Скачать ГОСТ IEC 60034-2-1-2017 Машины электрические вращающиеся. Часть 2-1. Стандартные методы определения потерь и коэффициента полезного действия по испытаниям (за исключением машин для подвижного состава)Дата актуализации: 01.01.2021
|
| Обозначение: | ГОСТ IEC 60034-2-1-2017 |
| Обозначение англ: | 60034-2-1-2017 |
| Статус: | введен впервые |
| Название рус.: | Машины электрические вращающиеся. Часть 2-1. Стандартные методы определения потерь и коэффициента полезного действия по испытаниям (за исключением машин для подвижного состава) |
| Название англ.: | Rotating electrical machines. Part 2-1: Standard methods for determining losses and efficiency from tests (excluding machines for traction vehicles) |
| Дата добавления в базу: | 01.02.2020 |
| Дата актуализации: | 01.01.2021 |
| Дата введения: | 01.06.2019 |
| Область применения: | Стандарт устанавливает методы испытаний для определения потерь и коэффициента полезного действия электрических машин. Стандарт распространяется на машины постоянного тока, синхронные и асинхронные всех типоразмеров в рамках IEC 60034-1. |
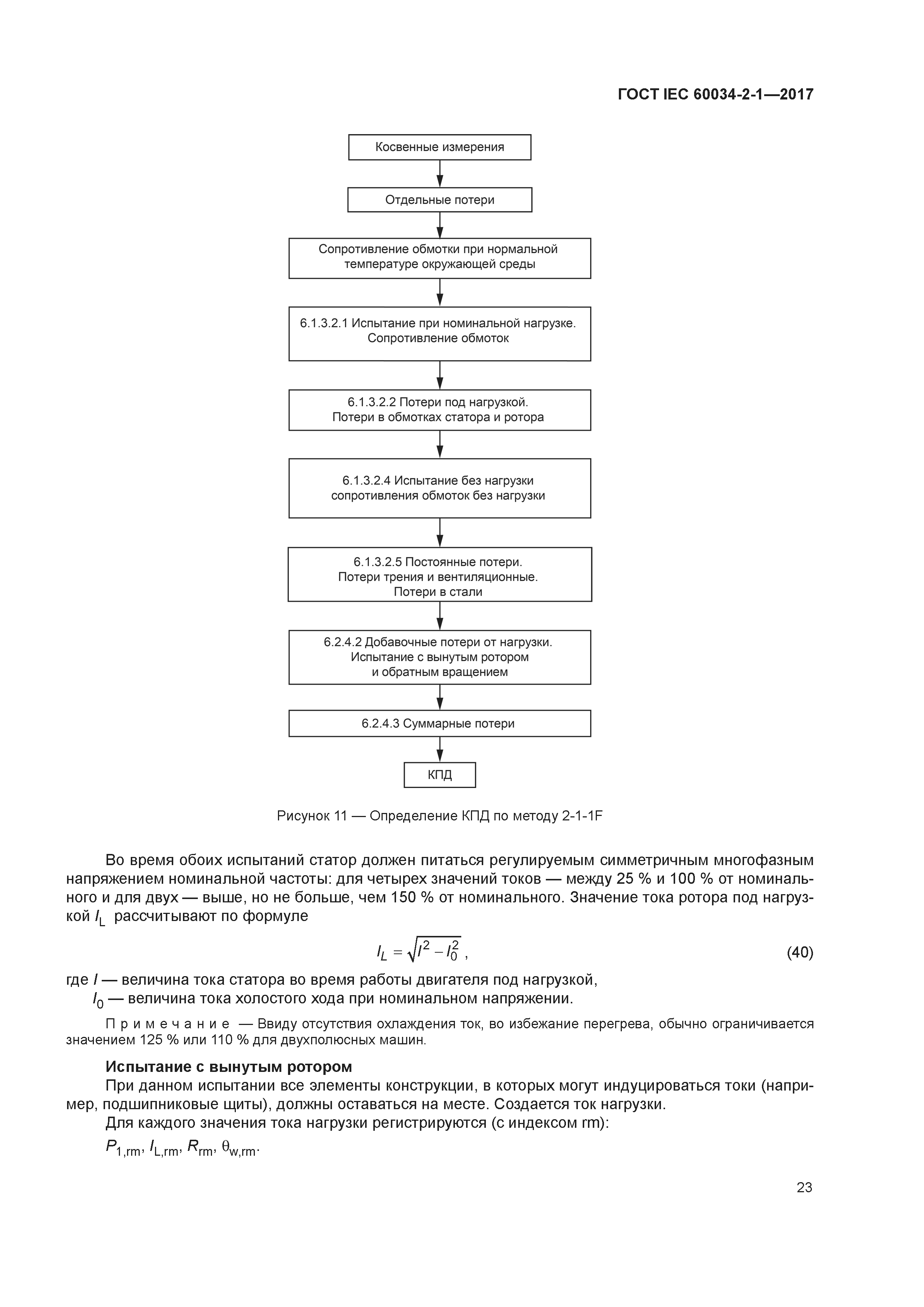
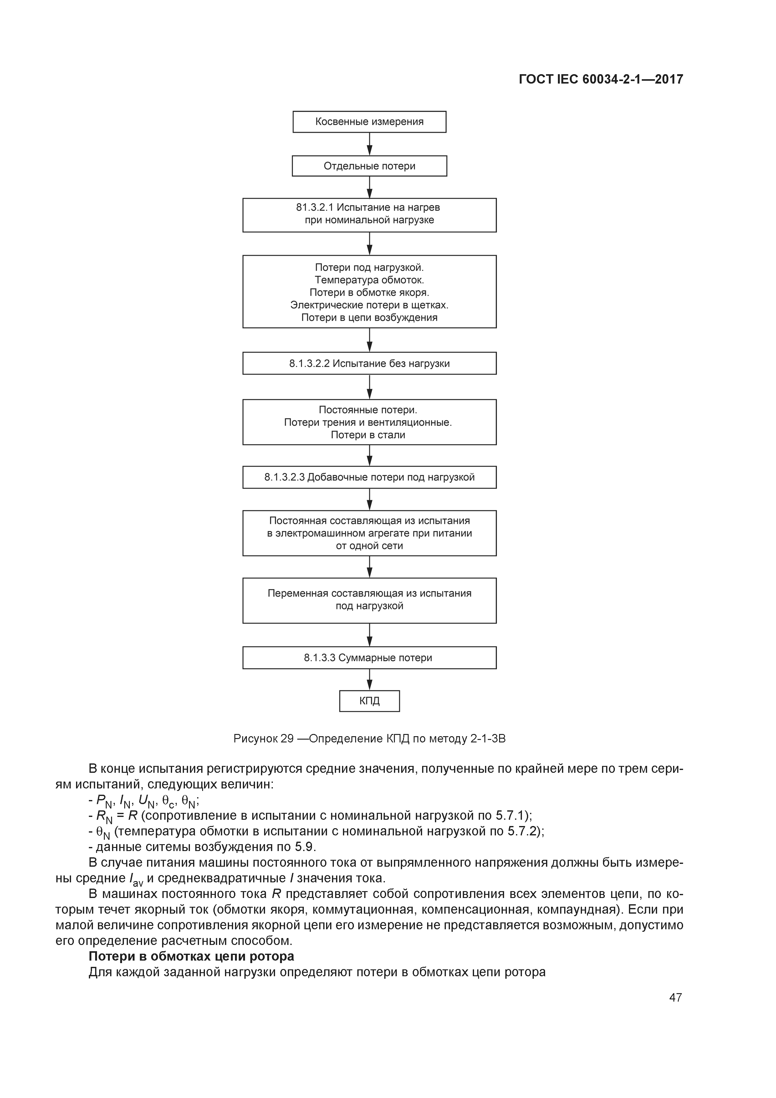
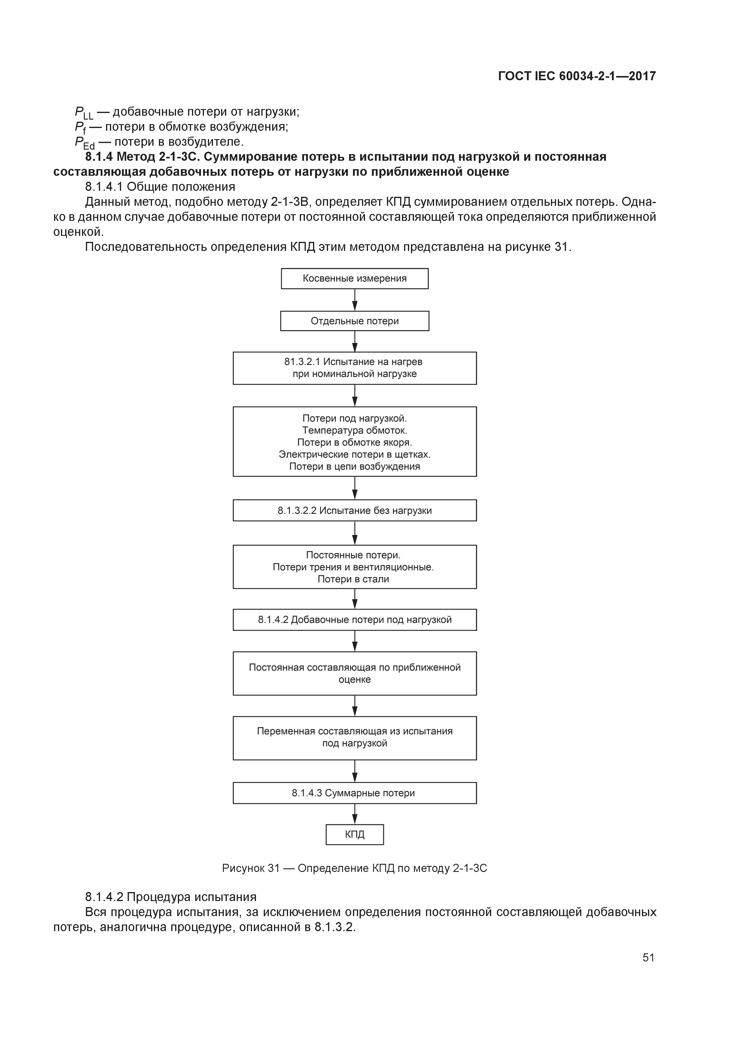
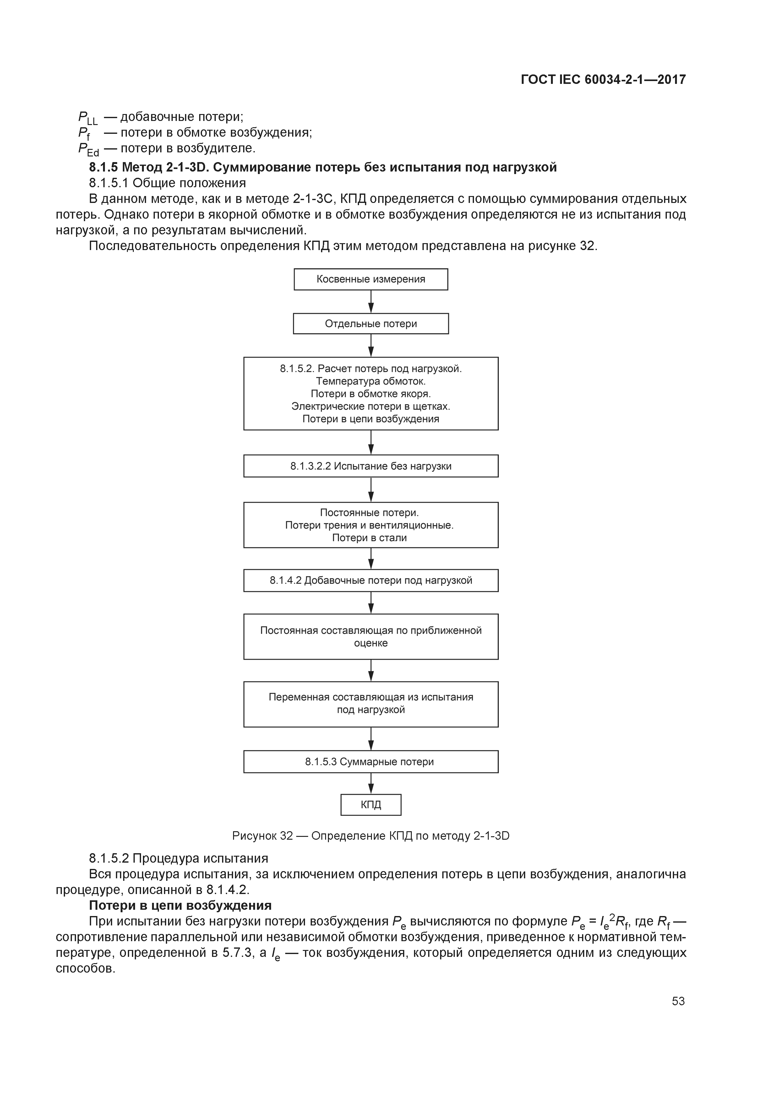
| Оглавление: | 1 Область применения 2 Нормативные ссылки 3 Термины и определения 4 Обозначения и сокращения 4.1 Обозначения 4.2 Дополнительные обозначения 5 Общие требования 5.1 Прямое и косвенное измерение КПД 5.2 Погрешности 5.3 Основные методы и особые методы по требованию заказчика, эксплуатационные и типовые испытания 5.4 Питание 5.5 Средства измерений 5.6 Единицы измерения величин 5.7 Сопротивления 5.8 Состояние машины при испытании и категории испытаний 5.9 Измерения в цепях возбуждения 5.10 Температура окружающей среды при испытании 6 Методы испытаний для определения КПД асинхронных машин 6.1 Предпочтительные методы испытаний 6.2 Методы эксплуатационных и типовых испытаний 7 Методы определения КПД синхронных машин 7.1 Предпочтительные методы испытаний 7.2 Методы эксплуатационных и типовых испытаний 8 Методы испытаний для определения КПД машин постоянного тока 8.1 Методы эксплуатационных и типовых испытаний Приложение А (обязательное) Расчеты для метода соединения «звезда с несимметричным питанием» Приложение В (справочное) Типы систем возбуждения Приложение С (справочное) Измерение скольжения асинхронных двигателей Приложение D (справочное) Шаблон отчета об испытаниях для метода 2-1-1В Приложение ДA (справочное) Сведения о соответствии ссылочных международных стандартов межгосударственным стандартам Библиография |
| Разработан: | ФГУП ВНИИНМАШ ФГБОУ ВО НИУ МЭИ |
| Утверждён: | 25.09.2017 Межгосударственный Совет по стандартизации, метрологии и сертификации (Inter-Governmental Council on Standardization, Metrology, and Certification 103-П) 30.10.2018 Федеральное агентство по техническому регулированию и метрологии (871-ст) |
| Издан: | Стандартинформ (2018 г. ) |
| Нормативные ссылки: |
|




































































