Главная // Актуальные документы // ГОСТ (Государственный стандарт)СПРАВКА
Источник публикации
М.: Издательство стандартов, 1995
Примечание к документу
С 1 июля 2003 года до вступления в силу технических регламентов акты федеральных органов исполнительной власти в сфере технического регулирования носят рекомендательный характер и подлежат обязательному исполнению только в части, соответствующей целям, указанным в
пункте 1 статьи 46 Федерального закона от 27.12.2002 N 184-ФЗ.
Документ
введен в действие с 1 июля 1985 года.
Взамен ГОСТ 202-76 в части марок БЦ0 и БЦ1.
Название документа
"ГОСТ 202-84. Государственный стандарт Союза ССР. Белила цинковые. Технические условия"
(утв. и введен в действие Постановлением Госстандарта СССР от 08.06.1984 N 1888)
(ред. от 01.03.1992)
"ГОСТ 202-84. Государственный стандарт Союза ССР. Белила цинковые. Технические условия"
(утв. и введен в действие Постановлением Госстандарта СССР от 08.06.1984 N 1888)
(ред. от 01.03.1992)
Утвержден и введен в действие
Постановлением Государственного
комитета СССР по стандартам
от 8 июня 1984 г. N 1888
ГОСУДАРСТВЕННЫЙ СТАНДАРТ СОЮЗА ССР
БЕЛИЛА ЦИНКОВЫЕ
ТЕХНИЧЕСКИЕ УСЛОВИЯ
Zinc white. Specifications
ГОСТ 202-84
| | Список изменяющих документов (в ред. Изменения N 1, утв. в январе 1990 г., Изменения N 2, утв. в марте 1992 г.) | |
Дата введения
1 июля 1985 года
1. Разработан и внесен Министерством химической промышленности СССР.
Разработчики: С.С. Мнацаканов, Г.А. Алексеева, Л.Н. Кузьмичева, Т.Н. Шеремет, Е.А. Науменко.
2. Утвержден и введен в действие Постановлением Государственного комитета СССР по стандартам от 08.06.84 N 1888.
3. Периодичность проверки - 5 лет.
4. Взамен ГОСТ 202-76 в части марок БЦ0 и БЦ1.
5. Ссылочные нормативно-технические документы
─────────────────────────────────────────────┬─────────────────────────────
Обозначение НТД, на который дана ссылка │ Номер пункта
─────────────────────────────────────────────┼─────────────────────────────
ИС МЕГАНОРМ: примечание.
ГОСТ 12.4.013-85 утратил силу на территории Российской Федерации.
Постановлением Госстандарта России от 28.04.1997 N 198 с 1 июля 1998 года
ИС МЕГАНОРМ: примечание.
Взамен ГОСТ 3640-79 Постановлением Госстандарта России от 27.06.1996
ИС МЕГАНОРМ: примечание.
24.12.2002 N 500-ст с 1 сентября 2003 года введен в действие
ИС МЕГАНОРМ: примечание.
6. Проверен в 1992 г. Ограничение срока действия снято Постановлением Госстандарта от 30.03.92 N 326.
7. Переиздание (октябрь 1994 г.) с Изменениями N 1, 2, утвержденными в январе 1990 г., марте 1992 г. (ИУС 4-90, 7-92).
| | ИС МЕГАНОРМ: примечание. Взамен ГОСТ 3640-79 Постановлением Госстандарта России от 27.06.1996 N 433 с 1 января 1997 года введен в действие ГОСТ 3640-94. | |
Настоящий стандарт распространяется на цинковые белила - синтетический неорганический пигмент белого цвета, представляющий собой окись цинка, получаемую из металлического цинка по ГОСТ 3640-79.
(Измененная редакция, Изм. N 1, 2).
1. МАРКИ И ТЕХНИЧЕСКИЕ ТРЕБОВАНИЯ
1.1. Цинковые белила должны изготовляться в соответствии с требованиями настоящего стандарта по технологическому регламенту, утвержденному в установленном порядке.
1.2. В зависимости от применяемости цинковые белила должны изготовляться марок, указанных в табл. 1.
Таблица 1
───────────┬─────────────────┬─────────────────────────────────────────────
Марка │ Код ОКП │ Применяемость
───────────┼─────────────────┼─────────────────────────────────────────────
БЦ0 │ 23 2121 0500 08 │ Для производства резинотехнических изделий
│ │и шин (БЦ0М), лакокрасочных материалов,
│ │искусственной кожи и подошвенных резин,
│ │электрокабеля (БЦ0М), стоматологических
│ │цементов, абразивных изделий для стоматологии
│ │(БЦ0М) и другое
БЦ1 │ 23 2121 0200 06 │ Для производства лакокрасочных материалов,
│ │асбестотехнических изделий, искусственной
│ │кожи и подошвенных резин
Примечание. Цинковые белила марки БЦ0, получаемые муфельным способом, маркируют БЦ0М.
1.3. Цинковые белила должны соответствовать требованиям и нормам, указанным в табл. 2.
Таблица 2
──────────────────────────┬─────────────────┬──────────────────────────────
Наименование показателя │ Норма для марки │ Метод испытания
├────────┬────────┤
│ БЦ0 │ БЦ1 │
──────────────────────────┼────────┼────────┼──────────────────────────────
1. Массовая доля соедине-│ 99,7 │ 99,5 │По
п. 4.2
ний Zn в пересчете на ZnO,│ │ │
%, не менее │ │ │
2. Массовая доля соедине-│ 0,010 │ 0,010 │По
п. 4.3
ний Pb в пересчете на PbO,│ │ │
%, не более │ │ │
3. Массовая доля металли-│ Отсутствие │По
п. 4.4
ческого цинка, %, не более│ │
4. Массовая доля веществ,│ 0,006 │ 0,015 │По
п. 4.5
не растворимых в соляной │ │ │
кислоте, %, не более │ │ │
5. Массовая доля водо- │ 0,06 │ 0,15 │По ГОСТ 21119.2-75,
разд. 1
растворимых веществ, %, │ │ │и
п. 4.6 настоящего стандарта
не более │ │ │
прокаливании, %, не более │ │ │настоящего стандарта
7. Остаток на сите с │ │ │По ГОСТ 21119.4-75,
разд. 1
сеткой, %, не более │ │ │и
п. 4.8 настоящего стандарта
N 0056 │ 0,01 │Не нор- │
│ │мируется│
N 0063 │Не нор- │ 0,1 │
│мируется│ │
N 014 │ 0,00 │Не нор- │
│ │мируется│
не более │ │ │настоящего стандарта
единицы, не менее │ │ │настоящего стандарта
Примечания:
1. Допускается изменение массовой доли соединений Zn в пересчете на ZnO до 99,5% и потерь массы при прокаливании в цинковых белилах марки БЦ0 до 0,4% через 7 месяцев со дня изготовления пигмента.
2. Белизна и укрывистость цинковых белил нормируется для пигмента, предназначенного для изготовления лакокрасочных материалов.
3. Массовая доля соединений мышьяка в белилах соответствует нормам на исходный цинк.
(Измененная редакция, Изм. N 1, 2).
1.4. Маслоемкость цинковых белил приведена в
Приложении.
2. ТРЕБОВАНИЯ БЕЗОПАСНОСТИ
2.1. Цинковые белила пожаровзрывобезопасны.
(Измененная редакция, Изм. N 1).
2.3. Окись цинка, попадая в организм, может вызвать заболевание дыхательных путей и пищеварительных органов.
2.4. Предельно допустимая концентрация окиси цинка в воздухе рабочей зоны производственных помещений - 0,5 мг/м3.
Общие санитарно-гигиенические требования к воздуху рабочей зоны по
ГОСТ 12.1.005-88.
2.5. Окись цинка в воздухе рабочей зоны производственных помещений должна определяться по технической документации на методы определения вредных веществ в воздухе, утвержденной Министерством здравоохранения СССР.
2.6. Работа с цинковыми белилами должна проводиться в соответствии с санитарными правилами организации технологических процессов и гигиенических требований к производственному оборудованию в помещениях по
ГОСТ 12.3.002-75, снабженных приточно-вытяжной вентиляцией по
ГОСТ 12.4.021-75.
| | ИС МЕГАНОРМ: примечание. ГОСТ 12.4.013-85 утратил силу на территории Российской Федерации. Постановлением Госстандарта России от 28.04.1997 N 198 с 1 июля 1998 года введен в действие ГОСТ Р 12.4.013-97. | |
2.7. Все работающие с цинковыми белилами должны быть обеспечены специальной одеждой, обувью и средствами защиты рук по
ГОСТ 12.4.103-83, противопылевым респиратором ШБ-1 "Лепесток-200" по
ГОСТ 12.4.028-76 и защитными очками по ГОСТ 12.4.013-85.
3.2. Норму по показателю 2 изготовитель определяет периодически в каждой тридцатой партии, по показателю 8 - один раз в месяц.
Нормы по показателям "массовая доля водорастворимых веществ" и "остаток на сите с сеткой 014" изготовитель определяет периодически по требованию потребителя.
(Измененная редакция, Изм. N 1, 2).
3.3. Необходимость проведения испытаний по рекомендуемым показателям изготовитель и потребитель определяют при заключении договоров на поставку продукции.
3.4. Периодические испытания белил на соответствие всем требованиям и нормам настоящего стандарта проводят один раз в 3 года.
3.5. При получении неудовлетворительных результатов периодических испытаний изготовитель проверяет каждую партию до получения удовлетворительных результатов испытаний подряд не менее чем в 3 партиях.
3.3 - 3.5. (Введены дополнительно, Изм. N 2).
4.1а. При выполнении анализов допускается применение импортной аппаратуры и лабораторной посуды по классу точности и реактивов по качеству не ниже отечественных.
(Введен дополнительно, Изм. N 1).
4.2. Определение массовой доли соединений Zn в пересчете на ZnO
4.2.1. Материалы, реактивы
Пипетка вместимостью 10, 20 и 25 см3.
Бюретка вместимостью 5 см3.
Электрошкаф сушильный лабораторный, обеспечивающий нагрев до 150 °C и выше, с точностью автоматического регулирования +/- 3%.
Весы лабораторные общего назначения по ГОСТ 24104-88 2-го класса точности с наибольшим пределом взвешивания 200 г.
Трилон Б (соль динатриевая этилендиамин-N,N,N',N'-тетрауксусной кислоты, 2-водная) по
ГОСТ 10652-73, раствор с концентрацией 0,05 моль/дм3, приготовленный по ГОСТ 10398-76,
разд. 3. Допускается приготовление из фиксанала.
Раствор буферный (I) с pH 9,5 - 10, готовят по ГОСТ 10398-76,
разд. 2, контролируют с помощью pH-метра.
Раствор буферный (II) с pH 5,5 - 6,0, готовят по ГОСТ 10398-76,
разд. 2, контролируют с помощью pH-метра.
Ксиленоловый оранжевый.
Эриохром черный Т, индикаторная смесь, готовят по ГОСТ 10398-76,
разд. 1.
4.2.2. Проведение испытания
Метод А
Около 1,2000 г цинковых белил, предварительно высушенных при температуре (105 +/- 3) °C до постоянной массы, помещают через воронку в градуированную мерную колбу. Остатки белил на стенках воронки смывают в колбу 50 см3 буферного раствора I. Воронку промывают водой и после полного растворения белил раствор доводят в колбе до метки. Если навеска растворяется плохо, необходимо добавлять буферный раствор I до полного растворения.
Градуированной пипеткой отбирают 20 см3 полученного раствора, помещают в коническую колбу; прибавляют 100 см3 воды, 5 см3 буферного раствора I, 20 см3 раствора трилона Б с концентрацией 0,05 моль/дм3 и индикаторную смесь на кончике шпателя.
Содержимое колбы титруют из градуированной микробюретки раствором трилона Б с концентрацией 0,05 моль/дм3 до перехода окраски от фиолетовой до синей.
Метод Б
Около 1,0000 г цинковых белил, предварительно высушенных при температуре (105 +/- 3) °C до постоянной массы, растворяют в 10 см3 раствора соляной кислоты в мерной колбе. После растворения белил объем колбы доводят до метки водой.
Градуированной пипеткой отбирают 25 см3 полученного раствора, помещают в коническую колбу, прибавляют 20 см3 буферного раствора II, 5 - 6 капель ксиленолового оранжевого и 20 см3 раствора трилона Б.
Содержимое колбы титруют из градуированной микробюретки раствором трилона Б до перехода окраски от красной до лимонно-желтой.
Примечание. При разногласиях в оценке массовой доли соединений цинка в пересчете на ZnO испытания проводят по методу А.
Допускается титрование проводить из бюретки вместимостью 25 см3 с ценой деления 0,05 см3, при этом добавление 20 см3 трилона Б из пипетки исключается.
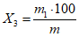
4.2.3. Обработка результатов
Массовую долю соединений Zn в пересчете на ZnO в процентах

вычисляют по формуле

,
где V - объем раствора трилона Б, израсходованный на титрование, см3;
1,2447 - коэффициент пересчета массы цинка на массу ZnO;

- объем аликвотной части, взятый для титрования, см3;
0,003269 - масса цинка, оттитрованная 1 см3 раствора трилона Б, г;
m - масса цинковых белил, г.
За результат испытания принимают среднее арифметическое результатов двух параллельных определений, абсолютное расхождение между которыми не превышает допускаемое расхождение, равное 0,2%. Допускаемая абсолютная суммарная погрешность +/- 0,5% при доверительной вероятности 0,95.
Результат округляют до трех значащих цифр.
4.2.1 - 4.2.3. (Измененная редакция, Изм. N 1).
4.3. Определение массовой доли соединений Pb в пересчете на PbO
4.3.1. Материалы, реактивы
Пипетка вместимостью 1, 2, 5 и 20 см3.
Весы лабораторные общего назначения по ГОСТ 24104-88 2-го класса точности с наибольшим пределом взвешивания 200 г и 3-го класса точности с наибольшим пределом взвешивания 1000 г.
Электрошкаф сушильный лабораторный, обеспечивающий нагрев температуры до 150 °C и выше, с точностью автоматического регулирования +/- 3%.
Бумага универсальная индикаторная.
Фильтр обеззоленный плотный "синяя лента", диаметром 70 - 90 мм.
Тигель фильтрующий по
ГОСТ 25336-82, типа ТФ ПОР 10 или ТФ ПОР 16.
Кислота уксусная по
ГОСТ 61-75, 10 и 2%-ный растворы.
Трилон Б (соль динатриевая этилендиамин-N,N,N',N'-тетрауксусной кислоты, 2-водная) по
ГОСТ 10652-73, раствор с концентрацией 0,0025 моль/дм3; готовят точным разбавлением водой раствора трилона Б с концентрацией 0,05 моль/дм3, приготовленного по ГОСТ 10398-76,
разд. 3. Допускается приготовление раствора трилона Б из фиксанала.
Уротропин фармакопейный.
Метилтимоловый синий, индикаторная смесь, приготовленная по ГОСТ 10398-76,
разд. 1.
Эриохром черный Т, индикаторная смесь, приготовленная по ГОСТ 10398-76,
разд. 1.
Свинец азотнокислый по
ГОСТ 4236-77, раствор с концентрацией 0,0025 моль/дм3, приготовленный следующим образом: 0,8300 г азотнокислого свинца, высушенного при температуре (105 +/- 3) °C до постоянной массы, растворяют в воде, добавляют 1 см3 концентрированной азотной кислоты по
ГОСТ 4461-77, доводят объем раствора до 1 дм3. Коэффициент молярности раствора азотнокислого свинца определяют следующим образом: 25 см3 раствора азотнокислого свинца помещают в колбу, прибавляют 70 см3 воды, около 0,5 г уротропина, 0,1 г индикаторной смеси метилтимолового синего и титруют раствором трилона Б с концентрацией 0,0025 моль/дм3 до перехода окраски от синей до желтой.
(Измененная редакция, Изм. N 1).
4.3.2. Проведение испытания
Около 5,0 г цинковых белил, предварительно высушенных при температуре (105 +/- 3) °C до постоянной массы, помещают в стакан, смачивают водой и растворяют в 40 см3 раствора азотной кислоты.
Нагревая, добавляют раствор аммиака до появления неисчезающей мути, при этом pH раствора должна быть 4 - 5 по универсальной индикаторной бумаге.
Затем муть растворяют в нескольких каплях 10%-ного раствора уксусной кислоты, добавляют 0,15 г уксуснокислого натрия и 1 см3 раствора хлористого бария.
Полученную смесь нагревают до кипения, прибавляют 20 см3 горячего раствора двухромовокислого калия, осаждают хроматы свинца и бария. Смесь продолжают кипятить 20 мин, затем охлаждают до комнатной температуры и фильтруют через фильтрующий тигель; допускается использовать фильтр "синяя лента".
Осадок на фильтре промывают восемь раз 2%-ным раствором уксусной кислоты порциями по 10 - 15 см3, затем холодной водой до отсутствия в промывных водах иона цинка. Проверку на отсутствие иона цинка в промывных водах проводят следующим образом: к 5 см3 промывных вод прибавляют 0,5 см3 раствора аммиака, несколько крупинок индикаторной смеси эриохрома черного Т и одну каплю раствора трилона Б, цвет раствора должен быть синим.
После промывки осадок на фильтре растворяют в 15 см3 соляной кислоты, фильтр промывают 30 см3 воды. Раствор и промывные воды собирают в коническую колбу, прибавляют 5 см3 раствора трилона Б и нейтрализуют раствором аммиака до pH 5 (по универсальной индикаторной бумаге).
К содержимому колбы добавляют 0,50 г уротропина, на кончике шпателя индикаторной смеси метилтимолового синего и титруют раствором азотнокислого свинца до изменения окраски от желтой до голубой.
4.3.3. Обработка результатов
Массовую долю соединений Pb в пересчете на PbO в процентах

вычисляют по формуле

,
где V - объем раствора азотнокислого свинца с концентрацией 0,0025 моль/дм3, израсходованный на обратное титрование, см3;
m - масса цинковых белил, г;
0,000558 - масса PbO, оттитрованная 1 см3 раствора трилона Б с концентрацией 0,0025 моль/дм3, г.
За результат испытания принимают среднее арифметическое двух параллельных определений, допускаемые расхождения между которыми не должны превышать 0,002% при доверительной вероятности P = 0,95. Окончательный результат округляют до 0,01%.
4.3.4. Допускается массовую долю соединений свинца определять по ГОСТ 25284.4-82, используя 5 г пигмента, или по
ГОСТ 10262-73.
При разногласиях в оценке массовой доли соединений свинца определение проводят по настоящему стандарту.
(Введен дополнительно, Изм. N 1).
4.4. Определение массовой доли металлического цинка
4.4.1. Материалы, реактивы
Пипетка вместимостью 1 и 5 см3.
Весы лабораторные с погрешностью взвешивания не более 0,01 г.
4.4.2. Проведение испытания
Около 0,50 г цинковых белил помещают в пробирку, смачивают 1 см3 воды, добавляют 5 см3 соляной кислоты и, встряхивая пробирку, растворяют пигмент.
После растворения белил не должно наблюдаться металлического цинка в виде черных точек, выделяющих пузырьки водорода.
Проводят три параллельных определения.
4.5. Определение массовой доли веществ, не растворимых в соляной кислоте
4.5.1. Материалы, реактивы
Пипетки вместимостью 1, 2, 5 и 10 см3.
Весы лабораторные общего назначения по ГОСТ 24104-88, 2-го класса точности с наибольшим пределом взвешивания 200 г и 3-го класса точности с наибольшим пределом взвешивания 1000 г.
Фильтр обеззоленный "красная лента", диаметром 70 - 90 мм.
Кислота азотная по
ГОСТ 4461-77, раствор с концентрацией 0,1 моль/дм3.
Электрошкаф сушильный лабораторный, обеспечивающий нагрев до 150 °C и выше, с точностью автоматического регулирования температуры +/- 3%.
Печь муфельная.
Серебро азотнокислое по
ГОСТ 1277-75, раствор с массовой долей 2%.
4.5.2. Проведение испытания
30,00 г цинковых белил помещают в стакан, добавляют 10 см3 воды, тщательно перемешивают и растворяют при кипячении в 200 см3 раствора соляной кислоты в течение (5 +/- 1) мин. Раствор декантируют через фильтр. Нерастворившийся остаток переносят на фильтр, тщательно обмывая водой стакан. Остаток на фильтре промывают горячей водой до отрицательной реакции на ион хлора. Полноту промывки определяют, прибавляя к 2 - 3 см3 промывных вод 1 см3 раствора азотной кислоты и 2 см3 раствора азотнокислого серебра, раствор должен быть прозрачным.
Фильтр с осадком сушат, сжигают в тигле и прокаливают при температуре (700 +/- 25) °C до постоянной массы до тех пор, пока расхождения между двумя последующими взвешиваниями не будут превышать 0,0005 г.
4.5.3. Обработка результатов
Массовую долю веществ, не растворимых в соляной кислоте

, в процентах вычисляют по формуле

,
где

- масса прокаленного остатка, определенная по разности массы тигля до и после прокаливания, г;
m - масса цинковых белил, г.
За результат испытания принимают среднее арифметическое результатов двух параллельных определений, абсолютное расхождение между которыми не превышает допускаемое расхождение, равное 0,001%.
Допускаемая абсолютная суммарная погрешность +/- 0,003% при доверительной вероятности 0,95.
Результат округляют до той степени точности, с которой задана норма.
4.6. Массовую долю веществ, растворимых в воде, определяют по ГОСТ 21119.2-75,
разд. 1, методом горячей экстракции, используя 20 г пигмента.
4.5.1 - 4.6. (Измененная редакция, Изм. N 1).
4.7. Потери массы при прокаливании определяют по
ГОСТ 21119.9-75, при этом 1 г невысушенных белил помещают в тигель, предварительно доведенный до постоянной массы, и прокаливают в муфельной печи при температуре (500 +/- 15) °C до постоянной массы.
4.8. Остаток на сите определяют по ГОСТ 21119.4-75,
разд. 1, используя 25 г пигмента.
4.9. Укрывистость определяют по ГОСТ 8784-75,
разд. 1, при этом для приготовления краски берут 5 г пигмента и 3 - 5 г льняной натуральной олифы по
ГОСТ 7931-76.
Краску готовят курантом на плите или на автоматической машине типа МАПП-1 и наносят кистью на стеклянную пластинку размером 90 x 120 мм.
4.10. Определение белизны
Белизну определяют в запрессовках по
ГОСТ 16873-92 на приборах, предусмотренных стандартом, с исключением зеркальной составляющей.
За результат испытания принимают среднее арифметическое результатов двух параллельных определений, абсолютное расхождение между которыми не превышает допускаемое расхождение, равное 0,5 условных единиц.
Допускаемая абсолютная суммарная погрешность результатов анализа +/- 1,5 условных единиц при доверительной вероятности 0,95.
Результат округляют до двух значащих цифр.
(Измененная редакция, Изм. N 2).
5. УПАКОВКА, МАРКИРОВКА, ТРАНСПОРТИРОВАНИЕ И ХРАНЕНИЕ
Допускается по согласованию с потребителем упаковывать цинковые белила в трехслойные бумажные мешки марки НМ с полиэтиленовым вкладышем по
ГОСТ 19360-74.
5.2. Белила, предназначенные для экспорта, упаковывают массой до 25 кг в многослойные бумажные мешки, ламинированные полиэтиленом или с полиэтиленовым вкладышем.
5.3. На транспортную тару должен быть нанесен манипуляционный знак "Боится сырости" по
ГОСТ 14192-77.
6.1. Изготовитель гарантирует соответствие белил требованиям настоящего стандарта при соблюдении условий применения, транспортирования и хранения.
6.2. Гарантийный срок хранения - 12 месяцев со дня изготовления.
Справочное
МАСЛОЕМКОСТЬ ЦИНКОВЫХ БЕЛИЛ
───────────┬────────────────────────────┬─────────────────────────
Марка │ Норма г/100 г пигмента │ Метод испытания
───────────┼────────────────────────────┼─────────────────────────
БЦ1 │ 13 - 20 │ (с помощью палочки)