Скачать ГОСТ Р 54523-2011 Портовые гидротехнические сооружения. Правила обследования и мониторинга технического состоянияДата актуализации: 01.01.2021
|
| Обозначение: | ГОСТ Р 54523-2011 |
| Обозначение англ: | GOST R 54523-2011 |
| Статус: | введен впервые |
| Название рус.: | Портовые гидротехнические сооружения. Правила обследования и мониторинга технического состояния |
| Название англ.: | Port hydraulic structures. Rules of inspection and monitoring of the technical condition |
| Дата добавления в базу: | 01.09.2013 |
| Дата актуализации: | 01.01.2021 |
| Дата введения: | 01.03.2012 |
| Область применения: | Стандарт предназначени для применения в строительстве и эксплуатации при проведении обследований и мониторинга технического состояния портовых гидротехнических сооружений, расположенных на акваториях портов и судоремонтных заводов, при разработке заданий на проектирование, обследование и мониторинг сооружений в процессе их эксплуатации.. |
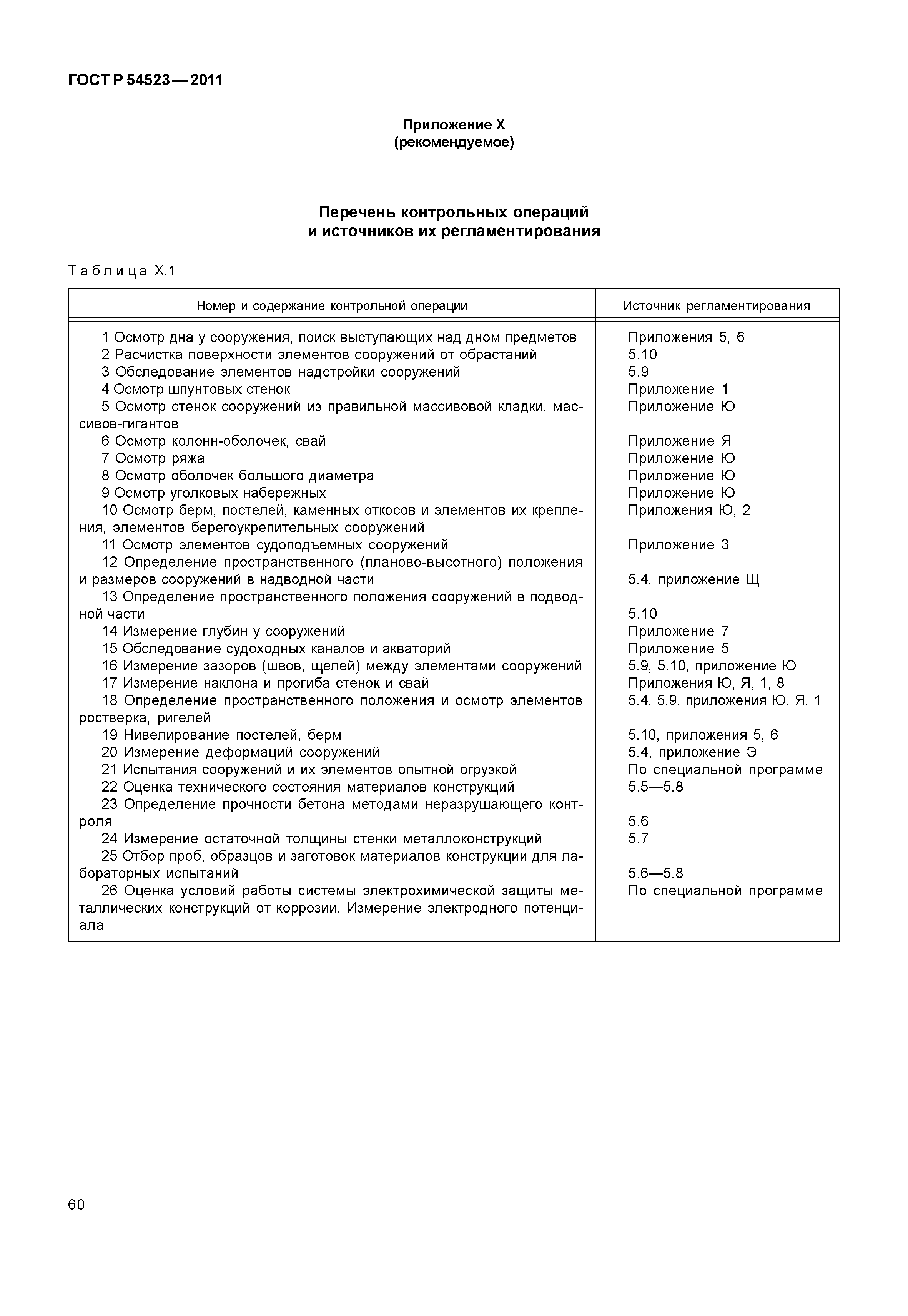
| Оглавление: | 1 Область применения 2 Нормативные ссылки 3 Термины и определения 3.1 Безопасность портовых гидротехнических сооружений 3.2 Портовая гидротехника и сооружения 3.3 Причальные сооружения 3.4 Оградительные сооружения 3.5 Берегоукрепительные и берегозащитные сооружения 3.6 Судоподъемные сооружения 3.7 Водные пути и акватории 3.8 Элементы портовых гидротехнических сооружений 3.9 Техническое состояние сооружений 3.10 Эксплуатация сооружений 3.11 Техническое обслуживание сооружений 4 Общие правила проведения обследования и мониторинга технического состояния сооружений 5 Обследование сооружений 5.1 Основные положения 5.2 Определение объема контроля при обследовании сооружений 5.3 Методы контроля технического состояния сооружений при их обследовании 5.4 Контроль планово-высотного положения сооружений 5.5 Оценка технического состояния материалов конструкций 5.6 Бетонные и железобетонные конструкции 5.7 Металлические конструкции 5.8 Деревянные конструкции 5.9 Надводная часть сооружений 5.10 Подводная часть сооружений 5.11 Грунты оснований и засыпки, заглубленные элементы сооружений 5.12 Обработка и анализ результатов, оценка технического состояния и определение физического износа сооружения 6 Мониторинг технического состояния сооружений 6.1 Основные положения 6.2 Режим эксплуатации сооружений 6.3 Регулярные технические осмотры 6.4 Периодические технические осмотры 6.5 Мониторинг технического состояния крановых путей 7 Состав, содержание и требования к оформлению результатов обследования сооружений 7.1 Основные положения 7.2 Состав и содержание документации по обследованию сооружений 7.3 Требования к оформлению документации по обследованию сооружений Приложение А (справочное) Классификатор портовых гидротехнических сооружений и их элементов См. вкладку Приложение Б (обязательное) Положение о порядке составления и ведения эксплуатационно-технической документации по техническому контролю портовых гидротехнических сооружений Приложение В (обязательное) Форма акта освидетельствования портового гидротехнического сооружения Приложение Г (обязательное) Форма свидетельства о годности портового гидротехнического сооружения к эксплуатации Приложение Д (обязательное) Форма извещения о необходимости выполнения ремонтных работ, изменения режима эксплуатации, вывода портового гидротехнического сооружения из эксплуатации Приложение Е (обязательное) Форма заключения о техническом состоянии портового гидротехнического сооружения Приложение Ж (обязательное) Форма декларации соответствия портового гидротехнического сооружения установленным требованиям Приложение И (обязательное) Положение о паспорте портового гидротехнического сооружения . Приложение К (обязательное) Форма титульного листа паспорта портового гидротехнического сооружения Приложение Л (обязательное) Форма паспорта портового гидротехнического сооружения Приложение М (обязательное) Положение о журнале технического контроля за состоянием и режимом эксплуатации портового гидротехнического сооружения Приложение Н (обязательное) Форма титульного листа журнала технического контроля за состоянием и режимом эксплуатации портового гидротехнического сооружения Приложение П (обязательное) Форма страниц журнала технического контроля за состоянием и режимом эксплуатации портового гидротехнического сооружения Приложение Р (обязательное) Содержание справочника допускаемых нагрузок на причал Приложение С (рекомендуемое) Форма алгоритма контроля Приложение Т (рекомендуемое) Форма ведомости дефектов Приложение У (рекомендуемое) Форма заключения о техническом состоянии портового гидротехнического сооружения по результатам обследования Приложение Ф (рекомендуемое) Перечень контролируемых признаков технического состояния элементов сооружений и контрольных операций Приложение Х (рекомендуемое) Перечень контрольных операций и источников их регламентирования Приложение Ц (рекомендуемое) Нормируемые виды дефектов элементов сооружений и показатели их технического состояния Приложение Ш (рекомендуемое) Коэффициент весомости групп элементов в составе сооружений . Приложение Щ (рекомендуемое) Планово-высотное обоснование работ Приложение Э (рекомендуемое) Наблюдения за местными деформациями Приложение Ю (рекомендуемое) Обследование сооружений гравитационного типа Приложение Я (рекомендуемое) Обследование сооружений свайной конструкции Приложение 1 (рекомендуемое) Обследование сооружений типа больверк Приложение 2 (рекомендуемое) Обследование берегоукрепительных сооружений Приложение 3 (рекомендуемое) Обследование судоподъемных сооружений Приложение 4 (рекомендуемое) Обследование рейдовых причалов Приложение 5 (рекомендуемое) Обследование дна судоходных каналов и портовых акваторий Приложение 6 (рекомендуемое) Обследование дна у сооружений Приложение 7 (рекомендуемое) Измерение глубин у сооружений Приложение 8 (рекомендуемое) Построение совмещенных профилей сооружения Приложение 9 (рекомендуемое) Допуски на отклонения крановых рельсов от проектного положения Приложение 10 (рекомендуемое) Дополнительная проверка рельсов на разновысотность Приложение 11 (рекомендуемое) Форма таблицы результатов определения контролируемых параметров кранового пути Приложение 12 (рекомендуемое) Графическое оформление результатов геодезических работ Библиография |
| Разработан: | Ассоциация экспертных организаций по техническому контролю портовых гидротехнических сооружений Морпортэкспертиза ООО Балтморпроект ООО Технический центр Гарант ООО НПО Гидротекс ООО Научно-производственная фирма ГТ Инспект ООО Морское строительство и технологии ООО Фертоинг ООО Дальневосточный научно-исследовательский, проектно-изыскательский и конструкторско-технологический институт морского флота ЗАО Научно-проектный институт Исследование мостов и других инженерных сооружений ЗАО МИДО ОАО Проектно-изыскательский и научно-исследовательский институт морского транспорта Союзморниипроект ОАО Научно-исследовательский и проектно-конструкторский институт по развитию и эксплуатации флота |
| Утверждён: | 25.11.2011 Федеральное агентство по техническому регулированию и метрологии (600-ст) |
| Издан: | Стандартинформ (2012 г. ) |
| Нормативные ссылки: |
|














































































































