Главная // Актуальные документы // ГОСТ (Государственный стандарт)СПРАВКА
Источник публикации
М.: ФГБУ "РСТ", 2021
Примечание к документу
Текст данного документа приведен с учетом
поправки, введенной в действие с 01.10.2021, опубликованной в "ИУС", N 2, 2022.
Документ
введен в действие с 01.03.2022.
Название документа
"ГОСТ 28311-2021. Межгосударственный стандарт. Дозаторы медицинские лабораторные. Общие технические требования и методы испытаний"
(введен в действие Приказом Росстандарта от 12.10.2021 N 1128-ст)
"ГОСТ 28311-2021. Межгосударственный стандарт. Дозаторы медицинские лабораторные. Общие технические требования и методы испытаний"
(введен в действие Приказом Росстандарта от 12.10.2021 N 1128-ст)
по техническому регулированию
и метрологии
от 12 октября 2021 г. N 1128-ст
МЕЖГОСУДАРСТВЕННЫЙ СТАНДАРТ
ДОЗАТОРЫ МЕДИЦИНСКИЕ ЛАБОРАТОРНЫЕ
ОБЩИЕ ТЕХНИЧЕСКИЕ ТРЕБОВАНИЯ И МЕТОДЫ ИСПЫТАНИЙ
Medical laboratory dosers. General technical requirements
and test methods
ГОСТ 28311-2021
Дата введения
1 марта 2022 года
Цели, основные принципы и общие правила проведения работ по межгосударственной стандартизации установлены
ГОСТ 1.0 "Межгосударственная система стандартизации. Основные положения" и
ГОСТ 1.2 "Межгосударственная система стандартизации. Стандарты межгосударственные, правила и рекомендации по межгосударственной стандартизации. Правила разработки, принятия, обновления и отмены"
1 РАЗРАБОТАН Федеральным государственным бюджетным учреждением "Российский институт стандартизации" (ФБГУ "РСТ") и Обществом с ограниченной ответственностью "Медтехстандарт" (ООО "Медтехстандарт")
2 ВНЕСЕН Федеральным агентством по техническому регулированию и метрологии
3 ПРИНЯТ Межгосударственным советом по стандартизации, метрологии и сертификации (протокол от 26 августа 2021 г. N 142-П)
За принятие проголосовали:
Краткое наименование страны по МК (ИСО 3166) 004-97 | Код страны по МК (ИСО 3166) 004-97 | Сокращенное наименование национального органа по стандартизации |
Армения | AM | ЗАО "Национальный орган по стандартизации и метрологии" Республики Армения |
Беларусь | BY | Госстандарт Республики Беларусь |
Киргизия | KG | Кыргызстандарт |
Россия | RU | Росстандарт |
Таджикистан | TJ | Таджикстандарт |
Узбекистан | UZ | Узстандарт |
4
Приказом Федерального агентства по техническому регулированию и метрологии от 12 октября 2021 г. N 1128-ст межгосударственный стандарт ГОСТ 28311-2021 введен в действие в качестве национального стандарта Российской Федерации с 1 марта 2022 г.
Информация о введении в действие (прекращении действия) настоящего стандарта и изменений к нему на территории указанных выше государств публикуется в указателях национальных стандартов, издаваемых в этих государствах, а также в сети Интернет на сайтах соответствующих национальных органов по стандартизации.
В случае пересмотра, изменения или отмены настоящего стандарта соответствующая информация будет опубликована на официальном интернет-сайте Межгосударственного совета по стандартизации, метрологии и сертификации в каталоге "Межгосударственные стандарты"
Настоящий стандарт распространяется на медицинские лабораторные дозаторы биологических жидкостей и реактивов (далее - дозаторы), предназначенные для формирования объемов доз биологических жидкостей (далее - биожидкости) и жидких реактивов при проведении работ в лабораториях, в том числе в клинико-диагностических лабораториях медицинских организаций.
Настоящий стандарт не распространяется на дозаторы биожидкостей и реактивов, встроенные в другие приборы или являющиеся составными частями специальных систем и комплексов, дозаторы, предназначенные только для научно-исследовательских работ, дозаторы однократного применения, а также дозаторы, предназначенные для дозирования биожидкостей и реактивов в подогретом состоянии.
Пояснения терминов, применяемых в настоящем стандарте, приведены в приложении А.
В настоящем стандарте использованы нормативные ссылки на следующие межгосударственные стандарты:
ГОСТ 27.003 Надежность в технике. Состав и общие правила задания требований по надежности
ГОСТ 27.402 Надежность в технике. Планы испытаний для контроля средней наработки до отказа (на отказ). Часть 1. Экспоненциальное распределение
ГОСТ 8711 Приборы аналоговые показывающие электроизмерительные прямого действия и вспомогательные части к ним. Часть 2. Особые требования к амперметрам и вольтметрам
ГОСТ 15150 Машины, приборы и другие технические изделия. Исполнения для различных климатических районов. Категории, условия эксплуатации, хранения и транспортирования в части воздействия климатических факторов внешней среды
ГОСТ 20790 Приборы, аппараты и оборудование медицинские. Общие технические условия
ГОСТ IEC 61010-1 Безопасность электрических контрольно-измерительных приборов и лабораторного оборудования. Часть 1. Общие требования
Примечание - При пользовании настоящим стандартом целесообразно проверить действие ссылочных стандартов и классификаторов на официальном интернет-сайте Межгосударственного совета по стандартизации, метрологии и сертификации (www.easc.by) или по указателям национальных стандартов, издаваемым в государствах, указанных в
предисловии, или на официальных сайтах соответствующих национальных органов по стандартизации. Если на документ дана недатированная ссылка, то следует использовать документ, действующий на текущий момент, с учетом всех внесенных в него изменений. Если заменен ссылочный документ, на который дана датированная ссылка, то следует использовать указанную версию этого документа. Если после принятия настоящего стандарта в ссылочный документ, на который дана датированная ссылка, внесено изменение, затрагивающее положение, на которое дана ссылка, то это положение применяется без учета данного изменения. Если ссылочный документ отменен без замены, то положение, в котором дана ссылка на него, применяется в части, не затрагивающей эту ссылку.
3 Основные параметры и технические требования
3.1 Основные параметры
3.1.1 Номинальные значения объемов доз для дозаторов с фиксированными объемами устанавливают из ряда
A·10a,
где A - значение, выбираемое из ряда 1,0; 1,5; 2,0; 2,5; 3,0; 3,5; 4,0; 4,5; 5,0; 6,0; 7,0; 8,0; 9,0; 10,0 мкл;
a - целое положительное число от 0 до 4.
3.1.2 Номинальные значения наибольших пределов дозирования для дозаторов с варьируемыми объемами доз устанавливают из ряда
B·10b,
где B - значение, выбираемое из ряда 1,00; 1,25; 1,50; 2,00; 2,50; 3,00; 4,00; 5,00 мкл;
b - целое положительное число от 1 до 4.
3.1.3 Номинальные значения наименьших пределов дозирования для дозаторов с варьируемыми объемами доз должны составлять не более 10% наибольшего предела дозирования для дозаторов на объемы доз до 5000 мкл; не более 25% - для дозаторов с наибольшим пределом дозирования более 5000 мкл.
Если диапазон номинальных значений превышает данное требование, то испытания проводят с указанием испытуемого диапазона в соответствии с данным требованием, например дозатор 50...1200 мкл подвергается испытаниям в диапазонах 120...1200 мкл и/или 50...500 мкл.
3.1.4 Для дозаторов с варьируемым объемом доз дискретность установки объема дозы должна устанавливаться из ряда
G·10g,
где G - значение, выбираемое из ряда 1,0; 2,0; 2,5; 3,0; 4,0; 5,0 мкл;
g - значение, выбираемое из ряда минус 1; 0; 1; 2; 3.
3.1.5 Пределы характеристик отклонений объемов доз, устанавливаемые для дозаторов различных типов при дозировании дистиллированной воды, не должны превышать значений, указанных в
таблице 1.
Номинальный объем дозы, мкл | Предел допускаемого относительного отклонения среднеарифметического значения фактического объема дозы от номинального, % | Предел допускаемого относительного среднеквадратического отклонения фактического объема дозы при доверительной вероятности P = 0,95, % |
дозатора без воздушного промежутка | дозатора с воздушным промежутком | дозатора без воздушного промежутка | дозатора с воздушным промежутком |
1 | +/- 5 | +/- 8 | 3 | 7 |
2 | +/- 5 | +/- 8 | 3 | 6 |
5 | +/- 2 | +/- 5 | 1,5 | 5 |
10 | +/- 1 | +/- 2,5 | 0,8 | 3 |
20 | +/- 1 | +/- 2 | 0,8 | 3 |
50 | +/- 1 | +/- 2 | 0,3 | 2,5 |
100 | +/- 0,5 | +/- 1,5 | 0,3 | 2 |
200 | +/- 0,5 | +/- 1,5 | 0,3 | 2 |
500 | +/- 0,5 | +/- 1 | 0,3 | 1 |
1000 | +/- 0,5 | +/- 1 | 0,3 | 1 |
5000 | +/- 0,5 | +/- 1 | 0,2 | 1 |
3.2 Технические требования
3.2.1 Характеристики отклонений объемов доз должны нормироваться путем установления пределов допускаемых (положительного и отрицательного) отклонений среднеарифметического значения фактического объема дозы от номинального и предела допускаемого среднеквадратического отклонения фактического объема дозы с доверительной вероятностью
P, выбираемой из ряда 0,90; 0,95; 0,98; 0,99.
Характеристики отклонений объемов доз должны быть заданы в виде дискретных нормированных значений, таблиц, графиков, функций как пределы относительных или приведенных значений отклонений объемов доз с указанием норм приведения для рабочих условий эксплуатации.
Если изменение среднеарифметического значения фактического объема дозы при изменении влияющей величины в условиях эксплуатации или дозируемой жидкости превышает 0,35 заданного предела, то характеристики отклонений объемов доз должны нормироваться для заданных условий, при этом дополнительно нормируют пределы изменений отклонений объемов доз при изменении влияющих величин или дозируемых жидкостей.
В этом случае для дозатора конкретного типа должны быть указаны условия определения основных характеристик отклонений объемов доз и пределы изменений влияющих величин.
3.2.1.1 Для дозаторов с варьируемыми объемами доз должны нормироваться пределы изменения отклонений фактического значения дозы при переустановке объема дозы, которые не должны превышать 0,5 абсолютного значения предела отклонения среднеарифметического значения фактического отклонения объема дозы от номинального.
Допускается нормировать пределы отклонения от пропорциональности среднеарифметических значений объемов доз и установленных номинальных значений при переустановке объема дозы.
3.2.1.2 Для дозаторов со сменными узлами дозирования и многоканальных дозаторов с раздельными приводами нормированные значения характеристик отклонений объемов доз должны быть установлены для каждого типоразмера узла дозирования и каждого канала отдельно.
3.2.2 Дозаторы с электропитанием от сети переменного тока должны работать при номинальном напряжении 230 В с допускаемым отклонением 10% и при частоте (50 +/- 0,5) или (60 +/- 0,6) Гц.
3.2.3 Для конкретных типов дозаторов с электропитанием должны быть установлены следующие характеристики:
- производительность (количество доз, циклов в минуту) или длительность цикла;
- потребляемая мощность;
- максимально допустимое время установления рабочего режима с момента включения (при наличии термостатирования).
3.2.3.1 Для автоматических многофункциональных дозаторов производительность (длительность цикла) и потребляемая мощность должны быть установлены при выполнении каждого режима работы отдельно.
3.2.3.2 Максимально допустимое время установления рабочего режима с момента включения должно выбираться из ряда: 1; 2; 3; 5; 10; 20; 30 мин.
3.2.4 Время подготовки автоматических дозаторов к работе устанавливают из ряда 1; 2; 3; 5; 10; 15; 20; 30 мин, если подготовительные процедуры занимают более 30 с и не включаются в цикл работы дозатора в заданном режиме.
3.2.5 Требования к надежности
3.2.5.1 Требования к надежности должны быть установлены в технических условиях на дозаторы конкретных типов в виде нормированных значений показателей безотказности, долговечности и ремонтопригодности в соответствии с
ГОСТ 27.003.
Для дозаторов, имеющих сменные и составные части, следует нормировать показатели надежности сменных и составных частей отдельно.
В зависимости от возможных последствий отказа в процессе эксплуатации дозаторы относятся к классу В по
ГОСТ 20790.
3.2.5.2 Показатели надежности многоканальных и автоматических дозаторов допускается нормировать отдельно для каждого конструктивно независимого канала и режима работы.
3.2.5.3 Нормы показателей безотказности и долговечности должны быть заданы в количестве доз или циклов. Для дозаторов конкретного типа должно быть дано определение цикла и установлена средняя интенсивность эксплуатации.
3.2.6 Дозаторы и их части, удерживаемые при работе в руке лаборанта, должны иметь массу не более 0,35 кг.
3.2.7 Требования стойкости к внешним воздействиям
3.2.7.1 Дозаторы должны быть устойчивы к воздействию механических факторов для группы изделий 2 по
ГОСТ 20790.
3.2.7.2 Дозаторы при эксплуатации должны быть устойчивы к воздействию климатических факторов по
ГОСТ 20790 для вида климатического исполнения УХЛ 4.2 или О 4.1 по
ГОСТ 15150.
3.2.7.3 Дозаторы при транспортировании должны быть устойчивы к воздействию климатических факторов:
- дозаторы климатического исполнения УХЛ 4.2 - для группы условий транспортирования 1 по
ГОСТ 15150;
- дозаторы климатического исполнения О 4.1 - для группы условий транспортирования 2 по
ГОСТ 15150.
3.2.7.4 Дозаторы при хранении должны быть устойчивы к воздействию климатических факторов:
- дозаторы климатического исполнения УХЛ 4.2 - для группы условий хранения 2 по
ГОСТ 15150;
- дозаторы климатического исполнения О 4.1 - для группы условий хранения 1 по
ГОСТ 15150.
3.2.7.5 Наружные поверхности дозаторов и сменные узлы дозирования должны быть устойчивы к дезинфекции, а при необходимости и к стерилизации способами, утвержденными изготовителем в установленном порядке.
3.2.7.6 Материалы деталей дозаторов (или их покрытия), соприкасающиеся с дозируемыми жидкостями, должны быть устойчивы к их воздействию.
3.2.8 Требования эргономики и безопасности
3.2.8.1 Габаритные размеры дозаторов должны обеспечивать удобство работы и свободный доступ к органам управления и контроля.
Органы управления и приводы настольных и передвижных дозаторов должны быть расположены от уровня пола в зоне:
- 1000 - 1400 мм - при управлении стоя и частоте включений более 3 в час;
- 600 - 1000 мм - при управлении сидя и частоте включений более 3 в час;
- 1000 - 1600 мм - при управлении стоя и частоте включений менее 3 в час;
- 600 - 1200 мм - при управлении сидя и частоте включений менее 3 в час.
Органы управления должны снабжаться надписями, пиктограммами, буквами или другими визуальными средствами, например символами, указывающими их назначение. Пиктограммы и символы должны быть расшифрованы в эксплуатационном документе дозатора.
Средства индикации режимов и параметров дозирования должны обеспечивать различимость информации, точность считывания, наглядность и находиться на высоте от пола в зоне 800 - 1600 мм.
На поворотных или подвижных частях органов управления дозатора должны быть предусмотрены ограничители соответствующих механических перемещений, исключающие случайный переход от максимального значения дозирования к минимальному и наоборот.
3.2.8.2 Дозаторы, предназначенные для отбора биожидкостей из пробирок, должны иметь габаритные размеры, обеспечивающие отбор пробы с глубины до 150 мм при внутреннем диаметре пробирки не более 12 мм.
3.2.8.3 У одноканальных дозаторов на объемы дозы до 1 мл, удерживаемых при работе в руке лаборанта, наибольшее усилие, необходимое для формирования объема дозы с помощью пальцев, не должно превышать 25 Н.
3.2.8.4 У многоканальных и одноканальных дозаторов на объемы более 1 мл, удерживаемых при работе в руке лаборанта, наибольшее усилие, необходимое для формирования объема дозы с помощью пальцев, не должно превышать 50 Н.
3.2.8.5 У дозаторов с ручным приводом, устанавливаемых на сосуды, штативы и непосредственно на стол, наибольшее усилие, необходимое для формирования объема дозы с помощью пальцев, не должно превышать 50 Н.
3.2.8.6 Усилия нажатия на кнопки управления автоматических дозаторов должны быть, не более:
- 5 Н - для пультов управления;
- 4 Н - для рукояток;
- 15 Н - для педалей.
3.2.8.7 Корректированный уровень звуковой мощности дозаторов при измерительном расстоянии 1 м не должен превышать 62 дБA (уровень звука на измерительной поверхности при измерительном расстоянии 1 м не должен превышать 55 дБA в зоне нахождения медицинского персонала).
3.2.9 Дозаторы с электропитанием должны соответствовать требованиям
ГОСТ IEC 61010-1.
3.2.10 В отношении электромагнитной совместимости дозаторы с электропитанием должны соответствовать требованиям стандартов государств, принявших настоящий стандарт.
3.2.11 Температура наружных поверхностей дозаторов с электропитанием, доступных для прикасания, не должна быть более 55 °C.
4.1 Условия испытаний дозаторов установлены в
3.2.7.2 и
3.2.2.
Испытаниям подвергают дозаторы, прошедшие технологическую приработку в течение времени, установленного производителем в эксплуатационном документе, но не менее 1 ч.
Перечень оборудования, необходимого для испытаний дозаторов, приведен в
приложении В.
4.2 Проверку соответствия требованиям
3.2.1,
3.2.1.1 и
3.2.1.2 проводят при дозировании дистиллированной воды.
Отбор и выдачу доз необходимо проводить в соответствии с регламентом, установленным для дозаторов конкретного типа.
Для определения объемов доз используют средства измерения с погрешностью не более 0,2 значений пределов характеристик, установленных в
3.2.1.
При использовании весового метода значение фактического объема дозы V, см3, определяют по формуле

, (1)
где m - масса фактического объема дозы, г;

- плотность дистиллированной воды, г/см
3.
Значения плотности дистиллированной воды в зависимости от температуры приведены в
приложении Г.
Температуру воды определяют термометром, погрешность измерения которого - не более 0,1 °C.
4.2.1 Отклонение среднеарифметического значения фактического объема дозы от номинального

рассчитывают по формуле

, (2)
где n - объем выборки, шт. (устанавливают в технических условиях на дозаторы конкретных типов);
Vi - значение i-го объема дозы, мкл;
Vном - номинальный объем дозы, мкл.
Относительное отклонение среднеарифметического значения фактического объема дозы от номинального

, %, рассчитывают по формуле

. (3)
Приведенное отклонение среднеарифметического значения фактического объема дозы от номинального

, %, рассчитывают по формуле

, (4)
где Vпр - значение объема дозы, принятое за норму приведения.
4.2.2 Среднеквадратическое отклонение фактического объема дозы

с доверительной вероятностью
P определяют по случайной выборке объема
n как верхнюю границу одностороннего доверительного интервала по формуле

, (5)
S - выборочное среднеквадратическое отклонение объема дозы.
Выборочное среднеквадратическое отклонение объема дозы S определяют по формуле

(6)
где

- среднеарифметическое значение объема дозы, определяемое по формуле

. (7)
Относительное значение среднеквадратического отклонения фактического объема дозы

, %, рассчитывают по формуле

. (8)
Приведенное значение среднеквадратического отклонения фактического объема дозы,

, %, рассчитывают по формуле

. (9)
4.2.3 Проверку предела изменения отклонения объема дозы при изменении влияющей величины проводят путем определения разности среднеарифметических значений отклонений фактического объема дозы при крайних значениях влияющей величины.
Относительные и приведенные значения указанных характеристик рассчитывают по формулам, аналогичным
формулам (3) и
(4).
4.2.4 Проверку характеристик отклонений объемов доз, установленных в
3.2.1, для дозаторов с варьируемыми объемами проводят не менее чем в трех точках диапазона объемов доз, соответствующих наименьшему и наибольшему пределам дозирования, а также 0,5 значения наибольшего предела дозирования.
4.2.5 Проверку пределов изменения отклонения фактического значения дозы при переустановке объема дозы (см.
3.2.1.1) проводят в точках диапазона объемов доз, указанных в
4.2.4. В каждой проверяемой точке проводят трижды установку объема дозы, при каждой установке определяют среднеарифметическое значение фактического объема дозы для выборки
n.
Изменение отклонения фактического значения дозы при переустановке объема дозы определяют как разность между наибольшим и наименьшим из этих трех значений.
4.2.6 Для дозаторов, указанных в
3.2.1.2, проверку характеристик по
3.2.1 и
3.2.1.1 проводят для каждого узла дозирования и каждого канала.
4.2.7 Дозатор соответствует требованиям
3.2.1,
3.2.1.1 и
3.2.1.2, если значения характеристик отклонений объемов доз не превышают 0,8 значений установленных пределов.
4.3 Проверку работоспособности при отклонении напряжения питания (см.
3.2.2) проводят путем установки значений напряжения питания при номинальном значении, а также с отклонением на 10% от номинального значения с использованием регулируемого источника питания или преобразователей. Погрешность регулирования не должна превышать 30% допускаемого отклонения напряжения и частоты переменного тока. При изменении напряжения питания характеристики отклонений объемов доз по
3.2.1 производительность, потребляемая мощность и время установления рабочего режима должны находиться в пределах норм, установленных для дозаторов конкретных типов.
Примечания
1 Проверку работоспособности при отклонениях частоты переменного тока проводят только на дозаторах, характеристики которых изменяются при отклонениях частоты от номинального значения. Методы испытаний должны быть приведены в технических условиях на эти дозаторы.
2 Номинальное значение напряжения электропитания определяет производитель из диапазона, указанного в
3.2.2.
4.4 Проверку характеристик, устанавливаемых в соответствии с
3.2.3, проводят для каждого режима работы дозатора.
4.4.1 Проверку производительности или длительности цикла проводят путем определения секундомером с пределами допускаемой погрешности +/- 1 с/ч времени, необходимого для выполнения дозатором не менее трех циклов и последующего расчета значения соответствующей характеристики.
4.4.2 Проверку потребляемой мощности проводят с использованием вольтметра с пределом допускаемой погрешности +/- 1,5% и пределом измерений 250 или 300 В и амперметра с пределами допускаемой погрешности +/- 1% по
ГОСТ 8711.
4.4.3 Время установления рабочего режима проверяют секундомером с пределом допускаемой погрешности +/- 1 с/ч.
Допускается для дозаторов, у которых время установления рабочего режима превышает 10 мин, проверку проводить с использованием часов, имеющих погрешность в пределах +/- 1 мин/сут.
4.5 Проверку времени подготовки дозатора к работе (см.
3.2.4) проводят путем определения секундомером с пределами допускаемой погрешности +/- 1 с/ч времени, необходимого для выполнения подготовительных процедур в регламентируемых режимах работы.
4.6 Контрольные испытания на надежность (см.
3.2.5) проводят по ГОСТ 27.402 и техническим условиям на дозаторы конкретных типов.
Критерием предельного состояния дозаторов является несоответствие их требованиям
3.2.1,
3.2.1.1,
3.2.1.2 и
3.2.9, если восстановление экономически нецелесообразно.
Испытаниям на долговечность подвергают дозаторы в целом и/или его составные части. Допускается проводить испытания на долговечность наиболее ответственных, максимально нагруженных частей или наиболее подверженных износу составных частей.
4.7 Массу дозаторов (см.
3.2.6) проверяют взвешиванием на весах с пределом допускаемой погрешности не более 0,01 значения массы дозатора.
4.8 Проверку устойчивости к механическим воздействиям (см.
3.2.7.1) проводят по
ГОСТ 20790.
Результаты испытаний считают положительными, если по их окончании изделие работоспособно, отсутствуют механические повреждения и дозатор удовлетворяет требованиям
3.2.1.
Результаты испытаний считают положительными, если по окончании испытаний дозатор удовлетворяет требованиям
3.2.1.
4.10 Проверку устойчивости дозаторов к дезинфекции и стерилизации проводят методами, средствами и в соответствии с режимами, рекомендованными к применению в медицинских лабораториях.
4.11 Проверку требований устойчивости к воздействию дозируемых жидкостей (см.
3.2.7.6) проводят по методикам, установленным для дозаторов конкретных типов.
4.12 При проверке габаритных размеров (см.
3.2.8.1,
3.2.8.2) и наибольших значений усилий (см.
3.2.8.3 -
3.2.8.6) применяют линейку с ценой деления 1 мм и динамометр или весы с пределами допускаемой погрешности +/- 2%.
4.13 Проверку требований
3.2.8.7 проводят по методикам стандартов государств, принявших настоящий стандарт.
4.14 Проверку требований
3.2.8 в части наличия и соответствия маркировок органов управления их назначению проводят органолептическими и экспертными методами.
Проверку ограничений механических перемещений органов управления проводят осмотром дозатора, а также опробованием. Для поворотных органов управления вращающий момент, равный (4 +/- 1) н·м, прикладывают в течение не менее 2 с поочередно в каждом направлении. Испытание повторяют 10 раз.
Проворачивание ручки управления относительно ее оси считают отрицательным результатом этого испытания.
Проверку наличия расшифровки пиктограмм и символов в эксплуатационном документе проводят экспертной оценкой наличия и соответствия информации.
4.16 Методы испытаний дозаторов на электромагнитную совместимость и уровень допускаемых радиопомех - по стандартам электромагнитной совместимости государств, принявших настоящий стандарт.
4.17 Проверку температуры наружных поверхностей дозаторов (см.
3.2.11) проводят термоэлектрическим термометром по методике, установленной для дозаторов конкретных типов после 2 ч работы.
Измерения проводят не менее чем в трех точках в местах наибольшего нагрева дозаторов.
(справочное)
ТЕРМИНЫ, ПРИМЕНЯЕМЫЕ В НАСТОЯЩЕМ СТАНДАРТЕ,
И ПОЯСНЕНИЯ К НИМ
Таблица А.1
Термин | Пояснение |
Биологическая жидкость Биожидкость | Жидкость, содержащаяся в организме человека и выделяемая им |
Влияющая величина | Величина, которая при прямом измерении не влияет на величину, которую фактически измеряют, но влияет на соотношение между показанием и результатом измерения |
Время подготовки автоматического дозатора к работе | Интервал времени, за который осуществляется заправка дозатора жидкостью |
Время установления рабочего режима | Интервал времени от момента включения дозатора до момента, начиная с которого его характеристики удовлетворяют требованиям эксплуатационной документации |
Дозатор варьируемых объемов доз | Дозатор, обеспечивающий формирование объемов доз в заданном диапазоне с дискретностью, установленной в эксплуатационной документации |
Дозатор фиксированных объемов доз | Дозатор, обеспечивающий формирование ограниченного числа объемов доз (одного или нескольких). При этом установка объема между двумя соседними (даже существенно различающимися) значениями невозможна |
Канал дозирования | Совокупность элементов дозатора, обеспечивающая последовательное во времени формирование объемов дозы в заданном режиме работы дозатора |
Медицинский лабораторный дозатор биожидкостей и реактивов | Прибор, предназначенный для формирования объемов жидкостей, применяемый при проведении работ в лабораториях, в том числе в клинико-диагностических лабораториях медицинских организаций |
Многоканальный дозатор | Дозатор, обеспечивающий формирование нескольких объемов доз одновременно |
Многофункциональный дозатор | Дозатор, работающий в нескольких режимах |
Наибольший предел дозирования | Максимальное значение номинального объема дозы, формируемого за один цикл работы дозатора, для которого в эксплуатационной документации регламентированы характеристики отклонений объема |
Наименьший предел дозирования | Минимальное значение номинального объема дозы, формируемого за один цикл работы дозатора, для которого в эксплуатационной документации регламентированы характеристики отклонений объема |
Номинальный объем дозы | Значение объема дозы, для которого в эксплуатационной документации на дозатор регламентированы характеристики его отклонений |
Относительное отклонение объема дозы | Отношение абсолютного значения отклонения объема дозы к номинальному объему дозы |
Приведенное отклонение объема дозы | Отношение абсолютного значения отклонения объема дозы к номинальному объему дозы, принятому за норму приведения |
Технические условия | Документ, содержащий требования (совокупность всех показателей, норм, правил и положений) к изделию, его изготовлению, контролю, приемке и поставке, которые нецелесообразно указывать в других конструкторских документах. Примечание - В настоящем стандарте термин "технические условия" применяется для обозначения любого документа (или набора документов) изготовителя, содержащего необходимые требования. |
Формирование объема дозы | Процесс, включающий в себя отбор из одной емкости и выдачу в другую емкость заданного объема жидкости |
Цикл дозирования | Совокупность последовательных движений подвижных частей дозатора, необходимая для выдачи одной дозы (для одноканальных дозаторов), или одной дозы по каждому каналу (для многоканальных дозаторов), или для выполнения одной функции (для многофункциональных дозаторов) |
Эксплуатационный документ | Конструкторский документ, который в отдельности или в совокупности с другими документами определяет правила эксплуатации изделия и/или отражает сведения, удостоверяющие гарантированные изготовителем значения основных параметров и характеристик (свойств) изделия, гарантии и сведения по его эксплуатации в течение установленного срока службы |
(справочное)
Дозаторы подразделяют в соответствии с приведенными ниже признаками.
Б.1 В зависимости от степени механизации процесса формирования объема дозы:
- автоматические (с электрическим или пневматическим приводом);
- с ручным приводом.
Б.2 В зависимости от количества одновременно формируемых объемов доз:
- одноканальные;
- многоканальные (с общим или индивидуальным приводом для каждого канала).
Б.3 В зависимости от возможности изменения объема дозы:
- с фиксированным объемом (с одним или несколькими);
- с варьируемым объемом.
Б.4 В зависимости от места нахождения дозатора во время работы:
- удерживаемые в руке лаборанта;
- настольные (в том числе, устанавливаемые на сосуд или штатив).
Б.5 В зависимости от выполняемых функций:
- для отбора биопроб;
- для реактивов;
- для отбора и разбавления биопроб;
- многофункциональные.
Б.6 В зависимости от контакта с узлом дозирования жидкости:
- с воздушным промежутком;
- без воздушного промежутка.
(рекомендуемое)
ОСНОВНОЕ ОБОРУДОВАНИЕ, НЕОБХОДИМОЕ ДЛЯ ИСПЫТАНИЯ
ДОЗАТОРОВ, И ЕГО ХАРАКТЕРИСТИКИ
Основное оборудование, необходимое для испытания дозаторов, и его характеристики приведены в
таблице В.1.
Наименование прибора | Основные характеристики |
Термометр | Диапазон измерений - от 0 до 50 °C. Пределы допускаемой погрешности измерения - +/- 0,1 °C |
Психрометр | Диапазон измерения относительной влажности - от 40% до 98%. Пределы допускаемой относительной погрешности - +/- 3% |
Барометр | Диапазон измерений - от 80 до 110 кПа. Пределы допускаемой относительной погрешности - +/- 1% |
Вольтметр переменного тока | Диапазон измерений - от 50 до 300 В. Пределы допускаемой относительной погрешности - +/- 1,5% |
Амперметр | |
Регулятор напряжения | Диапазон выходных напряжений - от 198 до 242 В |
Секундомер | Пределы допускаемой погрешности - +1 с/ч |
Штангенциркуль | Предел измерения - 250 мм. Предел допускаемой основной погрешности - не более 0,1 мм |
Измерительная линейка | Предел измерений - 500 мм; 1000 мм; цена деления - 1 мм |
Вибростенд | |
Стенд имитации ударных нагрузок | |
Камера тепла и холода | |
Камера тепла и влаги | |
Шумомер | По стандартам государств, принявших настоящий стандарт |
Измеритель радиопомех | Диапазон частот - от 0,15 до 30 МГц. Предел измерений - 120 дБ |
Аналитические весы | Предел погрешности - не более 0,2 предела допускаемого отклонения среднеарифметического значения фактического объема дозы |
Динамометр | Диапазон измерений - от 0 до 10 Н. Пределы допускаемой погрешности - +/- 2% |
(справочное)
ЗНАЧЕНИЯ ПЛОТНОСТИ ДИСТИЛЛИРОВАННОЙ ВОДЫ
ПРИ ТЕМПЕРАТУРЕ ОТ 1 °C ДО 40 °C
Значения плотности дистиллированной воды при температуре от 1 °C до 40 °C приведены в
таблице Г.1.
Температура, °C | Плотность, г·см-3 |
1 | 0,999898 |
2 | 0,999940 |
3 | 0,999964 |
4 | 0,999972 |
5 | 0,999964 |
6 | 0,999940 |
7 | 0,999901 |
8 | 0,999848 |
9 | 0,999781 |
10 | 0,999699 |
11 | 0,999605 |
12 | 0,999497 |
13 | 0,999377 |
14 | 0,999244 |
15 | 0,999099 |
16 | 0,998943 |
17 | 0,998775 |
18 | 0,998595 |
19 | 0,998405 |
20 | 0,998204 |
21 | 0,997992 |
22 | 0,997770 |
23 | 0,997538 |
24 | 0,997296 |
25 | 0,997045 |
26 | 0,996783 |
27 | 0,996513 |
28 | 0,996233 |
29 | 0,995945 |
30 | 0,995647 |
31 | 0,995341 |
32 | 0,995026 |
33 | 0,994703 |
34 | 0,994371 |
35 | 0,994032 |
36 | 0,993684 |
37 | 0,993328 |
38 | 0,992965 |
39 | 0,992594 |
40 | 0,992215 |
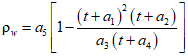
Для целей автоматизации рекомендуется использовать следующую формулу для определения плотности воды
[1]:

, (Г.1)
где t - температура воды, °C;
эмпирические коэффициенты уравнения:
a1 = - 3,983035 °C;
a2 = 301,797 °C;
a3 = 522528,9 °C;
a4 = 69,34881 °C;
a5 = 999,974950 кг·м-3.
Неопределенность расчета плотности воды в диапазоне от 0 °C до 40 °C по данной формуле не превышает 10-3 г·м-3 при k = 2:

. (Г.2)
(справочное)
ЗНАЧЕНИЕ КОЭФФИЦИЕНТА 
V | | | | |
1 | 15,95 | 31,91 | 79,79 | 159,58 |
2 | 4,42 | 6,28 | 9,97 | 14,12 |
3 | 2,92 | 3,73 | 5,11 | 6,47 |
4 | 2,37 | 2,87 | 3,67 | 4,40 |
5 | 2,09 | 2,45 | 3,00 | 3,48 |
6 | 1,92 | 2,20 | 2,62 | 2,98 |
7 | 1,80 | 2,04 | 2,38 | 2,66 |
8 | 1,71 | 1,92 | 2,20 | 2,44 |
9 | 1,65 | 1,83 | 2,08 | 2,28 |
10 | 1,59 | 1,75 | 1,98 | 2,15 |
11 | 1,55 | 1,70 | 1,90 | 2,06 |
12 | 1,52 | 1,65 | 1,83 | 1,98 |
13 | 1,49 | 1,61 | 1,78 | 1,91 |
14 | 1,46 | 1,58 | 1,73 | 1,85 |
15 | 1,44 | 1,55 | 1,69 | 1,81 |
16 | 1,42 | 1,52 | 1,66 | 1,76 |
17 | 1,40 | 1,50 | 1,63 | 1,73 |
18 | 1,38 | 1,48 | 1,60 | 1,70 |
19 | 1,37 | 1,46 | 1,58 | 1,67 |
20 | 1,36 | 1,44 | 1,56 | 1,64 |
21 | 1,35 | 1,43 | 1,54 | 1,62 |
22 | 1,34 | 1,42 | 1,52 | 1,60 |
23 | 1,33 | 1,40 | 1,50 | 1,58 |
24 | 1,32 | 1,39 | 1,49 | 1,56 |
25 | 1,31 | 1,38 | 1,47 | 1,54 |
26 | 1,30 | 1,37 | 1,46 | 1,53 |
27 | 1,29 | 1,36 | 1,45 | 1,51 |
28 | 1,29 | 1,35 | 1,44 | 1,50 |
29 | 1,28 | 1,34 | 1,43 | 1,49 |
30 | 1,27 | 1,34 | 1,42 | 1,48 |
35 | 1,25 | 1,30 | 1,38 | 1,43 |
40 | 1,23 | 1,28 | 1,34 | 1,39 |
45 | 1,21 | 1,26 | 1,32 | 1,36 |
50 | 1,20 | 1,24 | 1,30 | 1,34 |
60 | 1,18 | 1,22 | 1,27 | 1,30 |
70 | 1,16 | 1,20 | 1,24 | 1,27 |
80 | 1,15 | 1,18 | 1,22 | 1,25 |
90 | 1,14 | 1,17 | 1,21 | 1,23 |
100 | 1,13 | 1,16 | 1,19 | 1,22 |
Примечание - Значения коэффициентов  для 30 < V < 100, не указанные в настоящей таблице, определяют по табличным значениям линейной интерполяцией. |
| Статья M. Tanaka в журнале Metrologia, издательство IOP Publishing [(Bristol, UK), England] 2001, 38, p. 301 - 309 |
УДК 66.028:006.354 | |
Ключевые слова: медицинские лабораторные дозаторы, биологическая жидкость, объем, требования, методы испытаний, надежность |