Главная // Актуальные документы // ГОСТ (Государственный стандарт)СПРАВКА
Источник публикации
В данном виде документ опубликован не был.
Первоначальный текст документа опубликован в издании
М.: Издательство стандартов, 1988.
Информацию о публикации документов, создающих данную редакцию, см. в справке к этим документам.
Примечание к документу
С 1 июля 2003 года до вступления в силу технических регламентов акты федеральных органов исполнительной власти в сфере технического регулирования носят рекомендательный характер и подлежат обязательному исполнению только в части, соответствующей целям, указанным в
пункте 1 статьи 46 Федерального закона от 27.12.2002 N 184-ФЗ.
Ограничение срока действия снято Постановлением Госстандарта СССР от 26.12.1991 N 2158 ("ИУС", N 4, 1992).
Срок действия продлен до 1 января 1993 года Постановлением Госстандарта СССР от 30.06.1987 N 2904.
Изменение N 8 введено в действие с 1 января 2003 года Постановлением Госстандарта России от 21.02.2002 N 73-ст.
Взамен ГОСТ 14925-73.
Название документа
"ГОСТ 14925-79. Государственный стандарт Союза ССР. Каучук синтетический цис-изопреновый. Технические условия"
(утв. и введен в действие Постановлением Госстандарта СССР от 24.05.1979 N 1836)
(ред. от 21.02.2002)
"ГОСТ 14925-79. Государственный стандарт Союза ССР. Каучук синтетический цис-изопреновый. Технические условия"
(утв. и введен в действие Постановлением Госстандарта СССР от 24.05.1979 N 1836)
(ред. от 21.02.2002)
Утвержден и введен в действие
Постановлением Государственного
комитета СССР по стандартам
от 24 мая 1979 г. N 1836
ГОСУДАРСТВЕННЫЙ СТАНДАРТ СОЮЗА ССР
КАУЧУК СИНТЕТИЧЕСКИЙ ЦИС-ИЗОПРЕНОВЫЙ
ТЕХНИЧЕСКИЕ УСЛОВИЯ
Cis-isoprene synthetic rubber. Specifications
ГОСТ 14925-79
| | Список изменяющих документов в ред. Изменения N 1, утв. в декабре 1981 г., Изменения N 2, утв. Постановлением Госстандарта СССР от 17.12.1984 N 4486, Изменения N 3, утв. в июне 1987 г., Госстандарта СССР от 26.12.1991 N 2158, Госстандарта России от 17.04.1995 N 220, Госстандарта России от 22.04.1997 N 146, Госстандарта России от 15.12.2000 N 363-ст, Госстандарта России от 21.02.2002 N 73-ст) | |
ОКП 22 9421 0100
Срок действия
с 1 января 1980 года
до 1 января 1993 года
1. РАЗРАБОТАН И ВНЕСЕН Министерством нефтеперерабатывающей и нефтехимической промышленности СССР
ИСПОЛНИТЕЛИ: В.А. Кормер (руководитель темы); Н.Ф. Ковалев; Б.Г. Бабурин; И.В. Гармонов; В.И. Гуткин; Г.А. Белова; Л.С. Иванова; Б.Ф. Райцес; А.В. Подалинский; Г.А. Тихомирова; В.А. Шевцова; Н.А. Рукояткин
2. УТВЕРЖДЕН И ВВЕДЕН В ДЕЙСТВИЕ Постановлением Государственного комитета СССР по стандартам от 24.05.79 N 1836
3. Стандарт полностью соответствует СТ СЭВ 802-77
4. ВЗАМЕН ГОСТ 14925-73
5. ССЫЛОЧНЫЕ НОРМАТИВНО-ТЕХНИЧЕСКИЕ ДОКУМЕНТЫ
Обозначение НТД, на которые дана ссылка | Номер пункта |
| |
| | ИС МЕГАНОРМ: примечание. Взамен ГОСТ 15.001-73 Постановлением Госстандарта СССР от 25.11.1988 N 3823 с 1 марта 1989 года введен в действие ГОСТ 15.001-88. | |
|
ГОСТ 15.001-73 | |
ГОСТ 40-80 | |
| |
(в ред. Изменения N 8, введенного Постановлением Госстандарта России от 21.02.2002 N 73-ст) |
| |
| |
| | ИС МЕГАНОРМ: примечание. ГОСТ 443-76 утратил силу с 1 июля 1992 года (ИУС "Государственные стандарты", N 10, 1992). | |
|
ГОСТ 443-76 | |
| |
| | ИС МЕГАНОРМ: примечание. Взамен ГОСТ 2226-75 Постановлением Госстандарта СССР от 29.06.1988 N 2501 с 1 января 1990 года введен в действие ГОСТ 2226-88. | |
|
ГОСТ 2226-75 | |
| |
| |
| |
| |
| |
ГОСТ 4223-75 | |
| |
| |
| |
ГОСТ 5788-78 | |
| |
ГОСТ 5852-79 | |
| |
(в ред. Изменения N 8, введенного Постановлением Госстандарта России от 21.02.2002 N 73-ст) |
| |
| |
| | ИС МЕГАНОРМ: примечание. Взамен ГОСТ 6616-74 Постановлением Госстандарта России от 23.04.1998 N 143 с 1 января 1999 года введен в действие ГОСТ 6616-94. | |
|
ГОСТ 6616-74 | |
| |
| |
| |
| | ИС МЕГАНОРМ: примечание. В официальном тексте документа, видимо, допущена опечатка: стандарт имеет номер ГОСТ 7087-75, а не ГОСТ 7887-75. | |
|
ГОСТ 7887-75 | |
| |
| |
| | ИС МЕГАНОРМ: примечание. В официальном тексте документа, видимо, допущена опечатка: имеется в виду пункт 5.2.5, а не 5.2.4. | |
|
| |
| |
ГОСТ 13145-67 | |
| |
(в ред. Изменения N 8, введенного Постановлением Госстандарта России от 21.02.2002 N 73-ст) |
| |
| |
| |
ГОСТ 19338-73 | |
| |
ГОСТ 19816.4-74 | |
| | ИС МЕГАНОРМ: примечание. Взамен ГОСТ 20015-74 Постановлением Госстандарта СССР от 22.12.1988 N 4454 с 1 января 1991 года введен в действие ГОСТ 20015-88. | |
|
ГОСТ 20015-74 | |
| |
| |
| |
| | ИС МЕГАНОРМ: примечание. Взамен ГОСТ 24104-80 с 1 января 1989 года Постановлением Госстандарта СССР от 23.06.1988 N 2472 введен в действие ГОСТ 24104-88. Взамен ГОСТ 24104-88 с 1 июля 2002 года Постановлением Госстандарта России от 26.10.2001 N 439-ст введен в действие ГОСТ 24104-2001. | |
|
ГОСТ 24104-80 | |
| |
| |
ГОСТ 24655-81 | |
| |
ГОСТ 27109-86 | |
6. Срок действия продлен до 01.01.93 Постановлением Госстандарта СССР от 30.06.87 N 2904
7. ПЕРЕИЗДАНИЕ (август 1988 г.) с Изменениями N 1, 2, 3, утвержденными в декабре 1981 г., 17.12.84, Пост. N 4486, июне 1987 г., (ИУС 2-82, 3-85, 11-87).
Настоящий стандарт распространяется на синтетический цис-изопреновый каучук с содержанием звеньев цис 1,4 не менее 96%.
Настоящий стандарт устанавливает требования к цис-изопреновому каучуку, изготовляемому для нужд народного хозяйства и на экспорт.
Абзац исключен с 1 августа 1992 года. -
Изменение N 4, утв. Постановлением Госстандарта СССР от 26.12.1991 N 2158.
Абзац исключен с 1 сентября 1995 года. -
Изменение N 5, утв. Постановлением Госстандарта России от 17.04.1995 N 220.
1. ТЕХНИЧЕСКИЕ ТРЕБОВАНИЯ
1.1. Каучук должен изготовляться в соответствии с требованиями настоящего стандарта по технологическим регламентам, утвержденным в установленном порядке.
Каучук должен изготовляться трех марок: СКИ-3, СКИ-3Д, СКИ-3НТ. Каучук марки СКИ-3 должен выпускаться трех групп: I, II, III.
(в ред.
Изменения N 5, утв. Постановлением Госстандарта России от 17.04.1995 N 220)
Код ОКП для марок каучука должен соответствовать указанному в табл. 1а.
Таблица 1а
Марка каучука | Код ОКП для каучука |
высшего сорта | первого сорта |
СКИ-3 I группы | 22 9421 0122 | 22 9421 0101 |
СКИ-3 II группы | 22 9421 0123 | 22 9421 0102 |
СКИ-3 III группы | 22 9421 0124 | 22 9421 0103 |
СКИ-3Д | 22 9421 0105 | 22 9421 0104 |
СКИ-3НТ | 22 9421 0136 |
(введено Изменением N 5, утв. Постановлением Госстандарта России от 17.04.1995 N 220) |
(в ред.
Изменения N 4, утв. Постановлением Госстандарта СССР от 26.12.1991 N 2158)
(Измененная редакция, Изм. N 2, 3).
1.2. Каучук должен соответствовать нормам, указанным в табл. 1.
Наименование показателя | НОРМЫ ДЛЯ МАРКИ | Метод испытания |
СКИ-3 высшего сорта | СКИ-3 первого сорта | СКИ-3Д | СКИ-3НТ |
I группа | II группа | III группа | I группа | II группа | III группа | высшего сорта | первого сорта |
1. Вязкость по Муни МБ 1 + 4 (100°) | 75 - 85 | 65 - 74 | 55 - 64 | 75 - 85 | 65 - 74 | 55 - 64 | 55 - 75 | 55 - 75 | - | |
2. Разброс по вязкости внутри партии | 8 | 8 | 8 | 8 | 8 | 8 | 8 | 8 | - | |
3. Пластичность | 0,30 - 0,35 | 0,36 - 0,41 | 0,42 - 0,48 | 0,30 - 0,35 | 0,36 - 0,41 | 0,42 - 0,48 | 0,37 - 0,43 | 0,36 - 0,43 | 0,30 - 0,38 | |
4. Разброс по пластичности внутри партии, не более | 0,05 | 0,05 | 0,06 | 0,06 | 0,08 | 0,08 | 0,05 | 0,08 | 0,05 | |
5. Эластичное восстановление после определения пластичности, мм, не более | 1,8 | 1,7 | 1,5 | 2,0 | 1,9 | 1,6 | 1,7 | 1,9 | 1,8 | |
6. Условная прочность при растяжении, МПа (кгс/см2), не менее: | | | | | | | | | | |
при 23 °C | 30,4 (310) | 30,4 (310) | 29,4 (300) | 29,4 (300) | 28,4 (290) | 28,4 (290) | 30,4 (310) | 28,4 (290) | 31,3 (320) | |
при 100 °C | 21,6 (220) | 21,6 (220) | 20,6 (210) | 20,6 (210) | 19,6 (200) | 19,6 (200) | 21,6 (220) | 19,6 (200) | 22,5 (230) |
7. Относительное удлинение при разрыве, %, не менее | 800 | 800 | 750 | 700 | 700 | 700 | 800 | 700 | 800 | |
8. Массовая доля золы, %, не более | 0,5 | 0,5 | 0,5 | 0,6 | 0,6 | 0,6 | 0,35 | 0,35 | 0,35 | |
9. Массовая доля водорастворимой части золы, %, не более | - | - | - | - | - | - | 0,08 | 0,08 | - | |
10. Массовая доля металлов, %, не более: | | | | | | | | | | |
меди | 0,0001 | 0,0001 | 0,0001 | 0,0001 | 0,0001 | 0,0001 | 0,0001 | 0,0001 | 0,0001 | |
железа | 0,004 | 0,004 | 0,004 | 0,005 | 0,005 | 0,005 | 0,004 | 0,004 | 0,004 | |
титана | 0,06 | 0,06 | 0,06 | 0,07 | 0,07 | 0,07 | 0,06 | 0,06 | 0,06 | |
11. Потеря массы при сушке, %, не более | 0,6 | 0,6 | 0,6 | 0,6 | 0,6 | 0,6 | 0,6 | 0,6 | 0,5 | |
12. Массовая доля стеариновой кислоты, % | 0,6 - 1,4 | 0,6 - 1,4 | 0,6 - 1,4 | 0,6 - 1,4 | 0,6 - 1,4 | 0,6 - 1,4 | 0,6 - 1,2 | 0,6 - 1,2 | 0,8 - 1,4 | |
13. Массовая доля антиоксидантов, %: | | | | |
дифенил-п-фенилендиамина (ДФФД) или | | Не менее 0,15% | | | Не менее 0,15% | | | | Не менее 0,15% | |
(в ред. Изменения N 7, утв. Постановлением Госстандарта России от 15.12.2000 N 363-ст) |
диафена 13 или | | 0,30 - 0,50 | | | 0,30 - 0,50 | | - | - | - | |
С-789 или | | 0,20 - 0,40 | | | 0,20 - 0,40 | | - | - | - | |
ВТС-60 или | | 0,35 - 0,55 | | | 0,35 - 0,55 | | | | - | |
АФА-1 не менее | | 0,7 | | | 0,7 | | | | | |
(в ред. Изменения N 8, введенного Постановлением Госстандарта России от 21.02.2002 N 73-ст) |
или Флекзона 11Л | | Не менее 0,2 | | | Не менее 0,2 | | - | - | - | |
(введено Изменением N 8, введенным Постановлением Госстандарта России от 21.02.2002 N 73-ст) |
или Дусантокса Л | | Не менее 0,2 | | | Не менее 0,2 | | - | - | - | |
(введено Изменением N 8, введенным Постановлением Госстандарта России от 21.02.2002 N 73-ст) |
или Сантофлекса 134 ПД | | Не менее 0,2 | | | Не менее 0,2 | | - | - | - | |
(введено Изменением N 8, введенным Постановлением Госстандарта России от 21.02.2002 N 73-ст) |
(п. 13 в ред. Изменения N 6, утв. Постановлением Госстандарта России от 22.04.1997 N 146) |
(в ред.
Изменения N 4, утв. Постановлением Госстандарта СССР от 26.12.1991 N 2158,
Изменения N 5, утв. Постановлением Госстандарта России от 17.04.1995 N 220)
Примечания
1. Показатель пластичности (группу по пластичности) и эластическое восстановление после определения пластичности определяют по требованию потребителя взамен вязкости по Муни.
2. Допускается изготовлять для шинной промышленности каучук СКИ-3 II группы высшего и первого сорта с потерей массы при сушке не более 0,8%.
3. Для каучука СКИ-3НТ, предназначенного для изготовления вакуумных резин, потеря массы при сушке не более 0,4%.
4. Исключен с 1 июля 2001 года. -
Изменение N 7, утв. Постановлением Госстандарта России от 15.12.2000 N 363-ст.
(примечания в ред.
Изменения N 5, утв. Постановлением Госстандарта России от 17.04.1995 N 220)
(Измененная редакция, Изм. N 1, 2, 3).
1.3. Каучук выпускают в виде брикетов массой нетто (30 +/- 1) кг.
1.4. В партии каучука при соответствии однородности и средних значений показателей вязкости по Муни или пластичности требованиям настоящего стандарта допускается наличие брикетов с вязкостью по Муни, отличающейся не более, чем на 2 единицы: для I группы - от нижнего значения, для II и III групп - от верхнего значения Муни, и с пластичностью, отличающейся не более, чем на 0,03; для I группы - от верхнего значения, для II и III групп - от нижнего значения пластичности.
(п. 1.4 в ред.
Изменения N 5, утв. Постановлением Госстандарта России от 17.04.1995 N 220)
(Измененная редакция, Изм. N 3).
1.5. Каучук II и III групп первого сорта, высушенный на ленточных сушилках, должен иметь разброс по пластичности не более 0,10.
(в ред.
Изменения N 4, утв. Постановлением Госстандарта СССР от 26.12.1991 N 2158)
(Измененная редакция, Изм. N 1, 2).
1.6. Количество каучука марки СКИ-3Д с пластичностью 0,36 не должно превышать 25% от партии.
1.7. Каучук не должен содержать механических включений, включений влажного и структурированного полимера, а также не должен прилипать к бумажным мешкам.
(Измененная редакция, Изм. N 2).
1.8. Для каучука, предназначенного для экспорта, применяемый антиоксидант должен соответствовать требованиям заказа-наряда внешнеторгового объединения.
(Измененная редакция, Изм. N 3).
2. ТРЕБОВАНИЯ БЕЗОПАСНОСТИ
2.1. По степени воздействия на организм каучук относят к малоопасным материалам 4-го класса опасности по
ГОСТ 12.1.007-76, при непосредственном контакте с незащищенными кожными покровами не вызывает патологических изменений. Каучук не обладает свойствами аллергена.
2.2. Каучук не содержит легколетучих фракций.
2.3. При температуре эксплуатации каучук невзрывоопасен, самопроизвольно не воспламеняется, горит только при внесении в источник огня.
При горении выделяются углекислый газ и вода. Для тушения применяют воду, пар, асбестовое полотно, мел, песок, пенные и углекислотные огнетушители.
2.4. Производственные помещения должны быть оборудованы общеобменной приточно-вытяжной вентиляцией и вытяжной вентиляцией. Кратность воздухообмена должна быть не менее 3.
Скорость движения воздуха в рабочем проеме вытяжного шкафа 0,5 м/с.
2.5. Лица, связанные с переработкой каучука, должны быть обеспечены специальной одеждой в соответствии с отраслевыми нормами.
Разд. 2. (Измененная редакция, Изм. N 2).
3.1. Каучук принимают партиями. Партией считают каучук одной марки и группы массой от 10 до 65 т, сопровождаемый одним документом о качестве, содержащим:
товарный знак предприятия-изготовителя;
наименование, марку и группу каучука;
код Общесоюзного классификатора промышленной и сельскохозяйственной продукции (перед обозначением ставят буквы СКИ);
номер партии;
массу нетто партии;
дату изготовления;
количество упаковочных единиц;
результаты проведенных испытаний или подтверждение о соответствии требованиям настоящего стандарта;
тип оборудования, применявшегося при сушке;
абзац исключен с 1 августа 1992 года. -
Изменение N 4, утв. Постановлением Госстандарта СССР от 26.12.1991 N 2158.
Для каучука, предназначенного для экспорта, обязательным является указание в документе результатов испытаний по показателям: потеря массы, массовая доля стеариновой кислоты, вязкость по Муни.
Допускается по согласованию с потребителем изготовлять партии каучука меньшей массы.
(абзац введен
Изменением N 4, утв. Постановлением Госстандарта СССР от 26.12.1991 N 2158)
3.1а. Для проверки соответствия качества каучука требованиям настоящего стандарта проводят приемо-сдаточные и периодические испытания.
Приемосдаточные испытания проводят по следующим показателям:
вязкость по Муни или пластичность и эластическое восстановление после ее определения;
разброс по вязкости внутри партии или по пластичности;
массовая доля водорастворимой части золы (для каучука СКИ-3Д);
потеря массы при сушке;
массовая доля антиоксидантов.
(п. 3.1а в ред.
Изменения N 5, утв. Постановлением Госстандарта России от 17.04.1995 N 220)
3.1а.1. Исключен с 1 сентября 1995 года. -
Изменение N 5, утв. Постановлением Госстандарта России от 17.04.1995 N 220.
3.1а.2. Периодические испытания проводят не реже одного раза в год по следующим показателям:
условная прочность при растяжении;
относительное удлинение при разрыве;
массовая доля золы;
массовая доля стеариновой кислоты;
массовая доля металлов и по
п. 1.7 настоящего стандарта.
(п. 3.1а.2 в ред.
Изменения N 4, утв. Постановлением Госстандарта СССР от 26.12.1991 N 2158)
3.1, 3.1а. (Измененная редакция, Изм. N 3).
3.2. Объем выборки - по ГОСТ 27109-86.
3.3. Исключен с 1 июля 2001 года. -
Изменение N 7, утв. Постановлением Госстандарта России от 15.12.2000 N 363-ст.
3.4. При получении неудовлетворительных результатов испытаний хотя бы по одному из показателей по нему проводят повторные испытания на удвоенной выборке. Результаты повторных испытаний распространяются на всю партию.
4.1. Отбор и подготовку проб для проведения всех испытаний, за исключением пластичности и эластического восстановления после определения пластичности, проводят по ГОСТ 27109-86. Для определения пластичности и эластического восстановления после определения пластичности отбирают пробы массой не менее чем по 270 г от любых трех брикетов. При хранении каучука более 15 сут при температуре ниже 0 °C отобранные пробы перед испытанием выдерживают 24 - 72 ч при (25 +/- 5) °C.
Допускается отбирать пробу каучука с потока для проведения испытаний.
4.2. Определение вязкости по Муни
Вязкость каучука определяют по
ГОСТ 10722-76 без предварительного вальцевания на большом роторе при (100 +/- 1) °C через 4 мин от начала вращения ротора. Время предварительного прогрева образца в приборе 1 мин. От каждой отобранной пробы испытывают по одному образцу.
(в ред.
Изменения N 7, утв. Постановлением Госстандарта России от 15.12.2000 N 363-ст)
Абзац исключен с 1 июля 2001 года. -
Изменение N 7, утв. Постановлением Госстандарта России от 15.12.2000 N 363-ст.
За результат испытания партии принимают среднее арифметическое показателей отдельных проб, при этом вязкость каждой пробы должна соответствовать норме, указанной в
табл. 1. Результат испытания округляют до целого числа.
(в ред.
Изменения N 7, утв. Постановлением Госстандарта России от 15.12.2000 N 363-ст)
4.1, 4.2. (Измененная редакция, Изм. N 3).
4.3. Определение пластичности и эластического восстановления после определения пластичности
4.3.1. Подготовка к испытанию
Готовят образец для испытания прессованием с предварительным вальцеванием. Для этого (150 +/- 5) г каучука трижды вальцуют при зазоре между валками (0,8 +/- 0,1) мм и температуре (75 +/- 5) °C. Техническая характеристика вальцев и проверка точности установки зазора между валками приведены в ГОСТ 27109. При разногласиях в оценке качества каучука и арбитражных испытаниях используют вальцы типа Л
б или П
д 
по ГОСТ 14333. Перед пропуском свинца в зазор вальцев один из концов свинцовой пластины допускается расплющить на расстояние 10 - 15 мм. Шкурку каучука, полученную после первого пропуска, складывают вдвое и подают боковой стороной в зазор между валками. В третий раз шкурку пропускают через вальцы в развернутом виде.
(в ред.
Изменения N 4, утв. Постановлением Госстандарта СССР от 26.12.1991 N 2158;
Изменения N 7, утв. Постановлением Госстандарта России от 15.12.2000 N 363-ст)
Охлаждают шкурку каучука не менее 2 ч и вырубают ножом пластинки диаметром на 2 - 3 мм меньше диаметра формовочного кольца. Пластинки каучука, собранные в стопу, помещают в формовочные толстостенные металлические кольца высотой около 14 мм и диаметром не более 70 мм.
При этом необходимо следить за тем, чтобы пластинки каучука не имели складок, в которых может остаться воздух.
Масса заготовки должна быть на 15 - 20% выше теоретической массы каучука в объеме формовочного кольца.
Формовочные кольца с пластинками каучука помещают между металлическими листами.
Предварительно металлические листы и формовочные кольца прогревают, прокладывают целлофаном или смазывают мыльным раствором, силиконовой или другой смазкой.
Формовочные кольца с каучуком, накрытые листами, помещают на плиты вулканизационного пресса с температурой 105 °C и прессуют. Погрешность стабилизации температуры в одной точке +/- 1,5 °C по шкале вторичного прибора.
При прессовании плиты вулканизационного пресса поднимают медленно, с трехкратной подпрессовкой, чтобы удалить воздух, находящийся между пластинами каучука. Прессование проводят в течение 15 мин при давлении на формовочное кольцо с каучуком (15 +/- 1) МПа (150 +/- 10) кгс/см2.
После прессования каучук в виде шайб вынимают из формовочных колец и выдерживают 1 - 2 ч при комнатной температуре.
Из шайб после их охлаждения готовят образцы в соответствии с
ГОСТ 415-75. При этом необходимо следить за равномерной скоростью (не более 3 мм/с) продвижения ножа, смазанного мыльным раствором, в массу каучука.
Примечание. Валки вальцев разогревают при их вращении, температуру валков измеряют на остановленных валках.
(Измененная редакция, Изм. N 2, 3).
4.3.2. Проведение испытания
Пластичность и эластическое восстановление каучука определяют по
ГОСТ 415-75 с использованием толщиномеров по
ГОСТ 11358-89 с диаметром измерительной площадки 10 мм.
(в ред.
Изменения N 4, утв. Постановлением Госстандарта СССР от 26.12.1991 N 2158)
За результат испытания принимают среднее арифметическое результатов испытания отдельных проб, при этом пластичность каждой пробы должна соответствовать норме, указанной в
табл. 1, с учетом требований
п. 1.4.
(Измененная редакция, Изм. N 2).
4.4. Определение условной прочности при растяжении и относительного удлинения при разрыве
4.4.1. Подготовка к испытанию
4.4.1.1. Приготовление резиновой смеси
Из каучука массой 500 г готовят резиновую смесь, состав которой приведен в табл. 2. При этом для приготовления резиновой смеси на основе каучука марки СКИ-3Д применяют ингредиенты, просеянные через сито с сеткой 016 по
ГОСТ 6613-86.
Таблица 2
Наименование ингредиентов | Количество, м.ч. |
Каучук | 100,00 |
| | ИС МЕГАНОРМ: примечание. Взамен ГОСТ 6484-64 Постановлением Госстандарта России от 27.08.1996 N 539 с 1 января 1997 года введен в действие ГОСТ 6484-96. | |
|
Кислота стеариновая техническая (стеарин) по ГОСТ 6484-64 (кроме жидкой) или импортный аналог | 2,00 |
(в ред. Изменения N 4, утв. Постановлением Госстандарта СССР от 26.12.1991 N 2158) |
Альтакс (2,2-дибензтиазолдисульфид) по ГОСТ 7087-75 высшего и первого сортов | 0,60 |
Гуанид Ф по ГОСТ 40-80 | 3,00 |
Белила цинковые сухие по ГОСТ 202-84, марка БЦО (БЦО-М) | 5,00 |
|
|
Сера техническая по ГОСТ 127-76, сорт 9995 или 9990 | 1,00 |
| Всего 111,60 |
Примечание. При разногласиях в оценке качества каучука применяют стеариновую техническую кислоту по ГОСТ 6484-64 (кроме жидкой) 1-го сорта или импортный аналог.
(примечание введено
Изменением N 4, утв. Постановлением Госстандарта СССР от 26.12.1991 N 2158)
Каучук смешивают с ингредиентами на лабораторных вальцах, техническая характеристика которых указана в ГОСТ 27109-86, (1 вариант) по режиму, указанному в табл. 3 (при температуре (75 +/- 5) °C. При этом разогрев каучука производят при зазоре 0,5 - 0,6 мм (при последующем смешении зазор регулируют так, чтобы между валками находился хорошо обрабатываемый запас смеси).
При разногласиях в оценке качества каучука и арбитражных испытаниях используют вальцы типа Л
б или П
д 
по ГОСТ 14333.
(абзац введен
Изменением N 7, утв. Постановлением Госстандарта России от 15.12.2000 N 363-ст)
Таблица 3
Операции смешения | Начало операции с момента подачи каучука на вальцы, мин | Продолжительность операции, мм |
Разогрев каучука, пропуск два раза между валками провисающей шкуркой, затем вальцевание | 0 | 1 |
Введение стеарина | 1 | 1 |
Подрезка смеси на 3/4 валка по два раза с каждой стороны | - | - |
Введение альтакса | 2 | 1 |
Подрезка смеси на 3/4 валка по два раза с каждой стороны | - | - |
Введение гуанида Ф | 3 | 1 |
Подрезка смеси на 3/4 валка по два раза с каждой стороны | - | - |
Введение цинковых белил | 4 | 2 |
Подрезка смеси на 3/4 валка по три раза с каждой стороны | - | - |
Введение серы | 6 | 1 |
Подрезка смеси на 3/4 валка по два раза с каждой стороны | - | - |
Срезка смеси и сдвиг валков до зазора 0,3 - 0,4 мм (по свинцу). Пропуск смеси при этом зазоре рулоном шесть раз | 7 | 3 |
Листование смеси до толщины 1,0 - 1,2 мм | 10 | 3 |
Снятие смеси по истечении 13-й минуты | - | - |
Примечание. Смесь не подрезают, если в запасе имеются ингредиенты, не вошедшие в каучук.
Приготовленную смесь помещают на стол, предварительно пропудренный через двойной марлевый мешочек тальком по
ГОСТ 19729-74 или ГОСТ 13145-67. Допускается пропудривать и резиновую смесь.
(Измененная редакция, Изм. N 2, 3).
4.4.1.2. Заготовка пластин
Полученные листы резиновой смеси выдерживают перед вулканизацией при комнатной температуре не менее 4 ч, после чего разрезают на пластины и помещают в четырех- или двухместные вулканизационные формы, нагретые предварительно до 70 - 90 °C.
На пластинах должно быть указано направление вальцевания.
Затем формы закрывают, помещают в нагретый до 133 °C пресс и вулканизуют пластины при температуре (133 +/- 1) °C в течение 20 и 30 мин по две пластины для каждого времени вулканизации. При этом давление на площадь ячейки формы не должно быть менее 3,5 МПа (35 кгс/см
2). Допуск по температуре определяют в соответствии с
п. 4.3.1.
Перед испытанием пластины выдерживают при комнатной температуре не менее 4 ч.
4.4.2. Условную прочность при растяжении и относительное удлинение определяют по
ГОСТ 270-75 на образцах типа II толщиной (1,0 +/- 0,2) мм.
(в ред.
Изменения N 4, утв. Постановлением Госстандарта СССР от 26.12.1991 N 2158)
Результаты испытаний должны соответствовать требованиям
табл. 1 при вулканизации в течение 20 или 30 мин. При испытании вулканизатов при температурах 23 и 100 °C за результат испытания принимают среднее арифметическое всех испытанных образцов, в том числе и разорвавшихся вне рабочего участка, кроме тех, которые разорвались в зажимах.
(в ред.
Изменения N 4, утв. Постановлением Госстандарта СССР от 26.12.1991 N 2158)
При испытании при температуре 100 °C отклонение отдельных результатов от среднего арифметического не должно быть более 20%.
Примечание. Образцы заготавливают на вырубном прессе, в качестве подложки используют эбонитовую пластину (паронит, ремень), на которую помещают два-три слоя картона по
ГОСТ 7950-77.
Образцы вырубают таким образом, чтобы нижний слой картона не вырубался ножом.
(Измененная редакция, Изм. N 3).
При разногласиях в оценке качества каучука и арбитражных испытаниях условную прочность при растяжении и относительное удлинение определяют на разрывных машинах типа РМИ.
(абзац введен
Изменением N 7, утв. Постановлением Госстандарта России от 15.12.2000 N 363-ст)
4.5. Определение массовой доли золы и ее водорастворимой части
(в ред.
Изменения N 7, утв. Постановлением Госстандарта России от 15.12.2000 N 363-ст)
Массовую долю золы и ее водорастворимой части определяют по ГОСТ 19816.4, метод В. Навеску каучука массой (5,0 +/- 0,5) г сжигают при температуре (550 +/- 25) °C без обработки золы водой.
(абзац введен
Изменением N 7, утв. Постановлением Госстандарта России от 15.12.2000 N 363-ст)
Допускается применять муфельную печь без вытяжной трубы и устройства для обеспечения циркуляции воздуха.
(абзац введен
Изменением N 7, утв. Постановлением Госстандарта России от 15.12.2000 N 363-ст)
Результаты определения массовой доли золы округляют до второго десятичного знака.
(абзац введен
Изменением N 4, утв. Постановлением Госстандарта СССР от 26.12.1991 N 2158)
Два результата параллельных определений считают приемлемыми (с доверительной вероятностью 0,95) для вычисления результата испытания, если расхождение между ними не превышает 0,03%.
(абзац введен
Изменением N 4, утв. Постановлением Госстандарта СССР от 26.12.1991 N 2158)
За результат испытания принимают среднее арифметическое значение двух приемлемых определений, округленное до первого десятичного знака
(абзац введен
Изменением N 4, утв. Постановлением Госстандарта СССР от 26.12.1991 N 2158)
(Измененная редакция, Изм. N 2).
4.6. Определение массовой доли меди, железа и титана
4.6.1. Оборудование и реактивы:
фотоэлектроколориметр;
весы лабораторные, 2-го класса по ГОСТ 24104-88 с наибольшим пределом взвешивания 200 г;
(в ред.
Изменения N 4, утв. Постановлением Госстандарта СССР от 26.12.1991 N 2158)
печь муфельная в комплекте с термопарой градуировки "ХА" и электронным потенциометром типа КСП-4 по
ГОСТ 7164-78. Предел измерения от 0 до 800 °C. Допускается использование средств измерений другого типа с аналогичными метрологическими характеристиками;
(в ред.
Изменения N 4, утв. Постановлением Госстандарта СССР от 26.12.1991 N 2158)
тигли или чашки платиновые вместимостью 40 - 100 см
3 по
ГОСТ 6563-75;
| | ИС МЕГАНОРМ: примечание. В официальном тексте документа, видимо, допущена опечатка: стандарт имеет номер ГОСТ 20292-74, а не ГОСТ 20292-72. | |
калий сернокислый кислый (бисульфат) по ГОСТ 4223-75, ч.д.а.
(в ред.
Изменения N 4, утв. Постановлением Госстандарта СССР от 26.12.1991 N 2158)
кислота серная по
ГОСТ 4204-77, х.ч. или ч.д.а., концентрированная и растворы с концентрацией эквивалента
c(1/2 H
2SO
4) = 0,001, 0,01 и 3 моль/дм
3;
(в ред.
Изменения N 4, утв. Постановлением Госстандарта СССР от 26.12.1991 N 2158)
аммиак водный по
ГОСТ 3760-79, ч.д.а., концентрированный, растворы с массовой долей 1 и 10%;
(в ред.
Изменения N 4, утв. Постановлением Госстандарта СССР от 26.12.1991 N 2158)
натрия диэтилдитиокарбамат по
ГОСТ 8864-71, ч.д.а. раствор с массовой долей 0,1%;
(в ред.
Изменения N 4, утв. Постановлением Госстандарта СССР от 26.12.1991 N 2158)
кислота азотная по
ГОСТ 4461-77, х.ч. или ч.д.а., концентрированная;
кислота сульфосалициловая по
ГОСТ 4478-78, ч.д.а., раствор с массовой долей 25%;
(в ред.
Изменения N 4, утв. Постановлением Госстандарта СССР от 26.12.1991 N 2158)
(в ред.
Изменения N 4, утв. Постановлением Госстандарта СССР от 26.12.1991 N 2158)
Для приготовления стандартного раствора титана допускается использовать двуокись титана;
| | ИС МЕГАНОРМ: примечание. Взамен ГОСТ 20015-74 Постановлением Госстандарта СССР от 22.12.1988 N 4454 с 1 января 1991 года введен в действие ГОСТ 20015-88. | |
хлороформ технический, высший сорт по ГОСТ 20015-74 или четыреххлористый углерод по
ГОСТ 20288-74, х.ч.;
перекись водорода (пергидроль) по
ГОСТ 10929-76, х.ч. раствор с массовой долей 3%;
(в ред.
Изменения N 4, утв. Постановлением Госстандарта СССР от 26.12.1991 N 2158)
двуокись титана;
индикаторная бумага "конго красный";
фильтры обеззоленные "белая лента".
(Измененная редакция, Изм. N 2).
4.6.2. Подготовка к испытанию
4.6.2.1. Приготовление стандартного раствора меди
Пипеткой отбирают 10 см3 раствора, содержащего Cu, переносят его в мерную колбу вместимостью 1000 см3 и разбавляют до метки раствором серной кислоты c(1/2 H2SO4) = 0,001 моль/дм3.
(в ред.
Изменения N 4, утв. Постановлением Госстандарта СССР от 26.12.1991 N 2158)
1 см3 этого раствора должен содержать 0,00001 г меди.
4.6.2.2. Приготовление стандартного раствора железа
Пипеткой отбирают 25 см3 раствора, содержащего Fe3+, переносят его в мерную колбу вместимостью 500 см3 и разбавляют до метки раствором серной кислоты c(1/2 H2SO4) = 0,001 моль/дм3.
(в ред.
Изменения N 4, утв. Постановлением Госстандарта СССР от 26.12.1991 N 2158)
1 см3 этого раствора должен содержать 0,00005 г железа.
4.6.2.3. Приготовление стандартного раствора титана
Способ 1. Приготовление стандартного раствора титана по
ГОСТ 4212-76: 1 см
3 стандартного раствора титана должен содержать 0,0001 г титана.
Способ 2. Приготовление стандартного раствора титана из двуокиси титана: смесь 0,1 г двуокиси титана, 5 - 6 г сернокислого аммония и 15 - 20 см3 концентрированной серной кислоты нагревают в стакане на плитке до растворения, охлаждают, переводят в мерную колбу вместимостью 100 см3, содержащую от 50 до 60 см3 дистиллированной воды и доливают до метки дистиллированной водой. 1 см3 такого раствора содержит 0,0006 г титана.
(Измененная редакция, Изм. N 2).
4.6.2.4. Построение градуировочного графика для определения массовой доли меди
В делительную воронку наливают 50 см3 воды, вводят пипеткой 10 см3 стандартного раствора меди, добавляют 20 капель концентрированной азотной кислоты, бросают кусочек бумаги "конго красный" и прибавляют по каплям концентрированный аммиак до перехода синей окраски бумаги в красную. После этого наливают еще 1 см3 концентрированного аммиака и 15 см3 раствора диэтилдитиокарбамата натрия. Воронку закрывают пришлифованной стеклянной пробкой и встряхивают в течение 2 мин.
После этого приливают 40 см3 хлороформа или четыреххлористого углерода и экстрагируют окрашенный комплекс, встряхивая воронку в течение 4 - 5 мин.
После разделения слоев нижний сливают в мерную колбу вместимостью 100 см3, следя за тем, чтобы носик воронки был сухим. В делительную воронку снова наливают 40 см3 хлороформа или четыреххлористого углерода и повторяют экстрагирование, встряхивая воронку в течение 2 - 3 мин. Нижний слой сливают в ту же мерную колбу и не достающий до метки объем дополняют хлороформом или четыреххлористым углеродом.
Полученный таким образом окрашенный раствор содержит 0,000001 г меди в 1 см3 раствора.
Для построения градуировочного графика в мерные колбы вместимостью 25 см3 наливают из бюретки 5, 10, 15, 20 и 25 см3 окрашенного раствора, доводят объем до метки хлороформом или четыреххлористым углеродом и хорошо перемешивают. Полученные растворы колориметрируют в фотоэлектроколориметре в кюветах с толщиной поглощающего свет слоя жидкости 50 мм и синим светофильтром с областью светопропускания 400 - 440 нм.
(в ред.
Изменения N 4, утв. Постановлением Госстандарта СССР от 26.12.1991 N 2158)
В кювету сравнения наливают дистиллированную воду. Оптическую плотность раствора проверяют еще раз через 2 мин и, если новое показание отличается больше, чем на 0,02, измерение повторяют еще раз через 2 мин.
Строят градуировочный график, откладывая на оси ординат показание прибора с учетом поправки на контрольный опыт, проведенный по
п. 4.6.2.6, а по оси абсцисс - количество меди в граммах.
4.6.2.5. Построение градуировочного графика для определения массовой доли железа
В мерные колбы вместимостью 100 см3 из бюретки с ценой деления 0,02 см3 наливают 0,5; 1,0; 1,5; 2,0; 2,5; 3,0; 3,5 и 4,0 см3 стандартного раствора железа и по 20 см3 воды.
В колбы бросают по кусочку бумаги "конго красный" и прибавляют из бюретки по каплям 10%-ный раствор аммиака до сине-сиреневой окраски бумаги. После этого наливают по 5 см3 раствора сульфосалициловой кислоты с массовой долей 25% и по 10 см3 раствора аммиака с массовой долей 10%. Колбы доливают водой до метки, тщательно перемешивают и через 5 мин колориметрируют в фотоэлектроколориметре в кюветах с толщиной поглощающего свет слоя жидкости 50 мм и синим светофильтром с областью светопропускания 400 - 440 нм.
(в ред.
Изменения N 4, утв. Постановлением Госстандарта СССР от 26.12.1991 N 2158)
В кювету сравнения наливают дистиллированную воду.
Строят градуировочный график, откладывая по оси ординат показания прибора с учетом поправки на контрольный опыт, проведенный по
п. 4.6.2.6, а по оси абсцисс - количество железа в граммах.
4.6.2.4, 4.6.2.5. (Измененная редакция, Изм. N 2).
4.6.2.6. Проведение контрольного опыта при построении градуировочных графиков для меди и железа
Контрольный опыт проводят, колориметрируя растворы, полученные при повторении всех операций с такими же количествами реактивов и воды, как при построении градуировочного графика, но без введения стандартного раствора.
4.6.2.7. Построение градуировочного графика для определения массовой доли титана
В мерные колбы вместимостью 100 см
3 наливают по 5 см
3 раствора перекиси водорода и из бюретки наливают 1, 5, 10, 15 и 20 см
3 стандартного раствора титана, приготовленного по
ГОСТ 4212-76 или 0,5; 1,0; 1,5; 2,0 и 2,5 см
3 стандартного раствора титана, приготовленного на двуокиси титана. Колбы доливают до метки водой, перемешивают и колориметрируют в фотоэлектроколориметре в кюветах с толщиной поглощающего свет слоя жидкости 50 мм и синим светофильтром с областью светопропускания 400 - 440 нм.
(в ред.
Изменения N 4, утв. Постановлением Госстандарта СССР от 26.12.1991 N 2158)
Строят градуировочный график, откладывая по оси ординат показания прибора, а по оси абсцисс - количество титана в граммах.
(Измененная редакция, Изм. N 2).
4.6.3. Проведение испытания
4.6.3.1. Разделение гидроокисей металлов
К золе, полученной по
п. 4.5, в платиновых чашках или тиглях, добавляют (2,0 +/- 0,1) г бисульфата калия и чашку помещают в муфельную печь, нагретую до 550 - 600 °C на 5 - 10 мин. Сплавление считают законченным, когда содержимое чашки будет в жидком состоянии и прозрачным.
(в ред.
Изменения N 4, утв. Постановлением Госстандарта СССР от 26.12.1991 N 2158)
Затем в охлажденную чашку наливают 20 см3 раствора серной кислоты c(1/2 H2SO4) = 3 моль/дм3, помещают чашку на горячую плитку и нагревают до полного растворения осадка. После этого содержимое чашки переносят в стакан вместимостью 200 см3, смывая чашку порциями дистиллированной воды по 5 см3.
(в ред.
Изменения N 4, утв. Постановлением Госстандарта СССР от 26.12.1991 N 2158)
В раствор, находящийся в стакане, добавляют 20 капель концентрированной азотной кислоты и нагревают его до кипения. После охлаждения в стакан помещают кусочек бумаги "конго красный" и по каплям при перемешивании добавляют концентрированный аммиак до изменения синей окраски бумаги в красную.
После этого прибавляют еще 1 см3 раствора аммиака и кипятят раствор на плитке 1 - 2 мин.
Образовавшийся после охлаждения осадок гидроокисей металлов отфильтровывают через бумажный фильтр, собирая фильтрат в делительную воронку вместимостью 200 см3. Стакан и осадок промывают пять-шесть раз раствором аммиака с массовой долей 1%, чтобы общий объем раствора в делительной воронке составлял не более 100 см3.
(в ред.
Изменения N 4, утв. Постановлением Госстандарта СССР от 26.12.1991 N 2158)
4.6.3.2. Определение массовой доли меди
В делительную воронку с фильтратом наливают 5 см3 раствора диэтилдитиокарбамата натрия с массовой долей 0,1%, воронку закрывают стеклянной пробкой и энергично встряхивают в течение 2 мин.
(в ред.
Изменения N 4, утв. Постановлением Госстандарта СССР от 26.12.1991 N 2158)
После этого в воронку наливают 15 см3 хлороформа или четыреххлористого углерода и экстрагируют окрашенный комплекс, встряхивая воронку в течение 4 мин. После разделения слоев нижний слой сливают в мерную колбу вместимостью 25 см3, следя за тем, чтобы носик воронки был сухим.
В делительную воронку снова наливают 10 см3 хлороформа или четыреххлористого углерода и повторяют экстрагирование, встряхивая воронку в течение 2 мин. Нижний слой сливают в ту же мерную колбу и недостающий до метки объем дополняют хлороформом или четыреххлористым углеродом.
Полученный экстракт перемешивают и через 5 мин колориметрируют как указано в
п. 4.6.2.4.
4.6.3.3. Определение массовой доли железа
Фильтр с осадком гидроокисей металлов помещают в стакан вместимостью 200 см3, в котором производилось осаждение аммиаком, приливают 50 см3 раствора серной кислоты c(1/2 H2SO4) = 3 моль/дм3 и нагревают содержимое стакана до полного растворения осадка.
(в ред.
Изменения N 4, утв. Постановлением Госстандарта СССР от 26.12.1991 N 2158)
Горячий раствор отфильтровывают в мерную колбу вместимостью 100 см3, промывая фильтр дистиллированной водой. Когда температура содержимого колбы достигнет 20 °C, его объем доводят до метки дистиллированной водой и перемешивают.
50 см
3 полученного раствора переносят пипеткой в мерную колбу вместимостью 100 см
3, бросают в нее кусочек бумаги "конго красный" и добавляют из бюретки медленно небольшими порциями, а к концу по каплям раствор аммиака с массовой долей 10% до сине-сиреневой окраски индикаторной бумаги. Затем наливают 5 см
3 раствора сульфосалициловой кислоты с массовой долей 25% и 10 см
3 раствора аммиака с массовой долей 10%, доводят объем водой до метки и перемешивают. Через 5 мин раствор колориметрируют как указано в
п. 4.6.2.5.
(в ред.
Изменения N 4, утв. Постановлением Госстандарта СССР от 26.12.1991 N 2158)
4.6.3.4. Проведение контрольных анализов на содержание меди и железа
Контрольный анализ проводят при применении новой партии реактивов, сжигая в условиях анализа беззольный фильтр и повторяя все операции с такими же количествами реактивов и воды, как при анализе каучука.
Колориметрируют контрольный раствор при тех же условиях, что исследуемый.
4.6.3.5. Определение массовой доли титана
В мерную колбу вместимостью 100 см
3 вносят пипеткой аликвотную часть из 50 см
3 сернокислого раствора, оставшегося после определения железа по
п. 4.6.3.3, в соответствии с определяемой массовой долей титана (табл. 4)
Массовая доля титана в образце, % | Аликвотная часть раствора, взятая для определения, см3 |
0,05 и более | 10 |
0,04 | 20 |
0,03 | 30 |
0,02 | 40 |
0,01 и менее | 50 |
В колбу добавляют 5 см
3 раствора перекиси водорода, доводят объем до метки водой, перемешивают и колориметрируют по
п. 4.6.2.7.
(п. 4.6.3.5 в ред.
Изменения N 7, утв. Постановлением Госстандарта России от 15.12.2000 N 363-ст)
4.6.4. Обработка результатов
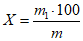
4.6.4.1. Массовую долю меди (X) в процентах вычисляют по формуле

,
где m1 - масса меди, найденная по градуировочному графику по разности показаний прибора при колориметрировании исследуемого раствора и контрольного опыта, г;
m - масса навески каучука, г.
Вычисляют до пятого десятичного знака.
Два результата параллельных определений считают приемлемыми (с доверительной вероятностью 0,95) для вычисления результата испытаний, если расхождение между ними не превышает 0,00004%.
(в ред.
Изменения N 4, утв. Постановлением Госстандарта СССР от 26.12.1991 N 2158)
За результат испытания принимают среднее арифметическое значение двух приемлемых результатов определений, округленное до четвертого десятичного знака.
(в ред.
Изменения N 4, утв. Постановлением Госстандарта СССР от 26.12.1991 N 2158)
4.6.4.2. Массовую долю железа (X1) в процентах вычисляют по формуле

,
где m2 - масса железа, найденная по градуировочному графику по разности показаний прибора при колориметрировании исследуемого раствора и контрольного опыта, г;
2 - коэффициент разбавления.
Вычисляют до четвертого десятичного знака.
Два результата параллельных определений считают приемлемыми (с доверительной вероятностью 0,95) для вычисления результата испытания, если расхождение между ними не превышает в зависимости от уровня показателя качества следующих значений:
уровень, % | расхождение, % |
до 0,003 включ. | 0,0006 |
св. 0,003 | 0,0007. |
(в ред.
Изменения N 4, утв. Постановлением Госстандарта СССР от 26.12.1991 N 2158,
Изменения N 7, утв. Постановлением Госстандарта России от 15.12.2000 N 363-ст)
За результат испытания принимают среднее арифметическое значение двух приемлемых результатов определений, округленное до третьего десятичного знака.
(в ред.
Изменения N 4, утв. Постановлением Госстандарта СССР от 26.12.1991 N 2158)
4.6.4.3. Массовую долю титана (X2) в процентах вычисляют по формуле

,
где m3 - масса титана, найденная по градуировочному графику, г;

- коэффициент разбавления;
V - аликвотная часть сернокислого раствора, оставшегося после определения массовой доли железа, взятая для определения массовой доли титана по
табл. 4.
(в ред.
Изменения N 8, введенного Постановлением Госстандарта России от 21.02.2002 N 73-ст)
Вычисляют до третьего десятичного знака.
Два результата параллельных определений считают приемлемым (с доверительной вероятностью 0,95) для вычисления результата испытания, если расхождение между ними не превышает 0,003%.
(в ред.
Изменения N 4, утв. Постановлением Госстандарта СССР от 26.12.1991 N 2158)
За результат испытания принимают среднее арифметическое значение двух приемлемых результатов определений, округленное до второго десятичного знака.
(в ред.
Изменения N 4, утв. Постановлением Госстандарта СССР от 26.12.1991 N 2158)
4.6.4.1 - 4.6.4.3. (Измененная редакция, Изм. N 2).
4.7. Определение потери массы при сушке
Потерю массы при сушке определяют по ГОСТ 19338-90, при этом каучук выдерживают в сушильном шкафу (3,0 +/- 0,1) ч.
(в ред.
Изменения N 4, утв. Постановлением Госстандарта СССР от 26.12.1991 N 2158)
Масса отобранной пробы должна быть около (1,0 +/- 0,1) г. При определении допускается использовать тарелочки диаметром от 40 до 60 мм.
(в ред.
Изменения N 4, утв. Постановлением Госстандарта СССР от 26.12.1991 N 2158)
От различных упаковочных единиц партии проводят по одному определению.
(абзац введен
Изменением N 4, утв. Постановлением Госстандарта СССР от 26.12.1991 N 2158)
Результаты округляют до второго десятичного знака.
(абзац введен
Изменением N 4, утв. Постановлением Госстандарта СССР от 26.12.1991 N 2158)
Группу из 10 результатов определений отдельных проб считают приемлемой (с доверительной вероятностью 0,95) для вычисления результата испытания партии, если расхождение между наибольшим и наименьшим результатами определений отдельных проб не превышает 0,40%.
(абзац введен
Изменением N 4, утв. Постановлением Госстандарта СССР от 26.12.1991 N 2158)
За результат испытания партии каучука принимают среднее арифметическое результатов определений отдельных проб, при этом потеря массы каждой пробы должна соответствовать указанной в
табл. 1. Результат испытания округляют до первого десятичного знака.
(абзац введен
Изменением N 4, утв. Постановлением Госстандарта СССР от 26.12.1991 N 2158; в ред.
Изменения N 7, утв. Постановлением Госстандарта России от 15.12.2000 N 363-ст)
(Измененная редакция, Изм. N 2, 3).
4.8. Определение массовой доли стеариновой кислоты потенциометрическим методом
4.8.1. Оборудование и реактивы:
pH-метр, милливольтметр;
весы лабораторные, 2 класса по ГОСТ 24104-88 с наибольшим пределом взвешивания 200 г;
(в ред.
Изменения N 4, утв. Постановлением Госстандарта СССР от 26.12.1991 N 2158)
электрод стеклянный;
электрод сравнения хлорсеребряный;
ячейка для титрования: стакан В-2-250 ТС по
ГОСТ 25336-82, снабженный крышкой из органического стекла с тремя отверстиями для микробюретки и электродов;
баня песчаная;
мешалка магнитная;
холодильник воздушный длиной 120 см и диаметром 1,2 см;
кислота серная, х.ч. или ч.д.а., концентрированная по
ГОСТ 4204-77;
(в ред.
Изменения N 5, утв. Постановлением Госстандарта России от 17.04.1995 N 220)
калий хлористый, х.ч. или ч.д.а., по
ГОСТ 4234-77, насыщенный раствор;
смесь спирто-толуольная - спирт: толуол = 30:70 (по объему).
(Измененная редакция, Изм. N 2).
4.8.2. Подготовка к испытанию
Хлорсеребряный электрод сравнения заполняют насыщенным раствором хлористого калия. Индикаторный стеклянный электрод перед испытанием выдерживают в течение 8 ч в спирто-толуольной смеси (30:70).
4.8.3. Проведение испытания
3 - 5 г каучука нарезают на кусочки размером около 0,5 x 0,5 x 0,5 см, взвешивают и помещают в колбу. Приливают 100 см3 спирто-толуольной смеси (30:70), добавляют 1 каплю (0,05 - 0,10) см3 концентрированной серной кислоты и кипятят на песчаной бане с воздушным холодильником в течение 30 мин. После охлаждения в колбу приливают 60 см3 этилового спирта, затем колбу энергично встряхивают до полного выделения полимера. Раствор сливают в ячейку для титрования. Полимер промывают еще 20 см3 этилового спирта, выливают спирт в ту же ячейку, затем погружают в нее электроды и титруют содержимое ячейки раствором гидроокиси калия при непрерывном перемешивании, добавляя по 0,2 см3 титранта.
(в ред.
Изменения N 4, утв. Постановлением Госстандарта СССР от 26.12.1991 N 2158)
Запись результатов титрования и вычисления представляют в виде таблицы.
У см3 KOH |  см 3 KOH | Е, мВ |  , мВ | |
Две точки эквивалентности, соответствующие концу титрования серной (
У1) и стеариновой (
У2) кислот, находят из данных этой таблицы по максимальным значениям

- отношения приращения потенциала индикаторного электрода к соответствующему приращению объема.
(Измененная редакция, Изм. N 2).
4.8.4. Массовую долю стеариновой кислоты (X3) в процентах вычисляют по формуле

,
где
У2 - объем раствора гидроокиси калия, израсходованный на суммарное титрование серной и стеариновой кислот, соответствующий II максимуму значения

, см
3;
У1 - объем раствора гидроокиси калия, израсходованный на титрование серной кислоты, соответствующий I максимуму значения

, см
3;
H - молярная концентрация эквивалента гидроокиси калия, моль/дм3;
284 - молярная масса эквивалента стеариновой кислоты, г/моль;
m - масса навески каучука, г.
Результат определения округляют до второго десятичного знака.
Два результата параллельных определений считают приемлемыми (с доверительной вероятностью 0,95) для вычисления результата испытания, если расхождение между ними не превышает 0,20%.
(в ред.
Изменения N 4, утв. Постановлением Госстандарта СССР от 26.12.1991 N 2158)
За результат испытания принимают среднее арифметическое значение двух приемлемых определений, округленное до первого десятичного знака.
(абзац введен
Изменением N 4, утв. Постановлением Госстандарта СССР от 26.12.1991 N 2158)
(Измененная редакция, Изм. N 2, 3).
4.9. (Исключен, Изм. N 2).
4.10. Определение массовой доли антиоксидантов.
4.10.1. Исключен с 1 сентября 1995 года. -
Изменение N 5, утв. Постановлением Госстандарта России от 17.04.1995 N 220.
4.10.2. Определение массовой доли антиоксиданта ДФФД - по ГОСТ 24655-81, используя водяные или воздушные (длиной не менее 1,2 м) холодильники и лабораторные весы по ГОСТ 24104-88 2-го класса с наибольшим пределом взвешивания 200 г и 4-го класса с наибольшим пределом взвешивания 500 г.
(в ред.
Изменения N 4, утв. Постановлением Госстандарта СССР от 26.12.1991 N 2158)
Результаты определений округляют до третьего десятичного знака.
(абзац введен
Изменением N 4, утв. Постановлением Госстандарта СССР от 26.12.1991 N 2158)
Два результата параллельных определений считают приемлемыми (с доверительной вероятностью 0,95) для вычисления результата испытания, если расхождение между ними не превышает 0,015%.
(абзац введен
Изменением N 4, утв. Постановлением Госстандарта СССР от 26.12.1991 N 2158; в ред.
Изменения N 7, утв. Постановлением Госстандарта России от 15.12.2000 N 363-ст)
За результат испытания принимают среднее арифметическое значение двух результатов приемлемых определений, округленное до второго десятичного знака.
(абзац введен
Изменением N 4, утв. Постановлением Госстандарта СССР от 26.12.1991 N 2158)
4.10.3. Определение массовой доли антиоксидантов диафена-13 или С-789.
4.10.3.1. Аппаратура, посуда, реактивы
Весы лабораторные 2-го класса по ГОСТ 24104-88 с наибольшим пределом измерения от 50 до 200 г или любые другие с аналогичными характеристиками;
(в ред.
Изменения N 4, утв. Постановлением Госстандарта СССР от 26.12.1991 N 2158)
фотоколориметр любой марки;
(в ред.
Изменения N 4, утв. Постановлением Госстандарта СССР от 26.12.1991 N 2158)
колбы Кн-1-100-29/32 ТС или П-1-100-29/32 ТС и Кн-1-50-18 по
ГОСТ 25336-82;
холодильник с воздушным охлаждением длиной 120 см диаметром 12 мм;
медь уксуснокислая, ч. по ГОСТ 5852-79;
(в ред.
Изменения N 5, утв. Постановлением Госстандарта России от 17.04.1995 N 220)
вода дистиллированная;
смесь спиртотолуольная 70:30 (по объему);
фильтры бумажные;
смесь охлаждающая (лед + соль).
4.10.3.2. Подготовка к испытанию
Очистка диафена-13
(1,0 +/- 0,2) г диафена-13 помещают в колбу вместимостью 50 см3 и растворяют в 20 см3 этилового спирта. Раствор фильтруют через бумажный фильтр. Затем к фильтрату при перемешивании пипеткой по каплям приливают 6 - 8 см3 дистиллированной воды до явного помутнения раствора. Колбу с раствором помещают в охлаждающую смесь (лед + соль) и выдерживают 1 - 2 ч до выпадения кристаллов, которые затем отфильтровывают под вакуумом на воронке Бюхнера.
Кристаллы промывают два-три раза дистиллированной водой порциями по 15 см3 и вместе с фильтром помещают в эксикатор и сушат под вакуумом.
Приготовление стандартного раствора диафена-13 или С-789
Растворяют (0,0250 +/- 0,0005) г антиоксиданта в этиловом спирте в мерной колбе вместимостью 250 см3. Полученный раствор содержит 0,0001 г антиоксиданта в 1 см3.
(в ред.
Изменения N 4, утв. Постановлением Госстандарта СССР от 26.12.1991 N 2158)
Приготовление окисляющего реактива
В мерную колбу вместимостью 1000 см3 помещают (0,50 +/- 0,02) г уксуснокислой меди (II), (4,66 +/- 0,02) г хлористого калия, 10 см3 раствора соляной кислоты и 250 см3 воды, а затем медленно небольшими порциями доливают до метки этиловым спиртом при сильном перемешивании.
(в ред.
Изменения N 4, утв. Постановлением Госстандарта СССР от 26.12.1991 N 2158,
Изменения N 5, утв. Постановлением Госстандарта России от 17.04.1995 N 220)
Построение градуировочного графика
В мерные колбы вместимостью 25 см
3 вливают 0,5; 1,0; 1,5; 2,0; 2,5; 3,0 см
3 стандартного раствора диафена-13 или 1, 2, 3, 4, 5 см
3 стандартного раствора С-789 и доливают до метки окисляющим реактивом. Раствор перемешивают и сразу колориметрируют в кюветах с толщиной слоя жидкости 30 мм со светофильтром

. В кюветы сравнения помещают дистиллированную воду. Градуировочный график строят, откладывая по оси абсцисс количество диафена-13 или С-789 в граммах, а по оси ординат - показания прибора.
Приготовление спиртотолуольного экстракта
(0,5 +/- 0,02) г мелко нарезанного каучука помещают в колбу с пришлифованным холодильником и приливают 15 см3 спиртотолуольной смеси. Колбу нагревают на закрытой электроплитке и кипятят содержимое в течение 30 мин. Затем колбу охлаждают, отсоединяют от холодильника, экстракт переводят в мерную колбу вместимостью 50 см3 и экстрагирование повторяют еще два раза в тех же условиях.
Полученные экстракты объединяют и доводят объем в колбе до метки спиртотолуольной смесью, после чего хорошо перемешивают.
4.10.3.3. Проведение испытания
От 2 до 5 см
3 экстракта диафена-13 или 5 см
3 экстракта С-789 помещают в мерную колбу вместимостью 25 см
3, доводят окисляющим реактивом до метки и перемешивают. Оптическую плотность растворов определяют на фотоэлектроколориметре в условиях построения градуировочных графиков, указанных в
п. 4.10.3.2.
(п. 4.10.3.3 в ред.
Изменения N 5, утв. Постановлением Госстандарта России от 17.04.1995 N 220)
4.10.3.4. Обработка результатов
Массовую долю диафена-13 или С-789 (X) в процентах вычисляют по формуле

,
где m - масса диафена-13 или С-789, найденная по градуировочному графику, г;
50 - объем экстракта, см3;
m1 - масса навески каучука, г;
V - объем экстракта, взятый для испытания, см3.
(в ред.
Изменения N 5, утв. Постановлением Госстандарта России от 17.04.1995 N 220)
Результат вычисляют с точностью до третьего десятичного знака.
Два результата параллельных определений считают приемлемыми (с доверительной вероятностью 0,95) для вычисления результата испытания, если расхождение между ними не превышает 0,010%.
(в ред.
Изменения N 4, утв. Постановлением Госстандарта СССР от 26.12.1991 N 2158,
Изменения N 5, утв. Постановлением Госстандарта России от 17.04.1995 N 220,
Изменения N 7, утв. Постановлением Госстандарта России от 15.12.2000 N 363-ст)
За результат испытаний принимают среднее арифметическое значение двух приемлемых результатов определений, округленное до второго десятичного знака.
(абзац введен
Изменением N 4, утв. Постановлением Госстандарта СССР от 26.12.1991 N 2158)
4.10.4. Определение массовой доли антиоксиданта ВТС-60
4.10.4.1. Аппаратура, посуда, реактивы
Весы лабораторные общего назначения 2-го класса по ГОСТ 24104-88 с наибольшим пределом взвешивания 200 г;
(в ред.
Изменения N 4, утв. Постановлением Госстандарта СССР от 26.12.1991 N 2158)
фотоэлектроколориметр любой марки;
(в ред.
Изменения N 4, утв. Постановлением Госстандарта СССР от 26.12.1991 N 2158)
прибор для экстрагирования, состоящий из круглодонной колбы К-1-50-29/32 ТС по
ГОСТ 25336-82 с пришлифованным обратным воздушным холодильником (длина трубки 120 см, диаметр 12 - 14 мм);
(в ред.
Изменения N 4, утв. Постановлением Госстандарта СССР от 26.12.1991 N 2158)
(в ред.
Изменения N 4, утв. Постановлением Госстандарта СССР от 26.12.1991 N 2158)
кислота соляная по
ГОСТ 3118-77, раствор
c(HCl) = 0,5 моль/дм
3;
(в ред.
Изменения N 4, утв. Постановлением Госстандарта СССР от 26.12.1991 N 2158)
медь уксуснокислая окисная по ГОСТ 5852-79;
антиоксидант ВТС-60, по ТУ 6-14-1013-87;
(в ред.
Изменения N 4, утв. Постановлением Госстандарта СССР от 26.12.1991 N 2158)
вода дистиллированная.
4.10.4.2. Подготовка к испытанию
Приготовление окисляющего реактива
(0,50 +/- 0,02) г окисной уксуснокислой меди, (4,66 +/- 0,02) г хлористого калия, 10 см3 раствора соляной кислоты и 250 см3 дистиллированной воды помещают в мерную колбу вместимостью 1000 см3 и медленно доливают до метки этиловым спиртом при сильном перемешивании. Полученный раствор должен быть прозрачным.
(в ред.
Изменения N 4, утв. Постановлением Госстандарта СССР от 26.12.1991 N 2158)
Приготовление спиртотолуольной смеси
Смешивают этиловый спирт и толуол в соотношении 7:3 (по объему).
Приготовление стандартного раствора антиоксиданта ВТС-60
(0,0250 +/- 0,0005) г антиоксиданта ВТС-60 взвешивают в стеклянном стаканчике, растворяют в спиртотолуольной смеси, переносят количественно в мерную колбу вместимостью 250 см3, доводят до метки спиртотолуольной смесью, перемешивают. Полученный раствор содержит 0,0001 г ВТС-60 в 1 см3.
(в ред.
Изменения N 4, утв. Постановлением Госстандарта СССР от 26.12.1991 N 2158)
Построение градуировочного графика
В мерные колбы вместимостью 25 см
3 наливают из микробюретки 0,5; 1,0; 1,5; 2,0; 2,5; 3,0 см
3 стандартного раствора антиоксиданта ВТС-60, доводят до метки окисляющим реактивом, перемешивают. Приготовленные градуировочные растворы содержат 0,05; 0,1; 0,15; 0,2; 0,25; 0,30 мг антиоксиданта ВТС-60 соответственно. Измеряют оптические плотности (
D) на фотоэлектроколориметре с синим светофильтром

в кюветах с толщиной поглощающего свет слоя 30 мм.
(в ред.
Изменения N 4, утв. Постановлением Госстандарта СССР от 26.12.1991 N 2158)
В рабочую кювету помещают градуировочные растворы с окисляющим реактивом, в кювету сравнения - дистиллированную воду.
Строят градуировочный график зависимости оптической плотности от концентрации антиоксиданта ВТС-60, при этом на оси абсцисс откладывают содержание ВТС-60 в объеме 25 см3 колориметрируемого раствора, выраженного в граммах, а на оси ординат - соответствующие значения оптических плотностей (D).
(в ред.
Изменения N 5, утв. Постановлением Госстандарта России от 17.04.1995 N 220)
4.10.4.3. Проведение испытания
Приготовление спиртотолуольного экстракта каучука
(0,50 +/- 0,02) г мелко нарезанного каучука взвешивают, помещают в колбу для экстрагирования, приливают 15 см3 спиртотолуольной смеси, присоединяют к обратному воздушному холодильнику и кипятят на песчаной бане в течение 30 мин, считая от момента закипания.
(в ред.
Изменения N 4, утв. Постановлением Госстандарта СССР от 26.12.1991 N 2158)
Затем прибор для экстрагирования снимают, охлаждают, колбу отсоединяют от холодильника и экстракт сливают в мерную колбу вместимостью 50 см3. Экстрагирование пробы каучука проводят еще дважды, прибавляя каждый раз по 15 см3 спиртотолуольной смеси.
Продолжительность каждого последующего экстрагирования 15 мин. После третьего экстрагирования пробы каучука в экстракционной колбе промывают 5 см3 спиртотолуольной смесью, которые также объединяют с экстрактами. Содержимое колбы доводят до метки спиртотолуольной смесью и перемешивают.
Определение массы антиоксиданта ВТС-60 в спиртотолуольном экстракте каучука
В мерную колбу вместимостью 25 см
3 помещают пипеткой 2 - 5 см
3 спиртотолуольного экстракта каучука. Содержимое колбы доводят до метки окисляющим реактивом и перемешивают. В рабочую кювету помещают смесь экстракта с окисляющим реактивом, в кювету сравнения - дистиллированную воду. Оптическую плотность измеряют на фотоэлектроколориметре, как указано в
пп. 4.10.4.2.
По градуировочному графику находят массу антиоксиданта ВТС-60, соответствующую показанию оптическую плотность и выраженную в граммах в 25 см3 колориметрируемого раствора.
(в ред.
Изменения N 5, утв. Постановлением Госстандарта России от 17.04.1995 N 220)
4.10.4.4. Обработка результатов
Массовую долю антиоксиданта ВТС-60 (X) в процентах вычисляют по формуле

,
Госстандарта России от 17.04.1995 N 220)
где m - масса антиоксиданта ВТС-60, найденная по градуировочному графику, г;
m1 - масса навески каучука, г;
50 - объем экстракта, см3;
V - объем экстракта, взятый для испытания, см3.
(в ред.
Изменения N 4, утв. Постановлением Госстандарта СССР от 26.12.1991 N 2158,
Изменения N 5, утв. Постановлением Госстандарта России от 17.04.1995 N 220)
Два результата определения считают приемлемыми (с доверительной вероятностью 0,95) для вычисления результата испытаний, если расхождение между ними не превышает 0,014%.
(абзац введен
Изменением N 4, утв. Постановлением Госстандарта СССР от 26.12.1991 N 2158)
За результат испытания принимают среднее арифметическое значение двух приемлемых результатов определений, округленное до второго десятичного знака.
(абзац введен
Изменением N 4, утв. Постановлением Госстандарта СССР от 26.12.1991 N 2158)
Примечание. Стандартный раствор ВТС-60 и спиртотолуольный экстракт каучука имеют окраску, которая усиливается при длительном хранении. Оптическую плотность растворов, содержащих антиоксидант ВТС-60, определяют в день приготовления.
4.10. (Измененная редакция, Изм. N 3).
4.10.5. Определение массовой доли антиоксиданта АФА-1
(п. 4.10.5 введен
Изменением N 6, утв. Постановлением Госстандарта России от 22.04.1997 N 146)
4.10.5.1. Аппаратура, посуда, реактивы
Спектрофотометр, позволяющий проводить измерение оптической плотности растворов в ультрафиолетовой области спектра;
весы лабораторные 2-го класса по ГОСТ 24104-88 с наибольшим пределом взвешивания 200 г;
баня песчаная или водяная;
прибор для экстрагирования, состоящий из круглодонной колбы К-1-50-29/32 ТС по
ГОСТ 25336-82 с пришлифованным обратным холодильником (длина трубки не менее 1000 мм, диаметр 10 - 14 мм);
антиоксидант АФА-1 по нормативной документации;
(пп. 4.10.5.1 введен
Изменением N 6, утв. Постановлением Госстандарта России от 22.04.1997 N 146)
4.10.5.2. Подготовка к испытанию
4.10.5.2.1. Приготовление спирто-толуольной смеси
Этиловый спирт и толуол смешивают в соотношении 7:3 (по объему).
4.10.5.2.2. Приготовление стандартного раствора антиоксиданта
(0,0250 +/- 0,0002) г антиоксиданта взвешивают в стеклянном стаканчике, растворяют в спирто-толуольной смеси, переносят количественно в мерную колбу вместимостью 100 см3, доводят объем раствора в колбе до метки спирто-толуольной смесью и тщательно перемешивают. Полученный раствор содержит 0,00025 г антиоксиданта в 1 см3.
4.10.5.2.3. Построение градуировочного графика
В мерные колбы вместимостью 25 см3 наливают 1, 2, 3, 4, 5 см3 стандартного раствора антиоксиданта, доводят объем раствора в колбе до метки спирто-толуольной смесью, тщательно перемешивают и измеряют оптическую плотность раствора в кювете с толщиной поглощающего свет слоя 10 мм при длине волны 310 и 340 нм.
В кювету сравнения наливают спирто-толуольную смесь.
Строят градуировочный график зависимости разности оптических плотностей раствора при длине волны 310 и 340 нм от концентрации антиоксиданта, откладывая по оси абсцисс количество антиоксиданта в объеме 25 см3 испытуемого раствора, выраженное в граммах, а по оси ординат - соответствующее значение разности оптических плотностей.
4.10.5.2.4. Приготовление спирто-толуольного экстракта
(1,000 +/- 0,002) г мелко нарезанного каучука помещают в колбу с пришлифованным обратным холодильником и добавляют 30 см3 спирто-толуольной смеси. Колбу нагревают на песчаной или водяной бане и кипятят содержимое в течение 30 мин, считая от момента закипания. Затем колбу охлаждают до температуры окружающей среды. Экстракт переводят в мерную колбу вместимостью 100 см3. Повторяют экстрагирование каучука еще дважды в тех же условиях. Полученные экстракты объединяют, доводят объем раствора в колбе до метки спирто-толуольной смесью и тщательно перемешивают.
(пп. 4.10.5.2 введен
Изменением N 6, утв. Постановлением Госстандарта России от 22.04.1997 N 146)
4.10.5.3. Проведение испытания
В мерную колбу вместимостью 25 см3 наливают 2 - 10 см3 спирто-толуольного экстракта, приготовленного по п. 4.10.5.2.4, и доводят объем содержимого колбы до метки спирто-толуольной смесью.
Оптические плотности полученного раствора измеряют при длинах волн 310 и 340 нм в кювете с толщиной поглощающего свет слоя 10 мм.
В кювету сравнения наливают спирто-толуольную смесь.
По градуировочному графику, построенному по
п. 4.10.5.2.3, находят массу антиоксиданта, соответствующую разности оптических плотностей раствора при длине волны 310 и 340 нм (в граммах на 25 см
3).
(пп. 4.10.5.3 введен
Изменением N 6, утв. Постановлением Госстандарта России от 22.04.1997 N 146)
4.10.5.4. Обработка результатов
Массовую долю антиоксиданта (X) в процентах вычисляют по формуле

,
где m - масса антиоксиданта, найденная по градуировочному графику, %;
m1 - масса навески каучука, г;
V - объем экстракта каучука, см3;
V1 - объем экстракта каучука, взятый для приготовления фотометрируемого раствора, см3.
За результат испытания принимают среднее арифметическое результатов двух параллельных определений, расхождение между которыми не превышает 10% от по отношению к найденному среднему значению с точностью до второго десятичного знака.
(пп. 4.10.5.4 введен
Изменением N 6, утв. Постановлением Госстандарта России от 22.04.1997 N 146)
| | ИС МЕГАНОРМ: примечание. В официальном тексте документа, видимо, допущена опечатка: пункты 4.10.5, 4.10.5.1 - 4.10.5.4 были введены Изменением N 6, утв. Постановлением Госстандарта России от 22.04.1997 N 146. Возможно, имеются в виду пункты 4.10.6, 4.10.6.1 - 4.10.6.4. Нумерация пунктов дана в соответствии с официальным текстом Изменения N 8, введенного Постановлением Госстандарта России от 21.02.2002 N 73-ст. | |
4.10.5. Определение массовой доли антиоксидантов Флекзона 11Л, Дусантокса Л или Сантофлекса 134 ПД
(п. 4.10.5 введен
Изменением N 8, введенным Постановлением Госстандарта России от 21.02.2002 N 73-ст)
4.10.5.1. Аппаратура, посуда, реактивы
Весы лабораторные 2-го класса по
ГОСТ 24104 с наибольшим пределом взвешивания 200 г.
Фотоэлектроколориметр любой марки.
Баня песчаная или водяная.
Прибор для экстрагирования, состоящий из колбы К-1-50-29/32 ТС по
ГОСТ 25336 с пришлифованным обратным холодильником (длина трубки 800 - 1000 мм, диаметр 12 - 14 мм).
Колбы мерные 2-25-2, 2-50-2, 2-250-2, 2-1000-2 по
ГОСТ 1770.
Цилиндры мерные 1-25-1, 1-250-1 по
ГОСТ 1770.
Спирт этиловый ректификованный технический по
ГОСТ 18300.
Кислота соляная по
ГОСТ 3118, раствор 1 моль/дм
3.
Медь уксуснокислая окисная по ГОСТ 5852.
Антиоксидант, стандартный раствор.
(п. 4.10.5.1 введен
Изменением N 8, введенным Постановлением Госстандарта России от 21.02.2002 N 73-ст)
4.10.5.2. Подготовка к испытанию
4.10.5.2.1. Приготовление окисляющего реактива
(0,50 +/- 0,02) г окисной уксуснокислой меди, (4,66 +/- 0,02) г хлористого калия, 10 см3 раствора соляной кислоты и 250 см3 дистиллированной воды помещают в мерную колбу вместимостью 1000 см3 и медленно доливают до метки этиловым спиртом при сильном перемешивании.
4.10.5.2.2. Приготовление спиртотолуольной смеси
Этиловый спирт и толуол смешивают в соотношении 70:30 (по объему).
4.10.5.2.3. Приготовление стандартного раствора антиоксиданта
Для приготовления стандартного раствора антиоксиданта используют антиоксидант от той же партии, которым заправлен испытуемый каучук.
0,025 г антиоксиданта растворяют в этиловом спирте в мерной колбе вместимостью 250 см3. Полученный раствор содержит 0,0001 г антиоксиданта в 1 см3.
4.10.5.2.4. Построение градуировочного графика
В мерные колбы вместимостью 25 см
3 вливают 0,5; 1,0; 1,5; 2,0; 2,5; 3,0 см
3 стандартного раствора антиоксиданта и доливают до метки окисляющим реактивом. Раствор перемешивают и сразу колориметрируют в кюветах с толщиной слоя жидкости 30 мм с зеленым светофильтром

. В кюветы сравнения помещают дистиллированную воду.
Градуировочный график строят, откладывая по оси абсцисс количество антиоксиданта, а по оси ординат - показания прибора.
4.10.5.2.5. Приготовление спиртотолуольного экстракта каучука
(0,50 +/- 0,02) г мелко нарезанного каучука, отобранного от объединенной пробы по ГОСТ 27109, помещают в круглодонную колбу для экстрагирования, добавляют 15 см3 спиртотолуольной смеси. Колбу присоединяют к воздушному холодильнику, кипятят ее содержимое на песчаной или водяной бане в течение 30 мин с момента закипания.
Колбу с экстрактом охлаждают, отсоединяют от холодильника, экстракт переносят в мерную колбу вместимостью 50 см3. Экстрагирование пробы каучука повторяют еще два раза, в тех же условиях.
Полученные экстракты объединяют и доводят объем до метки спирто-толуольной смесью, после чего тщательно перемешивают.
(п. 4.10.5.2 введен
Изменением N 8, введенным Постановлением Госстандарта России от 21.02.2002 N 73-ст)
4.10.5.3. Проведение испытания
2 - 5 см
3 полученного экстракта помещают в мерную колбу вместимостью 25 см
3, доводят до метки окисляющим реактивом и перемешивают. Оптическую плотность растворов определяют на фотоколориметре в условиях построения градуировочного графика, указанных в
п. 4.10.5.2.4.
(п. 4.10.5.3 введен
Изменением N 8, введенным Постановлением Госстандарта России от 21.02.2002 N 73-ст)
4.10.5.4. Обработка результатов
Массовую долю антиоксиданта в каучуке (X1) в процентах вычисляют по формуле

,
где m - масса антиоксиданта, найденная по градуировочному графику, г;
50 - объем экстракта, см3;
m1 - масса навески каучука, взятая для испытания, г;
V - объем экстракта, взятый для испытания, см3.
Вычисление проводят до третьего десятичного знака.
За результат испытания принимают среднее арифметическое результатов двух параллельных определений, расхождение между которыми не превышает 0,030%, округленное до второго десятичного знака.
(п. 4.10.5.4 введен
Изменением N 8, введенным Постановлением Госстандарта России от 21.02.2002 N 73-ст)
4.11. Определение наличия механических включений и включений структурированного и влажного полимера.
4.11.1. Определение механических включений и включений структурированного полимера в каучуках.
(в ред.
Изменения N 5, утв. Постановлением Госстандарта России от 17.04.1995 N 220)
Около 100 г каучука пропускают через зазор лабораторных вальцев, техническая характеристика которых приведена в ГОСТ 27109-86 в течение 1 мин при температуре поверхности валков (75 +/- 5) °C и зазоре между ними (0,30 +/- 0,05) мм. Полученную пленку вкладывают в целлофан или полиэтиленовую пленку и вырезают четыре пластины размером 150 x 150 мм каждая. Наличие включений определяют визуально, просматривая пластины в проходящем свете.
(в ред.
Изменения N 4, утв. Постановлением Госстандарта СССР от 26.12.1991 N 2158)
4.11.2. Определение механических включений и включений структурированного полимера для каучука при возникновении разногласий и проведении арбитражных испытаний проводят весовым методом.
(в ред.
Изменения N 5, утв. Постановлением Госстандарта России от 17.04.1995 N 220)
4.11.2.1. Аппаратура, материалы, посуда и реактивы
Весы лабораторные 2-го класса по ГОСТ 24104-88 с наибольшим пределом взвешивания 20 г.
(в ред.
Изменения N 4, утв. Постановлением Госстандарта СССР от 26.12.1991 N 2158)
Допускается применять весы с наибольшим пределом взвешивания до 200 г.
(абзац введен
Изменением N 4, утв. Постановлением Госстандарта СССР от 26.12.1991 N 2158)
весы любого типа с наибольшим пределом взвешивания не менее 500 г и ценой деления не более 5 г;
вальцы лабораторные

или

по ГОСТ 14333-79;
аппарат для встряхивания жидкостей;
пинцет медицинский;
кисть клеевая или художественная из щетины либо синтетических материалов N 3 (4, 5);
фильтрующее устройство (см. черт.);
Фильтрующее устройство
1 - трубка;
2 - фильтр;
3 - зажимное кольцо
сетка проволочная тканая с квадратными ячейками микронных размеров 008 по ТУ 14-4-507-74 либо сетка проволочная тканая с квадратными ячейками 008 по
ГОСТ 6613-86;
цилиндры мерные 1(2)-50(100), 1(2)-250(500) по
ГОСТ 1770-74;
| | ИС МЕГАНОРМ: примечание. ГОСТ 443-76 утратил силу с 1 июля 1992 года (ИУС "Государственные стандарты", N 10, 1992). | |
бензин-растворитель для резиновой промышленности по ГОСТ 443-76;
пленка полиэтиленовая.
4.11.2.2. Подготовка к испытанию
Изготовление и подготовка фильтров
Из металлической сетки вырезают круглые заготовки для фильтров диаметром 36 - 37 мм. С помощью держателя из нержавеющей стали, состоящего из трубки и зажимного кольца с наружной насечкой, формуют фильтры (см.
черт.).
Фильтры промывают в бензине, удаляя механические частицы кистью, и сушат в вытяжном шкафу при температуре окружающей среды в течение 10 - 15 мин.
Высушенные фильтры хранят в эксикаторе. Фильтры предназначены для многократного применения. Использованные фильтры промывают, чистят и хранят описанным выше способом. Фильтры заменяют, если увеличение их массы в процессе длительного применения превысит 0,001 г.
Подготовка пробы каучука
Все операции с каучуком должны проводиться в условиях, исключающих возможность попадания загрязнений извне.
(200 +/- 5) г каучука отбирают от объединенной пробы партии и взвешивают на весах с ценой деления не более 5 г.
Отобранный каучук вальцуют в течение 10 мин на лабораторных вальцах, предварительно очищенных от загрязнения, при температуре валков (25 +/- 5) °C и зазоре между ними (0,50 +/- 0,05) мм по свинцу, делая 6 - 8 подрезов в минуту.
Обработанный каучук заворачивают в чистую полиэтиленовую пленку.
Подготовка бензина
Бензин фильтруют через двойной слой металлической сетки и хранят в закрытой посуде.
4.11.2.3. Проведение испытаний
Две пробы свежевальцованного каучука массой (10,0 +/- 0,1) г каждая режут на полоски шириной 2 - 4 мм длиной 8 - 10 мм и опускают в две колбы, содержащие по 250 см3 бензина. Колбы закрывают пробками и сразу же помещают на аппарат для встряхивания жидкости на 2 - 4 ч до получения гомогенных растворов.
(в ред.
Изменения N 4, утв. Постановлением Госстандарта СССР от 26.12.1991 N 2158)
Непосредственно перед фильтрацией растворов взвешивают фильтр на весах 2-го класса. Фильтр закрепляют в держателе и последовательно фильтруют содержимое обеих колб, тщательно взбалтывая осадок на дне. В освободившиеся колбы наливают по 30 см3 бензина, который после взбалтывания выливают на фильтр.
Фильтрующее устройство помещают пинцетом на 3 мин в стеклянный стакан, содержащий (35 +/- 2) см3 бензина. Последовательными подъемами и опусканиями держателя, не вынимая его полностью из бензина, отмывают фильтр от раствора каучука. Операцию повторяют, помещая фильтрующее устройство в другой стакан с таким же количеством бензина на две мин. Фильтр вынимают из держателя и сушат на воздухе при температуре окружающей среды в течение 10 - 15 мин. Высушенный фильтр взвешивают.
4.11.2.4. Обработка результатов
Вычисляют приращение массы фильтра с точностью до 0,0001 г.
За результат испытания принимают среднее арифметическое результатов двух параллельных определений, расхождение между которыми (с доверительной вероятностью 0,95) не превышает 0,001 г.
Результат округляют до третьего десятичного знака.
Каучук считают не содержащим включений, если приращение массы фильтра не превышает для каучука СКИ-3 и СКИ-3НТ 0,008 г, а для каучука СКИ-3Д - 0,005 г.
(в ред.
Изменения N 5, утв. Постановлением Госстандарта России от 17.04.1995 N 220)
4.11.3. Наличие влажного полимера характеризуется показателем "потеря массы при сушке".
4.11. (Измененная редакция, Изм. N 3).
4.12. Массу брикета определяют весовым методом, используя циферблатные весы любой марки с наибольшим пределом взвешивания до 50 кг и ценой деления не более 200 г.
4.13. Целостность упаковки брикетов в полиэтиленовую пленку определяют визуально. Не допускается разрыв сварного шва по всему периметру каждого слоя упаковки, за исключением мест для удаления воздуха, предусмотренных конструкцией сварного аппарата. Бумажные мешки после упаковки зашивают по нормативно-технической документации.
4.14. Качество маркировки определяют визуально.
4.15. При проведении контроля качества допускается применять аналогичные приборы, посуду, аппаратуру с техническими и метрологическими характеристиками, обеспечивающими точность измерения в соответствии с требованиями настоящего стандарта.
4.12 - 4.15. (Введены дополнительно, Изм. N 3).
(п. 4.16 введен
Изменением N 5, утв. Постановлением Госстандарта России от 17.04.1995 N 220)
5. МАРКИРОВКА, УПАКОВКА, ТРАНСПОРТИРОВАНИЕ И ХРАНЕНИЕ
5.1. Маркировка
5.1.1. На наружном слое полиэтиленовой пленки должны быть цветные отличительные полосы, нанесенные флексографическим способом: широкая - желтого цвета, узкая - синего цвета и товарный знак предприятия-изготовителя - желтого цвета.
По согласованию с потребителем допускается упаковывать каучук в немаркированную пленку, при этом к брикету каучука прикрепляют ярлык с цветными отличительными полосами.
(абзац введен
Изменением N 4, утв. Постановлением Госстандарта СССР от 26.12.1991 N 2158, в ред.
Изменения N 5, утв. Постановлением Госстандарта России от 17.04.1995 N 220)
5.1.2. Транспортную маркировку наносят в соответствии с требованиями
ГОСТ 14192-77.
5.1.3. На каждое грузовое место наносят манипуляционные знаки "Боится сырости", "Боится нагрева" по
ГОСТ 14192-77 и данные, характеризующие продукцию, с указанием:
товарного знака предприятия-изготовителя;
наименования марки каучука;
вид антиоксиданта для каучука марки СКИ-3НТ, предназначенного для изготовления вакуумных резин, указывают "для вакуумных резин";
(абзац введен
Изменением N 4, утв. Постановлением Госстандарта СССР от 26.12.1991 N 2158, в ред.
Изменения N 5, утв. Постановлением Госстандарта России от 17.04.1995 N 220)
номера партии;
номера места;
массы нетто;
месяца и года изготовления;
обозначения настоящего стандарта.
5.1.4. Маркировка каучука, предназначенного на экспорт, должна соответствовать требованиям заказа-наряда внешнеторгового объединения.
5.1.5. При внутригородских перевозках по требованию потребителя на каждый брикет каучука верхнего ряда на пленку дополнительно наносят номер партии.
(в ред.
Изменения N 4, утв. Постановлением Госстандарта СССР от 26.12.1991 N 2158)
5.2. Упаковка и пакетирование
5.2.1. Для упаковки каучука используют:
пленку полиэтиленовую неокрашенную марок Мс и Тс, полотно, рукав, полурукав 0,050 x 700 - 800 мм по
ГОСТ 10354-82;
(в ред.
Изменения N 4, утв. Постановлением Госстандарта СССР от 26.12.1991 N 2158)
| | ИС МЕГАНОРМ: примечание. Взамен ГОСТ 2226-75 Постановлением Госстандарта СССР от 29.06.1988 N 2501 с 1 января 1990 года введен в действие ГОСТ 2226-88. | |
мешки бумажные четырехслойные открытые склеенные марки НМ или ВМ по ГОСТ 2226-75;
мешки бумажные четырехслойные с внутренним антиадгезионным слоем.
Допускается применять полиэтиленовую пленку и бумажные мешки с аналогичными характеристиками, а также тканые мешки из пропилена или других полимерных материалов, обеспечивающие сохранность продукции при транспортировании и хранении.
(в ред.
Изменения N 7, утв. Постановлением Госстандарта России от 15.12.2000 N 363-ст)
5.2.2. Для пакетирования каучука используют металлические и деревянные ящичные поддоны, специальные контейнеры, внутреннюю поверхность которых выстилают полиэтиленовой пленкой для предохранения брикетов каучука от загрязнения.
5.2.3. Для внутрисоюзных перевозок брикеты каучука упаковывают:
в два слоя полиэтиленовой пленки и открытые склеенные бумажные мешки;
в один слой полиэтиленовой пленки и укладывают в металлические ящичные поддоны.
По согласованию с потребителем допускается при упаковке в бумажные мешки использовать один слой полиэтиленовой пленки, а при укладке в металлические ящичные поддоны - два слоя полиэтиленовой пленки.
5.2.4. Брикеты каучука, предназначенного для экспорта, упаковывают в один слой полиэтиленовой пленки и укладывают в деревянные ящичные поддоны.
По согласованию с внешнеторговым объединением допускается упаковывать брикеты каучука в два слоя полиэтиленовой пленки, а затем в бумажные четырехслойные мешки по ГОСТ 2226-75.
5.2.5. Для внутригородских перевозок брикеты каучука упаковывают в один слой полиэтиленовой пленки, а затем в металлические ящичные поддоны или в специальные контейнеры, изготовляемые по нормативно-технической документации.
В металлические ящичные поддоны брикеты каучука укладывают не более пяти рядов по высоте, а при укладке брикетов каучука в контейнеры - не менее четырех рядов по высоте, при этом каждый нижний дополнительный ряд после пятого, считая сверху, прокладывают полиэтиленовой пленкой толщиной 0,1 мм,
ГОСТ 10354-82.
По согласованию с потребителем допускается упаковывать брикеты каучука в два слоя полиэтиленовой пленки и бумажные мешки всех типов.
5.2.6. Для предприятий Госкомрезерва брикеты каучука упаковывают в один слой полиэтиленовой пленки и укладывают в металлические или деревянные ящичные поддоны.
По согласованию с потребителем допускается упаковка каучука в два слоя полиэтиленовой пленки и в бумажные мешки всех типов.
5.3. Транспортирование
5.3.1. Каучук транспортируют транспортом всех видов в крытых транспортных средствах в соответствии с правилами перевозки грузов, действующими на транспорте данного вида.
5.3.2. Каучук, уложенный в ящичные поддоны, транспортируют в крытых вагонах и крупнотоннажных контейнерах пакетами в соответствии с
ГОСТ 21650-76,
ГОСТ 24597-81.
(в ред.
Изменения N 4, утв. Постановлением Госстандарта СССР от 26.12.1991 N 2158)
5.3.3. Каучук, упакованный в бумажные мешки, транспортируют без пакетирования.
5.3.4. Каучук транспортируют повагонными отправками.
По согласованию с потребителем допускается загружать в один вагон не более двух партий каучука.
5.4. Хранение
5.4.1. Каучук, упакованный в бумажные мешки или ящичные поддоны или специальные контейнеры, хранят в складских помещениях. При хранении каучук должен быть защищен от загрязнения, действия прямых солнечных лучей и атмосферных осадков.
(в ред.
Изменения N 4, утв. Постановлением Госстандарта СССР от 26.12.1991 N 2158)
5.4.2. Каучук хранят при температуре не выше 30 °C.
5.4.3. Каучук, упакованный в бумажные мешки, хранят в штабелях высотой не более 1,2 м.
5.4.4. Каучук, упакованный в ящичные поддоны, хранят в штабелях 3 - 4 поддона по высоте.
Разд. 5. (Измененная редакция, Изм. N 3).
6.1. Изготовитель гарантирует соответствие каучука требованиям настоящего стандарта при соблюдении условий хранения и транспортирования.
6.2. Гарантийный срок хранения каучука - два года со дня изготовления.
6.1, 6.2. (Измененная редакция, Изм. N 2).
Приложение. (Исключено, Изм. N 2).