Главная // Актуальные документы // ГОСТ (Государственный стандарт)СПРАВКА
Источник публикации
М.: ФГБУ "РСТ", 2022
Примечание к документу
Документ
введен в действие с 01.03.2023.
Название документа
"ГОСТ 20298-2022. Межгосударственный стандарт. Смолы ионообменные. Катиониты. Технические условия"
(введен в действие Приказом Росстандарта от 27.09.2022 N 1003-ст)
"ГОСТ 20298-2022. Межгосударственный стандарт. Смолы ионообменные. Катиониты. Технические условия"
(введен в действие Приказом Росстандарта от 27.09.2022 N 1003-ст)
Приказом Федерального агентства
по техническому регулированию
и метрологии
от 27 сентября 2022 г. N 1003-ст
МЕЖГОСУДАРСТВЕННЫЙ СТАНДАРТ
СМОЛЫ ИОНООБМЕННЫЕ.
КАТИОНИТЫ
ТЕХНИЧЕСКИЕ УСЛОВИЯ
Ion-exchange resins. Cation exchangers. Specifications
ГОСТ 20298-2022
Дата введения
1 марта 2023 года
Цели, основные принципы и общие правила проведения работ по межгосударственной стандартизации установлены
ГОСТ 1.0 "Межгосударственная система стандартизации. Основные положения" и
ГОСТ 1.2 "Межгосударственная система стандартизации. Стандарты межгосударственные, правила и рекомендации по межгосударственной стандартизации. Правила разработки, принятия, обновления и отмены"
1 РАЗРАБОТАН Акционерным обществом "Институт пластмасс имени Г.С. Петрова"
2 ВНЕСЕН Федеральным агентством по техническому регулированию и метрологии
3 ПРИНЯТ Межгосударственным советом по стандартизации, метрологии и сертификации (протокол от 14 июля 2022 г. N 61)
За принятие проголосовали:
Краткое наименование страны по МК (ИСО 3166) 004-97 | Код страны по МК (ИСО 3166) 004-97 | Сокращенное наименование национального органа по стандартизации |
Армения | AM | ЗАО "Национальный орган по стандартизации и метрологии" Республики Армения |
Беларусь | BY | Госстандарт Республики Беларусь |
Казахстан | KZ | Госстандарт Республики Казахстан |
Киргизия | KG | Кыргызстандарт |
Россия | RU | Росстандарт |
Узбекистан | UZ | Узстандарт |
4 Приказом Федерального агентства по техническому регулированию и метрологии от 27 сентября 2022 г. N 1003-ст межгосударственный стандарт ГОСТ 20298-2022 введен в действие в качестве национального стандарта Российской Федерации с 1 марта 2023 г.
Информация о введении в действие (прекращении действия) настоящего стандарта и изменений к нему на территории указанных выше государств публикуется в указателях национальных стандартов, издаваемых в этих государствах, а также в сети Интернет на сайтах соответствующих национальных органов по стандартизации.
В случае пересмотра, изменения или отмены настоящего стандарта соответствующая информация будет опубликована на официальном интернет-сайте Межгосударственного совета по стандартизации, метрологии и сертификации в каталоге "Межгосударственные стандарты"
Настоящий стандарт распространяется на сильнокислотные и слабокислотные катиониты, представляющие собой высокомолекулярные полимерные соединения трехмерной гелевой и макропористой структуры, содержащие функциональные группы кислотного характера, способные к реакциям катионного обмена. Катиониты нерастворимы в воде, растворах минеральных кислот, щелочей и в органических растворителях.
Катиониты предназначены для очистки, извлечения, концентрирования и разделения веществ в различных областях промышленности, для аналитических целей, а также в качестве катализаторов в органическом синтезе.
Применение катионитов в пищевой или фармацевтической промышленности должно быть оформлено в установленном порядке в соответствии с действующим законодательством.
В настоящем стандарте использованы нормативные ссылки на следующие межгосударственные стандарты:
ГОСТ 8.579 Государственная система обеспечения единства измерений. Требования к количеству фасованных товаров при их производстве, фасовании, продаже и импорте
ГОСТ 12.1.004 Система стандартов безопасности труда. Пожарная безопасность. Общие требования
ГОСТ 12.4.011 Система стандартов безопасности труда. Средства защиты работающих. Общие требования и классификация
ГОСТ 12.4.021 Система стандартов безопасности труда. Системы вентиляционные. Общие требования
ГОСТ 17.2.3.01 Охрана природы. Атмосфера. Правила контроля качества воздуха населенных пунктов
ГОСТ 17.2.3.02 <1> Правила установления допустимых выбросов загрязняющих веществ промышленными предприятиями
--------------------------------
<1> В Российской Федерации действует
ГОСТ Р 58577-2019 "Правила установления нормативов допустимых выбросов загрязняющих веществ проектируемыми и действующими хозяйственными субъектами и методы определения этих нормативов".
ГОСТ 1770 (ИСО 1042-83, ИСО 4788-80) Посуда мерная лабораторная стеклянная. Цилиндры, мензурки, колбы, пробирки. Общие технические условия
ГОСТ 2517 Нефть и нефтепродукты. Методы отбора проб
ГОСТ 4204 Реактивы. Кислота серная. Технические условия
ГОСТ 4328 Реактивы. Натрия гидроокись. Технические условия
ГОСТ 4919.1 Реактивы и особо чистые вещества. Методы приготовления растворов индикаторов
ГОСТ 6259 Реактивы. Глицерин. Технические условия
ГОСТ 6613 Сетки проволочные тканые с квадратными ячейками. Технические условия
ГОСТ 6709 <1> Вода дистиллированная. Технические условия
--------------------------------
ГОСТ 9980.2 Материалы лакокрасочные и сырье для них. Отбор проб, контроль и подготовка образцов для испытаний
ГОСТ 10896 Иониты. Подготовка к испытанию
ГОСТ 10898.1 Иониты. Методы определения влаги
ГОСТ 10898.4 Иониты. Метод определения удельного объема
ГОСТ 10898.5 Иониты. Метод определения удельной поверхности
ГОСТ 10900 Иониты. Методы определения гранулометрического состава
ГОСТ 12868 Иониты. Методы определения железа
ГОСТ 14919 Электроплиты, электроплитки и жарочные электрошкафы бытовые. Общие технические условия
ГОСТ 15615 Иониты. Метод определения содержания ионов хлора
ГОСТ 17338 Иониты. Методы определения осмотической стабильности
ГОСТ 19433 Грузы опасные. Классификация и маркировка
ГОСТ 20490 Реактивы. Калий марганцовокислый. Технические условия
ГОСТ 20255.1 Иониты. Метод определения статической обменной емкости
ГОСТ 20255.2-89 Иониты. Методы определения динамической обменной емкости
ГОСТ 25336 Посуда и оборудование лабораторные стеклянные. Типы, основные параметры и размеры
ГОСТ 25794.1 Реактивы. Методы приготовления титрованных растворов для кислотно-основного титрования
ГОСТ 25794.2 Реактивы. Методы приготовления титрованных растворов для окислительно-восстановительного титрования
ГОСТ 29169 (ИСО 648-77) Посуда лабораторная стеклянная. Пипетки с одной отметкой
ГОСТ 29251 (ИСО 385-1-84) Посуда лабораторная стеклянная. Бюретки. Часть 1. Общие требования
ГОСТ 30090 Мешки и мешочные ткани. Общие технические условия
ГОСТ 32521 Мешки из полимерных пленок. Общие технические условия
ГОСТ 32522 Мешки тканые полипропиленовые. Общие технические условия
ГОСТ 34264 Упаковка транспортная полимерная. Общие технические условия
Примечание - При пользовании настоящим стандартом целесообразно проверить действие ссылочных стандартов и классификаторов на официальном интернет-сайте Межгосударственного совета по стандартизации, метрологии и сертификации (www.easc.by) или по указателям национальных стандартов, издаваемым в государствах, указанных в
предисловии, или на официальных сайтах соответствующих национальных органов по стандартизации. Если на документ дана недатированная ссылка, то следует использовать документ, действующий на текущий момент, с учетом всех внесенных в него изменений. Если заменен ссылочный документ, на который дана датированная ссылка, то следует использовать указанную версию этого документа. Если после принятия настоящего стандарта в ссылочный документ, на который дана датированная ссылка, внесено изменение, затрагивающее положение, на которое дана ссылка, то это положение применяется без учета данного изменения. Если ссылочный документ отменен без замены, то положение, в котором дана ссылка на него, применяется в части, не затрагивающей эту ссылку.
3.1 В зависимости от свойств и назначения устанавливают марки катионитов, приведенные в
таблице 1.
Марка | Функциональные группы | Ионная форма катионита при поставке | Тип | Структура | Рекомендуемые области применения |
Сильнокислотные |
КУ-2-8 | Сульфогруппа | Водородная | Полимеризационный | Гелевая | Водоподготовка, гидрометаллургия, гальванотехника, очистка сточных вод |
КУ-2-8чС | Глубокая очистка воды, разделение различных элементов, получение особо чистых веществ в пищевой, медицинской и фармацевтической промышленности |
КУ-2-20 | Очистка растворов антибиотиков |
КУ-1 | Сульфо- и фенольная группы | Поликонденсационный | Очистка гидролизатов растительного сырья, водоподготовка |
КУ-23 в модификациях: 10/60 15/100 30/100 | Сульфогруппа | Солевая | Полимеризационный | Макропористая | Водоподготовка, разделение и выделение цветных и редких металлов, гальванотехника, разделение и очистка различных веществ в химической промышленности, органический катализ |
Слабокислотные |
КБ-2 | Карбоксильная группа | Натриевая | Полимеризационный | Гелевая | Сорбция антибиотиков из растворов |
КБ-2Н-2,5 |
КБ-4 | Удаление бикарбонатной жесткости воды, селективное удаление малых количеств двухвалентных катионов, для удаления стрептомицина из нативных растворов |
КБ-4П-2 | Очистка воды |
4.1 Катиониты изготовляют в соответствии с настоящим стандартом по технологическим регламентам, утвержденным в установленном порядке.
4.2 Характеристики
4.2.1 Катиониты должны соответствовать требованиям и нормам, указанным в
таблицах 2 и
3.
Наименование показателя | Норма для марки | Метод испытания |
КУ-2-8 | КУ-2-8чС | КУ-2-20 | КУ-1 | КУ-23 |
10/60 | 15/100 | 30/100 |
1 Внешний вид | Сферические зерна от желтого до темно-коричневого цвета | Сферические зерна от желто-коричневого до черного цвета | Зерна неправильной формы черного или темно-коричневого цвета | Сферические зерна от светло-серого до темно-серого цвета | По 7.2 настоящего стандарта |
Посторонние примеси не допускаются |
2 Гранулометрический состав: | | | | | | По ГОСТ 10900 и 7.3 настоящего стандарта |
а) размер зерен, мм | 0,315 - 1,250 | 0,400 - 1,250 | 0,315 - 1,250 | 0,400 - 2,000 | 0,315 - 1,250 |
б) объемная доля рабочей фракции, %, не менее | 96 | 96 | 95 | 92 | 95 | 95 | 96 |
в) эффективный размер зерен, мм | 0,40 - 0,55 | 0,45 - 0,65 | Не определяют |
г) коэффициент однородности, не более | 1,7 | 1,7 |
3 Массовая доля влаги, % | 48 - 54 | 30 - 40 | 45 - 55 | 50 - 70 | По ГОСТ 10898.1 |
4 Удельный объем, в H-форме, см 3/г, не более | 2,6 | 2,5 | 1,9 | 3,2 | 4,0 | 3,7 | 3,3 | По ГОСТ 10898.4 и 7.4 настоящего стандарта |
5 Удельная поверхность, м2/г | Не определяют | 5 - 25 | 25 - 40 | 40 - 70 | По ГОСТ 10898.5 |
6 Полная статическая обменная емкость, ммоль/см3, не менее | 1,90 | 1,90 | 2,20 | 1,35 | 1,10 | 1,25 | 1,00 | По ГОСТ 20255.1 |
7 Динамическая обменная емкость, моль/м3, не менее: | | | | | | | | По ГОСТ 20255.2 |
- с полной регенерацией ионита | Не определяют | 1600 | Не определяют | 565 | Не определяют | |
- с заданным расходом регенерирующего вещества | 450 | Не определяют | 410 | 400 | Не определяют | |
8 Окисляемость фильтрата в пересчете на кислород, мг/г, не более | Не определяют | 0,5 | Не определяют | 1,8 | Не определяют | По 7.5 настоящего стандарта |
9 Осмотическая стабильность, %, не менее | 94,5 | 96,0 | 92,0 | 93,0 | 90,0 | 96,0 | По ГОСТ 17338 и 7.6 настоящего стандарта |
10 Значение pH фильтрата, не менее | Не определяют | 4,50 | Не определяют | По 7.7 настоящего стандарта |
11 Массовая доля железа, %, не более | Не определяют | 0,03 | Не определяют | По ГОСТ 12868 |
12 Массовая концентрация ионов хлора, мг/см3, не более | Не определяют | 0,0015 | Не определяют | По ГОСТ 15615 |
13 Сорбционная емкость по стрептомицину, мкг/г, не более | Не определяют | 6000 | Не определяют | По 7.8 настоящего стандарта |
Примечания 1 При выражении полной статической обменной емкости и динамической обменной емкости катионитов в ммоль/см3 и в моль/м3, соответственно, под словом "моль" имеется в виду количество вещества структурных элементов типа Na+, K+, 1/2 Ca2+, 1/2 Mg2+ и т.д., участвующих в реакциях катионного обмена. 2 Катионит марки КУ-23 модификации 15/100, предназначенный для производства электроноионообменников, выпускают с зернами размером от 0,400 до 1,250 мм. |
Наименование показателя | Норма для марки | Метод испытания |
КБ-2 | КБ-2Н-2,5 | КБ-4 | КБ-4П-2 |
1 Внешний вид | Сферические зерна белого цвета | Сферические зерна от белого до желтого или розового цвета | По 7.2 настоящего стандарта |
2 Гранулометрический состав: | | | | | По ГОСТ 10900 и 7.3 настоящего стандарта |
а) размер зерен, мм | 0,315 - 1,600 |
б) объемная доля рабочей фракции, %, не менее | 93 | 90 | 95 |
в) эффективный размер зерен, мм, не более | 0,5 | 0,6 |
г) коэффициент однородности, не более | 2,5 | 2,3 | 2,5 |
3 Массовая доля влаги, % | 70 - 80 | 55 - 65 | 65 - 75 | По ГОСТ 10898.1 |
4 Удельный объем, см 3/г, не более | | | | | По ГОСТ 10898.4 и 7.4 настоящего стандарта |
а) в H-форме | 4,0 | 2,5 | 2,8 |
б) в Na-форме | 9,0 | 7,5 | 4,0 | 6,0 |
5 Полная статическая обменная емкость, ммоль/см 3, не менее | 2,50 | 3,00 | 3,50 | По ГОСТ 20255.1 |
6 Окисляемость фильтрата в пересчете на кислород, мг/г, не более | 1,0 | 0,9 | Не определяют | По 7.5 настоящего стандарта |
7 Осмотическая стабильность, %, не менее | 60,0 | 90,0 | 60,0 | 75,0 | По ГОСТ 17338 и 7.6 настоящего стандарта |
8 Сорбционная емкость по стрептомицину, мкг/г, не более | 1000000 | 1100000 | Не определяют | По 7.8 настоящего стандарта |
Примечания 1 При выражении полной статической обменной емкости катионитов в ммоль/см3 под словом "моль" имеется в виду количество вещества структурных элементов типа Na+, K+, 1/2 Ca2+, 1/2 Mg2+ и т.д., участвующих в реакциях катионного обмена. 2 При определении показателя 7 для катионитов марок КБ-2 и КБ-2Н-2,5 гранулы, имеющие многогранники неправильной формы в центре, следует считать целыми. |
4.3 Маркировка
4.3.1 При маркировке следует соблюдать нормы законодательства, действующего в каждом из государств - участников соглашения и устанавливающего порядок маркирования продукции на государственном языке.
4.3.2 Транспортная маркировка - по
ГОСТ 14192 с нанесением манипуляционных знаков "Беречь от солнечных лучей" и "Беречь от влаги".
4.3.3 Катиониты не относят к опасным грузам и не классифицируют по
ГОСТ 19433.
4.3.4 Маркировка, характеризующая упакованную продукцию, должна соответствовать требованиям страны-изготовителя и содержать:
- наименование предприятия-изготовителя, его товарный знак и юридический адрес;
- наименование и обозначение катионита;
- номер партии;
- массу нетто или объем партии;
- дату изготовления;
- обозначение настоящего стандарта.
4.4 Упаковка
4.4.1 Катиониты упаковывают:
- в мешки технические из химических нитей по
ГОСТ 30090 с полиэтиленовым вкладышем;
- мягкие специализированные контейнеры типа МКР по документу по стандартизации;
- полиэтиленовые бочки по документу по стандартизации;
Полиэтиленовые мешки заваривают, мешки технические из химических нитей зашивают машинным способом.
Полиэтиленовые бочки, барабаны, фляги должны быть плотно закрыты и опломбированы.
По требованию потребителя продукция в полиэтиленовой таре может быть дополнительно упакована в деревянные обрешетки.
4.4.2 Допускается применение других видов упаковки, обеспечивающих сохранность катионитов при транспортировании и хранении.
4.4.3 При упаковывании катионита в мешки масса нетто должна быть не более 30 кг, при упаковывании в контейнеры масса нетто определяется типом контейнера.
Предел допускаемого отрицательного отклонения массы нетто от номинального количества - по
ГОСТ 8.579.
5 Требования безопасности и охраны окружающей среды
5.1 Катиониты являются негорючими, невзрывоопасными, невоспламеняющимися продуктами, не оказывают токсического воздействия на организм человека и не представляют опасность для окружающей среды. Работы с катионитами можно проводить в обычных условиях.
5.2 При производстве и применении катионитов следует соблюдать требования санитарных
правил [1].
5.3 Производство катионитов осуществляют в помещениях, оборудованных общеобменной приточно-вытяжной вентиляцией, обеспечивающей концентрацию вредных веществ в воздухе рабочей зоны производственных помещений, не превышающую предельно-допустимую, указанную в санитарных
правилах и нормах [2].
Система вентиляции производственных, складских и вспомогательных помещений должна отвечать требованиям
ГОСТ 12.4.021.
5.4 Производственный персонал должен быть обеспечен спецодеждой и индивидуальными средствами защиты в соответствии с
ГОСТ 12.4.011 и типовыми отраслевыми нормативами.
5.5 Персонал, занятый в производстве катионитов и при работе с ними, должен проходить предварительные при поступлении на работу и периодические медицинские осмотры в соответствии с порядком, установленным в действующем законодательстве государств - участников.
5.6 Общие требования по обеспечению пожаробезопасности при производстве катионитов и при работе с ними - по
ГОСТ 12.1.004 и
нормам пожарной безопасности
[3].
При возникновении пожара используют средства пожаротушения - воздушно-механическую пену, тонкораспыленную воду, порошковые и газовые огнетушители.
В производственных помещениях должна быть обеспечена герметизация оборудования.
6.1 Катиониты принимают партиями. Партией считают количество катионита одной марки, однородного по качеству и сопровождаемого одним документом о качестве.
Масса партии не более 10 т.
Каждая партия катионита должна сопровождаться документом, удостоверяющим соответствие продукта требованиям настоящего стандарта.
6.2 В документе о качестве указывают:
- наименование предприятия-изготовителя и его товарный знак;
- наименование и марку катионита;
- номер партии;
- дату изготовления;
- массу нетто или объем партии;
- количество мест в партии;
- результаты проведенных испытаний или подтверждение о соответствии качества партии катионита требованиям настоящего стандарта;
- обозначение настоящего стандарта.
6.3 Объем выборки для контроля качества партии - 10% упаковочных единиц от партии. При упаковывании катионита в контейнеры разового использования пробы следует отбирать из каждого контейнера.
6.4 Испытания катионитов всех марок по показателям 1; 2а); 2б) и 3
таблиц 2 и
3 изготовитель проводит на каждой партии.
6.5 При получении неудовлетворительных результатов испытаний хотя бы по одному из показателей по нему проводят повторные испытания пробы, отобранной от удвоенной выборки той же партии или на удвоенной пробе.
Результаты повторных испытаний распространяются на всю партию.
7.1 Общие указания
7.1.1 Отбор проб
Пробы катионита отбирают из упаковочных единиц, отобранных по
6.3, ручными многоуровневыми пробоотборниками по
ГОСТ 9980.2,
ГОСТ 2517, представляющими собой щупы, трубки из нержавеющей стали, полимерного или другого коррозионностойкого материала длиной до 1000 мм, диаметром от 20 до 25 мм.
Пробоотборник погружают до дна мешка, бочки (бидона, фляги) или другой упаковочной единицы по вертикальной оси.
Число проб, взятых с помощью пробоотборника из каждой упаковки, определяется в зависимости от массы упакованной продукции (при массе более 100 кг следует отобрать не менее трех проб).
Отобранные пробы соединяют, тщательно перемешивают и методом квартования отбирают среднюю пробу массой не менее 0,5 кг. Среднюю пробу помещают в чистую, сухую, плотно закрывающуюся банку или в полиэтиленовый пакет, который заваривают. На банку или пакет наклеивают этикетку с наименованием и маркой продукта, номером партии и датой отбора пробы.
Перед каждым испытанием среднюю пробу следует тщательно перемешать.
Допускается применять пробоотборники любой конструкции, изготовленные из материала, устойчивого к действию катионита, позволяющие проводить отбор проб на любой глубине и обеспечивающие сохранность свойств отобранной пробы при поднятии пробоотборника.
7.1.2 Измерительное оборудование готовят к работе в соответствии с требованиями эксплуатационной документации.
7.1.3 Допускается применение других средств измерения с метрологическими характеристиками и оборудования с техническими характеристиками не хуже, а также реактивов по качеству не ниже указанных в настоящем стандарте.
Метрологическое обеспечение используемых средств измерений и испытательного оборудования осуществляют в соответствии с действующим законодательством.
7.1.4 Требования к условиям окружающей среды
При выполнении измерений, если нет других указаний, следует соблюдать следующие условия:
- температура окружающего воздуха от 15 °C до 25 °C;
- относительная влажность воздуха не более 80%;
- напряжение питания сети (230 +/- 23) В с частотой (50 +/- 1) Гц.
7.2 Внешний вид катионита определяют визуально без применения увеличительных приборов. Посторонние примеси не допускаются.
Примечание - В катионитах марок КУ-2-8, КУ-2-8чС и КУ-2-20 допускается наличие единичных белых зерен макропористой структуры.
7.3 Гранулометрический состав определяют по
ГОСТ 10900 методом мокрого рассева.
7.4 Удельный объем определяют по
ГОСТ 10898.4, при этом в случае определения сорбционной емкости по стрептомицину карбоксильные катиониты (КБ) в Na-форме после определения удельного объема отмывают дистиллированной водой до pH 7,0 - 7,2, а затем подсушивают на воздухе в течение 6 ч.
Катионит марки КУ-2-8чС подготовке к испытанию по ГОСТ 10896 не подвергают.
7.5 Определение окисляемости фильтрата в пересчете на кислород
7.5.1 Средства измерений, оборудование, посуда, реактивы
Секундомер с точностью показаний 0,2 с.
Электроплита бытовая с закрытой спиралью любого типа с регулятором температуры по
ГОСТ 14919.
Колба мерная 2-1000-2, 2а-1000-2 по
ГОСТ 1770.
Пипетки 2-2-1, 2-2-5, 2-2-10, 2-2-20, 2-2-25, 2-2-100 по
ГОСТ 29169.
Цилиндры 1-10-2, 1-25-2, 1-500-2, 4-100-2 по
ГОСТ 1770.
Вода дистиллированная или деминерализованная, отвечающая требованиям
ГОСТ 6709.
Вода дистиллированная подкисленная; готовят следующим образом: к 1 дм3 дистиллированной воды добавляют 100 см3 серной кислоты, разбавленной дистиллированной водой в соотношении 1:3, смесь кипятят в течение 10 мин, затем прибавляют раствор марганцовокислого калия до устойчивой слабо-розовой окраски.
Калий марганцовокислый по
ГОСТ 20490, квалификации х.ч. или стандарт-титр (фиксанал), по документу по стандартизации, раствор концентрации
c (1/5 KMnO
4) = 0,1 моль/дм
3 готовят по
ГОСТ 25794.2 или в соответствии с инструкцией на стандарт-титр соответственно; коэффициент поправки определяют по
ГОСТ 25794.2; раствор концентрации
c (1/5 KMnO
4) = 0,01 моль/дм
3 готовят точным разбавлением раствора концентрации
c (1/5 KMnO
4) = 0,1 моль/дм
3, приготовленного по
ГОСТ 25794.2 раствор применяют свежеприготовленным.
Кислота серная по
ГОСТ 4204, квалификации х.ч., разбавленная дистиллированной водой в соотношении 1:3; в приготовленный раствор добавляют по каплям раствор марганцовокислого калия до устойчивой розовой окраски. Раствор хранят в стеклянной емкости не более 6 мес, после обесцвечивания, появления опалесценции, выпадения осадка раствор не применяют.
Кислота щавелевая, стандарт-титр (фиксанал) по документу по стандартизации, раствор концентрации c (1/2 H2C2O4·2H2O) = 0,1 моль/дм3, готовят в соответствии с инструкцией к стандарт-титру; раствор концентрации c (1/2 H2C2O4·2H2O) = 0,01 моль/дм3 готовят точным разбавлением раствора концентрации c (1/2 H2C2O4·2H2O) = 0,1 моль/дм3, применяют свежеприготовленным.
Натрия гидроокись по
ГОСТ 4328, х.ч.; раствор концентрации
c (NaOH) = 0,1 моль/дм
3, готовят по
ГОСТ 25794.1.
Бумага индикаторная "конго" красная.
7.5.2 Подготовка к испытанию
Подготовку катионита к определению окисляемости фильтрата проводят по ГОСТ 20255.1 и ГОСТ 10896.
При подготовке катионита марки КУ-2-8чС руководствуются требованиями только ГОСТ 20255.1.
В подготовленных образцах катионитов определяют массовую долю влаги по ГОСТ 10898.1.
Фильтрат для определения окисляемости получают по ГОСТ 20255.1 или используют готовый фильтрат после определения полной статической обменной емкости.
7.5.3 Проведение испытания
Пипеткой отбирают 25 см3 фильтрата, полученного при определении полной статической обменной емкости, помещают в коническую колбу вместимостью 250 см3 и добавляют 75 см3 подкисленной дистиллированной воды, используя цилиндр. Содержимое колбы нейтрализуют раствором серной кислоты до перехода цвета индикаторной бумаги "конго" красная в синий цвет, затем пипетками прибавляют еще 5 см3 раствора серной кислоты и 10 см3 раствора марганцовокислого калия.
Колбу помещают на электроплитку с асбестовой сеткой и кипятят раствор в течение 10 мин, затем охлаждают раствор до температуры окружающей среды, пипеткой прибавляют в колбу 10 см3 раствора щавелевой кислоты и обесцветившийся раствор титруют раствором марганцовокислого калия до устойчивой слабо-розовой окраски.
Если раствор обесцветится при кипячении, определение повторяют, взяв пипетками

объем раствора марганцовокислого калия (20 см
3) и такой же объем раствора щавелевой кислоты.
В тех же условиях проводят контрольный опыт, используя 25 см3 раствора гидроокиси натрия и те же объемы реактивов.
7.5.4 Обработка результатов
Окисляемость фильтрата в пересчете на кислород X, мг/г, вычисляют по формуле

, (1)
где K - коэффициент пересчета на общий объем фильтрата (для слабокислотного катионита - 8, для сильнокислотного - 4);
V - объем раствора марганцовокислого калия концентрации точно c (1/5 KMnO4) = 0,01 моль/дм3, израсходованного на титрование испытуемой пробы, см3;
V1 - объем раствора марганцовокислого калия концентрации точно c (1/5 KMnO4) = 0,01 моль/дм3, израсходованного на титрование в контрольном опыте, см3;
0,08 - масса кислорода, соответствующая 1 см3 раствора марганцовокислого калия, концентрации точно c (1/5 KMnO4) = 0,01 моль/дм3, мг;
mk - масса катионита, израсходованного при определении полной статической обменной емкости по ГОСТ 20255.1, г;
W - массовая доля влаги в катионите, определенная по ГОСТ 10898.1, %.
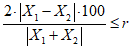
За результат испытания принимают среднеарифметическое значение результатов двух параллельных определений, если выполняется условие приемлемости:

,
где X1 и X2 - результаты параллельных определений окисляемости фильтрата в пересчете на кислород, полученных из одного фильтрата;
r - значение предела повторяемости, %.
r = 22% при доверительной вероятности P = 0,95.
Результат округляют до второго десятичного знака.
7.6 Осмотическую стабильность определяют по
ГОСТ 173383 методом с двумя циклами обработки.
7.7 Определение значения pH фильтрата
7.7.1 Средства измерений, оборудование, посуда, реактивы
Весы лабораторные, обеспечивающие взвешивание в граммах с точностью до второго десятичного знака.
Иономер утвержденного типа в комплекте со стеклянным и хлорсеребряным электродами.
Секундомер с точностью показаний 0,2 с.
Колонка стеклянная для испытаний по методу с полной регенерацией ионита по ГОСТ 20255.2-89 (раздел 3).
Стакан вместимостью 250 см
3 любого исполнения по
ГОСТ 25336.
Вода дистиллированная или деминерализованная, соответствующая
ГОСТ 6709.
7.7.2 Подготовка к испытанию
Определяют массовую долю влаги в катионите по ГОСТ 10898.1.
Подготовку катионита к испытаниям по ГОСТ 10896 не проводят.
7.7.3 Проведение испытания
Взвешивают (20,00 +/- 0,10) г катионита в пересчете на сухой продукт, помещают его в стакан вместимостью 250 см3, добавляют 120 см3 дистиллированной воды и оставляют на 1 ч для набухания.
Набухший катионит с водой, которой он был залит, переносят в колонку. Воду из колонки сливают, оставляя над уровнем катионита слой толщиной от 1 до 2 см, и пропускают через катионит 200 см3 дистиллированной воды со скоростью 2 дм3/ч.
Первые 150 см3 фильтрата отбрасывают. Для определения pH отбирают последующие 50 см3 фильтрата.
pH фильтрата определяют, используя pH-метр.
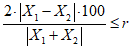
7.7.4 Обработка результатов
За результат испытания принимают среднеарифметическое значение двух параллельных определений, если выполняется условие приемлемости

,
где X1 и X2 - результаты параллельных определений pH фильтрата;
r - значение предела повторяемости, %.
r = 5% при доверительной вероятности P = 0,95.
Результат округляют до второго десятичного знака.
7.8 Определение сорбционной емкости по стрептомицину
7.8.1 Средства измерений, оборудование, посуда, реактивы
Весы лабораторные, обеспечивающие взвешивание в граммах с точностью до четвертого десятичного знака.
Секундомер с точностью показаний 0,2 с.
Фотометр, спектрофотометр, фотоэлектроколориметр или фотометрический анализатор утвержденного типа, позволяющие измерять оптическую плотность растворов в диапазоне от 320 до 900 нм в оптических кюветах с толщиной поглощающего свет слоя 30 мм.
Лабораторный автотрансформатор типа ЛАТР-2М или РНО 250-2М.
Мотор лабораторный.
Водяная баня.
Термостат водяной, обеспечивающий поддержание температуры (25 +/- 1) °C.
Мешалка стеклянная пропеллерного типа.
Сито с контрольными сетками 0315К и 1,25К по
ГОСТ 6613.
Колбы 1(2)-50-2, 1(2)-100-2, 1(2)-200-2, 1(2)-250-2, 1(2)-500-2, по
ГОСТ 1770.
Пипетки 2-2-2, 2-2-5, 2-2-10, 2-2-20, 2-2-25 по
ГОСТ 29169.
Колба Кн 1-250-29/32 с затвором 3Н-29/32 по
ГОСТ 25336.
Воронка типа ВФ исполнения 1 с фильтром класса ПОР 250 по
ГОСТ 25336.
Стрептомицин с биологической активностью не менее 730 мкг/мг в пересчете на сухое вещество, с содержанием зольных примесей не более 0,5%.
Натрия гидроокись по
ГОСТ 4328, х.ч.; раствор концентрации
c (NaOH) = 1 моль/дм
3 готовят по
ГОСТ 25794.1, раствор концентрации
c (NaOH) = 0,2 моль/дм
3 готовят разбавлением раствора концентрации
c (NaOH) = 1 моль/дм
3 дистиллированной водой.
Кислота серная по
ГОСТ 4204; раствор концентрации
c (1/2 H
2SO
4) = 0,55 моль/дм
3, готовят разбавлением раствора концентрации
c (1/2 H
2SO
4) = 1 моль/дм
3, приготовленного по
ГОСТ 25794.1, дистиллированной водой.
Квасцы железоаммонийные, раствор с массовой долей 1% в растворе серной кислоты концентрации c (1/2 H2SO4) = 0,55 моль/дм3.
Индикатор фенолфталеин, раствор с массовой долей 0,1%, готовят по
ГОСТ 4919.1.
Вода дистиллированная или деминерализованная, соответствующая
ГОСТ 6709.
7.8.2 Подготовка к испытанию
7.8.2.1 Подготовку к испытанию проводят по ГОСТ 10896.
Для анализа используют катионит, полученный после определения удельного объема по
7.4. Для катионита марки КУ-2-20 берут навеску массой 50 г, для слабокислотных (карбоксильных) катионитов - массой 10 г.
Карбоксильные катиониты (КБ) в Na-форме после определения удельного объема отмывают дистиллированной водой до pH от 7,0 до 7,2, а затем подсушивают на воздухе в течение 6 ч.
7.8.2.2 Приготовление исходного раствора стрептомицина
Массу навески стрептомицина m, г, вычисляют по формуле

, (2)
где C0 - ожидаемая концентрация стрептомицина в исходном растворе, мкг/см3 (принимают условно 2,5·103 мкг/см3 для катионита марки КУ-2-20 и 15·103 мкг/см3 для слабоосновных катионитов);
C - содержание стрептомицина в препарате, мкг/мг;
215 - объем дистиллированной воды, используемый для растворения навески стрептомицина, см3.
Взвешивают навеску стрептомицина и растворяют ее в 215 см3 дистиллированной воды, отмеренной мерным цилиндром вместимостью 250 см3.
7.8.2.3 Построение калибровочного графика
Навеску стрептомицина, необходимую для приготовления эталонного раствора, m1, г, вычисляют по формуле

, (3)
где C' - концентрация эталонного раствора стрептомицина, равная 1000 мкг/см3.
C - содержание стрептомицина в препарате, мкг/мг;
200 - объем эталонного раствора, см3.
Взвешивают навеску стрептомицина, результат взвешивания в граммах записывают с точностью до четвертого десятичного знака и растворяют навеску в дистиллированной воде в мерной колбе вместимостью 200 см3.
В мерные колбы вместимостью 100 см3 вносят по 5, 10, 15, 20 и 25 см3 эталонного раствора, доводят объем раствора до метки дистиллированной водой, перемешивают и пипеткой переносят по 10 см3 раствора стрептомицина из каждой колбы в пробирки, затем:
а) добавляют в каждую пробирку по 2 см
3 раствора гидроокиси натрия концентрации
c (NaOH) = 0,2 моль/дм
3;
б) пробирки с раствором последовательно помещают в кипящую водяную баню, через 4 мин охлаждают водопроводной водой в течение 3 мин, затем добавляют в пробирку 8 см
3 раствора железоаммонийных квасцов, перемешивают и сразу измеряют оптическую плотность полученного раствора.
В соответствии с инструкцией к прибору устанавливают длину волны, соответствующую максимальному значению оптической плотности и измеряют оптическую плотность раствора в соответствии с инструкцией, прилагаемой к прибору. В качестве раствора сравнения используют дистиллированную воду.
в) оптическая плотность анализируемого раствора должна быть от 0,1 до 0,5. Если оптическая плотность выше 0,5, раствор разбавляют.
Строят калибровочный график, откладывая на оси абсцисс концентрацию стрептомицина в растворах, взятых для анализа, мкг/см3, а на оси ординат - их оптическую плотность.
7.8.3 Проведение испытания
В пробе катионита, подготовленной к испытанию, определяют массовую долю влаги по ГОСТ 10898.1.
Около 6 г катионита марки КУ-2-20 (слабокислотного - 1 г) в пересчете на сухой продукт, взвешивают, записывая результат взвешивания в граммах с точностью до четвертого десятичного знака, и помещают катионит в коническую колбу вместимостью 250 см
3. Затем добавляют в колбу 200 см
3 исходного раствора стрептомицина, приготовленного по
7.8.2.2 и нагретого до температуры 25 °C. Колбу закрывают притертой пробкой с глицериновым затвором, в который вставлена мешалка пропеллерного типа и помещают колбу в водяной термостат с температурой (25 +/- 1) °C. Мешалка приводится в движение лабораторным электромотором, включенным в сеть через прибор ЛАТР. Скорость вращения мешалки должна быть такой, чтобы зерна катионита находились во взвешенном состоянии.
Содержимое колбы перемешивают в течение 3 ч (для слабокислотных катионитов - в течение 16 ч), затем катионит отделяют, используя воронку с пористым фильтром, и промывают дистиллированной водой. Фильтрат и промывные воды собирают в мерную колбу вместимостью 500 см3 (для слабокислотных катионитов вместимостью 200 см3), добавляют 1 - 2 капли раствора фенолфталеина и по каплям добавляют раствор гидроокиси натрия концентрации c (NaOH) = 1 моль/дм3 до появления слабо-розовой окраски. Затем содержимое колбы с фильтратом доводят дистиллированной водой до метки при температуре 25 °C и перемешивают.
Для определения концентрации стрептомицина в исходном растворе (C0) и фильтрате (C1) их разбавляют следующим образом:
- 4 см3 исходного раствора при анализе катионита марки КУ-2-20 (1 см3 при анализе слабокислотных катионитов) помещают в мерную колбу вместимостью 50 см3 (100 см3 при анализе слабокислотных катионитов), доводят объем раствора до метки дистиллированной водой и перемешивают;
- 10 см3 фильтрата при анализе катионита марки КУ-2-20 (2 см3 при анализе слабокислотных катионитов) пипеткой переносят в мерные колбы вместимостью 50 см3 (100 см3 при анализе слабоосновных катионитов), доводят объем фильтрата до метки дистиллированной водой и перемешивают.
Пипеткой переносят по 10 см
3 разбавленных исходного раствора и фильтрата в пробирки, измеряют оптическую плотность разбавленных исходного раствора и фильтрата как указано в
перечислениях а) и
б) 7.8.2.3 и определяют концентрацию стрептомицина по калибровочному графику.
7.8.4 Обработка результатов
7.8.4.1 Концентрацию стрептомицина в исходном растворе C0, мкг/см3, и в фильтрате C1, в мкг/см3, вычисляют по формулам

; (4)

; (5)
где C2 - концентрация стрептомицина в разбавленном исходном растворе, найденная по калибровочному графику, мкг/см3;
50(100 - при анализе слабоосновных катионитов) - общий объем разбавленного исходного раствора стрептомицина или фильтрата, см3;
4(1 - при анализе слабоосновных катионитов) - объем исходного раствора стрептомицина, взятый для разбавления, см3;
C3 - концентрация стрептомицина в разбавленном фильтрате, полученная по калибровочному графику, мкг/см3;
10(2 - при анализе карбоксильных катионитов) - объем фильтрата стрептомицина, взятый для разбавления, см3.
7.8.4.2 Сорбционную емкость по стрептомицину CE, мкг/г, вычисляют по формуле

, (6)
где C0 - концентрация стрептомицина в исходном растворе, мкг/см3;
C1 - концентрация стрептомицина в фильтрате, мкг/см3;
mk - масса катионита, г;
W - массовая доля влаги в катионите, определяемая по ГОСТ 10898.1, %.
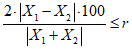
За результат испытания принимают среднеарифметическое значение двух параллельных определений, если выполняется условие приемлемости

,
где X1 и X2 - результаты параллельных определений сорбционной емкости по стрептомицину;
r - значение предела повторяемости, %.
r = 10% при доверительной вероятности P = 0,95.
Результат округляют до целого числа.
8 Транспортирование и хранение
8.1 Катиониты транспортируют в крытых транспортных средствах в соответствии с правилами перевозки грузов, действующими на данном виде транспорта.
Катиониты, поставляемые под слоем воды, при температуре ниже 0 °C перевозят в отапливаемом транспорте.
При температуре окружающей среды выше 0 °C допускается транспортировать катиониты, упакованные в контейнеры, на открытом подвижном составе.
8.2 Не допускается транспортировать катиониты вместе с агрессивными веществами.
8.3 Катиониты хранят в упакованном виде в чистых и сухих складских помещениях при температуре не ниже плюс 2 °C на расстоянии не менее 1 м от отопительных приборов.
9.1 Изготовитель гарантирует соответствие катионитов требованиям настоящего стандарта при соблюдении условий транспортирования и хранения, установленных настоящим стандартом.
9.2 Гарантийные сроки хранения катионитов устанавливаются со дня изготовления:
1 год - для катионитов КУ-2-20, КУ-1, КУ-23, КБ-2, КБ-2Н-2,5, КБ-4, КБ-4П-2;
2 года - для катионитов КУ-2-8 и КУ-2-8чС.
10 Указания по применению
10.1 Замороженные при транспортировании катиониты перед употреблением выдерживают в помещении при температуре от 10 °C до 20 °C в упаковке изготовителя от 2 до 4 сут.
Принудительное размораживание катионитов не допускается.
10.2 Катиониты могут быть использованы по назначению по истечении гарантийного срока хранения при соответствии их качества требованиям настоящего стандарта.
10.3 Следует оберегать катиониты от механических воздействий, которые могут привести к разрушению гранул и потере потребительских свойств.
| | Санитарно-эпидемиологические требования к условиям труда |
| | Гигиенические нормативы и требования к обеспечению безопасности и/или безвредности для человека факторов среды обитания |
| | Определение категорий помещений, зданий и наружных установок по взрывопожарной и пожарной опасности |
| | Санитарно-эпидемиологические требования к содержанию территорий городских и сельских поселений, к водным объектам, питьевой воде и питьевому водоснабжению, атмосферному воздуху, почвам, жилым помещениям, эксплуатации производственных, общественных помещений, организации и проведению санитарно-противоэпидемических (профилактических) мероприятий |
УДК 678.674:006.354 | |
Ключевые слова: катиониты, маркировка, упаковка, требования безопасности, требования охраны окружающей среды, методы испытаний, транспортирование, хранение, гарантии изготовителя |