Главная // Актуальные документы // Ведомость (форма)СПРАВКА
Источник публикации
М.: Стандартинформ, 2020
Примечание к документу
Документ
введен в действие с 01.03.2012.
Название документа
"ГОСТ Р 54779-2011. Национальный стандарт Российской Федерации. Комбайны кукурузоуборочные. Методы испытаний"
(утв. и введен в действие Приказом Росстандарта от 13.12.2011 N 991-ст)
"ГОСТ Р 54779-2011. Национальный стандарт Российской Федерации. Комбайны кукурузоуборочные. Методы испытаний"
(утв. и введен в действие Приказом Росстандарта от 13.12.2011 N 991-ст)
Утвержден и введен в действие
по техническому регулированию
и метрологии
от 13 декабря 2011 г. N 991-ст
НАЦИОНАЛЬНЫЙ СТАНДАРТ РОССИЙСКОЙ ФЕДЕРАЦИИ
КОМБАЙНЫ КУКУРУЗОУБОРОЧНЫЕ
МЕТОДЫ ИСПЫТАНИЙ
Corn harvesting combines. Test methods
ГОСТ Р 54779-2011
Дата введения
1 марта 2012 года
1 РАЗРАБОТАН Новокубанским филиалом Федерального государственного научного учреждения "Российский научно-исследовательский институт информации и технико-экономических исследований по инженерно-техническому обеспечению агропромышленного комплекса" (КубНИИТиМ)
2 ВНЕСЕН Министерством сельского хозяйства Российской Федерации
3 УТВЕРЖДЕН И ВВЕДЕН В ДЕЙСТВИЕ
Приказом Федерального агентства по техническому регулированию и метрологии от 13 декабря 2011 г. N 991-ст
4 ВВЕДЕН ВПЕРВЫЕ
5 ПЕРЕИЗДАНИЕ. Июнь 2020 г.
Правила применения настоящего стандарта установлены в статье 26 Федерального закона от 29 июня 2015 г. N 162-ФЗ "О стандартизации в Российской Федерации". Информация об изменениях к настоящему стандарту публикуется в ежегодном (по состоянию на 1 января текущего года) информационном указателе "Национальные стандарты", а официальный текст изменений и поправок - в ежемесячном информационном указателе "Национальные стандарты". В случае пересмотра (замены) или отмены настоящего стандарта соответствующее уведомление будет опубликовано в ближайшем выпуске ежемесячного информационного указателя "Национальные стандарты". Соответствующая информация, уведомление и тексты размещаются также в информационной системе общего пользования - на официальном сайте Федерального агентства по техническому регулированию и метрологии в сети Интернет (www.gost.ru)
Настоящий стандарт распространяется на комбайны для уборки кукурузы в початках и на зерно с обмолотом початков и устанавливает методы их испытаний.
В настоящем стандарте использованы нормативные ссылки на следующие стандарты:
ГОСТ 12.1.003 Система стандартов безопасности труда. Шум. Общие требования безопасности
ГОСТ 12.2.002 Система стандартов безопасности труда. Техника сельскохозяйственная. Методы оценки безопасности
ГОСТ 12.2.019 Система стандартов безопасности труда. Тракторы и машины самоходные сельскохозяйственные. Общие требования безопасности
ГОСТ 12.2.120 Система стандартов безопасности труда. Кабины и рабочие места операторов тракторов и самоходных сельскохозяйственных машин. Общие требования безопасности
ГОСТ 166 (ИСО 3599-76) Штангенциркули. Технические условия
ГОСТ 427 Линейки измерительные металлические. Технические условия
ГОСТ 7502 Рулетки измерительные металлические. Технические условия
ГОСТ 11225 Зерно. Метод определения выхода зерна из початков кукурузы
ГОСТ 12041 Семена сельскохозяйственных культур. Метод определения влажности
ГОСТ 13837 Динамометры общего назначения. Технические условия
ГОСТ 16504 Система государственных испытаний продукции. Испытания и контроль качества продукции. Основные термины и определения
ГОСТ 20915 Испытания сельскохозяйственной техники. Методы определения условий испытаний
ГОСТ 21623 Система технического обслуживания и ремонта техники. Показатели для оценки ремонтопригодности. Термины и определения
ГОСТ 23932 Посуда и оборудование лабораторные стеклянные. Общие технические условия
ГОСТ 25866 Эксплуатация техники. Термины и определения
ГОСТ 26025 Машины и тракторы сельскохозяйственные и лесные. Методы измерения конструктивных параметров
ГОСТ 26026 Машины и тракторы сельскохозяйственные и лесные. Методы оценки приспособленности к техническому обслуживанию
ГОСТ 26336 Тракторы и сельскохозяйственные машины, механизированное, газонное и садовое оборудование. Система символов для обозначения органов управления и средств отображения информации. Символы
| | ИС МЕГАНОРМ: примечание. ГОСТ 26953-86 утратил силу на территории Российской Федерации с 01.08.2020 в связи с введением в действие ГОСТ Р 58656-2019 (Приказ Росстандарта от 30.10.2019 N 1129-ст). | |
ГОСТ 26953 Техника сельскохозяйственная мобильная. Методы определения воздействия движителей на почву
| | ИС МЕГАНОРМ: примечание. ГОСТ 26955-86 утратил силу на территории Российской Федерации с 01.08.2020 в связи с введением в действие ГОСТ Р 58655-2019 (Приказ Росстандарта от 30.10.2019 N 1128-ст). | |
ГОСТ 26955 Техника сельскохозяйственная мобильная. Нормы воздействия движителей на почву
ГОСТ 27186 Зерно заготовляемое и поставляемое. Термины и определения
ГОСТ 28301 Комбайны зерноуборочные. Методы испытаний
ГОСТ 31191.1 Вибрация и удар. Измерение общей вибрации и оценка ее воздействия на человека. Часть 1. Общие требования
ГОСТ 31192.2 Вибрация. Измерение локальной вибрации и оценка ее воздействия на человека. Часть 2. Требования к проведению измерений на рабочих местах
ГОСТ 31319 Вибрация. Измерение общей вибрации и оценка ее воздействия на человека. Требования к проведению измерений на рабочих местах
ГОСТ ИСО 14269-2 Тракторы и самоходные машины для сельскохозяйственных работ и лесоводства. Окружающая среда рабочего места оператора. Часть 2. Метод испытаний и характеристики систем отопления, вентиляции и кондиционирования воздуха
ГОСТ ИСО 14269-5 Тракторы и самоходные машины для сельскохозяйственных работ и лесоводства. Окружающая среда рабочего места оператора. Часть 5. Метод испытания системы герметизации
ГОСТ ЕН 632 Машины сельскохозяйственные. Комбайны зерноуборочные и кормоуборочные. Требования безопасности <1>
--------------------------------
<1> Действует ГОСТ Р ИСО 4254-7-2011.
ГОСТ Р 52489 Материалы лакокрасочные. Колориметрия. Часть 1. Основные положения
| | ИС МЕГАНОРМ: примечание. ГОСТ Р 52777-2007 утратил силу с 15.03.2021 в связи с введением в действие ГОСТ 34631-2019 (Приказ Росстандарта от 11.08.2020 N 479-ст). | |
ГОСТ Р 52777 Техника сельскохозяйственная. Методы энергетической оценки
ГОСТ Р 52778 Испытания сельскохозяйственной техники. Методы эксплуатационно-технологической оценки <2>
--------------------------------
ГОСТ Р 53056 Техника сельскохозяйственная. Методы экономической оценки <3>
--------------------------------
ГОСТ Р 53228 Весы неавтоматического действия. Часть 1. Метрологические и технические требования. Испытания
ГОСТ Р 53489 Система стандартов безопасности труда. Машины сельскохозяйственные навесные и прицепные. Общие требования безопасности
ГОСТ Р 54783 Испытания сельскохозяйственной техники. Основные положения
Примечание - При пользовании настоящим стандартом целесообразно проверить действие ссылочных стандартов в информационной системе общего пользования - на официальном сайте Федерального агентства по техническому регулированию и метрологии в сети Интернет или по ежегодному информационному указателю "Национальные стандарты", который опубликован по состоянию на 1 января текущего года, и по выпускам ежемесячного информационного указателя "Национальные стандарты" за текущий год. Если заменен ссылочный стандарт, на который дана недатированная ссылка, то рекомендуется использовать действующую версию этого стандарта с учетом всех внесенных в данную версию изменений. Если заменен ссылочный стандарт, на который дана датированная ссылка, то рекомендуется использовать версию этого стандарта с указанным выше годом утверждения (принятия). Если после утверждения настоящего стандарта в ссылочный стандарт, на который дана датированная ссылка, внесено изменение, затрагивающее положение, на которое дана ссылка, то это положение рекомендуется применять без учета данного изменения. Если ссылочный стандарт отменен без замены, то положение, в котором дана ссылка на него, рекомендуется применять в части, не затрагивающей эту ссылку.
3.1 вышелушивание зерна из початков: Массовая доля свободного зерна на земле, в незерновой части и ворохе початков, собранных комбайном.
3.2 листостебельная масса: Надземная часть растений без початков, зерна.
3.3 естественные потери зерна: Зерно из початков, упавших до начала уборки, из початков полеглых растений, свободное зерно (от самоосыпания).
3.4 естественные потери незерновой части урожая: Полеглые растения и опавшие листья.
4 Подготовка к испытаниям
4.1 Порядок предоставления комбайна на испытания установлен по
ГОСТ Р 54783.
4.2 Типовая программа испытаний включает виды оценок в соответствии с
таблицей 1.
Вид оценки | Вид испытаний |
Приемочные, типовые | Периодические, квалификационные |
Технических параметров | + | + |
Агротехническая | + | - |
Энергетическая | + | - |
Безопасности и эргономичности конструкции комбайна | + | + |
Надежности | + | + |
Эксплуатационно-технологическая | + | + |
Экономическая | + | - |
Примечание - Знак "+" означает: оценку проводят, знак "-" - не проводят. |
4.3 Для испытания комбайна на основании типовой программы составляют рабочую программу-методику, в которой с учетом особенностей конкретного образца указывают номенклатуру определяемых показателей по каждому виду оценки, режимы, условия и место испытаний, а также применяемые средства измерений.
4.3.1 Предварительные и сертификационные испытания проводят по специальной программе.
4.4 При поступлении комбайна на испытания проверяют комплектность его поставки в соответствии с технической документацией.
4.5 До начала эксплуатационных испытаний проводят обкатку и регулирование комбайна согласно руководству по эксплуатации. Место проведения и продолжительность обкатки записывают в протокол испытаний.
4.6 Средства измерений и испытательное оборудование должны быть подготовлены в соответствии с
правилами [1].
5 Оценка технических параметров
5.1 Измерение технических параметров проводят по ГОСТ 26025.
| | ИС МЕГАНОРМ: примечание. ГОСТ 26953-86 утратил силу на территории Российской Федерации с 01.08.2020 в связи с введением в действие ГОСТ Р 58656-2019 (Приказ Росстандарта от 30.10.2019 N 1129-ст). | |
5.3 Воздействие движителей на почву определяют по ГОСТ 26953.
| | ИС МЕГАНОРМ: примечание. ГОСТ 26955-86 утратил силу на территории Российской Федерации с 01.08.2020 в связи с введением в действие ГОСТ Р 58655-2019 (Приказ Росстандарта от 30.10.2019 N 1128-ст). | |
Значения показателей проверяют на соответствие ГОСТ 26955.
5.4 Перечень технических параметров, характеризующих конструкцию комбайна, приведен в
форме А.1 (приложение А).
6.1 Номенклатура функциональных показателей
Номенклатура функциональных показателей, характеризующих качество выполнения кукурузоуборочными комбайнами технологического процесса, и условий испытаний приведена в
формах А.2 -
А.4 (приложение А).
6.2 Требования к условиям испытаний
6.2.1 Функциональные показатели кукурузоуборочных комбайнов определяют в оптимальные для зоны испытаний агротехнические сроки на уборке кукурузы на фонах, соответствующих техническому заданию (ТЗ) или техническим условиям (ТУ) на испытуемый комбайн. При отсутствии в зоне таких фонов допускается проведение испытаний в реально сложившихся условиях. Полученные при этом показатели качества работы испытуемого комбайна сравнивают только с соответствующими показателями аналога.
6.2.2 Для определения функциональных показателей подбирают участок, размеры которого могут обеспечить возможность проведения испытаний на всех запланированных режимах работы.
Для каждого режима участок должен иметь длину, на которой комбайн набирает заданную скорость движения и входит в технологический режим работы, после чего проводят учеты и отбор проб для определения функциональных показателей.
На выбранном участке поля делают прокосы. Отступив от края поля не менее чем на 50 м, размечают учетные делянки для отбора проб.
6.3 Определение условий испытаний
6.3.1 Сорт (гибрид) кукурузы определяют по данным хозяйства.
6.3.2 Урожайность початков, зерна, незерновой части урожая и соотношение их массы определяют по данным отбора проб на качество работы комбайна по массе початков (зерна), незерновой части урожая и потерям, учтенным за опыт.
6.3.3 Урожайность початков Уп зерна Уз незерновой части урожая Ун.ч, т/га, соответственно вычисляют с округлением до первого десятичного знака по формулам:

, (1)

, (2)

, (3)
где Mп, Mз, Mн.ч - масса початков, зерна, незерновой части урожая соответственно, собранных машиной за опыт, кг;
mп, mз, mн.ч - масса потерь початков, зерна, незерновой части урожая соответственно за опыт, кг;
Sп, Sз, Sн.ч - площадь участка, с которого машиной собраны початки, зерно, незерновая часть урожая соответственно за опыт, м2.
6.3.4 Соотношение массы початков (зерна) и незерновой части урожая

в относительных единицах вычисляют по формуле

, (4)
где ":" - знак соотношения.
6.3.5 Для определения характеристики культуры на корню проводят измерения и учет высоты растений, диаметра стебля, полеглости и густоты растений, высоты расположения нижнего початка и засоренности участка. Для проведения измерений вдоль всего прокоса выделяют десять площадок длиной 10 м каждая и шириной, равной ширине двух рядов. Площадки располагают на равном расстоянии друг от друга, но не менее чем на 50 м.
6.3.5.1 Высоту каждого растения измеряют линейкой от поверхности почвы до его верхней части в естественном состоянии не менее чем на трех учетных площадках. Погрешность измерения - +/- 5 см. Результаты записывают в
форму Б.1 (приложение Б) и вычисляют среднее арифметическое значение с округлением до целого числа.
6.3.5.2 Диаметр стебля измеряют штангенциркулем на одном ряду каждой учетной площадки на высоте среза, предусмотренной требованиями ТЗ или ТУ. Измерения проводят на тех же площадках, где определяют высоту растений. Погрешность измерения - +/- 1 мм.
Результаты записывают в
форму Б.1 (приложение Б) и вычисляют среднее арифметическое значение с округлением до целого числа.
6.3.5.3 Полеглость растений определяют на десяти учетных площадках, на каждой из которых подсчитывают их общее число (в том числе полеглых). Полеглыми считают те растения кукурузы, у которых вследствие изгиба или излома стебли наклонены ниже установочной высоты среза. Результаты записывают в
форму Б.2 (приложение Б).
Полеглость П, %, вычисляют по формуле

, (5)
где n1 - число полеглых растений на учетной площадке, шт.;
n2 - общее число растений на учетной площадке, включая полеглые, шт.
Вычисления проводят с округлением до целого числа.
6.3.5.4 Густоту растений вычисляют по результатам подсчета на учетных площадках при определении полеглости и пересчитывают их число на гектар. Результаты записывают в
форму Б.2 (приложение Б) и проводят вычисления с округлением до целого числа.
6.3.5.5 Засоренность участка определяют визуально на десяти учетных площадках с учетом высоты и раскидистости сорных растений и степени покрытия учетных площадок сорными растениями в соответствии с
таблицей 2. Результаты записывают в
форму Б.2 (приложение Б).
Таблица 2
Шкала визуальной оценки засоренности участка
Характеристика сорных растений | Степень покрытия площади сорными растениями, балл | Засоренность участка сорными растениями |
Высота сорных растений не более высоты среза; растения располагаются отдельными участками в зоне ряда, занимают не более 10% площади учетной площадки | 1 | Слабая |
Высота более высоты среза; растения раскидистые, занимают до 30% площади учетной площадки | 2 | Средняя |
Высота более 100 см; растения раскидистые, занимают свыше 30% площади учетной площадки | 3 | Сильная |
Средний балл засоренности определяют с округлением до целого числа.
В
форму А.2 (приложение А) данные по засоренности записывают словами "слабая", "средняя", "сильная".
6.3.5.6 Высоту расположения нижнего початка измеряют на каждой учетной площадке линейкой по вертикали от поверхности почвы до начала его крепления к стеблю. Число измерений - не менее 20. Погрешность измерения - +/- 1 см. Данные записывают в
форму Б.3 (приложение Б) и вычисляют количественную долю початков, расположенных на высоте от почвы в пределах, указанных в ТЗ или ТУ. Вычисления проводят с округлением до целого числа.
6.3.6 Естественные потери зерна и незерновой части урожая собирают на десяти учетных площадках по
6.3.5 и взвешивают с погрешностью не более 1%. Результаты записывают в
форму Б.4 (приложение Б). Естественные потери зерна из початков (в том числе утерянных и початков полеглых растений)
mе.з.п, свободного зерна
mе.с.з от самоосыпания и незерновой части урожая
mе.н.ч, т/га, соответственно вычисляют с округлением до первого десятичного знака по формулам:

, (6)

, (7)

, (8)
где

,

,

- масса естественных потерь зерна из початков, свободного зерна и незерновой части урожая соответственно с учетной площадки, кг;
Sе - площадь учетной площадки для сбора естественных потерь, м2.
6.3.8 Выход зерна из початков определяют по
ГОСТ 11225.
6.3.9 Диаметр и длину початков определяют на десяти учетных площадках согласно
6.3.5 настоящего стандарта по данным измерений не менее 100 штук. Диаметр измеряют штангенциркулем в средней части початка.
Погрешность измерения +/- 1 мм. Результаты записывают в
форму Б.5 (приложение Б) и вычисляют средние арифметические значения с округлением до целого числа.
6.3.10 Ширину основного междурядья и отклонение растений от осевой линии ряда определяют в трехкратной повторности на учетных делянках, расположенных равномерно по диагонали участка на расстоянии не менее 10 м. Для этого по центру междурядья натягивают шнур длиной 20 м и измеряют рулеткой на уровне почвы расстояние от него до центров растений, расположенных напротив в двух смежных рядах. Измерения проводят в трех междурядьях. Погрешность измерения - +/- 1 см.
Результаты записывают в
форму Б.6 (приложение Б). По разности между средним арифметическим значением расстояния от шнура до растений и каждым отдельным результатом измерения определяют отклонение растений от осевой линии ряда.
Сумма средних арифметических расстояний, измеренных по обе стороны от шнура, составит среднее значение ширины основного междурядья.
В результате обработки данных вычисляют среднее отклонение растений от оси ряда и их количественную долю с отклонением, превышающим допустимое ТЗ или ТУ. Вычисления проводят с округлением до целого числа.
6.3.11 Уклон поверхности участка, микрорельеф и влажность почвы определяют по
ГОСТ 20915.
6.3.12 Показатели условий испытаний записывают в
форму А.2 (приложение А).
6.4 Требования к режимам испытаний
Показатели качества выполнения технологического процесса определяют на трех рабочих скоростях движения комбайна:
- соответствующей ТЗ;
- на 20% - 30% менее предусмотренной ТЗ;
- на 20% - 30% более предусмотренной ТЗ.
В случае несоответствия условий испытаний требованиям ТЗ рабочие скорости выбирают с учетом реальных условий в диапазоне по скорости, указанном выше.
6.5 Определение показателей качества выполнения технологического процесса комбайном для уборки кукурузы в початках
6.5.1 Для определения показателей качества выполнения технологического процесса при испытаниях комбайнов для уборки кукурузы в початках на каждом скоростном режиме делают контрольные проходы, во время которых при установившемся режиме работы комбайна проводят учеты и отбор проб початков не менее чем в трехкратной повторности.
Продолжительность повторности опыта должна быть равна времени заполнения початками технологической емкости (пробоотборника початков).
Техническая характеристика и описание пробоотборника початков приведены в
приложении В.
6.5.1.1 Початки, собранные за повторность опыта, взвешивают с погрешностью не более 1%, измеряют длину пути с погрешностью +/- 0,1 м и определяют продолжительность заполнения початками технологической емкости (пробоотборника) с погрешностью +/- 1 с. Данные записывают в
форму Б.7 (приложение Б) и используют для вычисления урожайности, рабочей скорости и производительности комбайна.
6.5.1.2 Скорость движения комбайна v, км/ч, вычисляют по формуле

, (9)
где L - длина пути, м;
t - продолжительность опыта, с.
6.5.1.3 Производительность комбайна W, т/ч, вычисляют по формуле

. (10)
6.5.1.4 Вычисления показателей проводят с округлением до первого десятичного знака.
6.5.2 Для определения полноты очистки початков от обертки, содержания целых початков, сорной примеси и свободного зерна в ворохе собранных початков проводят анализ средних проб, которые отбирают с помощью мягких контейнеров, установленных в технологической емкости (пробоотборнике) при отборе початков согласно
6.5.1 -
6.5.1.4. В каждой повторности опыта отбирают по три средних пробы массой не менее 35 кг каждая.
Методика отбора средних проб початков с помощью мягких контейнеров приведена в
приложении В.
При отсутствии специального пробоотборника початков и мягких контейнеров допускается отбирать пробы для определения качества вороха початков имеющимися средствами при установившемся режиме испытуемого комбайна на учетных делянках длиной не менее 40 м и разгонного участка не менее 50 м. Повторность отбора проб на каждом режиме трехкратная. Масса одной средней пробы должна быть не менее 100 кг.
Средние пробы початков взвешивают с погрешностью не более 1% и разделяют на фракции в соответствии с
формой Б.7 (приложение Б).
Результаты записывают в
форму Б.7 (приложение Б).
К очищенным относят очищенные початки, содержащие не более двух листьев обертки. Обертку с початков относят к сорной примеси. К целым - початки без излома стержней, с вышелушенным зерном (не более 15 штук) и части початка более 2/3 его длины.
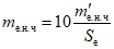
Массовую долю початков в пробе

, %, вычисляют по формуле

, (11)
где qп.п - масса початков в пробе, кг;
qп - масса средней пробы для анализа вороха початков, кг.
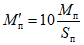
6.5.2.1 Полноту очистки початков от обертки (массовую долю очищенных початков)

, %, вычисляют по формуле

, (12)
где qо.п - масса очищенных початков в пробе, кг.
6.5.2.2 Массовую долю целых початков в пробе

, %, вычисляют по формуле

, (13)
где qц.п - масса целых початков в пробе, кг.
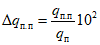
6.5.2.3 Массовую долю свободного зерна в пробе

, %, вычисляют по формуле

, (14)
где qс.з - масса свободного зерна в пробе, кг.
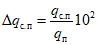
6.5.2.4 Массовую долю сорной примеси в пробе

, %, вычисляют по формуле

, (15)
где qс.п - масса сорной примеси в пробе, кг.
6.5.2.5 Вычисления показателей проводят с округлением до первого десятичного знака.
6.5.3 Полноту сбора початков определяют по массе початков, убранных машиной за каждую повторность опыта, за вычетом потерь зерна из утерянных початков, свободным зерном на земле и свободным зерном в незерновой части урожая. Учетные площадки для определения потерь зерна из утерянных початков и свободным зерном на земле располагают по длине участка в трехкратной повторности на расстоянии не менее 100 м друг от друга. Зерно из собранных потерь початками обрушивают и взвешивают с погрешностью не более 1%. Данные записывают в
форму Б.7 (приложение Б) и проводят вычисления с округлением до первого десятичного знака.
Полноту сбора початков Pп, %, вычисляют по формуле
Pп = 100 - Pз, (16)
где Pз - общие потери зерна, %.
6.5.4 Общие потери зерна
Pз, %, вычисляют по формуле

, (17)
где

- массовая доля потерь зерна из утерянных початков, %;

- массовая доля потерь свободного зерна на земле, %;

- массовая доля потерь свободного зерна в незерновой части урожая, %.
6.5.4.1 Потери зерна из утерянных початков (свободных на земле, со срезанных и несрезанных стеблей, частей початков) определяют на учетных площадках длиной не менее 30 м и шириной, равной ширине захвата комбайна.
Массу потерь зерна из утерянных початков за опыт mз.п, кг, вычисляют по формуле

, (18)
где

- масса потерь зерна из утерянных початков на учетной площадке, кг;
Sп.п - площадь учетной площадки для сбора потерь зерна из утерянных початков, м2.
Потери зерна из утерянных початков в пересчете на гектар mз.п, т/га, вычисляют по формуле

. (19)
Массовую долю потерь зерна из утерянных початков вычисляют с округлением до первого десятичного знака по формулам:
- при сборе незерновой части урожая

, %,

, (20)
- без сбора незерновой части урожая

, %,

, (21)
где

- масса зерна из початков, собранных за опыт, в пересчете на гектар, т/га;
mз.з - масса потерь свободного зерна на земле, т/га;
mз.н.ч - масса свободного зерна в незерновой части урожая, т/га.
Массу зерна из початков, собранных за опыт, в пересчете на гектар

, т/га, вычисляют по формуле

, (22)
где

- масса початков, собранных за опыт, в пересчете на гектар, т/га;
B - выход зерна из початков, %.
Массу початков, собранных за опыт, в пересчете на гектар

, т/га, вычисляют по формуле

. (23)
6.5.4.2 Потери свободного зерна на земле определяют на учетных площадках шириной, равной ширине захвата машины, и длиной 2 м. Для этого в междурядья на всю ширину захвата машины расстилают полотнища размером 2,0 x 0,7 м. Утерянное зерно собирают и взвешивают с погрешностью не более 1%.
Потери свободного зерна на земле в пересчете на гектар mз.з, т/га, вычисляют по формуле

, (24)
где

- масса потерь свободного зерна на земле учетной площадки, кг;
Sп.з - площадь учетной площадки для сбора потерь свободного зерна на земле, м2.
Массовую долю потерь свободного зерна на земле вычисляют с округлением до первого десятичного знака по формулам:
- при сборе незерновой части урожая

, %,

, (25)
- без сбора незерновой части урожая

, %,

. (26)
6.5.4.3 Для определения потерь зерна в незерновой части урожая отбирают пробы при каждом контрольном проходе на учетных делянках длиной не менее 40 м. Повторность отбора проб трехкратная. Масса одной пробы должна быть не менее 100 кг. Из проб незерновой части урожая выделяют свободное зерно и взвешивают с погрешностью не более 1%. Данные записывают в
форму Б.7 (приложение Б).
Отбор проб незерновой части урожая и выделение из них свободного зерна проводят пробоотборником
(приложение В). При его отсутствии допускается отбирать пробы имеющимися в наличии средствами, а свободное зерно выделять с помощью набора решет. При отборе проб технологический процесс работы испытуемого комбайна не должен прерываться.
6.5.4.4 Массу потерь свободного зерна на земле и в незерновой части урожая
[формула (2)] за опыт
mз, кг, вычисляют по формуле

. (27)
Массу свободного зерна в незерновой части урожая в пересчете на гектар mз.н.ч, т/га, вычисляют по формуле

, (28)
где

- масса потерь свободного зерна в незерновой части урожая, собранного за опыт, кг;

- площадь учетной делянки для сбора потерь свободного зерна в незерновой части урожая, м
2.
Массовую долю свободного зерна в незерновой части урожая

, %, вычисляют с округлением до первого десятичного знака по формуле

. (29)
Потери свободного зерна в незерновой части урожая

, %, вычисляют по формуле

, (30)
где A - содержание зерна в незерновой части урожая, допускаемое требованиями ТЗ или ТУ, %.
6.5.5 Вышелушивание зерна из початков Bз, %, вычисляют с округлением до первого десятичного знака по формуле

. (31)
6.5.6 Полноту сбора незерновой части урожая определяют по массе пробы, отобранной при контрольном проходе, и потерям незерновой части урожая, которые собирают граблями на учетных площадках длиной 5 м и шириной, равной ширине захвата комбайна. Повторность учета потерь трехкратная. Учетные площадки располагают на расстоянии не менее 100 м друг от друга по длине участка. Массу потерь определяют с погрешностью не более 1%. Данные записывают в
форму Б.7 (приложение Б).
Полноту сбора незерновой части урожая Pн.ч, %, вычисляют по формуле

, (32)
где

- массовая доля потерь незерновой части урожая, %.
Массовую долю потерь незерновой части урожая

, %, вычисляют по формуле

, (33)
где mп.н.ч - масса потерь незерновой части урожая в пересчете на гектар, т/га;

- масса незерновой части урожая, собранная за опыт, в пересчете на гектар, т/га.
Массу потерь незерновой части урожая в пересчете на гектар mп.н.ч, т/га, вычисляют по формуле

, (34)
где

- масса потерь незерновой части урожая с учетной площадки, кг;
Sп.н.ч - площадь учетной площадки для сбора потерь незерновой части урожая, м2.
Массу потерь незерновой части урожая за опыт mн.ч, кг, вычисляют по формуле

. (35)
Массу незерновой части урожая за опыт в пересчете на гектар

, т/га, вычисляют по формуле

. (36)
Массовую долю потерь и полноту сбора незерновой части урожая вычисляют с округлением до первого десятичного знака.
6.5.7 Для определения полноты измельчения незерновой части урожая из трех проб, отобранных согласно
6.5.4.3, на каждом режиме отбирают средний образец массой не менее 10 кг и выделяют из него две навески массой 0,5 кг каждая, в которых измеряют измельченные частицы по наибольшей длине резки. Погрешность измерения - +/- 1 мм. Эти частицы распределяют по фракциям согласно ТЗ или ТУ на испытуемый комбайн. Фракции взвешивают с погрешностью не более 1%. Результаты записывают в
форму Б.7 (приложение Б). Массовую долю частиц каждой фракции вычисляют с округлением до первого десятичного знака.
Массовую долю частиц незерновой части урожая с длиной резки, соответствующей требованиям ТЗ или ТУ, - полноту измельчения

, %, вычисляют по формуле

, (37)
где q1 - масса частиц с длиной резки, соответствующей требованиям ТЗ или ТУ, г;
q0 - масса навески незерновой части урожая, г.
Массовую долю частиц незерновой части урожая с длиной резки, превышающей требования ТЗ или ТУ,

, %, вычисляют по формуле

, (38)
где q2 - масса частиц с длиной резки, превышающей требования ТЗ или ТУ, г.
6.5.8 Высоту среза измеряют по вертикали от поверхности почвы до линии среза растения в естественном состоянии на учетных площадках для определения потерь зерна початками, на каждой из которых равномерно по всей ширине захвата комбайна проводят не менее 20 измерений. Погрешность измерения - +/- 1 см. Данные записывают в
форму Б.8 (приложение Б) и вычисляют среднее арифметическое значение с округлением до целого числа.
6.6 Определение показателей качества выполнения технологического процесса комбайном для уборки кукурузы на зерно с обмолотом початков
6.6.1 Отбор проб зерна и определение скорости движения комбайна проводят в соответствии с
6.5.1. Данные записывают в
форму Б.9 (приложение Б).
Производительность комбайна Wк, т/ч, вычисляют по формуле

. (39)
Вычисления проводят с округлением до первого десятичного знака.
6.6.2 В каждом опыте отбирают средний образец массой не менее 2 кг из потока зерна не менее чем в три приема - в начале, середине и конце выгрузки. Образец снабжают этикеткой по
форме Б.10 (приложение Б) и отправляют на анализ.
6.6.2.1 Состав вороха зерна определяют по результатам анализа двух навесок зерна массой не менее 200 г каждая, которые разбирают на фракции в соответствии с
формой Б.9 (приложение Б). К основному зерну относят: целое и щуплое, а также зерна других культурных растений, к дробленому - битое независимо от величины отбитой части, к сорной - органические и минеральные примеси и семена сорняков.
Каждую фракцию взвешивают с погрешностью +/- 0,01 г.
Данные записывают в
форму Б.9 (приложение Б) и вычисляют показатели с округлением до второго десятичного знака.
Массовую долю зерна в навеске

, %, вычисляют по формуле

, (40)
где qз.н - масса зерна (основного и дробленого) в навеске, г;
qн - масса навески для анализа вороха зерна, г.
Массовую долю основного зерна в навеске

, %, вычисляют по формуле

, (41)
где qос.з - масса основного зерна в навеске, г.
Массовую долю дробленого зерна в навеске

, %, вычисляют по формуле

, (42)
где qдр - масса дробленого зерна в навеске, г.
Массовую долю сорной примеси в навеске

, %, вычисляют по формуле

, (43)
где qс.п - масса сорной примеси в навеске, г.
6.6.3 Полноту сбора зерна определяют согласно
6.5.3 -
6.5.4 настоящего стандарта.
В каждой повторности опыта учитывают массу зерна, собранного комбайном, потери початков (свободных, на срезанных стеблях, частей початков), свободного зерна на земле и в незерновой части урожая. Данные записывают в
форму Б.9 (приложение Б).
Массу зерна, собранного за опыт, в пересчете на гектар

, т/га, вычисляют по формуле

. (44)
Массовую долю потерь зерна из утерянных початков при уборке кукурузы на зерно

, %, вычисляют по формуле

. (45)
Массовую долю потерь зерна (свободного и недомолоченного) в незерновой части урожая

, %, вычисляют по формуле

. (46)
Массовую долю потерь свободного зерна на земле

, %, вычисляют по формуле

. (47)
Вычисления потерь зерна проводят с округлением до первого десятичного знака.
Полноту сбора зерна Pс.з, %, вычисляют по формуле
Pс.з = 100 - Pз. (48)
6.6.4 Полноту сбора незерновой части урожая определяют согласно
6.5.6 настоящего стандарта. Данные записывают в
форму Б.9 (приложение Б). Полноту сбора незерновой части урожая вычисляют по
формуле (32).
6.6.5 Полноту измельчения незерновой части урожая определяют в соответствии с
6.5.7 настоящего стандарта. Данные записывают в
форму Б.9 (приложение Б).
6.6.6 Высоту среза определяют согласно
6.5.8 настоящего стандарта.
6.7 Обработка и анализ результатов испытаний
6.7.1 Компьютерную обработку результатов испытаний кукурузоуборочных комбайнов проводят по программе, разработанной для данного типа машин.
6.7.2 Исходными для проведения расчетов служат данные рабочих ведомостей
форм Б.1 -
Б.10 (приложение Б).
6.7.3 После обработки исходных данных по
6.7.2 формируются и выдаются на печать результаты испытаний в соответствии с
формами А.2 -
А.11 (приложение А).
6.7.4 Полученные результаты испытаний сравнивают с требованиями ТЗ или ТУ и с показателями сравниваемого комбайна.
6.7.5 На основании анализа полученных значений показателей делают выводы о качестве работы испытуемого комбайна при выполнении заданного технологического процесса.
6.8 Средства измерений, применяемые при определении функциональных показателей
Перечень средств измерений и оборудования, применяемых при определении функциональных показателей, приведен в приложении Г.
| | ИС МЕГАНОРМ: примечание. ГОСТ Р 52777-2007 утратил силу с 15.03.2021 в связи с введением в действие ГОСТ 34631-2019 (Приказ Росстандарта от 11.08.2020 N 479-ст). | |
7.1 Энергетическую оценку проводят в соответствии с ГОСТ Р 52777 с определением показателей, приведенных в
форме А.5 (приложение А).
7.2 Энергетическую оценку комбайна проводят одновременно с определением функциональных показателей на фонах и способах уборки, указанных в
разделе 6 настоящего стандарта, или самостоятельно в аналогичных условиях.
| | ИС МЕГАНОРМ: примечание. В официальном тексте документа, видимо, допущена опечатка: имеется в виду п. 6.5.1, а не 6.4.1. | |
Показатели определяют на трех режимах в соответствии с
6.4.1. Число повторностей опыта на каждом режиме работы должно быть не менее трех.
7.2.1 Энергетические показатели определяют при установившемся режиме работы комбайна.
7.2.2 Показатели энергетической оценки записывают в
форму А.5 (приложение А).
8 Оценка безопасности и эргономичности конструкции
Оценку безопасности конструкции комбайнов проводят по
ГОСТ 12.2.002,
ГОСТ ИСО 14269-2,
ГОСТ ИСО 14269-5,
ГОСТ 31191.1,
ГОСТ 31192.2,
ГОСТ 31319,
ГОСТ Р 52489 на соответствие требованиям ТЗ или ТУ,
ГОСТ 12.1.003,
ГОСТ 12.2.019,
ГОСТ Р 53489,
ГОСТ 12.2.120, ГОСТ ЕН 632 и ГОСТ 26336 с определением показателей, приведенных в
форме А.6 (приложение А).
9.1 При проведении испытаний на надежность в зависимости от их целей в рабочую программу-методику включают показатели, регламентированные нормативной документацией (НД)
[2].
9.2 Оценку надежности кукурузоуборочных комбайнов проводят по действующей НД
[2] с определением показателей, приведенных в
форме А.7 (приложение А).
9.3 Оценку надежности осуществляют по результатам испытаний в условиях, оговоренных ТЗ или ТУ.
Допускается оценка надежности серийно выпускаемых комбайнов по результатам наблюдений или разовых обследований в условиях реальной эксплуатации.
9.4 Кукурузоуборочные комбайны испытывают на видах работ, указанных в технической документации, в соответствии с
ГОСТ Р 52778.
На каждом виде работ комбайны испытывают при оптимальных режимах, определяемых по результатам оценки функциональных показателей. Условия испытаний должны соответствовать ТЗ или ТУ на испытуемый комбайн.
9.5 Для сокращения сроков испытаний допускается проведение ускоренных испытаний на надежность по действующей НД на режимах, воспроизводящих эксплуатационные нагрузки.
9.6 Наработку кукурузоуборочных комбайнов измеряют часами основного времени, тоннами собранной продукции и гектарами убранной площади. Для учета наработки в часах основного времени проводят сплошной хронометраж вручную или с помощью электронных систем.
Допускается определять наработку в часах основного времени расчетом по наработке в физических единицах за весь период испытаний и производительности, установленной по результатам эксплуатационно-технологической оценки.
9.7 В течение всего периода испытаний ведут учет выявленных отказов и повреждений.
9.8 Определение затрат времени на отыскание и устранение отказов осуществляют пооперационным хронометражем. Погрешность измерения продолжительности операции - +/- 5 с.
Допускается определять затраты времени и труда на отыскание и устранение отказов по нормативам, утвержденным в установленном порядке.
9.8.1 Классификацию элементов времени занятости каждого исполнителя при ремонте и техническом обслуживании комбайнов проводят по
ГОСТ 21623.
9.8.2 Трудоемкость выполнения отдельных ремонтных операций определяют суммированием времени, затраченного на выполнение технологической операции каждым исполнителем.
9.9 Затраты времени и труда на отыскание и устранение отказов в течение всего периода испытаний суммируют и учитывают при расчете показателей.
9.10 Техническое состояние комбайнов и отказавших деталей и узлов оценивают при проведении технической экспертизы.
9.11 Приспособленность комбайнов к техническому обслуживанию определяют по ГОСТ 26026.
9.12 Надежность оценивают сопоставлением фактических показателей с нормативными.
При отсутствии нормативов надежность комбайнов оценивают сравнением с показателями изделия-аналога (сравниваемого комбайна), при этом отклонение в наработке комбайнов не должно превышать 20%.
9.13 Показатели надежности записывают в
форму А.7 (приложение А).
10 Эксплуатационно-технологическая оценка
10.1 Эксплуатационно-технологическую оценку кукурузоуборочных комбайнов проводят в соответствии с
ГОСТ Р 52778.
10.2 Эксплуатационно-технологическую оценку опытных комбайнов проводят на двух видах работ, серийных образцов - на одном основном виде работ в соответствии с руководством по эксплуатации.
10.3 Испытания проводят на оптимальном для данного фона режиме работы, определенном по результатам оценки функциональных показателей для опытных комбайнов и указанном в ТУ - для серийных.
Во время испытаний контролируют соблюдение выбранного режима работы и качество выполнения технологического процесса.
10.4 Сбор информации для эксплуатационно-технологической оценки проводят во время контрольных смен.
10.4.1 Условия испытаний, режим работы и показатели качества выполнения технологического процесса определяют в соответствии с
разделом 6 настоящего стандарта. Результаты записывают в
форму А.8 (приложение А).
10.5 Результаты эксплуатационно-технологической оценки записывают в
формы А.9 -
А.11 (приложение А).
11.1 Экономическую оценку кукурузоуборочных комбайнов проводят по ГОСТ Р 53056.
11.2 Результаты экономической оценки оформляют по ГОСТ Р 53056.
(рекомендуемое)
ОФОРМЛЕНИЕ РЕЗУЛЬТАТОВ ИСПЫТАНИЙ
Форма А.1 - Техническая характеристика кукурузоуборочного комбайна
Наименование показателя | Значение показателя |
Тип комбайна Рабочая ширина захвата, м Число рядов, убираемых комбайном Основная ширина междурядья, на которую рассчитан комбайн, см Агрегатирование (класс трактора) Привод Скорость движения, м/с (км/ч): - рабочая - транспортная Производительность за 1 ч времени, га/ч (т/ч): - основного - эксплуатационного Число персонала по профессиям, необходимое для обслуживания операций, непосредственно связанных с работой комбайна, чел: ______________________ ______________________ ______________________ Габаритные размеры комбайна, мм: - в рабочем положении: - длина - ширина - высота - в транспортном положении: - длина - ширина - высота Дорожный просвет, мм Масса комбайна, кг: - в комплектации поставки - сухая (конструкционная) с комплектом рабочих органов или приспособлений для выполнения основной технологической операции | |
- сухая (конструкционная) с полным комплектом рабочих органов или приспособлений - эксплуатационная (в рабочей комплектации) - эксплуатационная (в рабочей комплектации) с заполненными технологическими емкостями Масса сменных рабочих органов, запасных частей и инструмента Распределение эксплуатационной массы по опорам, кг: ______________________ ______________________ ______________________ Минимальные радиусы поворота, м: - внутренний - наружный Угол поперечной статической устойчивости, ...° Ширина колеи, мм: - передних колес - задних колес Вместимость бункера зерна, м3 Число передач: - ременных - цепных - карданных - редукторов Число точек смазки, всего в том числе: - ежесменных - периодических - сезонных Оперативная трудоемкость, чел. ч: - составления агрегата (монтажа сменных рабочих органов) - перевода из рабочего в транспортное положение и обратно - досборки комбайна на месте применения Максимальное давление движителей на почву, кПа | |
Характеристика рабочих органов Двигатель: - тип - мощность, кВт - расход топлива Режущий аппарат: - тип ножа - привод ножа - пределы регулирования высоты среза, см Початкоотделяющий аппарат: - тип ______________________ ______________________ Молотильный аппарат: - тип - диаметр барабана, мм - частота вращения барабана, с-1 - тип деки - тип привода - способ регулирования частоты вращения - способ регулирования зазора между декой и барабаном - пределы регулирования зазора между декой и барабаном Соломотряс: - тип - число клавишей - длина клавиши, мм - число каскадов - частота вращения ведущего вала, с-1 Очистка: - тип - тип решет - число решет - площадь решет, м2 | |
- тип вентилятора очистки - частота вращения, с-1 Измельчитель: - тип - тип ножей - диаметр измельчающего барабана, мм - зазор между режущими элементами, мм Ходовая часть: - тип движителя - число колес - база (расстояние между ведущими и управляемыми колесами) - тип, размер шин - давление в шинах, кПа: - ведущих колес - управляемых колес Гидравлическая система: - тип насосов - число насосов - номинальное давление, МПа Электрооборудование ______________________ ______________________ ______________________ | |
Форма А.2 - Показатели условий испытаний кукурузоуборочных комбайнов при агротехнической оценке
Наименование показателя | Значение показателя |
Дата проведения испытаний Место испытаний Культура Сорт (гибрид) Урожайность, т/га: - зерна - незерновой части урожая Соотношение массы початков (зерна) и незерновой части урожая Высота растения, см Диаметр стебля на высоте среза, мм Полеглость растений, % Густота растений, тыс. шт/га Засоренность участка сорными растениями (слабая, средняя, сильная) Высота расположения нижнего початка, см Количественная доля початков, расположенных от почвы на высоте согласно ТЗ (ТУ), % Естественные потери, т/га: - зерна из початков - свободного зерна - незерновой части урожая Влажность, %: - зерна - незерновой части урожая (листьев, стеблей) - обертки - стержней Выход зерна из початков <*>, % Диаметр початка, мм Длина початка, мм Ширина основного междурядья, см Количественная доля растений, отклоненных от осевой линии ряда, % Уклон поверхности участка, ...° Микрорельеф Влажность почвы в слое от 0 до 10 см, % | |
<*> При уборке кукурузы на зерно не определяют. |
Форма А.3 - Показатели качества выполнения технологического процесса комбайнами для уборки кукурузы в початках при агротехнической оценке
Наименование показателя | Значение показателя |
Дата проведения испытаний Рабочая скорость движения, м/с (км/ч) Производительность, т/ч Высота среза, см Полнота очистки початков от обертки, % Массовая доля целых початков, % Массовая доля свободного зерна в ворохе початков, % Массовая доля сорной примеси в ворохе початков, % Полнота сбора початков, % Потери зерна, % Вышелушивание зерна из початков, % Полнота сбора незерновой части урожая, % Полнота измельчения незерновой части урожая, % | |
Форма А.4 - Показатели качества выполнения технологического процесса комбайнами для уборки кукурузы на зерно с обмолотом початков при агротехнической оценке
Наименование показателя | Значение показателя |
Дата проведения испытаний Рабочая скорость движения, м/с (км/ч) Производительность, т/ч Высота среза, см Массовая доля зерна в ворохе, %, всего: в том числе: - основного - дробленого Массовая доля сорной примеси в ворохе зерна, % Полнота сбора зерна, % Потери зерна, %, в том числе: - свободного - из необмолоченных початков Полнота сбора незерновой части урожая, % Полнота измельчения незерновой части урожая, % | |
Форма А.5 - Энергетические показатели кукурузоуборочных комбайнов
Наименование показателя | Значение показателя |
Дата проведения испытаний Режим работы Рабочая скорость движения, м/с Рабочая ширина захвата, м Производительность за основное время, га/ч (т/ч) Энергетические показатели Потребляемая мощность, кВт Удельные энергозатраты, МДж/га (МДж/т) Расход топлива, кг/ч Тяговое сопротивление, Н Мощность, затрачиваемая на привод рабочих органов, кВт | |
Форма А.6 - Показатели безопасности и эргономичности конструкции кукурузоуборочных комбайнов
Наименование показателя | Значение показателя |
Общие требования безопасности к конструкции узлов и агрегатов, специфические требования к машине Требования к обеспечению безопасности при монтаже, транспортировании и хранении Требования к кабинам и их оборудованию Требования к средствам доступа в места обслуживания Уровень шума на рабочем месте Уровень вибрации на сидении и органах управления Содержание вредных веществ в воздухе рабочей зоны Параметры микроклимата на рабочем месте Параметры и расположение органов управления Люфт рулевого колеса Требования к сиденью Пожарная безопасность Требования к электрооборудованию Требования к системе освещения и световой сигнализации Удобство и безопасность обслуживания Требования к средствам доступа на рабочее место Наличие предупреждающих надписей и знаков безопасности Требования к системе символов для обозначения органов управления и средств отображения информации Требования к наличию и конструкции защитных ограждений Требования к системе блокировки и предупредительной сигнализации Требования к обеспечению безопасности операций по очистке Требования к исключению возможности самопроизвольного включения (выключения) рабочих органов Требования к обзорности зон наблюдения Безопасность присоединения Угол поперечной статической устойчивости Нагрузка на управляемые колеса Силы сопротивления перемещению органов управления Эффективность действия тормозных систем <*> | |
<*> Оценивают только на машинах, оборудованных тормозами. |
Форма А.7 - Показатели надежности
Наименование показателя | Значение показателя |
Ресурс изделия <*>, ч, га, т Гамма-процентный ресурс изделия <*>, ч, га, т Наработка на отказ, ч, га, т Наработка на отказ групп сложности I, II, III, ч, га, т Среднее время восстановления, ч Оперативная трудоемкость ежесменного технического обслуживания, чел. ч Трудоемкость ежесменного технического обслуживания, чел. ч Удельная суммарная трудоемкость технических обслуживаний, чел. ч/ч, чел. ч/га, чел. ч/т Удельная суммарная оперативная трудоемкость технических обслуживаний, чел. ч/ч, чел. ч/га, чел. ч/т Удельная суммарная оперативная трудоемкость текущих ремонтов (отыскания и устранения отказов), чел. ч/ч, чел. ч/га, чел. ч/т Удельная суммарная трудоемкость текущих ремонтов (отыскания и устранения отказов), чел. ч/ч, чел. ч/га, чел. ч/т Коэффициент готовности: - с учетом организационного времени - по оперативному времени Коэффициент технического использования | |
<*> Показатели долговечности определяют и оценивают при проведении специальных ресурсных испытаний. |
Форма А.8 - Показатели условий испытаний кукурузоуборочных комбайнов при эксплуатационно-технологической оценке
Наименование показателя | Значение показателя |
Период проведения испытаний Место проведения испытаний Культура Сорт (гибрид) Урожайность, т/га: - зерна Полеглость растений, % Влажность, %: - зерна - незерновой части урожая (листьев, стеблей) - обертки - стержней Ширина междурядья, см Уклон поверхности участка, ...° Влажность почвы в слое от 0 до 10 см, % Высота растения, см Диаметр стебля на высоте среза, мм Засоренность участка сорными растениями (слабая, средняя, сильная) Высота расположения нижнего початка, см Диаметр початка, мм Длина початка, мм | |
<*> Определяют только при уборке початков. | |
Форма А.9 - Показатели качества выполнения технологического процесса комбайнов для уборки кукурузы в початках при эксплуатационно-технологической оценке
Наименование показателя | Значение показателя |
Полнота очистки початков от обертки, % Полнота сбора початков, % Полнота сбора незерновой части урожая, % Высота среза, см Массовая доля целых початков, % Потери зерна, % Вышелушивание зерна из початков, % Полнота измельчения незерновой части урожая, % | |
Форма А.10 - Показатели качества выполнения технологического процесса комбайнами для уборки кукурузы на зерно с обмолотом початков при эксплуатационно-технологической оценке
Наименование показателя | Значение показателя |
Массовая доля зерна в ворохе, %: - основного - дробленого Массовая доля сорной примеси в ворохе зерна, % Потери зерна, %, в том числе: - свободного - из необмолоченных початков Полнота измельчения незерновой части урожая, % Полнота сбора зерна, % Полнота сбора незерновой части урожая, % Высота среза, см | |
Форма А.11 - Эксплуатационно-технологические показатели
Наименование показателя | Значение показателя по |
НД | данным испытаний по виду работ |
1 | 2 |
Период проведения испытаний Место проведения испытаний Технологическая операция Состав агрегата Режим работы: - рабочая скорость движения, м/с (км/ч) - рабочая ширина захвата, м Производительность за 1 ч времени, га/ч (т/ч): - основного - сменного - эксплуатационного Удельный расход топлива за сменное время, кг/ч Эксплуатационно-технологические коэффициенты: - рабочих ходов - технологического обслуживания - надежности технологического процесса - использования сменного времени - использования эксплуатационного времени Число обслуживающего персонала, чел | | | |
(рекомендуемое)
ФОРМЫ РАБОЧИХ ВЕДОМОСТЕЙ РЕЗУЛЬТАТОВ ИСПЫТАНИЙ
Форма Б.1 - Ведомость определения характеристики культуры на корню
Марка комбайна ___________________ Место испытаний _______________
Культура, сорт, гибрид ______________ Дата __________________________
Средства измерений ________________
Измерение | Высота растения, см | Диаметр стебля на высоте среза, мм |
Учетная площадка |
1 | 2 | 3 | 1 | 2 | 3 |
1 | | | | | | |
2 | | | | | | |
3 | | | | | | |
... | | | | | | |
n | | | | | | |
Сумма | | |
Среднее арифметическое значение | | |
Исполнитель _______________ должность | __________________ личная подпись | __________________ фамилия, инициалы |
Форма Б.2 - Ведомость определения полеглости, густоты и засоренности участка
Марка комбайна __________________ Место испытаний ________________
Культура, сорт, гибрид _____________ Дата ___________________________
Площадь учетной площадки, м2 ______________________________________
Учетная площадка | Число растений на учетной площадке, шт | Степень покрытия площадки сорными растениями, балл |
всего | в том числе полеглых |
1 | | | |
2 | | | |
3 | | | |
... | | | |
10 | | | |
Сумма | | | |
Среднее арифметическое значение | | | |
Густота растений, тыс. шт/га | | - | - |
Количественная доля полеглых растений, % | - | | - |
Засоренность участка (слабая, средняя, сильная) | - | - | |
Исполнитель _______________ должность | __________________ личная подпись | __________________ фамилия, инициалы |
Форма Б.3 - Ведомость определения высоты расположения нижнего початка
Марка комбайна __________________ Место испытаний ________________
Культура, сорт, гибрид _____________ Дата ___________________________
Высота расположения нижнего початка по ТЗ (ТУ), см _________________
Средства измерений _______________________________________________
Измерение | Высота расположения нижнего початка, см |
Учетная площадка |
1 | 2 | 3 | ... | 10 |
1 | | | | | |
2 | | | | | |
3 | | | | | |
... | | | | | |
n (20) | | | | | |
Сумма | | | | | |
Среднее арифметическое значение | | | | | |
Количественная доля початков, расположенных от поверхности почвы в пределах ТЗ или ТУ, % | | | | | |
Исполнитель _______________ должность | __________________ личная подпись | __________________ фамилия, инициалы |
Форма Б.4 - Ведомость определения естественных потерь зерна и незерновой части урожая
Марка комбайна __________________ Место испытаний ________________
Культура, сорт, гибрид _____________ Дата ___________________________
Площадь учетной делянки, м2 _______ Средства измерений ______________
Учетная площадка | Масса естественных потерь, кг |
свободного зерна от самоосыпания | зерна из утерянных початков | зерна из початков полеглых растений | всего зерна | незерновой части урожая (полеглые растения, листья) |
1 | | | | | |
2 | | | | | |
3 | | | | | |
... | | | | | |
10 | | | | | |
Сумма | | | | | |
Среднее арифметическое значение | | | | | |
Потери, т/га | | | | | |
Исполнитель _______________ должность | __________________ личная подпись | __________________ фамилия, инициалы |
Форма Б.5 - Ведомость определения размера початка
Марка комбайна ___________________ Место испытаний _______________
Культура, сорт, гибрид ______________ Дата __________________________
Средства измерений _______________________________________________
Измерение | Диаметр початка, мм | Длина початка, мм |
1 | | |
2 | | |
3 | | |
... | | |
n (100) | | |
Сумма | | |
Среднее арифметическое значение | | |
Исполнитель _______________ должность | __________________ личная подпись | __________________ фамилия, инициалы |
Форма Б.6 - Ведомость определения ширины междурядья и отклонения растений от осевой линии ряда
Марка комбайна ___________________ Место испытаний ______________
Культура, сорт, гибрид __________ Повторность ___________ Дата ______
Отклонение растений от осевой линии ряда, допускаемое ТЗ или ТУ _____
Средства измерений _________________________________
Измерение | Расстояние от центра междурядья до растения, см | Ширина междурядья, см | Отклонение растений от осевой линии ряда, +/- см |
влево | вправо | влево | вправо |
междурядье | междурядье |
1 | 2 | 3 | 1 | 2 | 3 | 1 | 2 | 3 | 1 | 2 | 3 |
1 | | | | | | | - | | | | | | |
2 | | | | | | | | | | | | |
3 | | | | | | | | | | | | |
... | | | | | | | | | | | | |
n | | | | | | | | | | | | |
Сумма | | | | | | | - | | | | | | |
Среднее арифметическое значение | | | | | | | | | | | | | |
Количественная доля растений с отклонением, превышающим ТЗ или ТУ, % | - | - | - | |
Исполнитель _______________ должность | __________________ личная подпись | __________________ фамилия, инициалы |
Форма Б.7 - Ведомость исходных данных для расчета показателей качества выполнения технологического процесса при испытаниях комбайнов для уборки кукурузы в початках
Марка комбайна __________________ Место испытаний ________________
Культура, сорт, гибрид _____________ Дата ___________________________
Средства измерений _______________________________________________
Наименование показателя | Значение показателя |
Повторность |
1 | 2 | 3 |
Длина пути L, м Продолжительность опыта t, с Масса початков, собранная за опыт Mп, кг Площадь участка, с которой собраны початки за опыт, Sп, м2 Масса незерновой части урожая, собранная за опыт, Mн.ч, кг Площадь участка, с которой собрана незерновая часть урожая за опыт, Sн.ч, м2 Масса свободного зерна в незерновой части урожая, собранная за опыт  , кг Площадь учетной делянки для сбора потерь свободного зерна в незерновой части урожая  , м 2Выход зерна из початков <*> B, % Масса зерна из утерянных початков на учетной делянке  , кг Площадь учетной площадки для сбора потерь початков Sп.п, м2 Масса зерна из утерянных початков за опыт mп, кг Масса потерь свободного зерна на земле учетной площадки  , кг Площадь учетной площадки для сбора потерь свободного зерна на земле Sп.з, м2 Масса потерь свободного зерна за опыт mз, кг Масса потерь незерновой части урожая с учетной площадки  , кг Площадь учетной площадки для сбора потерь незерновой части урожая Sп.н.ч, м2 Масса потерь незерновой части урожая за опыт mн.ч, кг Масса средней пробы початков для анализа вороха, кг, всего, qп: в том числе: - початков qп.п: - очищенных qо.п - целых qц.п - свободного зерна qс.з - сорной примеси qс.п Полнота измельчения незерновой части урожая: - масса навески незерновой части урожая qо, г | | | |
- масса частиц с длиной резки, допускаемой требованиями ТЗ или ТУ, q1, г - масса частиц с длиной резки, превышающей требования ТЗ или ТУ, q2, г Естественные потери <*>, т/га: - зерна из початков mе.з.п - свободного зерна от самоосыпания mе.с.з - незерновой части урожая mе.н.ч Содержание зерна в незерновой части урожая, допускаемое требованиями ТЗ или ТУ, A, % | | | |
|
Форма Б.8 - Ведомость определения высоты среза
Марка комбайна __________________ Место испытаний ______________
Культура, сорт гибрид __________ Дата _________ Скорость, км/ч ______
Средства измерений _____________________________________________
Измерение | Высота среза, см |
Учетная площадка |
1 | 2 | 3 |
1 | | | |
2 | | | |
3 | | | |
... | | | |
n (20) | | | |
Сумма | | | |
Среднее арифметическое значение | | | |
Исполнитель _______________ должность | __________________ личная подпись | __________________ фамилия, инициалы |
Форма Б.9 - Ведомость исходных данных для расчета показателей качества выполнения технологического процесса при испытаниях комбайнов для уборки кукурузы на зерно с обмолотом початков
Марка комбайна _____________________ Культура, сорт, гибрид _________
Место испытаний _____________ Опыт _____________ Дата _____________
Средства измерений ____________________
Наименование показателя | Значение показателя |
Повторность |
1 | 2 | 3 |
Длина пути L, м Продолжительность опыта t, с Масса зерна, собранная за опыт, Mз, кг Площадь, с которой собрано зерно за опыт, Sз, м2 Масса незерновой части урожая за опыт Mн.ч, кг Площадь, с которой собрана незерновая часть урожая за опыт, Sн.ч, м2 Масса свободного зерна в незерновой части урожая, собранная за опыт,  , кг Площадь учетной делянки для сбора потерь свободного зерна в незерновой части урожая  , м 2Масса зерна из утерянных початков на учетной площадке  , кг Площадь учетной площадки для сбора потерь зерна из утерянных початков Sп.п, м2 Масса зерна из утерянных початков за опыт mз.п, кг Масса потерь свободного зерна на земле с учетной площадки  , кг Площадь учетной площадки для сбора потерь свободного зерна на земле Sп.з, м2 Масса потерь свободного зерна на земле за опыт mз, кг Масса потерь незерновой части урожая на учетной площадке  , кг Площадь учетной площадки для сбора потерь незерновой части урожая Sп.н.ч, м2 Масса потерь незерновой части урожая за опыт mн.ч, кг Масса навески для анализа вороха зерна qн, г: в том числе: - зерна qз.н: - основного qос.з - дробленого qдр - сорной примеси qс.п Масса навески незерновой части урожая q0, г Масса частиц с длиной резки, допускаемой требованиями ТЗ или ТУ, q1, г | | | |
Масса частиц с длиной резки, превышающей допускаемую требованиями ТЗ или ТУ, q2, г Естественные потери <*>, т/га: - зерна из початков mе.з.п - свободного зерна от самоосыпания mе.с.з - незерновой части урожая mе.н.ч Содержание зерна в незерновой части урожая, допускаемое требованиями ТЗ или ТУ, A, % | | | |
|
Зерно из бункера Марка комбайна ____________________________________________________ Место испытаний ___________________________________________________ (хозяйство, отделение, поле) Дата ______________________________________________________________ Культура, сорт, гибрид _______________________________________________ Опыт _____________________________________________________________ Длина пути, м ______________________________________________________ Продолжительность опыта, с __________________________________________ Масса зерна, собранная за опыт, кг _____________________________________ Средства измерений _________________________________________________ |
Исполнитель _______________ должность | __________________ личная подпись | __________________ фамилия, инициалы |
(рекомендуемое)
ОПИСАНИЕ ПРОБООТБОРНИКОВ ПОЧАТКОВ И НЕЗЕРНОВОЙ
ЧАСТИ УРОЖАЯ КУКУРУЗЫ
В.1 Пробоотборник початков
Таблица В.1
Техническая характеристика пробоотборника початков
Наименование показателя | Значение показателя |
Класс трактора | 1,4 |
Марка прицепа | 2ПТС-4М |
Размеры контейнера, мм: | |
- верхняя рамка | 600 x 600 |
- длина в развернутом виде | 800 |
Тип подъемного устройства | Консольный кран |
Вылет стрелы, мм | 3000 |
Максимальный угол подъема стрелы от горизонта, ...° | 60 |
Максимальный угол наклона, ...° | 30 |
Грузоподъемность, кг | 200 |
Подъем стрелы | При помощи гидроцилиндра ЦЭ-55 и гидросистемы трактора |
Погрешность измерения пути, % | 5 |
Погрешность измерения времени, с | +/- 1 |
Габаритные размеры, мм: | |
- длина | 3815 |
- ширина | 1970 |
- высота | 2485 |
В.1.1 Подготовка пробоотборника початков к работе и метод отбора проб
В.1.1.1 Пробоотборник початков предназначен для отбора проб во время испытаний кукурузоуборочного комбайна в условиях эксплуатации для оценки показателей качества выполнения технологического процесса.
В пробоотборнике использованы:
- трактор, оборудованный спереди консольным краном;
- тракторный двухосный прицеп 2ПТС-4М с надставными сплошными бортами;
- три контейнера в сложенном виде, расположенные равномерно на дне кузова прицепа вдоль его продольной оси;
- измеритель пути и времени с датчиками работы.
В.1.1.2 Перед началом отбора проб проводят тарировку измерителя пути при порожнем кузове пробоотборника согласно руководству по его эксплуатации. Для этого на выбранном участке поля длиной 50 м прокатывают прицеп пробоотборника с помощью трактора, считывают по прибору число импульсов, соответствующих 50 м, и определяют цену импульса пути порожнего прицепа пробоотборника. Затем в кузов пробоотборника равномерно вдоль его продольной оси устанавливают в сложенном виде три мягких контейнера, стропы которых закрепляют к бортам, после чего прицеп агрегатируют с испытуемым комбайном вместо технологического транспорта. В кабину самоходного комбайна на педаль переднего хода или тягу включения вала отбора мощности (ВОМ) трактора (при отборе проб от прицепного комбайна) устанавливают датчики работы, а на цифровых лампах электронного блока измерителя пути и времени выставляют нулевые показания кнопкой "Установка".
В.1.1.2.1 Отбор проб проводят при безостановочной работе кукурузоуборочного комбайна до заполнения прицепа початками.
В.1.1.2.2 После его заполнения производят смену технологического транспорта, агрегатируют прицеп с трактором пробоотборника и считывают с электронного блока измерителя время в секундах и путь в импульсах продолжительности заполнения прицепа початками.
Датчик работы оставляют на испытуемом комбайне для следующего повторения опыта.
Сагрегатированный с трактором прицеп пробоотборника снова прокатывают по выбранному первоначальному участку поля длиной 50 м и определяют цену импульса пути груженого прицепа. По двум числовым значениям цены импульса (порожнего и груженого прицепа) вычисляют ее среднее арифметическое значение для данного поля и после умножения на число импульсов (считанных с электронного блока после заполнения прицепа початками) получают длину пути, пройденного за опыт.
В.1.1.2.3 Подъемным устройством за стропы вынимают из кузова пробоотборники с пробами и разгружают их. Отобранные пробы взвешивают и разбирают на фракции по
6.5.2.
В.1.1.2.4 С помощью гидросистемы трактора выгружают початки из прицепа, устанавливают в него пустые контейнеры и транспортируют на поле для отбора следующих проб.
В.2 Пробоотборник незерновой части урожая кукурузы
Таблица В.2
Техническая характеристика пробоотборника незерновой части
урожая кукурузы
Наименование показателя | Значение показателя |
Тип пробоотборника | Самоходный |
Базовая машина | СК-6 "Колос" |
Тип ловителя массы | Механический |
Линейная скорость транспортера, м/с | От 3 до 5 |
Транспортирующее устройство для листостебельной массы | Измельчитель ПУН-6 |
Тип тележки для сбора массы | Прицеп одноосный самосвальный 1ПТС-2Н |
Опрокидывание тележки, постоянно присоединенной к пробоотборнику | От гидросистемы пробоотборника с помощью распределителя Р75-ПЗ |
Тип взвешивающего устройства | Тензовесы |
Пределы измерений, кг | От 0 до 500 От 0 до 1000 |
Относительная погрешность взвешивания, % | 2 |
Программное устройство: | |
дискретность отсчета: | |
- времени, с | 1 |
- пути в импульсах датчика | 1 |
Относительная погрешность измерений пути, % | 5 |
Абсолютная погрешность измерений времени, с | +/- 1 |
Масса пробоотборника, кг | 11 050 |
Радиус поворота, мм: | |
- вправо | 8200 |
- влево | 9750 |
В.2.1 Подготовка пробоотборника незерновой части урожая кукурузы к работе и метод отбора проб
В.2.1.1 Пробоотборник предназначен для отбора проб незерновой части урожая кукурузы и выделения из нее свободного зерна в процессе испытаний кукурузоуборочных комбайнов при оценке качества выполнения технологического процесса.
Пробоотборник выполнен на базе самоходного комбайна СК-6 "Колос" и состоит из улавливателя массы, пневмотранспортера, сепарирующего, транспортирующего, взвешивающего и программного устройств.
В.2.1.2 Перед началом отбора проб определяют цену импульса измерителя пути программного устройства, для чего выбранный отрезок поля длиной 50 м прокатывают пробоотборником, считывают с прибора программного устройства число импульсов, соответствующих 50 м, и определяют цену одного импульса. Проверяют установку нулевого показания взвешивающего устройства, для чего отрывают его кузов от подвижной рамы с помощью гидроцилиндров и управляющего распределителя. При несовпадении стрелки прибора взвешивающего устройства с нулевой отметкой проводят потенциометром установку ее на "0". На блоке программного устройства набирают программу - число импульсов, соответствующих той или иной длине зачетной делянки для отбора проб, длина которой будет изменяться на разных фонах в зависимости от влажности и урожайности листостебельной массы. С помощью программного устройства длину зачетной делянки можно бесступенчато изменять от 20 до 250 м.
В.2.1.3 На любом прямолинейном участке поля механизатор подводит транспортер ловителя пробоотборника под струю измельченной массы, выходящей с элеватора испытуемого кукурузоуборочного комбайна, нажимает кнопку начала опыта на блоке программного устройства и ведет пробоотборник синхронно с испытуемым комбайном так, чтобы измельченная масса из комбайна попадала на транспортер и далее на сепарирующее устройство, где из нее выделяется свободное зерно. Пневмотранспортером оно собирается в емкость, навешенную на циклон, а остальная масса с помощью транспортирующего устройства подается в агрегатируемый с пробоотборником прицеп взвешивающего устройства.
В.2.1.4 После прохождения заданной программой длины участка, окончание которого оповещается звуковым сигналом, механизатор останавливает пробоотборник, который работает на месте в течение 1 - 2 мин для полного выделения свободного зерна. После этого снимают показания с электронного блока: путь - в импульсах, время - в секундах (должны совпадать с заданными), проводят расфиксацию кузова взвешивающего устройства с подвижной рамой прицепа и отсоединяют кузов от рамы. Включают питание электронного блока взвешивающего устройства и снимают с него показания. Затем опускают кузов в исходное положение, фиксируют его на подвижной раме и разгружают прицеп, после чего осуществляют контрольное взвешивание пустого кузова для проверки возвращения стрелки прибора к "0". С циклона пневмотранспортера снимают емкость с выделенным зерном, снабжают ее этикеткой с исходными данными и отправляют на доработку.
В.2.1.5 Проводят операции по подготовке пробоотборника к отбору следующей пробы - навешивают емкость на циклон пневмотранспортера, набирают программу длины зачетной делянки, нажимают кнопку "Установка 0" на цифровых лампах электронного блока программного устройства и повторяют отбор пробы.
(рекомендуемое)
ПЕРЕЧЕНЬ СРЕДСТВ ИЗМЕРЕНИЙ И ОБОРУДОВАНИЯ
ДЛЯ ОПРЕДЕЛЕНИЯ ФУНКЦИОНАЛЬНЫХ ПОКАЗАТЕЛЕЙ
Шкаф сушильный с погрешностью измерения +/- 1 °C.
Весы с погрешностью измерения +/- 40 г, 50 г по
ГОСТ Р 53228.
Динамометры пружинные общего назначения с погрешностью измерения +/- 1,0% по
ГОСТ 13837.
Секундомер с погрешностью измерения +/- 1 с.
Линейка металлическая 500 мм с погрешностью измерения +/- 1 мм по
ГОСТ 427.
Штангенциркуль с погрешностью измерения +/- 0,1 мм по
ГОСТ 166.
Пробоотборник початков ПУ-18.
Пробоотборник незерновой части урожая.
Рулетка с погрешностью измерения +/- 1 мм по
ГОСТ 7502.
| | Государственная система обеспечения единства измерений. Порядок проведения поверки средств измерений |
| СТО АИСТ 2.8-2010 | Испытания сельскохозяйственной техники. Надежность. Методы оценки показателей |
УДК 631.355.001.8:006.354 | |
Ключевые слова: комбайны кукурузоуборочные, испытания, виды оценок, методы, опыт, повторность, показатели качества, показатели условий |