Главная // Актуальные документы // ГОСТ Р (Государственный стандарт)СПРАВКА
Источник публикации
М.: Стандартинформ, 2014
Примечание к документу
Документ утратил силу с 1 июля 2018 года в связи с изданием
Приказа Росстандарта от 22.11.2017 N 1796-ст. Взамен введен в действие
ГОСТ 34212-2017.
Документ
введен в действие с 1 января 2015 года.
Название документа
"ГОСТ Р 55904-2013. Национальный стандарт Российской Федерации. Петрушка свежая. Технические условия"
(утв. и введен в действие Приказом Росстандарта от 17.12.2013 N 2276-ст)
"ГОСТ Р 55904-2013. Национальный стандарт Российской Федерации. Петрушка свежая. Технические условия"
(утв. и введен в действие Приказом Росстандарта от 17.12.2013 N 2276-ст)
Утвержден и введен в действие
по техническому регулированию
и метрологии
от 17 декабря 2013 г. N 2276-ст
НАЦИОНАЛЬНЫЙ СТАНДАРТ РОССИЙСКОЙ ФЕДЕРАЦИИ
ПЕТРУШКА СВЕЖАЯ
ТЕХНИЧЕСКИЕ УСЛОВИЯ
Fresh parsley.
Specifications
ГОСТ Р 55904-2013
Дата введения
1 января 2015 года
1. Подготовлен Автономной некоммерческой организацией "Научно-исследовательский центр "Кубаньагростандарт" (АНО "НИЦ "Кубаньагростандарт").
2. Внесен Техническим комитетом по стандартизации ТК 178 "Свежие фрукты, овощи и грибы, продукция эфиромасличных лекарственных, орехоплодных культур и цветоводства".
3. Утвержден и введен в действие
Приказом Федерального агентства по техническому регулированию и метрологии от 17 декабря 2013 г. N 2276-ст.
4. При разработке стандарта учтены отдельные положения стандарта ЕЭК ООН FFV-59:2010, касающегося сбыта и контроля товарного качества корневых и клубневых овощей (UNECE STANDARD FFV-59:2010 "Concerning the marketing and commercial quality control of root and tubercle vegetables") в части требований к внешнему виду свежей петрушки
(пункт 5.3), к массовой доле свежей петрушки, не соответствующей требованиям
(пункт 5.3), и в части требований к упаковке (
пункты 6.2,
6.6).
5. Введен впервые.
Правила применения настоящего стандарта установлены в ГОСТ Р 1.0-2012
(раздел 8). Информация об изменениях к настоящему стандарту публикуется в ежегодном (по состоянию на 1 января текущего года) информационном указателе "Национальные стандарты", а официальный текст изменений и поправок - в ежемесячном информационном указателе "Национальные стандарты". В случае пересмотра (замены) или отмены настоящего стандарта соответствующее уведомление будет опубликовано в ближайшем выпуске ежемесячного информационного указателя "Национальные стандарты". Соответствующая информация, уведомление и тексты размещаются также в информационной системе общего пользования - на официальном сайте Федерального агентства по техническому регулированию и метрологии в сети Интернет (gost.ru).
Настоящий стандарт распространяется на свежую петрушку (корнеплод с зеленью, зелень обрезную, корнеплод обрезной) разновидностей (культурных сортов) Petroselinum crispum (Mill.) A.W. Hill, поставляемую и реализуемую для потребления в свежем виде.
Требования, обеспечивающие безопасность продукции для жизни и здоровья людей, изложены в
5.3, к качеству - в
5.2, к маркировке - в
разделе 7.
В настоящем стандарте использованы нормативные ссылки на следующие стандарты:
ГОСТ Р 51301-99 Продукты пищевые и продовольственное сырье. Инверсионно-вольтамперометрические методы определения содержания токсичных элементов (кадмия, свинца, меди и цинка)
ГОСТ Р 51474-99 Упаковка. Маркировка, указывающая на способ обращения с грузами
ГОСТ Р 51766-2001 Сырье и продукты пищевые. Атомно-абсорбционный метод определения мышьяка
ГОСТ Р 51962-2002 Продукты пищевые и продовольственное сырье. Инверсионно-вольтамперометрический метод определения массовой концентрации мышьяка
ГОСТ Р 52173-2003 Сырье и продукты пищевые. Метод идентификации генетически модифицированных источников (ГМИ) растительного происхождения
ГОСТ Р 52174-2003 Биологическая безопасность. Сырье и продукты пищевые. Метод идентификации генетически модифицированных источников (ГМИ) растительного происхождения с применением биологического микрочипа
ГОСТ Р 52579-2006 Тара потребительская из комбинированных материалов. Общие технические условия
ГОСТ Р 52903-2007 Пакеты из полимерных пленок и комбинированных материалов. Общие технические условия
ГОСТ Р 53228-2008 Весы неавтоматического действия. Часть 1. Метрологические и технические требования. Испытания
ГОСТ Р 54015-2010 Продукты пищевые. Метод отбора проб для определения стронция Sr-90 и цезия Cs-137
ГОСТ 8.579-2002 Государственная система обеспечения единства измерений. Требования к количеству фасованных товаров в упаковках любого вида при их производстве, расфасовке, продаже и импорте
ГОСТ 166-89 (ISO 3599-76) Штангенциркули. Технические условия
ГОСТ 427-75 Линейки измерительные металлические. Технические условия
ГОСТ 10131-93 Ящики из древесины и древесных материалов для продукции пищевых отраслей промышленности, сельского хозяйства и спичек. Технические условия
ГОСТ 11354-93 Ящики из древесины и древесных материалов многооборотные для продукции пищевых отраслей промышленности и сельского хозяйства. Технические условия
ГОСТ 12301-2006 Коробки из картона, бумаги и комбинированных материалов. Общие технические условия
ГОСТ 17812-72 Ящики дощатые многооборотные для овощей и фруктов. Технические условия
ГОСТ 20463-75 Ящики деревянные проволокоармированные для овощей и фруктов. Технические условия
ГОСТ 21650-76 Средства скрепления тарно-штучных грузов в транспортных пакетах. Общие требования
ГОСТ 24597-81 Пакеты тарно-штучных грузов. Основные параметры и размеры
ГОСТ 26663-85 Пакеты транспортные. Формирование с применением средств пакетирования. Общие технические требования
ГОСТ 26929-94 Сырье и продукты пищевые. Подготовка проб. Минерализация для определения содержания токсичных элементов
ГОСТ 26930-86 Сырье и продукты пищевые. Метод определения мышьяка
ГОСТ 26932-86 Сырье и продукты пищевые. Методы определения свинца
ГОСТ 26933-86 Сырье и продукты пищевые. Методы определения кадмия
ГОСТ 27519-87 (ISO 1956/1-1982) Фрукты и овощи. Морфологическая и структуральная терминология. Часть 1
ГОСТ 27523-87 (ISO 1991/1-1982) Овощи. Номенклатура. Первый список
ГОСТ 27524-87 (ISO 1991/2-1985) Овощи. Номенклатура. Второй список
ГОСТ 30178-96 Сырье и продукты пищевые. Атомно-абсорбционный метод определения токсичных элементов
ГОСТ 30349-96 Плоды, овощи и продукты их переработки. Методы определения остаточных количеств хлорорганических пестицидов
ГОСТ 30538-97 Продукты пищевые. Методика определения токсичных элементов атомно-эмиссионным методом
ГОСТ 30710-2001 Плоды, овощи и продукты их переработки. Методы определения остаточных количеств фосфорорганических пестицидов
Примечание. При пользовании настоящим стандартом целесообразно проверить действие ссылочных стандартов в информационной системе общего пользования - на официальном сайте Федерального агентства по техническому регулированию и метрологии по стандартизации в сети Интернет или по ежегодно издаваемому информационному указателю "Национальные стандарты", который опубликован по состоянию на 1 января текущего года, и по выпускам ежемесячного информационного указателя "Национальные стандарты" за текущий год. Если заменен ссылочный стандарт, на который дана недатированная ссылка, то рекомендуется использовать действующую версию этого стандарта с учетом всех внесенных в данную версию изменений. Если заменен ссылочный стандарт, на который дана датированная ссылка, то рекомендуется использовать версию этого стандарта с указанным выше годом утверждения (принятия). Если после утверждения настоящего стандарта в ссылочный стандарт, на который дана датированная ссылка, внесено изменение, затрагивающее положение, на которое дана ссылка, то это положение рекомендуется применять без учета данного изменения. Если ссылочный стандарт отменен без замены, то положение, в котором дана ссылка на него, рекомендуется применять в части, не затрагивающей эту ссылку.
В настоящем стандарте применены термины и определения по
ГОСТ 27519,
ГОСТ 27523, ГОСТ 27524, а также следующие термины с соответствующими определениями:
3.1. излишняя внешняя влажность: Влага на продукте от дождя, росы или вытекания собственного сока.
Примечание. Конденсат на продукте, вызванный разницей температур, не считают излишней внешней влажностью.
4.1. Свежую петрушку в зависимости от вида потребления подразделяют на группы: корнеплод с зеленью, корнеплод обрезной, зелень обрезная.
5. ТЕХНИЧЕСКИЕ ТРЕБОВАНИЯ
5.1. Петрушка свежая должна быть подготовлена и расфасована в потребительскую тару в соответствии с требованиями настоящего стандарта по технологической инструкции с соблюдением требований, установленных
[1],
[2],
[3].
5.2. Качество свежей петрушки должно соответствовать характеристикам и нормам, указанным в таблицах 1 -
2.
Наименование показателя | Характеристика |
Внешний вид: | |
- корнеплод с зеленью | Листья и корнеплоды свежие, целые, здоровые, не вялые, не загрязненные, не поврежденные морозом, без насекомых-вредителей, без излишней внешней влажности. Корнеплоды не застволившиеся, не уродливые (не разветвленные), без роста вторичных корней, без затрагивающих мякоть повреждений сельскохозяйственными вредителями и болезнями. Допускаются не влияющие на общий внешний вид, качество, сохраняемость и товарный вид продукта в упаковке незначительные дефекты корнеплодов - формы, окраски кожицы, побитость и повреждения, удаляемые путем обычной чистки, кожицы, включая небольшие зарубцевавшиеся трещины. Листья молодые, зеленые (различных оттенков), не пожелтевшие, без примеси сорных растений. Допускаются не влияющие на общий внешний вид, качество, сохраняемость и товарный вид продукта в упаковке незначительные дефекты листьев - небольшая помятость, незначительные дефекты окраски и незначительная утрата свежести. |
- корнеплод обрезной | Корнеплоды свежие, целые, здоровые, не вялые, не загрязненные, не поврежденные морозом, без насекомых-вредителей, без излишней внешней влажности. Корнеплоды не застволившиеся, не уродливые (не разветвленные), без роста вторичных корней, без затрагивающих мякоть повреждений сельскохозяйственными вредителями и болезнями. Допускаются не влияющие на общий внешний вид, качество, сохраняемость и товарный вид продукта в упаковке незначительные дефекты корнеплодов - формы, окраски кожицы, побитость и повреждения, удаляемые путем обычной чистки, кожицы, включая небольшие зарубцевавшиеся трещины. |
- зелень обрезная | Листья свежие, целые, здоровые, не вялые, не загрязненные, не поврежденные морозом, без насекомых-вредителей, без излишней внешней влажности. Листья молодые, зеленые (различных оттенков), не пожелтевшие, без примеси сорных растений. Допускаются не влияющие на общий внешний вид, качество, сохраняемость и товарный вид продукта в упаковке незначительные дефекты листьев - небольшая помятость, незначительные дефекты окраски и незначительная утрата свежести. |
Наименование показателя | Характеристика и норма |
корнеплод с зеленью | корнеплод обрезной | зелень обрезная |
Запах и вкус | Характерные для ботанического сорта, без постороннего запаха и/или привкуса |
Размер корнеплодов по наибольшему поперечному сечению, мм, не менее <*> | 10,0 | 15,0 | - |
Длина основной массы листьев от основания черешков, мм, не менее | 80,0 | - | 80,0 |
Длина черешков листьев на корнеплодах, мм, не более | - | 20,0 | - |
Массовая доля свежей петрушки, не соответствующей требованиям, %, не более, в т.ч.: | 10,0 |
- корнеплодов с незначительными механическими повреждениями и помятой зеленью | 10,0 | 5,0 | - |
- корнеплодов с незначительными повреждениями сельскохозяйственными вредителями | 10,0 | Не допускается | - |
- корнеплодов разветвленных и уродливых | 5,0 | 5,0 | - |
- корнеплодов с неправильно обрезанными листьями | - | 5,0 | - |
- корнеплодов слегка увядших | 10,0 | 5,0 | - |
- листьев помятых и поломанных | - | - | 10,0 |
- листьев, отпавших от корнеплодов | 5,0 | - | - |
Массовая доля листьев и корнеплодов менее установленного размера, %, не более | | | 10,0 |
Массовая доля листьев слегка увядших, %, не более | - | - | 10,0 |
Массовая доля земли, прилипшей к корнеплодам, %, не более | 1,0 | 1,0 | - |
Массовая доля примеси сорных растений, %, не более | Не допускается | Не допускается | 1,0 |
Наличие корнеплодов, поврежденных грызунами | Не допускается |
Наличие сельскохозяйственных вредителей и продуктов их жизнедеятельности | Не допускается |
Наличие минеральных и посторонних примесей, включая землю | Не допускается |
<*> Размер корнеплодов для выгоночной петрушки не устанавливается. <**> При размере корнеплодов от 4 мм до 10 мм. <***> При размере корнеплодов менее 5 мм. Для сортов конусовидной формы - не более 5,0% по массе. |
5.3. Содержание в свежей петрушке токсичных элементов, пестицидов, нитратов, радионуклидов не должно превышать допустимые уровни, установленные
[1],
[4].
Наличие в свежей петрушке возбудителей инфекционных, паразитарных заболеваний, их токсинов, представляющих опасность для здоровья человека и животных, яиц гельминтов и цист кишечных патогенных простейших в редисе свежем не допускается
[1].
6.1. Свежую петрушку фасуют массой нетто 0,1 - 0,5 кг в потребительскую упаковку из полимерных и комбинированных материалов по
ГОСТ Р 52903,
ГОСТ Р 52579 с использованием пакетов из полиэтиленовой пленки по
ГОСТ 10354 или из другой прозрачной пленки, коробки по
ГОСТ 12301 или другие виды тары из других материалов, соответствующей по показателям безопасности требованиям, установленным
[2], и обеспечивающую сохраняемость качества и безопасность свежей петрушки с учетом размеров и типа упаковки без пустого пространства и/или чрезмерного уплотнения продукции.
Свежие корнеплоды с зеленью и свежая зелень петрушки обрезной могут быть упакованы в виде пучков.
По согласованию с потребителем допускается не упаковывать свежую петрушку в потребительскую упаковку.
6.2. Содержание каждой упаковочной единицы должно быть однородным и состоять из свежей петрушки одного ботанического сорта, происхождения, качества, цвета. Видимая часть содержимого упаковки должна соответствовать содержимому всей упаковки.
Смесь свежей петрушки явно различных видов может упаковываться в потребительские упаковки при условии, что они являются однородными по качеству и в отношении каждого вида - по происхождению.
6.4. Укладка свежей петрушки в тару должна быть рыхлой, с легким нажимом, не вызывающим повреждений, послойной (зелень к зелени, корнеплод к корнеплоду) на 3 см ниже края тары.
6.5. Тара, применяемая для упаковки свежей петрушки, должна быть цельной, крепкой, чистой, сухой, не зараженной сельскохозяйственными вредителями, и не должна иметь постороннего запаха.
6.6. Материалы, используемые внутри упаковки, применяемые для нанесения текста или наклеивания этикеток, включая бумагу, чернила, краску, клей, должны быть нетоксичными и обеспечивать при контакте с продуктом сохранение его качества и безопасность. Наклейки, прикрепляемые на продукт в индивидуальном порядке, должны быть такими, чтобы после их снятия на корнеплодах петрушки не оставалось следов клея и дефектов кожицы.
6.7. Масса нетто свежей петрушки в потребительской упаковочной единице должна соответствовать номинальной, указанной в маркировке.
Пределы допускаемых отрицательных отклонений от номинального количества - по
ГОСТ 8.579.
7.1. Информацию о продукции наносят на русском языке несмываемой, непахнущей, нетоксичной краской на потребительскую упаковку и/(или) этикетку, удаление которой с потребительской упаковки затруднено, транспортную упаковку и/(или) этикетку и/(или) лист-вкладыш, помещаемый в каждую упаковочную единицу либо прилагаемый к каждой упаковочной единице в соответствии с требованиями
[3] способом, обеспечивающим ее сохранность при соблюдении установленных изготовителем условий хранения.
7.2. Маркировка потребительской упаковки - по
[3], ГОСТ Р 57074 с указанием:
- наименования продукта ("Корнеплоды петрушки с зеленью", "Зелень петрушки обрезная", "Корнеплоды петрушки обрезные", "Зелень петрушки обрезная в пучках" или другие, соответствующие виду продукта);
- наименования и местонахождения изготовителя [юридический адрес, включая страну, и при несовпадении с юридическим адресом адрес производства и организации в Российской Федерации, уполномоченной изготовителем на принятие претензий от потребителей на ее территории (при наличии)];
- товарного знака изготовителя (при наличии);
- массы нетто;
- особого способа обработки продукта (при проведении обработки);
- даты сбора и даты упаковывания;
- информации о выращивании в защищенном грунте (в соответствующем случае);
- условий хранения;
- в случае если продукция содержит более 0,9% генетически модифицированных организмов, в маркировке приводят информацию об их наличии (например, "генетически модифицированные продукты", или "продукция, полученная из генетически модифицированных организмов", или "продукция содержит компоненты генетически модифицированных организмов");
- обозначения настоящего стандарта;
- единого знака обращения продукции на рынке;
- знака систем добровольной сертификации (при наличии).
7.3. В случае предпродажного фасования и упаковки свежей петрушки в потребительскую тару непосредственно на предприятии розничной торговли информация для потребителя, наносимая на потребительскую тару, должна соответствовать
[5].
7.4. Маркировка транспортной тары - по
ГОСТ 14192 и
ГОСТ Р 51474 с нанесением манипуляционных знаков "Скоропортящийся груз" и "Ограничение температуры".
8.1. Свежую петрушку принимают партиями. Под партией понимают любое количество корнеплодов одного ботанического сорта, одного срока сбора, упакованное в тару одного вида и типоразмера, поступившее в одном транспортном средстве и сопровождаемое товаросопроводительной документацией, обеспечивающей прослеживаемость продукции.
8.2. Для определения качества свежей петрушки, правильности упаковывания и маркирования, массы нетто упаковочной единицы на соответствие требованиям настоящего стандарта от партии продукции из разных мест отбирают выборку, объем которой указан в таблице 3.
Таблица 3
Объем партии, количество упаковочных единиц, шт. | Объем выборки, количество отбираемых упаковочных единиц, шт. |
Для петрушки свежей, упакованной в ящики |
До 100 включ. | Не менее 3 |
Св. 100 | 3 и дополнительно по 1 упаковочной единице от каждых полных и неполных 50 упаковочных единиц |
Для свежей петрушки, упакованной в потребительскую тару |
Каждые 100 полных и неполных упаковочных единиц | Не менее 5 |
8.3. Из каждой отобранной упаковочной единицы из разных мест отбирают точечные пробы массой не менее 10% от массы упаковочных единиц. Из точечных проб составляют объединенную пробу, которую анализируют.
Результаты проверки распространяют на всю партию.
8.4. После проверки отобранные упаковочные единицы и объединенную пробу присоединяют к партии свежей петрушки.
8.5. Качество свежей петрушки в поврежденных упаковочных единицах проверяют отдельно и результаты распространяют только на продукцию, находящуюся в этих упаковочных единицах.
8.6. Порядок и периодичность контроля за содержанием в свежей петрушке токсичных элементов, пестицидов, радионуклидов, яиц гельминтов и цист кишечных патогенных простейших устанавливает изготовитель в программе производственного контроля.
8.7. При получении неудовлетворительных результатов хотя бы по одному из показателей безопасности по нему проводят повторные исследования удвоенного объема выборки, взятого из той же партии. Результаты повторного исследования распространяют на всю партию.
9.1. Качество упаковки и маркировки всех отобранных по
8.2 упаковочных единиц свежей петрушки на соответствие требованиям настоящего стандарта оценивают визуально.
9.2. Проверке по качеству подлежит вся петрушка из объединенной пробы, составленной по
8.3. Петрушку в объединенной пробе рассортировывают вручную по фракциям в соответствии с показателями, указанными в
таблице 1:
- корнеплоды с незначительными механическими повреждениями и помятой зеленью;
- корнеплоды с незначительными повреждениями сельскохозяйственными вредителями;
- корнеплоды разветвленные и уродливые, одеревенелые;
- корнеплоды с неправильно обрезанными листьями;
- корнеплоды слегка увядшие;
- листья помятые и поломанные;
- листья, отпавшие от корнеплодов;
- листья и корнеплоды менее установленного размера;
- листья слегка увядшие;
- примесь сорных растений.
9.3. Внешний вид, запах и вкус свежей петрушки, наличие корнеплодов, поврежденных грызунами, сельскохозяйственных вредителей и продуктов их жизнедеятельности, минеральных и посторонних примесей оценивают органолептически.
9.4. Применяют следующие средства измерений:
- весы неавтоматического действия по
ГОСТ Р 53228 среднего класса точности с наибольшим пределом взвешивания 25 кг, ценой поверочного деления e = 50 г и пределом допускаемой погрешности +/- 1e;
- линейка металлическая по
ГОСТ 427 длиной 300 мм, ценой деления 1 мм и погрешностью измерений +/- 0,1 мм;
- штангенциркуль 1-го или 2-го класса точности по
ГОСТ 166 с погрешностью измерений 0,05 - 0,10 мм.
Допускается применение других средств измерений, утвержденных в установленном порядке типов и внесенных в Государственный реестр средств измерений, с метрологическими характеристиками не ниже указанных.
9.5. Наибольший поперечный диаметр корнеплодов, длину листьев от основания черешков, длину листьев зелени обрезной, длину черешков листьев на обрезных корнеплодах измеряют с погрешностью не более +/- 1 мм.
9.6. Отобранные в выборку упаковочные единицы фасованной продукции поочередно взвешивают, определяют массу нетто в килограммах. Для определения средней массы нетто упаковочной единицы фасованной свежей петрушки взвешивают без выбора десять упаковочных единиц.
Результаты взвешивания записывают с точностью до второго десятичного знака.
9.7. Определение массовой доли свежей петрушки, не соответствующей требованиям
таблиц 1 -
2.
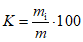
9.7.1. Взвешивают каждую фракцию m
i, выделенную по
8.2, отдельно с записью значения массы до второго десятичного знака.
9.7.2. Массовую долю свежей петрушки, не соответствующей требованиям, в процентах от общей массы свежей петрушки в объединенной пробе, K, %, вычисляют по формуле

, (1)
где m
i - масса фракции свежей петрушки с показателями, не соответствующими указанным в
таблице 2;
m - общая масса свежей петрушки в объединенной пробе, кг.
Полученные результаты сравнивают со значениями, указанными в
таблице 1. Результаты распространяют на всю партию.
9.8. Подготовка и минерализация проб для определения содержания токсичных элементов - по
ГОСТ 26929, радионуклидов - по
ГОСТ Р 54015.
9.15. Определение нитратов - по
[9].
9.16. Определение содержания яиц гельминтов и цист кишечных патогенных простейших - по
[10],
[11].
9.17. Определение наличия генетически модифицированных источников и организмов (ГМИ, ГМО) - по
ГОСТ Р 52173,
ГОСТ Р 52174.
10. ТРАНСПОРТИРОВАНИЕ И ХРАНЕНИЕ
10.1. Свежую петрушку транспортируют в чистых, сухих, без постороннего запаха крытых транспортных средствах в соответствии с правилами перевозки скоропортящихся грузов, действующими на транспорте конкретных видов.
10.2. Допускается транспортирование свежей петрушки транспортными пакетами по
ГОСТ 24597 и
ГОСТ 26663. Средства скрепления и способы пакетирования - по
ГОСТ 21650.
10.3. Свежую петрушку хранят в чистых, сухих, не зараженных насекомыми-вредителями, без постороннего запаха закрытых охлаждаемых складских помещениях в условиях, обеспечивающих сохранность продукта.
Хранить корнеплоды свежей петрушки с зеленью, корнеплоды обрезные и зелень обрезную следует упакованной в ящики с полиэтиленовыми вкладышами при температуре от 0 °C до 1 °C и относительной влажности воздуха 90% - 95%.
| | Технический регламент Таможенного союза ТР ТС 021/2011 "О безопасности пищевой продукции" |
| | Технический регламент Таможенного союза ТР ТС 005/2011 "О безопасности упаковки" |
| | Технический регламент Таможенного союза ТР ТС 022/2011 "Пищевая продукция в части ее маркировки" |
| | Единые санитарно-эпидемиологические и гигиенические требования к товарам, подлежащим санитарно-эпидемиологическому надзору (контролю). Утверждены решением комиссии Таможенного союза от 28.05.2010 г. N 299 <*> |
| | Об утверждении Правил продажи отдельных видов товаров, перечня товаров длительного пользования, на которые не распространяется требование покупателя о безвозмездном предоставлении ему на период ремонта или замены аналогичного товара, и перечня непродовольственных товаров надлежащего качества, не подлежащих возврату или обмену на аналогичный товар других размера, формы, габарита, фасона, расцветки или комплектации |
| | Гигиенические требования содержания пестицидов в объектах окружающей среды (перечень) |
| | Методические указания по определению хлорорганических пестицидов//Методы определения микроколичеств пестицидов в продуктах питания, кормах и внешней среде: МЗ СССР. Сб., ч. 4 - 25, 1976 - 1977 |
| | Методические указания. Радиационный контроль. Стронций-90 и цезий-137. Пищевые продукты. Отбор проб, анализ и гигиеническая оценка |
| | Определение нитратов в продукции растениеводства |
| | Методы санитарно-паразитологических исследований (утв. Главным государственным санитарным врачом РФ 22.12.1999) |
| | Санитарно-паразитологические исследования плодоовощной, плодово-ягодной и растительной продукции |