Главная // Актуальные документы // ГОСТ Р (Государственный стандарт)СПРАВКА
Источник публикации
М.: Стандартинформ, 2008
Примечание к документу
Документ утратил силу с 1 января 2018 года в связи с изданием
Приказа Росстандарта от 22.03.2017 N 168-ст. Взамен введен в действие
ГОСТ 24055-2016.
Документ
введен в действие с 1 июля 2008 года.
Название документа
"ГОСТ Р 52778-2007. Национальный стандарт Российской Федерации. Испытания сельскохозяйственной техники. Методы эксплуатационно-технологической оценки"
(утв. и введен в действие Приказом Ростехрегулирования от 13.11.2007 N 301-ст)
"ГОСТ Р 52778-2007. Национальный стандарт Российской Федерации. Испытания сельскохозяйственной техники. Методы эксплуатационно-технологической оценки"
(утв. и введен в действие Приказом Ростехрегулирования от 13.11.2007 N 301-ст)
Утвержден и введен в действие
агентства по техническому
регулированию и метрологии
от 13 ноября 2007 г. N 301-ст
НАЦИОНАЛЬНЫЙ СТАНДАРТ РОССИЙСКОЙ ФЕДЕРАЦИИ
ИСПЫТАНИЯ СЕЛЬСКОХОЗЯЙСТВЕННОЙ ТЕХНИКИ
МЕТОДЫ ЭКСПЛУАТАЦИОННО-ТЕХНОЛОГИЧЕСКОЙ ОЦЕНКИ
Tests of agricultural machinery.
Methods of operational-technological evaluation
ГОСТ Р 52778-2007
Группа Т51
ОКС 03.120.10
Дата введения
1 июля 2008 года
Задачи и принципы стандартизации в Российской Федерации установлены Федеральным
законом от 27 декабря 2002 г. N 184-ФЗ "О техническом регулировании", а правила применения национальных стандартов Российской Федерации -
ГОСТ Р 1.0-2004 "Стандартизация в Российской Федерации. Основные положения".
1. Разработан Федеральным государственным научным учреждением "Российский научно-исследовательский институт по испытанию сельскохозяйственных технологий и машин" (ФГНУ "РосНИИТиМ").
2. Внесен Министерством сельского хозяйства Российской Федерации.
3. Утвержден и введен в действие
Приказом Федерального агентства по техническому регулированию и метрологии от 13 ноября 2007 г. N 301-ст.
4. Введен впервые.
Информация об изменениях к настоящему стандарту публикуется в ежегодно издаваемом информационном указателе "Национальные стандарты", а текст изменений и поправок - в ежемесячно издаваемых информационных указателях "Национальные стандарты". В случае пересмотра (замены) или отмены настоящего стандарта соответствующее уведомление будет опубликовано в ежемесячно издаваемом информационном указателе "Национальные стандарты". Соответствующая информация, уведомление и тексты размещаются также в информационной системе общего пользования - на официальном сайте Федерального агентства по техническому регулированию и метрологии в сети Интернет.
Настоящий стандарт распространяется на сельскохозяйственные тракторы, самоходные шасси, сельскохозяйственные машины (навесные, полунавесные, прицепные, полуприцепные, монтируемые), тракторные прицепы, полуприцепы, стационарные сельскохозяйственные машины и технологическое оборудование (далее - машины).
Стандарт устанавливает общие положения, показатели эксплуатационно-технологической оценки, методы их получения, обработки и анализа при предварительных, приемочных, типовых, квалификационных, периодических испытаниях и других видов испытаний по
ГОСТ 16504, включающих эксплуатационно-технологическую оценку.
В настоящем стандарте использованы нормативные ссылки на следующие стандарты:
ГОСТ Р 50779.21-2004 Статистические методы. Правила определения и методы расчета статистических характеристик по выборочным данным. Часть 1. Нормальное распределение
ГОСТ Р 52321-2005 (МЭК 62053-11:2003) Аппаратура для измерения электрической энергии переменного тока. Частные требования. Часть 11. Электромеханические счетчики активной энергии классов точности 0,5; 1 и 2
ГОСТ 6570-96 Счетчики электрические активной и реактивной энергии индукционные. Общие технические условия
ГОСТ 7502-98 Рулетки измерительные металлические. Технические условия
ГОСТ 16504-81 Система государственных испытаний продукции. Испытания и контроль качества продукции. Основные термины и определения
ГОСТ 29329-92 Весы для статического взвешивания. Общие технические требования
Примечание. При пользовании настоящим стандартом целесообразно проверить действие ссылочных стандартов в информационной системе общего пользования - на официальном сайте Федерального агентства по техническому регулированию и метрологии в сети Интернет или по ежегодно издаваемому информационному указателю "Национальные стандарты", который опубликован по состоянию на 1 января текущего года, и по соответствующим ежемесячно издаваемым информационным указателям, опубликованным в текущем году. Если ссылочный стандарт заменен (изменен), то при пользовании настоящим стандартом следует руководствоваться заменяющим (измененным). Если ссылочный стандарт отменен без замены, то положение, в котором дана ссылка на него, применяется в части, не затрагивающей эту ссылку.
В настоящем стандарте применены следующие термины с соответствующими определениями:
3.1. эксплуатационно-технологическая оценка: Оценка эксплуатационных качеств (свойств) сельскохозяйственной машины, характеризующих способность выполнять технологический процесс в пределах агротехнического срока, с оптимальной производительностью, при соблюдении заданного зональной технологией качества работы и минимальными потерями сменного времени.
3.2. контрольная смена: Период работы сельскохозяйственной машины в одну полную рабочую смену на одном фоне, при четкой организации труда, контроле и определении режима работы и качества выполнения рабочего процесса, а также ведении хронографии или хронометража.
3.3. нормативная смена: Рабочая смена, продолжительность которой регламентирует КЗОТ.
3.4. хронография: Регистрация всех операций и соответствующей им продолжительности времени в хронологической последовательности.
3.5. хронометраж: Регистрация определенных операций и соответствующей им продолжительности времени в течение времени работы машины.
3.6. вид работы: Технологическая операция, выполняемая в соответствии с назначением машины, с заданными технологическими параметрами, которые требуют регулировок или переоборудования, с определенным составом агрегата, входящая в состав определенной технологии возделывания сельскохозяйственной культуры.
Примечание. Вид работы включает в себя технологическую операцию, культуру (или предшественника), состав агрегата.
3.7. фон: Определенное сочетание показателей для одного и того же вида работ, характеризующих условия работы сельскохозяйственной машины (влажность, твердость почвы, урожайность и др.).
3.8. типичный фон: Состояние фона (культуры, почвы, исходного технологического материала и др.), предусмотренного техническим заданием (ТЗ) на машину или техническими условиями (ТУ).
3.9. экстремальный фон: Фон, у которого один или несколько показателей отличаются от максимально (минимально) допустимого по ТЗ или ТУ более чем на 15%.
4.1. Эксплуатационно-технологическую оценку сельскохозяйственной машины проводят в сельскохозяйственных зонах, для которых она предназначена, с учетом условий эксплуатации и особенностей выполнения технологического процесса.
4.2. Эксплуатационно-технологическую оценку опытных образцов машины проводят на основных видах работ в зоне, для которых она предназначена, согласно ТЗ и рабочей программе-методике испытаний.
4.2.1. На каждом виде работ испытания проводят на типичном и экстремальном фонах.
4.3. Испытания серийных образцов машины проводят на основных видах работ на типичном для зоны фоне.
4.4. Во время контрольной смены воспроизводят режим работы машинно-тракторного агрегата, установленный в ТЗ, и определяют эксплуатационно-технологические показатели и показатели качества выполнения технологического процесса по номенклатуре показателей, предусмотренной ТЗ.
4.4.1. При подготовке сельскохозяйственной машины к проведению эксплуатационно-технологической оценки должны быть соблюдены следующие требования:
- техническое состояние машины, представленной на испытания, должно соответствовать требованиям ТЗ или ТУ и руководству по эксплуатации;
- сельскохозяйственная машина должна быть сагрегатирована с соответствующим энергетическим средством, отвечающим требованиям ТЗ (ТУ);
- техническое и технологическое обслуживание машины следует проводить с использованием персонала и технических средств, предусмотренных руководством по эксплуатации;
- до проведения контрольных смен машина должна быть обкатана в соответствии с рекомендациями изготовителя.
4.4.2. При проведении контрольных смен в полевых условиях для обеспечения строго сопоставимых условий работы сравнимых машин и получения достоверных результатов необходимо выполнять следующие требования:
- проводить испытания сравнимых машин на одном и том же поле и в одно и то же время;
- располагать контрольные участки рядом, и по площади они должны быть равны не менее дневной выработки машины;
- при необходимости выделять несколько участков на одном поле, они должны чередоваться случайным образом;
- при предварительных, приемочных и периодических испытаниях на каждом виде работ минимальная продолжительность контрольной смены должна быть не менее 8 ч сменного времени для машин, используемых на технологических операциях с агротехническим сроком не менее 10 дней;
- длина гона на контрольных участках не должна разниться более чем на 5%;
- оптимальный способ движения агрегата должен быть задан исходя из его конструкционных возможностей и руководства по эксплуатации.
4.5. Эксплуатационно-технологическую оценку новых машин проводят путем сравнения полученных значений показателей по новой машине со значениями ТЗ и показателями базового варианта.
4.5.1. За базу для сравнения принимают результаты испытаний по серийной машине, полученные в сопоставимых условиях.
4.6. На этапе периодических испытаний серийных образцов результаты испытаний сравнивают с нормативными значениями эксплуатационно-технологических показателей, предусмотренных ТУ на машину.
4.7. Количество регистрируемых элементов времени смены должно соответствовать указанному в таблице 1.
Рекомендуемое число измерений элементов времени смены
Наименование элемента времени смены | Число измерений |
Основное время, ч: - при делении основного времени на контрольные опыты (циклы) | 10 |
- при суммировании всего основного времени | Не менее трех контрольных смен общей продолжительностью не менее 18 ч сменного времени |
Вспомогательное время (кроме времени на повороты), ч | 3 |
Время на повороты, ч | 10 |
Время на ежесменное техническое обслуживание, подготовку и окончание работ, проведение наладки и регулировки, ч | 3 |
Время на периодическое техническое обслуживание, ч | 1 |
4.8. Качество выполнения рабочей операции, сохранность и качество продукции определяют в соответствии с нормативным документом на испытания машины конкретного типа.
4.9. Погрешность измерений не должна превышать значений, указанных в таблице 2.
Наименование показателя | Погрешность измерения при контрольной смене, % |
Время: | |
до 5 мин | +/- 1 |
св. 5 мин | +/- 0,5 |
Линейные размеры | +/- 1 |
Масса | +/- 0,5 |
Расход топлива | +/- 2 |
Расход электроэнергии | +/- 1 |
Расход жидкости | +/- 3 |
4.10. Перечень рекомендуемых средств измерения для проведения эксплуатационно-технологической оценки приведен в
Приложении А.
5. Номенклатура и методы получения первичной информации
5.1. При проведении эксплуатационно-технологической оценки сельскохозяйственной машины фиксируют следующие данные:
- дату и место испытаний, вид работы и состав, наименование и марку испытуемой машины;
- условия испытаний (фон);
- режим работы машины;
- объем выполненной работы;
- продолжительность элементов времени смены;
- расход топлива (газа, электроэнергии);
- расход вспомогательных материалов;
- количество обслуживающего персонала;
- качество выполнения технологического процесса.
5.2. Условия и режим работы определяют в соответствии с НД на испытания отдельных типов машин.
5.3. Объем выполненной работы определяют следующим образом:
- количество убранного (внесенного, переработанного, перевезенного и т.д.) основного продукта - взвешиванием всего количества или определением объема продукции;
- количество убранного (внесенного, переработанного, перевезенного и т.д.) побочного продукта, материалов, грузов - посредством контрольных взвешиваний;
- размер убранного, обработанного участка - непосредственным его измерением;
- количество исходного сырья и полученного готового продукта - посредством контрольных взвешиваний.
5.4. Регистрацию продолжительности элементов времени смены определяют следующими методами:
- хронографией рабочего времени, когда все операции и элементы времени регистрируют в хронологической последовательности;
- фотохронометражем, представляющим собой комбинированное наблюдение, при котором в отдельные периоды проводится сплошная фотография рабочего времени, в другие - хронометраж;
- допускается данные испытаний получать хронометражными наблюдениями, когда элементы времени регистрируются путем измерения длительности повторяющихся элементов времени, например основного времени, времени на повороты, выгрузку (загрузку) и др.
5.4.1. Регистрируемую информацию заносят в форму наблюдательного листа (на электронный или бумажный носитель). Форма наблюдательного листа приведена в
Приложении Б.
5.4.2. По завершении наблюдений проводят первичную обработку полученных данных.
Определяют длительность каждого элемента времени, проводят их шифровку (индексацию). Шифровку проводят в соответствии с
Приложением В, а также в соответствии с зафиксированным при наблюдении режимом работы двигателя энергосредства ("под нагрузкой", т.е. при фиксировании основного времени; повороте; "холостой" работе машины, т.е. при переезде; "холостой" работе двигателя, т.е. при работе машины, когда работает только двигатель). Исключают ошибочные измерения.
5.4.3. При регистрации продолжительности времени на устранение нарушения технологического процесса и технического отказа необходимо отметить инженерную оценку причины нарушения технологического процесса и технического отказа.
5.5. Расход топлива определяют за весь период контрольной смены одним из следующих способов:
- с использованием прибора, регистрирующего расход топлива;
- с использованием заправочного агрегата со счетчиком топлива методом дозаправки испытуемой машины (агрегата) после окончания контрольной смены.
5.6. Количество израсходованного технологического материала (семян, удобрений, гербицидов, шпагата и т.п.) определяют путем учета фактически израсходованного количества за время контрольной смены.
5.7. Число обслуживающего персонала определяют по результатам проведения контрольных смен. При этом определяют потребность в основном персонале (механизаторе, операторе и т.д.) и вспомогательном персонале (мастере-наладчике, сеяльщике, сельхозрабочем и пр.).
5.8. Показатели качества выполнения технологического процесса заносят в формы, предусмотренные НД на методы испытания конкретных типов машин.
5.9. Обработку результатов измерений с использованием статистических методов проводят при определении следующих показателей:
- производительности за 1 ч основного времени;
- времени на повороты;
- времени технологического обслуживания (выгрузки, загрузки);
- расхода топлива за 1 ч основного времени (для аппаратурного способа получения данных).
5.10. Статистический метод обработки данных испытаний предусматривает:
- определение статистических характеристик выборки;
- определение необходимого числа измерений для достижения заданной точности (при использовании числа измерений, отличного от приведенного в
таблицах 1,
2);
- определение среднего статистического эксплуатационно-технологического показателя.
5.10.1. Правила определения и методы расчета статистических характеристик проводятся по
ГОСТ 50779.21 и соответствующим программам.
эксплуатационно-технологических показателей
6.1. Показателями эксплуатационно-технологической оценки являются:
- производительность за 1 ч основного времени;
- производительность за 1 ч сменного и эксплуатационного времени;
- удельный расход топлива (газа, электроэнергии и др.);
- число обслуживающего персонала;
- коэффициенты, характеризующие затраты времени: рабочих ходов, технологического обслуживания, надежности технологического процесса, использования сменного и эксплуатационного времени.
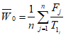
6.2. Производительность за 1 ч основного времени

, га/ч (т/ч, шт./ч), вычисляют по формуле

, (1)
где F - объем работы за период наблюдения, га (т, шт.);

- основное время за период наблюдения, ч.
6.2.1. Для машин, работающих по технологическим циклам, производительность за 1 ч основного времени

, га, т, шт., вычисляют по формуле

, (2)
где n - число циклов;
j - принадлежность к j-му циклу;

- объем работы за j-й цикл, га (т, шт.);

- основное время j-го цикла, ч.
6.3. Производительность за 1 ч сменного

времени, га/ч (т/ч, шт./ч), вычисляют по формуле

, (3)
где

- коэффициент использования сменного времени.
6.4. Производительность за 1 ч эксплуатационного

, га/ч (т/ч, шт./ч), вычисляют по формуле

, (4)
где

- коэффициент использования эксплуатационного времени.
6.5. Удельный расход топлива сельскохозяйственных машин при нормативной продолжительности смены

, кг/га (кг/т), вычисляют по формуле

, (5)
где

,

,

,

- основное время (под нагрузкой), на повороты, холостую работу машины (переезды), холостую работу двигателя при нормативной продолжительности смены, ч, соответственно;

,

,

,

- часовой расход топлива под нагрузкой, на поворотах, при холостой работе машины (при переездах), при холостой работе двигателя, кг/ч, соответственно;

- объем выполненной работы (наработка) за нормативную продолжительность смены, га (т, шт.).
6.5.1. Объем выполненной работы (наработку) за нормативную продолжительность смены

, га (т, шт.), вычисляют по формуле

, (6)
где

- основное время при нормативной продолжительности смены, ч, вычисляемое в соответствии с
Приложением Г.
6.5.2. Время на холостую работу машины (на холостые переезды)

и холостую работу двигателя

при нормативной продолжительности смены определяют суммированием соответствующих элементов времени в зависимости от типа машины.
6.5.3. Показатели часового расхода топлива определяют по данным, регистрируемым с помощью расходомеров топлива.
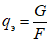
6.6. Удельный расход электроэнергии при нормативной смене

, кВт·ч/га (кВт·ч/т, кВт·ч/шт.), вычисляют по формуле

, (7)
где G - расход электроэнергии, кВт·ч.
6.7. Рабочую скорость на каждом виде работ

, км/ч, вычисляют по формуле

, (8)
где

- рабочая ширина захвата машины, м, вычисляемая по формуле

(

- ширина обработанного участка, м; k - количество рабочих гонов).
6.7.1. Допускается среднюю скорость агрегата

, км/ч (м/с), а также среднюю скорость движения по полю с грузом

, км/ч (м/с), среднюю скорость движения по полю без груза

, км/ч (м/с), и среднюю транспортную скорость агрегата

, км/ч (м/с), вычислять по формуле

, (9)
где

- пройденное расстояние в i-м измерении, м (км);

- время, за которое пройдено расстояние

, с (ч).
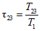
6.7.2. Среднюю технологическую скорость агрегата

, км/ч, вычисляют по формуле

. (10)
6.8. Производительность вспомогательной машины, работающей в технологическом комплексе с основной машиной, рассчитывают как имеющую "жесткую связь" или не имеющую "жесткую связь".
6.8.1. По вспомогательной машине, имеющей "жесткую" связь с основной машиной, производительность за 1 ч сменного времени

, га/ч (т/ч), вычисляют по формуле

, (11)
где

- производительность за 1 ч сменного времени по основной машине, га/ч (т/ч);

- число вспомогательных машин.
6.8.1.1. Число вспомогательных машин (транспортных прицепов) в агрегате с трактором (в полевых условиях)

вычисляют по формуле

, (12)
где

- производительность основной машины, га/ч (т/ч, шт/ч);

- производительность вспомогательной машины, га/ч (т/ч, шт./ч);

- удельные затраты вспомогательного времени основной машины;

- удельные затраты вспомогательного времени вспомогательной машины.
6.8.1.2. Число вспомогательных автотранспортных средств

вычисляют по формуле

, (13)
где

- расстояние транспортировки сельскохозяйственной продукции (плечо перевозки), км;

- производительность основной машины, т/ч;

- грузоподъемность автотранспортного средства, т;

- транспортная скорость, км/ч.
6.8.2. По вспомогательной машине, не имеющей "жесткой связи" с основной машиной, производительность за 1 ч сменного времени вычисляют по формуле

, (14)
где

- число основных машин;

- число вспомогательных машин.
6.9. Число обслуживающего персонала

, чел./ч, занятого на выполнении основного технологического процесса, а также на вспомогательных операциях, обеспечивающих работу основной машины, вычисляют по формуле

, (15)
где

- число обслуживающего персонала, занятого на выполнении основного технологического процесса, чел.;

- продолжительность нормативной смены, ч;

- число обслуживающего персонала, занятого на вспомогательной операции, чел.;

- время на вспомогательной операции, ч.
6.10. Эксплуатационно-технологические коэффициенты, характеризующие затраты времени смены, вычисляют по следующим формулам:
6.10.1. Коэффициент рабочих ходов

вычисляют по формуле

, (16)
где

- среднее время на поворот, ч;

- длина гона, соответствующая значению типичного хозяйства зоны, км;

- рабочая ширина захвата машины, м.
6.10.2.1. Коэффициент технологического обслуживания

для машин, выполняющих операции по внесению технологического материала, вычисляют по формуле

, (17)
где

- среднее время на технологическое обслуживание (загрузку) i-го технологического материала (семян, удобрений, средств защиты растений и др.), ч;

- расход i-го технологического материала на единицу площади (семян, удобрений, средств защиты растений и др.), кг/га, л/га;

- масса i-го технологического материала в технологической емкости (семян, удобрений, средств защиты растений и др.), кг, л;

- период наблюдения, во время которого фиксируют все наладки и регулировки, в часах основного времени, ч;
6.10.2.2. Коэффициент технологического обслуживания

для уборочных комбайнов вычисляют по формуле

, (18)
где

- производительность за 1 ч основного времени, га/ч;
У - урожайность, т/га, вычисляемая по формуле

(M - масса собранного (перевезенного) технологического материала с убранной площади, т; F - площадь соответствующего убранного участка, га).
6.10.3. Коэффициент надежности технологического процесса

вычисляют по формуле

, (19)
где

- время на устранение нарушения технологического процесса, ч;

- период наблюдения, во время которого фиксируется время на устранение нарушений технологического процесса, в часах основного времени.
6.10.4. Коэффициент использования сменного времени

вычисляют по формуле

, (20)
где

- продолжительность нормативной смены, ч.
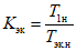
6.10.5. Коэффициент использования эксплуатационного времени

вычисляют по формуле

, (21)
где

- эксплуатационное время при нормативной продолжительности смены, вычисляемое в соответствии с
Приложением Г.
6.11. Анализ результатов эксплуатационно-технологической оценки проводят сравнением результатов по испытуемой машине с результатами сравниваемого варианта и нормативными значениями, определенными требованиями ТУ и ТЗ.
При анализе эксплуатационно-технологических показателей:
- отражают соответствие условий проведения испытаний типичным условиям зоны, соответствие сроков выполнения работы агротехническим срокам, отмечают факторы, благоприятствовавшие работе машины, затрудняющие ее работу;
- увязывают полученные показатели со сроками выполнения работ, энергетическим средством, конструкцией машины и технологическим процессом;
- устанавливают причинно-следственные связи показателей с конструкцией машины и оценивают их влияние на качество выполнения технологического процесса;
- характеризуют универсальность и комбинированность машины, ее вписываемость в технологический процесс, отмечают несоответствия по агрегатированию машины;
- сопоставляют фактические показатели с показателями ТЗ, ТУ и сравниваемой машины, анализируют эксплуатационно-технологические коэффициенты, выявляют преимущества и недостатки.
По результатам эксплуатационно-технологической оценки делают вывод о соответствии машины требованиям ТЗ, ТУ.
6.12. Результаты эксплуатационно-технологической оценки оформляют в соответствии с
Приложением Д.
(рекомендуемое)
ПЕРЕЧЕНЬ СРЕДСТВ ИЗМЕРЕНИЙ И ИСПЫТАТЕЛЬНОГО
ОБОРУДОВАНИЯ, ПРИМЕНЯЕМЫХ В СФЕРЕ ГОСУДАРСТВЕННОГО
МЕТРОЛОГИЧЕСКОГО КОНТРОЛЯ И НАДЗОРА (ГМКИН) ПРИ ОПРЕДЕЛЕНИИ
ЭКСПЛУАТАЦИОННО-ТЕХНОЛОГИЧЕСКИХ ПОКАЗАТЕЛЕЙ МАШИН
Таблица А.1
Наименование показателя | Средства измерения и испытательное оборудование, тип | Метрологическая характеристика |
Диапазон измерений (имитации) | Класс точности, погрешность измерения |
Время | Механический секундомер | От 0,2 до 60 с секундной шкалы от 1 до 60 мин минутной шкалы | 2 кл. |
Часы-секундомер электронный | Режим часов: часы, минуты, секунды | +/- 1 с |
Режим секундомера: максимальный объем счета 9 ч 59 мин 59,99 с | Дискретность отсчета времени 0,01 с |
Масса | | От 5 до 100 кг | 3 кл. |
От 20 до 500 кг | 3 кл. |
| От 0,4 до 60 т | 3 кл. |
Расход и количество дизельного топлива | Счетчик топлива поршневой ИП 204 | От 5 до 60 дм3/ч | +/- 1,5% |
Заправщик со счетчиком жидкости | От 0,72 до 7,2 м3/ч | +/- 0,5% |
Геометрические размеры | | От 0,01 до 10 м | +/- 1 мм |
Дальномер лазерный | От 0,2 до 200 м | 1,5 мм/max |
Электрическая энергия | | От 5% до максимального значения тока | 2 кл. |
| От 10% до максимального значения тока | 3 кл. |
Скорость, путь, расход топлива, температура и др. | Измерительная информационная система ИП 238М ИП 264 | Тензометрические каналы - 2 шт; От -15 до +15 мВ | От 0,05% до 0,1% |
Температурные каналы - 3 шт; От 0 до 375 Ом | От 0,05% до 0,1% |
Дискретные каналы - 8 шт. | |
Емкость счетчика в канале 65535 ед. счета | +/- 1 ед. |
Расход дизельного топлива; пройденный путь, элементы времени смены | Измерительная информационная система ИП 254М | Число дискретных каналов - 8 шт. | |
Емкость счетчика в канале 65535 ед. счета | +/- 1 ед. |
Счетчик расходомер дизельного топлива ИП 260 | От 4 до 200 дм3/ч | +/- 1% |
(рекомендуемое)
ОФОРМЛЕНИЕ РЕЗУЛЬТАТОВ НАБЛЮДЕНИЙ
Форма Б.1
Наблюдательный лист
Состав агрегата _________ + _________ + _________
Марка _________ + _________ + _________
Наблюдатель _________________________________
Механизатор _________________________________
┌──────────────────────────────────────────────┬┬───────────────┬─────────────┐
│ Область, район ____________________________ ││Дата │Смена │
│ Наименование хозяйства ____________________ │└───────────────┴─────────────┤
│ Севооборот ________ поле N ___ участок ____ │┌────────────────────────────┐│
│ Технологическая операция __________________ ││ Время наблюдения ││
│ Культура, сорт ____________________________ │├───────┬──────┬─────────────┤│
│ Режим работы (фактическая ширина захвата, ││Начало │Конец │ Продолжи- ││
│ глубина обработки, высота среза, норма ││ │ │ тельность ││
│ высева) ___________________________________ │├───────┼──────┼─────────────┤│
│ ____________________________________________ ││ │ │ ││
│ ____________________________________________ │└───────┴──────┴─────────────┘│
│ ____________________________________________ │Расход горючего: │
│ Число обслуживающего персонала: │Остаток на начало смены ___ л│
│ - на агрегате ____ │Долито ____________________ л│
│ - на сопряженных операциях ____ │Остаток на конец смены ____ л│
│┌──────────────┬─┬─┬─┬─┬─┬─┬─┬─┬─┬─┬─┬─┬─┬─┬─┐│Израсходовано за смену ____ л│
││Длина пути, м │ │ │ │ │ │ │ │ │ │ │ │ │ │ │ ││Израсходовано за смену ____ кг│
│├──────────────┼─┼─┼─┼─┼─┼─┼─┼─┼─┼─┼─┼─┼─┼─┼─┤│Долито: │
││Время, с │ │ │ │ │ │ │ │ │ │ │ │ │ │ │ ││ - масла в картер _________ л│
│├──────────────┼─┼─┼─┼─┼─┼─┼─┼─┼─┼─┼─┼─┼─┼─┼─┤│ - масла в гидросистему __ л│
││Скорость, м/с │ │ │ │ │ │ │ │ │ │ │ │ │ │ │ ││ воды в радиатор __________ л│
│└──────────────┴─┴─┴─┴─┴─┴─┴─┴─┴─┴─┴─┴─┴─┴─┴─┘│Схема участка, размеры сторон │
│ Условия работы (урожайность, число │(указать направление движения │
│ растений, засоренность и др.): │агрегата) │
│ ____________________________________________ │┌─┬─┬─┬─┬─┬─┬─┬─┬─┬─┐ │
│ ____________________________________________ │├─┼─┼─┼─┼─┼─┼─┼─┼─┼─┤ │
│ ____________________________________________ │├─┼─┼─┼─┼─┼─┼─┼─┼─┼─┤ │
│ ____________________________________________ │├─┼─┼─┼─┼─┼─┼─┼─┼─┼─┤ │
│ Почва: легкая, средняя, тяжелая
<1> │├─┼─┼─┼─┼─┼─┼─┼─┼─┼─┤ │
│ Рельеф: ровный, с уклоном, волнистый
<1> │├─┼─┼─┼─┼─┼─┼─┼─┼─┼─┤ │
│ Состояние поверхности почвы: глыбистая, │├─┼─┼─┼─┼─┼─┼─┼─┼─┼─┤ │
│ среднекомковая, комковая
<1> │├─┼─┼─┼─┼─┼─┼─┼─┼─┼─┤ │
│ Микрорельеф - гладкий, гребнистый
<1> │└─┴─┴─┴─┴─┴─┴─┴─┴─┴─┘ │
│ Погода: пасмурно, ясно, дождь, ветер
<1> │ │
│ Влажность почвы: сухая, средневлажная, │Обработано за смену _______ га│
│ влажная
<1> │┌────────────────────────────┐│
│ Предшествующая культура ___________________ ││ Моточасы ││
│ Предыдущая обработка ______________________ │├──────────────┬─────────────││
│ ______ ││в начале смены│в конце смены││
│ <1> Нужное подчеркнуть │├──────────────┼─────────────┤│
│ ││ │ ││
└──────────────────────────────────────────────┴┴──────────────┴─────────────┴┘
Продолжение формы Б.1
Дата _____________ Марка _________ + _________ + _________ с ______
Номер операции | Элемент времени рабочей смены (техники и обслуживающего персонала) | Номер гона | Время конца операции | Продолжительность, ч, мин, с | Шифр | Число человек (при работе, ЕТО, наладке и регулировании, устранении технических отказов, нарушении технологического процесса и др.) |
Часы | Минуты | Секунды | элемента времени | режима работы двигателя энергосредства (под нагрузкой, на повороте, х.р.м., х.р.д.) |
| | | | | | | | | |
| | | | | | | | | |
| | | | | | | | | |
| | | | | | | | | |
| | | | | | | | | |
| | | | | | | | | |
| | | | | | | | | |
| | | | | | | | | |
| | | | | | | | | |
| | | | | | | | | |
| | | | | | | | | |
| | | | | | | | | |
| | | | | | | | | |
| | | | | | | | | |
| | | | | | | | | |
| | | | | | | | | |
Окончание формы Б.1
Дата _____________ Марка _________ + _________ + _________ с ______
Сводные показатели по машине
Номер шифра | Количество операций | Суммарное время, ч | Номер шифра | Количество операций | Суммарное время, ч |
| | | | | |
| | | | | |
| | | | | |
| | | | | |
| | | | | |
| | | | | |
| | | | | |
| | | | | |
| | | | | |
| | | | | |
| | | | | |
| | | | | |
Замечания о работе машины
___________________________________________________________________________
___________________________________________________________________________
___________________________________________________________________________
___________________________________________________________________________
___________________________________________________________________________
___________________________________________________________________________
___________________________________________________________________________
___________________________________________________________________________
___________________________________________________________________________
Основное время, ч | |
Режим работы: | |
- средняя ширина захвата, м | |
- средняя рабочая скорость, км/ч | |
| |
Производительность за 1 ч основного времени, га/ч, т/ч, шт./ч | |
Удельный расход топлива (энергии) за основное время, кг/га (кВт·ч/т) | |
| |
Наблюдатель _____________________ __________________ ____________________
должность личная подпись инициалы, фамилия
Ведущий инженер _________________ __________________ ____________________
должность личная подпись инициалы, фамилия
Ведущий экономист _______________ __________________ ____________________
должность личная подпись инициалы, фамилия
(обязательное)
ХАРАКТЕРИСТИКА ЭЛЕМЕНТОВ ВРЕМЕНИ
Таблица В.1
Характеристика элементов времени
Наименование показателя | Элемент времени |
Основное время  | |
Вспомогательное время  | Время на повороты  |
Время на технологические переезды  |
Время на переезды к месту загрузки (выгрузки)  |
Время на проезд гона вхолостую  |
Время на технологическое обслуживание  |
Время на загрузку (выгрузку) i-го технологического материала (семян, удобрений, зерна и др.)  |
Время на другие вспомогательные операции  |
Время на техническое обслуживание, подготовку и окончание работ  | Время на техническое обслуживание  |
Время на проведение ежесменного технического обслуживания (ЕТО), заправку топливом испытуемого энергосредства  |
Время на проведение периодического технического обслуживания (ПТО, ТО-1, ТО-2, ТО-3)  |
Время на подготовку и окончание работ  |
Время на перевод в рабочее или транспортное положения  |
Время агрегатирования сельскохозяйственной машины с энергосредством  |
Время на проведение наладки и регулировки  |
Время на устранение нарушения технологического процесса и технического отказа  | Время на устранение нарушения технологического процесса  |
Время на устранение технического отказа  |
Время на отдых  | |
Время на холостые переезды  | Время переезда к месту работы и обратно  |
| Время переездов с одного места работы к другому  |
Время простоя машины, агрегатируемой с испытуемой,  | Время на проведение ЕТО и заправку топливом машины, агрегатируемой с испытуемой,  |
| Время на проведение ПТО и время на устранение технических отказов машины, агрегатируемой с испытуемой,  |
Время простоя по причинам, не зависящим от испытуемой машины,  | Из-за неблагоприятных метеоусловий  |
По организационным причинам (в том числе ожидание подъезда автотранспорта более 1 мин)  |
Связанные с простоем агрегатируемой машины (энергосредства)  |
Прочие  |
Простои, связанные с переоборудованием,  |
(обязательное)
МЕТОД ОПРЕДЕЛЕНИЯ ЭЛЕМЕНТОВ ВРЕМЕНИ
ПРИ НОРМАТИВНОЙ ПРОДОЛЖИТЕЛЬНОСТИ СМЕНЫ
Г.1. Основное время при нормативной продолжительности смены

, ч, с учетом элементов времени смены при нормативной ее продолжительности и удельных затрат элементов времени смены вычисляют по формуле

, (Г.1)
где

- время на проведение ЕТО при нормативной продолжительности смены, ч;

- среднее время перевода в рабочее и транспортное положение, ч;

- коэффициент сменности;

- время агрегатирования при нормативной продолжительности смены, ч;

- время на отдых (нормативное), ч;

- время переезда к месту работы при нормативной продолжительности смены, ч;

- время на ЕТО машины, агрегатируемой с испытуемой, при нормативной продолжительности смены, ч;

- удельные затраты вспомогательного времени;

- удельные затраты времени перевода в рабочее и транспортное положения (при переездах с одного места работы к другому во время смены);

- удельные затраты времени на проведение наладки и регулировки;

- удельные затраты времени на устранение нарушения технологического процесса;

- удельные затраты времени на переезды от одного места работы к другому во время смены.
Г.1.1. Время на проведение ЕТО при нормативной продолжительности смены

, ч, вычисляют по формуле

, (Г.2)
где

- среднее время на проведение ЕТО, ч;

- периодичность ЕТО, ч;

- периодичность первого технического обслуживания, ч.
Г.1.2. Время агрегатирования при нормативной продолжительности смены

, ч, вычисляют по формуле

, (Г.3)
где

- среднее время агрегатирования, ч;

- число рабочих дней от агрегатирования до следующего агрегатирования.
Г.1.3. Время переезда к месту работы при нормативной продолжительности смены

, ч, вычисляют по формуле

, (Г.4)
где

- нормативное значение расстояния переезда к месту работы по данным типичного хозяйства зоны, км.
Г.1.4. Время на ЕТО машины, агрегатируемой с испытуемой, при нормативной продолжительности смены

, ч, вычисляют по формуле

, (Г.5)
где

- среднее время на ЕТО машины, агрегатируемой с испытуемой, ч (принимают нормативным, если испытуемая машина не оказывает влияния на продолжительность этого времени, в противном случае, это время определяют);

- периодичность ЕТО машины, агрегатируемой с испытуемой, ч;

- периодичность первого технического обслуживания машины, агрегатируемой с испытуемой, ч.
Г.1.5. Удельные затраты вспомогательного времени

вычисляют по формуле

, (Г.6)
где

- удельные затраты времени на повороты;

- удельные затраты времени на технологические переезды;

- удельные затраты времени на технологическое обслуживание;

- удельные затраты времени на другие технологические операции.
Г.1.5.1. Удельные затраты времени на повороты

вычисляют по формуле

, (Г.7)
где

- среднее время на поворот, ч;

- длина гона, соответствующая значению типичного хозяйства зоны, км;

- рабочая ширина захвата машины, м.
Г.1.5.2. Удельные затраты времени на технологические переезды

вычисляют по формуле

, (Г.8)
где

- удельные затраты времени на переезды к месту загрузки (выгрузки);

- удельные затраты времени на проезд гона вхолостую.
Удельные затраты времени на переезды к месту загрузки (выгрузки)

вычисляют по формуле

, (Г.9)
где

- расстояние технологических переездов, типичное для зоны, км;

- расход (масса) технологического материала на единицу площади, кг/га;

- технологическая скорость агрегата, км/ч;

- вместимость технологической емкости, кг.
Удельные затраты времени на проезд гона вхолостую

вычисляют по формуле

. (Г.10)
Г.1.5.3. Удельные затраты времени на технологическое обслуживание для машины, выполняющей операции по внесению технологического материала (при полных загрузках), вычисляют по формуле

, (Г.11)
где

- среднее время на технологическое обслуживание (загрузку) i-го технологического материала (семян, удобрений, средств защиты растений и др.), ч;

- расход i-го технологического материала на единицу площади (семян, удобрений, средств защиты растений и др.), кг/га, л/га;

- масса i-го технологического материала в технологической емкости (семян, удобрений, средств защиты растений и др.), кг, л.
Удельные затраты времени на технологическое обслуживание

для машины, выполняющей операции по внесению технологического материала (при неполных загрузках), вычисляют по формуле

, (Г.12)
где

- время технологического обслуживания при неполных загрузках, ч.
Удельные затраты времени на технологическое обслуживание

для машины, выполняющей операции по уборке технологического материала (урожая), вычисляют по формуле

, (Г.13)
где

- производительность за 1 ч основного времени, га/ч;
У - урожайность, т/га, вычисляемая по формуле

(M - масса собранного (перевезенного) технологического материала, т, с соответствующей площади F, га).
Допускается удельные затраты времени на технологическое обслуживание

для машины, выполняющей операции по уборке технологического материала (урожая), вычислять по формуле

, (Г.14)
где

- производительность за 1 ч основного времени, т/ч.
Удельные затраты времени на другие технологические операции

вычисляют по формуле

, (Г.15)
где

- среднее время другого технологического обслуживания, ч.
Г.1.6. Удельные затраты времени перевода в рабочее и транспортное положения (при переездах с одного места работы к другому во время смены)

вычисляют по формуле

, (Г.16)
где

- нормативная площадь поля по данным типичного хозяйства зоны, га.
Г.1.7. Удельные затраты времени на проведение наладки и регулировки

вычисляют по формуле

, (Г.17)
где

- время i-й наладки и регулировки, ч;

- период наблюдения, во время которого фиксируются наладки и регулировки, в часах основного времени, ч.
Г.1.8. Удельные затраты времени на устранение нарушения технологического процесса

вычисляют по формуле

, (Г.18)
где

- время устранения i-го нарушения технологического процесса, ч;

- период наблюдения, во время которого зафиксированы нарушения технологического процесса, в часах основного времени, ч.
Г.1.9. Удельные затраты времени на переезды с одного места работы к другому (во время смены)

вычисляют по формуле

, (Г.19)
где

- нормативное значение расстояния переезда с одного места работы к другому в течение смены по данным типичного хозяйства зоны, км;

- площадь поля в типичном хозяйстве зоны, га.
Г.2. Проверку баланса сменного времени проводят по формуле

. (Г.20)
Вспомогательное время при нормативной продолжительности смены

, ч, вычисляют по формуле

. (Г.21)
Время на повороты

, ч, при нормативной продолжительности смены вычисляют по формуле

. (Г.22)
Время на технологические переезды

, ч, при нормативной продолжительности смены вычисляют по формуле

. (Г.23)
Время на переезды к месту загрузки (выгрузки) при нормативной продолжительности смены

, ч, вычисляют по формуле

. (Г.24)
Время на проезд гона вхолостую при нормативной продолжительности смены

, ч, вычисляют по формуле

. (Г.25)
Время технологического обслуживания при нормативной продолжительности смены

, ч, вычисляют по формуле

. (Г.26)
Время на другие вспомогательные операции при нормативной продолжительности смены

, ч, вычисляют по формуле

. (Г.27)
Время на подготовку и окончание работ при нормативной продолжительности смены

, ч, вычисляют по формуле

. (Г.28)
Время перевода в рабочее и транспортное положения при нормативной продолжительности смены

, ч, вычисляют по формуле

. (Г.29)
Время на проведение наладки и регулировки при нормативной продолжительности смены

, ч, вычисляют по формуле

. (Г.30)
Время на устранение нарушения технологического процесса при нормативной продолжительности смены

, ч, вычисляют по формуле

. (Г.31)
Время холостой работы при нормативной продолжительности смены

, ч, вычисляют по формуле

. (Г.32)
Время переездов с одного места работы к другому при нормативной продолжительности смены

, ч, вычисляют по формуле

. (Г.33)
Г.3. Эксплуатационное время при нормативной продолжительности смены

, ч, вычисляют по формуле

. (Г.34)
Г.3.1. Время на проведение ПТО при нормативной продолжительности смены

, ч (определяют только при испытании энергосредства), вычисляют по формуле

, (Г.35)
где

,

,

- периодичность первого, второго и третьего технического обслуживания соответственно, ч;

,

,

- среднее время периодического технического обслуживания первого, второго, третьего соответственно, ч.
Г.3.2. Время на устранение технических отказов при нормативной продолжительности смены

, ч, вычисляют по формуле

, (Г.36)
где

- удельные затраты времени на устранение технического отказа, вычисляемые по формуле

(

- время на устранение i-го технического отказа;

- период наблюдения, во время которого зафиксированы технические отказы, в часах основного времени, ч).
Г.4. Удельные затраты сменного времени

вычисляют по формуле

, (Г.37)
где

- удельные затраты основного времени,

.
Удельные затраты времени на проведение ежесменного технического обслуживания

вычисляют по формуле

. (Г.38)
Удельные затраты времени на подготовку и окончание работ

вычисляют по формуле

. (Г.39)
Удельные затраты времени на отдых

вычисляют по формуле

. (Г.40)
Удельные затраты времени на время холостой работы

вычисляют по формуле

. (Г.41)
Удельные затраты времени ежесменного технического обслуживания машины, агрегатируемой с испытуемой,

вычисляют по формуле

. (Г.42)
Г.5. Удельные затраты эксплуатационного времени

вычисляют по формуле

. (Г.43)
Удельные затраты времени на проведение периодического технического обслуживания

вычисляют по формуле

. (Г.44)
Таблица Г.1
Определение элементов времени смены
при нормативной продолжительности смены
Наименование показателя | Формула расчета | Удельные затраты времени, отн. ед. |
Основное время  | | |
Вспомогательное время  | | |
Время на повороты  | | |
Время на технологические переезды  | | |
Время на переезды к месту загрузки (выгрузки)  | | |
Время на проезд гона вхолостую  | | |
Время технологического обслуживания  : | | |
- при полных загрузках | | |
- при неполных загрузках | | |
- для уборочных комбайнов | | |
Время на другие вспомогательные операции  | | |
Время на проведение ежесменного технического обслуживания; время на заправку топливом испытуемого энергосредства  | | |
Время проведения периодического технического обслуживания  | | |
Время на подготовку и окончание работ  | | |
Время перевода в рабочее и транспортное положение  | | |
Время агрегатирования сельскохозяйственной машины с энергосредством  | | |
Время на проведение наладки и регулировки  | |  или  |
Время на устранение нарушения технологического процесса  | |  или  |
Время на устранение отказов  | | |
Время на отдых  | | |
Время холостой работы  | | |
Время переездов к месту работы  | | |
Время переездов с одного места работы к другому  | | |
Время на проведение ежесменного технического обслуживания и заправку топливом машины, агрегатируемой с испытуемой  | | |
Суммарные периоды времени Оперативное время <*> | | |
Сменное время  | | или  |
Эксплуатационное время  | | или  |
<*> Величину вычисляют только для определения эксплуатационно-технологических показателей за технологические циклы. |
<**> Величину вычисляют при испытании энергосредства. |
Примечания |
1 Элементы времени, указанные в настоящей таблице, приведены в часах. При необходимости элементы времени, используемые в формулах расчета удельных затрат времени, можно приводить в минутах или секундах с введением поправочных коэффициентов. |
2 Размерность производительности за 1 ч основного времени  - га/ч. Допускается при размерности производительности за 1 ч основного времени  , т/ч,  вычислять по формуле  . |
3 Затраты времени  по машине, агрегатируемой с испытуемой, принимают нормативными, если испытуемая машина не оказывает влияния на изменение этих затрат, в противном случае - затраты определяют. |
4 Время на отдых обслуживающего персонала для энергоемких машин, требующих больших физических усилий при эксплуатации, допускается брать фактическое по данным испытаний. |
(рекомендуемое)
ЭКСПЛУАТАЦИОННО-ТЕХНОЛОГИЧЕСКОЙ ОЦЕНКИ
Форма Д.1
Эксплуатационно-технологические показатели ________________
Наименование показателя | Значение показателя по |
НД | данным испытаний по виду работ |
1 | 2 | 3 |
Период проведения оценки Место проведения Условия проведения оценки Состав агрегата Культура (предшественник) Технологическая операция Режим работы: - скорость движения - рабочая ширина захвата - глубина хода рабочих органов - норма высева и др. Производительность за 1 ч времени, га/ч, (т/ч, шт./ч): - основного - сменного - эксплуатационного Удельный расход топлива, электроэнергии за сменное время, кг/га, кг/т, кВт·ч/га, кВт·ч/т Эксплуатационно-технологические коэффициенты; - рабочих ходов - технологического обслуживания - надежности технологического процесса - использования сменного времени - использования эксплуатационного времени Число обслуживающего персонала, чел. Показатели качества выполнения технологического процесса: | | | | |
|
|
Форма Д.2
Баланс времени смены при нормативной продолжительности
Наименование элемента времени | Значение элемента времени по виду работ |
1 | 2 |
ч | % | ч | % |
Основное время Время на повороты Время на технологические переезды Время на технологическое обслуживание Время на другие вспомогательные операции Время на ЕТО Время на подготовку и окончание работ Время на проведение наладки и регулировки Время на устранение нарушения технологического процесса Время на отдых Время на холостые переезды Время на ЕТО машины, агрегатируемой с испытуемой | | | | |
Итого: сменное время | | 100 | | 100 |
Время на проведение ПТО Время на устранение технических отказов | | | | |
Итого: эксплуатационное время | | | | |