Главная // Актуальные документы // ГОСТ (Государственный стандарт)СПРАВКА
Источник публикации
М.: ИПК Издательство стандартов, 2003
Примечание к документу
С 1 июля 2003 года до вступления в силу технических регламентов акты федеральных органов исполнительной власти в сфере технического регулирования носят рекомендательный характер и подлежат обязательному исполнению только в части, соответствующей целям, указанным в
пункте 1 статьи 46 Федерального закона от 27.12.2002 N 184-ФЗ.
Ограничение срока действия снято по Протоколу N 5-94 Межгосударственного совета по стандартизации, метрологии и сертификации ("ИУС", N 11-12, 1994).
Документ
введен в действие с 1 июля 1976 года.
Взамен ГОСТ 8984-59.
Название документа
"ГОСТ 8984-75. Межгосударственный стандарт. Силикагель-индикатор. Технические условия"
(утв. и введен в действие Постановлением Госстандарта СССР от 24.10.1975 N 2681)
(ред. от 01.07.1990)
"ГОСТ 8984-75. Межгосударственный стандарт. Силикагель-индикатор. Технические условия"
(утв. и введен в действие Постановлением Госстандарта СССР от 24.10.1975 N 2681)
(ред. от 01.07.1990)
Утвержден и введен в действие
Постановлением Государственного комитета
стандартов Совета Министров СССР
от 24 октября 1975 г. N 2681
МЕЖГОСУДАРСТВЕННЫЙ СТАНДАРТ
СИЛИКАГЕЛЬ-ИНДИКАТОР
ТЕХНИЧЕСКИЕ УСЛОВИЯ
Silica gel-indicator. Specifications
ГОСТ 8984-75
| | Список изменяющих документов (в ред. Изменения N 1, утв. в сентябре 1980 г., Изменения N 2, утв. в июле 1985 г., Изменения N 3, утв. в июле 1990 г.) | |
ОКП 21 6191 0000
Дата введения
1 июля 1976 года
1. РАЗРАБОТАН И ВНЕСЕН Министерством химической промышленности СССР
2. УТВЕРЖДЕН И ВВЕДЕН В ДЕЙСТВИЕ Постановлением Государственного комитета стандартов Совета Министров СССР от 24.10.75 N 2681
3. ВЗАМЕН ГОСТ 8984-59
4. ССЫЛОЧНЫЕ НОРМАТИВНО-ТЕХНИЧЕСКИЕ ДОКУМЕНТЫ
Обозначение НТД, на который дана ссылка | Номер пункта, подпункта |
| |
| |
| |
| |
| |
| |
| |
| |
| |
|
|
ГОСТ 24104-88 | |
5. Ограничение срока действия снято по протоколу N 5-94 Межгосударственного совета по стандартизации, метрологии и сертификации (ИУС 11-12-94)
6. ИЗДАНИЕ (сентябрь 2003 г.) с Изменениями N 1, 2, 3, утвержденными в сентябре 1980 г., июле 1985 г., июле 1990 г. (ИУС 12-80, 10-85, 10-90)
Настоящий стандарт распространяется на силикагель-индикатор, представляющий собой сухие зерна мелкопористого силикагеля, пропитанные растворами солей кобальта. Силикагель-индикатор применяется для контроля относительной влажности среды в замкнутом объеме по изменению его окраски, при производстве, транспортировании и хранении материалов, механизмов и деталей.
1. ТЕХНИЧЕСКИЕ ТРЕБОВАНИЯ
1.1а. Силикагель-индикатор должен быть изготовлен в соответствии с требованиями настоящего стандарта по технологическому регламенту, утвержденному в установленном порядке.
(Введен дополнительно, Изм. N 1).
1.1. По физико-химическим показателям силикагель-индикатор должен соответствовать нормам, указанным в табл. 1.
Таблица 1
Наименование показателя | Норма |
1. Цвет зерен | От синего до светло-голубого |
2. Массовая доля зерен размером 1,0 - 7,0 мм, %, не менее | 96 |
3. Влагоемкость силикагеля-индикатора, %, не менее, при 20 °C и относительной влажности, %: | |
20 | 8 |
35 | 13 |
50 | 20 |
(Измененная редакция, Изм. N 1).
1.2. Изменение цветности силикагеля-индикатора в зависимости от относительной влажности среды должно соответствовать табл. 2.
Таблица 2
|
Среда с относительной влажностью | Среда с относительной влажностью | Среда с относительной влажностью |
| | |
Допускается в продукте содержание зерен, не отвечающих шкале цветности, если общий фон его окраски остается в пределах шкалы.
1.3. При изменении окраски силикагеля-индикатора за счет его увлажнения на сиреневую или розовую его перед применением следует отрегенерировать сушкой при (120 +/- 5) °C до окрашивания в светло-синий или голубой цвет.
1а. ТРЕБОВАНИЯ БЕЗОПАСНОСТИ
1а.1. Предельно допустимая концентрация силикагеля-индикатора в воздухе рабочей зоны производственных помещений - 2 мг/м
3.
По степени воздействия на организм продукт относится к веществам 3-го класса опасности по
ГОСТ 12.1.007.
1а.2. При работе с силикагелем-индикатором следует применять индивидуальные средства защиты (респираторы "Лепесток", защитные очки), а также соблюдать меры личной гигиены. Не допускать попадания силикагеля-индикатора внутрь организма.
1а.3. Помещения, в которых проводятся работы с силикагелем-индикатором, должны быть оборудованы общей приточно-вытяжной механической вентиляцией, а в местах наибольшего выделения пыли - укрытиями с местной вытяжной вентиляцией.
Должна быть обеспечена максимальная герметизация технологического оборудования.
Разд. 1а. (Введен дополнительно, Изм. N 2).
2.1. Правила приемки - по
ГОСТ 3885. При этом партия комплектуется из силикагеля-индикатора, полученного с одной операции пропитки. Размер партии - не более 2000 кг.
Объем выборки - не менее 5% единиц упакованного продукта.
(Измененная редакция, Изм. N 3).
3.1. Пробы отбирают по
ГОСТ 3885. Масса точечной пробы должна быть не менее 0,05 кг, масса средней пробы - не менее 0,2 кг. Средняя проба хранению не подлежит.
Допускается пробы отбирать автоматическим пробоотборником при транспортировании продукта на укупоривание.
(Измененная редакция, Изм. N 2, 3).
3.2. Цвет зерен определяют визуально
3.3. Определение массовой доли зерен размером 1,0 - 7,0 мм
3.3.1. Применяемая аппаратура
Весы лабораторные общего назначения 4-го класса точности по ГОСТ 24104 <*> с наибольшим пределом взвешивания 500 г.
--------------------------------
Классификатор решетный типа РКФ с набором сит.
Полотна решетные типа 1а-10-1 и 1а-70-1.
Сита, изготовленные по черт. 1. Внутренняя поверхность сит должна быть гладкой без вмятин и повреждений, края отверстий не должны иметь зазубрин.
Сито
Черт. 1
3.3.2. Проведение испытания
50,0 г силикагеля-индикатора взвешивают и помещают на верхнее сито. Сита помещают снизу вверх от меньшего диаметра отверстий к большему. Снизу устанавливают поддон, сверху закрывают крышкой и производят рассев в течение 1 мин. По окончании рассева взвешивают остаток на сетке с отверстиями диаметром 1 мм.
3.3.1, 3.3.2. (Измененная редакция, Изм. N 2, 3).
3.3.3. Обработка результатов
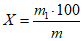
Массовую долю зерен размером 1,0 - 7,0 мм (X) в процентах вычисляют по формуле

,
где m - масса навески силикагеля, г;
m1 - масса остатка на сите с отверстиями диаметром 1 мм, г.
За результат испытания принимают среднеарифметическое двух параллельных определений, допускаемые расхождения между которыми не должны превышать 1% при доверительной вероятности P = 0,95.
(Измененная редакция, Изм. N 2).
3.4. Определение влагоемкости
3.4.1. Аппаратура, реактивы
Весы лабораторные общего назначения 2-го класса точности по ГОСТ 24104 с наибольшим пределом взвешивания 200 г.
Компрессор лабораторный или воздуходувка; установка для определения влагоемкости (черт. 2).
Увлажнительная установка
Черт. 2
Вата стеклянная.
(Измененная редакция, Изм. N 2, 3).
3.4.2. Подготовка к испытанию
3.4.2.1. Описание установки
Воздух из воздуходувки или компрессора поступает в систему увлажнения, которая состоит из склянки с водой 2 вместимостью не менее 0,5 дм3 для полного насыщения воздуха влагой и серии склянок с серной кислотой 3 вместимостью 0,5 дм3 для осушки воздуха до нужной относительной влажности. Для получения воздуха с определенной относительной влажностью его пропускают через серную кислоту следующих концентраций в процентах (по массе):
58 +/- 0,5 - для получения 20%-ной относительной влажности воздуха;
51 +/- 0,5 - для получения 35%-ной относительной влажности воздуха;
43 +/- 0,5 - для получения 50%-ной относительной влажности воздуха.
Кислоту заливают в склянки на половину их объема и проверяют на содержание моногидрата через каждые два определения. После системы увлажнения воздух через брызгоуловители
4 со стеклянной ватой (для улавливания брызг серной кислоты) поступает в динамические трубки
6 (черт. 3), закрепленные в штативе
7, и через реометр
8 выходит из системы. Влагоемкость определяют при (20 +/- 2) °C, для этого вся установка термостатируется. Температура фиксируется термометрами, помещенными в карман
5.
(Измененная редакция, Изм. N 1).
3.4.2.2. Режим работы установки:
а) при пуске установки сначала закрывают пробкой склянку 2, включают воздуходувку при положении трехходового крана 1, соединяющего линию от воздуходувки с атмосферой, открывают краны 9 на осушительных склянках и только тогда при помощи крана 1 устанавливают необходимую скорость подачи воздуха в установку;
б) при остановке сначала краном 1 соединяют склянку 2 с атмосферой, вынимают пробку из склянки 2, закрывают краны 9 и только тогда выключают воздуходувку;
в) при внезапной остановке сразу же закрывают краны 9, склянку 2 соединяют с атмосферой и отключают воздуходувку.
3.4.3. Проведение испытания
1,50 - 2,00 г силикагеля-индикатора, предварительно высушенного при (120 +/- 5) °C в течение 3 ч, взвешивают и помещают в динамические трубки (см. черт. 3). Воздуходувку включают и пускают воздух через систему увлажнения в динамические трубки. Поддерживают скорость пропускания воздуха 2 - 2,5 дм3/мин. Трубки периодически взвешивают, первое взвешивание производят через 2 ч от начала испытания, последующие через каждый час.
1 - дно с отверстиями; 2 - стеклоткань
Черт. 3
Определение считают законченным, когда допускаемые расхождения между двумя последовательными взвешиваниями не превышают 0,2%.
(Измененная редакция, Изм. N 2, 3).
3.4.4. Обработка результатов
Влагоемкость (X1) в процентах вычисляют по формуле

,
где m1 - масса силикагеля после определения, г;
m - масса навески силикагеля, г.
3.5. Определение цветности
После окончания определения влагоемкости сравнивают цвет испытуемого силикагеля-индикатора, находящегося в динамических трубках, со шкалой цветности. Силикагель-индикатор считается выдержавшим испытание, если цветность его при относительной влажности 20, 35 и 50% соответствует шкале цветности.
4. УПАКОВКА, МАРКИРОВКА, ТРАНСПОРТИРОВАНИЕ И ХРАНЕНИЕ
4.1. Силикагель-индикатор упаковывают и маркируют в соответствии с
ГОСТ 3885.
Вид упаковки: 2-7, 2-9, 6-1.
Группа фасовки: VI, VII.
В каждую банку между вкладышем и крышкой вкладывают этикетку.
На пакеты с силикагелем-индикатором прикрепляют этикетку или наносят печать. Печать должна быть четкой, незагрязненной, цвет краски должен быть контрастным цвету пакета.
На этикетке или в нанесенной на пакет печати указывают:
- наименование предприятия-изготовителя и его товарный знак;
- наименование продукта;
- номер партии;
- дату изготовления;
- массу нетто;
- обозначение настоящего стандарта;
- гарантийный срок хранения. На этикетку наносят надпись "Беречь от влаги".
В качестве транспортной тары применяют плотные ящики по
ГОСТ 2991 типов I, II, III, IV и мешки по
ГОСТ 2226.
Банки помещают в ящики, а пакеты - в мешки.
(Измененная редакция, Изм. N 2, 3).
4.2. Транспортная маркировка - по
ГОСТ 14192 с нанесением манипуляционного знака "Беречь от влаги".
Дополнительно наносят следующие обозначения, характеризующие продукцию:
- наименование предприятия-изготовителя и его товарный знак;
- наименование продукта;
- номер партии;
- дату изготовления;
- массу брутто и нетто;
- обозначение настоящего стандарта;
- гарантийный срок хранения.
4.3. Силикагель-индикатор перевозят транспортом всех видов в крытых транспортных средствах в соответствии с правилами, действующими на транспорте данного вида.
Продукт транспортируют мелкими отправками.
4.4. Силикагель-индикатор хранят в упаковке изготовителя в сухих крытых складских помещениях, не допуская воздействия сильных окислителей или восстановителей в жидком и газовом состоянии.
4.2 - 4.4. (Измененная редакция, Изм. N 2).
5.1. Изготовитель гарантирует соответствие силикагель-индикатора требованиям настоящего стандарта при соблюдении условий хранения и транспортирования.
(Измененная редакция, Изм. N 3).
5.2. Гарантийный срок хранения силикагель-индикатора - три года со дня изготовления.
(Измененная редакция, Изм. N 2).
Разд. 6. (Исключен, Изм. N 2).