Главная // Актуальные документы // ГОСТ (Государственный стандарт)СПРАВКА
Источник публикации
М.: Стандартинформ, 2008
Примечание к документу
Отдельные положения данного документа включены в
Перечень международных и региональных (межгосударственных) стандартов, а в случае их отсутствия - национальных (государственных) стандартов, содержащих правила и методы исследований (испытаний) и измерений, в том числе правила отбора образцов, необходимые для применения и исполнения требований технического
регламента Таможенного союза "О безопасности машин и оборудования" (ТР ТС 010/2011) и осуществления оценки соответствия объектов технического регулирования (
Решение Коллегии Евразийской экономической комиссии от 09.03.2021 N 28).
Отдельные положения данного документа включены в
Перечень стандартов, содержащих правила и методы исследований (испытаний) и измерений, в том числе правила отбора образцов, необходимые для применения и исполнения требований технического
регламента Таможенного союза "О безопасности машин и оборудования" (ТР ТС 010/2011) и осуществления оценки (подтверждения) соответствия продукции (
Решение Комиссии Таможенного союза от 18.10.2011 N 823).
Текст данного документа приведен с учетом
поправки, опубликованной в "ИУС", N 11, 2008.
Документ
введен в действие с 1 июля 2008 года.
Название документа
"ГОСТ 31191.1-2004 (ИСО 2631-1:1997). Межгосударственный стандарт. Вибрация и удар. Измерение общей вибрации и оценка ее воздействия на человека. Часть 1. Общие требования"
(введен в действие Приказом Ростехрегулирования от 12.12.2007 N 357-ст)
"ГОСТ 31191.1-2004 (ИСО 2631-1:1997). Межгосударственный стандарт. Вибрация и удар. Измерение общей вибрации и оценка ее воздействия на человека. Часть 1. Общие требования"
(введен в действие Приказом Ростехрегулирования от 12.12.2007 N 357-ст)
по техническому регулированию
и метрологии
от 12 декабря 2007 г. N 357-ст
МЕЖГОСУДАРСТВЕННЫЙ СТАНДАРТ
ВИБРАЦИЯ И УДАР
ИЗМЕРЕНИЕ ОБЩЕЙ ВИБРАЦИИ И ОЦЕНКА ЕЕ ВОЗДЕЙСТВИЯ
НА ЧЕЛОВЕКА
ЧАСТЬ 1
ОБЩИЕ ТРЕБОВАНИЯ
Vibration and shock.
Measurement and evaluation of human exposure
to whole-body vibration. Part 1.
General requirements
ISO 2631-1:1997
"Mechanical vibration and shock - Evaluation
of human exposure to whole-body vibration - Part 1:
General requirements"
(MOD)
ГОСТ 31191.1-2004
(ИСО 2631-1:1997)
Дата введения
1 июля 2008 года
Цели, основные принципы и основной порядок проведения работ по межгосударственной стандартизации установлены
ГОСТ 1.0-92 "Межгосударственная система стандартизации. Основные положения" и
ГОСТ 1.2-97 "Межгосударственная система стандартизации. Стандарты межгосударственные, правила и рекомендации по межгосударственной стандартизации. Порядок разработки, принятия, применения, обновления и отмены".
1. Подготовлен Открытым акционерным обществом "Научно-исследовательский центр контроля и диагностики технических систем" на основе собственного аутентичного перевода стандарта, указанного в
пункте 4.
2. Внесен Госстандартом России.
3. Принят Межгосударственным советом по стандартизации, метрологии и сертификации по переписке (Протокол N 15 от 4 февраля 2004 г.).
За принятие проголосовали:
Краткое наименование страны по МК (ИСО 3166) 004-97 | Код страны по МК (ИСО 3166) 004-97 | Сокращенное наименование национального органа по стандартизации |
Армения | AM | Армстандарт |
Беларусь | BY | Госстандарт Республики Беларусь |
Кыргызстан | KG | Кыргызстандарт |
Российская Федерация | RU | Госстандарт России |
Таджикистан | TJ | Таджикстандарт |
Туркменистан | TM | Главгосслужба "Туркменстандартлары" |
Узбекистан | UZ | Агентство "Узстандарт" |
Молдова | MD | Молдова- Стандарт |
4. Настоящий стандарт является модифицированным по отношению к международному стандарту ИСО 2631-1:1997 "Вибрация и удар. Оценка воздействия общей вибрации на человека. Часть 1. Общие требования" (ISO 2631-1:1997 "Mechanical vibration and shock - Evaluation of human exposure to whole-body vibration - Part 1: General requirements") путем внесения технических отклонений, объяснение которых приведено во введении к настоящему стандарту, и изменения его структуры.
Сравнение структуры настоящего стандарта со структурой указанного международного стандарта приведено в дополнительном
Приложении E.
Степень соответствия - модифицированная (MOD).
5.
Приказом Федерального агентства по техническому регулированию и метрологии от 12 декабря 2007 г. N 357-ст межгосударственный стандарт 31191.1-2004 (ИСО 2631-1:1997) введен в действие в качестве национального стандарта Российской Федерации с 1 июля 2008 г.
6. Введен впервые.
Информация о введении в действие (прекращении действия) настоящего стандарта публикуется в указателе "Национальные стандарты".
Информация об изменениях к настоящему стандарту публикуется в указателе "Национальные стандарты", а текст изменений - в информационных указателях "Национальные стандарты". В случае пересмотра или отмены настоящего стандарта соответствующая информация будет опубликована в информационном указателе "Национальные стандарты".
Основной целью настоящего стандарта является установление методов получения количественной информации о воздействии общей вибрации на человека в отношении:
- его здоровья и степени комфорта;
- чувствительности к воздействию вибрации;
- подверженности болезни движения.
Настоящий стандарт устанавливает методы получения значений параметров, на основе которых могут быть сделаны заключения о допустимости действующей вибрации в соответствии с требованиями национального законодательства. Приводимый в стандарте перечень измеряемых параметров и рекомендации по их использованию при оценке вибрации установлены на основе международного опыта и применимы к разным условиям и разным видам вибрации, включая вибрацию с большим значением пик-фактора. Принятые на национальном уровне гигиенические нормативы могут устанавливать предельные значения для одного или нескольких параметров из данного перечня.
В трех Приложениях к настоящему стандарту рассмотрены эффекты воздействия вибрации на здоровье
(Приложение B), степень комфорта и чувствительность к вибрации
(Приложение C) и подверженность болезни движения
(Приложение D).
Настоящий стандарт не рассматривает потенциальный эффект воздействия вибрации на качество выполняемых работ, поскольку это в сильной степени зависит от эргономических факторов, условий работы и выполняемого задания.
По сравнению с примененным международным стандартом ИСО 2631-1:1997 в текст настоящего стандарта внесены следующие изменения:
-
раздел 1 дополнен способом оценки вибрации, воздействующей на ноги сидящего человека, с точки зрения риска получения вибрационной болезни;
- в
разделе 2 международные стандарты заменены соответствующими межгосударственными;
- в
раздел 3 добавлены определения терминов "комфорт", "чувствительность к вибрации", "порог чувствительности к вибрации", "болезнь движения";
-
пункт 6.4.2 дополнен алгоритмом расчета корректированного ускорения с использованием метода быстрого преобразования Фурье (БПФ);
- исключены ссылки на зарубежные литературные источники, доступ к которым затруднен, а также исключен структурный элемент "Библиография".
Настоящий стандарт устанавливает общие требования по измерению общей вибрации разных видов: периодической, случайной, в форме переходных процессов. В стандарте указаны основные факторы, которые необходимо принимать во внимание для определения приемлемости действующей вибрации с точки зрения ее влияния на здоровье и степень комфорта, чувствительности к вибрации и подверженности болезни движения. Диапазон частот рассматриваемой вибрации составляет:
- от 0,5 до 80 Гц <*> для оценки воздействия на здоровье и степень комфорта и чувствительности к вибрации;
--------------------------------
<*> Здесь и далее диапазон частот измерений (оценки) определен в виде последовательности третьоктавных полос, а границы диапазона частот указаны через среднегеометрические частоты крайних полос этой последовательности. Таким образом, номинальный диапазон частот измерений (оценки) будет несколько шире указанного. Это в особенности следует иметь в виду при рассмотрении требований к измерениям вибрации
(раздел 5).
- от 0,1 до 0,5 Гц для оценки подверженности болезни движения.
Настоящий стандарт распространяется на вибрацию, передаваемую через опорные поверхности на ноги (положение стоя), на ноги, ягодицы и спину (положение сидя) и на все тело в целом (положение лежа), которая может наблюдаться, например, на транспортных средствах, в зданиях и поблизости от работающего оборудования.
В настоящем стандарте в качестве фактора риска для здоровья рассмотрена только вибрация, передаваемая на ягодицы и спину сидящего человека через подушку и спинку сиденья. Продолжительное воздействие вибрации, передаваемой на ступни ног сидящего человека, также способно вызвать специфическое заболевание, называемое вибрационной болезнью <*>. Динамические характеристики ступней ног сидящего человека близки к характеристикам кистей рук, а этиология и патогенез вибрационной болезни аналогичны тем, что характерны для заболевания в результате воздействия локальной вибрации. Поэтому при измерении и оценке общей вибрации, воздействующей на ноги сидящего человека, следует руководствоваться
ГОСТ 31192.1, применяя в части требований к месту и направлению измерений вибрации положения настоящего стандарта (
5.2,
5.3).
--------------------------------
<*> Случаи заболевания вибрационной болезнью при воздействии вибрации на ноги человека наблюдаются только при грубых нарушениях условий безопасного ведения работ и требований к конструкции машин в части снижения вреда от воздействия вибрации по
ГОСТ 12.1.012.
Настоящий стандарт не распространяется на методы оценки параметров сильных одиночных ударов, в частности таких, что имеют место при аварии транспортных средств.
В настоящем стандарте использованы нормативные ссылки на следующие межгосударственные стандарты:
ГОСТ 12.1.012-2004 Система стандартов безопасности труда. Вибрационная безопасность. Общие требования
ГОСТ ИСО 8041-2006 Вибрация. Воздействие вибрации на человека. Средства измерений (ИСО 8041:2005, IDT)
ГОСТ ИСО 10326-1-2002 Вибрация. Оценка вибрации сидений транспортных средств по результатам лабораторных испытаний. Часть 1. Общие требования (ИСО 10326-1:1992, IDT)
ГОСТ 17168-82 Фильтры электронные октавные и третьоктавные. Общие технические требования и методы испытаний (МЭК 61260:1995, NEQ)
ГОСТ 24346-80 Вибрация. Термины и определения (ИСО 2041:1990, NEQ)
ГОСТ 31191.2-2004 (ИСО 2631-2:2003) Вибрация и удар. Измерение общей вибрации и оценка ее воздействия на человека. Часть 2. Вибрация внутри зданий (ИСО 2631-2:2003, MOD)
ГОСТ 31192.1-2004 (ИСО 5349-1:2001) Вибрация. Измерение локальной вибрации и оценка ее воздействия на человека. Часть 1. Общие требования (ИСО 5349-1:2001, MOD)
Примечание. При пользовании настоящим стандартом целесообразно проверить действие ссылочных стандартов на территории государства по соответствующему указателю стандартов, составленному по состоянию на 1 января текущего года, и по соответствующим информационным указателям, опубликованным в текущем году. Если ссылочный стандарт заменен (изменен), то при пользовании настоящим стандартом следует руководствоваться заменяющим (измененным) стандартом. Если ссылочный стандарт отменен без замены, то положение, в котором дана ссылка на него, применяется в части, не затрагивающей эту ссылку.
3.1. Комфорт: субъективное ощущение хорошего самочувствия в условиях воздействия внешних факторов, включая вибрацию и удар.
Примечание. Состояние комфорта не означает полного отсутствия каких-либо мешающих или вредных факторов. Оно определяется целым комплексом воздействий на органы чувств человека и его индивидуальным отношением к этим воздействиям.
3.2. Чувствительность к вибрации: субъективное восприятие человеком наличия воздействующей на него вибрации.
3.3. Порог чувствительности к вибрации: низший уровень вибрации, при котором человек еще способен ощущать ее воздействие.
3.4. Болезнь движения: рвотный рефлекс, тошнота и недомогание, провоцируемые движением самого человека или окружающих его предметов (среды).
Примечание. Болезнь движения, обусловленную морской качкой, часто называют морской болезнью.
3.5. Укачивание: процесс воздействия низкочастотных колебаний, способный привести к болезни движения.
В настоящем стандарте применены следующие условные обозначения:
a - виброускорение. Поступательное ускорение выражают в метрах на секунду в квадрате (м/с2), а угловое виброускорение - в радианах на секунду в квадрате (рад/с2). Если иное не определено, измеряемым параметром является среднеквадратичное значение виброускорения;
H(p) - передаточная функция фильтра, выраженная как функция комплексной угловой частоты;

- комплексная угловая частота;
W - частотная коррекция;
c, d, e, f, j, k - индексы, используемые для обозначения различных форм частотной коррекции (см.
таблицы 1 и
2);
w - индекс, используемый для обозначения корректированного виброускорения;
x, y, z - индексы, используемые для обозначения направления поступательной вибрации (см.
рисунок 1). Для угловой вибрации они указывают ось вращения r (вращения вокруг осей x, y и z соответствуют раскачиванию с бока на бок, наклонам вперед и назад и поворотам из стороны в сторону, см.
рисунок 1);
v - индекс, используемый для обозначения полной вибрации, рассчитанной по измерениям в направлениях x, y и z (см.
6.5).
Таблица 1
Применение основных функций частотной коррекции
Частотная коррекция | | | | |
| Ось z для поверхности сиденья | Ось z для поверхности сиденья | Ось z для поверхности сиденья | - |
Ось z для стоящего человека | Ось z для стоящего человека |
Вертикальное направление для лежащего человека (кроме головы) | Вертикальное направление для лежащего человека (кроме головы) |
Направления x, y и z для опоры ног сидящего человека | |
| Ось x для поверхности сиденья | Ось x для поверхности сиденья | Ось x для поверхности сиденья | - |
Ось y для поверхности сиденья | Ось y для поверхности сиденья | Ось y для поверхности сиденья |
Горизонтальное направление для лежащего человека (кроме головы) | Горизонтальное направление для лежащего человека (кроме головы) |
Направления x, y и z для спинки сиденья |
| - | - | - | Вертикальное направление |
Таблица 2
Применение дополнительных функций частотной коррекции
Частотная коррекция | | | | |
| Ось x для спинки сиденья <1> | Ось x для спинки сиденья | Ось x для спинки сиденья | - |
| - | Оси  ,  и  для поверхности сиденья | Оси  ,  и  для поверхности сиденья | - |
| - | Вертикальное направление для лежащего человека (голова) <2> | Вертикальное направление для лежащего человека (голова) <2> | - |
|
|
a) Положение сидя
b) Положение стоя
c) Положение лежа
Рисунок 1. Базицентрическая система координат
для тела человека
| | Раздел 5 содержит правила и методы исследований (испытаний) измерений, в том числе правила отбора образцов, необходимые для применения и исполнения требований технического регламента Таможенного союза "О безопасности машин и оборудования" (ТР ТС 010/2011) и осуществления оценки (подтверждения) соответствия продукции (Решение Комиссии Таможенного союза от 18.10.2011 N 823). | |
5.1. Общие положения
Основной измеряемой величиной является виброускорение (см.
раздел 4).
В области очень низких частот и низких уровней вибрации, что можно наблюдать, например, внутри зданий или на морских судах, измеряемой величиной может быть виброскорость, которая затем должна быть преобразована в виброускорение.
5.2. Направление измерений
5.2.1. Вибрацию измеряют в направлении осей системы координат с центром в точке контакта тела человека с вибрирующей поверхностью. Основные базицентрические системы координат показаны на
рисунке 1.
5.2.2. Если точно совместить ось чувствительности датчика вибрации (далее - датчик) с осью базицентрической системы координат невозможно, допускается расхождение между ними в пределах 15°. Для наклонного сиденья оси системы координат следует связать с телом человека; при этом направление оси z не обязательно будет вертикальным. Направление осей базицентрической системы координат относительно поля силы тяжести должно быть зафиксировано.
5.2.3. При одновременном измерении вибрации в одной точке, но разных направлениях датчики должны быть расположены как можно ближе друг к другу.
5.3.1. Датчик должен быть размещен в точке, где вибрация передается на тело человека. Рекомендуются следующие точки измерений:
- подушка сиденья - точка под седалищным бугром сидящего человека;
- спинка сиденья - точка, в которой давление тела человека максимально;
- опорная поверхность для ног - точка наиболее частого контакта ноги с поверхностью.
Для лежащего человека измерения проводят на опорной поверхности под тазом, спиной и головой. Во всех случаях точки измерений должны быть точно зафиксированы.
Примечания
1. Если проведение непосредственных измерений вибрации на поверхности контакта тела человека и опорной поверхности невозможно из практических соображений, ее допускается измерять на жестких элементах конструкции здания или транспортного средства. Использование таких данных в целях оценки воздействия вибрации на человека требует проведения дополнительных расчетов и знания динамики поведения конструкции.
2. Если измерения на спинке сиденья в точке ее контакта с телом человека невозможны, допускается их проведение на раме за спинкой. В этом случае результаты измерений должны быть корректированы с учетом передаточных свойств спинки сиденья.
3. Вибрация, передаваемая на тело человека от жестких поверхностей, может быть измерена на опорной поверхности вблизи области контакта (обычно в пределах 10 см от центра этой области).
5.3.2. Вибрация, передаваемая телу человека через мягкие или упругие материалы (например, подушку сиденья или дивана), должна быть измерена с помощью датчика, установленного между телом человека и основной областью контакта на поверхности. Для этого датчик помещают внутрь специального установочного приспособления. Последнее не должно сильно изменять распределение давления на поверхность упругого материала. При измерениях на мягкой поверхности человек должен принять нормальное для данных условий положение.
Примечание. Типичная конструкция приспособления для крепления акселерометра при проведении измерений на сиденье представлена в
ГОСТ ИСО 10326-1.
5.4. Общие требования к средствам измерения
Средства измерения должны соответствовать требованиям
ГОСТ ИСО 8041.
Если предусмотрена запись сигналов вибрации для их последующего анализа, в целях максимизации отношения сигнал/шум сигнал может быть предварительно пропущен через фильтр низких частот с частотой среза (по уровню минус 3 дБ), примерно в 1,5 раза превышающей верхнюю границу диапазона частот измерений. При этом фазовая характеристика измерительного тракта должна быть линейной в пределах диапазона частот измерений.
5.5. Длительность измерений
Длительность измерений должна быть достаточной для того, чтобы обеспечить требуемую статистическую точность обработки сигнала. Кроме того, она должна обеспечивать проведение измерения для представительного участка сигнала вибрации. Длительность измерений должна быть зафиксирована.
Если общая запись сигнала вибрации, воздействующей на человека, содержит несколько участков с разными характеристиками, то для каждого такого участка может потребоваться проведение отдельного анализа.
Примечание. В случае стационарного случайного сигнала точность измерений зависит от длительности измерений и полосы фильтрации. Например, чтобы ошибка измерений при проведении анализа вибрации в третьоктавной полосе частот не превышала 3 дБ при доверительной вероятности 90%, минимальная длительность измерений для значения нижней границы диапазона частот измерений 1 Гц должна составлять 108 с, а для значения 0,5 Гц - 227 с. Обычно условие получения представительного участка сигнала вибрации требует значительно большей длительности измерений.
5.6. Регистрация условий измерения вибрации
При выполнении требований настоящего стандарта результаты измерений должны быть точно документированы. Это подразумевает ссылки на соответствующие разделы и Приложения настоящего стандарта и указание применяемой функции (функций) частотной коррекции.
В случае использования альтернативного метода оценки должно быть дано его описание. При этом должны быть зафиксированы параметры вибрации (амплитудные характеристики и период измерений), измеренные как основным, так и альтернативным (альтернативными) методами.
В протоколе измерений рекомендуется указывать подробности условий измерения вибрации, а также такие ее характеристики, как частотный состав (т.е. спектр), направления действия, характер изменения вибрации с течением времени и другие факторы, которые могут оказать влияние на результат оценивания.
Примечание. Другими факторами, оказывающими влияние на реакцию человека на воздействие вибрации, являются тип популяции (возраст, пол, число членов, ощущение защищенности и т.д.), опыт, то, насколько воздействие вибрации ожидаемо, степень возбуждения, мотивация (например, степень трудности выполняемого задания), принимаемая поза, вид деятельности (например, водитель или пассажир транспортного средства), финансовые обстоятельства.
| | Раздел 6 содержит правила и методы исследований (испытаний) измерений, в том числе правила отбора образцов, необходимые для применения и исполнения требований технического регламента Таможенного союза "О безопасности машин и оборудования" (ТР ТС 010/2011) и осуществления оценки (подтверждения) соответствия продукции (Решение Комиссии Таможенного союза от 18.10.2011 N 823). | |
Любой метод оценки вибрации согласно настоящему стандарту включает в себя измерения среднеквадратичного значения корректированного виброускорения в метрах на секунду в квадрате (м/с2) в случае поступательной вибрации и в радианах на секунду в квадрате (рад/с2) в случае угловой вибрации. Для получения этого значения можно использовать представление сигнала вибрации как во временной, так и в частотной областях.
Во временной области формула расчета имеет вид:
где

- корректированное поступательное (угловое) виброускорение как функция времени, м/с2 (рад/с2);
T - длительность измерений, с.
Числовые значения функций частотной коррекции приведены в таблицах 3 и
4, а аналитические выражения этих функций - в
Приложении A. В последующих разделах, а также в
Приложениях B,
C и
D рассмотрены функции частотной коррекции, применяемые для различных направлений и различных условий действия вибрации (см.
таблицы 1 и
2).
Таблица 3
Значения основных функций частотной коррекции
в третьоктавных полосах частот
Номер полосы частот <1> x | Среднегеометрическая частота f, Гц | | | |
x 1000 | дБ | x 1000 | дБ | x 1000 | дБ |
-17 | 0,02 | | | | | 24,2 | -32,33 |
-16 | 0,025 | | | | | 37,7 | -28,48 |
-15 | 0,0315 | | | | | 59,7 | -24,47 |
-14 | 0,04 | | | | | 97,1 | -20,25 |
-13 | 0,05 | | | | | 157 | -16,10 |
-12 | 0,063 | | | | | 267 | -11,49 |
-11 | 0,08 | | | | | 461 | -6,73 |
-10 | 0,1 | 31,2 | -30,11 | 62,4 | -24,09 | 695 | -3,16 |
-9 | 0,125 | 49,3 | -26,26 | 97,3 | -20,24 | 895 | -0,96 |
-8 | 0,16 | 77,6 | -22,05 | 158 | -16,01 | 1006 | 0,05 |
-7 | 0,2 | 121 | -18,33 | 243 | -12,28 | 992 | -0,07 |
-6 | 0,25 | 182 | -14,81 | 365 | -8,75 | 854 | -1,37 |
-5 | 0,315 | 263 | -11,60 | 530 | -5,52 | 619 | -4,17 |
-4 | 0,4 | 352 | -9,07 | 713 | -2,94 | 384 | -8,31 |
-3 | 0,5 | 418 | -7,57 | 853 | -1,38 | 224 | -13,00 |
-2 | 0,63 | 459 | -6,77 | 944 | -0,50 | 116 | -18,69 |
-1 | 0,8 | 477 | -6,43 | 992 | -0,07 | 53,0 | -25,51 |
0 | 1 | 482 | -6,33 | 1011 | 0,10 | 23,5 | -32,57 |
1 | 1,25 | 484 | -6,29 | 1008 | 0,07 | 9,98 | -40,02 |
2 | 1,6 | 494 | -6,12 | 968 | -0,28 | 3,77 | -48,47 |
3 | 2 | 531 | -5,49 | 890 | -1,01 | 1,55 | -56,19 |
4 | 2,5 | 631 | -4,01 | 776 | -2,20 | 0,64 | -63,93 |
5 | 3,15 | 804 | -1,90 | 642 | -3,85 | 0,25 | -71,96 |
6 | 4 | 967 | -0,29 | 512 | -5,82 | 0,097 | -80,26 |
7 | 5 | 1039 | 0,33 | 409 | -7,76 | | |
8 | 6,3 | 1054 | 0,46 | 323 | -9,81 | | |
9 | 8 | 1036 | 0,31 | 253 | -11,93 | | |
10 | 10 | 988 | -0,10 | 212 | -13,91 | | |
11 | 12,5 | 902 | -0,89 | 161 | -15,87 | | |
12 | 16 | 768 | -2,28 | 125 | -18,03 | | |
13 | 20 | 636 | -3,93 | 100 | -19,99 | | |
14 | 25 | 513 | -5,80 | 80,0 | -21,94 | | |
15 | 31,5 | 405 | -7,86 | 63,2 | -23,98 | | |
16 | 40 | 314 | -10,05 | 49,4 | -26,13 | | |
17 | 50 | 246 | -12,19 | 38,8 | -28,22 | | |
18 | 63 | 186 | -14,61 | 29,5 | -30,60 | | |
19 | 80 | 132 | -17,56 | 21,1 | -33,53 | | |
20 | 100 | 88,7 | -21,04 | 14,1 | -36,99 | | |
21 | 125 | 54,0 | -25,35 | 8,63 | -41,28 | | |
22 | 160 | 28,5 | -30,91 | 4,54 | -46,84 | | |
23 | 200 | 15,2 | -36,38 | 2,43 | -52,30 | | |
24 | 250 | 7,90 | -42,04 | 1,26 | -57,97 | | |
25 | 315 | 3,98 | -48,00 | 0,64 | -63,92 | | |
26 | 400 | 1,95 | -54,20 | 0,31 | -70,12 | | |
<1> x - номер полосы частот в соответствии с ГОСТ 17168. |
Примечания |
1. Допуск на значения частотной коррекции - по 6.4.1.2. |
2. Если известно, что составляющие на частотах ниже 1 Гц несущественны с точки зрения их влияния на корректированное виброускорение, рекомендуется использовать диапазон частот от 1 до 80 Гц. |
3. Приведенные в таблице значения частотной коррекции рассчитаны с учетом полосовой фильтрации сигнала. |
Таблица 4
Значения дополнительных функций частотной коррекции
в третьоктавных полосах частот
Номер полосы частот <1> x | Среднегеометрическая частота f, Гц | | | |
x 1000 | дБ | x 1000 | дБ | x 1000 | дБ |
-10 | 0,1 | 62,4 | -24,11 | 62,5 | -24,08 | 31,0 | -30,18 |
-9 | 0,125 | 97,2 | -20,25 | 97,5 | -20,22 | 48,3 | -26,32 |
-8 | 0,16 | 158 | -16,03 | 159 | -15,98 | 78,5 | -22,11 |
-7 | 0,2 | 243 | -12,30 | 245 | -12,23 | 120 | -18,38 |
-6 | 0,25 | 364 | -8,78 | 368 | -8,67 | 181 | -14,86 |
-5 | 0,315 | 527 | -5,56 | 536 | -5,41 | 262 | -11,65 |
-4 | 0,4 | 708 | -3,01 | 723 | -2,81 | 351 | -9,10 |
-3 | 0,5 | 843 | -1,48 | 862 | -1,29 | 417 | -7,60 |
-2 | 0,63 | 929 | -0,64 | 939 | -0,55 | 458 | -6,78 |
-1 | 0,8 | 972 | -0,24 | 941 | -0,53 | 478 | -6,42 |
0 | 1 | 991 | -0,08 | 880 | -1,11 | 484 | -6,30 |
1 | 1,25 | 1000 | 0,00 | 772 | -2,29 | 485 | -6,28 |
2 | 1,6 | 1007 | 0,06 | 632 | -3,99 | 483 | -6,32 |
3 | 2 | 1012 | 0,10 | 512 | -5,82 | 482 | -6,34 |
4 | 2,5 | 1017 | 0,15 | 409 | -7,77 | 489 | -6,22 |
5 | 3,15 | 1022 | 0,19 | 323 | -9,81 | 524 | -5,62 |
6 | 4 | 1024 | 0,20 | 253 | -11,93 | 628 | -4,04 |
7 | 5 | 1013 | 0,11 | 202 | -13,91 | 793 | -2,01 |
8 | 6,3 | 974 | -0,23 | 160 | -15,94 | 946 | -0,48 |
9 | 8 | 891 | -1,00 | 125 | -18,03 | 1017 | 0,15 |
10 | 10 | 776 | -2,20 | 100 | -19,98 | 1030 | 0,26 |
11 | 12,5 | 647 | -3,79 | 80,1 | -21,93 | 1026 | 0,22 |
12 | 16 | 512 | -5,82 | 62,5 | -24,08 | 1018 | 0,16 |
13 | 20 | 409 | -7,77 | 50,0 | -26,02 | 1012 | 0,10 |
14 | 25 | 325 | -9,76 | 39,9 | -27,97 | 1007 | 0,06 |
15 | 31,5 | 256 | -11,84 | 31,6 | -30,01 | 1001 | 0,00 |
16 | 40 | 199 | -14,02 | 24,7 | -32,15 | 991 | -0,08 |
17 | 50 | 156 | -16,13 | 19,4 | -34,24 | 972 | -0,24 |
18 | 63 | 118 | -18,53 | 14,8 | -36,62 | 931 | -0,62 |
19 | 80 | 84,4 | -21,47 | 10,5 | -39,55 | 843 | -1,48 |
20 | 100 | 56,7 | -24,94 | 7,07 | -43,01 | 708 | -3,01 |
21 | 125 | 34,5 | -29,24 | 4,31 | -47,31 | 539 | -5,36 |
22 | 160 | 18,2 | -34,80 | 2,27 | -52,86 | 364 | -8,78 |
23 | 200 | 9,71 | -40,26 | 1,21 | -58,33 | 243 | -12,30 |
24 | 250 | 5,06 | -45,92 | 0,63 | -63,99 | 158 | -16,03 |
25 | 315 | 2,55 | -51,88 | 0,32 | -69,94 | 100 | -19,98 |
26 | 400 | 1,25 | -58,08 | 0,16 | -76,14 | 62,4 | -24,10 |
<1> x - номер полосы частот в соответствии с ГОСТ 17168. |
Примечания |
1. Допуск на значения частотной коррекции - по 6.4.1.2. |
2. Если известно, что составляющие на частотах ниже 1 Гц несущественны с точки зрения их влияния на корректированное виброускорение, рекомендуется использовать диапазон частот от 1 до 80 Гц. |
3. Приведенные в таблице значения частотной коррекции рассчитаны с учетом полосовой фильтрации сигнала. |
6.2. Условия применимости основного метода
6.2.1. Определение пик-фактора
В целях настоящего стандарта пик-фактор определяют как абсолютное значение отношения максимального значения мгновенного корректированного виброускорения к его среднеквадратичному значению. Максимальное значение мгновенного корректированного виброускорения определяют на всем интервале измерения (см.
5.5), т.е. периоде интегрирования T для получения среднеквадратичного значения (см.
6.1).
Примечание. Пик-фактор не всегда может служить показателем степени жесткости вибрации (см.
6.3).
6.2.2 Применимость основного метода в случае вибрации с большим значением пик-фактора
Пик-фактор является тем критерием, по которому можно определить, достаточен ли основной метод оценки степени жесткости вибрации с позиции ее воздействия на человека. Обычно основной метод считают достаточным, если значение пик-фактора не превышает 9. В
6.3 определены методы, которые применяют, когда основной метод оценки недостаточен.
Примечание. Для вибрации некоторых видов, особенно включающей в себя случайные процессы ударного характера, основной метод может давать заниженные (с точки зрения комфорта) оценки степени жесткости вибрации даже в том случае, когда значение пик-фактора не превышает 9. При сомнениях рекомендуется использовать альтернативные методы, описанные в 6.3. В
6.3.3 приведены значения отношений между характеристиками вибрации, полученными для основного и альтернативных методов, при превышении которых рекомендуется использовать в качестве основы для оценки влияния вибрации на человека один из альтернативных методов.
6.3. Альтернативные методы
В случае, когда основной метод дает заниженные оценки воздействия вибрации (большое значение пик-фактора, случайные удары, вибрация переходного характера), следует проводить измерения одного из альтернативных параметров - текущего среднеквадратичного значения корректированного виброускорения или дозы вибрации.
6.3.1. Метод с измерением текущего среднеквадратичного значения корректированного виброускорения
Метод на основе измерения текущего среднеквадратичного значения корректированного виброускорения чувствителен к процессам переходного типа и случайным ударам в сигнале вибрации из-за малого времени интегрирования. Используют вибрационную характеристику, определяемую как максимальное текущее среднеквадратичное значение корректированного виброускорения MTVV
<*>, т.е. наибольшее значение величины

(рад/с2):
где

- мгновенное значение корректированного виброускорения, м/с2 (рад/с2);

- постоянная времени, с;
t - время (переменная интегрирования), с;

- время наблюдения (мгновенное время), с.
Формула (2) соответствует процедуре линейного усреднения, которое может быть аппроксимировано экспоненциальным усреднением (см.
ГОСТ ИСО 8041):
--------------------------------
<*> От английских слов "maximum transient vibration value".
Применительно к ударным и переходным процессам и процессам короткой длительности, сравнимой с постоянной времени

, разница в результатах, получаемых по
формулам (2) и (3), будет очень мала, но в случае процессов большей длительности она может увеличиваться (до 30%).
Максимальное текущее среднеквадратичное значение MTVV, определяемое формулой
соответствует максимальному значению

на периоде измерений T (см.
6.1).
При измерении MTVV рекомендуется использовать значение постоянной времени

, равное 1 с (это соответствует характеристике "медленно" шумомера).
6.3.2. Метод с измерением дозы вибрации
Метод с измерением дозы вибрации (VDV)
<*> более чувствителен к пиковым выбросам, чем основной метод оценки, поскольку усреднению в нем подвергают корректированное виброускорение, возведенное не в квадрат, а в четвертую степень. Дозу вибрации

, определяют по формуле
где

- мгновенное значение корректированного виброускорения, м/с2 (рад/с2);
T - период измерений, с (см.
6.1).
Примечание. Если воздействие вибрации наблюдают на двух или нескольких временных интервалах i, для каждого из которых характерен свой уровень вибрации, доза вибрации для всего воздействия в целом

может быть рассчитана через сумму четвертых степеней доз вибрации на каждом интервале по формуле
--------------------------------
<*> От английских слов "vibration dose value".
6.3.3. Отношения, используемые для сравнения основного и альтернативных методов оценки
Использование альтернативных методов оценки воздействия вибрации на человека (состояние его здоровья или степень комфорта) рекомендуется в случаях превышения следующих значений отношений параметров вибрации (в зависимости от того, какой альтернативный метод предполагается использовать):
Для оценки воздействия вибрации основной метод используют всегда. Если применяют также один из альтернативных методов, необходимо зафиксировать результаты измерений, полученные по каждому из методов.
6.4. Частотная коррекция
6.4.1. Частотная коррекция ускорения во временной области
Функции частотной коррекции, которые необходимо использовать при усреднении сигнала вибрации, определены в
разделах 7 -
9.
То, как вибрация влияет на здоровье и состояние комфорта, чувствительность к вибрации и подверженность болезни движения, зависит от ее частотного состава. Для разных направлений действия вибрации используют разные функции коррекции. Специальную функцию частотной коррекции используют для оценки воздействия низкочастотной вибрации, вызывающей болезнь движения.
Два основных вида частотной коррекции, относящиеся к здоровью, комфорту и вибрационной чувствительности, указаны в
таблице 1:

для направления z, а также для вертикального направления для лежащего человека (исключая голову);

для направлений x и y, а также для горизонтального направления для лежащего человека.
Основной вид частотной коррекции, связанной с болезнью движения, в
таблице 1 обозначен как

.
Дополнительные виды частотной коррекции указаны в
таблице 2 для следующих случаев:
- измерений на спинке сидений

;
- измерений угловой вибрации

;
- измерений вибрации под головой лежащего человека

.
Значения основных и дополнительных функций частотной коррекции приведены в
таблицах 3 и
4. Соответствующие кривые частотной коррекции показаны на
рисунках 2 и
3 соответственно.
Рисунок 2. Основные функции частотной коррекции
Рисунок 3. Дополнительные функции частотной коррекции
Частотная коррекция может быть аппаратно реализована как в аналоговом, так и в цифровом виде. В
Приложении A дано аналитическое представление функций частотной коррекции в форме фильтров.
Функции частотной коррекции, приведенные в
таблицах 3 и
4 и на
рисунках 2 и
3, даны с учетом фильтрации сигнала полосовым фильтром. Уравнение для такого фильтра в
Приложении A приведено отдельно.
6.4.1.1. Фильтрация в полосе частот
Высокочастотные и низкочастотные составляющие вибрации обрезаются в результате совместного использования двухполюсных фильтров Баттерворта низких и высоких частот соответственно, имеющих спад за частотой среза 12 дБ на октаву. Частоты среза полосовых фильтров отстоят на треть октавы по обе стороны от номинального диапазона частот измерений.
Функции частотной коррекции

,

,

,

и

реализованы (см.
Приложение A) с помощью полосового фильтра, пропускающего составляющие на частотах свыше 0,4 Гц и ниже 100 Гц, а

- с помощью фильтра, пропускающего частоты в полосе от 0,08 до 0,63 Гц.
В пределах номинальной полосы частот плюс треть октавы по обе стороны от этой полосы допуск на функцию частотной коррекции (включающей в себя полосовую фильтрацию) составляет +/- 1 дБ. За границами этого диапазона допуск равен +/- 2 дБ. На расстоянии октавы по обе стороны от номинальной полосы частот ослабление сигнала может спадать до бесконечности (см. также
ГОСТ ИСО 8041).
6.4.2. Частотная коррекция ускорения в частотной области
Допускается проводить измерения некорректированного виброускорения в третьоктавных или узких полосах частот. В случае анализа в третьоктавных полосах частот их среднегеометрические частоты должны соответствовать значениям, приведенным в
таблицах 3 и
4. При любой форме спектрального анализа - аналоговой или цифровой - среднеквадратичное значение виброускорения в третьоктавной полосе частот может быть получено непосредственным измерением или суммированием результатов измерений в узких полосах частот. Используемые при анализе вибрации третьоктавные фильтры должны удовлетворять требованиям
ГОСТ 17168.
Среднеквадратичное значение корректированного виброускорения должно быть получено путем умножения результатов измерений в третьоктавных или узких полосах частот на соответствующие весовые коэффициенты с последующим суммированием.
Весовые коэффициенты, используемые при анализе в третьоктавных полосах частот, приведены в
таблицах 3 и
4. Корректированное виброускорение

(рад/с2), должно быть получено в результате аналоговой или цифровой реализации во временной или частотной области следующего алгоритма:
где

- весовой коэффициент для i-й третьоктавной полосы частот по
таблицам 3 и
4;

- среднеквадратичное значение виброускорения в i-й третьоктавной полосе частот, м/с2 (рад/с2).
В случае проведения измерений в узких полосах частот, включая измерения с использованием метода быстрого преобразования Фурье (БПФ) (см.
ГОСТ ИСО 8041), корректированное виброускорение

(рад/с2), получают по формуле
где

- средняя частота i-й узкой полосы частот (частота спектральной линии при использовании БПФ), Гц;

- передаточная функция для данного вида частотной коррекции по
формуле (A.5);

- среднеквадратичное значение виброускорения в i-й узкой полосе частот (линии спектра), м/с2 (рад/с2).
6.5. Трехкомпонентная вибрация
Полное среднеквадратичное значение корректированного виброускорения вычисляют по результатам измерений в трех ортогональных направлениях действия вибрации по формуле
где

,

,

- среднеквадратичные значения корректированного виброускорения, м/с2 (рад/с2), вдоль направлений осей координат x, y и z соответственно;

,

,

- весовые коэффициенты.
Измерение полной вибрации

рекомендуется при проведении оценки степени комфорта (см.
8.2).
Примечания
1. Точные значения коэффициентов в
формуле (11), зависящие от выбранной функции частотной коррекции, установлены в
разделах 7 и
8.
2. Значение полной вибрации рекомендуется использовать также для оценки воздействия вибрации на здоровье и безопасность в случае, когда отсутствует доминирующее направление ее действия.
6.6. Руководство по использованию методов оценки вибрации
В
разделе 7 дано руководство по использованию различных методов оценки и функций частотной коррекции с точки зрения воздействия вибрации на здоровье, в
разделе 8 - воздействия на степень комфорта и чувствительности к вибрации, в
разделе 9 - подверженности болезни движения. Дополнительные сведения по интерпретации результатов измерений в вышеуказанных целях представлены в
Приложениях B,
C и
D.
7. ВЛИЯНИЕ ВИБРАЦИИ НА СОСТОЯНИЕ ЗДОРОВЬЯ
7.1. Общие положения
В настоящем разделе рассмотрено влияние на состояние здоровья человека (не имеющего патологий) общей вибрации, которой он может быть подвергнут на транспорте, на рабочем месте, во время активного отдыха. Рассмотрено воздействие вибрации на сидящего человека, но некоторые рекомендации даны также для положений лежа или стоя.
Настоящее руководство распространяется на вибрацию в диапазоне частот 0,5 - 80 Гц, передаваемую на тело сидящего человека через подушку сиденья. Если известно, что составляющие на частотах ниже 1 Гц несущественны, измерения допускается проводить в диапазоне 1 - 80 Гц.
В отношении сидящего человека вибрация представляет собой фактор риска, в первую очередь для поясничных позвонков и связанных с ними нервных окончаний. Большие механические напряжения, нарушения питания ткани диска могут вызвать развитие дегенеративных процессов в поясничных сегментах позвоночника (спондилеза, межпозвонкового остеохондроза, артроза). Воздействие общей вибрации может привести также к появлению определенных эндогенных патологических отклонений позвоночника. Кроме того, вибрация может оказывать влияние на органы пищеварения, мочевыделительную систему и женские репродуктивные органы.
Обычно изменения в состоянии здоровья человека проявляются только после продолжительного многолетнего воздействия общей вибрации. Поэтому для оценки необходимо иметь представительные данные об этом воздействии за длительный период времени.
7.2. Характеристики воздействующей вибрации
7.2.1. Для каждого направления поступательной вибрации (x, y и z), действующей на поверхности сиденья, необходимо определять среднеквадратичное значение корректированного виброускорения (см.
6.1).
7.2.2. Оценку воздействия вибрации на состояние здоровья необходимо проводить раздельно для каждого направления. При этом для оценки воздействия следует брать максимальное значение корректированного виброускорения по любому из направлений. Если вибрация по двум или более направлениям имеет сопоставимые значения, для оценки риска здоровью человека рекомендуется определить значение полной вибрации.
7.2.3. Для человека в положении сидя следует использовать частотные характеристики с соответствующими коэффициентами:
- ось x:

,

= 1,4;
- ось y:

,

= 1,4;
- ось z:

,

= 1.
Примечание. Рекомендуется дополнительно проводить измерения на спинке сиденья в направлении x с использованием функции частотной коррекции

и коэффициента k = 0,8. Однако из-за ограниченности данных, свидетельствующих о влиянии такой вибрации на здоровье человека, ее не принимают в расчет при оценке степени жесткости вибрации (см.
Приложение B).
7.3. Рекомендации по оценке влияния вибрации на здоровье человека
Рекомендации по оценке влияния вибрации на здоровье человека приведены в
Приложении B.
8. ВЛИЯНИЕ ВИБРАЦИИ НА СТЕПЕНЬ КОМФОРТА
И ЧУВСТВИТЕЛЬНОСТЬ К ВИБРАЦИИ
8.1. Общие положения
В настоящем разделе рассмотрена оценка влияния на степень комфорта человека (не имеющего патологий) общей вибрации, которой он может быть подвергнут на транспорте, на рабочем месте, во время активного отдыха.
Применительно к степени комфорта человека в положении сидя в настоящем разделе рассмотрена вибрация в диапазоне частот 0,5 - 80 Гц, действующая на подушке сиденья по шести направлениям (три направления для поступательной вибрации: оси x, y и z, - и три направления угловой вибрации

,

и

), а также поступательная вибрация (оси x, y и z) на спинке сиденья и на поверхности опоры ног сидящего человека (см.
рисунок 1).
Применительно к степени комфорта человека для положений стоя и лежа рассмотрена поступательная вибрация в трех направлениях (оси x, y и z) на основной опорной поверхности.
8.2.1. В настоящее время не имеется данных, подтверждающих существование какой-либо определенной зависимости между длительностью воздействия вибрации и степенью вызываемого ею дискомфорта.
Для каждого направления поступательной вибрации (x, y и z), действующей на опорной поверхности, необходимо измерять среднеквадратичное значение корректированного виброускорения (см.
6.1).
Примечание. Если характеристики вибрации изменяются со временем (как это имеет место, например, на железнодорожном транспорте), для оценки степени комфорта могут быть использованы статистики, полученные на основе вероятностного распределения среднеквадратичных значений корректированных сигналов.
8.2.2. Для предсказания, каким образом будет влиять вибрация на степень комфорта человека, используют следующие виды частотной коррекции:

,

,

,

и

. Эти функции применяют вместе с соответствующими коэффициентами так, как указано ниже.
A) Для человека в положении сидя:
- ось x (вибрация на поверхности сиденья):

,

= 1;
- ось y (вибрация на поверхности сиденья):

,

= 1;
- ось z (вибрация на поверхности сиденья):

,

= 1.
Примечания
1. Для специальных условий и целей применения при оценке степени комфорта могут быть использованы другие виды частотной коррекции.
2. Для оценки степени комфорта на железнодорожном транспорте используют другую функцию частотной коррекции, обозначаемую

(см.
C.2.2.1).
3. В ряде случаев на комфорт сидящего человека могут оказывать влияние угловые колебания сиденья, вибрация спинки сиденья или опорной поверхности для ног. Такая вибрация может быть оценена с использованием следующих функций частотной коррекции и соответствующих весовых коэффициентов k:
- ось

(вибрация на поверхности сиденья):

,

= 0,63 м/рад;
- ось

(вибрация на поверхности сиденья):

,

= 0,4 м/рад;
- ось

(вибрация на поверхности сиденья):

,

= 0,2 м/рад;
- ось x (вибрация на спинке сиденья):

,

=0,8;
- ось y (вибрация на спинке сиденья):

,

=0,5;
- ось z (вибрация на спинке сиденья):

,

= 0,4;
- ось x (вибрация на поверхности сиденья):

,

= 0,25;
- ось y (вибрация на поверхности сиденья):

,

= 0,25;
- ось z (вибрация на поверхности сиденья):

,

=0,4.
Коэффициент k для угловой вибрации выражают в метрах на радиан (м/рад) и применяют в соответствии с
примечанием 2 к 8.2.3.
B) Для человека в положении стоя:
- ось x (вибрация пола):

,

= 1;
- ось y (вибрация пола):

,

= 1;
- ось z (вибрация пола):

,

= 1.
C) Для человека в положении лежа:
- вибрация в горизонтальном направлении:

,

= 1;
- вибрация в вертикальном направлении:

,

= 1.
Примечание. В отсутствие мягкой подушки рекомендуется проводить также измерения под головой лежащего человека, используя функцию частотной коррекции

и коэффициент

, хотя в
Приложении C не содержится каких-либо специальных указаний по оценке условий комфорта или чувствительности к вибрации в зависимости от результатов таких измерений.
8.2.3. Вибрация, действующая в нескольких точках и в нескольких направлениях
Измерения с целью оценить степень комфорта обычно проводят во всех направлениях действия поступательной вибрации и, возможно, в нескольких точках. Результаты измерений корректированного виброускорения по каждому направлению и в каждой точке должны быть зафиксированы отдельно.
После этого для каждой точки измерений рассчитывают полное значение вибрации в этой точке как корень из суммы квадратов измерений по каждому из направлений (см.
6.5)
Если на состояние комфорта оказывает влияние вибрация в нескольких точках (например, на подушке сиденья, на его спинке и на опоре для ног), может быть рассчитана полная вибрация по всем точкам как корень из суммы квадратов полной вибрации в каждой точке.
Примечания
1. Если человек попеременно находится в разных положениях: сидя, стоя или лежа, - необходимо рассматривать влияние вибрации с учетом всех поз и положений.
2. В некоторых случаях для оценки степени комфорта важно учитывать угловую вибрацию. Тогда при расчетах полной вибрации по всем точкам в сумму для ее вычисления могут быть включены полные значения угловой вибрации в точках [полное значение угловой вибрации в точке может быть рассчитано по формуле, аналогичной
формуле (11)].
3. Если по какому-нибудь направлению поступательной или угловой вибрации ее корректированное значение составляет менее 25% максимального значения, измеренного в той же точке, но в другом направлении, результатами измерений этой составляющей вибрации можно пренебречь. Аналогично, если полная вибрация в какой-либо точке меньше 25% максимального значения этой величины по другим точкам, ее можно не учитывать при вычислении полной вибрации по всем точкам.
4. Значительное влияние на ощущение комфорта в транспортном средстве может оказывать вибрация в горизонтальном направлении на спинке сиденья. Если вибрацию на спинке сиденья не удается измерить по каким-либо техническим причинам, для вибрации, измеренной на подушке сидения в направлении осей x и y, следует вместо коэффициента

брать

.
8.3. Чувствительность к вибрации
8.3.1. Общие положения
В настоящем пункте рассмотрен метод оценки чувствительности к периодической или случайной поступательной вибрации в направлении осей x, y и z на поверхности, воспринимающей основной вес тела, для человека в положении сидя, стоя или лежа.
8.3.2. Характеристики воздействующей вибрации
Для каждого направления воздействия поступательной вибрации (x, y и z) на поверхности, воспринимающей основной вес тела человека, необходимо определять среднеквадратичное значение корректированного виброускорения (см.
6.1).
Оценку чувствительности к вибрации необходимо проводить для максимального значения среднеквадратичного значения корректированного виброускорения по любому из направлений, в любой точке контакта тела человека с вибрирующей поверхностью и для любого времени воздействия.
8.3.3. Функции частотной коррекции
Для предсказания чувствительности человека к вибрации используют две функции частотной коррекции:

для вибрации в горизонтальном направлении и

для вибрации в вертикальном направлении. Эти функции могут быть применены для следующих сочетаний поз и направлений действия вибрации:
- оси x, y и z на поверхности сиденья для сидящего человека,

;
- оси x, y и z на поверхности пола под ногами стоящего человека,

;
- оси x, y и z на поверхности, служащей опорой для лежащего человека (исключая голову),

.
Примечание. Рекомендуется наряду с параметрами корректированного виброускорения измерять и фиксировать также среднеквадратичные значения исходного виброускорения (без использования функций коррекции).
8.4. Рекомендации по оценке влияния вибрации на степень комфорта и чувствительности к вибрации
Рекомендации по оценке влияния вибрации на степень комфорта и чувствительности к вибрации приведены в
Приложении C.
9.1. Общие положения
Данный раздел посвящен влиянию низкочастотной вибрации на появление болезни движения.
В других разделах настоящего стандарта рассмотрена преимущественно вибрация на частотах свыше 0,5 Гц. Колебания на частотах ниже 0,5 Гц также могут оказывать нежелательные воздействия на организм человека, приводящие к ощущению дискомфорта и мешающие его нормальной деятельности. Однако в большей степени такие низкочастотные колебания связаны с появлением болезни движения, преимущественно для человека в положении сидя или стоя.
Представленные в настоящем разделе методы применимы, в первую очередь, к случаям морской болезни на кораблях и других морских судах.
9.2. Характеристики воздействующей вибрации
9.2.1. Для вибрации в направлении z на поверхности, служащей человеку опорой, необходимо измерять среднеквадратичное значение корректированного виброускорения в диапазоне частот 0,1 - 0,5 Гц. При этом следует использовать только линейное (не экспоненциальное) интегрирование.
9.2.2. Оценку воздействия вибрации необходимо проводить в отношении полного корректированного виброускорения в направлении z.
Примечания
1. Существуют свидетельства, что вращательные и боковые колебания тела человека (см.
рисунок 1) также могут привести к появлению симптомов болезни движения. После сбора достаточных данных о влиянии колебаний в различных направлениях процедура оценки вибрации может быть изменена таким образом, чтобы учитывать суммарное воздействие вибрации по всем направлениям.
2. На низких частотах все части тела человека совершают колебания схожим образом. Однако при этом часто наблюдаются произвольные и непроизвольные движения головой. В настоящее время считают, что ограничение таких движений может привести к ослаблению болезни движения. На практике этого обычно достигают упиранием головы в ту часть конструкции, что совершает движение вместе с сиденьем (например, подголовник).
3. Метод, описанный в настоящем разделе, применим только к лицам, находящимся в положении сидя или стоя. Возможно, вероятность появления болезни движения может быть уменьшена, когда человек находится в положении лежа. Пока не вполне ясно, происходит ли это вследствие того, что в этом случае вертикальные колебания совпадают с направлением оси x базицентрической системы координат тела человека, или потому, что в данном положении существуют естественные ограничения на движения головы.
9.2.3. Функция частотной коррекции
Для оценки влияния вибрации на появление болезни движения рекомендуется применять единственную функцию частотной коррекции

.
Примечания
1. Рекомендуется фиксировать дополнительную информацию об условиях качки. Сюда могут входить частотный состав вибрации, длительность и направления ее воздействия.
2. Существует ряд свидетельств, что влияние, оказываемое колебаниями с одинаковым частотным составом и одинаковым среднеквадратичным значением виброускорения, но разными формами временного сигнала, также может быть различным.
9.3. Рекомендации по оценке влияния вибрации на появление болезни движения
Рекомендации по оценке влияния вибрации на появление болезни движения приведены в
Приложении D.
(обязательное)
ПРЕДСТАВЛЕНИЕ ФУНКЦИЙ ЧАСТОТНОЙ КОРРЕКЦИИ
В АНАЛИТИЧЕСКОМ ВИДЕ
A.1. Параметры передаточных функций
Параметры передаточных функций фильтров, используемых для формирования функции частотной коррекции, приведены в таблицах A.1 и
A.2.
Таблица A.1
Параметры передаточных функций для основных видов
частотной коррекции
Вид частотной коррекции | Полосовая | Переходная | Ступенчатая |
| | | | | | | | |
| 0,4 | 100 | 12,5 | 12,5 | 0,63 | 2,37 | 0,91 | 3,35 | 0,91 |
| 0,4 | 100 | 2,0 | 2,0 | 0,63 | | - | | - |
| 0,08 | 0,63 | | 0,25 | 0,86 | 0,0625 | 0,80 | 0,10 | 0,80 |
Таблица A.2
Параметры передаточных функций для дополнительных
видов частотной коррекции
Вид частотной коррекции | Полосовая | Переходная | Ступенчатая |
| | | | | | | | |
| 0,4 | 100 | 8,0 | 8,0 | 0,63 | | - | | - |
| 0,4 | 100 | 1,0 | 1,0 | 0,63 | | - | | - |
| 0,4 | 100 | | | - | 3,75 | 0,91 | 5,32 | 0,91 |
A.2. Аналитические выражения для передаточных функций
Частоты

-

и коэффициенты добротности

-

являются параметрами передаточных функций, определяющих общий вид частотной коррекции (относительно виброускорения, рассматриваемого в качестве входной величины). Данные передаточные функции являются произведениями нескольких сомножителей, которые перечислены ниже.
Полосовая передаточная функция (двухполюсный фильтр Баттерворта,

):
Фильтр верхних частот:
где

,

- частота перехода (точка пересечения двух асимптот).
Фильтр нижних частот:
где

;

- частота перехода.
Переходная передаточная функция (пропорциональная ускорению на низких частотах и скорости на высоких частотах):
где

;

.
Ступенчатая передаточная функция (ступенчато возрастающая со скоростью приблизительно 6 дБ на октаву и пропорциональная первой производной от ускорения):
где

;

.
Произведение

дает полосовую передаточную функцию; эта функция одна и та же для всех видов частотной коррекции, используемых в настоящем стандарте, за исключением

.
Произведение

дает реальную весовую передаточную функцию для различных условий применения.
Для функции частотной коррекции

:

;
для функций частотной коррекции

,

и

:

.
В таблицах это находит отражение как равенство соответствующих частот бесконечности и отсутствие значений коэффициентов добротности.
Общая передаточная функция частотной коррекции является произведением полосовой функции и весовой передаточной функции, т.е.
Как правило, вышеприведенные уравнения (в частотной области) интерпретируют таким образом, что они описывают значения модуля и фазы комплексных величин как функций от мнимой угловой частоты

.
Примечание. Иногда вместо символа p используют символ s. При интерпретации указанных выражений во временной области оператору p соответствует оператор дифференцирования

, что позволяет реализовать вышеприведенные фильтры в цифровой форме, заменяя

на отношение приращений

и выбирая приращение времени

достаточно малым. Оператор p можно интерпретировать также как независимую переменную в преобразовании Лапласа.
Функции частотной коррекции, изображенные на
рисунках 2 и
3, показывают зависимость модуля

от частоты f в логарифмическом масштабе по обеим осям.
(рекомендуемое)
РУКОВОДСТВО ПО ОЦЕНКЕ ВЛИЯНИЯ ВИБРАЦИИ НА СОСТОЯНИЕ
ЗДОРОВЬЯ ЧЕЛОВЕКА
B.1. Введение
В настоящем Приложении дано общее руководство по оценке влияния общей вибрации на здоровье человека. Настоящее руководство можно применять в отношении людей с нормальным состоянием здоровья, регулярно подвергающихся воздействию вибрации. Оно распространяется на поступательную вибрацию в направлении осей x, y и z базицентрической системы координат, связанной с телом человека и опорными поверхностями. Настоящее руководство не следует применять в случае сильных одиночных воздействий, которые могут иметь место, например в результате дорожного происшествия, и привести к появлению травмы. В соответствии с национальным законодательством могут быть установлены специальные требования к оценке общей вибрации с точки зрения ее влияния на здоровье человека.
Примечание. Большая часть настоящего руководства основана на данных исследований реакции сидящего человека на вибрацию, действующую в направлении z. В отношении вибрации в направлениях x и y для сидящего человека, а также вибрации во всех направлениях для человека, находящегося в положении стоя, лежа или наклонном, на настоящий момент объем собранных данных весьма ограничен.
B.2. Связь вибрации с нарушениями здоровья
Результаты биодинамических исследований, так же, как и эпидемиологических обследований населения, демонстрируют возрастающий риск нарушения здоровья у человека, постоянно подвергающегося воздействию интенсивной общей вибрации. В основном воздействию подвергаются поясничный отдел позвоночника и связанные с ним нервные окончания. Дополнительно эффект может быть усилен нарушением обмена веществ и другими заболеваниями, природой которых являются упомянутые воздействия. Иногда считают, что условия, в которых происходит воздействие вибрации, такие как неудобная поза, низкая температура и сквозняки, способны усиливать чувство мышечной боли. В то же время нельзя утверждать со всей определенностью, что данные факторы влияют на деградацию позвоночных дисков и позвоночника в целом.
Повышение длительности воздействия (в пределах рабочего дня или ежедневно повторяющиеся воздействия в течение многих лет) и повышение его интенсивности означают усиление суммарного воздействия вибрации, что предполагает возрастание риска здоровью человека, в то время как периоды отдыха могут этот риск уменьшить.
В настоящее время собранных данных недостаточно, чтобы установить какие-либо количественные соотношения между характеристиками вибрации и риском нарушения здоровья. Поэтому невозможно дать оценку общей вибрации через вероятность появления заболевания в зависимости от уровня и длительности вибрации.
B.3. Оценка воздействия вибрации
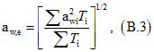
B.3.1. Применение среднеквадратичного значения корректированного виброускорения
В настоящее время используют два способа для оценки суточного воздействия вибрации.
Первый способ, исходящий из предположения, что реакция человека связана с энергией вибрационного воздействия, устанавливает эквивалентность двух суточных воздействий вибрации при выполнении условия:
где

и

- среднеквадратичные значения корректированного виброускорения для первого и второго воздействий соответственно, м/с2;

и

- соответственно длительности первого и второго воздействий, ч.
На
рисунке B.1 штриховой линией указаны границы зоны предупреждения при оценке влияния вибрации на здоровье человека для первого способа.
Рисунок B.1. Зоны предупреждения при оценке влияния
вибрации на здоровье человека
Если параметры воздействия лежат ниже границы зоны предупреждения, очевидных свидетельств влияния такой вибрации на состояние здоровья не отмечено; для параметров в пределах самой зоны предупреждения отмечено наличие потенциального риска, обусловленного воздействием вибрации на здоровье человека; если же параметры лежат выше границ указанной зоны, риск здоровью человека, связанный с воздействием вибрации, становится весьма существенным.
Границы зоны предупреждения для такого соотношения указаны на
рисунке B.1 пунктирной линией.
Из
рисунка B.1 видно, что границы зон для двух указанных способов оценки практически совпадают для длительности суточного воздействия общей вибрации от 4 до 8 ч. Если длительность воздействия меньше, расхождение в оценке эффекта суточного воздействия вибрации становится значительным.
Среднеквадратичное значение корректированного виброускорения, соответствующее ожидаемой длительности суточного воздействия вибрации, может быть сопоставлено с границами зоны предупреждения.
Для определения суточного воздействия вибрации корректированное виброускорение

измеряют или рассчитывают в соответствии с
формулой (1) (см.
6.1) для длительности воздействия T = 8 ч.
Примечания
1. Если воздействие вибрации состоит из двух или нескольких периодов, различающихся по длительности и уровню вибрации, эквивалентный (по общей энергии воздействия) параметр воздействия вибрации

, м/с2 (первый способ оценки) может быть рассчитан по формуле
где

- среднеквадратичное значение корректированного виброускорения, м/с2, на периоде длительности

, с.
Для второго способа оценки вместо
формулы (B.3) следует использовать формулу
Оба параметра, полученные по
формулам (B.3) и (B.4), могут быть использованы для оценки влияния вибрации на состояние здоровья в соответствии с
рисунком B.1.
2. Другим определяемым параметром является эквивалентная доза вибрации

:
где

- среднеквадратичное значение корректированного виброускорения, м/с2;
T - длительность воздействия, с.
Значения дозы вибрации, соответствующие нижней и верхней границам зоны предупреждения, определяемой
формулой (B.2) и
рисунком B.1, равны соответственно 8,5 и 17.
B.3.2. Метод оценки для случая, когда основного метода недостаточно
Основной метод может недооценивать воздействие на человека пиковых выбросов. Поэтому в некоторых условиях, например, когда значение пик-фактора превышает 9 (см.
6.2.1 и
6.3.3), рекомендуется использовать метод, описанный в
6.3.1 и
6.3.2.
Примечание. Знания одного только значения пик-фактора недостаточно, чтобы решить вопрос, может ли оценка реакции человека на вибрацию быть основана на измерении только среднеквадратичного значения виброускорения. В случае сомнений рекомендуется использовать критерии, описанные в
6.3.3.
Если воздействие вибрации состоит из двух или нескольких периодов, различающихся по длительности и уровню вибрации, следует использовать
формулу (B.3) или
(B.4).
(рекомендуемое)
РУКОВОДСТВО ПО ОЦЕНКЕ ВЛИЯНИЯ ВИБРАЦИИ НА СТЕПЕНЬ КОМФОРТА
И ЧУВСТВИТЕЛЬНОСТИ К ВИБРАЦИИ
C.1. Введение
Настоящее Приложение представляет собой результат достигнутого соглашения (консенсуса) о соотношении между интенсивностью вибрации и степенью комфорта человека. В Приложении дан единый удобный метод, позволяющий выразить субъективное ощущение степени жесткости вибрации, но не установлены какие-либо границы вибрационного воздействия.
C.2. Комфорт
C.2.1. Конкретные условия вибрационного воздействия
Одна и та же вибрация в одних условиях может быть воспринята как вызывающая неприемлемое ощущение дискомфорта и в то же время в других условиях воздействия быть приятной и бодрящей. На степень дискомфорта и его допустимость оказывают влияние многие факторы. Поэтому знание этих факторов является непременным условием для вынесения заключения о приемлемости вибрации и построения предельных границ ее значений. На транспорте и в условиях офиса или жилого помещения требования человека к комфорту и его готовность переносить неприятные воздействия различны.
Иногда дискомфорт связывают с вызываемыми вибрацией помехами в совершении каких-либо действий (чтения, письма, приема пищи). При этом помехи, связанные с вибрацией, в сильной степени зависят от сопутствующих факторов (например, какая опора используется для письма). Рассмотрение данных вопросов выходит за пределы настоящего руководства.
C.2.2. Определение характеристик вибрации
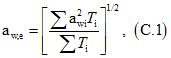
C.2.2.1. Метод с использованием среднеквадратичного значения корректированного виброускорения
В ряде случаев влияние вибрации на степень комфорта можно оценить на основе среднеквадратичного значения корректированного виброускорения (см.
таблицы 1 и
2) на некотором представительном периоде измерений.
Примечание. Для оценки степени комфорта в некоторых условиях, например на железнодорожном транспорте, в качестве подходящей функции частотной коррекции, особенно для направления вдоль оси z, рассматривают

, которая лишь незначительно, в первую очередь на частотах ниже 4 Гц, отличается от

[см. примечание 2 к 8.2.2,
перечисление A)]. Частотную коррекцию

можно рассматривать как допустимую аппроксимацию

, несмотря на ее отклонения от последней в диапазонах ниже 5 Гц и выше 10 Гц (

определяют по
таблице A.1 так же, как и

, но значения

и

должны быть равны 16 Гц).
C.2.2.2. Сравнение с критериями
Полученные среднеквадратичные значения корректированного виброускорения могут быть сопоставлены с граничными значениями, установленными в C.2.3.
Примечания
1. Если воздействие вибрации состоит из двух или нескольких периодов, различающихся по длительности и уровню вибрации, эквивалентный параметр воздействия вибрации

, может быть рассчитан по одной из следующих формул:
где

- среднеквадратичное значение корректированного виброускорения, м/с2, на периоде длительностью

.
2. Хотя (см.
8.2.1) нет очевидных свидетельств в поддержку какой-нибудь связи между длительностью воздействия вибрации и ее влиянием на состояние комфорта, для оценок используют значение дозы вибрации, которое должно было быть получено человеком на периоде суточного воздействия. Значение ожидаемой дозы вибрации

, определяют по формуле
где

- среднеквадратичное значение корректированного виброускорения, м/с2;
T - длительность воздействия, с.
Полученное в соответствии с данным методом значение дозы вибрации может быть сопоставлено с аналогичным значением, полученным в других условиях воздействия вибрации, с целью сравнить уровни дискомфорта для данных двух условий.
C.2.2.3. Метод оценки для случая, когда основного метода недостаточно
В некоторых условиях, например когда значение пик-фактора превышает 9, невозможно оценить реакцию человека на вибрационное воздействие только на основе среднеквадратичного значения корректированного виброускорения. На состояние комфорта особое влияние оказывают пиковые значения вибрации, поэтому степень дискомфорта при использовании методов, основанных только на расчетах среднеквадратичных значений, оказывается недооцененной. В этом случае необходимо применять методы, описанные в
6.3.
Полученные в разных условиях параметры вибрации могут быть сопоставлены друг с другом для сравнения этих двух условий с точки зрения оказываемого вибрацией дискомфорта.
Примечание. Знания только значения пик-фактора недостаточно для решения вопроса, может ли оценка реакции человека на вибрацию быть построена на измерении только среднеквадратичного значения виброускорения. В случае сомнений рекомендуется использовать критерии, описанные в
6.3.3.
C.2.3. Влияние вибрации на степень комфорта
Приемлемые с точки зрения комфорта параметры вибрации зависят в соответствии с
8.2 от многих факторов, которые меняются для разных условий воздействия вибрации. Поэтому в настоящем стандарте не установлено никаких требований к допустимой вибрации. Ниже приведены значения, могущие дать приближенное представление о возможной реакции человека на различные значения полной вибрации в условиях общественного транспорта.
Менее 0,315 м/с2: дискомфорт не ощущается.
От 0,315 до 0,63 м/с2: легкое ощущение дискомфорта.
От 0,5 до 1 м/с2: приемлемое ощущение дискомфорта.
От 0,8 до 1,6 м/с2: отчетливое ощущение дискомфорта.
От 1,25 до 2,5 м/с2: ощущение сильного дискомфорта.
Свыше 2 м/с2: крайняя степень дискомфорта.
Примечания
1. Реакция на одну и ту же вибрацию зависит от степени ожидания пассажиром того или иного вибрационного воздействия во время поездки, а также от вида его занятий (чтение, письмо, прием пищи и т.п.) и многих других факторов (акустического шума, температуры воздуха и т.д.).
2. Относительно оценки степени комфорта или дискомфорта в офисах учреждений и в местах постоянного проживания следует обращаться к
ГОСТ 31191.2. Опыт многих стран показывает, что жильцы склонны к жалобам всякий раз, когда вибрация в их помещении хотя бы немного превышает порог чувствительности.
C.3. Порог чувствительности к вибрации
Пятьдесят процентов лиц, которым известно о возможном воздействии на них вибрации, способны обнаруживать ее, как только пиковое значение корректированного по характеристике

виброускорения превышает 0,015 м/с2.
Способности людей к восприятию вибрации различаются весьма существенно. В то время как медиана распределения порога чувствительности к пиковому значению вибрации соответствует приблизительно 0,015 м/с2, расстояние между соседними квартилями может колебаться от 0,01 до 0,02 м/с2.
Порог чувствительности несколько снижается при возрастании периода воздействия вибрации до одной секунды и весьма незначительно изменяется при его дальнейшем росте. В то же время неприятные ощущения присутствия вибрации, превышающей порог чувствительности, со временем могут продолжать усиливаться.
(рекомендуемое)
РУКОВОДСТВО ПО ОЦЕНКЕ ВЛИЯНИЯ ВИБРАЦИИ НА ПОЯВЛЕНИЕ
БОЛЕЗНИ ДВИЖЕНИЯ
D.1. Длительность вибрационного воздействия
Вероятность появления симптомов болезни движения возрастает, когда время воздействия вибрации приближается к нескольким часам. В дальнейшем (когда период воздействия возрастает до нескольких суток) организм человека адаптируется к низкочастотным колебаниям (т.е. его чувствительность к воздействию снижается). До некоторой степени эта адаптация может сохраняться и в случаях повторного воздействия низкочастотной вибрации, снижая тем самым вероятность появления болезни движения.
В качестве дозы укачивания выбрана характеристика, значение которой возрастает с ростом случаев заболевания болезнью движения.
Применяют два альтернативных метода расчета дозы укачивания.
По возможности следует определять дозу укачивания, проводя измерения вибрации на всем периоде ее воздействия. Значение дозы укачивания

, определяют как квадратный корень из интеграла от квадрата корректированного виброускорения, действующего в направлении оси z:
где

- корректированное виброускорение в направлении оси z, м/с2;
T - общий период времени, в течение которого наблюдают низкочастотные колебания, с.
Этот способ эквивалентен расчету среднеквадратичного значения посредством линейного усреднения на интервале T с последующим умножением на

.
Если укачивание продолжается непрерывно в течение некоторого периода и уровень его остается практически неизменным, значение дозы укачивания может быть определено по измерениям среднеквадратичного значения корректированного виброускорения на более коротком интервале времени. Значение дозы укачивания

, для длительности воздействия

можно получить, умножив квадрат измеренного среднеквадратичного значения виброускорения в направлении z,

, на длительность воздействия

и взяв от этого произведения квадратный корень:
Примечание. При использовании второго метода длительность измерений обычно должна быть не менее 240 с.
D.2. Руководство по использованию полученных значений дозы укачивания
Существует большая разница в восприимчивости индивидуумами низкочастотных колебаний. Обнаружено, что женщины более подвержены болезни движения, чем мужчины, и что распространенность симптомов этой болезни с возрастом уменьшается. Доля лиц, выраженная в процентах, у которых укачивание может вызвать рвотную реакцию, составляет приблизительно

, где

- константа, которая может изменяться для разных групп людей, но для смешанной группы из взрослых мужчин и женщин, не адаптированных к действию низкочастотных колебаний,

. Указанные соотношения основаны на результатах исследований воздействий низкочастотных колебаний продолжительностью от 20 мин до 6 ч с распространенностью рвотной реакции приблизительно до 70%.
Примечание. В некоторых случаях доля лиц, проявляющих рвотную реакцию, может превысить значение, рассчитанное по
формуле (D.2), если

больше 0,5 м/с2.
(справочное)
ИЗМЕНЕНИЕ СТРУКТУРЫ НАСТОЯЩЕГО СТАНДАРТА ПО ОТНОШЕНИЮ
К ИСО 2631-1:1997
Указанное в таблице E.1 изменение структуры настоящего стандарта относительно структуры примененного международного стандарта обусловлено приведением в соответствие с требованиями
ГОСТ 1.5-2001.
Таблица E.1
Структура международного стандарта ИСО 2631-1:1997 | Структура настоящего стандарта |
Разделы | Подразделы | Разделы | Подразделы |
4. Обозначения | 4.1. Символы | | - |
4.2. Индексы | - |
Примечание. Структурные элементы настоящего стандарта и международного стандарта ИСО 2631-1:1997, не указанные в данной таблице, идентичны. |