Скачать ГОСТ 27.410-87 Надежность в технике. Методы контроля показателей надежности и планы контрольных испытаний на надежностьДата актуализации: 01.01.2021
|
| Обозначение: | ГОСТ 27.410-87 |
| Обозначение англ: | GOST 27.410-87 |
| Статус: | отменен в рф |
| Название рус.: | Надежность в технике. Методы контроля показателей надежности и планы контрольных испытаний на надежность |
| Название англ.: | Industrial product dependability. Inspection methods of reliability indexes and plans of check tests on reliability |
| Дата добавления в базу: | 01.09.2013 |
| Дата актуализации: | 01.01.2021 |
| Дата введения: | 01.01.1989 |
| Дата окончания срока действия: | 01.09.2010 |
| Область применения: | Стандарт распространяется на изделия, к которым в нормативно-технической и конструкторской документации предъявляют требования надежности, и устанавливает методы контроля показателей надежности и планы контрольных испытаний на надежность. |
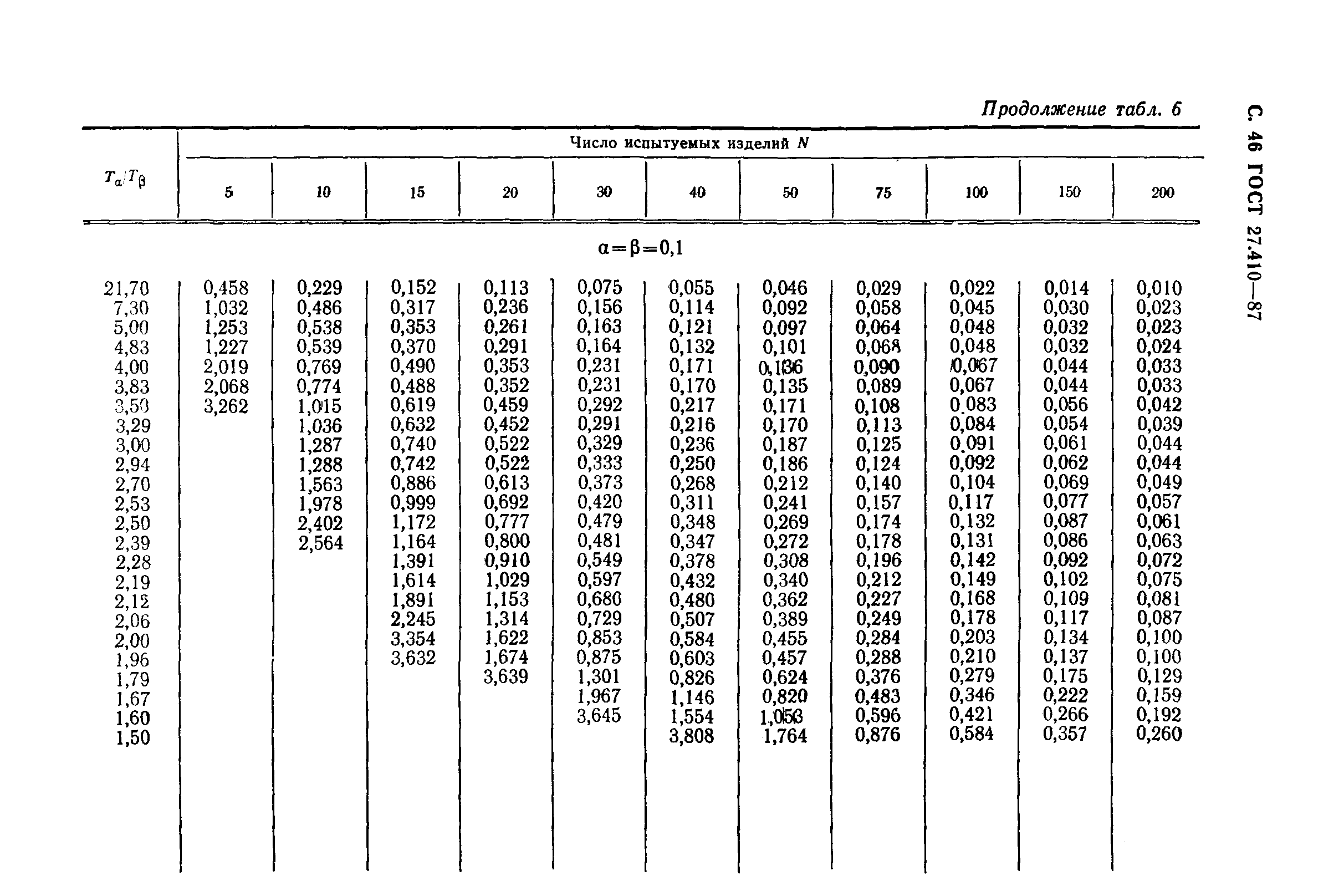
| Оглавление: | 1 Общие положения 2 Требования к расчетным методам контроля показателей надежности 3 Требования к эксперементальным методам контроля показателей надежности 4 Требования к расчетно-эксперементальным методам контроля показателей надежности Приложение 1. Обозначения, принятые в стандарте Приложение 2. Термины и определения планов испытаний на надежность Приложение 3. Примерное содержание программы испытаний на надежность Приложение 4. Применяемость испытаний на надежность Приложение 5. Примерное содержание методики испытаний на надежность Приложение 6. Правила разработки и оформления программы и методик испытаний на надежность Приложение 7. Планы контрольных испытаний Приложение 8. Контрольные испытания на ремонтопригодность (РП) Приложение 9. Примеры планирования контрольных испытаний Приложение 10. Пояснения Приложение 11. Информационные данные о соответствии Информационные данные |
| Разработан: | Государственный комитет СССР по стандартам Министерство автомобильной промышленности СССР |
| Утверждён: | 24.12.1987 Государственный комитет СССР по стандартам (USSR National Committee on Standards 4889) |
| Список изменений: |
|


















































































































Текстовое изменение Поправка