Главная // Актуальные документы // ГОСТ (Государственный стандарт)СПРАВКА
Источник публикации
М.: ФГБУ "РСТ", 2022
Примечание к документу
Документ
введен в действие с 01.03.2023.
Название документа
"ГОСТ 34879-2022. Межгосударственный стандарт. Полиоксихлорид алюминия. Технические условия"
(введен в действие Приказом Росстандарта от 21.10.2022 N 1174-ст)
"ГОСТ 34879-2022. Межгосударственный стандарт. Полиоксихлорид алюминия. Технические условия"
(введен в действие Приказом Росстандарта от 21.10.2022 N 1174-ст)
по техническому регулированию
и метрологии
от 21 октября 2022 г. N 1174-ст
МЕЖГОСУДАРСТВЕННЫЙ СТАНДАРТ
ПОЛИОКСИХЛОРИД АЛЮМИНИЯ
ТЕХНИЧЕСКИЕ УСЛОВИЯ
Aluminium polyoxychloride. Specifications
ГОСТ 34879-2022
Дата введения
1 марта 2023 года
Цели, основные принципы и общие правила проведения работ по межгосударственной стандартизации установлены
ГОСТ 1.0 "Межгосударственная система стандартизации. Основные положения" и
ГОСТ 1.2 "Межгосударственная система стандартизации. Стандарты межгосударственные, правила и рекомендации по межгосударственной стандартизации. Правила разработки, принятия, обновления и отмены"
1 РАЗРАБОТАН Российской ассоциацией водоснабжения и водоотведения (РАВВ)
2 ВНЕСЕН Федеральным агентством по техническому регулированию и метрологии, Межгосударственным техническим комитетом по стандартизации МТК 343 "Качество воды"
3 ПРИНЯТ Межгосударственным советом по стандартизации, метрологии и сертификации (протокол от 31 августа 2022 г. N 153-П)
За принятие проголосовали:
Краткое наименование страны по МК (ИСО 3166) 004-97 | Код страны по МК (ИСО 3166) 004-97 | Сокращенное наименование национального органа по стандартизации |
Армения | AM | ЗАО "Национальный орган по стандартизации и метрологии" Республики Армения |
Беларусь | BY | Госстандарт Республики Беларусь |
Киргизия | KG | Кыргызстандарт |
Россия | RU | Росстандарт |
Узбекистан | UZ | Узстандарт |
4
Приказом Федерального агентства по техническому регулированию и метрологии от 21 октября 2022 г. N 1174-ст межгосударственный стандарт ГОСТ 34879-2022 введен в действие в качестве национального стандарта Российской Федерации с 1 марта 2023 г.
5 ВВЕДЕН ВПЕРВЫЕ
Информация о введении в действие (прекращении действия) настоящего стандарта и изменений к нему на территории указанных выше государств публикуется в указателях национальных стандартов, издаваемых в этих государствах, а также в сети Интернет на сайтах соответствующих национальных органов по стандартизации.
В случае пересмотра, изменения или отмены настоящего стандарта соответствующая информация будет опубликована на официальном интернет-сайте Межгосударственного совета по стандартизации, метрологии и сертификации в каталоге "Межгосударственные стандарты"
Настоящий стандарт распространяется на полиоксихлорид алюминия (ПОХА) в жидкой и твердой форме, предназначенный для очистки и обработки воды в хозяйственно-питьевом и промышленном водоснабжении, для очистки сточных вод в промышленности и сельском хозяйстве, в том числе для приготовления растворов веществ, реактивов, реагентов и препаратов, при проведении исследований, испытаний, измерений, анализов, в технологических операциях и процессах.
ПОХА может иметь регистрационные CAS-номера, указанные в
таблице 1.
Таблица 1
Регистрационные CAS-номера
ПОХА | Коэффициенты | CAS-номер |
Al(OH)aClb при (a + b) = 3 и a более чем 1,05 | a = 2,5; b = 0,5 | 12042-91-0 |
a = 2; b = 1 | 10284-64-7 |
AlnClm(OH)3n-m | - | 1327-41-9 |
Полиоксихлорид алюминия может представлять собой полиалюминий гидроксид хлорид, алюминий гидроксид хлорид, алюминий оксихлорид, полиалюминий хлорид, полиалюминий гидрохлорид.
В настоящем стандарте использованы нормативные ссылки на следующие межгосударственные стандарты:
ГОСТ 8.135 Государственная система обеспечения единства измерений. Стандарт-титры для приготовления буферных растворов - рабочих эталонов pH 2-го и 3-го разрядов. Технические и метрологические характеристики. Методы их определения
ГОСТ 8.579 Государственная система обеспечения единства измерений. Требования к количеству фасованных товаров при их производстве, расфасовке, продаже и импорте
ГОСТ 12.0.004 Система стандартов безопасности труда. Организация обучения безопасности труда. Общие положения
ГОСТ 12.1.004 Система стандартов безопасности труда. Пожарная безопасность. Общие требования
ГОСТ 12.1.005 Система стандартов безопасности труда. Общие санитарно-гигиенические требования к воздуху рабочей зоны
ГОСТ 12.1.007 Система стандартов безопасности труда. Вредные вещества. Классификация и общие требования безопасности
ГОСТ 12.1.019 Система стандартов безопасности труда. Электробезопасность. Общие требования и номенклатура видов защиты
ГОСТ 12.3.009 Система стандартов безопасности труда. Работы погрузочно-разгрузочные. Общие требования безопасности
ГОСТ 12.4.009 Система стандартов безопасности труда. Пожарная техника для защиты объектов. Основные виды. Размещение и обслуживание
ГОСТ 12.4.011 Система стандартов безопасности труда. Средства защиты работающих. Общие требования и классификация
ГОСТ 12.4.020 Система стандартов безопасности труда. Средства индивидуальной защиты рук. Номенклатура показателей качества
ГОСТ 12.4.296 Система стандартов безопасности труда. Средства индивидуальной защиты органов дыхания. Респираторы фильтрующие. Общие технические условия
ГОСТ 61 Реактивы. Кислота уксусная. Технические условия
ГОСТ 83 Реактивы. Натрий углекислый. Технические условия
ГОСТ 199 Реактивы. Натрий уксуснокислый 3-водный. Технические условия
ГОСТ 450 Кальций хлористый технический. Технические условия
ГОСТ 1277 Реактивы. Серебро азотнокислое. Технические условия
ГОСТ 1770 (ИСО 1042-83, ИСО 4788-80) Посуда мерная лабораторная стеклянная. Цилиндры, мензурки, колбы, пробирки. Общие технические условия
ГОСТ 3118 Реактивы. Кислота соляная. Технические условия
ГОСТ 3760 Реактивы. Аммиак водный. Технические условия
ГОСТ 3773 Реактивы. Аммоний хлористый. Технические условия
ГОСТ 3885 Реактивы и особо чистые вещества. Правила приемки, отбор проб, фасовка, упаковка, маркировка, транспортирование и хранение
ГОСТ 4011 Вода питьевая. Методы измерения массовой концентрации общего железа
ГОСТ 4108 Реактивы. Барий хлорид 2-водный. Технические условия
ГОСТ 4152 Вода питьевая. Метод определения массовой концентрации мышьяка
ГОСТ 4174 Реактивы. Цинк сернокислый 7-водный. Технические условия
ГОСТ 4204 Реактивы. Кислота серная. Технические условия
ГОСТ 4233 Реактивы. Натрий хлористый. Технические условия
ГОСТ 4234 Реактивы. Калий хлористый. Технические условия
ГОСТ 4328 Реактивы. Натрия гидроокись. Технические условия
ГОСТ 4461 Реактивы. Кислота азотная. Технические условия
ГОСТ 4517 Реактивы. Методы приготовления вспомогательных реактивов и растворов, применяемых при анализе
ГОСТ 4520 Реактивы. Ртуть (II) азотнокислая. Технические условия
ГОСТ 5456 Реактивы. Гидроксиламина гидрохлорид. Технические условия
ГОСТ 5457 Ацетилен растворенный и газообразный технический. Технические условия
ГОСТ 5962 Спирт этиловый ректификованный из пищевого сырья. Технические условия
ГОСТ 6709 <*> Вода дистиллированная. Технические условия
--------------------------------
ГОСТ 8984 Силикагель-индикатор. Технические условия
ГОСТ 9147 Посуда и оборудование лабораторные фарфоровые. Технические условия
ГОСТ 10157 Аргон газообразный и жидкий. Технические условия
ГОСТ 10652 Реактивы. Соль динатриевая этилендиамин-N, N, N', N'-тетрауксусной кислоты 2-водная (трилон Б). Технические условия
ГОСТ 11125 Кислота азотная особой чистоты. Технические условия
ГОСТ 14261 Кислота соляная особой чистоты. Технические условия
ГОСТ 14919 Электроплиты, электроплитки и жарочные электрошкафы бытовые. Общие технические условия
ГОСТ 20010 Перчатки резиновые технические. Технические условия
ГОСТ 20298 Смолы ионообменные. Катиониты. Технические условия
ГОСТ 20490 Реактивы. Калий марганцовокислый. Технические условия
ГОСТ 25336 Посуда и оборудование лабораторные стеклянные. Типы, основные параметры и размеры
ГОСТ 26663 Пакеты транспортные. Формирование с применением средств пакетирования. Общие технические требования
ГОСТ 27025 Реактивы. Общие указания по проведению испытаний
ГОСТ 28311 Дозаторы медицинские лабораторные. Общие технические требования и методы испытаний
ГОСТ 29169 (ИСО 648-77) Посуда лабораторная стеклянная. Пипетки с одной отметкой
ГОСТ 29227 (ИСО 835-1-81) Посуда лабораторная стеклянная. Пипетки градуированные. Часть 1. Общие требования
ГОСТ 29251 (ИСО 385-1-84) Посуда лабораторная стеклянная. Бюретки. Часть 1. Общие требования
ГОСТ 30813 Вода и водоподготовка. Термины и определения
ГОСТ 31291 Палладий аффинированный. Технические условия
ГОСТ 31340 Предупредительная маркировка химической продукции. Общие требования
ГОСТ 33757 Поддоны плоские деревянные. Технические условия
ГОСТ OIML R 76-1 Государственная система обеспечения единства измерений. Весы неавтоматического действия. Часть 1. Метрологические и технические требования. Испытания
ГОСТ ISO 3696 Вода для лабораторного анализа. Технические требования и методы контроля
ГОСТ ИСО 5725-6-2003 Точность (правильность и прецизионность) методов и результатов измерений. Часть 6. Использование значений точности на практике
Примечание - При пользовании настоящим стандартом целесообразно проверить действие ссылочных стандартов и классификаторов на официальном интернет-сайте Межгосударственного совета по стандартизации, метрологии и сертификации (www.easc.by) или по указателям национальных стандартов, издаваемым в государствах, указанных в
предисловии, или на официальных сайтах соответствующих национальных органов по стандартизации. Если на документ дана недатированная ссылка, то следует использовать документ, действующий на текущий момент, с учетом всех внесенных в него изменений. Если заменен ссылочный документ, на который дана датированная ссылка, то следует использовать указанную версию этого документа. Если после принятия настоящего стандарта в ссылочный документ, на который дана датированная ссылка, внесено изменение, затрагивающее положение, на которое дана ссылка, то это положение применяется без учета данного изменения. Если ссылочный документ отменен без замены, то положение, в котором дана ссылка на него, применяется в части, не затрагивающей эту ссылку.
3 Термины, определения и сокращения
3.1 В настоящем стандарте применены термины по
ГОСТ 30813.
3.2 В настоящем стандарте применены следующие сокращения:
ВО - высокоосновный;
ГСО - государственный стандартный образец;
НО - низкоосновный;
ПОХА - полиоксихлорид алюминия;
СЗЗ - санитарно-защитная зона;
СО - среднеосновный;
ТН ВЭД ЕАЭС - Товарная
номенклатура внешнеэкономической деятельности Евразийского экономического союза.
Товарная форма ПОХА - жидкая или твердая в зависимости от концентрации основного вещества в пересчете на Al
2O
3 (от 7,0% до 50,0%). Брутто-формула - в соответствии с
таблицей 1.
В зависимости от содержания основного вещества (в пересчете на Al2O3) ПОХА может представлять собой водные растворы от бесцветного, светло-желтого, желтого и темно-желтого цвета. Допускаются оттенки от серого до темно-серого цвета, зеленого цвета (допустимы опалесценция и наличие осадка), а также порошок, гранулы, чешуйки от белого до кремового, желтого или светло-серого цвета.
ПОХА должен соответствовать техническим условиям, требованиям настоящего стандарта, изготавливаться в соответствии с технологическим регламентом и рецептурой, утвержденными в установленном порядке.
ПОХА должен соответствовать требованиям санитарно-гигиенического законодательства в части содержания химических веществ в воде для контроля миграции вредных химических веществ из материалов и реагентов, применяемых в практике хозяйственно-питьевого водоснабжения
[1]. Требования к уровням присутствия некоторых типовых загрязнений для проведения анализа ПОХА - выходного для изготовителя, входного для потребителя - перечислены в
приложении А. Расширенный анализ показателей качества ПОХА в обязательном порядке проводят:
- изготовители в рамках контроля качества продукции при постановке продукции на производство;
- изготовители при смене поставщиков сырья или изменения технологического процесса производства ПОХА;
- потребители при заключении договора на поставку ПОХА;
- потребители при смене поставщика ПОХА;
- потребители при изменении характеристик поставляемого ПОХА.
Текущий контроль качества при использовании ПОХА для водоподготовки проводят в соответствии с требованиями санитарного законодательства в области материалов и реагентов для целей водоподготовки согласно утвержденной программе производственного контроля качества питьевой воды.
4.2 Требования к сырью и материалам
Сырье и материалы, применяемые при производстве ПОХА, должны соответствовать требованиям санитарно-гигиенического законодательства ЕАЭС, а также нормативным документам или технической документации, указанной в технических условиях на производство, и технологическому регламенту на продукцию.
При производстве ПОХА, предназначенного для обработки питьевой воды, не допускается использовать вторичное сырье.
4.3.1 Упаковка растворов ПОХА
ПОХА упаковывают, используя тару в соответствии с
ГОСТ 26319. Для упаковки применяют герметичные полиэтиленовые емкости, канистры, контейнеры.
При перевозке железнодорожным транспортом ПОХА, выпускаемый в виде растворов, заливают в железнодорожные цистерны, предназначенные для данного типа груза.
При перевозке автомобильным транспортом ПОХА загружают в полиэтиленовые емкости, контейнеры, канистры, автомобильные цистерны из стеклопластика и других разрешенных для данного типа продукции материалов.
Пределы допустимых отрицательных отклонений содержимого нетто от номинального количества фасованного ПОХА в соответствии с
ГОСТ 8.579.
Партией следует считать любое количество однородного по своим качественным показателям ПОХА, направляемое в один адрес и сопровождаемое одним документом о качестве. Допускается результаты анализа качества жидкого однородного ПОХА, находящегося в одной емкости хранения на складе изготовителя, распространять на всю партию.
4.3.2 Упаковка твердого ПОХА
ПОХА упаковывают в тару в соответствии с
ГОСТ 26319 в герметичные полипропиленовые мешки с полиэтиленовыми вкладышами вместимостью 25 кг каждый или мягкие полипропиленовые контейнеры типа "биг-бэг" с полиэтиленовыми вкладышами вместимостью 1000 кг каждый. Продукцию в мешках транспортируют в пакетированном виде в соответствии с
ГОСТ 26663 на плоских деревянных поддонах по
ГОСТ 33757 или навалом.
Маркировку потребительской тары ПОХА проводят в соответствии с требованиями настоящего стандарта.
Потребительская тара должна быть промаркирована. Маркировку наносят непосредственно на тару либо на этикетку, прикрепляемую к таре.
Упакованную продукцию маркируют в соответствии с
ГОСТ 3885.
Маркировка, характеризующая упакованную продукцию, должна содержать следующую информацию на русском языке:
- наименование изготовителя, его товарный знак и юридический адрес;
- наименование ПОХА, его марка;
- масса нетто;
- номер партии;
- дата изготовления (месяц, год);
- обозначение настоящего стандарта;
- гарантийный срок хранения;
- надпись "Для хозяйственно-питьевого водоснабжения".
Любой из способов нанесения маркировки должен обеспечивать сохранность надписи.
Транспортная маркировка для жидких ПОХА - по
ГОСТ 14192 с нанесением манипуляционного знака "Герметичная упаковка".
Жидкие ПОХА относят к категории слабых коррозионных веществ, поэтому они не подлежат маркировке с присвоением кода ООН 3264, характеризующей транспортную опасность груза.
Маркировка, характеризующая транспортную опасность груза, перевозимого железнодорожным транспортом, для всех растворов ПОХА в соответствии с правилами перевозок опасных грузов по железным дорогам должна быть нанесена с указанием знака опасности "Едкое", класс 8, классификационный шифр 8013, код ООН 3264 - алюминия оксихлорид, коагулянт.
Транспортную маркировку кристаллического ПОХА осуществляют в соответствии с правилами перевозок грузов железнодорожным транспортом с нанесением манипуляционного знака по
ГОСТ 14192: "Герметичная упаковка", "Верх" и "Беречь от влаги".
Предупредительная информация должна быть нанесена на этикетку в соответствии с
ГОСТ 31340, а также должна быть выделена среди другой информации.
5 Требования безопасности
Типичным производственным процессом является реакция гидроксида алюминия или металлического алюминия с соляной кислотой с добавлением или без добавления хлорида алюминия либо в субстехиометрическом количестве кислотного материала, либо с последующей отдельной стадией повышения pH.
ПОХА, выпускаемый в виде растворов, обладает кислотными свойствами, оказывает раздражающее действие на кожу и слизистую оболочку глаз и по степени воздействия на организм относится к малоопасным веществам (4-й класс опасности по
ГОСТ 12.1.007).
В воздушной среде и сточных водах в присутствии других веществ или факторов при температуре окружающей среды ПОХА токсичных веществ не образует. В воде гидролизуется до гидроксида алюминия и хлористого водорода.
На предприятии работодатель должен обеспечить производственный контроль за содержанием вредных веществ в воздухе рабочей зоны при производстве и применении ПОХА. Периодичность контроля регламентируется
ГОСТ 12.1.005.
В случае аварийного разлива ПОХА его следует нейтрализовать кальцинированной содой или гидроксидом кальция и смыть большим количеством воды.
При попадании ПОХА на кожу необходимо промыть кожу большим количеством воды и/или 2%-ным раствором соды. В случае попадания ПОХА в глаза следует промыть их проточной водой в течение 10 - 15 мин и обратиться к врачу. При вдыхании паров необходимо выйти на свежий воздух, промыть рот и нос водой, выпить молоко с содой и/или минеральную воду, например "Боржоми". В случае проглатывания ПОХА следует промыть рот водой и выпить большое количество воды или молока, рвоту не вызывать.
Определение остаточной концентрации алюминия в очищенной питьевой воде проводят аккредитованные аналитические лаборатории по методикам измерений, аттестованным в соответствии с законодательством об обеспечении единства измерений.
6.1 Общие указания по проведению испытаний
Общие указания по проведению испытаний - по
ГОСТ 27025.
Допускается применять средства измерения с метрологическими характеристиками не хуже указанных в настоящем стандарте, а также реактивы и материалы аналогичной или более высокой квалификации, изготовленные по другой нормативно-технической документации, в том числе импортные. Средства измерений должны быть поверены или калиброваны в установленные сроки.
6.2 Условия безопасного проведения работ
При выполнении измерений необходимо соблюдать требования техники безопасности при работе с химическими реактивами по
ГОСТ 12.1.007.
При работе с оборудованием необходимо соблюдать правила электробезопасности по
ГОСТ 12.1.019.
Обучение работающих безопасности труда должно быть организовано в соответствии с
ГОСТ 12.0.004.
Помещение лаборатории должно соответствовать требованиям пожарной безопасности по
ГОСТ 12.1.004 и иметь средства пожаротушения по
ГОСТ 12.4.009.
6.3 Условия выполнения измерений
При выполнении измерений в лаборатории должны быть соблюдены следующие условия:
- температура воздуха ............................. | 15 - 28 °C; |
- относительная влажность воздуха ...... | не более 80% при температуре 25 °C. |
6.4.1 Подготовка пробы твердых образцов ПОХА
Пробу отбирают в тару с герметичной крышкой таким образом, чтобы тара была заполнена не более чем на 2/3 объема. Перед анализом пробу усредняют и сокращают.
Пробу перемешивают в закрытой банке, держа банку горизонтально, и встряхивают 6 - 8 раз. После этого банку ставят на стол и оставляют в покое, выжидая несколько минут, чтобы проба "не пылила". Открывают банку и отбирают один шпатель (примерно 3 - 5 г ПОХА) во флакон меньшего объема. Затем пробу снова перемешивают в банке и вновь отбирают единичную пробу в тот же флакон. Эту процедуру повторяют 5 - 7 раз, все единичные пробы перемешивают и получают усредненную аналитическую пробу, из которой отбирают навеску для анализа.
6.4.2 Подготовка пробы жидких образцов ПОХА
Отбор проб проводят в соответствии с
ГОСТ 3885 в пластиковую или стеклянную тару вместимостью не менее 150 см
3 с плотно закрывающейся крышкой. Если тара, в которой доставлена проба жидкого ПОХА, заполнена доверху, то пробу вместе с осадком, если он присутствует, переносят в банку с широким горлом и плотно закрывающейся крышкой. Банку выбирают таким образом, чтобы проба занимала не более 2/3 ее объема.
Точечные пробы ПОХА отбирают с использованием сифона или любого другого аналогичного средства, объем точечной пробы при этом должен быть не менее 0,05 дм3. Точечные пробы из цистерны отбирают специальным пробоотборником, обеспечивающим отбор представительной пробы по всей высоте цистерны. Объем пробы должен быть не менее 0,5 дм3.
Отобранные точечные пробы соединяют и тщательно перемешивают. Окончательный объем представительной пробы должен быть не менее 100 см3.
Срок хранения проб составляет 30 сут при комнатной температуре. В случае поступления в лабораторию пробы жидкого ПОХА в замерзшем состоянии необходимо пробу ПОХА поместить в теплое помещение до полного размораживания.
Пробу перед анализом необходимо тщательно перемешать.
6.5 Проверка приемлемости результатов измерения
При получении двух результатов измерений (X1, X2) в условиях повторяемости (сходимости) осуществляют проверку приемлемости результатов в соответствии с требованиями ГОСТ ИСО 5725-6.
Результаты измерений считают приемлемыми при выполнении следующего условия:

, (1)
где r - предел повторяемости для двух результатов измерений, полученных в условиях повторяемости.
При выполнении
условия (1) приемлемы оба результата измерений, и в качестве окончательного результата используют их общее среднее арифметическое значение. При превышении предела повторяемости могут быть применены методы проверки приемлемости результатов измерений по ГОСТ ИСО 5725-6-2003 (раздел 5).
При получении результатов измерений в двух лабораториях (Xлаб.1, Xлаб.2) проводят проверку приемлемости результатов измерений в соответствии с требованиями ГОСТ ИСО 5725-6-2003 (раздел 5).
Результаты измерений считают приемлемыми при выполнении следующего условия:

, (2)
где R - предел воспроизводимости для двух результатов измерений, полученных в условиях воспроизводимости.
При выполнении
условия (2) приемлемы оба результата измерений, и в качестве окончательного результата используют их общее среднее арифметическое значение. При превышении предела воспроизводимости могут быть применены методы проверки приемлемости результатов измерений по ГОСТ ИСО 5725-6-2003 (раздел 5).
7 Требования охраны окружающей среды
Защита окружающей среды обеспечивается соблюдением норм технологического регламента производства ПОХА, герметизацией технологического оборудования и тары, правил транспортирования и хранения ПОХА.
В процессе производства продукции выделяются пары, содержащие хлористый водород. Содержание хлористого водорода на границе СЗЗ с учетом рассеивания не должно превышать гигиенические нормативы, установленные в нормативных правовых актах государств, принявших настоящий стандарт. Контроль за содержанием гидрохлорида в СЗЗ осуществляет аккредитованная испытательная лаборатория или испытательная лаборатория, прошедшая процедуру оценки состояния измерений.
С целью охраны атмосферного воздуха, а также при сборе, временном хранении и утилизации отходов производства должны быть соблюдены требования, установленные в нормативных правовых актах государств, принявших настоящий стандарт.
ПОХА загрязняет почву и воздух: при превышении пороговой концентрации органического запаха (1,5 мг/л) может влиять на органолептические свойства воды, придавая ей запах; оказывает токсичное действие на рыб.
Жидкий ПОХА транспортируют железнодорожным транспортом в специальных железнодорожных цистернах, автомобильным транспортом - в стеклопластиковых автомобильных цистернах, полиэтиленовых емкостях, канистрах, контейнерах в соответствии с правилами перевозок опасных грузов, действующими на данном виде транспорта.
Материал полимерной тары должен быть непроницаемым, не поддаваться размягчению и не становиться хрупким под воздействием температур или старения. Все виды упаковки, предназначенные для перевозки автомобильным транспортом, должны иметь приспособления для надежного крепления контейнеров и поддонов с упакованным ПОХА в кузове автомобилей, в связи с чем необходимо, по возможности, укрупнять груз как в потребительской, так и потребительско-транспортной таре.
В окружающей среде ПОХА не трансформируется, в воде гидролизуется до гидроксида алюминия и хлористого водорода.
Меры безопасности при работе с отходами: отходы ликвидируют в местах, согласованных с природоохранными органами (на полигонах промышленных отходов или специально оборудованных комплексах по переработке и захоронению отходов).
При транспортировании железнодорожным транспортом упакованный ПОХА размещают в вагонах согласно утвержденным схемам с надлежащим его закреплением, обеспечивающим целостность герметичной упаковки.
Экологическая безопасность при применении ПОХА достигается:
- осуществлением государственного экологического контроля;
- осуществлением производственного (ведомственного) экологического контроля.
Контроль воздуха рабочей зоны проводит аккредитованная лаборатория по методикам, утвержденным в установленном порядке, с периодичностью, установленной в соответствии с
ГОСТ 12.1.005.
Предельно допустимый выброс загрязняющих веществ в атмосферу не должен превышать величин, установленных для предприятий в соответствии с требованиями нормативных правовых актов государств, принявших настоящий стандарт.
В атмосферном воздухе населенных мест содержание применяемых в производстве компонентов не должно превышать нормативы, установленные в нормативных правовых актах государств, принявших настоящий стандарт.
При погрузке и разгрузке ПОХА соблюдают требования безопасности по
ГОСТ 12.3.009.
Утилизацию или уничтожение технологических потерь, образующихся при производстве, а также продукции по окончании срока ее годности или при несоответствии требованиям настоящего стандарта проводят в порядке, установленном нормативными правовыми актами, действующими на территории государства, принявшего стандарт.
(обязательное)
ПОКАЗАТЕЛИ КАЧЕСТВА ПОЛИОКСИХЛОРИДА АЛЮМИНИЯ
Таблица А.1
Показатели качества ПОХА
Требования | ПОХА - раствор | ПОХА - твердый | Методика измерения |
Тип 1 | Тип 2 | Тип 3A | Тип 3B | Тип 4A | Тип 4B | Тип 5A | Тип 5B |
НО/СО | СО | ВО | ВО | СО | ВО | ВО |
1 Массовая доля оксида алюминия (Al2O3), % масс, не менее | 10,0 +/- 2,0 | 16,0 +/- 3 | 10,0 +/- 0,6 | 21,0 +/- 4,0 | 30,0 +/- 3,0 | 45,0 +/- 5,0 | |
2 Массовая доля хлоридов, % масс, в пределах | 17,0 +/- 5,0 | 20,0 +/- 2,5 | 13,0 +/- 2,0 | 10,0 +/- 4,5 | 33,0 +/- 5,0 | 21,0 +/- 7,0 | |
3 Плотность (при 20 °C), г/см3, в пределах | 1,22 +/- 0,04 | 1,33 +/- 0,07 | 1,24 +/- 0,02 | 1,24 - 1,38 | Не определяют | Не определяют | |
4 pH (ед.) водного раствора, в пределах | 2,0 +/- 1,5 | 2,0 +/- 1,5 | 2,5 +/- 0,5 | 3,0 - 5,5 | 3,2 - 5,0 | |
5 Массовая доля не растворимого в воде остатка, % масс, не более | 0,1 | 0,1 | 0,1 | 0,1 | 0,3 | 1,0 | 1,0 | 0,3 | |
6 Основность, %, в пределах | 0 - 40 | 33 - 55 | 60 - 75 | 60 - 83 | 38 - 55 | 60 - 83 | 70 - 83 | 70 - 83 | |
7 Массовая доля железа (Fe), % масс, не более | 0,05 | 0,05 | 0,05 | 0,05 | 0,15 | 1,0 | 1,0 | 0,15 | |
Примеси, токсические вещества <*>, % масс, не более |
8 Массовая концентрация кадмия (Cd) | 0,001 | 0,003 | |
9 Массовая концентрация свинца (Pb) | 0,001 | 0,003 | |
10 Массовая концентрация никеля (Ni) | 0,004 | 0,006 | 0,018 | |
11 Массовая концентрация хрома (Cr) | 0,004 | 0,006 | 0,018 | |
12 Массовая концентрация бериллия (Be) | 0,0005 | 0,0005 | 0,0015 | |
13 Массовая концентрация ртути (Hg) | 0,001 | 0,003 | |
14 Массовая концентрация мышьяка (As) | 0,001 | 0,003 | |
15 Массовая концентрация сурьмы (Sb) | 0,002 | 0,003 | 0,009 | |
16 Массовая концентрация селена (Se) | 0,002 | 0,003 | 0,009 | |
<*> Показатели 8 - 16 определяют в рамках расширенного контроля и по требованию потребителей. |
(рекомендуемое)
ОПРЕДЕЛЕНИЕ МАССОВОЙ ДОЛИ ОКСИДА АЛЮМИНИЯ (Al2O3)
Настоящая методика обеспечивает получение результатов анализа с погрешностью, не превышающей значений, приведенных в
таблицах Б.1,
Б.2. Диапазон измерений массовой доли оксида алюминия составляет от 1% до 55%. Продолжительность анализа одной пробы - 4 ч, серии из 10 проб - 8 ч.
Таблица Б.1
Диапазон измерений массовой доли
оксида алюминия, показатели точности измерений
Диапазон измерений массовой доли оксида алюминия, % | Показатель повторяемости (относительное среднеквадратическое отклонение повторяемости)  , % | Показатель воспроизводимости (относительное среднеквадратическое отклонение воспроизводимости)  , % | Показатель точности (границы относительной погрешности при доверительной вероятности 0,95),  , % |
От 1 до 55 включ. | 2,5 | 5 | 10 |
Таблица Б.2
Относительные значения пределов повторяемости
и воспроизводимости
Диапазон измерений массовой доли оксида алюминия, % масс. | Предел повторяемости (для двух результатов измерений, полученных в условиях повторяемости) r, % | Предел воспроизводимости (для двух результатов измерений, полученных в условиях воспроизводимости) R, % |
От 1 до 55 включ. | 7 | 14 |
Б.1 Метод измерений
Метод измерений основан на том, что в кислой среде катионы алюминия образуют с трилоном Б прочное комплексное соединение. Для увеличения скорости реакции образования комплекса алюминия раствор пробы ПОХА с трилоном Б, взятом в избытке, кипятят в течение 15 мин. Избыток трилона Б в слабокислой среде (pH = 5,5 ед. pH) титруют раствором цинка сернокислого в присутствии индикатора ксиленолового оранжевого.
Б.2 Средства измерений, вспомогательные устройства, лабораторная посуда, реактивы и материалы
Б.2.1 Средства измерений и вспомогательные устройства
Весы лабораторные аналитические специального или высокого класса точности с наибольшим пределом взвешивания 320 г по
ГОСТ OIML R 76-1.
Иономер (или pH-метр) любого типа с термокомпенсатором или с автоматической температурной компенсацией.
Часы песочные на 5 мин или электронный таймер-секундомер.
Установка для получения воды дистиллированной по
ГОСТ 6709 или воды для лабораторного анализа 2-й степени чистоты по ГОСТ ISO 3696.
Плитка электрическая с регулятором температуры по
ГОСТ 14919.
Холодильник бытовой любого типа, обеспечивающий температуру хранения проб и растворов реактивов от 2 °C до 10 °C.
Б.2.2 Лабораторная посуда
Бюретки вместимостью 25 и 50 см
3 2-го класса точности по
ГОСТ 29251.
Примечание - Допускается использовать автоматические титраторы.
Колбы мерные вместимостью 25, 50, 100, 250, 500 и 1000 см
3 2-го класса точности по
ГОСТ 1770.
Колбы конические вместимостью 100 и 250 см
3 по
ГОСТ 25336.
Пипетки градуированные вместимостью 1; 2; 5; 10 и 25 см
3 2-го класса точности по
ГОСТ 29227.
Пипетки с одной отметкой вместимостью 1, 2, 5, 10 и 25 см
3 2-го класса точности по
ГОСТ 29169.
Примечание - Допускается использовать дозаторы, отвечающие требованиям
ГОСТ 28311.
Стаканы из термически и химически стойкого стекла вместимостью 50, 100, 250 и 600 см
3 по
ГОСТ 25336.
Стекло часовое.
Флаконы из темного стекла вместимостью 100, 250, 500 и 1000 см3 для хранения растворов.
Флаконы пластиковые с узким горлом вместимостью 250 и 500 см3.
Шпатели фарфоровые длиной от 150 до 200 мм по
ГОСТ 9147 или медицинские металлические и пластиковые.
Цилиндры мерные вместимостью 50, 100 и 250 см
3 2-го класса точности по
ГОСТ 1770.
Б.2.3 Реактивы и материалы
Вода дистиллированная по
ГОСТ 6709 или вода для лабораторного анализа 2-й степени чистоты по ГОСТ ISO 3696.
Индикатор ксиленоловый оранжевый, ч.д.а.
Индикатор хромовый темно-синий, ч.д.а.
Индикатор эриохром черный Т, ч.д.а.
Кислота уксусная (ледяная), х.ч. по
ГОСТ 61.
Магний сернокислый 7-водный, стандарт-титр C (1/2 MgSO4 x 7H2O) = 0,1 моль/дм3 (0,1 н).
Натрий уксуснокислый 3-водный, ч.д.а. по
ГОСТ 199.
Стандарт-титр для приготовления буферных растворов по
ГОСТ 8.135.
Трилон Б (этилендиамин-N,N,N,N-тетрауксусной кислоты динатриевая соль, 2-водная), х.ч. по
ГОСТ 10652 или стандарт-титр
C (1/2 C
10H
14N
2Na
2O
8 x 2H
2O) = 0,1 моль/дм
3 (0,1 н).
Цинк сернокислый 7-водный, ч.д.а. по
ГОСТ 4174.
Спирт этиловый, 96,3%, категория "Люкс" по
ГОСТ 5962.
Примечание - Допускается использование реактивов аналогичной или более высокой квалификации, изготовленных по другой нормативно-технической документации, в том числе импортных.
Б.3 Подготовка к выполнению измерений
Б.3.1 Приготовление растворов
Б.3.1.1 Ацетатный буферный раствор со значением pH = (5,5 +/- 0,1) ед. pH
(55,00 +/- 0,01) г натрия уксуснокислого 3-водного переносят в мерную колбу вместимостью 1 дм3 и растворяют приблизительно в 500 см3 горячей (приблизительно 70 - 80 °C) дистиллированной воды, после охлаждения раствора до комнатной температуры доводят объем раствора в колбе до метки. После этого добавляют 3 см3 ледяной уксусной кислоты, перемешивают, доводят значение pH раствора до (5,5 +/- 0,1) ед. pH, добавляя концентрированную уксусную кислоту для снижения значения pH или добавляя небольшими порциями (примерно по 0,020 г) натрий уксуснокислый 3-водный для повышения значения pH раствора. Значение pH раствора контролируют на pH-метре. Срок хранения раствора - 1 мес при комнатной температуре.
Б.3.1.2 Раствор цинка сернокислого молярной концентрации 0,05 моль/дм3
(14,380 +/- 0,001) г цинка сернокислого 7-водного (ZnSO4 x 7H2O) переносят в мерную колбу вместимостью 1 дм3 и растворяют приблизительно в 900 см3 дистиллированной воды. Добавляют 1 см3 концентрированной серной кислоты и доводят объем раствора до метки, перемешивают. Срок хранения раствора - 3 мес при комнатной температуре.
Б.3.1.3 Раствор трилона Б молярной концентрации 0,05 моль/дм3
Содержимое ампулы стандарт-титра или навеску (18,6120 +/- 0,0005) г трилона Б переносят в мерную колбу вместимостью 1 дм3, приблизительно наполовину заполненную дистиллированной водой. Навеску трилона Б растворяют и доводят объем раствора в колбе до метки дистиллированной водой, перемешивают. Срок хранения раствора - 3 мес при комнатной температуре.
Б.3.1.4 Раствор индикатора ксиленолового оранжевого с массовой долей 0,5%
(0,25 +/- 0,01) г индикатора ксиленолового оранжевого растворяют в 20 - 30 см3 дистиллированной воды в мерной колбе вместимостью 50 см3.
Доводят объем раствора в колбе дистиллированной водой до метки, тщательно перемешивают. Срок хранения раствора - 1 мес при комнатной температуре.
Б.3.1.5 Аммиачный буферный раствор со значением pH = (10,0 +/- 0,1) ед. pH
В мерную колбу вместимостью 500 см3, приблизительно наполовину заполненную дистиллированной водой, помещают (10,0 +/- 0,1) г хлористого аммония и 50 см3 водного аммиака, тщательно перемешивают и доводят до метки дистиллированной водой. Значение pH буферного раствора контролируют на pH-метре. Срок хранения раствора - 3 мес при температуре от 2 °C до 10 °C.
Примечание - Рекомендуется периодически перед применением буферного раствора проверять его значение pH. Если значение pH изменилось более чем на 0,2 ед. pH, то готовят новый буферный раствор.
Б.3.1.6 Раствор индикатора эриохрома черного Т с массовой долей 0,5%
(0,50 +/- 0,05) г индикатора эриохрома черного Т помещают в стакан вместимостью не менее 100 см3, добавляют 20 см3 аммиачного буферного раствора (pH = 10), тщательно перемешивают и добавляют 80 см3 этилового спирта. Срок хранения раствора - 10 сут при комнатной температуре во флаконе из темного стекла.
Примечание - Допускается вместо индикатора эриохрома черного Т использовать индикатор хромовый темно-синий, раствор которого готовят аналогичным способом. Срок хранения раствора во флаконе из темного стекла - 3 мес при комнатной температуре.
Б.3.1.7 Приготовление сухой индикаторной смеси эриохрома черного Т
(0,25 +/- 0,01) г эриохрома черного Т смешивают с (25,0 +/- 0,1) г хлористого натрия или калия и тщательно растирают в ступке. Срок хранения смеси - один год при комнатной температуре во флаконе из темного стекла.
Б.3.1.8 Раствор магния сернокислого молярной концентрации 0,05 моль/дм3
Содержимое одной ампулы стандарт-титра переносят в мерную колбу вместимостью 1 дм3, доводят объем раствора в колбе дистиллированной водой до метки и перемешивают. Срок хранения раствора - 6 мес при температуре от 2 °C до 10 °C.
Б.3.1.9 Раствор соляной кислоты с массовой долей 10%
Раствор соляной кислоты готовят согласно
ГОСТ 4517.
25 см3 концентрированной соляной кислоты добавить к 75 см3 дистиллированной воды, раствор перемешать и перелить во флакон из темного стекла для хранения раствора. Срок хранения раствора - 3 мес при комнатной температуре.
Б.3.2 Установление поправочного коэффициента к молярной концентрации 0,05 моль/дм3 раствора трилона Б
В коническую колбу вместимостью 250 см3 вносят 10 см3 раствора сернокислого магния молярной концентрации 0,05 моль/дм3 и добавляют 90 см3 дистиллированной воды. Добавляют 5 см3 аммиачного буферного раствора [pH = (10,0 +/- 0,1) ед. pH] и 5 - 7 капель раствора индикатора эриохрома черного Т или хромового темно-синего или от 0,05 до 0,1 г сухой индикаторной смеси. Титруют при сильном взбалтывании раствором трилона Б до изменения окраски индикатора в точке эквивалентности. Окраска должна стать синей с зеленоватым оттенком при прибавлении индикатора эриохрома черного Т или синей с фиолетовым оттенком при использовании индикатора хромового темно-синего.
За результат титрования принимают среднее арифметическое значение из трех параллельных титрований, расхождение между которыми не превышает 0,05 см3.
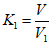
Поправочный коэффициент K1 рассчитывают с точностью до четвертого знака по формуле

, (Б.1)
где V - объем раствора сернокислого магния молярной концентрации 0,05 моль/дм3, взятого для определения поправочного коэффициента 10,00 см3;
V1 - объем раствора трилона Б молярной концентрации 0,05 моль/дм3, израсходованного на титрование, см3.
Если поправочный коэффициент K1 раствора трилона Б отличается от 1,00 больше чем на +/- 0,03, то раствор укрепляют, разбавляют или готовят заново. Для укрепления раствора добавляют небольшими порциями (примерно по 0,020 г) трилон Б. После укрепления или разбавления раствора поправочный коэффициент устанавливают заново.
Б.3.3 Установление поправочного коэффициента к раствору цинка сернокислого молярной концентрации 0,05 моль/дм3
В коническую колбу вместимостью 250 см3 помещают 25 см3 раствора цинка сернокислого 7-водного молярной концентрации 0,05 моль/дм3, прибавляют около 70 см3 воды, 5 см3 аммиачного буферного раствора [pH = (10,0 +/- 0,1) ед. pH], около 0,1 г сухой индикаторной смеси эриохрома черного Т и титруют из бюретки раствором трилона Б молярной концентрации 0,05 моль/дм3 до перехода фиолетовой окраски раствора в синюю. За результат титрования принимают среднее арифметическое значение из трех параллельных титрований, расхождение между которыми не превышает 0,05 см3.
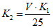
Поправочный коэффициент раствора сернокислого цинка K2 рассчитывают с точностью до четвертого знака по формуле

, (Б.2)
где V - объем раствора трилона Б молярной концентрации 0,05 моль/дм3, израсходованный на титрование, см3;
K1 - поправочный коэффициент раствора трилона Б молярной концентрации 0,05 моль/дм3;
25 - объем раствора цинка сернокислого молярной концентрации 0,05 моль/дм3, взятого для определения поправочного коэффициента, см3.
Если поправочный коэффициент K2 раствора сернокислого цинка отличается от 1,00 больше чем на +/- 0,03, то раствор укрепляют, разбавляют или готовят заново. Для укрепления раствора добавляют небольшими порциями (примерно по 0,020 г) цинк сернокислый. После укрепления или разбавления раствора поправочный коэффициент устанавливают заново. Поправочный коэффициент проверяют один раз в месяц при соблюдении условий хранения раствора.
Б.4 Проведение анализа
Навеску порошка или жидкого ПОХА взвешивают с точностью до 0,0005 г на аналитических весах в конической колбе вместимостью 250 см
3. Масса навески зависит от марки ПОХА и содержания оксида алюминия. Рекомендуемые массы навесок исследуемых проб приведены в
таблице Б.3.
Таблица Б.3
Рекомендуемые массы навесок исследуемых проб
в зависимости от содержания оксида алюминия
Содержание оксида алюминия, % | Масса навески, г |
От 1 до 11 включ. | 0,40 - 0,55 |
Св. 11 до 20 включ. | 0,25 - 0,35 |
Св. 20 до 35 включ. | 0,15 - 0,2 |
Св. 35 до 40 включ. | 0,1 - 0,15 |
Св. 40 | 0,09 - 0,11 |
К навеске добавляют 25 см3 раствора трилона Б молярной концентрации 0,05 моль/дм3 и от 80 до 100 см3 дистиллированной воды. Накрывают колбу часовым стеклом или маленькой воронкой и нагревают на электроплитке при слабом кипении в течение 15 мин.
Примечание - При анализе ВО ПОХА после добавления трилона Б возможно появление опалесценции (или помутнение раствора). В этом случае к анализируемому раствору добавляют 1 см3 раствора соляной кислоты с массовой долей 10% (опалесценция пропадет сразу или после кипячения).
После кипячения обмывают часовое стекло (воронку) и конденсат со стенок колбы дистиллированной водой. Охлаждают колбу до комнатной температуры и добавляют 25 см3 ацетатного буферного раствора [pH = (5,5 +/- 0,1) ед. pH], от 3 до 5 капель раствора ксиленолового оранжевого и титруют избыток трилона Б раствором цинка сернокислого до перехода окраски из желтой в розовую.
Б.5 Обработка результатов измерений
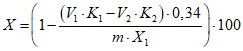
Массовую долю ПОХА в пересчете на оксид алюминия X, %, вычисляют по формуле

, (Б.3)
где V1 - объем раствора трилона Б молярной концентрации 0,05 моль/дм3, взятый для анализа, см3;
V2 - объем раствора сернокислого цинка молярной концентрации 0,05 моль/дм3, пошедший на титрование анализируемого раствора, см3;
K1 и K2 - поправочные коэффициенты для растворов трилона Б и сернокислого цинка соответственно;
0,002549 - масса оксида алюминия, реагирующая с 1 см3 раствора сернокислого цинка молярной концентрации 0,05 моль/дм3, г;
m - масса ПОХА, взятая для анализа, г;
V3 - 1 см3 раствора сернокислого цинка молярной концентрации 0,05 моль/дм3.
Б.6 Оформление результатов измерений
Результат измерений в протоколах, как правило, представляют в виде:

, %, (Б.4)
где

- характеристика абсолютной погрешности результата измерения, %, которую рассчитывают по формуле

, (Б.5)
где

- значение показателя точности измерений массовой доли оксида алюминия, % (см.
таблицу Б.1).
(рекомендуемое)
ОПРЕДЕЛЕНИЕ МАССОВОЙ ДОЛИ ХЛОРИДОВ
Метод обеспечивает получение результатов измерений с погрешностями, не превышающими значений, приведенных в
таблицах В.1,
В.2. Диапазон измерений массовой доли хлоридов составляет от 0,5% до 40%.
Таблица В.1
Диапазон измерений массовой доли хлоридов
в ПОХА, показатели точности измерений
Диапазон измерений массовой доли хлоридов, % | Показатель повторяемости (относительное среднеквадратическое отклонение повторяемости)  , % | Показатель воспроизводимости (относительное среднеквадратическое отклонение воспроизводимости)  , % | Показатель точности (границы относительной погрешности при доверительной вероятности 0,95),  , % |
От 0,5 до 5 включ. | 6 | 12 | 24 |
Св. 5 до 40 включ. | 2 | 4 | 8 |
Таблица В.2
Относительные значения пределов повторяемости
и воспроизводимости
Диапазон измерений массовой доли хлоридов, % | Предел повторяемости (относительное значение допускаемого расхождения для двух результатов измерений, полученных в условиях повторяемости) r, % | Предел воспроизводимости (относительное значение допускаемого расхождения для двух результатов измерений, полученных в условиях воспроизводимости) R, % |
От 0,5 до 5 включ. | 17 | 34 |
Св. 5 до 40 включ. | 6 | 11 |
В.1 Метод измерений
Титриметрический метод измерения массовой доли хлоридов основан на взаимодействии хлорид-ионов с ионами ртути (II) с образованием малодиссоциированного соединения хлорида ртути.
Хлориды титруют в кислой среде раствором азотнокислой ртути (II) в присутствии дифенилкарбазона, при этом образуется хлорная ртуть. В конце титрования избыточные ионы ртути с дифенилкарбазоном образуют окрашенное в фиолетовый цвет комплексное соединение.
В.2 Средства измерений, вспомогательные устройства, лабораторная посуда, реактивы и материалы
В.2.1 Средства измерений и вспомогательные устройства
Весы лабораторные аналитические специального или высокого класса точности с наибольшим пределом взвешивания 320 г по
ГОСТ OIML R 76-1.
Установка для получения воды дистиллированной по
ГОСТ 6709 или воды для лабораторного анализа 2-й степени чистоты по ГОСТ ISO 3696.
Примечание - Допустимо использовать другие средства измерения утвержденных типов, обеспечивающие измерения с установленной точностью и имеющие характеристики не хуже вышеуказанных. Средства измерений должны быть поверены или откалиброваны в установленные сроки.
В.2.2 Лабораторная посуда
Бюретки вместимостью 25 и 50 см
3 2-го класса точности по
ГОСТ 29251.
Примечание - Допускается использовать автоматические титраторы.
Колбы мерные вместимостью 25, 50, 100, 250, 500 и 1000 см
3 2-го класса точности по
ГОСТ 1770.
Колбы конические вместимостью 100 и 250 см
3 по
ГОСТ 25336.
Пипетки градуированные вместимостью 1, 2, 5, 10 и 25 см
3 2-го класса точности по
ГОСТ 29227.
Пипетки с одной отметкой вместимостью 1, 2, 5, 10 и 25 см
3 2-го класса точности по
ГОСТ 29169.
Примечание - Допускается использовать дозаторы, отвечающие требованиям
ГОСТ 28311.
Стаканы из термически и химически стойкого стекла вместимостью 50, 100, 250 и 600 см
3 по
ГОСТ 25336.
Флаконы из темного стекла вместимостью 100, 250, 500 и 1000 см3 для хранения растворов реактивов.
Флаконы пластиковые с узким горлом вместимостью 250 и 500 см3.
Цилиндры мерные вместимостью 50, 100 и 250 см
3 2-го класса точности по
ГОСТ 1770.
Шпатели фарфоровые длиной 150 - 200 мм по
ГОСТ 9147 или медицинские металлические и пластиковые.
В.2.3 Реактивы и материалы
Вода дистиллированная по
ГОСТ 6709 или вода для лабораторного анализа 2-й степени чистоты по ГОСТ ISO 3696.
Дифенилкарбазон, ч.д.а.
Кислота азотная, стандарт-титр C(HNO3) = 0,1 моль/дм3 (0,1 н).
Натрий хлористый, х.ч. по
ГОСТ 4233 или стандарт-титр
C(NaCl) = 0,1 моль/дм
3.
Ртуть (II) азотнокислая 1-водная, х.ч. по
ГОСТ 4520.
Спирт этиловый, 96,3%, категория "Люкс" по
ГОСТ 5962.
Примечание - Допускается использование оборудования, материалов и реактивов с характеристиками не хуже вышеуказанных.
В.3 Отбор и хранение проб
Отбор и хранение проб приводят в соответствии с
6.4.
В.4 Подготовка к выполнению измерений
В.4.1 Приготовление растворов
В.4.1.1 Раствор азотной кислоты с массовой долей 25%
Раствор азотной кислоты готовят согласно
ГОСТ 4517. 32 см
3 концентрированной азотной кислоты добавляют к 68 см
3 дистиллированной воды, раствор перемешивают. Срок хранения раствора - 2 мес при комнатной температуре.
В.4.1.2 Раствор азотной кислоты молярной концентрации 2 моль/дм3
Приготовление из стандарт-титра.
Содержимое ампулы стандарт-титра количественно переносят в мерную колбу вместимостью 50 см3, доводят раствор до метки дистиллированной водой, перемешивают и переливают во флакон для хранения реактивов.
Приготовление из вещества гарантированной чистоты.
14 см3 концентрированной азотной кислоты добавляют в мерную колбу вместимостью 100 см3, доводят объем раствора дистиллированной водой до метки, перемешивают и переливают во флакон для хранения реактивов.
Срок хранения раствора - 3 мес при комнатной температуре.
В.4.1.3 Раствор дифенилкарбазона с массовой долей 1%
(1,00 +/- 0,05) г дифенилкарбазона растворяют в 40 - 60 см3 этилового спирта в мерной колбе вместимостью 100 см3. Затем доводят объем раствора в колбе спиртом до метки, тщательно перемешивают. Срок хранения раствора - 3 мес во флаконе из темного стекла при комнатной температуре.
В.4.1.4 Раствор ртути (II) азотнокислой молярной концентрации 0,05 моль/дм3
(17,00 +/- 0,05) г ртути (II) азотнокислой 1-водной переносят в мерную колбу вместимостью 1 дм3 и растворяют в 30 см3 раствора азотной кислоты с массовой долей 25%. Доводят раствор в колбе до метки дистиллированной водой и перемешивают. Раствор пригоден для использования через 2 сут. Срок хранения раствора - 3 мес во флаконе из темного стекла при комнатной температуре.
В.4.1.5 Раствор хлорида натрия молярной концентрации 0,1 моль/дм3
Приготовление из стандарт-титра.
Содержимое одной ампулы стандарт-титра переносят в мерную колбу вместимостью 1000 см3, доводят объем раствора в колбе дистиллированной водой до метки и перемешивают.
Приготовление из вещества гарантированной чистоты.
Навеску (5,8443 +/- 0,0001) г хлористого натрия помещают в стакан, растворяют в небольшом количестве дистиллированной воды, переносят в мерную колбу вместимостью 1000 см3 и доводят до метки дистиллированной водой.
Срок хранения раствора - 3 мес при комнатной температуре.
В.4.2 Установление поправочного коэффициента к молярной концентрации 0,05 моль/дм3 раствора ртути (II) азотнокислой
Установление поправочного коэффициента проводят не ранее чем через 2 сут после приготовления раствора ртути. В коническую колбу вместимостью 250 см3 вносят 10 см3 раствора хлорида натрия молярной концентрации 0,1 моль/дм3, добавляют 90 см3 дистиллированной воды, 2 капли (примерно 0,1 см3) раствора азотной кислоты молярной концентрации 2 моль/дм3 и 10 капель (примерно 0,5 см3) раствора дифенилкарбазона с массовой долей 1%. Титруют раствором нитрата ртути молярной концентрации 0,05 моль/дм3 до перехода окраски из желтой в сине-фиолетовую (без розового оттенка). За результат титрования принимают среднее арифметическое значение из трех параллельных титрований, расхождение между которыми не превышает 0,05 см3.
Поправочный коэффициент K рассчитывают с точностью до четвертого знака по формуле

, (В.1)
где V - объем раствора хлористого натрия молярной концентрации 0,1 моль/дм3, взятого для определения поправочного коэффициента (10,00), см3;
V1 - объем раствора азотнокислой ртути (II) молярной концентрации 0,05 моль/дм3, израсходованного на титрование, см3.
Если поправочный коэффициент K раствора нитрата ртути отличается от 1,00 больше чем на +/- 0,03, то раствор укрепляют, или разбавляют, или готовят заново. Для укрепления раствора добавляют небольшими порциями (примерно по 0,020 г) нитрата ртути (II) 1-водной, в этом случае соль растворяют непосредственно в приготовленном растворе нитрата ртути молярной концентрации 0,05 моль/дм3. После укрепления или разбавления раствора поправочный коэффициент устанавливают заново.
В.5 Проведение анализа
Навеску порошка или жидкого ПОХА от 0,1 до 0,3 г взвешивают с точностью до 0,0005 г на аналитических весах в конической колбе вместимостью 250 см3.
Примечание - Допускается брать для анализа другую навеску ПОХА в зависимости от марки ПОХА или содержания хлоридов.
В коническую колбу с пробой ПОХА добавляют 100 см3 дистиллированной воды, 2 капли раствора азотной кислоты молярной концентрации 2 моль/дм3, 10 капель раствора дифенилкарбазона и титруют раствором нитрата ртути (II) до перехода окраски раствора из желтой в сине-фиолетовую (без розового оттенка).
В.6 Обработка результатов измерений
Массовую долю хлоридов X, %, рассчитывают по формуле

, (В.2)
где V - объем раствора нитрата ртути (II) молярной концентрации 0,05 моль/дм3, пошедший на титрование анализируемого раствора, см3;
K - поправочный коэффициент к титру раствора нитрата ртути (II) молярной концентрации 0,05 моль/дм3;
0,003545 - масса хлорид-иона, реагирующая с 1 см3 раствора нитрата ртути молярной концентрации 0,05 моль/дм3, г;
m - масса ПОХА, взятая для анализа, г.
В.7 Оформление результатов измерений
Результат измерений в протоколах, как правило, представляют в следующем виде:

, %, (В.3)
где

- характеристика абсолютной погрешности результата измерения, %, которую рассчитывают по формуле

, (В.4)
где

- значение показателя точности измерений массовой доли хлоридов, % (см.
таблицу В.1).
(рекомендуемое)
ПЛОТНОСТЬ ПОЛИОКСИХЛОРИДА АЛЮМИНИЯ
Плотность определяют по ГОСТ 18995.1-73
(раздел 1), используя при измерении ареометр.
Примечание - Допустимо использовать другие средства измерения утвержденных типов, обеспечивающие измерения с установленной точностью и имеющие характеристики не хуже вышеуказанных. Средства измерений должны быть поверены в установленные сроки.
(рекомендуемое)
ОПРЕДЕЛЕНИЕ pH РАСТВОРОВ ПОЛИОКСИХЛОРИДА АЛЮМИНИЯ
Измерения проводят на универсальном иономере или pH-метре любого типа с погрешностью измерения не более 0,2 единицы pH в соответствии с рабочей инструкцией по его эксплуатации. Метод основан на измерении электрического потенциала между ионоселективным электродом и электродом сравнения.
За окончательный результат принимают результат единичного изменения или средний арифметический результат параллельных определений.
Подготовку pH-метра проводят в соответствии с руководством по эксплуатации. Настройку прибора осуществляют по буферным растворам. Буферные растворы готовят в соответствии с паспортами на стандарт-титры.
Если измерение проводят в соответствии с руководством по эксплуатации pH-метра (или другой разрешительной документацией на прибор), то это не отменяет требования настоящего приложения.
Д.1 Средства измерения, реактивы и материалы
Весы лабораторные аналитические специального или высокого класса точности с наибольшим пределом взвешивания 320 г по
ГОСТ OIML R 76-1.
pH-метр со стеклянным электродом измерения, электродом сравнения и температурным датчиком, или универсальный иономер в комплекте с автоматическим термокомпенсатором.
Часы песочные на 1 мин или таймер-секундомер электронный.
Установка для получения воды дистиллированной по
ГОСТ 6709 или воды для лабораторного анализа 2-й степени чистоты по ГОСТ ISO 3696.
Стаканы из термически и химически стойкого стекла вместимостью 50, 100 и 250 см
3 по
ГОСТ 25336.
Колбы мерные вместимостью 100, 250, 500 и 1000 см
3 2-го класса точности по
ГОСТ 1770.
Цилиндры мерные вместимостью 50, 100 и 250 см
3 2-го класса точности по
ГОСТ 1770.
Стандарт-титры для приготовления буферных растворов по
ГОСТ 8.135 (4,01; 6,86; 9,18 и другие буферные растворы в соответствии с требованиями к калибровке pH-метров).
Палочка стеклянная или мешалка магнитная электрическая.
Д.2 Проведение испытания
Д.2.1 Определение pH жидкого ПОХА (раствора)
Примерно 100 см3 ПОХА помещают в стакан и измеряют водородный показатель (pH) при температуре 20 °C иономером или pH-метром согласно инструкции к прибору.
Отсчет величины pH по шкале прибора проводят, когда показания прибора не будут изменяться более чем на 0,2 ед. pH в течение 1 мин, затем через 1 мин измерение повторяют. Если значения pH отличаются не более чем на 0,2 ед. pH, то за результат принимают среднее арифметическое значение.
Д.2.2 Определение pH раствора твердого ПОХА
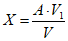
Для определения pH раствора твердого ПОХА готовят 1%-ный раствор оксида алюминия. Навеску ПОХА m для приготовления водного раствора рассчитывают по формуле

, (Д.1)
где mраст - масса приготавливаемого раствора для определения pH, г;

- процентное содержание оксида алюминия в ПОХА, %.
Рассчитанное количество ПОХА взвешивают с точностью до 0,0005 г в стеклянном стакане и делают из него раствор, доводя до нужной массы дистиллированной водой. Полученный раствор перемешивают стеклянной палочкой или на магнитной мешалке и измеряют водородный показатель (pH) при температуре 20 °C с помощью иономера или pH-метра согласно инструкции к прибору. Отсчет величины pH по шкале прибора проводят, когда показания прибора не будут изменяться более чем на 0,2 ед. pH в течение 1 мин, затем через 1 мин измерение повторяют; если значения pH отличаются не более чем на 0,2 ед. pH, то за результат принимают среднее арифметическое значение.
(рекомендуемое)
ОПРЕДЕЛЕНИЕ МАССОВОЙ ДОЛИ НЕ РАСТВОРИМОГО В ВОДЕ ОСТАТКА
Метод обеспечивает получение результатов анализа с погрешностью, не превышающей значений, приведенных в
таблицах Е.1 и
Е.2
Диапазон измерения массовой доли нерастворимого в воде остатка составляет от 0,01% до 2,00%.
Таблица Е.1
Диапазон измерений, значения показателей повторяемости,
воспроизводимости и точности методики измерений
Диапазон измерений массовой доли не растворимого в воде остатка, % | Показатель повторяемости (относительное среднеквадратическое отклонение повторяемости)  , % | Показатель воспроизводимости (относительное среднеквадратическое отклонение воспроизводимости)  , % | Показатель точности (границы относительной погрешности при доверительной вероятности 0,95),  , % |
От 0,01 до 2,00 включ. | 10 | 20 | 40 |
Таблица Е.2
Относительные значения пределов повторяемости
и воспроизводимости
Диапазон измерений массовой доли не растворимого в воде остатка, % | Предел повторяемости (относительное значение допускаемого расхождения для двух результатов измерений, полученных в условиях повторяемости) r, % | Предел воспроизводимости (относительное значение допускаемого расхождения для двух результатов измерений, полученных в условиях воспроизводимости) R, % |
От 0,01 до 2,00 включ. | 28 | 56 |
Продолжительность анализа одной пробы - 6 ч, серии из 10 проб - 9 ч.
Принцип метода заключается в гравиметрическом определении нерастворимого остатка, который остается после растворения пробы ПОХА в горячей воде. Полученный раствор фильтруют через фильтр "белая лента", который в дальнейшем прокаливают в муфельной печи при температуре от 950 °C до 1000 °C.
Не растворимый в воде остаток характеризует качество ПОХА и состоит из неорганических веществ: силикатов, оксидов, которые попадают в ПОХА с исходным сырьем и считаются его загрязнителями.
Е.1 Средства измерений, вспомогательные устройства, лабораторная посуда, реактивы и материалы
Е.1.1 Средства измерений и вспомогательные устройства
Весы лабораторные аналитические специального или высокого класса точности с наибольшим пределом взвешивания 320 г по
ГОСТ OIML R 76-1.
Дозаторы, устанавливаемые на сосуд или ручные, одноканальные с фиксированным или варьируемым объемом дозирования (например, по
ГОСТ 28311).
Часы песочные на 60 мин или таймер лабораторный, любой модели.
Дистиллятор или установка любого типа для получения воды дистиллированной по
ГОСТ 6709 или воды для лабораторного анализа 2-й степени чистоты по ГОСТ ISO 3696.
Печь муфельная, обеспечивающая температуру прокаливания от 950 °C до 1000 °C.
Плитка электрическая с регулятором температуры по
ГОСТ 14919.
Примечание - Допустимо использовать другие средства измерения утвержденных типов, обеспечивающие измерения с установленной точностью и имеющие характеристики не хуже вышеуказанных. Средства измерений должны быть поверены или калиброваны, а испытательное оборудование должно быть аттестовано в установленные сроки.
Е.1.2 Лабораторная посуда
Колбы конические вместимостью 250 см
3 по
ГОСТ 25336.
Колбы мерные вместимостью 50, 100, 250, 500 и 1000 см
3 2-го класса точности по
ГОСТ 1770.
Мензурки стеклянные вместимостью 500 и 1000 см
3 по
ГОСТ 1770.
Палочки стеклянные.
Пипетки градуированные вместимостью 1, 2, 5, 10 и 25 см
3 2-го класса точности по
ГОСТ 29227.
Пипетки с одной отметкой вместимостью 1, 2, 5, 10, 25 и 100 см
3 2-го класса точности по
ГОСТ 29169.
Стаканы из термически и химически стойкого стекла вместимостью 50, 100, 250, 600 и 1000 см
3 по
ГОСТ 25336.
Стаканы из термически стойкого стекла вместимостью 50, 100, 150 и 250 см
3 по
ГОСТ 25336.
Флаконы из прозрачного и темного стекла для хранения растворов реактивов вместимостью 100, 250 и 500 см3.
Цилиндры мерные вместимостью 50, 100 и 500 см
3 2-го класса точности по
ГОСТ 1770.
Примечание - Допускается использовать лабораторную посуду из полимерных материалов.
Е.1.3 Реактивы и материалы
Вода дистиллированная по
ГОСТ 6709 или для лабораторного анализа по ГОСТ ISO 3696 (2-й степени чистоты).
Силикагель-индикатор по
ГОСТ 8984 или кальций хлористый безводный по
ГОСТ 450 в качестве осушителя для эксикаторов.
Фильтр обеззоленный "белая лента" диаметром 15 см.
Примечание - Допускается использование оборудования, материалов и реактивов с характеристиками не хуже вышеуказанных.
Е.2 Отбор и хранение проб
Отбор и хранение проб проводят в соответствии с
6.4.
Е.3 Подготовка к выполнению измерений
Е.3.1 Приготовление растворов
Е.3.1.1 Раствор азотной кислоты с массовой долей 20%
Раствор азотной кислоты готовят согласно
ГОСТ 4517.
25 см3 концентрированной азотной кислоты добавляют к 75 см3 дистиллированной воды, раствор перемешивают и переливают в стеклянный флакон. Срок хранения раствора - 2 мес при комнатной температуре.
Е.3.1.2 Раствор серебра азотнокислого (нитрата серебра) молярной концентрации 1 моль/дм3
В мерную колбу вместимостью 100 см3 помещают навеску (17,00 +/- 0,01) г серебра азотнокислого, растворяют в небольшом количестве дистиллированной воды и доводят объем колбы до метки дистиллированной водой. Раствор перемешивают и переливают во флакон из темного стекла. Срок хранения раствора - 3 мес при комнатной температуре.
Е.3.1.3 Раствор соляной кислоты с массовой долей 10%
Раствор соляной кислоты готовят согласно
ГОСТ 4517.
25 см3 концентрированной соляной кислоты добавляют к 75 см3 дистиллированной воды, раствор перемешивают и переливают во флакон из темного стекла для хранения растворов реактивов. Срок хранения раствора - 3 мес при комнатной температуре.
Е.3.1.4 Раствор хлорида бария с массовой долей 10%
(10,00 +/- 0,01) г хлорида бария растворяют в 90 см3 дистиллированной воды в стакане вместимостью 150 см3, перемешивают и переливают во флакон для хранения. Срок хранения раствора - 3 мес при комнатной температуре.
Е.3.2 Подготовка тигля
Сухой чистый тигель прокаливают в течение 30 мин при температуре от 950 °C до 1000 °C, затем охлаждают в эксикаторе до комнатной температуры и взвешивают с точностью до 0,0001 г. Прокаливание тигля проводят до достижения постоянной массы.
Примечание - Допускается хранить прокаленные и взвешенные тигли в эксикаторе в течение трех дней.
От 8 до 10 г жидкого ПОХА или от 2,5 до 3,0 г ПОХА в виде порошка взвешивают в стакане вместимостью 50 см3 на аналитических весах с точностью до 0,0005 г.
Примечание - Допускается брать для анализа от 1,0 до 2,5 г ПОХА при содержании оксида алюминия более 35% и растворять в 150 - 200 см3 горячей дистиллированной воды.
Навеску ПОХА растворяют приблизительно в 30 - 40 см3 горячей дистиллированной воды (температура воды должна находиться в диапазоне от 60 °C до 100 °C) и фильтруют раствор через обеззоленный фильтр "белая лента". Стакан не менее пяти раз омывают небольшими порциями горячей дистиллированной воды (приблизительно 15 - 20 см3), до тех пор, пока в стакане не останется остатка.
Осадок на фильтре промывают горячей водой (не менее 1 дм
3 горячей дистиллированной воды) до отсутствия положительной реакции на хлорид- и сульфат-ионы в промывных водах (см.
Е.5,
Е.6).
После того как в промывных водах осадка с фильтра хлорид- и сульфат-ионов не обнаружено, фильтр с осадком помещают в предварительно подготовленный тигель, ставят тигель в муфельную печь и прокаливают при температуре от 950 °C до 1000 °C в течение 1 ч. После прокаливания тигель охлаждают до комнатной температуры в эксикаторе и взвешивают на аналитических весах с точностью до 0,0001 г. Прокаливание тигля проводят до достижения им постоянной массы.
Е.5 Проверка промывных вод на отсутствие хлорид-ионов
Приблизительно к 100 см
3 фильтрата, полученного по
Е.4, добавляют 1 см
3 раствора азотной кислоты с массовой долей 20% и 1 см
3 раствора азотнокислого серебра молярной концентрации 1 моль/дм
3. Опалесценция испытуемого раствора не должна быть интенсивнее опалесценции раствора сравнения, в котором вместо фильтрата используют дистиллированную воду.
Е.6 Проверка промывных вод на отсутствие сульфат-ионов
Приблизительно к 100 см
3 фильтрата, полученного по
Е.4, добавляют 2 см
3 раствора соляной кислоты с массовой долей 10% и 2 см
3 раствора хлористого бария с массовой долей 10%. Опалесценция испытуемого раствора не должна быть интенсивнее, чем у раствора сравнения, в котором вместо фильтрата используют дистиллированную воду.
Е.7 Обработка результатов измерений
Массовую долю нерастворимого остатка X, %, рассчитывают по формуле

, (Е.1)
где m2 - масса тигля с прокаленным остатком, г;
m1 - масса пустого тигля, г;
m0 - масса золы фильтра после сжигания, г;
m - масса навески ПОХА, взятого для анализа, г.
Примечание - Масса золы фильтра m0 указана на упаковке с фильтрами.
Е.8 Оформление результатов измерений
Результат измерений в протоколах, как правило, представляют в следующем виде:

, (Е.2)
где

- характеристика абсолютной погрешности результата измерения, %, которую рассчитывают по формуле

, (Е.3)
где

- значение показателя точности измерений массовой доли нерастворимого остатка в воде, % (см.
таблицу Е.1).
За окончательный результат принимают результат единичного измерения или среднее арифметическое результатов параллельных определений.
(рекомендуемое)
Метод обеспечивает получение результатов измерений с погрешностями, не превышающими значений, приведенных в
таблицах Ж.1,
Ж.2.
Диапазон измерений основности ПОХА составляет от 5% до 90%.
Таблица Ж.1
Диапазон измерений основности ПОХА, показатели
точности измерений
Диапазон измерений основности полиоксихлорида алюминия, % | Показатель повторяемости (относительное среднеквадратическое отклонение повторяемости)  , % | Показатель воспроизводимости (относительное среднеквадратическое отклонение воспроизводимости)  , % | Показатель точности (границы относительной погрешности при доверительной вероятности 0,95)  , % |
От 5 до 40 включ. | 14 | 16 | 32 |
Св. 40 до 90 включ | 5 | 7 | 14 |
Таблица Ж.2
Относительные значения пределов повторяемости
и воспроизводимости
Диапазон измерений основности, % | Предел повторяемости (относительное значение допускаемого расхождения для двух результатов измерений, полученных в условиях повторяемости) r, % | Предел воспроизводимости (относительное значение допускаемого расхождения для двух результатов измерений, полученных в условиях воспроизводимости) R, % |
От 5 до 40 включ. | 39 | 45 |
Св. 40 до 90 включ. | 14 | 20 |
Продолжительность анализа одной пробы - 2 ч, серии из 10 проб - 4 ч.
Основность определяют методом обратного кислотно-основного титрования пробы после предварительного осаждения алюминия в виде гидроксида алюминия. Измеряют объем раствора соляной кислоты, пошедшей на титрование в присутствии фенолфталеина, и вычисляют основность ПОХА.
Основность B, %, - отношение молярных содержаний гидроксид-ионов и ионов алюминия рассчитывают по формуле

, (Ж.1)
где [OH-] - содержание гидроксид-ионов, моль;
x = 3 - валентность алюминия;
[Al3+] - содержание ионов алюминия, моль.
Значение основности оказывает существенное влияние на скорость гидролиза ПОХА и, соответственно, на его эффективность при очистке воды. Чем выше основность, тем больше способность ПОХА к гидролизу и эффективнее процесс хлопьеобразования.
Ж.1 Средства измерений, вспомогательные устройства, лабораторная посуда, реактивы и материалы
Ж.1.1 Средства измерений и вспомогательные устройства
Весы лабораторные аналитические специального или высокого класса точности с наибольшим пределом взвешивания 320 г по
ГОСТ OIML R 76-1.
Дозаторы медицинские лабораторные настольные (устанавливаемые на сосуд) или ручные, одноканальные с фиксированным или варьируемым объемом дозирования по
ГОСТ 28311.
Часы песочные на 3 мин и таймер любой модели.
Баня водяная лабораторная, обеспечивающая поддержание температуры до (100 +/- 5) °C, любой модели.
Дистиллятор или установка любого типа для получения воды дистиллированной по
ГОСТ 6709 или воды для лабораторного анализа 2-й степени чистоты.
Печь муфельная, обеспечивающая температуру прокаливания от 270 °C до 300 °C.
Плитка электрическая с регулятором температуры по
ГОСТ 14919.
Холодильник бытовой любого типа, обеспечивающий температуру хранения от 2 °C до 10 °C.
Примечание - Допустимо использовать другие средства измерения утвержденных типов, обеспечивающие измерения с установленной точностью и имеющие характеристики не хуже вышеуказанных.
Средства измерений должны быть поверены или откалиброваны, а испытательное оборудование аттестовано в установленные сроки.
Ж.1.2 Лабораторная посуда
Бюретки вместимостью 25 и 50 см
3 2-го класса точности по
ГОСТ 29251.
Примечание - Допускается использовать цифровые титраторы.
Колбы мерные вместимостью 50, 100, 250, 500, 1000 см
3 2-го класса точности по
ГОСТ 1770.
Колбы конические вместимостью 250 см
3 по
ГОСТ 25336.
Пипетки градуированные вместимостью 1, 2, 5, 10 и 25 см
3 2-го класса точности по
ГОСТ 29227.
Пипетки с одной отметкой вместимостью 1; 2; 5; 10; 25 и 100 см
3 2-го класса точности по
ГОСТ 29169.
Стакан из термически и химически стойкого стекла вместимостью 150 см
3 по
ГОСТ 25336.
Флаконы пластиковые или стеклянные вместимостью 250, 500 и 1000 см3 для хранения растворов реактивов.
Цилиндры мерные вместимостью 50, 100 и 250 см
3 2-го класса точности по
ГОСТ 1770.
Ж.1.3 Реактивы и материалы
Вода дистиллированная по
ГОСТ 6709 или вода для лабораторного анализа 2-й степени чистоты по ГОСТ ISO 3696.
Индикатор фенолфталеин, ч.д.а.
Индикатор метиловый красный, ч.д.а.
Индикатор метиловый синий, ч.д.а.
Кислота соляная, ч.д.а., по
ГОСТ 3118 или стандарт-титр
C(HCl) = 0,1 моль/дм
3 (0,1 н).
Натрия гидроокись (натрия гидроксид), ч.д.а. по
ГОСТ 4328 или стандарт-титр
C(NaOH) = 0,1 моль/дм
3 (0,1 н).
Натрий углекислый, ч.д.а., по
ГОСТ 83.
Силикагель-индикатор по
ГОСТ 8984 или кальций хлористый безводный по
ГОСТ 450 в качестве осушителя для эксикаторов.
Спирт этиловый, 96,3%, категории "Люкс" по
ГОСТ 5962.
Примечание - Допускается использование оборудования, материалов и реактивов с характеристиками не хуже вышеуказанных.
Ж.2 Отбор и хранение проб
Отбор и хранение проб проводят в соответствии с
6.4.
Ж.3 Подготовка к выполнению измерений
Ж.3.1 Приготовление растворов
Ж.3.1.1 Раствор соляной кислоты молярной концентрации 0,2 моль/дм3
Приготовление из стандарт-титра.
Содержимое одной ампулы стандарт-титра (0,1 моль/дм3) соляной кислоты переносят в мерную колбу вместимостью 500 см3, доводят объем раствора до метки дистиллированной водой и перемешивают.
Приготовление из вещества гарантированной чистоты.
8,5 см3 соляной кислоты добавляют в мерную колбу вместимостью 500 см3, содержащую от 200 до 300 см3 дистиллированной воды, перемешивают. Доводят объем раствора в колбе до метки дистиллированной водой и перемешивают.
Срок хранения раствора - 2 мес при комнатной температуре.
Ж.3.1.2 Раствор гидроксида натрия с молярной концентрацией 0,2 моль/дм3
Приготовление из стандарт-титра.
Содержимое одной ампулы стандарт-титра (0,1 моль/дм3) гидроксида натрия переносят в мерную колбу вместимостью 500 см3, доводят до метки дистиллированной водой и перемешивают.
Приготовление из вещества гарантированной чистоты.
Навеску (4,00 +/- 0,01) г гидроксида натрия помещают в мерную колбу вместимостью 500 см3, добавляют от 200 до 300 см3 дистиллированной воды, перемешивают до полного растворения гидроксида натрия, после остывания раствора до комнатной температуры доводят объем раствора до метки дистиллированной водой.
Срок хранения раствора - 2 мес при комнатной температуре.
Ж.3.1.3 Раствор фенолфталеина с массовой долей 0,1%
(0,100 +/- 0,005) г фенолфталеина помещают в мерную колбу вместимостью 100 см3 и растворяют в этиловом спирте. Срок хранения раствора - 6 мес при комнатной температуре.
Ж.3.1.4 Раствор метилового красного с массовой долей 0,1%
(0,100 +/- 0,005) г метилового красного помещают в мерную колбу вместимостью 100 см3 и растворяют в этиловом спирте при нагревании на водяной бане. После остывания раствора доводят его объем до метки этиловым спиртом. Срок хранения раствора - 6 мес при комнатной температуре.
Ж.3.1.5 Раствор метиленового голубого (синего) с массовой долей 0,1%
(0,100 +/- 0,005) г метиленового голубого (синего) помещают в мерную колбу вместимостью 100 см3 и растворяют в этиловом спирте при нагревании на водяной бане. После остывания раствора доводят его объем до метки спиртом. Срок хранения раствора - 6 мес при комнатной температуре.
Ж.3.1.6 Раствор смешанного кислотно-основного индикатора
В конической колбе смешивают равные объемы 0,1%-ного спиртового раствора метилового красного и 0,1%-ного спиртового раствора метиленового голубого (синего). Срок хранения раствора - 6 мес при комнатной температуре.
Ж.3.1.7 Раствор хлорида бария 2-водного с массовой долей 10%
(10,00 +/- 0,01) г хлорида бария 2-водного растворяют в 90 см3 дистиллированной воды в стакане вместимостью 150 см3, перемешивают и переливают в стеклянный флакон для хранения растворов реактивов. Срок хранения раствора - 3 мес при комнатной температуре.
Ж.3.2 Установка поправочного коэффициента к молярной концентрации раствора соляной кислоты по безводному углекислому натрию
В день установки титра безводный углекислый натрий прокаливают при температуре от 270 °C до 300 °C 2 ч и остужают до комнатной температуры в эксикаторе. В закрытом стаканчике для взвешивания берут навеску от 0,3200 до 0,4200 г безводного углекислого натрия. Для установления поправочного коэффициента используют не менее трех навесок углекислого натрия, взвешивая их с точностью до четвертого знака. Каждую навеску помещают в коническую колбу, добавляют 40 см3 дистиллированной воды, 3 - 4 капли смешанного индикатора и титруют из бюретки раствором соляной кислоты молярной концентрации 0,2 моль/дм3 до перехода зеленой окраски раствора в красно-фиолетовую.
Затем раствор кипятят на электрической плитке в течение 2 - 3 мин для удаления углекислоты и после охлаждения продолжают титрование до перехода вновь появившейся зеленой окраски раствора в красно-фиолетовую.
Примечание - Допускается применять в качестве индикатора метиловый оранжевый, при этом окраска переходит из желтой в оранжевую.
Поправочный коэффициент K1 с точностью до четвертого десятичного знака по каждой навеске безводного углекислого натрия рассчитывают по формуле

, (Ж.2)
где m - масса навески углекислого натрия, г;
1000 - коэффициент пересчета единиц измерений;
53 - молярная масса эквивалента углекислого натрия, г/моль;
0,2 - заданная молярная концентрация вещества соляной кислоты в растворе, моль/дм3;
V - объем раствора соляной кислоты, израсходованный на титрование, см3.
Расхождение между коэффициентами для трех параллельных титрований не должно превышать 0,001, и при выполнении условия из вычисленных значений коэффициентов берут среднее арифметическое значение.
Если поправочный коэффициент K1 раствора соляной кислоты отличается от 1,00 больше, чем на +/- 0,03, то раствор либо укрепляют, либо разбавляют дистиллированной водой, либо готовят заново. Для укрепления раствора добавляют по каплям концентрированную соляную кислоту. После укрепления или разбавления раствора поправочный коэффициент устанавливают заново.
Поправочный коэффициент устанавливают каждый раз при приготовлении новой партии раствора.
Ж.3.3 Установка поправочного коэффициента к молярной концентрации раствора гидроксида натрия по раствору соляной кислоты
От 30 до 40 см3 раствора соляной кислоты молярной концентрации 0,2 моль/дм3, отмеренной из бюретки, помещают в коническую колбу, добавляют 3 - 4 капли смешанного индикатора и титруют из бюретки раствором гидроксида натрия до перехода красно-фиолетовой окраски раствора в зеленую.
За результат титрования принимают среднее арифметическое значение из трех параллельных титрований, расхождение между которыми не превышает 0,05 см3.
Поправочный коэффициент раствора гидроксида натрия молярной концентрации 0,2 моль/дм3 K2 рассчитывают с точностью до четвертого знака по формуле

, (Ж.3)
где K1 - поправочный коэффициент к молярной концентрации раствора соляной кислоты;
V1 - объем раствора соляной кислоты, см3;
V - объем раствора гидроксида натрия, израсходованный на титрование, см3.
Если поправочный коэффициент K2 для раствора гидроксида натрия отличается от 1,00 больше, чем на +/- 0,03, то раствор либо укрепляют, либо разбавляют, либо готовят заново. Для укрепления раствора добавляют гидроксид натрия (порциями по 0,005 г). После укрепления или разбавления раствора поправочный коэффициент устанавливают заново.
Поправочный коэффициент устанавливают каждый раз при приготовлении новой партии раствора.
Ж.4 Выполнение измерений
Масса навески ПОХА зависит от марки ПОХА и содержания оксида алюминия. Рекомендуемые массы навесок исследуемых проб ПОХА приведены в
таблице Ж.3.
Таблица Ж.3
Рекомендуемые массы навесок исследуемых проб
в зависимости от массовой доли оксида алюминия
Массовая доля оксида алюминия, % | Масса навески, г |
От 5 до 11 | 0,5 - 0,7 |
Св. 11 до 20 | 0,2 - 0,3 |
Св. 20 до 35 | 0,1 - 0,15 |
Св. 35 до 55 | 0,08 - 0,12 |
ПОХА взвешивают в конической колбе вместимостью 250 см3 на аналитических весах с точностью до 0,0005 г и добавляют около 50 см3 дистиллированной воды. При анализе кристаллического сухого ПОХА нагревают приготовленный раствор на водяной бане (температура водяной бани от 85 °C до 100 °C) до полного растворения ПОХА, раствор охлаждают до комнатной температуры. Затем добавляют 5 см3 раствора хлорида бария с массовой долей 10% и в случае помутнения раствор оставляют на 10 - 15 мин для оседания осадка. Осадок не отфильтровывают.
Затем к анализируемому раствору добавляют из бюретки 20 см3 раствора гидроксида натрия молярной концентрации 0,2 моль/дм3 и 3 - 5 капель фенолфталеина, после чего титруют раствором соляной кислоты молярной концентрации 0,2 моль/дм3 до исчезновения малиновой окраски.
Ж.5 Обработка результатов измерений
Основность ПОХА X, %, рассчитывают по формуле

, (Ж.4)
где C1 и C2 - молярные концентрации, равные 0,2 моль/дм3, гидроксида натрия и соляной кислоты соответственно;
V1 - объем раствора гидроксида натрия, см3;
V2 - объем раствора соляной кислоты, см3;
K1 и K2 - соответственно поправочные коэффициенты для растворов гидроксида натрия и соляной кислоты;
26,982 - молярная масса алюминия, г/моль;
0,5292 - коэффициент пересчета Al2O3 на Al;
m - масса навески ПОХА, г;
X1 - массовая доля оксида алюминия в ПОХА, %.
После упрощения получают следующую расчетную формулу:

. (Ж.5)
Ж.6 Оформление результатов измерений
Результат измерений в протоколах, как правило, представляют в следующем виде:

, (Ж.6)
где

- характеристика абсолютной погрешности результата измерения, %, которую рассчитывают по формуле

, (Ж.7)
где

- значение показателя точности измерений основности ПОХА, % (см.
таблицу Ж.1).
За окончательный результат принимают результат единичного измерения или среднее арифметическое значение результатов параллельных определений.
(рекомендуемое)
ОПРЕДЕЛЕНИЕ МАССОВОЙ ДОЛИ ЖЕЛЕЗА
Метод обеспечивает получение результатов анализа с погрешностью, не превышающей значений, приведенных в
таблицах И.1,
И.2. Диапазон измерений массовой доли железа от 0,005% до 1%.
Таблица И.1
Диапазон измерений массовой доли железа, показатели
точности измерений
Диапазон измерений массовой доли железа, % | Показатель повторяемости (относительное среднеквадратическое отклонение повторяемости)  , % | Показатель воспроизводимости (относительное среднеквадратическое отклонение воспроизводимости)  , % | Значение погрешности измерений (границы относительной погрешности при доверительной вероятности 0,95)  , % |
От 0,005 до 0,01 включ. | 15 | 25 | 50 |
Св. 0,01 до 0,1 включ. | 10 | 20 | 40 |
Св. 0,1 до 1,0 включ. | 7 | 14 | 28 |
Таблица И.2
Относительные значения пределов повторяемости
и воспроизводимости
Диапазон измерений массовой доли железа, % | Предел повторяемости (относительное значение допускаемого расхождения для двух результатов измерений, полученных в условиях повторяемости) r, % | Предел воспроизводимости (относительное значение допускаемого расхождения для двух результатов измерений, полученных в условиях воспроизводимости) R, % |
От 0,005 до 0,01 включ. | 42 | 70 |
Св. 0,01 до 0,1 включ. | 28 | 56 |
Св. 0,1 до 1,0 включ. | 20 | 39 |
Продолжительность анализа одной пробы - 3 ч, серии из 10 проб - 5 ч.
Принцип метода заключается в способности ионов двухвалентного железа образовывать в интервале 3 - 9 ед. pH с ортофенантролином комплексное соединение, окрашенное в оранжево-красный цвет, после предварительного восстановления трехвалентного железа до двухвалентного солянокислым гидроксиламином в нейтральной или слабокислой среде. Измерение оптической плотности полученных растворов комплексного соединения проводят при длине волны 490 нм в кюветах с толщиной поглощающего свет слоя 50 мм.
Примечание - Определение массовой доли железа в ПОХА можно проводить по иным аттестованным методикам выполнения измерений (например, по
ГОСТ 4011).
И.1 Средства измерений, вспомогательные устройства, лабораторная посуда, реактивы и материалы, стандартные образцы
И.1.1 Средства измерений, вспомогательные устройства
Весы лабораторные аналитические специального или высокого класса точности с наибольшим пределом взвешивания 320 г по
ГОСТ OIML R 76-1.
Дозаторы медицинские лабораторные настольные (устанавливаемые на сосуд) или ручные, одноканальные с фиксированным или варьируемым объемом дозирования по
ГОСТ 28311.
Дистиллятор или установка любого типа для получения воды для лабораторного анализа 2-й степени чистоты по ГОСТ ISO 3696.
Таймер любой модели.
Фотоэлектроколориметр или спектрофотометр, позволяющий производить измерение при длине волны 490 нм в кювете с толщиной поглощающего свет слоя 50 мм.
Примечание - Допустимо использовать другие средства измерения утвержденных типов, обеспечивающие измерения с установленной точностью и имеющие характеристики не хуже вышеуказанных.
И.1.2 Лабораторная посуда
Колбы мерные вместимостью 50, 100, 250, 500 и 1000 см
3 2-го класса точности по
ГОСТ 1770.
Мензурки стеклянные вместимостью 500 и 1000 см
3 по
ГОСТ 1770.
Пипетки градуированные вместимостью 1, 2, 5, 10 и 25 см
3 2-го класса точности по
ГОСТ 29227.
Пипетки с одной отметкой вместимостью 1, 2, 5, 10, 25 и 100 см
3 2-го класса точности по
ГОСТ 29169.
Стаканы из термически и химически стойкого стекла вместимостью 50; 100; 250, 600 и 1000 см
3 по
ГОСТ 25336.
Флаконы из прозрачного и темного стекла для хранения растворов реактивов вместимостью 100; 250 и 500 см3.
Цилиндр мерный вместимостью 50, 100 и 500 см
3 2-го класса точности по
ГОСТ 1770.
И.1.3 Реактивы и материалы
Вода дистиллированная по
ГОСТ 6709 или вода для лабораторного анализа 2-й степени чистоты по ГОСТ ISO 3696.
Гидроксиламина гидрохлорид, ч.д.а., по
ГОСТ 5456.
Кислота соляная, ч.д.а., по
ГОСТ 3118 или стандарт-титр
C(HCl) = 0,1 моль/дм
3 (0,1 н).
Натрий уксуснокислый 3-водный, ч.д.а., по
ГОСТ 199.
Ортофенантролин, ч.д.а.
И.1.4 Стандартные образцы
Стандартный образец состава водного раствора ионов железа (III) 1000 мг/дм3.
Примечание - Допускается использование оборудования, материалов и реактивов с характеристиками не хуже вышеуказанных.
И.2 Подготовка к выполнению измерений
И.2.1 Приготовление растворов
И.2.1.1 Раствор гидроксиламина гидрохлорида с массовой долей 10%
(50,00 +/- 0,05) г гидроксиламина гидрохлорида растворяют в 450 см3 дистиллированной воды. Срок хранения раствора - 2 мес при комнатной температуре.
И.2.1.2 Раствор ортофенантролина с массовой долей 0,2%
(1,00 +/- 0,02) г ортофенантролина растворяют в 500 см3 дистиллированной воды. Срок хранения раствора - 1 мес при комнатной температуре.
И.2.1.3 Раствор натрия уксуснокислого с массовой долей 20%
(125,00 +/- 0,05) г натрия уксуснокислого 3-водного растворяют в 500 см3 дистиллированной воды и перемешивают. Срок хранения раствора - 1 мес при комнатной температуре.
И.2.1.4 Основной градуировочный раствор ионов железа (III) с массовой концентрацией 10 мг/дм3
1 см3 раствора стандартного образца с массовой концентрацией ионов железа (III) 1000 мг/дм3 с помощью пипетки переносят в мерную колбу вместимостью 100 см3 и доводят объем раствора дистиллированной водой до метки, раствор тщательно перемешивают. Срок хранения раствора - 1 мес при температуре от 2 °C до 10 °C.
И.2.1.5 Раствор соляной кислоты молярной концентрации 1 моль/дм3
И.2.1.5.1 Приготовление из стандарта-титра
Содержимое ампулы стандарт-титра (0,1 моль/дм3) соляной кислоты переносят в мерную колбу вместимостью 100 см3, доводят объем раствора до метки дистиллированной водой и перемешивают.
И.2.1.5.2 Приготовление из концентрированной соляной кислоты
8,5 см3 концентрированной соляной кислоты добавляют в мерную колбу вместимостью 100 см3, содержащую приблизительно 30 см3 дистиллированной воды, и перемешивают. Доводят объем раствора в колбе до метки дистиллированной водой и перемешивают. Срок хранения раствора - 2 мес при комнатной температуре.
И.2.2 Установление градуировочной характеристики
В мерные колбы вместимостью 50 см3 пипетками вносят 0,5; 1,0; 2,0; 3,0; 4,0; 5,0; 6,0; 7,0; 8,0; 9,0; 10,0 см3 основного градуировочного раствора ионов железа (III) с массовой концентрацией 10 мг/дм3, что соответствует 0,005; 0,01; 0,02; 0,03; 0,04; 0,05; 0,06; 0,07; 0,08; 0,09; 0,10 мг ионов железа (III). В каждую колбу последовательно добавляют 1 см3 раствора соляной кислоты молярной концентрации 1 моль/дм3, 2 см3 раствора гидроксиламина гидрохлорида, 2 см3 раствора уксуснокислого натрия и 2 см3 ортофенантролина, доводят раствор до метки дистиллированной водой. После добавления каждого реактива содержимое колб тщательно перемешивают. Одновременно готовят холостую пробу, используя дистиллированную воду, к которой приливают все реактивы, кроме основного градуировочного раствора.
Через 15 мин измеряют на фотоэлектроколориметре оптическую плотность градуировочных растворов относительно холостой пробы при длине волны 490 нм в кювете с толщиной поглощающего слоя 50 мм.
По результатам измерений строят градуировочный график зависимости значения оптической плотности (ед. оптической плотности) от количества ионов железа (III) (мг).
Градуировочную характеристику устанавливают заново при смене партии любого из реактивов, после ремонта прибора, но не реже одного раза в 3 мес.
И.2.3 Контроль стабильности градуировочной характеристики
Контроль стабильности градуировочной характеристики проводят с каждой серией проб.
Норматив контроля в диапазоне от 0,005 до 0,05 мг - 10%, в диапазоне свыше 0,05 до 0,1 мг - 5%.
Если условие стабильности градуировочной характеристики для одного градуировочного раствора не выполняется, необходимо провести повторное измерение для этого градуировочного раствора с целью исключения результата измерения, содержащего грубую погрешность.
Если градуировочная характеристика нестабильна, выясняют и устраняют причины нестабильности и повторяют контроль с использованием того же или других градуировочных растворов, предусмотренных методикой. Если и в этом случае обнаруживается отклонение результата от аттестованного значения, то градуировочную характеристику устанавливают заново.
И.3 Выполнение измерений
И.3.1 Приготовление раствора ПОХА (раствор А)
От 1 до 8 г порошка или жидкого ПОХА взвешивают в стакане вместимостью 50 см3 на аналитических весах с точностью до 0,0005 г. Навеску количественно переносят в мерную колбу вместимостью 100 см3, растворяют в дистиллированной воде и после полного растворения ПОХА доводят объем раствора в колбе до метки - раствор А.
Примечание - Допускается брать для анализа другую навеску ПОХА в зависимости от марки или содержания железа. Если после растворения ПОХА раствор А получается мутный, содержит взвесь или имеет опалесценцию, раствор необходимо отфильтровать через фильтр "белая лента". Если после фильтрации мутность и опалесценция не исчезают, то из значения оптической плотности пробы с добавлением раствора о-фенантролина нужно вычесть оптическую плотность пробы без раствора о-фенантролина (фона).
И.3.2 Проведение анализа при определении содержания железа
10 см
3 раствора А, приготовленного по
И.3.1, переносят в мерную колбу вместимостью 50 см
3, добавляют 1 см
3 раствора соляной кислоты, 2 см
3 раствора гидроксиламина гидрохлорида, 2 см
3 раствора уксуснокислого натрия, 2 см
3 раствора ортофенантролина и доводят раствор в колбе до метки дистиллированной водой.
После добавления каждого реактива раствор в колбе перемешивают. Одновременно готовят холостую пробу с тем же количеством реактивов, используя вместо раствора А дистиллированную воду. Через 15 мин измеряют оптическую плотность анализируемого раствора на фотоэлектроколориметре по отношению к холостой пробе в кювете с толщиной поглощающего свет слоя 50 мм при длине волны 490 нм.
Примечание - При анализе ПОХА с высоким содержанием оксида алюминия рекомендуется увеличить объем добавляемой соляной кислоты до 3 см3.
Если измеренная оптическая плотность пробы выходит за верхнюю границу градуировочного графика, то для анализа берут меньший объем раствора А или проводят дополнительно его разбавление дистиллированной водой. Допустимо проводить десятикратное разбавление исходного раствора ПОХА: 10 см3 раствора А переносят в мерную колбу вместимостью 100 см3 и доводят объем раствора в колбе до метки дистиллированной водой - раствор Б.
И.4 Обработка результатов измерений
Массовую долю железа X, %, в ПОХА в диапазоне измерений 0,005% - 0,100% рассчитывают по формуле

, (И.1)
где m - масса навески ПОХА, г;
m1 - количество ионов железа (III), найденное по градуировочному графику, мг;
Vк - объем раствора ПОХА (раствор А), приготовленный для контроля, см3;
Vа - объем раствора ПОХА (раствор А), взятый для анализа, см3.
Массовую долю железа X, %, в ПОХА в диапазоне измерений 0,1% - 1,0% рассчитывают по формуле

, (И.2)
где m - масса навески ПОХА, г;
m1 - количество ионов железа (III), найденное по градуировочному графику, мг;
Vк1 - объем раствора ПОХА (раствор А), приготовленный для контроля, см3;
Vк2 - объем раствора ПОХА (раствор Б), приготовленный для контроля, см3;
Vа1 - объем раствора ПОХА (раствор А), взятый для анализа, см3;
Vа2 - объем раствора ПОХА (раствор Б), взятый для анализа, см3.
При необходимости массовую долю железа в ПОХА можно представить в пересчете на содержание оксида железа (III) (Fe2O3).
Массовую долю железа в пересчете на оксид железа Y, %, рассчитывают по формуле
Y = X·1,4297, (И.3)
где X - массовая доля железа в ПОХА, %;
1,4297 - коэффициент пересчета железа на оксид железа (III).
И.5 Оформление результатов измерений
Результат измерений в протоколах, как правило, представляют в следующем виде:

, (И.4)
где

- характеристика абсолютной погрешности результата измерения, %, которую рассчитывают по формуле

, (И.5)
где

- значение показателя точности измерений массовой доли железа, % (см.
таблицу И.1).
Результаты заносят в протокол анализа с точностью:
- от 0,005% до 0,01% включ. - 0,0001%;
- от 0,01% до 0,1% включ. - 0,001%;
- от 0,1% до 1,0% включ. - 0,01%.
За результат анализа принимают среднее арифметическое значение результатов двух параллельных определений.
(рекомендуемое)
ОПРЕДЕЛЕНИЕ СВИНЦА, НИКЕЛЯ, ХРОМА, БЕРИЛЛИЯ
И КАДМИЯ МЕТОДОМ АЭС-ИСП
Метод АЭС-ИСП (атомно-эмиссионной спектрометрии с индуктивно связанной плазмой) основан на измерении интенсивности излучения (эмиссии) атомов определяемых элементов, возникающего при распылении анализируемой пробы в аргоновую плазму, возбуждаемую электромагнитным полем. Интенсивность эмиссионных спектральных линий на характеристических для каждого элемента длинах волн регистрируется фоточувствительным устройством, измеряется и обрабатывается компьютерной системой.
К.1 Средства измерений, вспомогательные устройства, лабораторная посуда, реактивы и материалы
К.1.1 Средства измерений и вспомогательные устройства
Спектрометр атомно-эмиссионный с индуктивно связанной плазмой.
Дозаторы с варьируемым объемом от 0,5 до 5,0 см
3 по
ГОСТ 28311.
Весы лабораторные общего назначения специального или высокого класса точности по
ГОСТ OIML R 76-1.
Плитка электрическая по
ГОСТ 14919 или баня песчаная.
Установка для получения дистиллированной воды по
ГОСТ 6709 или воды для анализа 2-й степени чистоты по ГОСТ ISO 3696.
Холодильник бытовой любой марки, обеспечивающий температуру от 2 °C до 10 °C.
Примечание - Допустимо использовать другие средства измерения утвержденных типов, обеспечивающие измерения с установленной точностью и имеющие характеристики не хуже вышеуказанных.
К.1.2 Лабораторная посуда
Пипетки градуированные по
ГОСТ 29227 или с одной отметкой по
ГОСТ 29169 номинальной вместимостью 1, 5, 10, 20 см
3 2-го класса точности.
Колбы мерные вместимостью 10, 25, 50, 100 и 1000 см
3 2-го класса точности по
ГОСТ 1770.
Стаканы химические термостойкие вместимостью 50, 100, 250 см
3 по
ГОСТ 25336.
Цилиндры мерные наливные вместимостью 100 и 500 см
3 2-го класса точности по
ГОСТ 1770.
Емкости из пластика (или стекла) для хранения проб и стандартных растворов вместимостью от 50 до 100 см3.
К.1.3 Реактивы и материалы
Вода бидистиллированная или деионизированная (дистиллированная вода по
ГОСТ 6709, перегнанная повторно или пропущенная через колонку с ионообменной смолой по
ГОСТ 20298, или вода для лабораторного анализа 2-й степени чистоты по ГОСТ ISO 3696).
Растворы ГСО элементов свинца, никеля, хрома, бериллия, кадмия с концентрацией 1 мг/см3.
Аргон газообразный высокой чистоты по
ГОСТ 10157. Степень чистоты аргона - марка А.
Фильтры обеззоленные "белая лента" или фильтры мембранные с диаметром пор 5 мкм любого изготовителя.
Примечание - Допускается использование материалов и реактивов с характеристиками не хуже вышеуказанных.
К.2 Подготовка к выполнению измерений
Подготовку спектрометра к работе проводят согласно эксплуатационным документам.
К.3 Приготовление растворов
К.3.1 Раствор азотной кислоты объемной доли 5%
В мерной колбе вместимостью 1 дм3 к небольшому количеству дистиллированной воды прибавляют 50 см3 концентрированной азотной кислоты, доводят объем раствора до метки дистиллированной водой и тщательно перемешивают. Раствор азотной кислоты используется для приготовления градуировочных растворов и разбавления проб. Срок хранения раствора - 3 мес при комнатной температуре.
К.3.2 Приготовление градуировочных растворов
Вскрывают ампулу стандартного раствора, содержащего 1 мг/см3 металла.
Осторожно пипеткой переносят 5 см3 стандартного раствора в мерную колбу вместимостью 50 см3. Доводят до метки 5%-ным раствором азотной кислоты и перемешивают. Полученный исходный градуировочный раствор А содержит 100 мг/дм3 металла.
Рабочий градуировочный раствор Б, содержащий 10 мг/дм3 металла, готовят путем разбавления исходного градуировочного раствора А в 10 раз.
Градуировочный раствор В, содержащий 2,5 мг/дм3 определяемого элемента, готовят разбавлением рабочего раствора Б в 4 раза.
Градуировочный раствор Г, содержащий 1,0 мг/дм3 определяемого элемента, готовят разбавлением рабочего раствора Б в 10 раз.
Градуировочный раствор Д, содержащий 0,25 мг/дм3 определяемого элемента, готовят путем разбавления градуировочного раствора В в 10 раз.
Растворы хранят в плотно закрытой пластиковой посуде в течение 1 мес для растворов А и Б и 1 нед для растворов В, Г и Д.
Примечание - Допускается для градуировки ИСП-спектрометра использовать многоэлементные стандартные растворы, в том числе импортные, а также готовить градуировочные растворы смеси элементов.
К.4 Подготовка пробы к анализу
Для приготовления раствора жидкого ПОХА по 1 см3 ПОХА отбирают пипеткой или дозатором (для твердых ПОХА примерно по 1 г пробы отбирают шпателем), помещают в два предварительно взвешенных стеклянных стаканчика и взвешивают с точностью до 0,001 г, прибавляют от 25 до 30 см3 5%-ного раствора азотной кислоты, нагревают на песчаной бане или плитке с закрытой спиралью, не допуская кипения, примерно 15 мин, охлаждают до комнатной температуры. Растворы фильтруют через бумажный фильтр "белая лента" или мембранный фильтр 5 мкм в две мерные колбы вместимостью 100 см3 каждая и доводят до метки 5%-ным раствором азотной кислоты. Срок хранения подготовленной пробы - 10 дней при комнатной температуре.
К.5 Установление градуировочной характеристики
Вначале в аргоновую плазму распыляют дистиллированную воду в качестве нулевой точки. Градуировочные растворы распыляют в аргоновую плазму и регистрируют интенсивность эмиссии для каждого элемента при требуемой длине волны в порядке возрастания массовой концентрации определяемого элемента.
Градуировочную характеристику, выражающую зависимость показаний прибора от концентрации определяемого элемента, мг/дм3, устанавливают по среднему арифметическому значению результатов трех измерений для каждого из трех градуировочных растворов (например, 0,25; 1,0; 2,5 мг/дм3) за вычетом среднего арифметического значения результатов трех измерений раствора сравнения (5%-ной азотной кислоты).
К.6 Выполнение измерений и вычисление результатов измерений
Подготовленные пробы анализируют на приборе в условиях, указанных в
К.2 или подобранных экспериментально с учетом рекомендаций изготовителя оборудования. В каждом случае проводят три параллельных измерения с учетом данных, приведенных в
таблице К.1, и по среднему арифметическому значению рассчитывают концентрацию элемента в пробе, мг/дм
3. Показатели диапазона, повторяемости, воспроизводимости и точности измерений представлены в
таблицах К.2 и
К.3.
Таблица К.1
Рекомендуемые длины волн и мешающие элементы
Элемент | Длина волны, нм | Мешающие элементы |
Свинец (Pb) | 220,353 | Co, Al, Ti |
283,305 | Cr, Mo |
Никель (Ni) | 231,604 | Co, Mo |
Хром (Cr) | 267,716 | Pt |
Бериллий (Be) | 234,861 | Fe |
313,042 | V |
Кадмий (Cd) | 214,438 | Fe |
226,502 | Fe, Ni, Ti |
228,802 | As, Co |
Таблица К.2
Относительные значения пределов повторяемости
и воспроизводимости, показатели точности измерений
Элемент | Диапазон измерений, % | Показатель повторяемости (относительное среднеквадратическое отклонение повторяемости)  , % | Показатель воспроизводимости (относительное среднеквадратическое отклонение воспроизводимости)  , % | Показатель точности (границы относительной погрешности при доверительной вероятности 0,95)  , % |
Свинец (Pb) | 0,0001 - 0,01 | 6 | 14 | 28 |
Никель (Ni) | 0,0002 - 0,01 | 9 | 13 | 26 |
Хром (Cr) | 0,0002 - 0,01 | 14 | 20 | 40 |
Бериллий (Be) | 0,0002 - 0,01 | 6 | 15 | 29 |
Кадмий (Cd) | 0,0001 - 0,01 | 4 | 13 | 25 |
Таблица К.3
Значения пределов повторяемости и воспроизводимости
Элемент | Диапазон измерений, % | Предел повторяемости (относительное значение допускаемого расхождения для двух результатов измерений, полученных в условиях повторяемости) r, % | Предел воспроизводимости (относительное значение допускаемого расхождения для двух результатов измерений, полученных в условиях воспроизводимости) R, % |
Свинец (Pb) | 0,0001 - 0,01 | 17 | 39 |
Никель (Ni) | 0,0002 - 0,01 | 25 | 36 |
Хром (Cr) | 0,0002 - 0,01 | 39 | 56 |
Бериллий (Be) | 0,0002 - 0,01 | 17 | 41 |
Кадмий (Cd) | 0,0001 - 0,01 | 11 | 35 |
Содержание элемента в образце выражают в миллиграммах элемента на килограмм алюминия в ПОХА (мг/кг Al) или процентах. Для выражения содержания в мг/кг Al результат анализа рассчитывают по формуле

, (К.1)
где C - массовая концентрация элемента в растворе анализируемой пробы, найденная по градуировочному графику, мг/дм3;
V - объем мерной колбы, см3;
m - навеска анализируемой пробы, г;

- содержание оксида алюминия, найденное по
Б.5, %;
0,5292 - коэффициент пересчета.
Для выражения содержания элемента в образце в процентах результат анализа рассчитывают по формуле

, (К.2)
где C - массовая концентрация элемента в растворе анализируемой пробы, найденная по градуировочному графику, мг/дм3;
V - объем мерной колбы, см3;
m - навеска анализируемой пробы, г;
10000 - коэффициент пересчета единиц измерения.
За результат анализа принимают среднее арифметическое значение результатов двух параллельных определений.
К.7 Оформление результатов измерений
Результат измерений в протоколах, как правило, представляют в следующем виде:

, (К.3)
где

- характеристика абсолютной погрешности результата измерения, %, которую рассчитывают по формуле

, (К.4)
где

- значение показателя точности, % (см.
таблицу К.2).
Результаты анализа указывают с точностью до двух значащих цифр.
(рекомендуемое)
ОПРЕДЕЛЕНИЕ МАССОВОЙ ДОЛИ МЫШЬЯКА, СЕЛЕНА И СУРЬМЫ МЕТОДОМ
АТОМНО-АБСОРБЦИОННОЙ СПЕКТРОМЕТРИИ С ИСПОЛЬЗОВАНИЕМ
ГИДРИДНОЙ СИСТЕМЫ И РТУТИ МЕТОДОМ ХОЛОДНОГО ПАРА
Метод основан на измерении резонансного поглощения света свободными атомами элемента при прохождении света определенной длины волны через атомный пар исследуемого образца, образующийся при восстановлении мышьяка, селена, сурьмы боргидридом натрия до газообразных гидридов и ртути хлоридом олова.
Примечание - Определение массовой доли указанных элементов в ПОХА возможно по иным аттестованным в установленном порядке методикам выполнения измерений, например определение массовой доли мышьяка по
ГОСТ 4152.
Л.1 Средства измерений, вспомогательные устройства, лабораторная посуда, реактивы и материалы
Л.1.1 Средства измерений и вспомогательные устройства
Спектрометр атомно-абсорбционный (ААС) с пламенным атомизатором и дейтериевым корректором фона.
Приставка генерации летучих гидридов.
Анализатор ртути или ААС с кварцевой кюветой для холодного пара.
Весы лабораторные общего назначения специального или высокого класса точности по
ГОСТ OIML R 76-1.
Источники резонансного излучения - лампы с полым катодом (ЛПК) для As, Se, Sb, Hg.
Холодильник бытовой любой марки, обеспечивающий температуру от 2 °C до 10 °C.
Компрессор воздушный, соответствующий требованиям руководства по эксплуатации для спектрометра, или сжатый воздух в баллонах.
Дозаторы с варьируемым объемом от 0,5 до 5,0 см
3 по
ГОСТ 28311.
Плитка электрическая по
ГОСТ 14919 или баня песчаная.
Установка для получения дистиллированной воды по
ГОСТ 6709 или воды для анализа 2-й степени чистоты по ГОСТ ISO 3696.
Примечание - Допустимо использовать другие средства измерения утвержденных типов, обеспечивающие измерения с установленной точностью и имеющие характеристики не хуже вышеуказанных. Средства измерений должны быть поверены или калиброваны в установленные сроки.
Л.1.2 Лабораторная посуда
Колбы мерные вместимостью 10, 25, 50, 100, 1000 см
3 2-го класса точности по
ГОСТ 1770.
Пипетки градуированные по
ГОСТ 29227 или с одной отметкой по
ГОСТ 29169 вместимостью 1, 2, 5, 10, 20, 25 см
3 2-го класса точности.
Стаканы химические термостойкие вместимостью 25, 50, 100, 250 см
3 по
ГОСТ 25336.
Цилиндры мерные наливные вместимостью 100 и 500 см
3 2-го класса точности по
ГОСТ 1770.
Емкости из пластика (или стекла) для хранения проб и стандартных растворов вместимостью от 50 до 100 см3.
Л.1.3 Реактивы и материалы
Вода бидистиллированная или деионизированная (дистиллированная вода по
ГОСТ 6709, перегнанная повторно или пропущенная через колонку с ионообменной смолой по
ГОСТ 20298, или вода для лабораторного анализа 2-й степени чистоты по ГОСТ ISO 3696).
Натрия боргидрид, х.ч.
Олово двухлористое, 2-водное, ч.д.а.
Растворы ГСО элементов мышьяка, селена, сурьмы и ртути с концентрацией 0,1 или 1 мг/см3.
Ацетилен растворенный и газообразный технический в баллонах по
ГОСТ 5457.
Аргон газообразный высокой чистоты по
ГОСТ 10157. Степень чистоты аргона - марка А.
Фильтры обеззоленные "белая лента" или фильтры мембранные с диаметром пор 5 мкм любого изготовителя.
Примечание - Допускается использование материалов и реактивов с характеристиками не хуже вышеуказанных.
Л.2 Подготовка аппаратуры
Подготовку атомно-абсорбционного спектрометра (или анализатора ртути) к работе проводят согласно эксплуатационным документам. Параметры спектрометра и генератора гидридов выбирают в соответствии с рекомендациями изготовителя оборудования.
Для определения мышьяка, селена и сурьмы используется нагреваемая пламенем Т-образная ячейка. Для определения ртути не требуется нагревать Т-образную ячейку, так как ртуть сама по себе поступает в виде атомного пара. Для повышения чувствительности определения рекомендуется для определения ртути использовать специальную ячейку с увеличенной длиной оптического пути. При определении ртути на анализаторе используется специальная ячейка, входящая в комплект прибора.
Л.3 Приготовление растворов
Л.3.1 Раствор гидроокиси натрия с массовой долей 1%
Около 10 г гидроокиси натрия, взвешенной с точностью до 0,1 г, растворяют в 100 см3 дистиллированной воды. Если раствор мутный, его фильтруют через бумажный фильтр "белая лента". Раствор количественно переносят в мерную колбу вместимостью 1 дм3, доводят до метки дистиллированной водой и перемешивают. Раствор используют для приготовления раствора боргидрида натрия в день приготовления.
Л.3.2 Раствор боргидрида натрия с массовой долей 1%
10 г боргидрида натрия, взвешенных с точностью до 0,1 г, растворяют в 100 см3 раствора гидроокиси натрия с массовой долей 1%. Если раствор мутный, его фильтруют через бумажный фильтр "белая лента". Раствор количественно переносят в мерную колбу вместимостью 1 дм3, доводят до метки раствором гидроокиси натрия с массовой долей 1% и перемешивают. Раствор используют для проведения реакции гидрирования при определении мышьяка, селена и сурьмы в день приготовления.
Л.3.3 Растворы соляной кислоты с объемными долями 50%, 10% и 5%
В мерной колбе вместимостью 1 дм3 к небольшому количеству дистиллированной воды прибавляют 500, 100 или 50 см3 концентрированной соляной кислоты соответственно типу концентрации приготавливаемого раствора, доводят объем раствора до метки дистиллированной водой и тщательно перемешивают. Для проведения анализа используют растворы соляной кислоты следующих концентраций:
- 50%-ный раствор соляной кислоты, применяемый для проведения реакции гидрирования при определении мышьяка, селена и сурьмы;
- 10%-ный раствор соляной кислоты, используемый для приготовления градуировочных растворов мышьяка, селена и сурьмы;
- 5%-ный раствор соляной кислоты, применяемый для проведения реакции гидрирования при определении ртути.
Срок хранения растворов - 3 мес при комнатной температуре.
Л.3.4 Раствор азотной кислоты с объемной долей 5%
В мерной колбе вместимостью 1 дм3 к небольшому количеству дистиллированной воды прибавляют 50 см3 концентрированной азотной кислоты, доводят объем раствора до метки дистиллированной водой и тщательно перемешивают. Раствор азотной кислоты используют для приготовления градуировочных растворов ртути. Срок хранения раствора - 3 мес при комнатной температуре.
Л.3.5 Раствор олова с массовой концентрацией приблизительно 100 г/дм3
(119 +/- 1) г двухлористого олова (SnCl2·2H2O) растворяют при нагревании на электроплитке или песчаной бане в 100 см3 концентрированной соляной кислоты. Если раствор мутный, его фильтруют через бумажный фильтр "белая лента", предварительно смоченный дистиллированной водой. Раствор количественно переносят в мерную колбу вместимостью 1 дм3, доводят до метки дистиллированной водой и перемешивают. Раствор используют в день приготовления.
Л.3.6 Раствор марганцевокислого калия с массовой концентрацией 50 г/дм3
5,0 г марганцевокислого калия, взвешенных с точностью до 0,1 г, растворяют в небольшом количестве дистиллированной воды, доводят объем раствора до 100 см3 и перемешивают. Раствор хранят в бутылях из темного стекла с притертой пробкой. Срок хранения растворов - 3 мес при комнатной температуре.
Л.3.7 Приготовление градуировочных растворов
Вскрывают ампулу ГСО, содержащего 0,1 или 1 мг/см
3 элемента, и соответствующим разбавлением готовят градуировочные растворы. При приготовлении растворов мышьяка, селена и сурьмы используют 10%-ный раствор соляной кислоты. При приготовлении растворов ртути в колбы с градуировочными растворами прибавляют 1 - 2 капли раствора марганцевокислого калия по
Л.3.6 и доводят до метки раствором азотной кислоты по
Л.3.4.
Основной градуировочный раствор элементов с массовой концентрацией 10 мг/дм3 готовят нижеприведенным образом.
5 см3 раствора ГСО (0, мг/см3) или 0,5 см3 раствора ГСО (1 мг/см3) переносят в мерную колбу вместимостью 50 см3, доводят объем до метки соответствующим раствором кислоты и перемешивают. Полученный исходный градуировочный раствор содержит 10 мг/дм3 элемента. Срок хранения раствора - 1 мес при температуре от 2 °C до 10 °C.
Промежуточный градуировочный раствор элементов с массовой концентрацией 0,1 мг/дм3 готовят разбавлением основного градуировочного раствора элементов с массовой концентрацией 10 мг/дм3 в 100 раз. Срок хранения раствора - 14 сут при температуре от 2 °C до 10 °C.
Рабочие градуировочные растворы элементов готовят таким образом, чтобы диапазон массовых концентраций не выходил за границы линейной зависимости абсорбции от концентрации для используемого прибора. Для проведения анализа с применением спектрометра iCE 3300 с гидридной приставкой VP 100 рекомендуется готовить градуировочные растворы со следующими массовыми концентрациями элементов:
- 0,1 мг/дм3 1/100 1 мкг/дм3 (1 см3 раствора с концентрацией 0,1 мг/дм3 с помощью пипетки переносят в мерную колбу вместимостью 100 см3, доводят до метки раствором соляной кислоты и тщательно перемешивают. Концентрация полученного раствора 1 мкг/дм3);
- 0,1 мг/дм3 5/100 5 мкг/дм3;
- 0,1 мг/дм3 10/100 10 мкг/дм3;
- 0,1 мг/дм3 20/100 20 мкг/дм3;
- 10 мг/дм3 0,5/100 50 мкг/дм3.
Растворы следует использовать в день приготовления.
Л.3.8 Приготовление градуировочных растворов ртути при использовании анализатора ртути. Градуировочный раствор ртути с массовой концентрацией 0,01 мг/дм3
1 см
3 раствора с массовой концентрацией 0,10 мг/дм
3 переносят в мерную колбу вместимостью 10 см
3, добавляют 1 - 2 капли раствора марганцевокислого калия (по
Л.3.6) и доводят объем до метки 5%-ным раствором азотной кислоты. Полученный раствор содержит 0,01 мг/дм
3 ртути.
Для приготовления градуировочных растворов с массовыми концентрациями ртути 0,0002; 0,0005; 0,0020 и 0,0050 мг/дм
3 в мерные колбы вместимостью 50 см
3 вносят соответственно 1,0; 2,5; 10,0 и 25,0 см
3 раствора ртути с массовой концентрацией 0,01 мг/дм
3, добавляют в каждую колбу по 1 - 2 капли раствора марганцевокислого калия (по
Л.3.6), доводят до метки 5%-ным раствором азотной кислоты и тщательно перемешивают. Растворы ртути с массовой концентрацией от 0,0002 до 0,10 мг/дм
3 используют в день приготовления.
Л.4 Подготовка пробы к анализу
Для приготовления раствора жидкого ПОХА по 1 см
3 ПОХА отбирают пипеткой или дозатором (для твердых ПОХА примерно по 1 г пробы отбирают шпателем), помещают в два предварительно взвешенных стеклянных стаканчика, взвешивают с точностью до 0,01 г, прибавляют 25 - 30 см
3 указанного в
таблице Л.1 раствора кислоты в зависимости от определяемого элемента, нагревают на электроплитке или песчаной бане, не допуская кипения, примерно 15 мин, охлаждают до комнатной температуры, фильтруют через бумажный фильтр "белая лента" или мембранный фильтр с диаметром пор 5 мкм в мерную колбу вместимостью 50 см
3 и доводят до метки соответствующим раствором кислоты. Приблизительно 10 см
3 подготовленной пробы переносят в пробирку для измерения и добавляют одну каплю раствора марганцевокислого калия. Пробу готовят в двух повторностях. Срок хранения приготовленной пробы - 10 дней при комнатной температуре.
Таблица Л.1
Подготовка пробы к анализу
Определяемый элемент | Раствор кислоты, % |
Мышьяк (As), селен (Se), сурьма (Sb) | 10%-ный раствор соляной кислоты |
Ртуть (Hg) | 5%-ный раствор азотной кислоты. |
Л.5 Подготовка прибора к работе и выполнение измерений
Л.5.1 Метод генерации гидридов
Подключение оборудования и вывод на рабочие режимы генератора и ААС проводят согласно эксплуатационным документам.
Режим работы спектрометра - атомно-абсорбционный с корректором неселективных помех и измерением интегральных значений абсорбции.
Способ разогрева кварцевой кюветы - с помощью пламени. Для определения ртути нагрев не проводят.
Разогрев кюветы выполняют в две стадии: в течение 5 мин разогревают кювету при одновременном ее продуве воздухом, затем включают продув аргоново-воздушной смесью с объемной долей воздуха от 5% до 10% и продолжают разогрев еще 5 - 7 мин.
Расход испытуемого и градуировочных растворов на одно определение регламентирован технической документацией на используемый тип генератора гидридов и для всех типов генераторов не должен превышать 10 см3.
Измеряют абсорбцию градуировочных растворов в порядке возрастания массовой концентрации определяемого элемента.
Градуировочную характеристику, выражающую зависимость показаний прибора от количества определяемого элемента, устанавливают по среднему арифметическому значению результатов трех измерений для каждой точки за вычетом среднего арифметического значения результатов трех измерений холостой пробы (раствора соответствующей кислоты).
Л.5.2 Метод холодного пара для определения ртути на анализаторе ртути
Регистрируют абсорбцию ртути в градуировочных растворах в порядке возрастания массовой концентрации в соответствии с инструкциями по эксплуатации аппаратуры.
Градуировочную характеристику, отражающую зависимость показаний прибора от массовой концентрации ртути, устанавливают по среднему арифметическому значению результатов двух измерений каждого градуировочного раствора. В качестве раствора сравнения Blank (холостая проба) используют 5%-ный раствор азотной кислоты с добавлением 1 - 2 капель раствора марганцевокислого калия. Холостой пробой (Blank) является раствор азотной кислоты
(Л.3.4), используемый для приготовления градуировочных растворов.
Через каждые десять проб выполняют анализ одного из градуировочных растворов. Если измеренная массовая концентрация ртути в градуировочном растворе отличается от истинной более чем на 10%, градуировку повторяют полностью. Подготовленные пробы по
Л.4 анализируют на приборе в оптимальных условиях в соответствии с рекомендациями программного обеспечения анализатора ртути.
Л.6 Обработка результатов анализа
Метод обеспечивает получение результатов анализа с погрешностью, не превышающей значений, приведенных в
таблицах Л.2,
Л.3.
Таблица Л.2
Диапазон измерений, показатели точности измерений
Элемент | Диапазон измерений, % | Диапазон измерений, мг/кг Al | Показатель повторяемости (относительное среднеквадратическое отклонение повторяемости)  , % | Показатель воспроизводимости (относительное среднеквадратическое отклонение воспроизводимости)  , % | Показатель точности (границы относительной погрешности при доверительной вероятности 0,95)  , % |
Ртуть (Hg) | 0,000002 - 0,002 | 0,4 - 10,0 | 5 | 10 | 20 |
Мышьяк (As) | 0,00005 - 0,001 | 10 - 200 | 15 | 14 | 42 |
Селен (Se) | 0,00002 - 0,001 | 4 - 200 | 11 | 11 | 32 |
Сурьма (Sb) | 0,00005 - 0,001 | 10 - 200 | 8 | 8 | 22 |
Таблица Л.3
Значения пределов повторяемости и воспроизводимости
Элемент | Диапазон измерений, % | Диапазон измерений, мг/кг Al | Предел повторяемости (относительное значение допускаемого расхождения для двух результатов измерений, полученных в условиях повторяемости) r, % | Предел воспроизводимости (относительное значение допускаемого расхождения для двух результатов измерений, полученных в условиях воспроизводимости) R, % |
Ртуть (Hg) | 0,000002 - 0,002 | 0,4 - 10,0 | 14 | 28 |
Мышьяк (As) | 0,00005 - 0,001 | 10 - 200 | 43 | 39 |
Селен (Se) | 0,00002 - 0,001 | 4 - 200 | 32 | 31 |
Сурьма (Sb) | 0,00005 - 0,001 | 10 - 200 | 23 | 22 |
Содержание элемента в образце выражают в миллиграммах элемента на килограмм алюминия в ПОХА (мг/кг Al) или процентах. Для расчета используют формулы, приведенные в
К.6. За окончательный результат принимают среднее арифметическое значение результатов параллельных определений.
Л.7 Оформление результатов измерений
Результат измерений в протоколах, как правило, представляют в следующем виде:

, (Л.1)
где

- характеристика абсолютной погрешности результата измерения, %, которую рассчитывают по формуле

, (Л.2)
где

- значение показателя точности определения массовой доли элементов, % (см.
таблицу Л.2).
(рекомендуемое)
ОПРЕДЕЛЕНИЕ МАССОВОЙ ДОЛИ БЕРИЛЛИЯ, КАДМИЯ, МЫШЬЯКА, НИКЕЛЯ,
СВИНЦА, СЕЛЕНА, СУРЬМЫ И ХРОМА МЕТОДОМ АТОМНО-АБСОРБЦИОННОЙ
СПЕКТРОМЕТРИИ С ЭЛЕКТРОТЕРМИЧЕСКОЙ АТОМИЗАЦИЕЙ
Метод основан на измерении интенсивности поглощения излучения резонансной длины волны атомным паром определяемого элемента, образующимся в результате электротермической атомизации пробы в графитовой печи спектрометра, с последующим определением массовых концентраций элементов по установленным градуировочным характеристикам. Показатели диапазона, повторяемости, воспроизводимости и точности измерений представлены в
таблицах М.1 и
М.2.
Таблица М.1
Диапазон измерений, значения показателей
точности, воспроизводимости и повторяемости
Определяемый элемент | Диапазон измерений, % | Показатель повторяемости (относительное среднеквадратическое отклонение повторяемости)  , % | Показатель воспроизводимости (относительное среднеквадратическое отклонение воспроизводимости)  , % | Показатель точности (границы относительной погрешности при доверительной вероятности 0,95)  , % |
Бериллий (Be) | 0,000005 - 0,001 | 6 | 15 | 29 |
Кадмий (Cd) | 0,000001 - 0,002 | 4 | 13 | 25 |
Никель (Ni) | 0,00002 - 0,01 | 11 | 13 | 26 |
Свинец (Pb) | 0,00002 - 0,002 | 6 | 14 | 28 |
Хром (Cr) | 0,00002 - 0,01 | 14 | 20 | 40 |
Мышьяк (As) | 0,00005 - 0,002 | 10 | 22 | 43 |
Селен (Se) | 0,00005 - 0,005 | 9 | 18 | 35 |
Сурьма (Sb) | 0,00005 - 0,005 | 5 | 12 | 23 |
Таблица М.2
Значения пределов повторяемости и воспроизводимости
Элемент | Диапазон измерений, % | Предел повторяемости (относительное значение допускаемого расхождения для двух результатов измерений, полученных в условиях повторяемости) r, % | Предел воспроизводимости (относительное значение допускаемого расхождения для двух результатов измерений, полученных в условиях воспроизводимости) R, % |
Бериллий (Be) | 0,000005 - 0,001 | 17 | 41 |
Кадмий (Cd) | 0,000001 - 0,002 | 11 | 35 |
Никель (Ni) | 0,00002 - 0,01 | 31 | 36 |
Свинец (Pb) | 0,00002 - 0,002 | 17 | 39 |
Хром (Cr) | 0,00002 - 0,01 | 39 | 56 |
Мышьяк (As) | 0,00005 - 0,002 | 28 | 60 |
Селен (Se) | 0,00005 - 0,005 | 25 | 49 |
Сурьма (Sb) | 0,00005 - 0,005 | 14 | 32 |
М.1 Средства измерений, вспомогательные устройства, лабораторная посуда, реактивы и материалы
М.1.1 Средства измерений и вспомогательные устройства
Спектрометр атомно-абсорбционный с электротермическим атомизатором и Зеемановским корректором фона.
Весы лабораторные общего назначения по
ГОСТ OIML R 76-1 специального или высокого класса точности.
Дистиллятор или установка любого типа для получения воды дистиллированной по
ГОСТ 6709 или воды для лабораторного анализа 2-й степени чистоты по ГОСТ ISO 3696.
Холодильник бытовой любой марки, обеспечивающий температуру от 2 °C до 10 °C.
Дозаторы объемом дозирования от 0,1 до 5 см
3 по
ГОСТ 28311.
М.1.2 Лабораторная посуда
Лабораторная посуда в соответствии с
Л.1.2.
М.1.3 Реактивы и материалы
Вода бидистиллированная или деионизированная (дистиллированная вода по
ГОСТ 6709, перегнанная повторно или пропущенная через колонку с ионообменной смолой по
ГОСТ 20298, или вода для лабораторного анализа 2-й степени чистоты по ГОСТ ISO 3696).
Растворы ГСО элементов бериллия, кадмия, мышьяка, никеля, свинца, селена, сурьмы, хрома концентрацией 1 мг/см3.
Магний азотнокислый, 6-водный, Mg(NO
3)
2·6H
2O, ч.д.а., по
ГОСТ 11088 или водный раствор нитрата магния с массовой концентрацией 1% (раствор модификатора матрицы).
Палладий металлический, порошок (Pd) 99,95%-ной чистоты по
ГОСТ 31291 или раствор нитрата палладия в 15%-ной азотной кислоте с массовой концентрацией металла 10 г/дм
3 (раствор модификатора матрицы).
Фильтры обеззоленные "белая лента" или фильтры мембранные с диаметром пор 5 мкм.
Примечание - Допускается использовать готовые растворы модификаторов матрицы Perkin Elmer или Merck, реактивы более высокой квалификации, а также материалы с аналогичными или более качественными характеристиками.
М.2 Подготовка оборудования
Устанавливают оптимальные режимы определения для каждого элемента в соответствии с инструкцией по эксплуатации спектрометра. Оптимальные режимы определения элементов подбирают индивидуально для каждого прибора.
Примечание - В зависимости от типа атомизатора, от степени износа атомизатора и контактных цилиндров возможно изменение параметров температурного режима: температуры сушки, времени сушки, температуры озоления, температуры атомизации, количества модификатора матрицы.
М.3 Приготовление растворов
М.3.1 Раствор азотной кислоты с объемной долей 5%
В мерную колбу вместимостью 1 дм3, наполовину заполненную дистиллированной водой, осторожно прибавляют 50 см3 концентрированной азотной кислоты, доводят объем раствора до метки дистиллированной водой и тщательно перемешивают. Срок хранения раствора - 3 мес при температуре окружающей среды.
М.3.2 Основной градуировочный раствор элементов с массовой концентрацией 100 мг/дм3
5 см3 стандартного раствора (ГСО) переносят в мерную колбу вместимостью 50 см3, доводят объем до метки 5%-ным раствором азотной кислоты и перемешивают. Полученный градуировочный раствор содержит 100 мг/дм3 элемента. Срок хранения раствора - 2 мес при температуре от 2 °C до 10 °C.
М.3.3 Промежуточный градуировочный раствор элементов с массовой концентрацией 10 мг/дм3
2,5 см3 основного градуировочного раствора с массовой концентрацией 100 мг/дм3 с помощью пипетки переносят в мерную колбу вместимостью 25 см3, доводят объем раствора до метки 5%-ным раствором азотной кислоты и перемешивают. Массовая концентрация элемента в полученном градуировочном растворе составляет 10 мг/дм3. Срок хранения раствора - 1 мес при температуре от 2 °C до 10 °C.
М.3.4 Промежуточный градуировочный раствор элементов с массовой концентрацией 1 мг/дм3
2,5 см3 промежуточного градуировочного раствора с массовой концентрацией 10 мг/дм3 с помощью пипетки переносят в мерную колбу вместимостью 25 см3, доводят объем раствора до метки 5%-ным раствором азотной кислоты и перемешивают. Массовая концентрация элемента в полученном градуировочном растворе составляет 1 мг/дм3. Срок хранения раствора - 1 мес при температуре от 2 °C до 10 °C.
М.3.5 Рабочий градуировочный раствор элементов с массовой концентрацией 0,1 мг/дм3 (раствор А)
10 см3 промежуточного градуировочного раствора с массовой концентрацией 1 мг/дм3 с помощью пипетки переносят в мерную колбу вместимостью 100 см3, доводят объем раствора до метки 5%-ным раствором азотной кислоты и перемешивают. Массовая концентрация элемента в полученном рабочем градуировочном растворе А - 0,1 мг/дм3. Срок хранения раствора - 14 сут при температуре от 2 °C до 10 °C.
М.3.6 Рабочий градуировочный раствор элементов с массовой концентрацией 0,04 мг/дм3 (раствор Б)
1 см3 промежуточного градуировочного раствора с массовой концентрацией 1 мг/дм3 с помощью пипетки переносят в мерную колбу вместимостью 25 см3, доводят объем раствора до метки 5%-ным раствором азотной кислоты и перемешивают. Массовая концентрация элемента в полученном рабочем градуировочном растворе Б - 0,04 мг/дм3. Срок хранения раствора - 10 сут при температуре от 2 °C до 10 °C.
Примечание - Допускается готовить другие объемы растворов.
Шкалу градуировочных растворов определяемого элемента готовят из рабочих градуировочных растворов с помощью программируемого автосамплера. Для мышьяка, свинца и сурьмы рекомендуется использовать градуировочные растворы в диапазоне концентраций 0,005 - 0,100 мг/дм3; для никеля, хрома и селена - 0,002 - 0,04 мг/дм3; бериллия - 0,0002 - 0,004 мг/дм3; кадмия - 0,0005 - 0,005 мг/дм3.
М.3.7 Рабочий градуировочный раствор элементов с массовой концентрацией 0,01 мг/дм3 (раствор В)
1,0 см3 промежуточного градуировочного раствора с массовой концентрацией 1 мг/дм3 с помощью пипетки переносят в мерную колбу вместимостью 100 см3, доводят объем раствора до метки 5%-ным раствором азотной кислоты и перемешивают. Массовая концентрация элемента в полученном рабочем градуировочном растворе В - 0,01 мг/дм3. Срок хранения раствора - 10 сут при температуре от 2 °C до 10 °C.
Шкалу градуировочных растворов определяемого элемента готовят из рабочих градуировочных растворов с помощью программируемого автосамплера или в мерных колбах вместимостью 10 см3.
Примечания
1 Допускается готовить другие объемы растворов.
2 Допускается использовать как одноэлементные, так и многоэлементные градуировочные растворы.
М.3.8 Растворы палладия (модификатора матрицы)
(1,00 +/- 0,01) г металлического палладия помещают в термостойкий химический стакан вместимостью 25 см3, добавляют 5 см3 концентрированной азотной кислоты и нагревают на электроплитке с закрытой спиралью до полного растворения палладия. По охлаждении раствор количественно фильтруют в мерную колбу вместимостью 100 см3, доводят объем до метки дистиллированной водой и перемешивают. Срок хранения полученного исходного раствора модификатора с массовой концентрацией 10 г/дм3 не ограничен при температуре от 2 °C до 10 °C.
Рабочий раствор палладиевого модификатора с массовой концентрацией 1 г/дм3 готовят, разбавляя исходный раствор в 10 раз 5%-ным раствором азотной кислоты. Срок хранения раствора - 6 мес при температуре от 2 °C до 10 °C.
Примечание - Допускается использовать в качестве исходного готовый раствор нитрата палладия в азотной кислоте с массовой концентрацией 10 г/дм3, например производства фирмы Perkin Elmer, Inorganic Venture или Merck.
M.3.9 Растворы нитрата магния (модификатора матрицы)
(5,19 +/- 0,01) г соли Mg(NO3)2·6H2O растворяют в 100 см3 дистиллированной воды. Раствор содержит 30 мг/см3 Mg(NO3)2. Для приготовления рабочего раствора модификатора 5 см3 полученного раствора помещают в мерную колбу вместимостью 50 см3, доводят объем раствора до метки 5%-ным раствором азотной кислоты и тщательно перемешивают. Рабочий раствор модификатора содержит 3 мг/см3 Mg(NO3)2. Срок хранения раствора - 6 мес при температуре от 2 °C до 10 °C.
Примечание - Допускается готовить рабочий раствор модификатора матрицы из готового раствора нитрата магния, например производства Perkin Elmer или Inorganic Venture. Для этого в мерную колбу вместимостью 50 см3 вносят 15 см3 исходного раствора нитрата магния и доводят до метки 5%-ным раствором азотной кислоты.
М.4 Установление градуировочной характеристики
Измеряют абсорбцию градуировочных растворов в порядке возрастания массовой концентрации определяемого элемента. При этом для измерения массовой концентрации бериллия, кадмия, никеля, свинца, сурьмы и хрома в качестве модификатора матрицы рекомендуется использовать раствор палладия с массовой концентрацией 10 г/дм
3, а для мышьяка и селена - 1 г/дм
3. В качестве раствора сравнения холостой пробы (Blank) используют 5%-ный раствор азотной кислоты, приготовленный по
М.3.1.
Градуировочную характеристику, выражающую зависимость показаний прибора от массовой концентрации определяемого элемента, устанавливают по среднему арифметическому значению результатов двух измерений для каждой точки за вычетом среднего арифметического значения результатов двух измерений раствора холостой пробы (5%-ный раствор азотной кислоты).
М.5 Подготовка проб к выполнению измерений
Подготовку пробы выполняют по
К.4. При определении мышьяка, селена и сурьмы могут возникать спектральные и матричные помехи, поэтому подготовленные в соответствии с
К.4 пробы ПОХА для водоподготовки при необходимости дополнительно разбавляют в 2 - 5 раз или выполняют измерение по методу стандартных добавок, используя опцию программного обеспечения атомно-абсорбционного спектрометра.
М.6 Выполнение измерений
Подготовленные пробы анализируют на приборе в условиях, указанных в
М.2. Содержание элемента в образце выражают в миллиграммах элемента на килограмм алюминия в ПОХА (мг/кг Al) или процентах. Для расчета используют формулы, приведенные в
К.6. За окончательный результат принимают среднее арифметическое значение результатов параллельных определений.
В случае дальнейшего разбавления подготовленных проб содержание элемента X, мг/дм3, рассчитывают по формуле

, (М.1)
где A - содержание элемента в анализируемом растворе, найденное по градуировочному графику, мг/дм3;
V1 - объем колбы, в которой проводили разбавление, см3;
V - аликвота анализируемой пробы, см3.
М.7 Оформление результатов измерений
Результат измерений в протоколах, как правило, представляют в следующем виде:

, %, (М.2)
где

- характеристика абсолютной погрешности результата измерения, %, которую рассчитывают по формуле

, (М.3)
где

- значение показателя точности, % (см.
таблицу М.1).
| Решение Комиссии Таможенного союза от 28 мая 2010 г. N 299 "О применении санитарных мер в Евразийском экономическом союзе" |
УДК 66.065.2:661.12:006.354 | |
Ключевые слова: ПОХА для водоподготовки, полиоксихлорид алюминия, оксихлорид алюминия, гидроксихлорид алюминия, технические условия |