Главная // Актуальные документы // ГОСТ Р (Государственный стандарт)СПРАВКА
Источник публикации
М.: ИПК Издательство стандартов, 2003
Примечание к документу
Документ утратил силу с 1 июля 2013 года в связи с изданием
Приказа Росстандарта от 07.11.2012 N 691-ст. Взамен введен в действие
ГОСТ 31628-2012.
Документ включен в
Перечень стандартов, содержащих правила и методы исследований (испытаний) и измерений, в том числе правила отбора образцов, необходимые для применения и исполнения требований Технического
регламента "О безопасности пищевой продукции" (ТР ТС 021/2011) и осуществления оценки (подтверждения) соответствия продукции (
Решение Комиссии Таможенного союза от 09.12.2011 N 874).
Документ включен в
Перечень национальных стандартов, содержащих правила и методы исследований (испытаний) и измерений, в том числе правила отбора образцов, необходимые для применения и исполнения Федерального закона "Технический регламент на соковую продукцию из фруктов и овощей" и осуществления оценки соответствия (
Распоряжение Правительства РФ от 19.05.2009 N 690-р).
Документ включен в
Перечень национальных стандартов, содержащих правила и методы исследований (испытаний) и измерений, в том числе правила отбора образцов, необходимые для применения и исполнения Федерального закона "Технический регламент на масложировую продукцию" и осуществления оценки соответствия (
Распоряжение Правительства РФ от 27.12.2008 N 2008-р).
Документ включен в
Перечень национальных стандартов, содержащих правила и методы исследований (испытаний) и измерений, в том числе правила отбора образцов, необходимых для применения и исполнения Федерального
закона "Технический регламент на молоко и молочную продукцию" и осуществления оценки соответствия (
Распоряжение Правительства РФ от 15.12.2008 N 1866-р).
Документ включен в
Перечень нормативной документации, разрешенной для использования в государственных ветеринарных лабораториях при диагностике болезней животных, рыб, пчел, а также контроля безопасности сырья животного и растительного происхождения (утв. Россельхознадзором 30.07.2009 N 02-03-48/563).
Документ включен в
Перечень стандартов, содержащих правила и методы исследований (испытаний) и измерений, в том числе правила отбора образцов, необходимые для применения и исполнения требований Технического
регламента Таможенного союза "Требования безопасности пищевых добавок, ароматизаторов и технологических вспомогательных средств" (ТР ТС 029/2012) и осуществления оценки (подтверждения) соответствия продукции (
Решение Коллегии Евразийской экономической комиссии от 02.10.2012 N 258).
Документ включен в
Перечень стандартов, содержащих правила и методы исследований (испытаний) и измерений, в том числе правила отбора образцов, необходимые для применения и исполнения требований Технического
регламента "О безопасности пищевой продукции" (ТР ТС 021/2011) и осуществления оценки (подтверждения) соответствия продукции (
Решение Комиссии Таможенного союза от 09.12.2011 N 880).
Документ
введен в действие с 1 января 2004 года.
Название документа
"ГОСТ Р 51962-2002. Государственный стандарт Российской Федерации. Продукты пищевые и продовольственное сырье. Инверсионно-вольтамперометрический метод определения массовой концентрации мышьяка"
(принят и введен в действие Постановлением Госстандарта России от 29.11.2002 N 438-ст)
"ГОСТ Р 51962-2002. Государственный стандарт Российской Федерации. Продукты пищевые и продовольственное сырье. Инверсионно-вольтамперометрический метод определения массовой концентрации мышьяка"
(принят и введен в действие Постановлением Госстандарта России от 29.11.2002 N 438-ст)
Принят и введен в действие
от 29 ноября 2002 г. N 438-ст
ГОСУДАРСТВЕННЫЙ СТАНДАРТ РОССИЙСКОЙ ФЕДЕРАЦИИ
ПРОДУКТЫ ПИЩЕВЫЕ И ПРОДОВОЛЬСТВЕННОЕ СЫРЬЕ
ИНВЕРСИОННО-ВОЛЬТАМПЕРОМЕТРИЧЕСКИЙ МЕТОД ОПРЕДЕЛЕНИЯ
МАССОВОЙ КОНЦЕНТРАЦИИ МЫШЬЯКА
Food-stuffs and food raw materials. Anodic stripping
voltammetric method of arsenic mass concentration
determination
ГОСТ Р 51962-2002
Группа Н09
ОКС 67.040
ОКСТУ 9109
Дата введения
1 января 2004 года
1. Разработан Аккредитованной научно-исследовательской лабораторией микропримесей и метрологической службой Томского политехнического университета, Внедренческой научно-производственной фирмой "ЮМХ" (г. Томск) при участии Уральского НИИ Метрологии (г. Екатеринбург) и ВНИИССагропродукта (г. Краснодар).
Внесен Техническим комитетом по стандартизации ТК 335 "Методы испытаний агропромышленной продукции на безопасность".
2. Принят и введен в действие
Постановлением Госстандарта России от 29 ноября 2002 г. N 438-ст.
3. Введен впервые.
Настоящий стандарт распространяется на пищевые продукты и продовольственное сырье, включая продукты детского питания, за исключением алкогольных напитков и биологически активных добавок к пище, и устанавливает инверсионно-вольтамперометрический метод определения в них массовой концентрации мышьяка.
В настоящем стандарте использованы ссылки на следующие стандарты:
ГОСТ 12.1.004-91 Система стандартов безопасности труда. Пожарная безопасность. Общие требования
ГОСТ 12.1.019-79 Система стандартов безопасности труда. Электробезопасность. Общие требования и номенклатура видов защиты
ГОСТ 12.4.009-83 Система стандартов безопасности труда. Пожарная техника для защиты объектов. Основные виды. Размещение и обслуживание
ГОСТ 1770-74 Посуда мерная лабораторная стеклянная. Цилиндры, мензурки, колбы, пробирки. Общие технические условия
ГОСТ 2405-88 Манометры, вакуумметры, мановакуумметры, напоромеры, тягомеры и тягонапоромеры. Общие технические условия
ГОСТ 9293-74 (ИСО 2435-73) Азот газообразный и жидкий. Технические условия
ГОСТ 10652-73 Соль динатриевая этилендиамин - N,N,N',N'-тетрауксусной кислоты 2-водная (трилон Б)
ГОСТ 11125-84 Кислота азотная особой чистоты. Технические условия
ГОСТ 12026-76 Бумага фильтровальная лабораторная. Технические условия
ГОСТ 13861-89 (ИСО 2503-83) Редукторы для газопламенной обработки. Общие технические условия
ГОСТ 14261-77 Кислота соляная особой чистоты. Технические условия
ГОСТ 14919-83 Электроплиты, электроплитки и жарочные электрошкафы бытовые. Общие технические условия
ГОСТ 15150-69 Машины, приборы и другие технические изделия. Исполнения для различных климатических районов. Категории, условия эксплуатации, хранения и транспортирования в части воздействия климатических факторов внешней среды
ГОСТ 17792-72 Электрод сравнения хлорсеребряный насыщенный образцовый 2-го разряда
ГОСТ 18300-87 Спирт этиловый ректификованный технический. Технические условия
ГОСТ 19908-90 Тигли, чаши, стаканы, колбы, воронки, пробирки и наконечники из прозрачного кварцевого стекла. Общие технические условия
ГОСТ 21400-75 Стекло химико-лабораторное. Технические требования. Методы испытаний
ГОСТ 24104-88 <*> Весы лабораторные общего назначения и образцовые. Общие технические условия
--------------------------------
ГОСТ 25336-82 Посуда и оборудование лабораторные стеклянные. Типы, основные параметры и размеры
ГОСТ 28165-89 Приборы и аппараты лабораторные из стекла. Аквадистилляторы. Испарители. Установки ректификационные. Общие технические требования
ГОСТ 29227-91 (ИСО 835-1-81) Посуда лабораторная стеклянная. Пипетки градуированные. Часть 1. Общие требования
ГОСТ 29228-91 (ИСО 835-2-81) Посуда лабораторная стеклянная. Пипетки градуированные. Часть 2. Пипетки градуированные без установленного времени ожидания
ГОСТ Р 51301-99 Продукты пищевые и продовольственное сырье. Инверсионно-вольтамперометрические методы определения содержания токсичных элементов (кадмия, свинца, меди и цинка).
3. Определения, обозначения и сокращения
В настоящем стандарте применяют термины и определения, которые даны в
ГОСТ Р 51301.
В настоящем стандарте применяют следующие сокращения:
ИВ - инверсионно-вольтамперометрический или инверсионная вольтамперометрия;
КХА - количественный химический анализ;
ВА - вольтамперная (кривая);
ГР - градуировочные растворы (аттестованные смеси);
ХСЭ - хлорсеребряный электрод сравнения;
ЗГЭ - золотографитовый индикаторный электрод;
ЗЭ - золотой индикаторный электрод;
ГСО - государственный стандартный образец.
4. Сущность инверсионно-вольтамперометрического
метода анализа
КХА проб пищевых продуктов и продовольственного сырья на содержание мышьяка основан на ИВ методе определения массовой концентрации элемента в растворе подготовленной пробы. Подготовку пробы проводят с целью устранения мешающих влияний органических веществ и перевода всех химических форм мышьяка в форму As (3+) для измерения его аналитического сигнала методом ИВ.
Общая схема анализа проб методом ИВ представлена на рисунке 1.
Рисунок 1. Основные этапы анализа проб методом ИВ
Метод ИВ измерений основан на способности элемента электрохимически осаждаться на индикаторном электроде из анализируемого раствора при заданном потенциале предельного диффузионного тока, а затем растворяться в процессе анодной поляризации при определенном потенциале, характерном для данного элемента. Регистрируемый на вольтамперограмме аналитический сигнал элемента пропорционален его концентрации.
В электрохимической ячейке мышьяк из подготовленной пробы раствора мышьяка (3+) накапливают в виде мышьяка (0) на ЗГЭ или ЗЭ в растворе фонового электролита 0,02 - 0,1 моль/дм3 трилона Б по
ГОСТ 10652 в течение заданного времени электролиза 0,5 - 15 мин при потенциале электролиза, равном минус 1,0 В отн. ХСЭ. Процесс электрорастворения мышьяка (0) с поверхности электрода проводят при линейном или дифференциально-импульсном режиме изменения потенциала в положительную сторону до потенциала растворения золота. Потенциал анодного пика мышьяка находится в интервале от + 0,01 до + 0,05 В при pH раствора 3 - 4.
Массовую концентрацию элемента в испытуемых растворах пробы определяют по методу добавок в них ГР с установленным содержанием определяемого элемента.
Диапазоны определяемых массовых концентраций мышьяка и навесок (или объемов) для различных проб пищевых продуктов и продовольственного сырья, необходимых для проведения анализа, приведены в таблице 1.
Диапазоны определяемых массовых концентраций мышьяка
и навески (объемы) проб различных пищевых продуктов
и продовольственного сырья
Объект анализа (группа однородной продукции) | Навеска (или объем) пробы для анализа, г или см3 | Диапазон определяемых массовых концентраций мышьяка, мг/кг или мг/дм3 |
Зерно (семена), мукомольно-крупяные и хлебобулочные изделия, пищевые концентраты | 0,1 - 0,5 | От 0,02 до 2,0 включ. |
Молоко и молочные продукты | 0,5 - 1,0 | От 0,04 до 1,0 включ. |
Сахар и кондитерские изделия | 0,1 - 0,2 | От 0,001 до 2,0 включ. |
Напитки | 0,1 - 3,0 | От 0,04 до 3,0 включ. |
Рыба, нерыбные объекты промысла и продукты, вырабатываемые из них | 2,0 - 3,0 | От 0,03 до 10,0 включ. |
Масличное сырье и масложировые продукты | 1,0 - 2,0 | От 0,04 до 1,10 включ. |
Мясо и мясопродукты; птица, яйца и продукты их переработки | 0,15 - 0,50 | От 0,002 до 3,0 включ. |
Плодоовощная продукция, чай, кофе, чайные и кофейные напитки, натуральные пряности и сухие приправы | 0,5 - 2,0 | От 0,02 до 2,0 включ. |
Продукты детского питания | 0,2 - 1,0 | От 0,01 до 0,5 включ. |
Другие продукты | 0,1 - 0,5 | От 0,05 до 5,0 включ. |
Если содержание элемента в пробе выходит за верхнюю границу диапазона определяемых концентраций, допускается разбавление (до 5 раз) подготовленной к ИВ измерению пробы или взятие меньшей аликвоты для ИВ измерения подготовленной пробы.
5. Характеристики погрешности результатов анализа
Значение характеристики относительной погрешности, то есть границы интервала, в которых относительная погрешность находится с заданной вероятностью P = 0,95, результатов определения массовых концентраций мышьяка, указанных в
таблице 1 в пробах различных пищевых продуктов и продовольственного сырья, не превышает 40%.
6. Требования к выполнению аналитических измерений
6.1. Условия безопасного проведения работ
При выполнении аналитических измерений необходимо соблюдать требования техники безопасности при работе с химическими реактивами.
Электробезопасность при работе с электроустановками - по
ГОСТ 12.1.019.
Помещение лаборатории должно соответствовать требованиям пожарной безопасности по
ГОСТ 12.1.004 и иметь средства пожаротушения по
ГОСТ 12.4.009.
6.2. Требования к квалификации операторов
Измерения проводят лаборант или химик-аналитик, владеющие техникой ИВ анализа и изучившие инструкцию по эксплуатации используемой аппаратуры.
6.3. Условия выполнения измерений
Измерения проводят в нормальных лабораторных условиях:
температура окружающего воздуха....(25 +/- 10) °C
атмосферное давление...............(97 +/- 10) кПа
относительная влажность............(65 +/- 15)%
частота переменного тока...........(50 +/- 5) Гц
напряжение в сети..................(220 +/- 10) В
7. Средства измерений, вспомогательное оборудование,
посуда, реактивы и материалы
7.1. Средства измерений и вспомогательное оборудование
7.1.1. Компьютеризированный вольтамперометрический анализатор (СТА
[1], АВА-1
[2], АВА-2
[3], ХАН-2
[4]) или полярограф любого типа в комплекте с двухкоординатным самописцем.
Допускается использовать другое оборудование и приборы, позволяющие воспроизводить метрологические характеристики, указанные в данном стандарте.
7.1.2. Ячейка электрохимическая, в состав которой входят:
- сменные стаканчики-электролизеры из кварцевого стекла вместимостью 20 - 25 см3.
При использовании двухэлектродной ячейки:
- электрод индикаторный - ЗГЭ или ЗЭ;
- электрод сравнения - ХСЭ в 1,0 моль/дм3 растворе хлористого натрия или калия с сопротивлением не более 3,0 кОм или по
ГОСТ 17792;
При использовании трехэлектродной ячейки:
- электрод индикаторный - ЗГЭ или ЗЭ;
- электрод сравнения - ХСЭ в 1,0 моль/дм3 растворе хлористого натрия или калия с сопротивлением на более 3,0 кОм или по
ГОСТ 17792;
- электрод вспомогательный - платиновая проволока или стержень из стеклоуглерода.
Допускается использование других электрохимических ячеек и других индикаторных электродов из углеродных материалов (графита, пастового графитового, стеклоуглерода, углеситалла) в качестве подложки для нанесения золота, позволяющих воспроизводить метрологические характеристики, указанные в данном стандарте.
7.1.4. Весы лабораторные 2-го класса точности по
ГОСТ 24104.
7.1.5. Дозаторы любого типа с дискретностью установки доз 1,0 или 2,0 мкл.
7.1.6. Шланги полиэтиленовые для подвода инертного газа к ячейке.
7.1.7. Плитка электрическая с закрытой спиралью по
ГОСТ 14919 или других марок.
7.1.8. Шкаф сушильный, обеспечивающий поддержание заданного температурного режима от 40 до 150 °C с погрешностью +/- 5 °C.
7.1.9. Муфельная печь типа ПМ-8 или МР-64-02 15,
или комплекс пробоподготовки "Темос-Экспресс" ТЭ-1 с диапазоном рабочих температур от 50 до 650 °C с погрешностью +/- 10 °C,
или электропечь сопротивления камерная лабораторная, обеспечивающая поддержание заданного температурного режима от 150 до 600 °C с погрешностью +/- 25 °C.
7.1.10. Мешалка магнитная типа ММ (Польша) и стержень (мешалка), изготовленный из железной проволоки длиной 10 - 15 мм, толщиной 1 мм, герметично впаянный в термостойкую стеклянную трубку.
7.1.11. Аппарат для бидистилляции воды (стеклянный) АСД-4 по
ГОСТ 15150 или
[5].
7.1.12. Щипцы тигельные ЩТ
[6].
7.1.13. Линейка чертежная мерительная по
ГОСТ 17435.
7.2. Посуда
7.2.1. Пипетки мерные лабораторные стеклянные 2-го класса точности вместимостью 0,1; 1,0; 2,0; 5,0; 10,0 см3 по
ГОСТ 29227 или по
ГОСТ 29228.
7.2.2. Посуда мерная лабораторная стеклянная с притертыми пробками 2-го класса точности по
ГОСТ 1770: колбы наливные вместимостью 25,0; 50,0; 100,0; 500,0 см3 и 1000,0 см3; цилиндры вместимостью 10,0 см3; 50,0; пробирки мерные вместимостью 10,0; 15,0 см3.
7.2.3. Бюксы с притертыми крышками вместимостью 20,0 - 30,0 см3.
7.2.4. Кварцевые стаканчики объемом 20,0 - 25,0 см3 или тигли, чаши по
ГОСТ 19908.
7.2.7. Сборник для слива раствора мышьяка.
7.3. Реактивы и материалы
7.3.1. ГСО состава растворов ионов мышьяка (3+) с погрешностью не более 1% отн. при P = 0,95. Массовая концентрация мышьяка в нем должна быть не менее 0,1 г/дм3.
7.3.2. Ангидрид мышьяковистый по
ГОСТ 1973 (при отсутствии ГСО по
7.3.1).
7.3.3. ГСО состава раствора ионов золота (3+) массовой концентрации 0,10 мг/см3 ионов золота (3+) в соляной кислоте 1,5 моль/дм3.
7.3.8. Соль динатриевая этилендиамин - N,N,N',N'-тетрауксусной кислоты 2-водная (трилон Б) по
ГОСТ 10652 х. ч.
7.3.9. Вода бидистиллированная
[7] или дистиллированная по
ГОСТ 6709, перегнанная в присутствии серной кислоты (0,5 см3 концентрированной серной кислоты на 1,0 дм3 дистиллированной воды) и перманганата калия (3,0 см3 3%-ного раствора) с использованием аппаратов по ГОСТ 28165.
7.3.11. Калий хлористый
[8].
7.3.16. Азот газообразный по
ГОСТ 9293 или другой инертный газ (аргон, гелий) с содержанием кислорода не более 0,03%.
7.3.18. Спирт этиловый ректификованный технический по
ГОСТ 18300.
7.3.19. Бумага индикаторная универсальная pH 1 - 14.
7.3.20. Бумага фильтровальная по
ГОСТ 12026 или фильтры обеззоленные (синяя, зеленая лента).
7.3.21. Бумага масштабно-координатная.
7.3.22. Шкурка шлифовальная тканевая эльборовая
[9] или шкурка шлифовальная тканевая алмазная
[10].
Все реактивы должны быть квалификации ос. ч. или х. ч. В противном случае они должны проверяться на чистоту по определяемому веществу.
Допускается использование другого оборудования с техническими характеристиками и средств измерений с метрологическими характеристиками, а также реактивов по качеству не ниже вышеуказанных.
8. Подготовка к выполнению анализов
8.1. Отбор проб
Отбор проб продовольственного сырья и пищевых продуктов для анализа проводят в соответствии с государственными стандартами, регламентирующими отбор проб конкретных видов продовольственного сырья и пищевых продуктов.
При проведении аналитических измерений одновременно используют две параллельные и одну холостую или две параллельные и одну резервную пробу. Резервной является третья параллельная проба, применяемая в случае неудовлетворительных результатов при проверке сходимости (по
12.1) двух первых.
8.2. Подготовка приборов и электродов к работе
Подготовку и проверку работы средств измерений проводят в соответствии с инструкцией по эксплуатации и техническому описанию соответствующего прибора.
Устанавливают режим работы приборов в соответствии с таблицей 2.
Параметры измерений аналитических сигналов
мышьяка ИВ методом
Параметр измерения | Значение |
Двух- или трехэлектродная система измерений | + <*> |
Постояннотоковый или дифференциально- импульсный режим | + <*> |
Поляризующее напряжение для электронакопления, В | - 1,0 |
Потенциал начала регистрации вольтамперной кривой, В | - 0,60 |
Конечное напряжение развертки, В | + 0,60 |
Скорость линейного изменения потенциала, мВ/с | 30 ... 300 |
Чувствительность прибора при регистрации вольтамперограммы, А/мм | -8 -7 1 10 ... 1 10 <**> |
Время электролиза, с | 30 ... 900 <**> |
<*> Обеспечивается средством измерения. <**> В зависимости от содержания элемента в анализируемой пробе. |
8.3. Подготовка лабораторной посуды
Новую лабораторную стеклянную посуду, сменные наконечники дозаторов, пипетки промывают азотной кислотой и многократно бидистиллированной водой. Кварцевые стаканчики дополнительно кипятят в разбавленной серной кислоте в течение 5 - 10 мин и прокаливают в муфельной печи при температуре 300 - 360 °C в течение 5 - 10 мин.
После анализа на содержание мышьяка стаканчики протирают сухой питьевой содой с помощью фильтровальной бумаги, ополаскивают дистиллированной водой, разбавленной (1:1) азотной кислотой и бидистиллированной водой. Ионы мышьяка (3+) не адсорбируются стенками стаканчиков, поэтому нет необходимости проверять стаканы на чистоту (отсутствие или наличие мышьяка) перед каждым анализом.
Сменные кварцевые стаканчики хранят закрытыми калькой или в эксикаторе в сухом виде.
8.4. Подготовка индикаторного (рабочего) электрода
8.4.1. Подготовка ЗГЭ
ЗГЭ представляет собой графитовый торцевой электрод с нанесенной на него пленкой золота. Графитовый торцевой электрод изготовляют из графитового стержня, пропитанного различными веществами, диаметром рабочей поверхности 3 - 5 мм.
Допускается использовать другие индикаторные электроды из углеродных материалов (графита, пастового графитового, стеклоуглерода, углеситалла) в качестве подложки для нанесения золота, позволяющих воспроизводить метрологические характеристики, указанные в настоящем стандарте.
Для получения ЗГЭ рабочую поверхность графитового электрода предварительно отшлифовывают с помощью шлифовальной шкурки и на фильтре, а затем обезжиривают электрохимической очисткой. Для этого стаканчик (бюксу) с раствором 0,1 моль/дм3 серной кислоты (около 10 см3) устанавливают в качестве электролитической ячейки, подключают индикаторный электрод (катод) и электрод сравнения (анод). Включают инертный газ и пропускают его через раствор в течение 60 - 300 с. Затем проводят катодную (при минус 1,0 В) и анодную (при плюс 1,2 В) поляризацию попеременно через 1 - 2 с в течение 60 с.
Ополаскивают рабочую поверхность электрода бидистиллированной водой и сразу проводят нанесение на поверхность золотой пленки электрохимически из раствора ионов золота (3+). Для этого в электрохимической ячейке стаканчик (бюксу) с раствором серной кислоты заменяют стаканчиком (бюксой) с раствором хлористого золота (около 10,0 см3) массовой концентрации 100,0 мг/дм3. Включают инертный газ и пропускают его через раствор в течение 60 с. Затем проводят процесс накопления золота при потенциале минус 0,5 В в течение 180 - 300 с при перемешивании раствора. Промывают рабочую поверхность электрода бидистиллированной водой. На торце электрода должна быть видна желтая пленка золота.
После проведения анализов ЗГЭ хранят в сухом виде. Перед работой (в последующие дни) рабочую поверхность электрода не протирают, а только ополаскивают бидистиллированной водой.
8.4.2. Подготовка ЗЭ
Перед началом работы и через каждые 5 - 7 измерений проводят электрохимическую обработку рабочей поверхности ЗЭ. Для этого торец электрода протирают этиловым спиртом и промывают бидистиллированной водой; затем проводят процесс регенерации (при плюс 1,80 В) в фоновом электролите в течение 120 с. Индикаторный ЗЭ хранят в сухом виде на воздухе.
8.5. Подготовка к работе электрода сравнения
В качестве электрода сравнения используют ХСЭ в растворе хлористого калия или натрия молярной концентрации 1,0 моль/дм3. При первом заполнении электрод выдерживают не менее 48 ч.
8.6. Приготовление основных и градуировочных растворов
8.6.1. Основными растворами мышьяка являются ГСО состава растворов ионов мышьяка (3+) с аттестованным значением массовой концентрации 100,0 мг/дм3.
Рекомендуется использовать инструкцию по применению ГСО.
При отсутствии ГСО раствора мышьяка, а также при проведении серийных анализов проб возможно приготовление раствора ионов мышьяка (3+) массовой концентрации 100,0 мг/дм3 из оксида мышьяка

(согласно ГОСТ 4212). Для этого на аналитических весах берут навеску (0,1320 +/- 0,0002) г оксида мышьяка, переносят в мерную колбу вместимостью 1,00 дм3, растворяют в 15,0 см3 раствора гидроокиси натрия молярной концентрации 2,0 моль/дм3, нейтрализуют раствором соляной кислоты молярной концентрации 2,0 моль/дм3 и доводят объем раствора бидистиллированной водой до метки.
Основные растворы мышьяка устойчивы в течение 6 мес.
8.6.2. ГР готовят согласно
[11].
ГР-1, ГР-2, ГР-3 с содержанием по 10,0; 5,0; 1,0 мг/дм3 мышьяка соответственно готовят разбавлениями растворов в мерных колбах вместимостью 25,0 см3 бидистиллированной водой согласно таблице 3. При повторном приготовлении растворы сливают в специальный сборник, колбы ополаскивают бидистиллированной водой и заполняют свежеприготовленным раствором той же концентрации.
Приготовление ГР мышьяка
Концентрация исходного раствора для приготовления ГР, мг/дм3 | Отбираемый объем, см3 | Объем мерной посуды, см3 | Концентрация приготовлен- ного ГР, мг, дм3 | Код полученного ГР |
100,0 100,0 10,0 | 2,50 1,25 2,50 | 25,0 25,0 25,0 | 10,00 5,00 1,00 | ГР-1 ГР-2 ГР-3 |
Примечание - ГР-1 устойчив в течение 30 дней; Гр-2 и ГР-3 - в течение 14 дней. |
8.6.3. Дополнительные и вспомогательные растворы, используемые при определении мышьяка
8.6.3.1. Рабочим раствором хлорида золота для приготовления ЗГЭ является ГСО раствора ионов золота (3+) массовой концентрации 100,0 мг/дм3. Рабочий раствор золота хранят в бюксах с притертыми крышками для использования их в качестве электрохимических ячеек при формировании ЗГЭ.
8.6.3.2. Рабочий раствор серной кислоты молярной концентрации 0,1 моль/дм3 для электрохимической очистки графитового электрода готовят путем разбавления концентрированной серной кислоты в 200 раз. Для этого в мерную колбу вместимостью 100,0 см3, наполовину заполненную бидистиллированной водой, вносят 0,5 см3 концентрированной серной кислоты, перемешивают и доводят объем до метки бидистиллированной водой.
8.6.3.3. Раствор гидроокиси натрия молярной концентрации 2,0 моль/дм3
Навеску (8,0 +/- 0,1) г гидроокиси натрия помещают в колбу вместимостью 100,0 см3, растворяют в небольшом количестве бидистиллированной воды и доводят объем до метки бидистиллированной водой.
8.6.3.4. Раствор соляной кислоты молярной концентрации 2,0 моль/дм3
В мерную колбу вместимостью 100,0 см3, наполовину заполненную бидистиллированной водой, вносят 16,0 см3 концентрированной соляной кислоты и доводят объем до метки бидистиллированной водой.
8.6.3.5. Рабочий раствор нитрата магния молярной концентрации 0,2 моль/дм3 готовят одним из следующих способов:
а) Навеску (4,80 +/- 0,01) г нитрата магния 6-водного растворяют в мерной колбе вместимостью 100,0 см3 бидистиллированной водой с добавлением 1 - 2 капель концентрированной азотной кислоты, доводят объем до метки бидистиллированной водой.
б) Навеску (0,80 +/- 0,01) г оксида магния помещают в мерную колбу вместимостью 100,0 см3, добавляют 5,0 см3 концентрированной азотной кислоты и, после растворения, доводят объем до метки бидистиллированной водой.
8.6.3.6. Рабочий раствор трилона Б молярной концентрации 0,1 моль/дм3 (при использовании ЗГЭ) готовят одним из следующих способов:
а) переносят содержимое фиксанала 0,1 моль-эквивалент (массой 18,6 г) в мерную колбу вместимостью 500,0 см3, добавляют 250 - 300 см3 теплой бидистиллированной воды, после растворения охлаждают и доводят объем до метки бидистиллированной водой;
б) навеску (9,30 +/- 0,01) г трилона Б помещают в мерную колбу вместимостью 250,0 см3, растворяют в теплой бидистиллированной воде, охлаждают и доводят объем до метки бидистиллированной водой.
8.6.3.7. Рабочий раствор трилона Б молярной концентрации 0,02 моль/дм3 (при использовании ЗЭ)
В мерную колбу на 200,0 см3 вносят 40 см3 трилона Б молярной концентрации 0,1 моль/дм3 и доводят объем раствора в колбе до метки бидистиллированной водой.
8.6.3.8. Растворы хлористого натрия или калия молярной концентрации 1,0 моль/дм3
Навеску (5,84 +/- 0,01) г хлористого натрия или (7,46 +/- 0,01) г хлористого калия помещают в мерную колбу вместимостью 100,0 см3, растворяют в небольшом количестве бидистиллированной воды и доводят объем до метки бидистиллированной водой.
8.6.3.9. Азотную кислоту (марки х. ч.) перегоняют. Перегнанная (при температуре 120 °C) азотная кислота должна быть молярной концентрации не менее 9,0 моль/дм3.
9. Подготовка проб к ИВ измерениям
В
таблице 1 приведены необходимые навески (объемы) для каждой из параллельных проб пищевых продуктов и продовольственного сырья при определении массовых концентраций мышьяка методом инверсионной вольтамперометрии. Для обеспечения представительности навески предварительно пробу тщательно гомогенизируют. Навеску пробы берут с точностью до 0,001 г; объем жидкой пробы - с точностью до 0,05 см3.
При проведении КХА проводят измерения для двух параллельных проб. При несоответствии результатов анализа нормативам контроля (по 12) проводят повторный анализ с использованием резервной пробы.
9.1. Подготовка проб пищевых продуктов и продовольственного сырья при определении массовых концентраций мышьяка
Основные этапы подготовки проб пищевых продуктов и продовольственного сырья к проведению измерений с целью устранения мешающего влияния матрицы пробы и переведения мышьяка в электрохимически активную форму приведены на рисунке 2.
Рисунок 2. Основные этапы подготовки проб пищевых продуктов
и продовольственного сырья при проведении ИВ измерений
для определения массовых концентраций мышьяка
Навески пробы анализируемого объекта помещают в чистые кварцевые стаканчики, добавляют 1,5 - 4,0 см3 раствора нитрата магния молярной концентрации 0,2 моль/дм3; 3,5 - 4,5 см3 концентрированной азотной кислоты и 1,0 - 1,5 см3 пероксида водорода. Пробы осторожно нагревают на плитке, избегая разбрызгивания, или на комплексе подготовки проб "Темос-Экспресс" при температуре 80 - 100 °C и выдерживают при этой температуре до полного растворения пробы. После растворения пробу упаривают при температуре 130 - 135 °C до влажных солей (при открытой крышке комплекса). Повторно обрабатывают пробу азотной кислотой объемом 2 - 3 см3 с добавлением 0,5 см3 пероксида водорода. Эту операцию повторяют еще 2 - 3 раза. Последний раз упаривают пробу до сухого остатка.
Стаканчик с сухим остатком пробы помещают в разогретую до (575 +/- 10) °C муфельную печь или нагревают стаканчик с пробой до этой же температуры в комплексе подготовки проб "Темос-Экспресс" при закрытой крышке и выдерживают (прокаливают) в течение 5 мин. После прокаливания остаток в стаканчике не должен содержать черных включений, в противном случае операцию обработки концентрированной азотной кислотой и пероксидом водорода повторяют. После получения остатка однородного цвета его охлаждают, добавляют 0,5 см3 бидистиллированной воды, 0,5 см3 концентрированной серной кислоты и несколько кристаллов (примерно 0,01 г) сернокислого гидразина. Стаканчик помещают вновь на плитку или в комплекс подготовки проб (при открытой крышке) при температуре 300 °C и упаривают досуха, то есть до полного прекращения выделения паров серной кислоты со стенок стаканчика.
Стаканчик охлаждают, добавляют 2,0 - 4,0 см3 трилона Б молярной концентрации 0,1 моль/дм3 и 6,0 - 8,0 см3 бидистиллированной воды.
Проба готова к проведению измерений.
9.2. Подготовка холостой пробы
Подготовку "холостой" пробы проводят аналогично 9.1, то есть добавляют те же реактивы, в тех же количествах и последовательности, но без анализируемой пробы, используя вместо нее бидистиллированную воду.
Контроль чистоты реактивов проводят при их замене.
При проведении анализов проб пищевых продуктов и продовольственного сырья после их подготовки к ИВ измерениям для определения содержания мышьяка проводят следующие операции.
10.1. Проверка электрохимической ячейки
Проверку стаканчиков, фонового электролита и электродов на чистоту проводят путем регистрации вольтамперограмм в данной электрохимической ячейке с фоновым электролитом после многократного ополаскивания стаканчиков бидистиллированной водой и фоновым электролитом.
Программу для работы вольтамперометрических анализаторов или режим работы полярографов или вольтамперометрических установок задают согласно
таблице 2. Электрохимические ячейки заполняют фоновым электролитом (1,0 - 2,0 см3 раствора трилона Б молярной концентрации 0,2 - 0,5 моль/дм3 и 9 - 8 см3 бидистиллированной воды). Регистрируют вольтамперограммы раствора фонового электролита при использовании выбранных электродов, проводя электролиз в течение 10 мин.
Оптимальными считаются такие качества реактивов и чистота посуды, когда получаются аналитические сигналы элемента в фоновом электролите, равные или близкие нулю (менее 2 мкА при времени электролиза 10 мин).
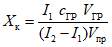
10.2. Проверка работы ЗГЭ по контрольным пробам мышьяка
В проверенный чистый раствор фонового электролита объемом 10,0 см3

вносят точно отмеренный дозатором объем (0,02 - 0,1 мг/дм3)

ГР мышьяка массовой концентрации 10,0 мг/дм3

. Получают контрольную пробу, содержащую аттестованную массовую концентрацию мышьяка (0,02 - 0,10 мг/дм3).
Проводят регистрацию вольтамперограмм контрольной пробы.
В этот же раствор делают повторно такую же добавку ГР мышьяка, регистрируют вольтамперограммы контрольной пробы с добавкой ГР мышьяка и оценивают содержание мышьяка в контрольной пробе.
Расчет массовой концентрации мышьяка в контрольной пробе

, мг/дм3, при использовании анализаторов проводится автоматически, а при использовании полярографов по формуле

, (1)
где

- массовая концентрация ГР мышьяка, из которой делается добавка в
контрольной пробе, мг/дм3;

- объем добавки ГР мышьяка, см3;

- максимальный анодный ток мышьяка на вольтамперограмме
контрольной пробы, А;

- максимальный анодный ток мышьяка на вольтамперограмме пробы с
добавкой ГР мышьяка, А;

- объем пробы, см3;
Если полученное значение массовой концентрации мышьяка

не отличается от контрольного значения менее чем на 20%, то условия работы соответствуют нормальным и следует приступить к измерению подготовленной анализируемой пробы.
Если полученное значение массовой концентрации мышьяка

отличается от контрольного более чем на 20%, то эксперимент повторяют с другим стаканчиком с чистым фоновым электролитом. Если и в этом случае расхождение результатов будет значимым, то индикаторный электрод готовят заново.
10.3. ИВ измерения при определении массовой концентрации мышьяка в пробе
Стаканчик с подготовленной по 9.1 пробой анализируемого объекта помещают в электрохимическую ячейку.
Повторяют последовательность операций по регистрации вольтамперограмм анализируемой пробы, установив время электролиза в зависимости от ожидаемого содержания мышьяка в соответствии с
таблицей 4. Регистрируют значения аналитических сигналов мышьяка.
Примечание. Если пик мышьяка искажается следующим пиком меди (при избытке меди более чем в 20 раз), то берут аликвоту 2,0 - 5,0 см3 подготовленной анализируемой пробы. Объем пробы доводят до 10,0 см3 фоновым электролитом. При вычислении концентрации мышьяка в этом случае учитывают разбавление.
В стаканчик с анализируемым раствором пробы с помощью пипетки или дозатора вносят добавку ГР мышьяка в таком объеме, чтобы высота пика мышьяка на вольтамперной кривой увеличилась примерно в два раза по сравнению с первоначальной.
Добавку вносят в малом объеме (не более 0,1 см3), чтобы предотвратить изменение объема анализируемой пробы. Рекомендуемые добавки ГР известной концентрации мышьяка приведены в таблице 4.
Рекомендуемые добавки градуировочных растворов мышьяка
при регистрации вольтамперограмм при анализе проб
пищевых продуктов и продовольственного сырья
Диапазон определяемых массовых концентраций мышьяка в пробе, мг/кг (или мг/дм3) | 0,001 - 0,05 | 0,05 - 0,2 | 0,2 - 2,0 |
Время электролиза, мин | 15 - 7 | 7 - 3 | 3 - 0,5 |
Массовая концентрация ГР мышьяка для добавок, мг/дм3 | 1,0 или 5,0 | 5,0 или 10,0 | 10,0 или 100,0 |
Рекомендуемый объем добавки ГР мышьяка, см3 | 0,02 - 0,10 | 0,02 - 0,10 | 0,02 - 0,10 |
Чувствительность прибора при регистрации вольтамперограммы, А/мм | -9 -8 5 · 10 - 1 · 10 | -8 2 · 10 | -8 2 · 10 |
Проводят электронакопление и регистрацию вольтамперограмм анализируемой пробы с введенной добавкой ГР мышьяка в тех же условиях, что и уже анализируемой пробы. Регистрируют аналитические сигналы (высоты пиков) мышьяка в пробе с добавкой ГР элемента.
Операции проводят для каждой из параллельных анализируемых проб и для холостой или резервной пробы в одинаковых условиях.
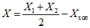
11. Вычисление и оформление результатов анализа
Для определяемого элемента рассчитывают среднее из трех - четырех значений аналитических сигналов, полученных при регистрации вольтамперограммы пробы.
Расчет проводят как для вольтамперных кривых при регистрации анализируемой пробы, так и для анализируемой пробы с добавкой ГР мышьяка.
Массовую концентрацию

, мг/кг или мг/дм3, мышьяка в анализируемой пробе вычисляют по формуле

, (2)
где

- массовая концентрация ГР мышьяка, из которой делается добавка к
анализируемой пробе, мг/дм3;

- объем добавки ГР мышьяка, см3;

- максимальный анодный ток мышьяка на вольтамперограмме
анализируемой пробы, А;

- максимальный анодный ток мышьяка на вольтамперограмме пробы с
добавкой ГР мышьяка, А;

- объем минерализата, см3;

- объем аликвоты, см3;
m - навеска или объем пробы, взятой для анализа, г или см3.
Таким образом получен результат анализа первой параллельной анализируемой пробы -

.
Аналогичные вычисления проводят для второй параллельной анализируемой пробы. Получают значения

.
Рассчитывают результат для холостой пробы

по
формуле 2, где значения

,

,

,

относятся к измерению холостой пробы

, а m равна навеске (объему) пробы.
Рассчитывают значение массовой концентрации мышьяка с учетом холостой пробы

. (3)
При удовлетворительной сходимости результатов параллельных определений по
12.1 значение X принимают за результат анализа. В противном случае анализ повторяют, используя резервную пробу.
Форма представления результата анализа
Результат количественного химического анализа в документах, предусматривающих его использование, представляют в виде:
результат анализа (X, мг/кг или мг/дм3),
характеристика относительной погрешности

, P = 0,95
или

, мг/кг или мг/дм3, P = 0,95,
где

, мг/кг или мг/дм3, где

отн.
Значения массовой концентрации элемента в пробе (X) и абсолютной погрешности

должны содержать одинаковое число знаков после запятой.
Если полученный результат анализа составляет значение менее нижней границы диапазона определяемых массовых концентраций согласно
таблице 1, то в протоколах анализа указывают значение "менее" нижней границы диапазона определяемых массовых концентраций данного элемента по данному методу.
12. Контроль точности результатов анализа
Контроль точности результатов КХА проводят согласно
[12].
12.1. Алгоритм проведения оперативного контроля сходимости
Оперативный контроль сходимости проводят при получении каждого результата измерений, представляющего собой среднеарифметическое значение результатов двух параллельных определений. Оперативный контроль сходимости проводят путем сравнения расхождения результатов двух параллельных определений (

и

), полученных при анализе пробы, с нормативом оперативного контроля сходимости d.
Сходимость результатов параллельных определений признают удовлетворительной, если

, (4)
где

(X - среднеарифметическое значение результатов двух параллельных определений). Значение

приведено в таблице 5.
Значения нормативов оперативного контроля
для каждого результата анализа (X, мг/кг или мг/дм3)
при анализе проб пищевых продуктов и продовольственного
сырья на содержание мышьяка
Норматив оперативного контроля сходимости d , отн % (для двух результатов параллельных определений, n = 2, P = 0,95) | Норматив оперативного контроля воспроизводимости, D , % (для двух отн результатов измерений, m = 2, P = 0,95) | Норматив внешнего оперативного контроля погрешности К , отн % (P = 0,95) | Норматив внутрилаборатор- ного оперативного контроля погрешности K , % (P = 0,90) отн |
30 | 50 | 40 | 34 |
При превышении норматива оперативного контроля сходимости эксперимент повторяют. При повторном превышении указанного норматива выясняют причины, приводящие к неудовлетворительным результатам контроля, и устраняют их.
12.2. Алгоритм проведения оперативного контроля воспроизводимости
Оперативный контроль воспроизводимости проводят с использованием рабочих проб путем сравнения результата контрольной процедуры, равного расхождению между двумя результатами измерений (первичного -

и повторного -

) массовой концентрации мышьяка в одной и той же пробе, с нормативом оперативного контроля воспроизводимости - D. Результаты считаются удовлетворительными, если

, (5)
где

(

- среднеарифметическое значение первичного и повторного результатов измерений).
При превышении норматива оперативного контроля воспроизводимости эксперимент повторяют. При повторном превышении указанного норматива выясняют причины, приводящие к неудовлетворительным результатам контроля, и устраняют их.
12.3. Алгоритмы проведения оперативного контроля погрешности (точности)
12.3.1. Алгоритм проведения оперативного контроля погрешности (точности) с использованием образцов для контроля
Образцами для контроля являются стандартные образцы состава пищевых продуктов или аттестованные смеси, погрешность аттестации массовой концентрации мышьяка в которых не превышает 1/3 общей погрешности результата анализа.
Алгоритм проведения оперативного контроля точности с применением образцов для контроля состоит в сравнении результата контрольной процедуры, равного разности между результатом контрольного измерения аттестованной характеристики в образце для контроля X и его аттестованным значением - C с нормативом оперативного контроля точности - K.
Точность контрольного измерения X, а также точность результатов анализа рабочих проб, выполненных за период, в течение которого условия проведения анализа принимают стабильными и соответствующими условиям проведения контрольного измерения, признают удовлетворительной, если:

, (6)
где

.
При превышении норматива оперативного контроля погрешности эксперимент повторяют с использованием другой пробы. При повторном превышении указанного норматива выясняют причины, приводящие к неудовлетворительным результатам контроля, и устраняют их.
12.3.2. Алгоритм проведения оперативного контроля погрешности (точности) с использованием метода добавок
Алгоритм проведения оперативного контроля погрешности с использованием метода добавок состоит в сравнении результата контрольной процедуры, равного разности между результатом контрольного измерения пробы с добавкой - X', пробы - X и величиной добавки - C, с нормативом оперативного контроля погрешности

.
Норматив оперативного контроля погрешности рассчитывают по формулам:
- при проведении внутрилабораторного контроля (P = 0,90)

, мг/кг или мг/дм3 (7)
- при проведении внешнего контроля (P = 0,95)

, мг/кг или мг/дм3, (8)
где

,

- значения характеристик погрешности (без учета знака),
мг/кг или мг/дм3, соответствующие массовой концентрации
мышьяка в пробе, пробе с добавкой, соответственно;

(X - массовая концентрация мышьяка в пробе);

(X' - массовая концентрация мышьяка в пробе
с добавкой).
Точность контрольного измерения, а также точность результатов анализа рабочих проб, выполненных за период, в течение которого условия проведения контрольного измерения признают удовлетворительными, если:

. (9)
При превышении норматива оперативного контроля погрешности эксперимент повторяют с использованием другой пробы. При повторном превышении указанного норматива выясняют причины, приводящие к неудовлетворительным результатам контроля, и устраняют их.
12.4. Периодичность контроля устанавливает сама лаборатория с учетом фактического состояния аналитических работ.
(справочное)
БИБЛИОГРАФИЯ
[1] ТУ 4215-001-20694097-98 Комплекс аналитический вольтамперометрический
СТА. Технические условия
[2] ТУ 4215-002-00227703-95 Анализатор вольтамперометрический АВА-1.
Технические условия
[3] ТУ 4215-016-00227703-98 Анализатор вольтамперометрический АВА-2.
Технические условия
[4] ТУ 640 РК 380876018-02-98 Анализатор вольтамперометрический ХАН-2
[5] ТУ 25-1173.103-84 Аппарат для бидистилляции воды. Технические условия
[6] ТУ 64-1.973-76 Щипцы тигельные. Технические условия
[7] ТУ 6-09-2502-77 Вода бидистиллированная. Технические условия
[8] ТУ 6-09-3678-74 Калия хлорид ос. ч. Технические условия
[9] ТУ 2-036-0224450-014-89 Шкурка шлифовальная тканевая эльборовая.
Технические условия
[10] ТУ 2-037-150-86 Шкурка шлифовальная тканевая алмазная. Технические
условия
ИС МЕГАНОРМ: примечание.
МИ 2334-95 утратила силу в связи с введением в действие МИ 2334-2002
"Рекомендация по метрологии. Государственная система обеспечения единства
измерений. Смеси аттестованные. Общие требования к разработке", утв. ФГУП
"УНИИМ" Госстандарта России 14.05.2002.
[11] МИ 2334-95 Государственная система обеспечения единства измерений.
Смеси аттестованные. Общие требования к разработке
[12]
МИ 2335-95 Государственная система обеспечения единства измерений.
Внутренний контроль качества результатов количественного химического
анализа