Скачать ГОСТ 16264.0-2018 Машины электрические малой мощности. Двигатели. Общие технические условия

Дата актуализации: 01.01.2021

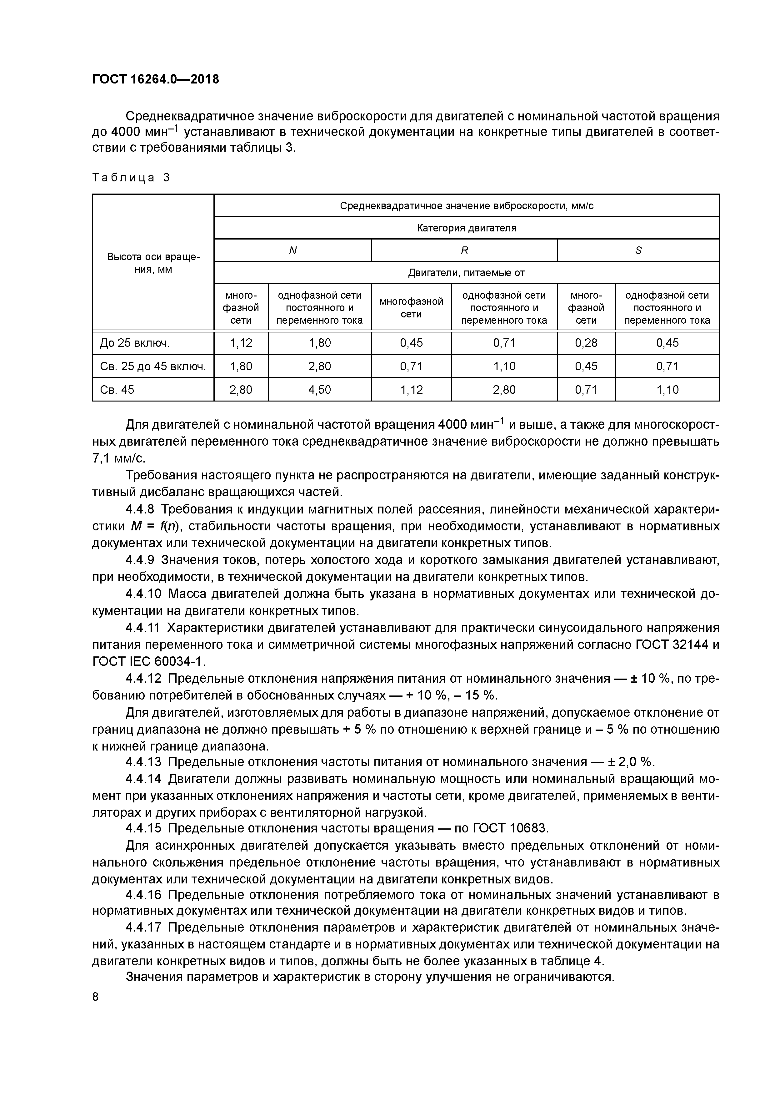
ГОСТ 16264.0-2018

Машины электрические малой мощности. Двигатели. Общие технические условия

Обозначение: ГОСТ 16264.0-2018
Обозначение англ: GOST 16264.0-2018
Статус:взамен
Название рус.:Машины электрические малой мощности. Двигатели. Общие технические условия
Название англ.:Small power electric machines. Motors. General specifications
Дата добавления в базу:01.02.2020
Дата актуализации:01.01.2021
Дата введения:01.01.2020
Область применения:Стандарт распространяется на электродвигатели номинальной мощностью до 1000 Вт: асинхронные, синхронные, коллекторные переменного тока и универсальные, коллекторные и бесконтактные постоянного тока и шаговые с номинальным моментом до 10,0 Н*м, предназначенные для работы от сети постоянного или переменного тока частотой 50, 60 или 400 Гц, изготовляемые для нужд народного хозяйства и экспорта в страны с умеренным и тропическим климатом. Виды климатического исполнения: для двигателей бытового назначения — УХЛ4; О4; У1.1 и Т1.1 по ГОСТ 15150; для двигателей промышленного назначения — У2, У3, УХЛ3, Т2, Т3, УХЛ4 и О4 по ГОСТ 15150 и ГОСТ 15543. Стандарт не распространяется на двигатели: взрывозащищенные, электрифицированных игрушек, линейные, подвижного транспорта, а также асинхронные трехфазные серий 4А, 4АМ, АИ.
Оглавление:1 Область применения
2 Нормативные ссылки
3 Типы, основные параметры и размеры
4 Технические требования
5 Требования безопасности
6 Комплектность
7 Правила приемки
8 Методы испытаний
9 Маркировка, упаковка, транспортирование и хранение
10 Указания по эксплуатации
11 Гарантии изготовителя
Разработан: ВНИИНМАШ
ФГБОУ ВО НИУ МЭИ
Утверждён:29.11.2018 Межгосударственный Совет по стандартизации, метрологии и сертификации (Inter-Governmental Council on Standardization, Metrology, and Certification 54)
03.07.2019 Федеральное агентство по техническому регулированию и метрологии (354-ст)
Издан: Стандартинформ (2019 г. )
Заменяет собой:
Нормативные ссылки:
ГОСТ 16264.0-2018ГОСТ 16264.0-2018ГОСТ 16264.0-2018ГОСТ 16264.0-2018ГОСТ 16264.0-2018ГОСТ 16264.0-2018ГОСТ 16264.0-2018ГОСТ 16264.0-2018ГОСТ 16264.0-2018ГОСТ 16264.0-2018ГОСТ 16264.0-2018ГОСТ 16264.0-2018ГОСТ 16264.0-2018ГОСТ 16264.0-2018ГОСТ 16264.0-2018ГОСТ 16264.0-2018ГОСТ 16264.0-2018ГОСТ 16264.0-2018ГОСТ 16264.0-2018ГОСТ 16264.0-2018ГОСТ 16264.0-2018ГОСТ 16264.0-2018ГОСТ 16264.0-2018ГОСТ 16264.0-2018ГОСТ 16264.0-2018ГОСТ 16264.0-2018