым кальцием.
4.8.2. Проведение анализа продукта марки А
(4,0 +/- 0,1) г борной кислоты взвешивают, помещают в стакан и растворяют в 100 см3 воды, нагретой до (35 +/- 5) °C, затем раствор охлаждают до комнатной температуры.
Оптическую плотность раствора измеряют относительно дистиллированной воды в кювете с толщиной поглощающего свет слоя 50 мм при длине волны 400 нм.
Продукт считают соответствующим требованиям настоящего стандарта, если оптическая плотность не будет превышать 0,02.
4.8.3. Проведение анализа продукта марок Б, В и "для оптического стекловарения"
(50,00 +/- 1,00) г борной кислоты марки Б и "для оптического стекловарения" и (20,00 +/- 1,00) г марки В растворяют соответственно в 500 и 400 см3 воды, нагретой до (85 +/- 5) °C. Полученный раствор накрывают часовым стеклом и выдерживают на кипящей водяной бане до растворения пробы, фильтруют через фильтрующий тигель, предварительно высушенный до постоянной массы и взвешенный с точностью до четвертого десятичного знака. Остаток на фильтре промывают 300 см3 горячей воды. Тигель снаружи обмывают дистиллированной водой, протирают фильтровальной бумагой. Фильтр с остатком сушат в сушильном шкафу в течение 1,5 ч при температуре (105 +/- 5) °C, охлаждают и взвешивают с той же точностью.
4.8.4. Обработка результатов
Массовую долю остатка, не растворимого в воде, (X3) в процентах вычисляют по формуле

,
где m1 - масса остатка в тигле, г;
m - масса навески борной кислоты, г.
За результат анализа принимают среднее арифметическое результатов двух параллельных определений, абсолютное расхождение между которыми не должно превышать значений, указанных в
табл. 1в, при доверительной вероятности
P = 0,95.
Абсолютная суммарная погрешность результата анализа при
P = 0,95 указана в
табл. 1в.
Диапазон измерений, % | Абсолютные значения допускаемых расхождений между результатами параллельных определений, % | Абсолютные значения допускаемых расхождений между результатами анализа рабочей пробы в начале и в конце контролируемого периода, % | Абсолютная суммарная погрешность результата анализа, % |
От 0,001 до 0,003 | 0,0014 | 0,0014 | +/- 0,0012 |
От 0,003 до 0,011 | 0,0028 | 0,0028 | +/- 0,0022 |
От 0,01 до 0,05 | 0,008 | 0,009 | +/- 0,006 |
4.9. Определение массовой доли кальция
Метод фотоколориметрический, основан на измерении оптической плотности окрашенных растворов комплексного соединения кальция с кальционом. Борную кислоту предварительно удаляют из раствора выпариванием с этиловым спиртом.
4.9.1.
Аппаратура, реактивы и растворы
Бюретка вместимостью 5 см3 с ценой деления 0,02 см3.
Весы лабораторные общего назначения по ГОСТ 24104-88 2-го класса точности с наибольшим пределом взвешивания 200 г.
Гири по ГОСТ 7328-82 2-го класса точности.
Пипетки градуированные вместимостью 5 см3.
Колориметр фотоэлектрический лабораторный по ТУ 3-3.1766-82, ТУ 3-3.1860-85, ТУ 3-3.2164-89.
Вода дистиллированная по
ГОСТ 6709-72, дважды перегнанная (бидистиллят), не содержащая углекислоты; готовят по
ГОСТ 4517-87.
Кальций углекислый по
ГОСТ 4530-76, раствор, содержащий 1 мг кальция в 1 см
3, готовят по
ГОСТ 4212-76 - раствор I. Раствор, содержащий 0,01 мг кальция в 1 см
3, готовят соответствующим разбавлением раствора I бидистиллятом - раствор II (используют в день приготовления).
Кальцион свежеприготовленный на бидистилляте, раствор с массовой долей 0,002%.
Кислота соляная по
ГОСТ 3118-77, х.ч., раствор с массой долей 25%.
Натрия гидроокись по
ГОСТ 4328-77, х.ч., раствор концентрации
c (NaOH) = 0,5 моль/дм
3. Раствор должен выдерживать испытание на пригодность для определения кальция: в пробирку, содержащую 2 см
3 воды, прибавляют 2 см
3 раствора гидроокиси натрия, 2 см
3 ацетона, перемешивают, прибавляют 5 см
3 раствора кальциона и снова перемешивают. Раствор должен иметь синюю окраску без розового оттенка.
Спирт этиловый ректификованный технический по
ГОСТ 18300-87 высшего сорта.
4.9.2. Построение градуировочного графика
Для построения градуировочного графика готовят растворы сравнения. В пробирки вместимостью 16 см3 приливают из бюретки 0,2; 0,3; 0,4; 0,6; 0,7; 0,8 см3 раствора II, что соответствует 0,002; 0,003; 0,004; 0,006; 0,007; 0,008 мг кальция. Объемы растворов в пробирках доводят водой до 2 см3, прибавляют 1 см3 гидроокиси натрия, 2 см3 ацетона, перемешивают, затем прибавляют 5 см3 раствора кальциона и снова перемешивают. Одновременно готовят контрольный раствор с теми же количествами реактивов, но без раствора II. Через 2 мин, но не позднее чем через 10 мин после прибавления раствора кальциона, измеряют оптическую плотность приготовленных растворов относительно воды на фотоколориметре в кюветах с толщиной поглощающего свет слоя 20 мм, закрытых крышками, при длине волны 590 нм. Из найденной оптической плотности контрольного раствора вычитают оптические плотности растворов сравнения. Для построения каждой точки градуировочного графика вычисляют среднее арифметическое результатов не менее чем из трех параллельных определений оптических плотностей.
По полученным данным строят градуировочный график, откладывая по оси абсцисс содержащиеся в растворах сравнения массы кальция в миллиграммах, а по оси ординат - соответствующие им разности оптических плотностей контрольного раствора и растворов сравнения. Градуировочный график проверяют при смене реактивов или приборов.
4.9.3. Проведение анализа
(0,1000 +/- 0,0100) г продукта марок "для оптического стекловарения" и Б или (0,2000 +/- 0,0100) г продукта марки А помещают в платиновую чашку, прибавляют 5 см3 этилового спирта, 0,1 см3 раствора соляной кислоты и в вытяжном шкафу на водяной бане выпаривают досуха в условиях, исключающих возможность загрязнения кальцием. Операцию повторяют три раза. Затем в чашку добавляют 2 см3 воды, 1 см3 раствора гидроокиси натрия, 2 см3 ацетона, перемешивают, добавляют 5 см3 кальциона и снова перемешивают. Содержимое чашки переводят в пробирку и закрывают пробкой.
Одновременно через все стадии анализа проводят контрольный опыт. Через 2 мин, но не позднее чем через 10 мин измеряют оптические плотности полученных растворов относительно воды так же, как при построении градуировочного графика. Из найденной оптической плотности раствора контрольного опыта вычитают оптическую плотность анализируемого раствора. По полученному значению оптической плотности при помощи градуировочного графика определяют массу кальция в анализируемой пробе в миллиграммах.
4.9.4. Обработка результатов
Массовую долю кальция (X4) в процентах вычисляют по формуле

,
где m1 - масса кальция, найденная по градуировочному графику, мг;
m - масса навески борной кислоты, г.
За результат анализа принимают среднее арифметическое результатов двух параллельных определений, абсолютное расхождение между которыми для диапазонов измерений от 0,001 до 0,002% и от 0,002 до 0,005% не должно превышать 0,0007 и 0,0014 °C соответственно при доверительной вероятности P = 0,95.
Абсолютная суммарная погрешность результата анализа для указанных диапазонов составляет +/- 0,0003 и +/- 0,001% соответственно при доверительной вероятности P = 0,95.
4.8, 4.9. (Измененная редакция, Изм. N 3).
4.10. Определение массовой доли мышьяка
Определение проводят по
ГОСТ 10485-75. При этом 1 г борной кислоты взвешивают с погрешностью не более 0,01 г, помещают в колбу прибора для определения мышьяка, прибавляют 30 см
3 воды и перемешивают до полного растворения пробы. Далее определение ведут арсиновым методом (способ 2).
Продукт считают соответствующим требованиям настоящего стандарта, если окраска бромнортутной бумажки от анализируемого раствора не будет интенсивнее окраски бромнортутной бумажки от раствора, приготовленного одновременно с анализируемым и содержащего в таком же объеме для марок:
для оптического стекловарения - 0,002 мг As.
А - 0,001 мг As,
Б - 0,002 мг As,
20 см3 раствора серной кислоты, 0,5 см3 раствора двухлористого олова и 5 г цинка.
Погрешность определения массовой доли мышьяка не должна превышать 10% нормы, установленной для этого показателя, при доверительной вероятности P = 0,95.
(Измененная редакция, Изм. N 1).
4.11. Определение массовой доли фосфатов
Определение проводят по
ГОСТ 10671.6-74. При этом 15 см
3 раствора пробы, полученного по
п. 4.5.4 настоящего стандарта с использованием навески (20,00 +/- 1,00) г, помещают в коническую колбу вместимостью 50 см
3 и далее определение проводят фотометрическим методом по желтой окраске фосфорнованадиевомолибденового комплекса.
Продукт считают соответствующим требованиям настоящего стандарта, если масса фосфатов не будет превышать 0,03 мг. Допускается определение заканчивать визуально.
4.12. Определение остатка, нелетучего при обработке этиловым спиртом
Методика основана на растворении борной кислоты в этиловом спирте с последующим выпариванием досуха, прокаливании остатка в муфельной печи и взвешивании массы сухого остатка.
4.12.1.
Аппаратура, реактивы и растворы
Весы лабораторные общего назначения по ГОСТ 24104-88 2-го класса точности с наибольшим пределом взвешивания 200 г.
Гири по ГОСТ 7328-82 2-го класса точности.
Пипетки градуированные вместимостью 1 см3.
Печь муфельная с терморегулятором, обеспечивающим температуру нагрева 1000 °C.
Кислота соляная по
ГОСТ 3118-77, х.ч., раствор с массовой долей 25%.
Спирт этиловый ректификованный технический по
ГОСТ 18300-87, высший сорт.
4.12.2. Проведение анализа
(2,0000 +/- 0,0100) г пробы помещают в предварительно прокаленную и взвешенную с той же точностью платиновую чашку, прибавляют 25 см3 этилового спирта, 0,6 см3 раствора соляной кислоты и в вытяжном шкафу на водяной бане выпаривают досуха.
К сухому остатку прибавляют 25 см3 этилового спирта, 0,3 см3 раствора соляной кислоты и снова выпаривают на водяной бане досуха. Выпаривание с этиловым спиртом повторяют еще дважды. Общий расход спирта 100 см3.
К охлажденному остатку прибавляют 0,2 см3 серной кислоты и выпаривают на песчаной бане до прекращения выделения паров серной кислоты.
Остаток прокаливают в муфельной печи при температуре 600 °C до постоянной массы, охлаждают и взвешивают с точностью до четвертого десятичного знака.
Одновременно проводят контрольный опыт с тем же количеством реактивов, но без анализируемого продукта.
4.12.3. Обработка результатов
Массовую долю остатка, нелетучего при обработке этиловым спиртом, (X5) в процентах вычисляют по формуле

,
где m1 - масса платиновой чашки с сухим остатком, г;
m2 - масса платиновой чашки, г;
m - масса навески борной кислоты, г.
За результат анализа принимают среднее арифметическое результатов двух параллельных определений, абсолютное расхождение между которыми не должно превышать 0,016% при доверительной вероятности P = 0,95.
Абсолютная суммарная погрешность результата анализа +/- 0,008% при доверительной вероятности P = 0,95.
4.11, 4.12. (Измененная редакция, Изм. N 3).
4.13 - 4.14.2. (Исключены, Изм. N 1).
4.15. Определение остатка на сите
Весы лабораторные общего назначения по ГОСТ 24104-88 4-го класса точности с наибольшим пределом взвешивания 500 г.
Гири по ГОСТ 7328-82 4-го класса точности.
4.15.2. Проведение анализа
(50,0 +/- 1,0) г борной кислоты просеивают через набор сит с сетками 04К и 0063К на механическом приборе до тех пор, пока изменение массы остатка на сетках при рассеве в течение 1 мин не будет превышать 0,05 г при взвешивании с погрешностью не более 0,001 г.
4.15.3. Обработка результатов
Массовую долю остатка на сите (X6) в процентах вычисляют по формуле

,
где m1 - масса остатка на сите, г;
m - масса навески борной кислоты, г.
Погрешность определения массовой доли остатка на сите не должна превышать 10% нормы, установленной для этого показателя, при доверительной вероятности P = 0,95.
4.15. (Измененная редакция, Изм. N 3).
4.16. Определение массовой доли красящих примесей
4.16.1.
Средства измерений, аппаратура, реактивы и растворы
Автотрансформатор лабораторный ЛАТР-1.
Выпрямитель ВАЗ 230-70.
Генератор дуги переменного тока ДГ-2.
Микрофотометр МФ-2 или МФ-4.
Спектрограф ИСП-30 с трехлинзовой системой освещения щели и трехступенчатым ослабителем.
Спектропроектор ПС-18.
Ступка из органического стекла.
Угли графитовые для спектрального анализа особой чистоты (электроды угольные) диаметром 6 мм. Верхний электрод заточен на конус, нижний электрод с цилиндрическим каналом диаметром 4,5 мм, глубиной 2 мм. Электроды обжигают в дуге постоянного тока 12 А в течение 15 с. Спектры контролируют на отсутствие линий определяемых элементов.
Фотопластинки спектральные типа II чувствительностью 15 относительных единиц.
Ванадия окись (V).
Железа (III) окись для спектрального анализа.
Кобальта окись для спектрального анализа.
Натрий хлористый особой чистоты.
Никеля окись по ГОСТ 4331-78.
Проявитель метолгидрохиноновый, готовят следующим образом: 2 г метола, 10 г гидрохинона и 52 г сернисто-кислого натрия растворяют в воде, доводят объем раствора водой до 1 дм3, перемешивают и, если раствор мутный, его фильтруют (раствор А). 16 г безводного углекислого натрия (или 40 г 10-водного углекислого натрия) и 2 г бромистого калия растворяют в воде, доводят объем раствора водой до 1 дм3, перемешивают и, если раствор мутный, его фильтруют (раствор Б). Растворы А и Б смешивают в равных объемах.
Порошок графитовый.
Фиксаж быстродействующий, готовят следующим образом: 500 г серноватисто-кислого натрия и 100 г хлористого аммония растворяют в воде, доводят объем раствора водой до 2 дм3, перемешивают и, если раствор мутный, фильтруют.
Фтористоводородная кислота.
(Измененная редакция, Изм. N 2, 3).
4.16.2. Подготовка к анализу
4.16.2.1. Приготовление образцов
Готовят исходный образец, содержащий 1% каждой примеси, тщательно растирая в ступке из органического стекла следующие компоненты: 0,029 г окиси железа; 0,036 г окиси ванадия; 0,025 г окиси кобальта; 0,032 г двуокиси марганца; 0,025 г окиси меди; 0,025 г окиси никеля; 0,029 г окиси хрома; 1,799 г графитового порошка.
Исходный образец разбавляют графитовым порошком в соотношении 1:9 (образец А).
Рабочие образцы готовят по
табл. 2.
Номер образца | Массовая доля примесей, % | Масса навески разбавляемого образца, г | Масса навески графитового порошка, г |
1 | 0,01 | 0,500 образца А | 4,500 |
2 | 0,0033 | 1,500 образца 1 | 3,000 |
3 | 0,0011 | 1,500 образца 2 | 3,000 |
4 | 0,00036 | 1,500 образца 3 | 3,000 |
5 | 0,00012 | 1,500 образца 4 | 3,000 |
4.16.2.2. Приготовление концентрата примесей
2 г анализируемой борной кислоты взвешивают, результат взвешивания записывают с точностью до второго десятичного знака, добавляют 0,020 г графитового порошка в качестве коллектора и на фторпластовой подложке помещают на дно графитовой камеры (см. чертеж).
1 - основание; 2 - корпус; 3 - крышка;
4 - чашка с плавиковой кислотой; 5 - фторопластовая тарелка
На верхнюю полочку камеры помещают чашку с фтористоводородной кислотой. Графитовую камеру помещают на электроплитку и нагревают до 200 - 250 °C до появления паров из отверстия на боковой стенке камеры. Разложение ведут до полного удаления основы в течение 5 - 10 ч (в зависимости от дисперсности пробы).
4.16.3. Проведение анализа
0,02 г концентрата и рабочих образцов взвешивают с точностью до третьего десятичного знака, смешивают на кальке - с 0,001 г хлористого натрия, помещают в кратер подготовленного электрода и возбуждают спектр в дуге постоянного тока. Анализ проводят в следующих условиях:
Сила тока, А ................................................................................... | 10 |
Ширина щели, мм .......................................................................... | 0,020 |
Высота промежуточной диафрагмы на средней линзе конденсаторной системы, мм .............................................................. | 5 |
Экспозиция, с ................................................................................. | 30 |
Спектры анализируемых проб и образцов снимают на одной пластинке не менее трех раз.
Фотопластинку со снятыми спектрами проявляют, промывают в проточной воде, фиксируют, снова промывают, высушивают на воздухе и фотометрируют на микрофотометре, измеряя почернения аналитических линий и соседнего фона.
Используют следующие аналитические линии:
Co - 252,85 нм;
Mn - 280,11 нм;
Cr - 283,56 нм;
Fe - 302,06 нм;
Ni - 305,08 нм;
V - 318,54 нм;
Cu - 324,75 нм.
Для каждой аналитической пары вычисляют разность почернений

по формуле

,
где

- почернение аналитической линии;

- почернение фона.
По трем значениям разности почернений определяют среднее арифметическое

для каждого элемента.
По значениям

образцов для каждого определяемого элемента строят градуировочный график, откладывая на оси абсцисс - логарифмы концентраций, а на оси ординат - разность почернений

.
По градуировочным графикам находят концентрацию примесей в концентрате.
4.16.4. Обработка результатов
Массовую долю примесей (X7) в процентах вычисляют по формуле

,
где C - массовая доля примесей в концентрате, %;
m1 - масса навески коллектора, г;
m - масса навески анализируемой пробы, г.
За результат анализа принимают среднее арифметическое результатов трех параллельных определений, допускаемые расхождения между которыми не должны превышать 20% нормы, установленной для этого показателя, при доверительной вероятности P = 0,95.
(Измененная редакция, Изм. N 3).
4.16 - 4.16.4. (Введены дополнительно, Изм. N 1).
5. УПАКОВКА, МАРКИРОВКА, ТРАНСПОРТИРОВАНИЕ И ХРАНЕНИЕ
5.1. Борную кислоту упаковывают в четырех-, пятислойные бумажные мешки, марки НМ по
ГОСТ 2226-88 или в полиэтиленовые мешки М8-0,220 по
ГОСТ 17811-78, а также в специализированные мягкие контейнеры типов МКР-1,0М, МКР-1,0С, МК-1,0Л.
5.2. Борную кислоту, предназначенную для электровакуумного стекла, упаковывают в пятислойные бумажные мешки марки ПМ или ВМП по
ГОСТ 2226-88 или полиэтиленовые мешки по
ГОСТ 17811-78.
5.3. По требованию потребителя борную кислоту для медицинских целей, электронной промышленности и предприятий отрасли оптического стекловарения упаковывают в пленочные мешки-вкладыши, вложенные в четырех-, пятислойные бумажные мешки марки НМ по
ГОСТ 2226-88.
5.4. Борную кислоту для районов Крайнего Севера и приравненных к ним районов упаковывают в специализированные мягкие контейнеры типов МКР-1,0С, МК-1,0Л или в два вложенных один в другой мешка:
| | ИС МЕГАНОРМ: примечание. Взамен ГОСТ 18225-72 Постановлением Госстандарта России от 08.08.1994 N 207 с 1 января 1995 года введен в действие ГОСТ 30090-93. | |
наружные - льно-джуто-кенафные мешки по ГОСТ 18225-72 или четырех-, пятислойные бумажные мешки по
ГОСТ 2226-88 (кроме мешков марки НМ), или бумажные мешки по ТУ УССР 38 205459-85.
Допускается при транспортировании железнодорожным транспортом упаковывать борную кислоту в специализированные мягкие контейнеры типа МКР-1,0М без перевалок в пути следования с погрузкой и выгрузкой на подъездных путях предприятий.
Температура продукта перед упаковыванием в бумажные мешки не должна превышать 65 °C, в полиэтиленовые мешки - 60 °C.
Бумажные, льно-джуто-кенафные мешки и полиэтиленовые вместе с бумажными мешками зашивают машинным способом.
Масса нетто мешков - не более 40 кг.
Борную кислоту, предназначенную для экспорта, упаковывают, маркируют и транспортируют в соответствии с требованиями договора между предприятием и внешнеэкономическими организациями.
При мелких отправках мешки с продуктом дополнительно упаковывают в плотные дощатые ящики по
ГОСТ 18573-86 или деревянные сухотарные бочки по
ГОСТ 8777-80 вместимостью от 25 до 250 дм
3.
(Измененная редакция, Изм. N 3).
5.5. Транспортная маркировка - по
ГОСТ 14192-77 с нанесением на мешки манипуляционного знака "Боится сырости".
Дополнительно на транспортную тару наносят маркировку, содержащую следующие данные, характеризующие продукцию:
наименование, марку и сорт продукта;
номер партии;
дату изготовления;
обозначение настоящего стандарта.
5.6. Борную кислоту транспортируют железнодорожным, морским, речным и автомобильным транспортом в крытых транспортных средствах в соответствии с правилами перевозки грузов, действующими на транспорте данного вида.
5.7. По железной дороге борную кислоту транспортируют повагонными и мелкими отправками в пакетированном виде, а также в универсальных контейнерах.
Продукт транспортируют пакетами в соответствии с
ГОСТ 26663-85, средства скрепления груза в пакетах - по
ГОСТ 21650-76. Габаритные размеры и масса брутто пакетов должны соответствовать
ГОСТ 24597-81. Допускается по согласованию с потребителем отгрузка продукта в непакетированном виде.
5.8. Борную кислоту, упакованную в специализированные мягкие контейнеры, транспортируют на открытом подвижном составе в соответствии с техническими условиями погрузки и крепления грузов, утвержденными Министерством путей сообщения СССР, а также на закрытых палубных судах, автомобилях и в транспортных тележках.
5.9. Борную кислоту хранят в закрытых складских помещениях с естественной вентиляцией.
Продукт, упакованный в мягкие контейнеры, допускается хранить на открытых площадках.
Разд. 5. (Измененная редакция, Изм. N 2).
6.1. Изготовитель гарантирует соответствие борной кислоты требованиям настоящего стандарта при соблюдении условий транспортирования и хранения, установленных настоящим стандартом.
6.2. Гарантийный срок хранения борной кислоты - пять лет со дня изготовления. По истечении гарантийного срока хранения борная кислота перед использованием должна быть проверена на соответствие требованиям настоящего стандарта.
Рекомендуемое
Обозначение марок | Область применения |
Для оптического стекловарения | Для оптического стекловарения и других специальных целей |
А | Для электролитических конденсаторов |
Б | Для производства стекловолокна, оптических стекол, медицины и других целей |
В | Для стекловарения, производства эмалей и глазурей, буры, удобрений и получения других борсодержащих продуктов |
(Измененная редакция, Изм. N 1).