Скачать ГОСТ IEC 60947-3-2016 Аппаратура распределения и управления низковольтная. Часть 3. Выключатели, разъединители, выключатели-разъединители и комбинации их с предохранителямиДата актуализации: 01.01.2021
|
| Обозначение: | ГОСТ IEC 60947-3-2016 |
| Обозначение англ: | 60947-3-2016 |
| Статус: | введен впервые |
| Название рус.: | Аппаратура распределения и управления низковольтная. Часть 3. Выключатели, разъединители, выключатели-разъединители и комбинации их с предохранителями |
| Название англ.: | Low-voltage switchgear and controlgear. Part 3. Switches, disconnectors, switch-disconnectors and fuse-combination units |
| Дата добавления в базу: | 01.01.2018 |
| Дата актуализации: | 01.01.2021 |
| Дата введения: | 01.07.2018 |
| Область применения: | Стандарт распространяется на следующие аппараты: выключатели, разъединители, выключатели-разъединители и комбинации их с предохранителями, предназначенные для использования в цепях распределения энергии или в цепях электродвигателей с номинальным напряжением до 1000 В переменного тока или до 1500 В постоянного тока. Изготовитель обязан указать тип, номинальные значения параметров и характеристики всех встроенных предохранителей согласно соответствующему стандарту. Стандарт не распространяется на аппараты, указанные в области применения стандартов IEC 60947-2. IEC 60947-4-1 и IEC 60947-5-1. Однако, если выключатели и выключатели с предохранителями, входящие в область применения стандарта, обычно используют для пуска, управления и/или остановки единичного двигателя, они также должны удовлетворять дополнительным требованиям, указанным в приложении А. Условия однополюсного оперирования трехполюсного выключателя приведены в приложении С. Аппараты для цепей управления, подсоединенные к аппаратам, указанным в области применения стандарта, должны соответствовать требованиям IEC 60947-5-1. Стандарт не включает дополнительных требований, предъявляемых к аппаратам для работы во взрывоопасной среде. Стандарт устанавливает: a) характеристики аппаратов: b) требования к аппаратам, устанавливающие: 1) функционирование и поведение при нормальных условиях эксплуатации; 2) функционирование и поведение в аварийных условиях эксплуатации, например, при возникновении токов короткого замыкания; 3) изоляционные свойства; c) объем и методы испытаний, удостоверяющие соответствие аппаратов техническим требованиям; d) информацию, которая должна быть приведена на аппарате или в технической документации, поставляемой с аппаратом, например в каталоге. |
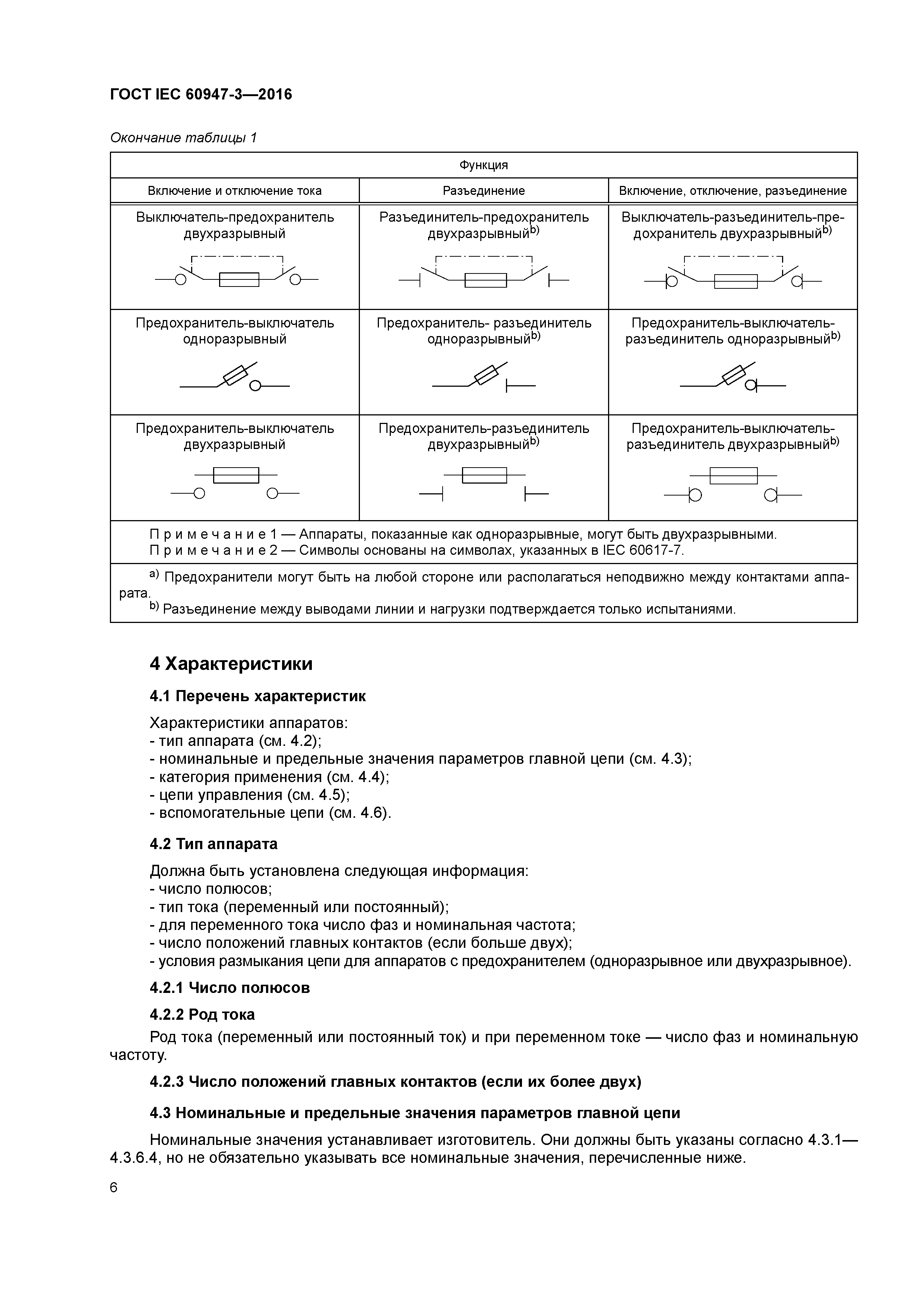
| Оглавление: | 1 Общие положения 1.1 Область применения 1.2 Нормативные ссылки 2 Термины и определения 2.1 Основные положения 2.2 Алфавитный указатель терминов 2.3 Термины и соответствующие им определения 2.4 Перечень определений аппаратов 3 Классификация 4 Характеристики 4.1 Перечень характеристик 4.2 Тип аппарата 4.3 Номинальные и предельные значения параметров главной цепи 4.4 Категории применения 4.5 Цепи управления 4.6 Вспомогательные цепи 4.7 Реле и расцепители 4.8 Координация с устройствами защиты от коротких замыканий (УЗКЗ) 5 Информация об аппарате 5.1 Характер информации 5.2 Маркировка 5.3 Инструкция по монтажу, эксплуатации и обслуживанию 6 Условия нормальной эксплуатации, монтажа и транспортирования 7 Требования к конструкции и работоспособности 7.1 Требования к конструкции 7.2 Требования к работоспособности 7.3 Электромагнитная совместимость (ЭМС) 8 Испытания 8.1 Виды испытаний 8.2 Типовые испытания на соответствие требованиям к конструкции 8.3 Работоспособность 8.4 Испытание на электромагнитную совместимость (ЭМС) 8.5 Специальные испытания Приложение А (обязательное) Аппараты для прямой коммутации единичного двигателя Приложение В (справочное) Пункты, подлежащие согласованию между изготовителем и потребителем Приложение С (обязательное) Управление трехполюсными выключателями, состоящими из однополюсных выключателей Приложение ДА (справочное) Сведения о соответствии ссылочных международных стандартов межгосударственным стандартам Библиография |
| Разработан: | АНО НТЦ Энергия |
| Утверждён: | 25.10.2016 Межгосударственный Совет по стандартизации, метрологии и сертификации (Inter-Governmental Council on Standardization, Metrology, and Certification 92-П) 23.05.2017 Федеральное агентство по техническому регулированию и метрологии (403-ст) |
| Издан: | Стандартинформ (2017 г. ) |
| Список изменений: |
|
| Нормативные ссылки: |
|

















































Текстовое изменение Поправка от 16.04.2020