Скачать ГОСТ 31799-2012 Мясо и субпродукты, замороженные в блоках, для производства продуктов питания детей раннего возраста. Технические условияДата актуализации: 01.01.2021 ГОСТ 31799-2012
Мясо и субпродукты, замороженные в блоках, для производства продуктов питания детей раннего возраста. Технические условия| Обозначение: | ГОСТ 31799-2012 | | Обозначение англ: | GOST 31799-2012 | | Статус: | введен впервые | | Название рус.: | Мясо и субпродукты, замороженные в блоках, для производства продуктов питания детей раннего возраста. Технические условия | | Название англ.: | Meat and meat by-products, frozen in blocks, for production of child nutrition foods. Technical specifications | | Дата добавления в базу: | 01.10.2014 | | Дата актуализации: | 01.01.2021 | | Дата введения: | 01.07.2013 | | Область применения: | Стандарт распространяется на мясо жилованное и субпродукты обработанные, замороженные в блоках, предназначенные для реализации в торговле, сети общественного питания и промышленной переработки на продукты питания детей раннего возраста. | | Оглавление: | 1 Область применения 2 Нормативные ссылки 3 Термины и определения 4 Классификация 5 Технические требования 6 Правила приемки 7 Методы контроля 8 Транспортирование и хранение Приложение А (справочное) Информационные сведения о пищевой и энергетической ценности 100 г продукта Библиография | | Разработан: | ГНУ ВНИИМП им. В.М. Горбатова Россельхозакадемии
| | Утверждён: | 15.11.2012 Межгосударственный Совет по стандартизации, метрологии и сертификации (Inter-Governmental Council on Standardization, Metrology, and Certification 42) 29.11.2012 Федеральное агентство по техническому регулированию и метрологии (1473-ст)
| | Издан: | Стандартинформ (2013 г. )
| | Список изменений: | | | Нормативные ссылки: | |
            
Текстовое изменение Поправка от 20.06.2019

Текстовое изменение Правка к ИУС 6-2019
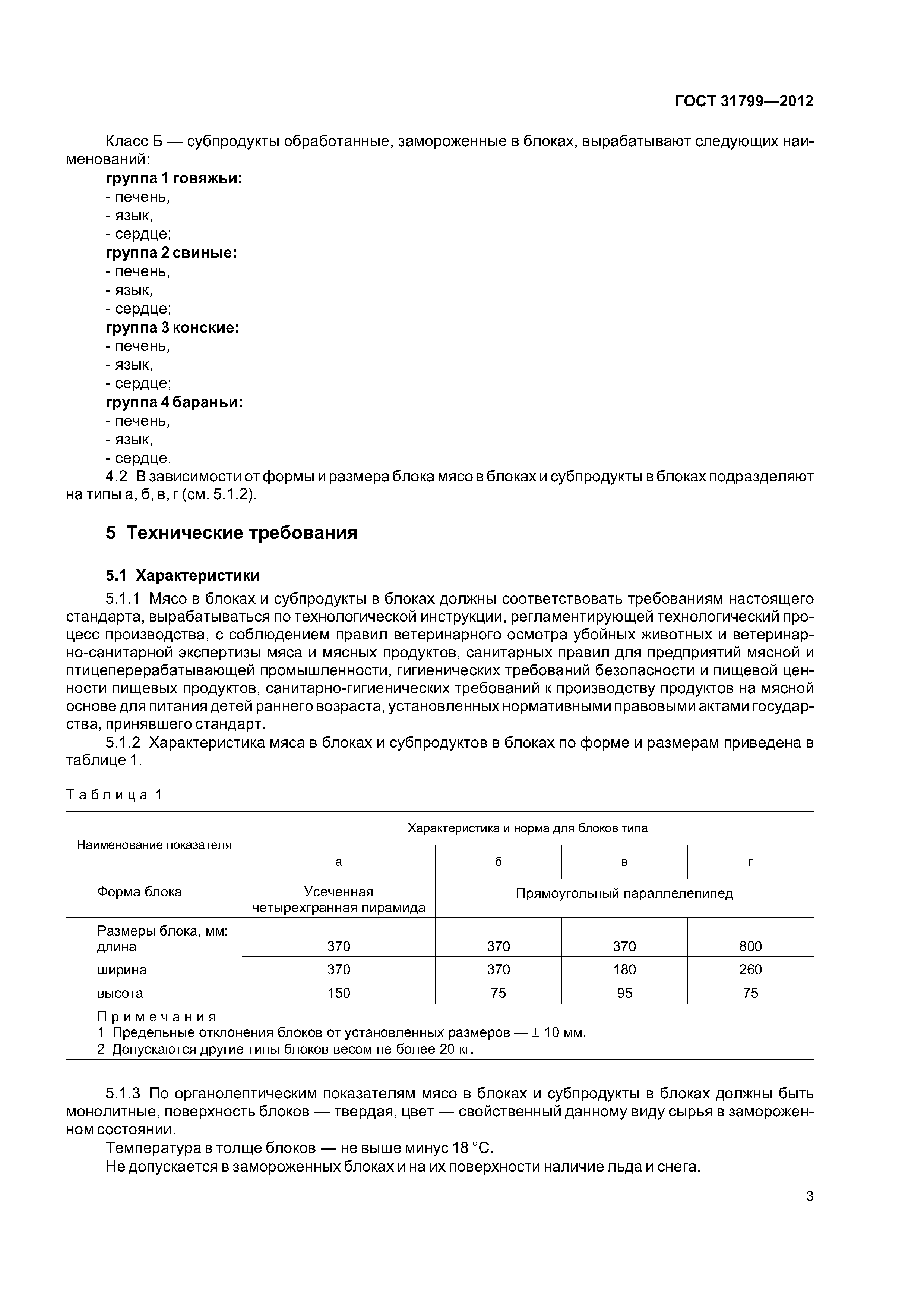
|