Главная // Актуальные документы // ГОСТ Р (Государственный стандарт)СПРАВКА
Источник публикации
М.: ФГБУ "Институт стандартизации", 2024
Примечание к документу
Документ
введен в действие с 01.06.2024.
Название документа
"ГОСТ Р 71154-2023. Национальный стандарт Российской Федерации. Конструкции поддерживающие для опор железнодорожной контактной сети и узлы их крепления. Общие технические условия"
(утв. и введен в действие Приказом Росстандарта от 18.12.2023 N 1583-ст)
"ГОСТ Р 71154-2023. Национальный стандарт Российской Федерации. Конструкции поддерживающие для опор железнодорожной контактной сети и узлы их крепления. Общие технические условия"
(утв. и введен в действие Приказом Росстандарта от 18.12.2023 N 1583-ст)
Утвержден и введен в действие
агентства по техническому
регулированию и метрологии
от 18 декабря 2023 г. N 1583-ст
НАЦИОНАЛЬНЫЙ СТАНДАРТ РОССИЙСКОЙ ФЕДЕРАЦИИ
КОНСТРУКЦИИ ПОДДЕРЖИВАЮЩИЕ ДЛЯ ОПОР
ЖЕЛЕЗНОДОРОЖНОЙ КОНТАКТНОЙ СЕТИ И УЗЛЫ ИХ КРЕПЛЕНИЯ
ОБЩИЕ ТЕХНИЧЕСКИЕ УСЛОВИЯ
Supporting constructions and their fastening elements
for railway overhead contact system. General specifications
ГОСТ Р 71154-2023
Дата введения
1 июня 2024 года
1 РАЗРАБОТАН Проектно-конструкторским бюро по инфраструктуре (ПКБ И) - филиалом Открытого акционерного общества "Российские железные дороги"
2 ВНЕСЕН Техническим комитетом по стандартизации ТК 45 "Железнодорожный транспорт"
3 УТВЕРЖДЕН И ВВЕДЕН В ДЕЙСТВИЕ
Приказом Федерального агентства по техническому регулированию и метрологии от 18 декабря 2023 г. N 1583-ст
4 ВВЕДЕН ВПЕРВЫЕ
5 Федеральное агентство по техническому регулированию и метрологии не несет ответственности за патентную чистоту настоящего стандарта. Патентообладатель может заявить о своих правах и направить в национальный орган по стандартизации аргументированное предложение о внесении в настоящий стандарт поправки для указания информации о наличии в стандарте объектов патентного права и патентообладателе
Правила применения настоящего стандарта установлены в статье 26 Федерального закона от 29 июня 2015 г. N 162-ФЗ "О стандартизации в Российской Федерации". Информация об изменениях к настоящему стандарту публикуется в ежегодном (по состоянию на 1 января текущего года) информационном указателе "Национальные стандарты", а официальный текст изменений и поправок - в ежемесячном информационном указателе "Национальные стандарты". В случае пересмотра (замены) или отмены настоящего стандарта соответствующее уведомление будет опубликовано в ближайшем выпуске ежемесячного информационного указателя "Национальные стандарты". Соответствующая информация, уведомление и тексты размещаются также в информационной системе общего пользования - на официальном сайте Федерального агентства по техническому регулированию и метрологии в сети Интернет (www.rst.gov.ru)
Настоящий стандарт распространяется на поддерживающие конструкции для опор железнодорожной контактной сети (консоли, фиксаторы и кронштейны) и узлы их крепления (далее совместно именуемые "изделия"). Стандарт не распространяется на ригели жестких поперечин по
ГОСТ 33797.
В настоящем стандарте использованы нормативные ссылки на следующие документы:
ГОСТ 2.114-2016 Единая система конструкторской документации. Технические условия
ГОСТ 9.307 Единая система защиты от коррозии и старения. Покрытия цинковые горячие. Общие требования и методы контроля
ГОСТ 14.201-83 Обеспечение технологичности конструкции изделий. Общие требования
ГОСТ 15.309-98 Система разработки и постановки продукции на производство. Испытания и приемка выпускаемой продукции. Основные положения
ГОСТ 20.57.406-81 Комплексная система контроля качества. Изделия электронной техники, квантовой электроники и электротехнические. Методы испытаний
ГОСТ 166 (ИСО 3599-76) Штангенциркули. Технические условия
ГОСТ 380 Сталь углеродистая обыкновенного качества. Марки
ГОСТ 427 Линейки измерительные металлические. Технические условия
ГОСТ 535 Прокат сортовой и фасонный из стали углеродистой обыкновенного качества. Общие технические условия
ГОСТ 868 Нутромеры индикаторные с ценой деления 0,01 мм. Технические условия
ГОСТ 1232 Изоляторы линейные штыревые фарфоровые и стеклянные на напряжение от 1 до 35 кВ. Общие технические условия
ГОСТ 1759.0 Болты, винты, шпильки и гайки. Технические условия
ГОСТ 2789 Шероховатость поверхности. Параметры и характеристики
ГОСТ 3749 Угольники поверочные 90°. Технические условия
ГОСТ 5915 Гайки шестигранные класса точности B. Конструкция и размеры
ГОСТ 6357 Основные нормы взаимозаменяемости. Резьба трубная цилиндрическая
ГОСТ 7502 Рулетки измерительные металлические. Технические условия
ГОСТ 7798 Болты с шестигранной головкой класса точности B. Конструкция и размеры
ГОСТ 8240 Швеллеры стальные горячекатаные. Сортамент
ГОСТ 8486-86 Пиломатериалы хвойных пород. Технические условия
ГОСТ 8509 Уголки стальные горячекатаные равнополочные. Сортамент
ГОСТ 8733 Трубы стальные бесшовные холоднодеформированные и теплодеформированные. Технические требования
ГОСТ 12393 Арматура контактной сети железной дороги линейная. Общие технические условия
ГОСТ 13837 Динамометры общего назначения. Технические условия
ГОСТ 14004 Весы рычажные общего назначения. Пределы взвешиваний. Нормы точности
ГОСТ 14771 Дуговая сварка в защитном газе. Соединения сварные. Основные типы, конструктивные элементы и размеры
ГОСТ 15150-69 Машины, приборы и другие технические изделия. Исполнения для различных климатических районов. Категории, условия эксплуатации, хранения и транспортирования в части воздействия климатических факторов внешней среды
ГОСТ 15845 Изделия кабельные. Термины и определения
ГОСТ 16337 Полиэтилен высокого давления. Технические условия
ГОСТ 16338 Полиэтилен низкого давления. Технические условия
ГОСТ 16504 Система государственных испытаний продукции. Испытания и контроль качества продукции. Основные термины и определения
ГОСТ 18311 Изделия электротехнические. Термины и определения основных понятий
ГОСТ 19281 Прокат повышенной прочности. Общие технические условия
ГОСТ 19300 Средства измерений шероховатости поверхности профильным методом. Профилографы-профилометры контактные. Типы и основные параметры
ГОСТ 19330 Стойки для опор контактной сети железных дорог. Технические условия
ГОСТ 23118-2019 Конструкции стальные строительные. Общие технические условия
ГОСТ 23216 Изделия электротехнические. Хранение, транспортирование, временная противокоррозионная защита, упаковка. Общие требования и методы испытаний
ГОСТ 24291 Электрическая часть электростанции и электрической сети. Термины и определения
ГОСТ 24851 Калибры гладкие для цилиндрических отверстий и валов. Виды
ГОСТ 27396 Арматура линейная. Сферические шарнирные соединения изоляторов. Размеры
ГОСТ 27772 Прокат для строительных стальных конструкций. Общие технические условия
ГОСТ 30631 Общие требования к машинам, приборам и другим техническим изделиям в части стойкости к механическим внешним воздействующим факторам при эксплуатации
ГОСТ 32192 Надежность в железнодорожной технике. Основные понятия. Термины и определения
ГОСТ 32679-2014 Контактная сеть железной дороги. Технические требования и методы контроля
ГОСТ 32895 Электрификация и электроснабжение железных дорог. Термины и определения
ГОСТ 33477 Система разработки и постановки продукции на производство. Технические средства железнодорожной инфраструктуры. Порядок разработки, постановки на производство и допуска к применению
ГОСТ 33797 Ригели жестких поперечин для контактной сети железнодорожного транспорта. Общие технические условия
ГОСТ 33889 Электросвязь железнодорожная. Термины и определения
ГОСТ ISO 898-1 Механические свойства крепежных изделий из углеродистых и легированных сталей. Часть 1. Болты, винты и шпильки установленных классов прочности с крупным и мелким шагом резьбы
ГОСТ ISO 898-2 Механические свойства крепежных изделий из углеродистых и легированных сталей. Часть 2. Гайки установленных классов прочности с крупным и мелким шагом резьбы
ГОСТ ISO 4759-3 Изделия крепежные. Допуски. Часть 3. Шайбы плоские для болтов, винтов и гаек. Классы точности A и C
ГОСТ Р 8.568 Государственная система обеспечения единства измерений. Аттестация испытательного оборудования. Основные положения
ГОСТ Р 9.316-2006 Единая система защиты от коррозии и старения. Покрытия термодиффузионные цинковые. Общие требования и методы контроля
ГОСТ Р 50779.12-2021 Статистические методы. Статистический контроль качества. Методы случайного отбора выборок штучной продукции
ГОСТ Р 58513 Отвесы стальные строительные. Технические условия
СП 53-101-98 Изготовление и контроль качества стальных строительных конструкций
СП 226.1326000.2014 Электроснабжение нетяговых потребителей. Правила проектирования, строительства и реконструкции
Примечание - При пользовании настоящим стандартом целесообразно проверить действие ссылочных стандартов (сводов правил) в информационной системе общего пользования - на официальном сайте Федерального агентства по техническому регулированию и метрологии в сети Интернет или по ежегодному информационному указателю "Национальные стандарты", который опубликован по состоянию на 1 января текущего года, и по выпускам ежемесячного информационного указателя "Национальные стандарты" за текущий год. Если заменен ссылочный документ, на который дана недатированная ссылка, то рекомендуется использовать действующую версию этого документа с учетом всех внесенных в данную версию изменений. Если заменен ссылочный документ, на который дана датированная ссылка, то рекомендуется использовать версию этого документа с указанным выше годом утверждения (принятия). Если после утверждения настоящего стандарта в ссылочный документ, на который дана датированная ссылка, внесено изменение, затрагивающее положение, на которое дана ссылка, то это положение рекомендуется применять без учета данного изменения. Если ссылочный документ отменен без замены, то положение, в котором дана ссылка на него, рекомендуется применять в части, не затрагивающей эту ссылку. Сведения о действии сводов правил целесообразно проверить в Федеральном информационном фонде стандартов.
3.1.1
консоль (железнодорожной контактной сети): Конструкция, предназначенная для закрепления в определенном положении в пространстве проводов железнодорожной контактной сети одного или нескольких железнодорожных путей. |
Примечания
1 Классификация консолей приведена в
4.2.1 -
4.2.3.
2 Элементы конструкции консолей, иллюстрирующие определения терминов по 3.1.1 -
3.1.7, показаны на
рисунках 1 -
3.
3 Все рисунки настоящего раздела предназначены исключительно для иллюстрации определений терминов, приведенных в 3.1 -
3.3 или используемых в тексте
разделов 4 -
8, и не должны рассматриваться как какие-либо конструктивные требования.
| |
а) на консольной опоре | б) на консольной стойке ригеля жесткой поперечины |
1 - опора; 2 - ригель жесткой поперечины; 3 - консольная
стойка ригеля жесткой поперечины; 4 - ось вращения консоли;
5 - кронштейн консоли; 6 - тяга консоли; 7 - подкос;
8 - узел крепления фиксатора; 9 - бугель
Рисунок 1 - Элементы конструкции
однопутной наклонной консоли
1 - опора; 2 - ось вращения консоли; 3 - наклонный стержень
консоли; 4 - горизонтальный стержень консоли; 5 - подкос;
6 - узел крепления фиксатора; 7 - узел крепления
несущего троса
Рисунок 2 - Элементы конструкции
однопутной горизонтальной консоли
Примечание - Позиционные обозначения элементов аналогичны показанным на
рисунке 2.
Рисунок 3 - Элементы конструкции
однопутной перевернутой консоли
3.1.2 консольная стойка ригеля жесткой поперечины (железнодорожной контактной сети): Конструкция, предназначенная для механического соединения консоли (железнодорожной контактной сети) с ригелем жесткой поперечины.
3.1.3
изолированная консоль (железнодорожной контактной сети): Консоль железнодорожной контактной сети, электрически изолированная от опоры или консольной стойки жесткой поперечины контактной сети и находящаяся под потенциалом тяговой сети. |
3.1.4
неизолированная консоль (железнодорожной контактной сети): Консоль железнодорожной контактной сети, электрически не изолированная от опоры или консольной стойки жесткой поперечины контактной сети и находящаяся под потенциалом земли. |
3.1.5
подкос консоли (железнодорожной контактной сети): Элемент консоли железнодорожной контактной сети, предназначенный для усиления жесткости консоли. |
3.1.6
тяга консоли (железнодорожной контактной сети): Элемент консоли железнодорожной контактной сети, в котором нагрузка вызывает напряжение растяжения, соединенный с кронштейном консоли и фиксирующий консоль в проектном положении. |
3.1.7
перевернутая консоль: Консоль особой конструкции, предназначенная для применения при малой конструктивной высоте контактной подвески.
3.2.1
фиксатор контактного провода (железнодорожной контактной сети): Конструкция, предназначенная для образования зигзага контактного провода железнодорожной контактной подвески. Примечание - Фиксаторы контактного провода железнодорожной контактной подвески классифицируют на гибкие и сочлененные. |
Примечания
1 Классификация фиксаторов по иным классификационным признакам приведена в
4.3.1.
2 Элементы конструкции фиксаторов, иллюстрирующие определения терминов по 3.2.1 -
3.2.12, показаны на
рисунках 4 и
5.
3.2.2 фиксирующая стойка ригеля жесткой поперечины [двухпутной консоли] (железнодорожной контактной сети): Конструкция, предназначенная для механического соединения фиксатора контактного провода (железнодорожной контактной сети) с ригелем жесткой поперечины [двухпутной консолью].
|
а) прямой без ветровой струны |
|
б) обратный без ветровой струны |
|
в) прямой с ветровой струной |
|
г) обратный с ветровой струной |
|
д) ромбовидной подвески |
1 - основной стержень; 2 - дополнительный(ые) стержень(и);
3 - фиксаторная(ые) стойка(и); 4 - узел(ы) крепления
страхующего троса; 5 - узел(ы) крепления фиксирующего(их)
зажима(ов); 6 - ветровая струна; 7 - узел крепления ветровой
струны; 8 - стыковочный узел фиксатора анкеруемой ветви;
9 - трос гибкого фиксатора; 10 - фиксирующая стойка
жесткой поперечины
Рисунок 4 - Элементы конструкции фиксаторов различных типов
(прямых, обратных и для ромбовидной подвески)
|
а) анкеруемой ветви |
|
б) гибкий |
|
в) обратный на фиксирующей стойке жесткой поперечины |
Примечание - Позиционные обозначения элементов аналогичны приведенным на
рисунке 4.
Рисунок 5 - Элементы конструкции фиксаторов различных типов
(фиксатора анкеруемой ветви, гибкого фиксатора и фиксатора
на фиксирующей стойке жесткой поперечины)
3.2.3
гибкий фиксатор контактного провода (железнодорожной контактной сети): Фиксатор контактного провода железнодорожной контактной сети, в котором усилие для образования зигзага передается к опоре посредством троса. |
3.2.4
сочлененный фиксатор контактного провода (железнодорожной контактной сети): Фиксатор контактного провода железнодорожной контактной сети, состоящий из основного и дополнительного стержня. |
3.2.5
основной стержень фиксатора контактного провода (железнодорожной контактной сети): Стержень, передающий усилие от дополнительного стержня фиксатора к опоре железнодорожной контактной сети или конструкции, ее заменяющей. |
3.2.6
дополнительный стержень фиксатора контактного провода (железнодорожной контактной сети): Стержень фиксатора контактного провода железнодорожной контактной сети, присоединенный к фиксирующему зажиму контактного провода (железнодорожной контактной подвески). |
3.2.7
обратный фиксатор контактного провода (железнодорожной контактной сети): Сочлененный фиксатор контактного провода железнодорожной контактной подвески, в котором нагрузка от образованного зигзага вызывает в основном стержне железнодорожной контактной сети напряжение сжатия. |
3.2.8
прямой фиксатор контактного провода (железнодорожной контактной сети): Фиксатор контактного провода железнодорожной контактной подвески, в котором нагрузка от образованного зигзага вызывает во всех его элементах напряжение растяжения. |
3.2.9
фиксаторная стойка (железнодорожной контактной сети): Деталь фиксатора контактного провода железнодорожной контактной подвески, к нижнему концу которой крепится дополнительный стержень фиксатора контактного провода железнодорожной контактной сети. |
3.2.10
страхующий трос (железнодорожной) контактной сети: Трос, предназначенный для предотвращения перемещения фиксатора контактного провода железнодорожной контактной подвески в габарит железнодорожного подвижного состава при разрушении фиксаторного изолятора. |
3.2.11 ветровая струна (железнодорожной контактной сети): Трос, предназначенный для дополнительного механического соединения основного и дополнительного стержней фиксатора контактного провода (железнодорожной контактной сети) в целях повышения стойкости последнего к воздействию ветра.
3.2.12
трос гибкого фиксатора контактного провода (железнодорожной контактной сети): Трос, предназначенный для механического соединения дополнительного стержня гибкого фиксатора контактного провода (железнодорожной контактной сети) с изолированной консолью или фиксаторным изолятором.
3.3.1 кронштейн: Конструкция, предназначенная для закрепления в определенном положении на опоре железнодорожной контактной сети проводов, не входящих в состав железнодорожной контактной подвески, или иных объектов.
Примечания
1 Классификация кронштейнов приведена в
4.4.1 -
4.4.7.
2 Элементы конструкции основных видов кронштейнов показаны на
рисунках 6 -
10.
3 Перечень иных объектов, для закрепления которых предназначены кронштейны, приведен в
4.4.1.
|
а) с растянутой тягой |
|
б) со сжатой тягой |
|
в) с подкосом |
1 - опора; 2 - ось вращения кронштейна; 3 - балка
кронштейна; 4 - тяга; 5 - бугели; 6 - подкос
Рисунок 6 - Элементы конструкции основных видов кронштейнов
без вертикальной стойки, предназначенных для крепления
проводов питающих линий, питающих, усиливающих, экранирующих
проводов и/или проводов линий электропередачи
|
а) с одной балкой и растянутой тягой |
|
б) с одной балкой и сжатой тягой |
| |
в) с двумя балками и подкосом | г) с одной балкой и подкосом |
1 - опора; 2 - ось вращения кронштейна; 3 - балка
кронштейна; 4 - тяга; 5 - бугели; 6 - подкос; 7 - штыри
для изоляторов; 8 - нижняя балка кронштейна с двумя балками
Примечание - Кронштейны на
рисунках а) -
б) - для крепления как неизолированных, так и защищенных проводов, кронштейн на
рисунке в) - для крепления неизолированных проводов, кронштейн на
рисунке г) - для крепления защищенных проводов.
Рисунок 7 - Элементы конструкции основных видов кронштейнов
без вертикальной стойки, предназначенных для крепления
неизолированных и/или защищенных проводов
воздушных линий электропередачи
| |
а) для одного провода | б) для двух проводов |
1 - опора; 2 - ось вращения кронштейна;
3 - балка кронштейна; 4 - тяга; 5 - бугель(и)
Рисунок 8 - Элементы конструкции основных видов кронштейнов
без вертикальной стойки, предназначенных для крепления
самонесущих изолированных проводов воздушных
линий электропередачи
| |
а) Г-образный на опоре | б) Т-образный на ригеле жесткой поперечины |
1 - опора; 2 - ригель жесткой поперечины; 3 - вертикальная
стойка; 4 - балка кронштейна; 5 - бугель(и)
Рисунок 9 - Элементы конструкции основных видов кронштейнов
с вертикальной стойкой, предназначенных для крепления
проводов питающих линий, питающих, усиливающих
и/или экранирующих проводов
1 - ригель жесткой поперечины; 2 - вертикальная стойка;
3 - балка кронштейна; 4 - штыри для изоляторов
Рисунок 10 - Элементы конструкции кронштейна
с вертикальной стойкой, предназначенного для крепления
защищенных проводов воздушных линий электропередачи
3.3.2 самонесущий изолированный провод: Многожильный провод для воздушных линий электропередачи, содержащий изолированные жилы и несущий элемент, предназначенный для крепления или подвески провода.
3.3.3 защищенный провод: Провод для воздушных линий электропередачи, поверх токопроводящей жилы которого наложена экструдированная полимерная защитная изоляция, исключающая короткое замыкание между проводами при схлестывании и снижающая вероятность замыкания на землю.
4.1.1 Изделия классифицируют по назначению:
- на консоли;
- фиксаторы;
- кронштейны;
- узлы крепления.
4.1.2 Информация, подлежащая изложению в технических условиях на изделия конкретных типов, - в соответствии с
приложением А.
4.2.1 Консоли классифицируют по числу путей, контактные подвески которых могут размещаться на консоли:
б) двухпутные.
1) на неизолированные консоли;
2) изолированные консоли;
б) по месту установки:
1) на консоли для консольных опор;
2) консоли для жестких поперечин;
в) по материалу и виду профиля кронштейна:
1) на стальные швеллерные консоли;
2) стальные трубчатые консоли;
3) трубчатые консоли из сплавов на основе алюминия;
г) по положению в пространстве:
1) на наклонные консоли с растянутой тягой;
2) наклонные консоли со сжатой тягой;
3) горизонтальные консоли;
д) по номеру типоразмера - по
5.1.3.2;
е) по назначению консоли, наличию подкоса и конструктивной высоте контактной подвески:
1) на консоли для рабочей ветви контактной подвески нормальной конструктивной высоты без подкоса;
2) консоли для рабочей ветви контактной подвески нормальной конструктивной высоты с подкосом;
3) консоли для анкеруемой ветви контактной подвески нормальной конструктивной высоты без подкоса;
4) консоли для анкеруемой ветви контактной подвески нормальной конструктивной высоты с подкосом;
5) консоли для рабочей ветви контактной подвески увеличенной конструктивной высоты без подкоса;
6) консоли для рабочей ветви контактной подвески увеличенной конструктивной высоты с подкосом;
7) консоли для анкеруемой ветви контактной подвески увеличенной конструктивной высоты без подкоса;
8) консоли для анкеруемой ветви контактной подвески увеличенной конструктивной высоты с подкосом;
9) перевернутые консоли;
ж) трубчатые консоли в дополнение к изложенному в
перечислениях а) -
е) классифицируют по номинальному напряжению контактной сети:
1) на консоли на напряжение 3,0 кВ;
2) консоли на напряжение 25,0 кВ;
и) швеллерные консоли в дополнение к изложенному в
перечислениях а) -
е) классифицируют по номеру швеллера;
к) наклонные консоли в дополнение к изложенному в
перечислениях а) -
и), классифицируют по наличию и виду бугеля:
1) на консоли без бугеля;
2) консоли с длинным бугелем;
3) консоли с коротким бугелем;
л) по прочим признакам - в соответствии с техническими условиями на изделия конкретных типов.
4.2.3 Двухпутные консоли классифицируют и условные обозначения строят в соответствии с техническими условиями на изделия конкретных типов.
4.2.4 Условные обозначения однопутных консолей строят в соответствии со структурной схемой, показанной на рисунке 11.
Рисунок 11 - Структурная схема условного обозначения
однопутной консоли
4.2.5 Примеры условных обозначений однопутных консолей:
- однопутная неизолированная наклонная консоль типоразмера 4 с растянутой тягой и длинным бугелем для рабочей ветви контактной подвески без подкоса нормальной конструктивной высоты на номинальное напряжение контактной сети 3 кВ из стального швеллера 5У по
ГОСТ 8240
НРД-4-3,0-5У-XXXX;
- однопутная изолированная наклонная консоль типоразмера 1 со сжатой тягой и коротким бугелем для рабочей ветви контактной подвески с подкосом увеличенной конструктивной высоты на номинальное напряжение контактной сети 25 кВ из стальной трубы
ИТРК-1вп-25,0-XXXX;
- однопутная неизолированная горизонтальная консоль типоразмера 2 для рабочей ветви контактной подвески без подкоса нормальной конструктивной высоты на номинальное напряжение контактной сети 3 кВ из стального швеллера 5П по
ГОСТ 8240
НГ-2-3,0-5П-XXXX.
Примечание - Символами "XXXX" в примерах обозначены дополнительные классификационные признаки по
4.2.2, перечисление л). Значения этих символов - в соответствии с техническими условиями на изделия конкретных типов.
4.3.1 Фиксаторы классифицируют:
а) по материалу:
1) на стальные фиксаторы;
2) фиксаторы из сплавов на основе алюминия;
б) по конструкции и назначению:
1) на сочлененные прямые фиксаторы для контактного провода рабочей ветви контактной подвески;
2) сочлененные обратные фиксаторы для контактного провода рабочей ветви контактной подвески;
3) жесткие фиксаторы для контактного провода анкеруемой ветви;
4) сочлененные фиксаторы для контактных проводов рабочей ветви ромбовидной контактной подвески;
5) жесткие фиксаторы для троса анкеруемой ветви контактной подвески;
6) гибкие фиксаторы;
7) фиксаторы для кривых малого радиуса;
в) по наличию изолятора в составе конструкции:
1) на фиксаторы с изолятором;
2) фиксаторы без изолятора;
г) по типу консоли, на которую устанавливается фиксатор:
1) на фиксаторы для консолей консольных опор;
2) фиксаторы для консольных и фиксирующих стоек ригелей жестких поперечин;
д) по виду дополнительного стержня:
1) на фиксаторы с типовым дополнительным стержнем;
2) фиксаторы с Г-образным дополнительным стержнем;
е) по типоразмеру - в соответствии с
5.1.4.2;
ж) по наличию или отсутствию ветровой струны:
1) на фиксаторы без ветровой струны;
2) фиксаторы с ветровой струной;
и) по виду фиксаторной стойки:
1) на фиксаторы со стойкой нормальной длины;
2) фиксаторы с удлиненной стойкой;
к) по номинальному напряжению контактной сети:
1) на фиксаторы на напряжение 3,0 кВ;
2) фиксаторы на напряжение 25,0 кВ;
л) по прочим признакам - в соответствии с техническими условиями на изделия конкретных типов.
4.3.2 Условные обозначения фиксаторов строят в соответствии со структурной схемой, показанной на рисунке 12.
Рисунок 12 - Структурная схема
условного обозначения фиксатора
4.3.3 Примеры условных обозначений фиксаторов:
- стальной сочлененный обратный фиксатор рабочей ветви контактной подвески с изолятором для консольных или фиксирующих стоек жестких поперечин с Г-образным дополнительным стержнем типоразмера 3 со стойкой нормальной длины и без ветровой струны на номинальное напряжение 25,0 кВ
ФОИЖГ-3-25,0-XXXX;
- сочлененный обратный фиксатор рабочей ветви контактной подвески из сплавов на основе алюминия без изолятора для консолей консольных опор типоразмера 1 без ветровой струны с удлиненной стойкой на номинальное напряжение 25,0 кВ
ФАО-1у-25,0-XXXX.
Примечание - Символами "XXXX" в примерах обозначены дополнительные классификационные признаки по
4.3.1, перечисление л). Значения этих символов - в соответствии с техническими условиями на изделия конкретных типов.
4.4.1 Кронштейны классифицируют по назначению на предназначенные:
а) для крепления проводов или кабелей;
б) анкеровки проводов, тросов или кабелей;
в) крепления разъединителей;
г) крепления приводов разъединителей;
д) крепления ограничителей перенапряжений;
е) крепления диодных заземлителей;
ж) крепления обводов;
и) крепления прочих объектов.
4.4.2 Кронштейны, предназначенные для крепления проводов или кабелей
[4.4.1, перечисление а)], классифицируют по конструктивным признакам:
а) на кронштейны без вертикальной стойки;
б) кронштейны с вертикальной стойкой.
4.4.3 Кронштейны, предназначенные для крепления проводов или кабелей без вертикальной стойки
[4.4.2, перечисление а)] классифицируют следующим образом:
а) по назначению проводов (кабелей) - на кронштейны:
1) для провода(ов) питающих линий, отсасывающих линий, шунтирующих линий, питающих, усиливающих и/или экранирующих проводов;
2) неизолированных проводов воздушных линий электропередачи;
3) изолированных проводов воздушных линий электропередачи;
4) защищенных проводов воздушных линий электропередачи;
5) экранирующего провода, усиливающего провода и провода одной фазы линии электропередачи системы "два провода - рельсы";
6) проводов двух питающих линий;
7) кабеля(ей) волоконно-оптических линий передачи;
8) направляющего(их) провода(ов) поездной радиосвязи;
9) троса группового заземления;
б) по длине балки - на кронштейны:
1) с балкой нормальной длины;
2) с удлиненной балкой;
в) по характеру нагрузки, воспринимаемой тягой, - на кронштейны:
1) с растянутой тягой;
2) со сжатой тягой;
г) по материалу балки(ок) - на кронштейны:
1) с балкой(ами) из оцинкованной стали;
2) с балкой(ами) из дерева;
3) с балкой(ами) из полимерных материалов.
4.4.4 Кронштейны, предназначенные для крепления проводов или кабелей без вертикальной стойки с балкой(ами) из оцинкованной стали
[4.4.3, перечисление г) 1)] в дополнение к указанному в
4.4.3 классифицируют по номеру уголка или швеллера, из которого изготовлена(ы) балка(и).
4.4.5 Кронштейны, предназначенные для крепления проводов или кабелей с вертикальной стойкой
[4.4.2, перечисление б)] классифицируют:
а) по конструктивным признакам:
1) на Г-образные;
2) Т-образные;
б) по назначению проводов - на кронштейны:
1) для провода(ов) питающих линий, отсасывающих линий, шунтирующих линий, питающих, усиливающих и/или экранирующих проводов;
2) неизолированных проводов воздушных линий электропередачи;
3) изолированных проводов воздушных линий электропередачи;
4) защищенных проводов воздушных линий электропередачи;
5) экранирующего провода, усиливающего провода и провода одной фазы линии электропередачи системы "два провода - рельсы";
6) проводов двух питающих линий;
7) кабеля(ей) волоконно-оптических линий передачи;
8) направляющего(их) провода(ов) поездной радиосвязи;
в) по номеру уголка или швеллера, из которого изготовлена балка кронштейна.
4.4.6 Кронштейны, предназначенные для анкеровки проводов, тросов или кабелей, крепления разъединителей, приводов разъединителей, ограничителей перенапряжений, диодных заземлителей или обводов [
4.4.1, перечисления б) -
е)], классифицируют в соответствии с техническими условиями на изделия конкретных типов.
4.4.7 В дополнение к указанному в
4.4.1 -
4.4.6 кронштейны классифицируют по прочим признакам в соответствии с техническими условиями на изделия конкретных типов.
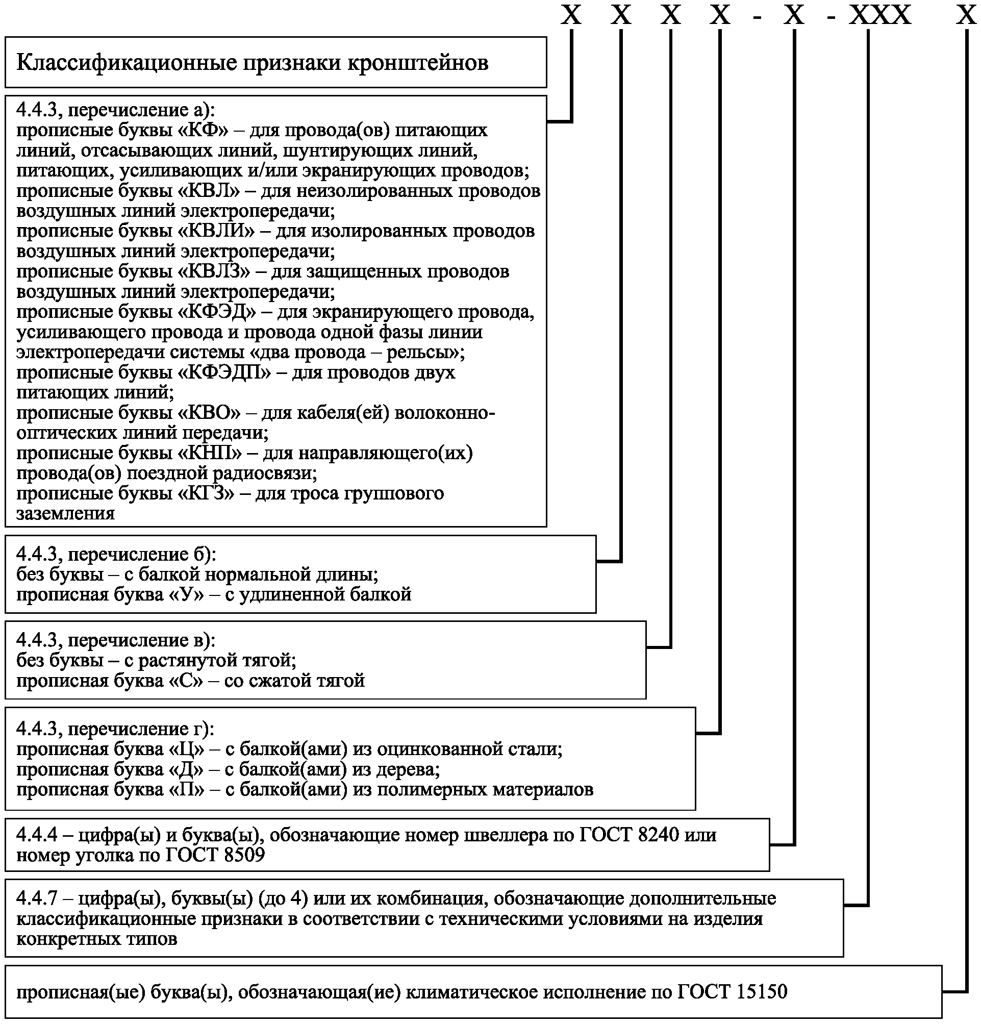
4.4.8 Условные обозначения кронштейнов строят в соответствии со структурными схемами, показанными:
- для кронштейнов, предназначенных для крепления проводов или кабелей без вертикальной стойки, - на
рисунке 13;
- для кронштейнов, предназначенных для крепления проводов или кабелей с вертикальной стойкой, - на
рисунке 14;
- для кронштейнов, предназначенных для анкеровки проводов, тросов или кабелей, крепления разъединителей, приводов разъединителей, ограничителей перенапряжений, диодных заземлителей и обводов, - на
рисунке 15.
4.4.9 Примеры условных обозначений кронштейнов:
- кронштейн без вертикальной стойки для провода(ов) питающих линий, питающих, усиливающих и/или экранирующих проводов из оцинкованного стального швеллера 10 по
ГОСТ 8240
КФУЦ-10-XXXX;
- кронштейн без вертикальной стойки со сжатой тягой для неизолированных проводов воздушных линий электропередачи из оцинкованного стального уголка 63 по
ГОСТ 8509
КВЛСЦ-63-XXXX;
- кронштейн с вертикальной стойкой Т-образный для защищенных проводов воздушных линий электропередачи из оцинкованного стального швеллера 8 по
ГОСТ 8240
КТВЛЗ-8-XXXX;
- кронштейн для анкеровки проводов, тросов или кабелей
КА-XXXX.
Рисунок 13 - Структурная схема условного обозначения
кронштейна, предназначенного для крепления проводов
или кабелей без вертикальной стойки
Рисунок 14 - Структурная схема условного обозначения
кронштейна, предназначенного для крепления проводов
или кабелей с вертикальной стойкой
Рисунок 15 - Структурная схема условного обозначения
кронштейна, предназначенного для анкеровки проводов, тросов
или кабелей, крепления разъединителей, приводов
разъединителей, ограничителей перенапряжений,
диодных заземлителей, обводов и прочих объектов
Примечание - Символами "XXXX" в примерах обозначены дополнительные классификационные признаки по
4.4.7. Значения этих символов - в соответствии с техническими условиями на изделия конкретных типов.
4.5.1 Узлы крепления классифицируют:
а) по назначению:
1) на опорные столики жестких поперечин;
2) оголовки;
3) узлы крепления тяги консоли;
4) узлы крепления пяты консоли;
5) узлы крепления анкеруемых проводов;
6) узлы крепления кронштейна;
7) узлы крепления прочего назначения;
б) по количеству стоек и форме их сечения:
1) на сопрягаемые с одностоечными опорами круглого сечения;
2) сопрягаемые с одностоечными опорами прямоугольного сечения;
3) сопрягаемые с двухстоечными опорами круглого сечения;
4) сопрягаемые с двухстоечными опорами прямоугольного сечения;
в) по способу соединения с опорой:
1) на узлы крепления на закладных деталях;
2) узлы крепления в обхват;
г) по прочим признакам - в соответствии с техническими условиями на изделия конкретных типов.
4.5.2 Условные обозначения узлов крепления строят в соответствии со структурной схемой, показанной на рисунке 16.
Рисунок 16 - Структурная схема условного обозначения
узла крепления
4.5.3 Примеры условных обозначений узлов крепления:
- оголовок климатического обозначения У двухстоечной опоры круглого сечения
УОЗ-XXX У;
- узел крепления тяги консоли на закладных деталях климатического исполнения ХЛ
УТД-XXX ХЛ.
Примечание - Символами "XXXX" в примерах обозначены дополнительные классификационные признаки по
4.5.1, перечисление г). Значения этих символов - в соответствии с техническими условиями на изделия конкретных типов.
5.1 Основные показатели и характеристики
5.1.1 Показатели назначения
5.1.1.1 Консоли должны быть предназначены для закрепления в определенном положении в пространстве несущего(их) троса(ов) железнодорожной контактной подвески одного или нескольких путей.
5.1.1.2 Фиксаторы должны быть предназначены для образования зигзага контактного провода железнодорожной контактной подвески.
5.1.1.3 Кронштейны должны быть предназначены для закрепления в определенном положении на опорах контактной сети, питающих линий, отсасывающих линий и шунтирующих линий одного или нескольких объектов (в любом сочетании) из перечисленных в
4.4.1.
5.1.1.4 Узлы крепления должны быть предназначены для закрепления в определенном положении на опорах контактной сети, питающих линий, отсасывающих линий и шунтирующих линий консолей, фиксаторов, кронштейнов или иных объектов из перечисленных в
4.5.1.
5.1.2 Общие конструктивные требования
5.1.2.1 Изделия изготавливают в соответствии с требованиями настоящего стандарта и технических условий на конкретные типы изделий по конструкторской документации, утвержденной в установленном порядке.
Требования к входному контролю и хранению металлопроката, используемого для изготовления изделий, технологии подготовки, резки, механической обработки, к сварке и технологической маркировке - по
СП 53-101.
5.1.2.2 Требования к отверстиям - по ГОСТ 23118-2019
(подраздел 5.6). Несоосность отверстий должна быть не более 1,0 мм.
5.1.2.3 Требования к отклонению размеров изделий от номинальных - по ГОСТ 23118-2019
(подраздел 5.7).
Непрямолинейность элементов конструкции изделий не должна превышать 0,2% длины элемента.
5.1.2.4 Требования к сварным швам - по ГОСТ 23118-2019
(подраздел 5.5) для швов категории I. Рекомендуется применение полуавтоматической сварки в среде углекислого газа по
ГОСТ 14771.
5.1.2.5 Все элементы конструкции изделий, выполненные из стали и не имеющие резьбы, должны иметь горячецинковое покрытие по
ГОСТ 9.307 толщиной от 100 до 140 мкм. Допускается применение термодиффузионного цинкового покрытия по
ГОСТ Р 9.316 толщиной от 50 до 70 мкм.
Элементы конструкции изделий, имеющие резьбу, должны иметь термодиффузионное цинковое покрытие по
ГОСТ Р 9.316 толщиной от 18 до 20 мкм.
5.1.2.6 Шероховатость элементов конструкции изделий должна соответствовать высоте профиля (параметр
Rz по
ГОСТ 2789) не более 100 мкм.
5.1.2.7 Свободные концы элементов конструкции изделий, выполненных из металлопроката замкнутого профиля, должны иметь заглушки.
5.1.2.8 Крепежные элементы с резьбой должны быть покрыты смазкой по
ГОСТ 2712.
5.1.2.9 Наклонные консоли должны иметь в составе конструкции элементы для регулировки длины тяги и, при наличии, подкоса при монтаже не менее чем на 0,9 м. Для иных видов изделий необходимость в наличии элементов для регулировки длины устанавливают в технических условиях на конкретные типы изделий.
5.1.3 Частные конструктивные требования к консолям
5.1.3.1 Конструкция и размеры консолей должны обеспечивать возможность образования конструктивной высоты контактной подвески от 1,5 до 2,4 м (перевернутых консолей - от 0,6 до 1,4 м) и высоты подвеса контактного провода по ГОСТ 32679-2014
(пункт 4.1.1) при длине пролета до 70 м, габарите опор от 3,1 до 5,9 м, минимальном радиусе кривой 300 м.
5.1.3.2 Типоразмер консоли определяется в зависимости от ее длины, длины тяги и, при наличии, длины подкоса, устанавливаемых в технических условиях на изделия конкретных типов, и обозначается арабскими цифрами. Цифрой "1" нумеруют типоразмер с наименьшей длиной.
5.1.3.3 Основные размеры консолей и схемы приложения нагрузок показаны на
рисунках 17 -
19.
Значения размеров, допускаемых нагрузок и испытательных нагрузок устанавливают в технических условиях на конкретные типы изделий (см.
А.7) с соблюдением следующих условий:
а) допускаемая нагрузка должна быть не менее:
1) вертикальная - 2000 Н;
2) горизонтальная - 800 Н;
б) испытательная нагрузка должна составлять не менее 150% допускаемой нагрузки.
|
|
|
б) схема приложения нагрузок |
Lк - длина консоли; Lт - длина тяги; Lп - длина подкоса;
P - горизонтальная нагрузка; Q - вертикальная нагрузка
Рисунок 17 - Основные размеры наклонных консолей
(кроме перевернутых) и схема приложения нагрузок
|
|
|
б) схема приложения нагрузок |
Lг - длина горизонтального стержня; Lн - длина наклонного
стержня; Lп - длина подкоса; P - горизонтальная нагрузка;
Q - вертикальная нагрузка
Рисунок 18 - Основные размеры горизонтальных консолей
и схема приложения нагрузок
|
|
|
б) схема приложения нагрузки |
Lг - длина горизонтального стержня; Lн - длина наклонного
стержня; Lп - длина подкоса; Q - вертикальная нагрузка
Рисунок 19 - Основные размеры перевернутых консолей
и схема приложения нагрузки
5.1.3.4 Относительный прогиб элементов конструкции консоли при приложении испытательных нагрузок не должен превышать 1/150 длины.
5.1.4 Частные конструктивные требования к фиксаторам
5.1.4.1 Конструкция и размеры фиксаторов должны обеспечивать:
- выполнение требований ГОСТ 32679-2014 (подраздел 4.5) на прямых участках пути;
- возможность образования величины зигзага контактного провода по ГОСТ 32679-2014
(подраздел 4.2) при условиях, аналогичных указанным в
5.1.3.1 для консолей.
5.1.4.2 Типоразмер фиксатора определяется в зависимости от длины основного стержня (для гибких фиксаторов - троса), устанавливаемого в технических условиях на изделия конкретных типов на изделия конкретных типов, и обозначается арабскими цифрами. Цифрой "1" нумеруют типоразмер с наименьшей длиной стержня или троса.
5.1.4.3 Основные размеры фиксаторов и схемы приложения нагрузок показаны на
рисунках 20 -
24.
Значения размеров, допускаемых нагрузок и испытательных нагрузок устанавливают в технических условиях на конкретные типы изделий (см.
А.7) с соблюдением следующих условий:
а) допускаемая нагрузка должна быть не менее:
б) испытательная нагрузка должна составлять не менее 150% допускаемой нагрузки.
|
|
|
б) схема приложения нагрузки к основному стержню |
|
в) схема приложения нагрузки к дополнительному стержню |
Lф - длина фиксатора; Lфд - длина дополнительного стержня;
P - горизонтальная нагрузка на основной стержень;
Pд - горизонтальная нагрузка на дополнительный стержень
Рисунок 20 - Основные размеры прямых сочлененных фиксаторов
и схемы приложения нагрузки
|
|
|
б) схема приложения нагрузки |
Lф - длина фиксатора; Lфд - длина дополнительного стержня;
Pд - горизонтальная нагрузка на дополнительный стержень
Рисунок 21 - Основные размеры гибких фиксаторов
и схема приложения нагрузки
|
|
|
б) схема приложения нагрузки к основному стержню |
Lф - длина фиксатора; Lфд - длина дополнительного стержня;
P - горизонтальная нагрузка
Примечание - Схема приложения нагрузки к дополнительному стержню аналогична показанной на
рисунке 20 в).
Рисунок 22 - Основные размеры обратных сочлененных
фиксаторов и схема приложения нагрузки
|
|
|
б) схема приложения нагрузок к основному стержню |
Lф - длина фиксатора; Lфд - длина дополнительного стержня;
P - горизонтальная нагрузка
Примечание - Схема приложения нагрузки к дополнительным стержням аналогична показанной на
рисунке 20 в).
Рисунок 23 - Основные размеры фиксаторов
ромбовидной подвески и схемы приложения нагрузок
|
|
|
б) схема приложения нагрузок |
Lф - длина фиксатора; P - горизонтальная нагрузка
Рисунок 24 - Основной размер фиксаторов анкеруемой ветви
и схема приложения нагрузок
5.1.4.4 Относительный прогиб элементов конструкции фиксатора при приложении испытательной нагрузки не должен превышать 1/200 длины.
5.1.5 Частные конструктивные требования к кронштейнам
5.1.5.1 Конструкция и размеры кронштейнов должны обеспечивать возможность образования расстояния между проводами разных фаз, между проводами и/или кабелями различного назначения, а также между проводами, находящимися под напряжением, и заземленными частями опор не менее установленных СП 224.1326000.2014
(подраздел 6.1) и СП 226.1326000.2014 (
пункты 5.2.2 и
5.3.2) при условиях, аналогичных указанным в
5.1.3.1 для консолей.
5.1.5.2 Типоразмер кронштейна определяется в зависимости от размеров основных элементов его конструкции, устанавливаемых в технических условиях на изделия конкретных типов, и обозначается арабскими цифрами. Цифрой 1 нумеруют типоразмер с наименьшей длиной основных элементов конструкции.
5.1.5.3 Основные размеры кронштейнов и схемы приложения нагрузок показаны на
рисунках 25 -
37.
Значения размеров, допускаемых нагрузок и испытательных нагрузок устанавливают в технических условиях на конкретные типы изделий (см.
А.7) с соблюдением следующих условий:
а) допускаемая нагрузка должна быть не менее:
1) вертикальная - 2000 Н;
2) горизонтальная - 800 Н;
б) испытательная нагрузка должна составлять не менее 150% допускаемой нагрузки.
|
|
|
б) схема приложения нагрузок |
Q - вертикальная нагрузка; +P - горизонтальная нагрузка
в направлении к опоре; -P - горизонтальная нагрузка
в направлении от опоры
Рисунок 25 - Основные размеры кронштейнов без вертикальной
стойки с тягой, предназначенных для крепления проводов
питающих линий, питающих, усиливающих и/или экранирующих
проводов, и схема приложения нагрузок
|
|
|
б) схема приложения нагрузок |
Q - вертикальная нагрузка; +P - горизонтальная нагрузка
в направлении к опоре; -P - горизонтальная нагрузка
в направлении от опоры
Рисунок 26 - Основные размеры кронштейнов без вертикальной
стойки с подкосом, предназначенных для крепления проводов
питающих линий, питающих, усиливающих и/или экранирующих
проводов, и схема приложения нагрузок
|
|
|
б) схема приложения нагрузок |
Q - вертикальная нагрузка; +P - горизонтальная нагрузка
в направлении к опоре; -P - горизонтальная нагрузка
в направлении от опоры
Рисунок 27 - Основные размеры кронштейнов без вертикальной
стойки с одной балкой и тягой, предназначенных для крепления
неизолированных и/или защищенных проводов воздушных линий
электропередачи, и схема приложения нагрузок
|
|
|
б) схема приложения нагрузок |
Q - вертикальная нагрузка; +P - горизонтальная нагрузка
в направлении к опоре; -P - горизонтальная нагрузка
в направлении от опоры
Рисунок 28 - Основные размеры кронштейнов без вертикальной
стойки с двумя балками, тягой и подкосом, предназначенных
для крепления неизолированных проводов воздушных линий
электропередачи, и схема приложения нагрузок
|
|
|
б) схема приложения нагрузок |
Q - вертикальная нагрузка; +P - горизонтальная нагрузка
в направлении к опоре; -P - горизонтальная нагрузка
в направлении от опоры
Рисунок 29 - Основные размеры кронштейнов без вертикальной
стойки с одной балкой и подкосом, предназначенных
для крепления защищенных проводов воздушных линий
электропередачи, и схема приложения нагрузок
|
|
|
б) схема приложения нагрузок |
Q - вертикальная нагрузка; +P - горизонтальная нагрузка
в направлении к опоре; -P - горизонтальная нагрузка
в направлении от опоры
Рисунок 30 - Основные размеры кронштейнов без вертикальной
стойки с подкосом, предназначенных для крепления самонесущих
изолированных проводов воздушных линий электропередачи,
и схема приложения нагрузок
| |
| б) схема приложения нагрузок |
Q - вертикальная нагрузка; P - горизонтальная нагрузка
Примечание - Размер Lгк нормируется для Г-образных, а размер Lтк - для Т-образных кронштейнов. Остальные размеры нормируются для всех кронштейнов.
Рисунок 31 - Основные размеры Г- и Т-образных кронштейнов
с вертикальной стойкой, предназначенных для крепления
проводов питающих линий, питающих, усиливающих и/или
экранирующих проводов на опоре, и схема приложения нагрузок
| | ИС МЕГАНОРМ: примечание. Текст абзаца дан в соответствии с официальным текстом документа. | |
Примечание - Неуказанные размеры и схемы приложения нагрузок аналогичны нормируемым для кронштейнов, показанных на
рисунках 29 а) и
б) и 32 а) и б).
Рисунок 32 - Основные размеры Г- и Т-образных кронштейнов
с вертикальной стойкой, предназначенных для крепления
проводов питающих линий, питающих, усиливающих
и/или экранирующих проводов или защищенных проводов
воздушных линий электропередачи на жесткой поперечине
|
а) основные размеры (вид сбоку) и схема приложения нагрузки |
|
б) основные размеры (вид сверху) |
Q - вертикальная нагрузка
Рисунок 33 - Основные размеры кронштейнов, предназначенных
для крепления однополюсных разъединителей на напряжение
3 и 25 кВ и трехполюсных разъединителей на напряжение
10 кВ, и схема приложения нагрузки
Примечание - Вид сбоку, неуказанные размеры и схема приложения нагрузки аналогичны нормируемым для кронштейнов, показанных на
рисунках 33 а) и
б).
Рисунок 34 - Основные размеры (вид сверху) кронштейнов,
предназначенных для крепления двух- и трехполюсных
разъединителей на напряжение 25 кВ
| |
а) вариант 1 - основной размер (вид сбоку) и схема приложения нагрузки | в) вариант 2 - основной размер (вид сбоку) и схема приложения нагрузки |
| |
б) вариант 1 - вид сверху | г) вариант 2 - вид сверху |
Q - вертикальная нагрузка
Примечание - Размеры, необходимые для обеспечения размерной совместимости с приводом, устанавливают в технических условиях на конкретные типы изделий.
Рисунок 35 - Основные размеры кронштейнов, предназначенных
для крепления двигательных приводов разъединителей
с горизонтальным валом
|
а) основные размеры (вид сбоку) и схема приложения нагрузки |
|
б) вид сверху |
Q - вертикальная нагрузка
Примечание - Размеры, необходимые для обеспечения размерной совместимости с приводом, устанавливают в технических условиях на конкретные типы изделий.
Рисунок 36 - Основные размеры кронштейнов, предназначенных
для крепления двигательных приводов разъединителей
с вертикальным валом
|
а) основные размеры (вид сбоку) и схема приложения нагрузки |
|
б) вид сверху |
Q - вертикальная нагрузка
Рисунок 37 - Основные размеры кронштейнов, предназначенных
для крепления ограничителей перенапряжений,
и схема приложения нагрузки
5.1.5.4 Относительный прогиб элементов конструкции кронштейна при приложении испытательной нагрузки не должен превышать 1/200 длины.
5.1.6 Частные конструктивные требования к узлам крепления
5.1.6.1 Основные размеры узлов крепления и схемы приложения нагрузок показаны на
рисунках 38 -
45.
Допускаемая нагрузка отдельных видов узлов крепления - в соответствии с
таблицей 1. Испытательная нагрузка узлов крепления должна составлять не менее 150% допускаемой нагрузки.
Значения размеров всех узлов крепления, а также допускаемую нагрузку узлов крепления, не указанных в таблице 1, устанавливают в технических условиях на конкретные типы изделий (см.
А.7).
Таблица 1
Допускаемая нагрузка отдельных видов узлов крепления
Виды узлов | Допускаемая нагрузка, кН, не менее |
вертикальная Q | горизонтальная P |
1 Опорные столики жестких поперечин и оголовки | а) сопрягаемых с одностоечными опорами | 30,0 | 2,2 |
б) сопрягаемых с двухстоечными опорами | 60,0 | 2,2 |
2 Узлы крепления фиксирующего троса | - | 10,0 |
3 Узлы крепления тяги и пяты консоли | 3,8 | 2,2 |
4 Узлы крепления анкеруемых проводов | | 3,6 |
5 Узлы крепления кронштейна | 7,0 | 4,0 |
<1> Для узлов крепления, предназначенных только для некомпенсированных анкеровок, допускается устанавливать в технических условиях на конкретные типы изделий. |
5.1.6.2 Относительный прогиб элементов конструкции узла крепления при приложении испытательной нагрузки не должен превышать 1/150 длины.
Q - вертикальная нагрузка; P - горизонтальная нагрузка
Рисунок 38 - Основные размеры опорных столиков жестких
поперечин, сопрягаемых с одностоечными опорами,
и схема приложения нагрузок
Примечание - Вид сбоку, неуказанные размеры и схема приложения нагрузки аналогичны нормируемым для узла крепления, показанного на
рисунках 38 а) и
б).
Рисунок 39 - Основные размеры (вид сверху) опорных столиков
жестких поперечин, сопрягаемых с двухстоечными опорами
Q - вертикальная нагрузка; P - горизонтальная нагрузка;
ВТ - уровень верхнего торца опоры
Рисунок 40 - Основные размеры оголовков, сопрягаемых
с одностоечными опорами, и схема приложения нагрузок
Примечание - Вид сбоку, неуказанные размеры и схема приложения нагрузок аналогичны нормируемым для узла крепления, показанного на
рисунках 40 а) и
б).
Рисунок 41 - Основные размеры (вид сверху) оголовков,
сопрягаемых с двухстоечными опорами
P - горизонтальная нагрузка
Рисунок 42 - Схема приложения нагрузки
к узлам крепления фиксирующего троса
| |
а) узел крепления тяги консоли на закладных деталях | б) узел крепления пяты консоли на закладных деталях |
|
в) узлы крепления тяги консоли и пяты консоли в обхват |
Q - вертикальная нагрузка; P - горизонтальная нагрузка
Примечание - Размеры в миллиметрах.
Рисунок 43 - Основные размеры узлов крепления тяги и пяты
консоли без удлинителя и схемы приложения нагрузок
Q - вертикальная нагрузка; P - горизонтальная нагрузка
Рисунок 44 - Основные размеры узлов крепления тяги и пяты
консоли с удлинителем и схемы приложения нагрузок
| |
а) на закладных деталях | б) в обхват |
Q - вертикальная нагрузка; P - горизонтальная нагрузка
Рисунок 45 - Схемы приложения нагрузок
к узлам крепления кронштейна
5.1.7 Требования к совместимости и взаимозаменяемости
5.1.7.1 Размеры изделий должны обеспечивать возможность сопряжения их непосредственно или через узлы крепления:
а) со стойками для опор железнодорожной контактной сети по
ГОСТ 19330 и/или элементами конструкции фиксирующих и/или консольных стоек двухпутных консолей и ригелей жестких поперечин по
ГОСТ 33797;
б) с изоляторами, имеющими сферические шарнирные соединения с размерами по
ГОСТ 27396, трубную резьбу с размерами по
ГОСТ 6357 или отверстия под штыри по
ГОСТ 1232;
в) с линейной арматурой железнодорожной контактной сети по
ГОСТ 12393;
Типы или отдельные типоразмеры сопрягаемых с изделиями элементов из указанных в
перечислениях а) -
г) - в соответствии с техническими условиями на изделия конкретных типов.
5.1.7.2 Сопряжения, указанные в
5.1.7.1, перечисление а), должны обеспечивать возможность свободного вращения консолей, фиксаторов и кронштейнов без вертикальной стойки относительно вертикальной оси. Механическая прочность сопряжения должна быть не меньше испытательной нагрузки изделия.
5.1.8 Требования надежности
5.1.8.1 Срок службы изделий должен быть не менее:
- всех изделий, кроме кронштейнов с балками из дерева и из полимерных материалов, - 70 лет;
- кронштейнов с балками из дерева и из полимерных материалов - 50 лет.
5.1.8.2 Критериями предельного состояния изделий являются:
- неустранимое в условиях эксплуатации изменение формы и/или размеров;
- механическое разрушение;
- уменьшение площади поперечного сечения элементов конструкции изделий, воспринимающих нагрузку, более чем на 20% от первоначальной;
- превышающие предельно допустимые в соответствии с техническими условиями на изделия конкретных типов размеры дефекты покрытий элементов конструкции изделий, выполненных из стали.
5.1.9 Требования стойкости к внешним воздействиям
5.1.9.1 По стойкости к воздействию климатических факторов внешней среды изделия должны соответствовать категории размещения 1 климатических исполнений по
ГОСТ 15150:
- содержащие элементы конструкции из сплавов на основе алюминия - климатического исполнения У;
- не содержащие элементов конструкции из сплавов на основе алюминия - климатических исполнений У или ХЛ категории размещения 1 по
ГОСТ 15150.
5.1.9.2 По стойкости к воздействию внешних механических воздействующих факторов изделия должны соответствовать группе М6 по
ГОСТ 30631.
5.1.10 Требования технологичности
Показатели технологичности изготовления изделий определяют по ГОСТ 14.201-83 (
разделы 1 -
3) и устанавливают в технических условиях на изделия конкретных типов.
5.2 Требования к сырью, материалам и покупным изделиям
5.2.1 Для изготовления элементов конструкции изделий, выполняемых из стали, используют:
а) для изделий климатического исполнения У по
ГОСТ 15150 - углеродистую сталь С245 по
ГОСТ 27772 или сталь марок:
1) Ст3пс5 по
ГОСТ 380 (для листового проката, кроме деталей с резьбой);
2) Ст3пс5 по
ГОСТ 535 (для фасонного проката и круга, кроме деталей с резьбой);
3) Ст3сп5 по
ГОСТ 380 (для деталей с резьбой);
Заготовки не должны иметь стыков.
5.2.2 Требования к маркам сплавов на основе алюминия - в соответствии с техническими условиями на изделия конкретных типов.
5.2.3 Для изготовления элементов конструкции изделий, выполняемых из дерева, используют несрощенные пиломатериалы отборного или 1-го сорта по ГОСТ 8486-86
(раздел 2) из хвойных пород древесины с пропиткой, соответствующей классу условий службы X по
ГОСТ 20022.2.
5.2.5 В составе конструкции изделий применяют крепежные изделия с диаметром резьбы до М12, изготовленные из нержавеющей стали, а с диаметром резьбы свыше М12 - из углеродистой стали с покрытием по
5.1.2.5:
В комплект поставки каждой партии изделий должен входить паспорт.
В остальном требования к комплектности устанавливают в технических условиях на изделия конкретных типов.
5.4.2 Маркировочная табличка должна содержать следующие сведения:
- наименование и товарный знак предприятия-изготовителя;
- условное обозначение изделия (однопутных консолей - по
4.2.4, двухпутных консолей - в соответствии с техническими условиями на изделия конкретных типов, фиксаторов - по
4.3.2, кронштейнов - по
4.4.8, узлов крепления - по
4.5.2);
- массу изделия;
- год и месяц изготовления;
- обозначение настоящего стандарта;
- обозначение технических условий на изделие конкретного типа.
5.5.1 Общие требования к упаковке изделий - по ГОСТ 23118-2019
(подраздел 5.10).
5.5.2 В остальном требования к упаковке устанавливают в технических условиях на изделия конкретных типов.
6 Требования безопасности и охраны окружающей среды
6.1 Безопасность изделий обеспечивается соблюдением конструктивных требований, требований к сырью, материалам и комплектующим изделиям, требований надежности и стойкости к внешним воздействиям по
разделу 5.
6.2 При производстве изделий, их испытаниях, хранении, транспортировании и эксплуатации (применении), а также при утилизации опасной в экологическом отношении продукции должны быть предусмотрены меры для предупреждения вреда окружающей природной среде, здоровью и генетическому фонду человека. Перечень этих мер устанавливают в технических условиях на изделия конкретных типов.
6.3 При утилизации изделий части конструкции разделяют по классам отходов и сдают на утилизацию.
7.1.1 Для контроля соответствия изделий требованиям настоящего стандарта и технических условий на изделия конкретных типов предусматривают:
- квалификационные испытания;
- приемо-сдаточные испытания;
- периодические испытания;
- типовые испытания.
Объем испытаний и проверок, подлежащих выполнению при квалификационных, приемо-сдаточных и периодических испытаниях, - в соответствии с
таблицей 2.
7.1.2 Объектом испытаний должны быть полностью собранные изделия.
Допускается в зависимости от конструкции изделий проводить испытания без установки отдельных сборочных единиц или деталей, функционально не влияющих на результат испытаний. Допустимость таких испытаний указывают в технических условиях на изделия конкретных типов.
7.1.3 Допускается по согласованию с потребителем результаты испытаний, полученные при периодических испытаниях по
строкам 2,
3 и
6 таблицы 2 на изделиях одного типа, распространять на другие типоисполнения того же изделия.
7.1.4 Выпуск изделий осуществляют на основании положительных результатов квалификационных (для вновь освоенных изделий), приемо-сдаточных и периодических испытаний.
Таблица 2
Объем испытаний и проверок изделий при квалификационных,
приемо-сдаточных и периодических испытаниях
Вид испытаний и проверок | Требования | Метод контроля | Необходимость выполнения при испытаниях | Количество изделий из партии, подвергаемых испытаниям |
квалификационных | приемо-сдаточных | периодических |
1 Внешний осмотр и контроль соответствия требованиям конструкторской документации | | | + | + | + | 100% |
2 Контроль соответствия требованиям к покрытиям | | | + | + | + | 3%, но не менее 3 шт. |
3 Контроль соответствия требованиям к сварным швам | | | + | + | + | 3%, но не менее 3 шт. |
4 Контроль соответствия требованиям технологичности | | | + | - | - | - |
5 Испытания на соответствие требованиям к механической прочности | | | + | - | + | не менее 2 шт. |
6 Испытания на соответствие требованиям стойкости к воздействию внешних механических воздействующих факторов | | | + | - | - | - |
<1> В части соответствия по размерам. <2> Радиографический или ультразвуковой методы. <3> Порядок контроля - в соответствии с техническими условиями на изделия конкретных типов. <4> В части соответствия требованиям стойкости к воздействию допускаемых и испытательных нагрузок. Примечание - Знак "+" означает, что испытание проводят, знак "-" означает, что испытание не проводят. |
7.1.5 Испытания всех видов проводят на основании программ и методик испытаний, разрабатываемых по
ГОСТ 33477.
Допустимость изменения указанной в
таблице 2 последовательности выполнения отдельных испытаний и проверок указывают в технических условиях на изделия конкретных типов.
7.1.6 Результаты перечисленных в
7.1.1 видов испытаний считают положительными, если положительный результат получен при каждой из приведенных в
таблице 2 проверок и при каждом виде контроля.
7.2 Квалификационные испытания
7.2.1 Квалификационные испытания проводят при приемке установочной (головной) серии после освоения технологического процесса производства изделий в целях установления готовности предприятия к производству изделий, отвечающих требованиям технических условий на изделия конкретных типов.
7.2.2 Для квалификационных испытаний отбирают методом "вслепую" по ГОСТ Р 50779.12-2021
(подраздел 5.4) один образец изделия.
Допускается засчитывать в качестве результатов квалификационных испытаний результаты приемочных испытаний опытного(ых) образца(ов) (опытных образцов) при выполнении следующих условий:
- опытный образец был изготовлен по технологии, предусмотренной для серийного производства;
- комиссией, назначенной для приемки результатов опытно-конструкторской работы, не были даны рекомендации по доработке конструкции изделия, требующие проведения дополнительных испытаний.
Если перечисленные условия не соблюдены и результаты приемочных испытаний опытного(ых) образца(ов) не могут быть засчитаны полностью, то допускается при соответствующем техническом обосновании засчитывать результаты отдельных проверок или испытаний, на результатах которых несоблюдение перечисленных условий не отражается.
7.3 Приемо-сдаточные испытания
7.3.1 Порядок проведения приемо-сдаточных испытаний и оценки их результатов - по ГОСТ 15.309-98
(раздел 7). При получении отрицательных результатов испытаний хотя бы по одному показателю изделие бракуют.
7.4 Периодические испытания
7.4.1 Периодические испытания следует проводить не реже чем один раз в три года. Испытания допускается не проводить, если документально подтверждено отсутствие рекламаций на изделия по причинам, связанным с дефектами конструкции или изготовления, а производство аттестовано по системе качества в соответствии с
ГОСТ Р ИСО 9001.
7.4.2 Периодические испытания проводят на одном образце изделия, отобранном методом "вслепую" по ГОСТ Р 50779.12-2021
(подраздел 5.4) из партии, изготовленной первой после истечения срока очередных периодических испытаний по
7.4.1, и выдержавшим приемо-сдаточные испытания.
| | ИС МЕГАНОРМ: примечание. В официальном тексте документа, видимо, допущена опечатка: имеется в виду разд. 7 ГОСТ 15.309-98, а не разд. 8. | |
7.4.3 Порядок проведения периодических испытаний и оценки их результатов - по ГОСТ 15.309-98
(раздел 8).
7.5.1 Типовые испытания проводят при изменении конструкции, применяемых материалов или технологии производства, если эти изменения могут оказать влияние на параметры и характеристики изделий.
7.5.2 Необходимость организации типовых испытаний и их объем при изменении конструкции, применяемых материалов или технологии производства определяет изготовитель.
Допускается распространять на подлежащее типовым испытаниям типоисполнение изделия положительные результаты типовых испытаний других аналогичных типоисполнений того же изделия.
8.1.1 Оборудование, используемое для испытаний, должно быть аттестовано по
ГОСТ Р 8.568 и проверено на работоспособность.
8.1.2 Все виды контроля проводят при нормальных значениях климатических факторов по ГОСТ 15150-69
(пункт 3.15).
8.1.3 Применяемые при проведении всех видов контроля средства измерений должны быть поверены (калиброваны) и иметь действующие свидетельства о поверке (калибровке) в соответствии с
[1].
8.2 Внешний осмотр и контроль соответствия требованиям конструкторской документации
8.2.1 Общие требования ко внешнему осмотру и контролю соответствия требованиям конструкторской документации - по ГОСТ 23118-2019
(раздел 7).
8.2.2 Линейные размеры изделий измеряют с помощью металлических линеек по
ГОСТ 427, металлических рулеток по
ГОСТ 7502 и штангенциркулей по
ГОСТ 166. Диаметры отверстий цилиндрической формы и несоосность таких отверстий контролируют с помощью гладких калибров-пробок по
ГОСТ 24851, внутренние размеры отверстий формы, отличающейся от цилиндрической, - с помощью индикаторных нутромеров по
ГОСТ 868, косину отверстий цилиндрической формы - с помощью гладких калибров-пробок по
ГОСТ 24851 и поверочного угольника по
ГОСТ 3749.
8.2.3 Параметр шероховатости поверхности измеряют с помощью контактного профилографа-профилометра по
ГОСТ 19300.
8.2.4 Соответствие требованиям
5.1.2.7 и
5.1.2.8 контролируют визуально.
8.2.5 Массу изделия измеряют однократным взвешиванием на весах по ГОСТ 14004 класса точности не выше 2.
8.2.6 Контроль соответствия требованиям к сырью, материалам и покупным изделиям проводят путем анализа конструкторской документации на изделие и сопроводительных документов на сырье, материалы и покупные изделия. В необходимых случаях дополнительно анализируют протоколы испытания сырья, материалов или покупных изделий на соответствие нормативным документам, а при отсутствии нормативных документов - технической документации.
8.2.7 Результаты внешнего осмотра и контроля соответствия требованиям конструкторской документации считают положительными при выполнении следующих условий:
- линейные размеры, в том числе параметр шероховатости поверхности, и масса изделий соответствуют установленным в конструкторской документации;
8.3 Испытания на соответствие требованиям к механической прочности
8.3.1 Общие требования и подготовка
8.3.1.1 Образец изделия, подлежащий испытанию, собирают в соответствии с
7.1.2 и конструкторской документацией. У изделий, имеющих в составе конструкции элементы для регулировки длины, испытание выполняют дважды - первый раз при минимально возможной, а второй раз - при максимально возможной длине.
8.3.1.2 Образец изделия размещают на испытательном стенде и закрепляют в рабочем положении, предусмотренном конструкторской документацией. Соблюдение требований к рабочему положению контролируют с помощью металлических линеек по
ГОСТ 427, металлических рулеток по
ГОСТ 7502, строительного уровня по
ГОСТ Р 58514 и строительного отвеса по
ГОСТ Р 58513.
Образцы изделий, для которых конструкторской документацией предусмотрено несколько рабочих положений, при квалификационных испытаниях испытывают последовательно во всех рабочих положениях, а при периодических - в одном из рабочих положений, наихудшем с точки зрения стойкости к механической нагрузке.
Изделия, для которых в соответствии с
5.1.3.3,
5.1.4.3,
5.1.5.3 или
5.1.6.1 нормирована только горизонтальная нагрузка, допускается испытывать в положении, отличающемся от предусмотренного конструкторской документацией на 90°. В этом случае горизонтальную нагрузку заменяют вертикальной.
8.3.1.3 Для измерения абсолютного прогиба используют механический(ие) или цифровой(ые) прогибомер(ы) с пределами допускаемой абсолютной погрешности измерения линейного перемещения не более +/- 0,1 мм. Для фиксаторов при невозможности использования прогибомера допускается измерение металлическими линейками по
ГОСТ 427 или штангенциркулем по
ГОСТ 166. Допустимость такой замены указывают в технических условиях на фиксаторы конкретных типов.
Прогибомер(ы), линейки и/или штангенциркули размещают в местах, в которых при приложении нагрузок ожидается наибольшая деформация.
8.3.1.4 Для контроля отсутствия отклонений направления нагрузки от горизонтали и вертикали используют строительный(ые) уровень(ни) по
ГОСТ Р 58514 и строительный отвес по
ГОСТ Р 58513 соответственно.
8.3.1.5 Для измерения нагрузок используют динамометры по
ГОСТ 13837 с относительной погрешностью не выше 2,0%.
8.3.2 Проведение испытания
8.3.2.1 Испытание консоли выполняют в следующей последовательности:
а) включают прогибомер(ы) и выполняют его (их) настройку в соответствии с руководством по эксплуатации;
б) прикладывают вертикальную Q и горизонтальную P нагрузки, составляющие (33 +/- 5)% допускаемых;
в) выдерживают от 1 до 2 мин с момента прекращения развития деформаций элементов конструкции образца, определяемого визуально и по показаниям прогибомера(ов);
г) увеличивают нагрузки до (66 +/- 5)% допускаемых, после чего повторяют действия по
перечислению в);
д) увеличивают нагрузки до 100
+2% допускаемых, после чего повторяют действия по
перечислению в);
е) отсчитывают показания прогибомера(ов), после чего снижают нагрузки до нуля и оценивают отсутствие остаточных деформаций, при отсутствии остаточных деформаций переходят к действиям по перечислению ж);
ж) прикладывают нагрузки, составляющие 100
+2% допускаемых и увеличивают их ступенями, соответствующими 25
+/-2% допускаемых, после каждого увеличения повторяя действия по
перечислению в), до тех пор, пока нагрузки не составят 150
+2% допускаемых;
и) отсчитывают показания прогибомера(ов), после чего снижают нагрузки до нуля и оценивают отсутствие остаточных деформаций, при отсутствии остаточных деформаций переходят к действиям по перечислению к);
к) отключают прогибомер(ы) и снимают их;
л) образец снимают с испытательного стенда, разбирают, повторно осматривают и контролируют по
8.2.2.
8.3.2.2 Испытание фиксатора выполняют в следующей последовательности:
а) включают прогибомер(ы) и выполняют его (их) настройку в соответствии с руководством по эксплуатации (кроме случаев, когда в соответствии с
8.3.1.3 допустима замена прогибомера(ов) линейками и/или штангенциркулями);
б) прикладывают горизонтальную нагрузку P или Pд (для прямых фиксаторов, гибких фиксаторов и фиксаторов ромбовидной подвески - в направлении от опоры, для обратных фиксаторов - в направлении к опоре), составляющую (33 +/- 5)% допускаемой;
в) выдерживают от 1 до 2 мин с момента прекращения развития деформаций элементов конструкции образца, определяемого визуально и по показаниям прогибомера(ов) или с помощью линейки и/или штангенциркуля;
г) увеличивают нагрузку до (66 +/- 5)% допускаемой, после чего повторяют действия по
перечислению в);
д) увеличивают нагрузку до 100
+2% допускаемой, после чего повторяют действия по
перечислению в);
е) отсчитывают показания прогибомера(ов) или линейки и/или штангенциркуля, после чего снижают нагрузку до нуля и оценивают отсутствие остаточных деформаций, при отсутствии остаточных деформаций переходят к действиям по перечислению ж);
ж) переходят к выполнению действий для фиксаторов ромбовидной подвески - по перечислению и), для всех остальных фиксаторов - по
перечислению л);
и) прикладывают горизонтальную нагрузку P, составляющую (33 +/- 5)% допускаемой в направлении к опоре;
к) повторяют действия по
перечислениям в) -
е), после чего переходят к выполнению действий по перечислению л);
л) прикладывают горизонтальную нагрузку
P или
Pд (для прямых фиксаторов, гибких фиксаторов и фиксаторов ромбовидной подвески - в направлении от опоры, для обратных фиксаторов - в направлении к опоре), составляющую 100
+2% допускаемой, и увеличивают ее ступенями, соответствующими 25
+/-2% допускаемой, после каждого увеличения повторяя действия по
перечислению в), до тех пор, пока нагрузка не составит 150
+2% допускаемой;
м) отсчитывают показания прогибомера(ов) или линейки и/или штангенциркуля, после чего снижают нагрузку до нуля и оценивают отсутствие остаточных деформаций, при отсутствии остаточных деформаций переходят к действиям по перечислению н);
н) переходят к выполнению действий для фиксаторов ромбовидной подвески - по перечислению п), для всех остальных фиксаторов - по
перечислению с);
п) прикладывают горизонтальную нагрузку
P в направлении к опоре, составляющую 100
+2% допускаемой, и увеличивают ее ступенями, соответствующими 25
+/-2% допускаемой, после каждого увеличения повторяя действия по
перечислению в), до тех пор, пока нагрузка не составит 150
+2% допускаемой;
р) отсчитывают показания прогибомера(ов) или линейки и/или штангенциркуля, после чего снижают нагрузку до нуля и оценивают отсутствие остаточных деформаций, при отсутствии остаточных деформаций переходят к действиям по перечислению с);
с) отключают прогибомер(ы) и снимают их;
т) образец снимают с испытательного стенда, разбирают, повторно осматривают и контролируют по
8.2.2.
8.3.2.3 Испытание кронштейна или узла крепления выполняют в следующей последовательности:
а) включают прогибомер(ы) и выполняют его (их) настройку в соответствии с руководством по эксплуатации;
б) прикладывают вертикальную(ые) Q и/или горизонтальную(ые) P нагрузку(и), составляющие (33 +/- 5)% допускаемой(ых);
в) выдерживают от 1 до 2 мин с момента прекращения развития деформаций элементов конструкции образца, определяемого визуально и по показаниям прогибомера(ов);
г) увеличивают нагрузку(и) до (66 +/- 5)% допускаемой(ых), после чего повторяют действия по
перечислению в);
д) увеличивают нагрузку(и) до 100
+2% допускаемой(ых), после чего повторяют действия по
перечислению в);
е) отсчитывают показания прогибомера(ов), после чего снижают нагрузку до нуля и оценивают отсутствие остаточных деформаций, при отсутствии остаточных деформаций переходят к действиям по перечислению ж);
ж) прикладывают вертикальную(ые)
Q и/или горизонтальную(ые)
P нагрузку(и), составляющую(ие) 100
+2% допускаемой(ых), и увеличивают ее (их) ступенями, соответствующими 25
+/-2% допускаемой(ых), после каждого увеличения повторяя действия по
перечислению в), до тех пор, пока нагрузка(и) не составит(ят) 150
+2% допускаемой(ых);
и) отсчитывают показания прогибомера(ов), после чего снижают нагрузку(и) до нуля и оценивают отсутствие остаточных деформаций, при отсутствии остаточных деформаций переходят к действиям по перечислению к);
к) отключают прогибомер(ы) и снимают их;
л) образец снимают с испытательного стенда, разбирают, повторно осматривают и контролируют по
8.2.2.
8.3.3 Обработка результатов измерений, оценка результата испытания, заключительные действия
8.3.3.1 Относительный прогиб a элементов конструкции изделия вычисляют по формуле

, (1)
l - длина элемента конструкции изделия, у которого зафиксировано максимальное из абсолютных значений прогиба, мм.
8.3.3.2 Результаты испытания считают положительными при выполнении следующих условий:
- после снятия нагрузок отсутствуют остаточные деформации;
- результаты повторного осмотра и контроля по
8.2.2 положительны.
8.3.3.3 Образцы изделий, подвергавшиеся испытаниям, утилизируют.
8.4 Испытания на соответствие требованиям стойкости к воздействию внешних механических воздействующих факторов
8.4.1 Испытание на стойкость к воздействию внешних механических факторов проводят по ГОСТ 20.57.406-81 (
подраздел 2.3, метод 102-1).
8.4.2 После испытаний по
8.4.1 образец изделия повторно испытывают на соответствие по механической прочности по
8.3.
8.4.3 Результат испытаний считают положительным при положительном результате испытаний по
8.3.
9 Транспортирование и хранение
9.1 Транспортирование
9.1.1 Условия транспортирования:
а) в части воздействия климатических факторов - по группе условий транспортирования 5 по
ГОСТ 15150;
б) в части воздействия механических факторов - Ж по
ГОСТ 23216.
9.1.2 Изделия транспортируют железнодорожным транспортом или транспортом другого вида в соответствии с правилами перевозки груза или нормативными документами и технической документацией, действующими на транспорте данного вида.
9.1.3 Транспортные пакеты укладывают не более чем в четыре ряда. Количество рядов без промежуточных прокладок - не более двух.
9.2 Хранение
Условия хранения в части воздействия климатических факторов - по группе условий хранения 4 по
ГОСТ 15150. При складировании должна быть обеспечена видимость транспортной маркировки.
10 Указания по эксплуатации
10.1 Использование по назначению
10.1.1 Типоразмеры изделия выбирают в соответствии с таблицами применения, приводимыми в технических условиях на изделия конкретных типов по результатам механического расчета.
10.1.2 Климатическое исполнение изделий выбирают в зависимости от расчетной температуры в районе строительства, за которую принимают температуру наружного воздуха наиболее холодных суток обеспеченностью 0,98, определенную согласно
СП 131.13330:
- если расчетная температура в районе строительства минус 45 °C и выше, то выбирают изделия климатического исполнения У;
- если расчетная температура в районе строительства ниже минус 45 °C, то выбирают изделия климатического исполнения ХЛ.
10.2 Порядок эксплуатации
10.2.1 Общие указания
10.2.1.1 В целях поддержания работоспособного состояния на стадии эксплуатации изделия подвергают следующим видам технического обслуживания:
- осмотру;
- контролю состояния.
10.2.1.2 Организационные и технические меры по обеспечению безопасности работ в электроустановках при каждом из указанных в
10.2.1.1 видов технического обслуживания выполняют в соответствии с
[2].
10.2.1.3 В технических условиях на изделия конкретных типов, исходя из их конструктивных особенностей, допускается предусматривать дополнительные технологические операции, испытания и виды контроля.
10.2.2 Осмотр
В ходе осмотра убеждаются в отсутствии видимых изменений формы и отклонений от проектного положения изделий в целом и их отдельных частей.
10.2.3 Контроль состояния
10.2.3.1 В ходе контроля состояния определяют остаточную площадь сечения элементов конструкции изделий в местах наибольшего коррозионного износа путем измерения толщины стенок конструктивных элементов штангенциркулем по
ГОСТ 166 или ультразвуковым толщиномером с пределом измерения до 150 мм и абсолютной погрешностью не выше 0,1 мм.
10.2.3.2 Площадь, полученную при измерении, сравнивают с предельно допустимой, которая составляет 80%.
Изделия, у которых остаточная площадь сечения элементов конструкции меньше предельно допустимой, заменяют.
Изготовитель должен гарантировать соответствие изделий требованиям настоящего стандарта при соблюдении условий транспортирования, хранения, монтажа и эксплуатации.
Гарантийный срок эксплуатации изделий должен быть не менее пяти лет со дня ввода их в эксплуатацию.
(обязательное)
ИНФОРМАЦИЯ, ПОДЛЕЖАЩАЯ ИЗЛОЖЕНИЮ В ТЕХНИЧЕСКИХ УСЛОВИЯХ
НА ИЗДЕЛИЯ КОНКРЕТНЫХ ТИПОВ
А.1 Порядок разработки, построения, согласования, утверждения и актуализации технических условий - по
ГОСТ 2.114. В технических условиях приводят:
- информацию об изделиях в соответствии с
А.2 -
А.18 (во всех случаях);
- информацию, не предусмотренную А.2 -
А.18, но необходимую для корректного использования, содержания и ремонта изделия (по усмотрению разработчика и изготовителя).
А.2 Во вводной части технических условий приводят информацию по ГОСТ 2.114-2016
(подраздел 5.2). При указании области применения приводят:
а) классификационные признаки и условные обозначения изделий:
1) для консолей - по
4.2;
2) для фиксаторов - по
4.3;
3) для кронштейнов - по
4.4;
4) для узлов крепления - по
4.5;
б) расшифровку цифр, букв или их комбинаций, обозначающих дополнительные классификационные признаки изделия.
А.3 В пункте "Показатели назначения" подраздела "Основные параметры и характеристики" раздела "Технические требования" приводят информацию по
5.1.1.
А.4 В пункте "Требования надежности" подраздела "Основные параметры и характеристики" раздела "Технические требования" приводят информацию по
5.1.8.
А.5 В пункте "Требования стойкости к внешним воздействиям" подраздела "Основные параметры и характеристики" раздела "Технические требования" приводят информацию по
5.1.9.
А.6 В пункте "Требования технологичности" подраздела "Основные параметры и характеристики" раздела "Технические требования" приводят требования по
5.1.10.
А.7 В пункте "Конструктивные требования" подраздела "Основные параметры и характеристики" раздела "Технические требования" приводят требования:
1) таблицу типоразмеров по форме, приведенной в
таблице А.1;
2) сведения о допускаемых и испытательных нагрузках по
А.8;
3) сведения о типах или отдельных типоразмерах элементов, сопрягаемых с консолями, из указанных в
5.1.7.1;
б) для фиксаторов - по
5.1.2 и
5.1.4, в том числе:
1) таблицу типоразмеров по форме, приведенной в
таблице А.2;
2) сведения о допускаемых и испытательных нагрузках по
А.8;
3) сведения о типах или отдельных типоразмерах элементов, сопрягаемых с фиксаторами, из указанных в
5.1.7.1;
в) для кронштейнов - по
5.1.2 и
5.1.5, в том числе:
1) таблицу типоразмеров по форме, приведенной в
таблице А.3;
2) сведения о допускаемых и испытательных нагрузках по
А.8;
3) сведения о типах или отдельных типоразмерах элементов, сопрягаемых с кронштейнами, из указанных в
5.1.7.1;
Таблица А.1
Форма таблицы типоразмеров консолей
Номер типоразмера | Обозначение | | Масса, кг, не более | Вертикальная нагрузка <2> Q, Н, не менее | Горизонтальная нагрузка <2> P, Н, не менее | |
длина консоли Lк | | | допускаемая | испытательная | допускаемая | испытательная | | |
1 | | | | | | | | | | | |
2 | | | | | | | | | | | |
3 | | | | | | | | | | | |
и т.д. | | | | | | | | | | | |
Примечание - Столбцы "Дополнительные параметры" приводят при необходимости, определяемой разработчиком и/или изготовителем. Остальные столбцы приводят во всех случаях. |
Таблица А.2
Форма таблицы типоразмеров фиксаторов
Номер типоразмера | Обозначение | Основные размеры, мм | Масса, кг | Горизонтальная нагрузка на основной стержень <2> P, Н, не менее | Горизонтальная нагрузка на дополнительный стержень <2> Pд, Н, не менее | |
длина основного стержня <1> Lф, мм | длина дополнительного стержня <1> Lфд, мм | допускаемая | испытательная | допускаемая | испытательная | | |
1 | | | | | | | | | | |
2 | | | | | | | | | | |
3 | | | | | | | | | | |
и т.д. | | | | | | | | | | |
Примечание - Столбцы "Дополнительные параметры" приводят при необходимости, определяемой разработчиком и/или изготовителем. Остальные столбцы приводят во всех случаях. |
Таблица А.3
Форма таблицы типоразмеров кронштейнов
Номер типоразмера | Обозначение | Основные размеры, мм | Масса, кг | |
| | | | | |
1 | | | | | | | | |
2 | | | | | | | | |
3 | | | | | | | | |
и т.д. | | | | | | | | |
| | ИС МЕГАНОРМ: примечание. Текст абзаца дан в соответствии с официальным текстом документа. | |
|
<1> Количество и заголовки столбцов должны соответствовать номенклатуре основных размеров, нормированных для кронштейнов в 5.1.5.3 и показанных на рисунках 25 а), 26 а), 27 а), 28 а), 29 а), 30 а), 31 а), 32 а), 33 а) и б), 34, 35 а) и в), 36 а) и 37 а). Примечание - Столбцы "Дополнительные параметры" приводят при необходимости, определяемой разработчиком и/или изготовителем. Остальные столбцы приводят во всех случаях. |
А.8 При указании сведений о допускаемых и испытательных нагрузках руководствуются следующими правилами:
а) для консолей, фиксаторов и узлов крепления значения нагрузок приводят в таблицах типоразмеров;
б) для кронштейнов значения вертикальной испытательной и горизонтальной испытательной нагрузок приводят аналогично указанному в
перечислении а), а значения вертикальной допускаемой и горизонтальной допускаемой нагрузок приводят в виде диаграммы, оформляемой в соответствии с
[3] в прямоугольной системе координат и линейном масштабе, по оси ординат которой откладывают вертикальную нагрузку в ньютонах (обозначение "
Q" по
рисункам 25 -
31), по оси абсцисс в области положительных значений - горизонтальную нагрузку в ньютонах в направлении от опоры (обозначение "-
P" по
рисункам 25 -
31), а по оси абсцисс в области отрицательных значений - горизонтальную нагрузку в ньютонах в направлении к опоре (обозначение "+
P" по
рисункам 25 -
31).
А.9 В подразделе "Требования к покупным изделиям, сырью, материалам" раздела "Технические требования" приводят требования по
5.2.
А.10 В подразделе "Комплектность" раздела "Технические требования" приводят требования по
5.3.
А.11 В подразделе "Маркировка" раздела "Технические требования" приводят требования по
5.4.
А.12 В подразделе "Упаковка" раздела "Технические требования" приводят требования по
5.5.
А.13 В разделе "Требования безопасности" приводят требования по
6.1 и ГОСТ 2.114-2016
(подраздел 5.4).
А.14 В разделе "Требования охраны окружающей среды" приводят требования по
6.2 и ГОСТ 2.114-2016
(подраздел 5.5).
Дополнительно в технических условиях на фиксаторы указывают допустимость или отсутствие допустимости замены цифрового(ых) прогибомера(ов) металлическими линейками по
ГОСТ 427 и/или штангенциркулем по
ГОСТ 166 при измерении абсолютного прогиба.
А.17 В разделе "Указания по эксплуатации, в том числе требования хранения, транспортирования и утилизации" приводят:
- таблицы применения;
- перечни дополнительных технологических операций, испытаний и видов контроля (при наличии необходимости, определяемой по
10.2.1.1), а также технологию их выполнения.
Таблицы применения должны позволять выбрать изделия в зависимости:
- от плана пути (прямая, кривая);
- радиуса или диапазона значений радиуса кривой;
- габарита опоры по
5.1.3.1 с шагом не более 0,1 м;
- типа опоры [промежуточная (с прямым и обратным зигзагом), средней анкеровки, промежуточная при ромбовидной подвеске, переходная на неизолирующем сопряжении, переходная на изолирующем сопряжении].
А.19 В приложениях к техническим условиям при необходимости приводят требования, рекомендации и/или справочную информацию по ГОСТ 2.114-2016 (
подпункт 5.3.2.1 и
пункт 5.7.9).
| Федеральный закон от 26 июня 2008 г. N 102-ФЗ "Об обеспечении единства измерений" |
| Правила по охране труда при эксплуатации электроустановок (утверждены приказом Министерства труда и социальной защиты Российской Федерации от 15 декабря 2020 г. N 903н) |
| Р 50-77-88 | Единая система конструкторской документации. Правила выполнения диаграмм |
УДК 621.316.1:006.354 | |
Ключевые слова: консоль, фиксатор, кронштейн, бугель, узел крепления, (железнодорожная) контактная сеть, (железнодорожная) контактная подвеска, анкеровка, масса, габариты, прогиб, совместимость, взаимозаменяемость, надежность, стойкость к внешним воздействиям, безопасность, испытания, методы контроля, виды испытаний |