Скачать ГОСТ 33920-2016 Казеинаты пищевые. Технические условия

Дата актуализации: 01.01.2021

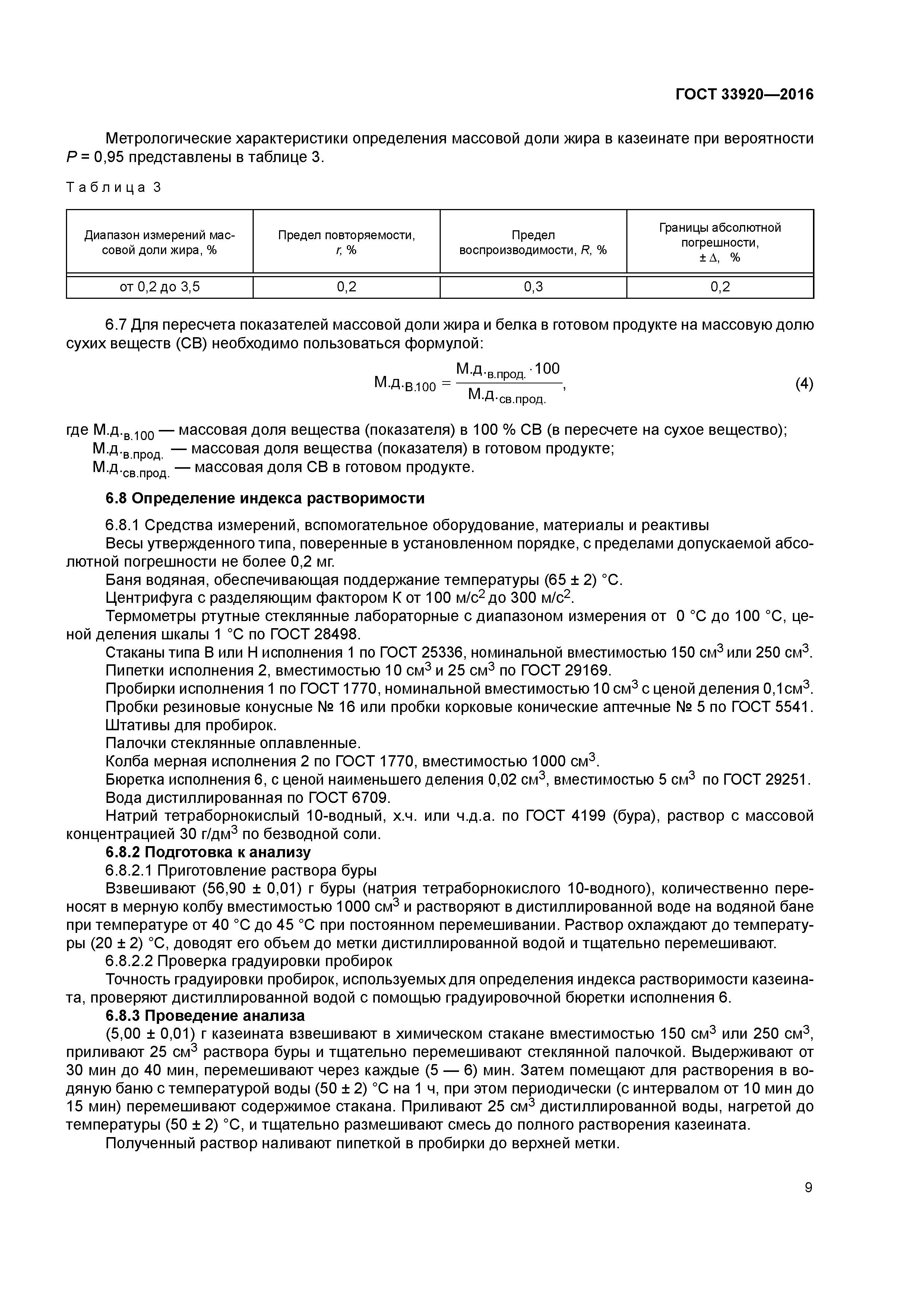
ГОСТ 33920-2016

Казеинаты пищевые. Технические условия

Обозначение: ГОСТ 33920-2016
Обозначение англ: GOST 33920-2016
Статус:введен впервые
Название рус.:Казеинаты пищевые. Технические условия
Название англ.:Food caseinates. Specifications
Дата добавления в базу:01.02.2017
Дата актуализации:01.01.2021
Дата введения:01.09.2017
Область применения:Стандарт распространяется на казеинаты пищевые, вырабатываемые из обезжиренного молока, кислотного или сычужного казеина (сухого, свежеосажденного и казеина-сырца) и предназначенные для использования в производстве пищевых продуктов.
Оглавление:1 Область применения
2 Нормативные ссылки
3 Термины и определения
4 Технические требования
5 Правила приемки
6 Методы контроля
7 Транспортирование и хранение
Приложение А (справочное) Информационные данные о пищевой и энергетической ценности 100 г казеината пищевого
Приложение Б (справочное)
Библиография
Разработан: ФГБНУ ВНИМИ
Утверждён:25.10.2016 Межгосударственный Совет по стандартизации, метрологии и сертификации (Inter-Governmental Council on Standardization, Metrology, and Certification 92-П)
28.11.2016 Федеральное агентство по техническому регулированию и метрологии (1825-ст)
Издан: Стандартинформ (2016 г. )
Нормативные ссылки:
ГОСТ 33920-2016ГОСТ 33920-2016ГОСТ 33920-2016ГОСТ 33920-2016ГОСТ 33920-2016ГОСТ 33920-2016ГОСТ 33920-2016ГОСТ 33920-2016ГОСТ 33920-2016ГОСТ 33920-2016ГОСТ 33920-2016ГОСТ 33920-2016ГОСТ 33920-2016ГОСТ 33920-2016ГОСТ 33920-2016ГОСТ 33920-2016ГОСТ 33920-2016ГОСТ 33920-2016ГОСТ 33920-2016ГОСТ 33920-2016