Главная // Актуальные документы // Ведомость (форма)СПРАВКА
Источник публикации
М.: Стандартинформ, 2016
Примечание к документу
Отдельные положения данного документа включены в
Перечень международных и региональных (межгосударственных) стандартов, а в случае их отсутствия - национальных (государственных) стандартов, содержащих правила и методы исследований (испытаний) и измерений, в том числе правила отбора образцов, необходимые для применения и исполнения требований технического
регламента Таможенного союза "О безопасности машин и оборудования" (ТР ТС 010/2011) и осуществления оценки соответствия объектов технического регулирования (
Решение Коллегии Евразийской экономической комиссии от 09.03.2021 N 28).
Документ
введен в действие с 01.07.2017.
Название документа
"ГОСТ 28301-2015. Межгосударственный стандарт. Комбайны зерноуборочные. Методы испытаний"
(введен в действие Приказом Росстандарта от 12.07.2016 N 830-ст)
"ГОСТ 28301-2015. Межгосударственный стандарт. Комбайны зерноуборочные. Методы испытаний"
(введен в действие Приказом Росстандарта от 12.07.2016 N 830-ст)
агентства по техническому
регулированию и метрологии
от 12 июля 2016 г. N 830-ст
МЕЖГОСУДАРСТВЕННЫЙ СТАНДАРТ
КОМБАЙНЫ ЗЕРНОУБОРОЧНЫЕ
МЕТОДЫ ИСПЫТАНИЙ
Grain harvesters. Test methods
(ISO 5687:1999, NEQ)
(ISO 8210:1989, NEQ)
(ISO 6689-2:1997, NEQ)
ГОСТ 28301-2015
Дата введения
1 июля 2017 года
Цели, основные принципы и основной порядок проведения работ по межгосударственной стандартизации установлены
ГОСТ 1.0-92 "Межгосударственная система стандартизации. Основные положения" и
ГОСТ 1.2-2009 "Межгосударственная система стандартизации. Стандарты межгосударственные, правила и рекомендации по межгосударственной стандартизации. Порядок разработки, принятия, применения, обновления и отмены"
1 РАЗРАБОТАН Новокубанским филиалом Федерального государственного бюджетного научного учреждения "Российский научно-исследовательский институт информации и технико-экономических исследований по инженерно-техническому обеспечению агропромышленного комплекса" (КубНИИТиМ)
2 ВНЕСЕН Федеральным агентством по техническому регулированию и метрологии Российской Федерации (Росстандарт)
3 ПРИНЯТ Межгосударственным советом по стандартизации, метрологии и сертификации (протокол от 10 декабря 2015 г. N 48-2015)
За принятие проголосовали:
Краткое наименование страны по МК (ISO 3166) 004-97 | Код страны по МК (ISO 3166) 004-97 | Сокращенное наименование национального органа по стандартизации |
Армения | AM | Минэкономики Республики Армения |
Казахстан | KZ | Госстандарт Республики Казахстан |
Киргизия | KG | Кыргызстандарт |
Россия | RU | Росстандарт |
4
Приказом Федерального агентства по техническому регулированию и метрологии от 12 июля 2016 г. N 830-ст межгосударственный стандарт ГОСТ 28301-2015 введен в действие в качестве национального стандарта Российской Федерации с 1 июля 2017 г.
5 В настоящем стандарте учтены основные нормативные положения следующих международных стандартов:
ISO 5687:1999 "Машины уборочные. Уборочные комбайны. Определение и обозначение вместимости зернового бункера и характеристик разгрузочного устройства" ("Equipment for harvesting - Combine harvesters - Determination and designation of grain tank capacity and unloading device performance", NEQ);
ISO 8210:1989 "Оборудование уборочное. Комбайны. Методика испытания" ("Equipment for harvesting - Combine harvesters - Test procedure", NEQ);
ISO 6689-2:1997 "Машины для уборки урожая. Комбайны и функциональные узлы к ним. Часть 2. Оценка характеристик и эксплуатационных качеств, указанных в словаре" ("Equipment for harvesting - Combines and functional components - Part 2: Assessment of characteristics and performance defined in vocabulary", NEQ)
Информация об изменениях к настоящему стандарту публикуется в ежегодном информационном указателе "Национальные стандарты" (по состоянию на 1 января текущего года), а текст изменений и поправок - в ежемесячном информационном указателе "Национальные стандарты". В случае пересмотра (замены) или отмены настоящего стандарта соответствующее уведомление будет опубликовано в ежемесячном информационном указателе "Национальные стандарты". Соответствующая информация, уведомление и тексты размещаются также в информационной системе общего пользования - на официальном сайте Федерального агентства по техническому регулированию и метрологии в сети Интернет (www.gost.ru)
Настоящий стандарт распространяется на комбайны зерноуборочные, предназначенные для уборки зерновых колосовых культур, зернобобовых и риса прямым и раздельным комбайнированием и устанавливает методы их испытаний.
В настоящем стандарте использованы ссылки на следующие межгосударственные стандарты:
ГОСТ 12.1.003-83 Система стандартов безопасности труда. Шум. Общие требования безопасности
ГОСТ 12.1.012-2004 Система стандартов безопасности труда. Вибрационная безопасность. Общие требования
ГОСТ 12.2.002-91 Система стандартов безопасности труда. Техника сельскохозяйственная. Методы оценки безопасности
ГОСТ 12.2.019-2005 Система стандартов безопасности труда. Тракторы и машины самоходные сельскохозяйственные. Общие требования безопасности
ГОСТ 12.2.111-85 Система стандартов безопасности труда. Машины сельскохозяйственные навесные и прицепные. Общие требования безопасности <*>
--------------------------------
<*> В Российской Федерации действует
ГОСТ Р 53489-2009 "Система стандартов безопасности труда. Машины сельскохозяйственные навесные и прицепные. Общие требования безопасности".
ГОСТ 12.2.120-2005 Система стандартов безопасности труда. Кабины и рабочие места операторов тракторов, самоходных строительно-дорожных машин, одноосных тягачей, карьерных самосвалов и самоходных сельскохозяйственных машин. Общие требования безопасности
ГОСТ 15.001-88 Система разработки и постановки продукции на производство. Продукция производственно-технического назначения <**>
--------------------------------
<**> В Российской Федерации действует
ГОСТ Р 15.201-2000 "Система разработки и постановки продукции на производство. Продукция производственно-технического назначения. Порядок разработки и постановки продукции на производство".
ГОСТ 17.2.2.02-98 Охрана природы. Атмосфера. Нормы и методы определения дымности отработавших газов дизелей, тракторов и самоходных сельскохозяйственных машин
ГОСТ 17.2.2.05-97 Охрана природы. Атмосфера. Нормы и методы определения выбросов вредных веществ с отработавшими газами дизелей, тракторов и самоходных сельскохозяйственных машин <***>
--------------------------------
<***> В Российской Федерации действует
ГОСТ Р 41.96-2005 (Правила ЕЭК ООН N 96) "Единообразные предписания, касающиеся двигателей с воспламенением от сжатия, предназначенных для установки на сельскохозяйственных и лесных тракторах и внедорожной технике, в отношении выброса вредных веществ этими двигателями".
ГОСТ 27.002-89 Надежность в технике. Основные понятия. Термины и определения
ГОСТ 7502-98 Рулетки измерительные металлические. Технические условия
ГОСТ 8769-75 Приборы внешние световые автомобилей, автобусов, троллейбусов, тракторов, прицепов и полуприцепов. Количество, расположение, цвет, углы видимости
ГОСТ 10842-89 Зерно зерновых и бобовых культур и семена масличных культур. Метод определения массы 1000 зерен или 1000 семян
ГОСТ 16504-81 Система государственных испытаний продукции. Испытания и контроль качества продукции. Основные термины и определения
ГОСТ 20062-96 Сиденье тракторное. Общие технические условия
ГОСТ 20915-2011 Испытания сельскохозяйственной техники. Методы определения условий испытаний
ГОСТ 21623-76 Система технического обслуживания и ремонта техники. Показатели для оценки ремонтопригодности. Термины и определения
ГОСТ 23932-90 Посуда и оборудование лабораторные стеклянные. Общие технические условия
ГОСТ 24055 Техника сельскохозяйственная. Методы эксплуатационно-технологической оценки (стандарт находится на утверждении)
--------------------------------
<*> В Российской Федерации действует ГОСТ Р 52228-2008 "Весы неавтоматического действия. Часть 1. Метрологические и технические требования. Испытания".
ГОСТ 26025-83 Машины и тракторы сельскохозяйственные и лесные. Методы измерения конструктивных параметров
ГОСТ 26026-83 Машины и тракторы сельскохозяйственные и лесные. Методы оценки приспособленности к техническому обслуживанию
ГОСТ 26336-97 Тракторы, машины для сельского и лесного хозяйства, самоходные механизмы для газонов и садов. Условные обозначения (символы) элементов систем управления, обслуживания и отображения информации
ГОСТ 27388-87 Эксплуатационные документы сельскохозяйственной техники
ГОСТ 28305-89 Машины и тракторы сельскохозяйственные и лесные. Правила приемки на испытания <**>
ГОСТ 29329-92 Весы для статического взвешивания. Общие технические требования <***>
--------------------------------
<**> В Российской Федерации действует
ГОСТ Р 54783-2011 "Испытания сельскохозяйственной техники. Основные положения".
<***> В Российской Федерации действует ГОСТ Р 52228-2008 "Весы неавтоматического действия. Часть 1. Метрологические и технические требования. Испытания".
ГОСТ 30483-97 Зерно. Методы определения общего и фракционного содержания сорной и зерновой примесей; содержания мелких зерен и крупности; содержания зерен пшеницы, поврежденных клопом-черепашкой; содержание металломагнитной примеси
ГОСТ 31191.1-2004 Вибрация и удар. Измерение общей вибрации и оценка ее воздействия на человека. Часть 1. Общие требования
ГОСТ 31193-2004 Вибрация. Определение параметров вибрационной характеристики самоходных машин. Общие требования
ГОСТ ЕН 632-2003 Машины сельскохозяйственные. Комбайны зерноуборочные и кормоуборочные. Требования безопасности <*4>
ГОСТ ISO 4254-1-2013 Машины сельскохозяйственные. Требования безопасности. Часть 1. Общие требования
ГОСТ ИСО 4254-7-2005 Тракторы и машины для сельскохозяйственных работ и лесоводства. Технические средства обеспечения безопасности. Часть 7. Комбайны зерноуборочные, кормоуборочные и хлопкоуборочные <*4>
--------------------------------
<*4> В Российской Федерации действует ГОСТ Р ИСО 4254-7-2011 "Машины сельскохозяйственные. Требования безопасности. Часть 7. Комбайны зерноуборочные, кормоуборочные и хлопкоуборочные".
ГОСТ ИСО 14269-2-2003 Тракторы и самоходные машины для сельскохозяйственных работ и лесоводства. Окружающая среда рабочего места оператора. Часть 2. Метод испытаний и характеристики систем отопления, вентиляции и кондиционирования воздуха
ГОСТ ИСО 14269-5-2003 Тракторы и самоходные машины для сельскохозяйственных работ и лесоводства. Окружающая среда рабочего места оператора. Часть 5. Метод испытания системы герметизации
Примечание - При пользовании настоящим стандартом целесообразно проверить действие ссылочных стандартов в информационной системе общего пользования - на официальном сайте Федерального агентства по техническому регулированию и метрологии в сети Интернет или по ежегодному информационному указателю "Национальные стандарты", который опубликован по состоянию на 1 января текущего года, и по выпускам ежемесячного информационного указателя "Национальные стандарты" за текущий год. Если ссылочный стандарт заменен (изменен), то при пользовании настоящим стандартом следует руководствоваться заменяющим (измененным) стандартом. Если ссылочный стандарт отменен без замены, то положение, в котором дана ссылка на него, применяется в части, не затрагивающей эту ссылку
3.1 комбайн: Самоходная зерноуборочная машина, выполняющая последовательно непрерывным потоком и одновременно: срезание растения, подачу его к молотильному аппарату, обмолот зерна из колосьев, отделение его от вороха и прочих примесей, транспортировку чистого зерна в бункер и механическую выгрузку из него, укладку отходов после работы комбайна на почву.
3.2 потери зерна при уборке: Массовая доля зерна, утерянная комбайном с убранной площади.
3.3 номинальная производительность комбайна: Производительность за час основного времени, выраженная в тоннах основного продукта, полученная при работе комбайна в установившемся режиме, в характерных для зоны испытаний условиях по урожайности, влажности, отношении зерна к соломе, при потерях зерна за комбайном 2,0%, приведенная к нормированному отношению массы зерна к массе соломы (1:1,5).
3.4 пропускная способность комбайна: Приведенная подача, при которой молотилка комбайна обеспечивает заданный техническим заданием уровень потерь зерна (1,5%), дробление зерна (2,0%) и засоренность бункерного зерна (2,0%) при нормированном отношении зерна к соломе (1:1,5).
3.5 расчетная производительность комбайна: Производительность комбайна в тоннах зерна за 1 ч основного времени, указанная в техническом задании (ТЗ), технических условиях (ТУ) заводом-изготовителем.
3.6 фактическая производительность комбайна: Производительность комбайна в тоннах зерна за 1 ч основного времени, определенная при нормативных характеристиках агрофона, предусмотренных в ТЗ (ТУ) на комбайн.
3.7 номинальная зональная производительность: Производительность комбайна в тоннах зерна за 1 ч основного времени в характерных для зоны условиях уборки по урожайности, соломистости, влажности и отношения зерна к соломе.
4.1 Цели, задачи и виды испытаний - по
ГОСТ 15.001,
ГОСТ 16504, а также по национальным стандартам и нормативным документам, действующим в государствах - участниках Соглашения.
4.2 Порядок предоставления комбайна на испытания, оформление результатов приемки - в соответствии с ГОСТ 28305, а также в соответствии с национальными стандартами и нормативными документами, действующими в государствах - участниках Соглашения.
Эксплуатационные документы, представляемые с комбайном, должны соответствовать ГОСТ 27388, которые должны содержать рекомендации по оптимальной настройке и регулировке комбайна на различных видах агрофона.
4.3 Комбайн представляют на испытания не позднее чем за 15 дней до наступления агротехнического срока в собранном виде.
Типовая программа испытаний зерноуборочных комбайнов включает виды оценок в соответствии с таблицей 1.
Таблица 1
Вид оценки | Вид испытаний |
Приемочные | Квалификационные | | Периодические |
1 Технических параметров (техническая экспертиза) | + | + | + | + |
2 Агротехническая | + | - | + | - |
3 Энергетическая | + | + | + | - |
4 Безопасность и эргономичность конструкции | + | - | + | - |
5 Эксплуатационно-технологическая | + | + | + | + |
6 Надежность | - | + | + | + |
7 Экономическая | + | - | + | - |
<*> При проведении типовых испытаний включают виды оценок, на изменение значения показателей которых повлияли изменения конструкции изделия. Примечание - Знак "+" означает - оценка проводится, знак "-" - не проводится. |
4.4 Приемочные государственные испытания комбайнов проводят в сравнении с базовым вариантом для региона испытаний в сопоставимых условиях уборки.
4.5 Применяемые средства измерений должны быть поверены до начала испытаний в соответствии с действующими в государстве правилами.
4.6 Нестандартные и единичные средства измерений, испытательное оборудование подлежат аттестации, проводимой в установленном порядке.
5. Подготовка к испытаниям
5.1 Перед началом испытаний на основании типовой программы испытаний составляют рабочую программу-методику испытаний, в которой указывают с учетом особенностей конкретного образца перечень видов оценок и определяемых показателей по каждому виду оценки, режимы, условия, место испытаний, наименования средств измерений и оборудования, применяемых при испытании, фактические значения по которым в процессе испытаний записывают в рабочие формы испытаний.
5.2 При подготовке комбайна к испытаниям необходимо соблюдать следующие требования:
- комбайн должен отвечать требованиям безопасности (при всех видах испытаний должен быть составлен и утвержден акт предварительной оценки безопасности);
- до начала испытаний комбайн должен быть обкатан и отрегулирован в соответствии с руководством по эксплуатации.
5.3 Параметры, характеризующие условия работы зерноуборочного комбайна при испытаниях, должны находиться в пределах, соответствующих техническому заданию (ТЗ), техническим условиям (ТУ) на испытуемый комбайн.
5.4 Перед проведением испытаний проводят обучение персонала по вопросам устройства и безопасной эксплуатации комбайна.
5.5 В зависимости от вида выполняемых уборочных работ (прямое или раздельное комбайнирование) комбайн укомплектовывают жаткой (хедером) или подборщиком в соответствии с руководством по эксплуатации.
5.6 Для достоверной оценки потерь зерна испытания зерноуборочных комбайнов проводят в варианте укладки соломы и половы в валок. Испытания приспособлений для уборки и утилизации побочной продукции (измельчителя-разбрасывателя, копнителя, прицепной емкости и др.) проводят по специальной программе.
6. Методы оценки технических параметров
6.1 Оценку технических параметров проводят по ГОСТ 26025, а также по национальным стандартам и нормативным документам, действующим в государствах - участниках Соглашения.
6.2 Перечень параметров конструкции комбайна приведен в
форме А.1 (приложение А).
6.3 Определение конструктивных параметров (габаритных размеров, массы, ширины захвата, минимальных радиусов поворота) - по ГОСТ 26025.
6.4 Вместимость (емкость) зернового бункера комбайна определяют в литрах зерна, которое выгружается системой выгрузки комбайна. Влажность зерна должна быть не более 15%, максимальная засоренность - 2,0%.
Вместимость вычисляют делением массы выгруженного зерна на его натуру.
6.5 Максимальную скорость выгрузки зернового бункера в литрах в секунду определяют измерением массы зерна, выгружаемого в течение 30-секундного периода, который начинается через пять секунд после того, как зерно впервые начало поступать из выгрузного устройства.
Среднюю скорость выгрузки зернового бункера в литрах в секунду вычисляют делением 95% вместимости зернового бункера на время его выгрузки.
6.6 Ширину захвата жатки (конструктивную) определяют как расстояние между центральными линиями делителей.
6.7 Ширину захвата подборщика (конструктивную) определяют как расстояние между боковинами подборщика, ограничивающими транспортирующие элементы.
7. Методы агротехнической оценки
7.1 Агротехническую оценку зерноуборочного комбайна проводят на преобладающем в зоне способе уборки зерновой культуры, районированном сорте.
Номенклатура показателей условий испытаний и качества выполнения технологического процесса, определяемых при испытаниях, приведена в
формах А.2 -
А.4 (приложение А).
7.2 Требования к условиям испытаний
7.2.1 Характеристика убираемой культуры должна содержать показатели, соответствующие ТЗ (ТУ) на разработку (изготовление) комбайна для данной зоны.
7.2.2 Характеристика поля (рельеф, уклон поля, влажность, твердость почвы и др.) должна соответствовать требованиям ТЗ (ТУ).
7.3 Определение показателей условий испытаний
7.3.1 Показатели условий испытаний определяют на поле, отведенном для проведения испытаний с учетом проведения эксплуатационно-технологической оценки.
7.3.2 Тип почвы, рельеф поля, засоренность почвы камнями, влажность, твердость почвы, засоренность культуры сорняками определяют по
ГОСТ 20915.
7.3.3 Определение характеристики убираемой культуры
7.3.3.1 Культуру, сорт определяют по данным хозяйства.
7.3.3.2 Для определения высоты растений, потерь зерна от самоосыпания (естественных потерь зерна), полеглости растений (стеблестоя), отношения массы зерна к массе соломы на поле вдоль всего прокоса с помощью рамки размером 50 x 50 см, отступив на 100 см в нескошенный хлебостой, выделяют десять площадок (по пять площадок на каждой стороне прокоса). Прокос должен находиться не ближе 50 м от лесополосы, скорость ветра должна быть не более 3 м/с, время взятия проб - 12 ч дня.
7.3.3.3 Потери зерна от самоосыпания (естественные потери) определяют внутри рамки на каждой площадке методом сбора зерна на земле. Зерно взвешивают с погрешностью +/- 0,1 г. Результаты записывают в
форму Б.1 (приложение Б).
Среднее арифметическое значение потерь зерна от самоосыпания

, г, вычисляют по формуле

(1)
где

- масса зерна собранного с
i-й площадки, г;
n - число учетных площадок, шт.
Вычисления проводят с округлением до первого десятичного знака.
7.3.3.4 Высоту растений измеряют от поверхности почвы до их верхней части в естественном и выпрямленном состояниях на каждой площадке у двадцати растений, выбранных случайно. Погрешность измерения - +/- 1 см. Результаты измерений записывают в
форму Б.2 (приложение Б) и вычисляют среднее арифметическое значение с округлением до целого числа.
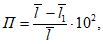
7.3.3.5 Полеглость растений (стеблестоя) П, %, вычисляют по формуле

(2)
где

- средняя высота растений в выпрямленном состоянии, см;

- средняя высота растений в естественном состоянии, см.
Вычисления проводят с округлением до целого числа.
7.3.3.6 После измерения высоты растений на площадках на уровне поверхности почвы срезают всю массу (культурные растения и сорняки) и формируют в снопы. В каждом снопе определяют число культурных растений, затем сноп разбирают на культурные растения и сорняки, взвешивая их отдельно с погрешностью +/- 5 г. От культурных растений и сорняков со стороны комля отрезают пять частей длиной 5 см каждая. После каждого отрезания проводят взвешивание оставшейся части снопа. После отрезания пятой части оставшуюся часть культурных растений после взвешивания обмолачивают. Обмолоченное зерно очищают и взвешивают с погрешностью +/- 1 г. Результаты записывают в
форму Б.3 (приложение Б).
7.3.3.7 Засоренность снопа определяют по
ГОСТ 20915.
7.3.3.8 Отношение массы зерна к массе соломы над фактической высотой среза определяют по результатам анализа пробных снопов по
7.3.3.6 и анализа частей валка по
7.3.3.15 и вычисляют по формуле

(3)
где qк.с - общая масса культурных и сорных растений над соответствующей линией среза или части валка, г;
qз - масса зерна, выделенного из снопа или части валка, г.
7.3.3.9 Предварительную урожайность зерна
Упред, т/га (без учета потерь за комбайном), вычисляют по массе зерна, выделенного из снопа (
форма Б.3, приложение Б)

(4)
где S - площадь рамки для определения характеристики снопа, м2.
Значение предварительной урожайности используют при расчете рабочей скорости движения комбайна по
формуле (9).
7.3.3.10 Массу 1000 зерен определяют по
ГОСТ 10842.
7.3.3.11 Влажность зерна и соломы определяют методом высушивания по
ГОСТ 13586.5 или с помощью влагомера. Пробы зерна отбирают через каждые 2 ч по
ГОСТ 13586.3. Пробы соломы (совместно с половой) отбирают от выходов комбайна в каждом опыте.
Допускается применять влагомеры, позволяющие определять влажность материала с погрешностью не более 2,0%.
7.3.3.12 При раздельном комбайнировании определяют характеристику валка, сформированного серийной валковой жаткой. Высоту и толщину валка, просвет между почвой и валком измеряют линейкой в трех местах по ширине и десяти местах по длине валка с интервалом от 5 до 10 м. Измерения проводят не менее чем на трех валках, расположенных не ближе 50 м от края поля. Погрешность измерения - +/- 1 см.
Высоту валка определяют измерением расстояния от поверхности почвы до верхней части валка (основной массы срезанных растений).
Просвет между почвой и валком определяют измерением расстояния от поверхности почвы до нижней части валка.
Толщину валка определяют как разницу между высотой валка и просветом между почвой и валком.
7.3.3.13 Ширину валка и расстояние между валками измеряют рулеткой в тех же местах, где измеряют высоту валка путем измерения расстояния между краями валка (основной массы срезанных растений) и внутренними краями смежных валков.
Ширину захвата валковой жатки, сформировавшей валок, определяют как сумму средних арифметических значений расстояния между валками и ширины валка.
7.3.3.14 Результаты измерений параметров валка записывают в
форму Б.4 (приложение Б) и вычисляют среднее арифметическое значение каждого показателя с округлением до целого числа.
7.3.3.15 Массу одного метра длины валка
qв, кг/м, определяют по результатам взвешивания продуктов обмолота, собранных с учетной делянки, и вычисляют по формуле

(5)
где Gз - масса зерна, кг;
Gс - масса соломы, кг;
Gп - масса половы, кг;
L - длина учетной делянки, м.
Массу одного метра длины валка допускается определять по результатам взвешивания шести частей валка длиной один метр каждая (повторность), вырезанных в разных местах двух случайно взятых валков. Результаты записывают в
форму Б.5 (приложение Б).
Массу одного метра длины валка вычисляют как среднее арифметическое значение всех измерений.
7.3.3.16 Соломистость хлебной массы С определяют по результатам взвешивания продуктов обмолота, собранных с учетной площадки после прохода комбайна, и вычисляют по формуле

(6)
7.3.3.17 Перед подбором валков подборщиком определяют потери зерна за валковой жаткой. Потери включают:
- потери свободным зерном под валком;
- потери зерна в срезанных колосьях (метелках, бобах) в межвалковом пространстве.
Для определения потерь зерна в срезанных колосьях (метелках, бобах) в межвалковом пространстве накладывают рамки длиной 2 м, шириной, равной расстоянию между внутренними краями смежных валков.
Массовую долю потерь зерна в срезанных колосьях (метелках, бобах) за валковой жаткой

, %, вычисляют по формуле

(7)
где qс.к.в - потери зерна в срезанных колосьях за валковой жаткой, г;

- площадь рамки для учета потерь зерна в срезанных колосьях за валковой жаткой, м
2;
Уз.р - урожайность зерна при раздельном комбайнировании, определяемая по
формуле (11), т/га.
Для определения потерь свободным зерном под валком часть валка осторожно приподнимают и убирают, а на его место накладывают рамку длиной 0,15 м, шириной, равной ширине валка. В пределах рамок зерно собирают и взвешивают с погрешностью +/- 0,1 г. Результаты записывают в
форму Б.6 (приложение Б).
Массовую долю потерь свободным зерном под валком за валковой жаткой

, %, вычисляют по формуле

(8)
где

- потери свободным зерном под валком за валковой жаткой, г;

- площадь рамки для учета потерь свободным зерном под валком за валковой жаткой, м
2;
S3 - площадь рамки для учета потерь свободным зерном в межвалковом пространстве за валковой жаткой, м2.
Примечание - Длина рамки должна быть 0,15 м, ширина равна расстоянию между внутренними краями смежных валков.
7.3.3.18 Показатели условий испытаний записывают в
форму А.2 (приложение А).
7.4 Определение показателей качества выполнения технологического процесса и номинальной производительности
7.4.1 Показатели качества выполнения технологического процесса комбайна определяют на поле, подготовленном для проведения эксплуатационно-технологической оценки, на преобладающем в зоне сорте зерновой культуры и преобладающем виде комбайнирования.
7.4.2 На выбранном участке поля делают прокосы. Отступив от края поля не менее 50 м, размечают делянки для отбора проб. Длина делянки для всех зерновых колосовых культур должна быть не менее 50 м, для риса - не менее 30 м. При раздельном комбайнировании (двухфазном способе уборки) на участке под контролем агронома должны быть заложены валки серийной валковой жаткой на оптимальной рабочей скорости. Перед отбором проб комбайн должен быть настроен на оптимальный режим применительно к условиям испытаний и оборудован устройствами (пробоотборниками) для сбора проб соломы и половы раздельно. Допускается не более трех попыток настройки рабочих органов комбайна. Не допускается изменять регулировки комбайнов как при переходе на режим изменения загрузки, так и во время определения качества выполнения технологического процесса.
Окончательно установленные параметры режима записывают в журнал испытаний.
Пробоотборники для отбора проб соломы и половы могут быть различной конструкции, но они должны обеспечивать выполнение следующих требований:
- учетные делянки комбайн должен проходить без остановок;
- отбор проб соломы и половы от молотилки комбайна должен обеспечиваться как раздельно, так и совместно;
- пробы должны отбираться в установившемся режиме загрузки молотилки, без нарушения технологического процесса работы комбайна, воздушного режима очистки, схода соломы с соломотряса, кинематического режима.
7.4.3 Во время отбора проб комбайн должен работать с максимальной шириной захвата жатки. При сравнительных испытаниях все комбайны должны быть отрегулированы на одинаковую высоту среза.
Отбор проб при сравнительных испытаниях должен осуществляться последовательно по каждому комбайну: отбирают пробы на одном режиме загрузки от любого комбайна, а затем - на аналогичном режиме загрузки от другого комбайна и т.д., меняя режим загрузки и чередуя комбайны, отбирают все необходимые пробы.
7.4.4 Показатели качества технологического процесса определяют на трех режимах по скорости движения комбайна:
- рабочей скорости, соответствующей расчетной производительности по ТЗ (ТУ);
- от 70% до 80% от расчетной;
- от 120% до 130% от расчетной.
На каждом режиме пробы отбирают не менее чем в трехкратной повторности.
В случае, если на скорости 120 - 130% от расчетной потери зерна за молотилкой комбайна получены менее 1,5%, дополнительно проводят отбор проб на скорости 150% от расчетной.
7.4.5 Рабочую скорость, соответствующую расчетной производительности, vр, км/ч, вычисляют по формуле

(9)
где Wр - расчетная производительность по ТЗ (ТУ) в т/ч;
Bр - конструкционная ширина захвата жатки (подборщика), м.
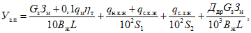
7.4.6 Фактическую урожайность зерна при прямом комбайнировании Уз.п, т/га, вычисляют по следующей формуле:

(10)
где Зм - массовая доля содержания основного зерна и зерновой примеси в зерне из бункера комбайна, %;
qм - суммарные потери зерна за молотилкой комбайна, г;

- коэффициент тарировки лабораторной молотилки;
Bж - рабочая ширина захвата жатки, м;
L - длина учетной делянки, м;
qн.к.ж - потери зерна в несрезанных колосьях (метелках, бобах) за жаткой, г;
qс.к.ж - потери зерна в срезанных колосьях (метелках, бобах) за жаткой, г;
S1 - площадь рамки для учета зерна в несрезанных (срезанных) колосьях (метелках, бобах) за жаткой, м2;
qс.з.ж - потери свободного зерна за жаткой, г;
S2 - площадь рамки для учета потерь свободного зерна за жаткой, м2;
Ддр - массовая доля дробленого зерна, %.
7.4.7 Фактическую урожайность зерна при раздельном комбайнировании Уз.р, т/га, вычисляют по формуле

(11)
где qс.к.п - потери зерна в срезанных колосьях (метелках, бобах) за подборщиком, г;
qс.з.п - потери свободным зерном за подборщиком, г;
l2 - длина рамки для учета потерь в срезанных колосьях (метелках, бобах) за подборщиком, м;
l3 - длина рамки для учета потерь свободным зерном за подборщиком, м.
7.4.8 Пробы отбирают на каждом режиме в трехкратной повторности.
7.4.9 На каждом режиме определяют показатели в соответствии с
формами А.3,
А.4 (приложение А).
7.4.10 Фактическую рабочую скорость движения комбайна определяют по времени прохождения каждой учетной делянки.
Число учетных делянок на каждом режиме должно быть не менее четырех: две в одну сторону и две в обратную (с учетом полеглости), длина - не менее 50 м.
На каждой учетной делянке комбайн должен двигаться без остановки. Время прохождения учетной делянки измеряют секундомером с погрешностью +/- 1,0 с. Длину учетной делянки измеряют мерным циркулем (колесом) с погрешностью не более 1,0%. Результаты записывают в журнал испытаний.
Фактическую скорость движения зерноуборочного комбайна

, км/ч, вычисляют по формуле

(12)
где Li - длина i-й учетной делянки, м;
ti - время прохождения учетной делянки в i-й повторности, с;
n' - число учетных делянок, шт.
В конце учетной делянки комбайн останавливают, промолачивают массу, оставшуюся в комбайне, в течение 30 с, после остановки молотилки комбайна зерно из бункера выгружают и взвешивают с погрешностью не более 1,0%. Результаты взвешивания, параметры настройки рабочих органов записывают в журнал испытаний.
Массу зерна с учетной делянки используют для расчета потерь зерна за жаткой комбайна.
7.4.11 Для определения ширины захвата жатки в пределах учетной делянки до учетного прохода комбайна на расстоянии 1 м от нескошенного стеблестоя ставят десять колышков с интервалом от 5 до 10 м. После прохода комбайна измеряют рулеткой расстояние от каждого колышка до нескошенного стеблестоя. Результаты записывают в
форму Б.7 (приложение Б). Ширину захвата вычисляют по разнице измерений до и после прохода комбайна. Среднее арифметическое значение ширины захвата вычисляют с округлением до первого десятичного знака. Допускается проводить определение ширины захвата жатки с помощью маркера, установленного на жатку.
7.4.12 Для определения высоты среза против каждого колышка по ширине захвата жатки делают не менее десяти измерений высоты среза для зерновых или длины стерни для бобовых культур. Для определения высоты среза линейкой измеряют расстояние от поверхности почвы до линии среза растений в естественном состоянии, длины стерни - в выпрямленном состоянии. Измерения проводят с погрешностью +/- 1 см. Результаты измерений записывают в
форму Б.8 (приложение Б) и вычисляют среднее арифметическое значение высоты среза или длину стерни, стандартное отклонение, коэффициент вариации. Вычисления проводят с округлением до целого числа.
7.4.13 Во время каждой повторности от комбайна отбирают следующие продукты обмолота для анализа:
- зерно из бункера;
- солому;
- полову;
- зерно, просыпавшееся на почву из-за недостаточного уплотнения молотилки;
а также определяют:
- потери за жаткой (подборщиком);
- высоту среза.
7.4.14 Для отбора проб на выходе соломы и половы из комбайна устанавливают пробоотборники
(приложение В).
В момент начала поступления растительной массы на жатку комбайна включают секундомер.
После входа комбайна в установившийся режим включают в работу пробоотборник.
В конце учетной делянки комбайн останавливают, выключают секундомер и промолачивают оставшуюся в комбайне массу в течение 30 с.
После остановки молотилки снимают пробоотборник и выгружают зерно из бункера.
При выгрузке зерна отбирают средний образец массой от 2,0 до 2,5 кг для анализа, а также отбирают пробы соломы, половы и зерна для определения влажности.
Солому, полову и зерно, собранные с учетной делянки, взвешивают с погрешностью не более 1%.
7.4.15 Фактическую подачу растительной массы Qф, кг/с, и приведенную Qп, кг/с, вычисляют по формулам:

(13)

(14)
где kс - коэффициент приведения (пересчета) соломистости хлебной массы (к нормативному соотношению массы зерна к массе соломы 1:1,5).

(15)
где mу.с - условно принятая масса соломы (1,5);
mу.з - условно принятая масса зерна (1);
7.4.16 Для выделения потерь зерна пробы соломы и половы обрабатывают на лабораторной молотилке. При этом солому и полову необходимо подавать равномерно.
Выделенное свободное зерно и зерно из вымолоченных колосков (метелок) очищают от мелких примесей и взвешивают с погрешностью +/- 1 г. Результаты записывают в
форму Б.11 (приложение Б).
7.4.17 В процессе обработки проб необходимо тарировать лабораторную молотилку, для чего при обработке трех проб, отобранных на расчетном режиме загрузки любого из испытуемых комбайнов, ее устанавливают на брезент. После первой обработки всю соломистую массу (солому и полову) собирают и обрабатывают повторно. Зерно, выделенное при первом и повторном обмолоте, очищают и раздельно взвешивают с погрешностью +/- 1 г. Результат записывают в
форму Б.12 (приложение Б).
Коэффициент тарировки лабораторной молотилки

в относительных единицах вычисляют по формуле

(16)
где q - масса потерь зерна при первом обмолоте пробы лабораторной молотилкой, г;
q1 - масса потерь зерна при повторном обмолоте пробы лабораторной молотилкой, г.
Вычисления проводят с округлением до первого десятичного знака.
7.4.18 Потери зерна из-за недостаточного уплотнения молотилки комбайна определяют в трех повторностях на одном из режимов. При этом под комбайн (на стыке наклонной камеры с молотилкой, под молотилкой) подвязывают брезент. В конце опыта зерно, просыпавшееся на брезент, собирают в сумочку и взвешивают с погрешностью +/- 1 г. Результаты записывают в
форму Б.6 (приложение Б) и в
форму Г.1 (приложение Г).
7.4.19 Потери зерна распылом определяют только на уборке пшеницы из расчета 10% дробленого зерна, полученного при анализе зерна из бункера комбайна согласно
7.4.21, и относят их к суммарным потерям за молотилкой комбайна.
7.4.20 Суммарные потери зерна за молотилкой комбайна вычисляют по формуле
qм = qн.с + qн.п + qс.с + qс.п, (17)
где qн.с - потери зерна недомолотом в соломе, г;
qн.п - потери зерна недомолотом в полове, г;
qс.с - потери свободным зерном в соломе, г;
qc.п - потери свободным зерном в полове, г.
Массовую долю потерь зерна недомолотом в соломе

, %, вычисляют по формуле

(18)
Массовую долю потерь зерна недомолотом в полове

, %, вычисляют по формуле

(19)
Массовую долю потерь свободным зерном в соломе

, %, вычисляют по формуле

(20)
Массовую долю потерь свободным зерном в полове

, %, вычисляют по формуле

(21)
Массовую долю потерь зерна распылом

, %, вычисляют по формуле

(22)
где
Ддр - массовая доля дробленого зерна, % (согласно
форме Б.13, приложение Б);
Kр - коэффициент распыла, равный 0,1.
Массовую долю потерь зерна из-за недостаточного уплотнения молотилки комбайна

, %, вычисляют по формуле

(23)
| | ИС МЕГАНОРМ: примечание. Обозначение дано в соответствии с официальным текстом документа. | |
где

- потери зерна из-за недостаточного уплотнения молотилки комбайна, г.
Суммарные потери зерна за молотилкой комбайна

, %, вычисляют по формуле

(24)
Вычисления потерь зерна проводят с округлением до второго десятичного знака.
7.4.21 Для анализа бункерного зерна из среднего образца выделяют две навески по
ГОСТ 13586.3.
Навески разбирают на следующие фракции:
- основное зерно;
- зерновую примесь:
дробленое зерно;
зерно в колосках и пленках;
обрушенное зерно (для пленчатых культур);
- сорную примесь.
При анализе навески щуплое зерно и зерно других зерновых культур относят к основному, а все битые, независимо от величины отбитой части, относят к дробленому зерну.
К обрушенному зерну относят зерно, потерявшее полностью или частично оболочку. Зерно в колосках и пленках очищают, отход относят к сорной примеси, а зерно - к зерновой примеси.
К сорной примеси относят органические и минеральные примеси, семена сорняков.
Каждую фракцию взвешивают с погрешностью +/- 0,1 г. Результаты записывают в
форму Б.13 (приложение Б).
Массовую долю дробленого (обрушенного) зерна Ддр(об), %, вычисляют по формуле

(25)
где qдр(об) - масса дробленого (обрушенного) зерна, г;
qо - масса основного зерна, г;
qк.п - масса зерна в колосках и пленках, г.
Содержание сорной примеси Пс, %, вычисляют по формуле

(26)
где qс - масса сорной примеси, г;
qн - масса навески, г.
Массу 1000 зерен определяют по двум навескам одного из опытов согласно
ГОСТ 10842.
7.4.22 Потери зерна за жаткой комбайна включают в себя потери свободным зерном и зерном в срезанных и несрезанных колосьях (метелках, бобах).
Для определения потерь зерна после прохода комбайна на стерню учетной делянки накладывают рамки. Для сбора потерь зерна в колосьях (метелках, бобах) применяют рамки длиной 1 м, шириной, равной рабочей ширине захвата жатки. Для учета потерь свободным зерном применяют рамку такой же ширины, длиной 0,15 м. Эта рамка накладывается на стерню внутри большей рамки. Собранное зерно взвешивают с погрешностью +/- 0,1 г. Результаты записывают в
форму Б.6 (приложение Б).
7.4.23 Массовую долю потерь зерна за жаткой комбайна в несрезанных колосьях

, %, вычисляют по формуле

(27)
где qн.к.ж - потери зерна в несрезанных колосьях (метелках, бобах) за жаткой, г;
S1 - площадь рамки для учета потерь зерна в несрезанных (срезанных) колосьях (метелках, бобах), м2.
7.4.24 Массовую долю потерь зерна за жаткой комбайна в срезанных колосьях

, %, вычисляют по формуле

(28)
7.4.25 Массовую долю потерь свободным зерном за жаткой комбайна

, %, вычисляют по формуле

(29)
где S - площадь рамки для учета потерь зерна от самоосыпания, м2.
7.4.26 Суммарные потери зерна за жаткой комбайна

, %, вычисляют по формуле

(30)
7.4.27 Перед испытанием комбайна с подборщиком на выбранном участке поля под контролем агронома должны быть заложены валки серийной валковой жаткой на оптимальной рабочей скорости.
При испытании комбайна с подборщиком определяют потери свободным зерном и зерном в срезанных колосьях (метелках, бобах).
Потери определяют после прохода подборщика.
Для определения потерь зерна в колосьях (метелках, бобах) применяют рамки длиной 2 м, шириной, равной ширине валка плюс 0,5 м с обеих сторон валка. Для определения потерь свободным зерном в пределах указанной выше рамки накладывают на стерню вторую рамку такой же ширины, длиной 0,15 м. На каждом режиме потери зерна определяют в трехкратной повторности.
Собранное зерно взвешивают с погрешностью +/- 0,1 г. Результаты записывают в
форму Б.6 (приложение Б).
7.4.28 Массовую долю потерь зерна в срезанных колосьях (метелках, бобах) за подборщиком

, %, вычисляют по формуле

(31)
| | ИС МЕГАНОРМ: примечание. Обозначение дано в соответствии с официальным текстом документа. | |
где

- потери зерна в срезанных колосьях (метелках, бобах) в межвалковом пространстве за валковой жаткой, %.
7.4.29 Массовую долю потерь свободным зерном за подборщиком

, %, вычисляют по формуле

(32)
| | ИС МЕГАНОРМ: примечание. Обозначение дано в соответствии с официальным текстом документа. | |
где

- потери свободным зерном под валком за валковой жаткой, %.
7.4.30 Суммарные потери зерна за подборщиком

, %, вычисляют по формуле

(33)
Вычисления проводят с округлением:
- урожайности зерна - до первого десятичного знака;
- потерь зерна - до второго десятичного знака.
7.4.31 Суммарные потери зерна за комбайном при прямом комбайнировании

вычисляют по формуле

(34)
7.4.32 Суммарные потери зерна за комбайном при раздельном комбайнировании

вычисляют по формуле

(35)
7.4.33 Производительность комбайна по зерну на каждом режиме в i-й повторности Wi, т/ч, вычисляют по формуле

(36)
где

- масса бункерного зерна в
i-й повторности каждого режима, т;

- массовая доля содержания основного зерна и зерновой примеси в бункерном зерне в
i-й повторности каждого режима, %;
ti - время повторности опыта, ч.
7.4.34 На основании рабочих ведомостей составляют ведомость исходных данных результатов испытаний комбайна по
формам Г.1 -
Г.5 (приложение Г), которые передают для обработки на ЭВМ.
7.4.35 Показатели качества выполнения технологического процесса комбайна после обработки записывают в
формы А.3,
А.4 (приложение А).
7.4.36 По результатам испытаний для определения номинальной производительности комбайна строят график зависимости суммарных потерь зерна молотилкой комбайна от производительности.
7.4.37 Аппроксимацию полученных данных уравнением регрессии производят, используя стандартные методы математической обработки.
Рисунок 1 - График зависимости суммарных потерь
зерна комбайном от производительности
Производительностью, соответствующей допустимому уровню потерь зерна за молотилкой комбайна (1,5%), является:
- номинальная производительность, если получена в нормированных в ТЗ (ТУ) условиях;
- фактическая зональная производительность, если получена в отличных от ТЗ (ТУ) условиях.
7.4.38 Полученное значение номинальной производительности анализируют в сравнении с расчетной производительностью, указанной в ТЗ, и делают заключение о достигнутом уровне.
7.4.39 Полученное значение производительности используют для задания рабочей скорости комбайна при проведении контрольных смен по
формуле (9).
7.4.40 Для определения класса комбайна по результатам испытаний строят график зависимости приведенной подачи хлебной массы от суммарных потерь за молотилкой комбайна. По уровню пропускной способности определяют класс комбайна.
7.4.41 Аппроксимацию полученных данных производят, используя стандартизованные методы математической обработки.
Рисунок 2 - График зависимости потерь зерна молотилкой
комбайна от приведенной подачи хлебной массы
7.5 Средства измерений и оборудование, применяемые при определении показателей агротехнической оценки
Перечень средств измерений и оборудования, применяемых при определении показателей агротехнической оценки приведен в
приложении Д.
8. Методы энергетической оценки
8.1 Энергетическую оценку зерноуборочных комбайнов проводят в соответствии со стандартами и нормативными документами, действующими в государствах - участниках Соглашения.
8.2 Результаты энергетической оценки записывают в
форму А.5 (приложение А).
9. Методы оценки безопасности и эргономичности конструкции
Оценку показателей и требований безопасности и эргономичности конструкции зерноуборочных комбайнов проводят при приемочных испытаниях по
ГОСТ 12.2.002,
ГОСТ 17.2.2.02,
ГОСТ ИСО 14269-2,
ГОСТ ИСО 14269-5,
ГОСТ 31191.1 на соответствие требованиям
приложений 1,
2 к Техническому регламенту Таможенного союза ТР ТС 010/2011
[1],
ГОСТ 12.1.003,
ГОСТ 12.1.012,
ГОСТ 12.2.019,
ГОСТ 12.2.120,
ГОСТ 8769,
ГОСТ 12.2.111, ГОСТ ИСО 4254-7, ГОСТ ИСО 4254-1,
ГОСТ 31193, ГОСТ ЕН 632,
ГОСТ 17.2.2.02,
ГОСТ 17.2.2.05, ГОСТ 20062,
ГОСТ 26336, ТЗ (ТУ) с определением показателей, приведенных в
форме А.6 (приложение А). Результаты записывают в протокол по
форме А.7 (приложение А).
При других видах испытаний (периодических, квалификационных) оценка безопасности не проводится. Машина, поступающая на испытания, должна иметь сертификат соответствия, выданный аккредитованным органом по сертификации.
10. Методы оценки надежности
10.1 Оценку надежности единичного образца комбайна при проведении приемочных государственных испытаний не проводят.
10.2 По возникающим техническим отказам проводят их регистрацию для передачи заводу-изготовителю.
10.3 Оценку надежности зерноуборочных комбайнов при периодических и квалификационных испытаниях проводят по стандартам и нормативным документам, действующим в государствах - участниках Соглашения, с определением показателей, приведенных в
форме А.8 (приложение А).
10.4 Зерноуборочные комбайны испытывают на видах работ в соответствии с
ГОСТ 24055.
10.5 На каждом виде работ комбайн испытывают на рабочей скорости, обеспечивающей получение заданной в ТУ производительности при допустимых показателях качества.
10.6 Для сокращения сроков испытаний допускается проводить ускоренные испытания на надежность по действующим нормативным документам при режимах, воспроизводящих эксплуатационные нагрузки.
10.7 Наработку комбайнов измеряют часами основного времени, гектарами убранной площади, тоннами собранного зерна. Для учета наработки в часах основного времени необходимо проводить сплошной хронометраж.
Допускается определять наработку в часах основной работы расчетом по наработке в физических единицах за весь период испытаний и производительности по результатам эксплуатационно-технологической оценки.
10.8 В течение всего периода испытаний ведут учет отказов и повреждений.
10.9 Определение затрат времени и труда на выявление и устранение отказов осуществляют пооперационным хронометражем с погрешностью измерения +/- 5 с.
10.10 Затраты времени и труда на выявление и устранение отказов в течение всего периода испытаний суммируют и учитывают при расчете показателей надежности.
10.11 Устранение сложных отказов осуществляют сервисные службы заводов-изготовителей.
10.12 Техническое состояние комбайнов зерноуборочных и замененных (восстановленных) деталей и узлов оценивают при проведении заключительной технической экспертизы.
10.13 Информацию по операциям технического обслуживания собирают и обрабатывают по ГОСТ 26026.
10.14 Показатели надежности определяют по наработке, измеряемой временем основной работы, и оценивают сопоставлением фактических показателей надежности с нормативными значениями или с показателями сравниваемой машины. Отклонение наработок сравниваемых машин не должно быть более 20%.
10.15 Показатели надежности записывают в
форму А.8 (приложение А).
10.16 Значение показателей надежности определяют при достижении плановой (заданной) наработки или не менее 75% ее выполнения.
10.17 Плановая (заданная) наработка комбайна при испытании на надежность должна быть не менее 30% от планируемого технического ресурса.
11. Методы эксплуатационно-технологической оценки
11.1 Эксплуатационно-технологическую оценку проводят в соответствии с
ГОСТ 24055 в течение трех контрольных смен продолжительностью не менее 8 ч сменного времени каждая или методом поэлементного хронометража, число измерений элементов времени в соответствии с таблицей 2.
Таблица 2
Рекомендуемое число регистрируемых измерений
элементов времени смены
Наименование элемента времени смены | Число измерений (не менее) |
Основное время | |
- при делении основного времени на контрольные опыты (циклы) | 10 |
- при суммировании всего основного времени | Не менее трех контрольных смен, общей продолжительностью не менее 24 ч сменного времени |
Время на технологический переезд; технологическое обслуживание (выгрузка, загрузка) | 3 |
Время одного поворота | 10 |
Время одного ежесменного технического обслуживания (ЕТО) и заправку топливом; перевода в рабочее или транспортное положение; агрегатирования; проведения наладки и регулирования, переезда к месту работы (или обратно) | 3 |
11.2 Контрольную смену проводят на рабочей скорости, соответствующей номинальной производительности (или фактической зональной производительности), определенной по результатам агротехнической оценки
(раздел 7) при приемочных испытаниях, а при остальных видах испытаний - на рабочей скорости, обеспечивающей получение заданной в ТУ производительности при допустимых показателях качества работы.
Во время испытаний контролируют соблюдение выбранного режима, рабочую скорость и высоту среза. Они должны соответствовать заданным значениям, допустимое отклонение +/- 5%.
11.3 Оптимальный режим работы и технологические регулировки устанавливают согласно руководству по эксплуатации комбайна и по результатам определения номинальной производительности комбайна.
11.4 При проведении контрольных смен определяют следующие показатели качества выполнения технологического процесса:
- суммарные потери зерна за комбайном, %;
- дробление зерна, %;
- содержание сорной примеси, %.
11.4.1 Для определения суммарных потерь зерна за комбайном в течение контрольной смены отбирают пробы в трехкратной повторности, соблюдая рандомизацию по времени.
11.4.2 Для определения суммарных потерь за комбайном используют следующие пробоотборники:
- эластичные резиновые (или из других материалов) пробоотборники размером 50 x 10 x 5 см, устанавливаемые по ширине захвата жатки;
- рамки из шпагата размером, соответствующим ширине захвата жатки и длиною 50 см.
11.4.3 При использовании эластичных резиновых пробоотборников для определения суммарных потерь зерна, последние устанавливают в нескошенном хлебостое на всю ширину захвата жатки комбайна. Пробоотборники располагают длинной стороной вдоль каждого междурядья.
После прохода комбайна пробоотборники собирают, выделенное из пробоотборников зерно взвешивают с погрешностью +/- 10 мг.
При использовании рамок из шпагата для определения суммарных потерь зерна последние накладывают после прохода комбайна на всю ширину захвата жатки.
В пределах рамки собирают срезанные и несрезанные колосья, свободное зерно. После обмолота колосьев и очистки проб от примесей зерно взвешивают с погрешностью +/- 10 мг.
11.4.4 Суммарные потери зерна комбайном

, %, вычисляют по формуле

(37)
где qк - масса утерянного зерна комбайном из пробоотборников или учетной рамки (при использовании учетной рамки qк приводят за вычетом потерь от самоосыпания), кг;
Sк - площадь пробоотборников или учетной рамки, м2;
Уз.п - урожайность зерна при прямом комбайнировании, т/га.
11.5 Для анализа бункерного зерна в течение контрольной смены отбирают не менее трех проб для определения показателей качества согласно
7.4.21.
11.6 Показатели сменной и эксплуатационной производительности и качества работы используют при оценке экономической эффективности зерноуборочных комбайнов.
11.7 Производительность в тоннах за 1 ч основного времени W0, т/ч, вычисляют по формуле

(38)
где

- масса бункерного зерна, т;

- массовая доля содержания основного зерна и зерновой примеси, %;
t1 - время опыта, ч.
11.8 Производительность за 1 ч технологического времени за период контрольных смен Wтех, га/ч (т/ч), вычисляют по формуле
Wтех = W0Kтех, (39)
где Kтех - коэффициент использования технологического времени за период контрольных смен.
11.9 Производительность за 1 ч сменного времени за период контрольных смен Wсм, га/ч (т/ч), вычисляют по формуле
Wсм = W0Kсм, (40)
где Kсм - коэффициент использования сменного времени за период контрольных смен.
11.10 Производительность за 1 ч эксплуатационного времени за период контрольных смен Wэк, га/ч (т/ч), вычисляют по формуле

(41)
где Kт.и - коэффициент технического использования.
11.10.1 Коэффициент технического использования определяют по результатам испытания на надежность или по данным ТЗ (ТУ).
11.11 Результаты эксплуатационно-технологической оценки записывают в
форму А.9 (приложение А).
12. Методы экономической оценки
Показатели экономической оценки зерноуборочных комбайнов определяют и оформляют по стандартам и нормативным документам, действующим в государствах - участниках Соглашения (до утверждения межгосударственного стандарта ГОСТ "Техника сельскохозяйственная. Методы экономической оценки").
13. Обработка и анализ результатов испытаний
13.1 Обработку результатов испытаний зерноуборочных комбайнов проводят по программе, разработанной для данного типа машин.
13.2 Результаты испытаний формируют в соответствии с
формами А.1 -
А.9 (приложение А).
13.3 Полученные результаты используют для анализа соответствия результатов испытаний зерноуборочных комбайнов требованиям ТЗ (ТУ), а также для сопоставления их с показателями сравниваемого комбайна.
13.4 На основании анализа полученных значений показателей делают выводы о качестве работы испытуемого зерноуборочного комбайна при выполнении заданного технологического процесса.
13.5 Общие выводы по результатам испытаний зерноуборочных комбайнов делают на основании анализа показателей по всем видам оценок.
(рекомендуемое)
ОФОРМЛЕНИЕ РЕЗУЛЬТАТОВ ИСПЫТАНИЙ
Форма А.1 - Техническая характеристика комбайна
Наименование показателя | Значение показателя |
Идентификационный номер комбайна | |
Тип комбайна | |
Производительность комбайна, т/ч | |
Ширина захвата жатки (хедера), м | |
Ширина молотилки, мм | |
Марка двигателя, тип | |
Мощность двигателя, кВт | |
Частота вращения вала двигателя, с-1 | |
Число обслуживающего персонала, чел. | |
Габаритные размеры комбайна | |
в рабочем положении, мм: | |
- длина | |
- ширина | |
- высота | |
в транспортном положении, мм: | |
- длина | |
- ширина | |
- высота | |
Масса комбайна, кг: | |
- в незаправленном состоянии с полным комплектом рабочих органов (в состоянии поставки) | |
- в основной рабочей комплектации | |
Масса отдельных рабочих органов, кг | |
Распределение массы по опорам при полной заправке емкостей, кг: ________________________ ________________________ | |
Коэффициент статической нагрузки шин колес: | |
- ведущих | |
- управляемых | |
Минимальный радиус поворота (по крайней наружной точке), м | |
Вместимость бункера зерна, л | |
Скорость движения комбайна, км/ч: | |
- рабочая | |
- транспортная | |
Дорожный просвет, мм | |
Число передач, шт.: | |
- ременных | |
- цепных | |
- карданных | |
- редукторов | |
Число точек смазки, всего, шт., | |
в том числе: | |
- ежесменных | |
- периодических | |
- сезонных | |
Жатка | |
Тип | |
Копирование рельефа почвы, +/- мм: | |
- в поперечном направлении | |
- в продольном направлении | |
Положение вала мотовила относительно спинки ножа режущего аппарата, мм: | |
- по высоте | |
- по ходу движения | |
Расположение относительно молотилки | |
Тип механизма подъема жатки | |
Тип режущего аппарата | |
Способ привода ножа | |
Пределы регулировки высоты среза, см | |
Диаметр шнека жатки по цилиндру и виткам, мм | |
Частота вращения шнека, с-1 | |
Тип мотовила | |
Диаметр, мм | |
Частота вращения мотовила, с-1 | |
Тип наклонного транспортера | |
Наличие реверса в приводе рабочих органов | |
Молотильный аппарат | |
Тип | |
Ротор: | |
- диаметр, мм | |
- длина, мм | |
- угол охвата ротора МСУ декой, ...° | |
Площадь подбарабанья, мм2 | |
Диаметр барабана, мм | |
Частота вращения вала барабана, с-1 | |
Число бичей или зубьев, шт. | |
Тип привода барабана | |
Способ регулирования частоты вращения | |
Тип деки | |
Способ регулировки зазоров между бичами барабана и декой | |
Пределы регулировок зазора между декой и бичами барабана, мм | |
Пределы регулировок зазоров между зубьями барабана и деки, мм | |
Приемный битер | |
Тип | |
Частота вращения, с-1 | |
Отбойный битер | |
Тип | |
Частота вращения, с-1 | |
Соломотряс | |
Тип | |
Ширина, мм | |
Длина, мм | |
Число клавишей, шт. | |
Площадь соломотряса, мм2 | |
Длина клавиши, мм | |
Число каскадов, шт. | |
Частота вращения ведущего вала, с-1 | |
Шнеки и элеваторы | |
Частота вращения шнека, с-1: | |
- зернового | |
- колосового | |
- выгрузного | |
Максимальная скорость выгрузки зернового бункера, л/с | |
Средняя скорость выгрузки зернового бункера, л/с | |
Длина выгрузного шнека, м | |
Высота конца выгрузного шнека, мм | |
Очистка | |
Число очисток, шт. | |
Тип | |
Тип решет | |
Число сменных решет, шт. | |
Максимальное открытие жалюзи или размеры ячеек, мм | |
Размеры колосовой надставки (ширина и длина), мм | |
Площадь решет, м2 | |
Тип вентилятора очистки | |
Частота вращения вала вентилятора, с-1 | |
Подборщик | |
Марка | |
Тип | |
Ширина захвата (конструкционная), м | |
Способ привода рабочих органов | |
Частота вращения вала подбирающего механизма, с-1 | |
Ходовая часть | |
Тип движителя | |
Число колес, шт. | |
Размер покрышек колес, мм | |
Колея, мм: | |
- ведущих колес | |
- управляемых колес | |
Колесная база | |
Тип тормозов | |
Расстояние между ведущими и управляемыми колесами (база), м | |
Гидравлическая система | |
Тип насосов | |
Число насосов, шт. | |
Вместимость, л: | |
- топливного бака | |
- системы охлаждения | |
- картера двигателя | |
Электрооборудование комбайна ________________________ ________________________ | |
Другие показатели | |
Форма А.2 - Показатели условий испытаний
Наименование показателя | Значение показателя |
Общие характеристики | |
Культура, сорт | |
Способ уборки | |
Тип почвы | |
Рельеф поля | |
Уклон поля, ...° | |
Влажность почвы в слое от 0 до 10 см, % | |
Твердость почвы в слое от 0 до 10 см, МПа | |
Засоренность почвы камнями, шт./м2 | |
Характеристика убираемой культуры | |
Высота растения, см | |
Потери зерна от самоосыпания (естественные потери), г | |
Полеглость растений, % | |
Отношение массы зерна к массе соломы | |
Соломистость хлебной массы | |
Предварительная урожайность зерна, т/га | |
Масса 1000 зерен, г | |
Влажность, %: | |
- зерна | |
- соломы | |
Засоренность культуры сорняками, % | |
Характеристика валка | |
Ширина захвата жатки, сформировавшей валок, м | |
Параметры валка (ширина, толщина, высота), см | |
Просвет между почвой и валком, см | |
Масса одного метра длины валка, кг/м | |
Потери зерна за валковой жаткой, %: | |
- в срезанных колосьях (метелках, бобах) | |
- в несрезанных колосьях (метелках, бобах) | |
- свободным зерном | |
Форма А.3 - Режимы и показатели качества выполнения технологического процесса при испытаниях комбайна на прямом комбайнировании
Наименование показателя | Значение показателя |
Рабочая скорость движения комбайна, км/ч | |
Частота вращения молотильного барабана (ротора), с-1: | |
- первого | |
- второго | |
Зазор между декой и молотильным барабаном (ротором), мм: | |
- на входе | |
- на выходе | |
Величина открытия жалюзи решет, мм: | |
- верхнего | |
- нижнего | |
- дополнительного удлинителя | |
Частота вращения вала вентилятора очистки, с-1, или величина открытия заслонки, мм | |
Частота вращения вала мотовила жатки, с-1 | |
Положение вала мотовила относительно спинки ножа режущего аппарата, мм: | |
- по высоте | |
- по ходу движения | |
Высота среза: | |
- установочная, см | |
- фактическая, см | |
Рабочая ширина захвата жатки, м | |
Фактическая подача растительной массы, кг/с | |
Приведенная подача растительной массы, кг/с | |
Суммарные потери зерна за молотилкой комбайна, всего, %: | |
в том числе: | |
- свободным зерном в соломе | |
- свободным зерном в полове | |
- недомолотом в соломе | |
- недомолотом в полове | |
- потери зерна распылом | |
- потери зерна из-за недостаточного уплотнения молотилки комбайна | |
Качество зерна из бункера комбайна, %: | |
содержание: | |
- основного зерна и зерновой примеси | |
- дробленого | |
- обрушенного (для пленчатых культур) | |
- сорной примеси | |
Потери зерна за жаткой, всего, % | |
в том числе: | |
- свободным зерном | |
- зерном в срезанных колосьях (метелках, бобах) | |
- зерном в несрезанных колосьях (метелках, бобах) | |
Общие потери зерна за комбайном, %, | |
в том числе: | |
- потери зерна за молотилкой | |
- потери зерна за жаткой комбайна | |
Пропускная способность молотилки комбайна (расчетная), кг/с | |
Номинальная производительность комбайна, т/га | |
Форма А.4 - Режимы и показатели качества выполнения технологического процесса при испытаниях комбайна на раздельном комбайнировании
Наименование показателя | Значение показателя |
Рабочая скорость движения комбайна, км/ч | |
Частота вращения молотильного барабана (ротора), с-1: | |
- первого | |
- второго | |
Зазор между декой и молотильным барабаном (ротором), мм: | |
- на входе | |
- на выходе | |
Величина открытия жалюзи решет, мм: | |
- верхнего | |
- нижнего | |
- дополнительного удлинителя | |
Частота вращения вала вентилятора очистки, с-1, или величина открытия заслонки, мм | |
Частота вращения вала подбирающего механизма вала подборщика, с-1 | |
Высота среза: | |
- установочная, см | |
- фактическая, см | |
Рабочая ширина захвата валковой жатки, м | |
Фактическая подача растительной массы, кг/с | |
Приведенная подача растительной массы, кг/с | |
Суммарные потери зерна за молотилкой комбайна, всего, %: | |
в том числе: | |
- свободным зерном в соломе | |
- свободным зерном в полове | |
- недомолотом в соломе | |
- недомолотом в полове | |
- потери зерна распылом | |
- потери зерна из-за недостаточного уплотнения молотилки комбайна | |
Качество зерна из бункера комбайна, %: | |
содержание: | |
- основного зерна и зерновой примеси | |
- дробленого | |
- обрушенного (для пленчатых культур) | |
- сорной примеси | |
Потери зерна за подборщиком, %, всего: | |
в том числе: | |
- свободным зерном | |
- зерном в срезанных колосьях (метелках, бобах) | |
Общие потери зерна за комбайном, %, | |
в том числе: | |
- потери зерна за молотилкой | |
- потери зерна за подборщиком | |
Пропускная способность молотилки комбайна (расчетная), кг/с | |
Номинальная производительность комбайна, т/ч | |
Форма А.5 - Энергетические показатели
Наименование показателя | Значение показателя |
Дата проведения испытаний | |
Режим работы | |
Рабочая скорость движения комбайна, км/ч | |
Производительность за 1 ч основного времени, т/ч | |
Расход топлива, кг/ч | |
Энергетические показатели | |
Мощность, потребляемая машиной при номинальной производительности, кВт | |
Удельные энергозатраты, кВт·ч/га, кВт·ч/т | |
Форма А.6 - Номенклатура показателей безопасности и эргономичности конструкции комбайна
Наименование показателя |
Общие требования безопасности к конструкции узлов и агрегатов, специфические требования к машине |
Показатели обеспечения безопасности при монтаже, транспортировании и хранении |
Требования к кабинам и их оборудованию |
Требования к средствам доступа в места обслуживания |
Уровень шума на рабочем месте |
Уровень вибрации на сидении и на рычагах органов управления |
Содержание вредных веществ в воздухе рабочей зоны |
Параметры микроклимата на рабочем месте |
Параметры и расположение органов управления |
Люфт рулевого колеса |
Требования к сиденью |
Пожарная безопасность |
Требования к электрооборудованию |
Требования к системе освещения и световой сигнализации |
Удобство и безопасность обслуживания |
Требования к средствам доступа на рабочее место |
Наличие предупреждающих надписей и знаков безопасности |
Требования к системе символов для обозначения органов управления и средств отображения информации |
Требования к наличию и конструкции защитных ограждений |
Требования к системе блокировки и предупредительной сигнализации |
Требования к обеспечению безопасности операций по очистке |
Требования к исключению возможности самопроизвольного включения (выключения) рабочих органов |
Требования к обзорности зон наблюдения |
Концентрация пыли в зоне дыхания оператора |
Безопасность присоединения |
Угол поперечной статической устойчивости |
Нагрузка на управляемые колеса |
Силы сопротивления перемещению органов управления |
Эффективность действия тормозных систем <1> |
<1> Оценивают только на машинах, оборудованных тормозами. |
Форма А.7 - Показатели безопасности и эргономичности конструкции комбайна (для протокола)
Наименование показателя, требования | Значение показателя по | Заключение о соответствии |
стандарту | результатам испытаний |
| | | |
Форма А.8 - Показатели надежности
Наименование показателя | Значение показателя |
Общая наработка, ч, га | |
Наработка на отказ, ч, га | |
Наработка на отказ I, II, III групп сложности, ч, га | |
Среднее время восстановления, ч/отказ | |
Оперативная трудоемкость ежесменного технического обслуживания, чел.-ч | |
Трудоемкость ежесменного технического обслуживания, чел.-ч | |
Удельная суммарная трудоемкость технических обслуживаний, чел.-ч/ч, чел.-ч/га | |
Удельная суммарная оперативная трудоемкость технических обслуживаний, чел.-ч/ч, чел.-ч/га | |
Удельная суммарная оперативная трудоемкость текущих ремонтов (выявления и устранения отказов), чел.-ч/ч, чел.-ч/га | |
Удельная суммарная трудоемкость текущих ремонтов (выявления и устранения отказов), чел.-ч/ч, чел.-ч/га | |
Коэффициент готовности: | |
- с учетом организационного времени | |
- по оперативному времени | |
Коэффициент технического использования | |
Перечень отказов и повреждений (помещают в приложении к протоколу) | |
Форма А.9 - Показатели эксплуатационно-технологической оценки
Наименование показателя | Значение показателя |
Культура, сорт | |
Урожайность, т/га | |
Режим работы: | |
- скорость движения, км/ч | |
- частота вращения молотильного барабана (ротора), с-1 | |
- зазор между декой и молотильным барабаном (ротором), мм | |
- рабочая ширина захвата жатки, м | |
- фактическая высота среза, см | |
Производительность за 1 ч, т, га: | |
- основного времени | |
- технологического времени | |
- сменного времени | |
- эксплуатационного времени | |
Удельный расход топлива за время сменной работы комбайна, кг/т, кг/га | |
Эксплуатационно-технологические коэффициенты: | |
- рабочих ходов | |
- технологического обслуживания | |
- надежности технологического процесса | |
- использования технологического времени | |
- использования сменного времени | |
Число обслуживающего персонала, чел. | |
Показатели качества выполнения технологического процесса: | |
- суммарные потери зерна за комбайном, % | |
- качество зерна из бункера комбайна, %: | |
дробление зерна | |
обрушивание зерна (для пленчатых культур) | |
содержание сорной примеси | |
(рекомендуемое)
ФОРМЫ РАБОЧИХ ВЕДОМОСТЕЙ РЕЗУЛЬТАТОВ ИСПЫТАНИЙ
Потери зерна от самоосыпания (естественные потери зерна)
Марка комбайна ____________________________________________________________
Место испытаний ___________________________________________________________
наименование хозяйства, отделение, поле
Культура, сорт ____________________________________________________________
Повторность (площадка) ____________________________________________________
Площадь рамки, м2 _________________________________________________________
Масса зерен, г ____________________________________________________________
Дата ___________________
Средства измерений ________________________________________________________
Исполнитель _____________ __________________ __________________________
должность личная подпись инициалы, фамилия
Форма Б.2 - Ведомость определения высоты растений
Марка машины ___________________________ Дата _____________________________
Место испытаний ___________________________________________________________
наименование хозяйства, отделение, поле
Культура, сорт ____________________________________________________________
Средства измерений ________________________________________________________
Измерение | Высота растения, см |
в естественном состоянии | в выпрямленном состоянии |
Площадка | Площадка |
1 | 2 | 3 | ... | 10 | 1 | 2 | 3 | ... | 10 |
1 | | | | | | | | | | |
2 | | | | | | | | | | |
3 | | | | | | | | | | |
... | | | | | | | | | | |
20 | | | | | | | | | | |
Сумма | | | | | | | | | | |
Среднее арифметическое значение | | | | | | | | | | |
Исполнитель _____________ __________________ __________________________
должность личная подпись инициалы, фамилия
Форма Б.3 - Ведомость определения характеристики снопа
Марка машины __________ Место испытаний ___________________________________
наименование хозяйства, отделение, поле
Культура, сорт ____________________________________________________________
Площадь рамки, м2 __________________________ Дата _________________________
Средства измерений ________________________________________________________
Наименование показателя | Значение показателя по снопам |
1 | 2 | 3 | 4 | 5 | ... | 10 | Среднее арифметическое значение |
Масса культурных растений, срезанных на уровне поверхности почвы, г | | | | | | | | |
Масса культурных растений в граммах над высотой среза, см: | | | | | | | | |
5 | | | | | | | | |
10 | | | | | | | | |
15 | | | | | | | | |
20 | | | | | | | | |
25 | | | | | | | | |
Масса сорняков, срезанных на уровне поверхности почвы, г | | | | | | | | |
Масса сорняков в граммах над высотой среза, см: | | | | | | | | |
5 | | | | | | | | |
10 | | | | | | | | |
15 | | | | | | | | |
20 | | | | | | | | |
25 | | | | | | | | |
Масса зерна, г | | | | | | | | |
Масса 1000 зерен, г | | | | | | | | |
Масса соломы в граммах над высотой среза, см: | | | | | | | | |
5 | | | | | | | | |
10 | | | | | | | | |
15 | | | | | | | | |
20 | | | | | | | | |
25 | | | | | | | | |
Отношение массы зерна к массе соломы над фактической высотой среза ______________________________________________ Засоренность культуры над фактической высотой среза, % ____________________ |
Исполнитель _____________ __________________ __________________________
должность личная подпись инициалы, фамилия
Форма Б.4 - Ведомость определения характеристики валка
Марка машины ______________________________________________________________
Место испытаний ___________________________________________________________
наименование хозяйства, отделение, поле
Культура, сорт ___________________________ Дата ___________________________
Средства измерений ________________________________________________________
Номер валка | Точка измерения по длине валка | Ширина валка, см | Расстояние между валками, см | Ширина захвата жатки, м | Высота валка, см | Просвет между почвой и валком, см | Толщина валка, см |
Точки по ширине валка |
1 | 2 | 3 | Среднее арифметическое значение | 1 | 2 | 3 | Среднее арифметическое значение | 1 | 2 | 3 | Среднее арифметическое значение |
1 | 1 | | | | | | | | | | | | | | | |
2 | | | | | | | | | | | | | | | |
3 | | | | | | | | | | | | | | | |
... | | | | | | | | | | | | | | | |
10 | | | | | | | | | | | | | | | |
2 | 1 | | | | | | | | | | | | | | | |
2 | | | | | | | | | | | | | | | |
3 | | | | | | | | | | | | | | | |
... | | | | | | | | | | | | | | | |
10 | | | | | | | | | | | | | | | |
3 | 1 | | | | | | | | | | | | | | | |
2 | | | | | | | | | | | | | | | |
3 | | | | | | | | | | | | | | | |
... | | | | | | | | | | | | | | | |
10 | | | | | | | | | | | | | | | |
Среднее арифметическое значение | | | | | | | | | | | | | | | | |
Исполнитель _____________ __________________ __________________________
должность личная подпись инициалы, фамилия
Масса одного метра длины валка
Марка машины ______________________________________________________________
Место испытаний ___________________________________________________________
наименование хозяйства, отделение, поле
Культура, сорт _________________ Опыт _________ Повторность _______________
Масса валка, кг ___________________________________________________________
Масса зерна, кг ___________________________________________________________
Масса соломы, кг __________________________________________________________
Масса половы, кг __________________________________________________________
Дата ___________________
Исполнитель _____________ __________________ __________________________
должность личная подпись инициалы, фамилия
Потери зерна
(вид потерь)
Марка машины ______________________________________________________________
Место испытаний ___________________________________________________________
наименование хозяйства, отделение, поле
Культура, сорт ____________________________________________________________
Повторность (рамка) _______________ Площадь рамки, м2 _____________________
Масса зерна, г ____________________________________________________________
Дата ___________________
Исполнитель _____________ __________________ __________________________
должность личная подпись инициалы, фамилия
Форма Б.7 - Ведомость определения ширины захвата жатки
Марка машины ______________________________________________________________
Место испытаний ___________________________________________________________
наименование хозяйства, отделение, поле
Культура, сорт _______________________ Учетная делянка ____________________
Дата ________________ Средства измерений __________________
Измерение | Расстояние от колышка до стеблестоя, м | Ширина захвата жатки, м |
до прохода | после прохода |
1 | | | |
2 | | | |
3 | | | |
... | | | |
10 | | | |
Сумма | | | |
Среднее арифметическое значение | | | |
Исполнитель _____________ __________________ __________________________
должность личная подпись инициалы, фамилия
Форма Б.8 - Ведомость определения высоты среза (длины стерни)
Марка машины __________ Место испытаний ___________________________________
наименование хозяйства, отделение, поле
Культура, сорт ______________________ Учетная делянка _____________________
Дата ____________________ Средства измерений ________________
Измерение | Высота среза (длина стерни), см |
Повторность (колышки) |
1 | 2 | 3 | 4 | 5 | 6 | 7 | 8 | 9 | 10 |
1 | | | | | | | | | | |
2 | | | | | | | | | | |
3 | | | | | | | | | | |
... | | | | | | | | | | |
10 | | | | | | | | | | |
Сумма | | | | | | | | | | |
Среднее арифметическое значение | | | | | | | | | | |
Стандартное отклонение, +/- см | | | | | | | | | | |
Коэффициент вариации, % | | | | | | | | | | |
Исполнитель _____________ __________________ __________________________
должность личная подпись инициалы, фамилия
Зерно из бункера
Марка комбайна ____________________________________________________________
Место испытаний ___________________________________________________________
наименование хозяйства, отделение, поле
Культура, сорт ____________________________________________________________
Способ уборки _____________________________________________________________
Опыт ____________________________ Площадь учетной делянки, м2 _____________
Масса пробы с тарой, кг ___________________________________________________
Масса тары, кг _______________________
Масса зерна, кг ______________________
Дата ___________________
Исполнитель _____________ __________________ __________________________
должность личная подпись инициалы, фамилия
Солома (полова)
Марка комбайна ____________________________________________________________
Место испытаний ___________________________________________________________
наименование хозяйства, отделение, поле
Культура, сорт ____________________________________________________________
Способ уборки _____________________________________________________________
Опыт ____________________________________________
Площадь учетной делянки, м2 _____________________
Масса пробы с тарой, кг _________________________
Масса тары, кг __________________________________
Масса соломы (половы), кг _______________________
Дата ___________________
Исполнитель _____________ __________________ __________________________
должность личная подпись инициалы, фамилия
Потери молотилки (вид потерь)
Марка комбайна ____________________________________________________________
Место испытаний ___________________________________________________________
наименование хозяйства, отделение, поле
Культура, сорт _________________ Способ уборки ____________________________
Опыт ____________________ Повторность _____________________________________
Длина делянки, с которой отобрана проба соломы (половы), м ________________
Время прохождения учетной делянки, с ______________________________________
Масса потерь зерна, г _____________________________________________________
Дата ___________________
Исполнитель _____________ __________________ __________________________
должность личная подпись инициалы, фамилия
Тарировка молотилки
Марка комбайна ____________________________________________________________
Место испытаний ___________________________________________________________
наименование хозяйства, отделение, поле
Культура, сорт ____________________________________________
Способ уборки _____________________________________________
Повторность _______________________________________________
Масса зерна, г:
при первом обмолоте пробы ___________________
при повторном обмолоте пробы ________________
Дата ___________________
Исполнитель _____________ __________________ __________________________
должность личная подпись инициалы, фамилия
Форма Б.13 - Анализ зерна из бункера комбайна
Марка комбайна ____________________________________________________________
Место испытаний ___________________________________________________________
наименование хозяйства, отделение, поле
Культура, сорт _____________________ Опыт _________________________________
Способ уборки ______________________ Повторность __________________________
Дата _______________________________ Масса навески, г _____________________
Средства измерений ___________________________________
Наименование показателя | 1-я навеска | 2-я навеска | Среднее арифметическое значение |
масса, г | содержание, % | масса, г | содержание, % | г | % |
1 Содержание основного зерна и зерновой примеси, всего | | | | | | |
в том числе: | | | | | | |
- основное зерно | | | | | | |
- зерновая примесь | | | | | | |
дробленое (битое) зерно | | | | | | |
зерно в колосках и пленках | | | | | | |
обрушенное зерно (для пленчатых культур) | | | | | | |
2 Содержание сорной примеси | | | | | | |
3 Масса 1000 зерен | | | | | | |
Исполнитель _____________ __________________ __________________________
должность личная подпись инициалы, фамилия
(справочное)
Ленточный пробоотборник (одноленточный, многоленточный) устанавливают на выходе продуктов обмолота соломы и половы из комбайна. Основным рабочим органом пробоотборника является сборник, состоящий из брезентового полотна шириной 2 м, длиной 10 м, с металлическими катушками на концах ленты, на одну катушку наматывается брезентовое полотно, и она фиксируется в пробоотборнике, вторая - свободная катушка, висит на полотне. На пробоотборнике установлены механизмы управления разматыванием полотна с катушки и отсоединением (сброса) ее после разматывания и отбора пробы на полотно. Одноленточный пробоотборник может осуществлять отбор одной пробы соломы вместе с половой. Для отбора в отдельности пробы соломы и пробы половы устанавливают два одноленточных пробоотборника.
Многоленточный пробоотборник состоит из четырех сборников, с автоматом управления, позволяющим осуществлять попарное разматывание брезентовых полотен с катушек. Многоленточный пробоотборник обеспечивает отбор двух раздельных проб соломы и половы или двух общих проб соломы с половой при комплектации двумя сборниками.
Прицепной рамочный пробоотборник соломы состоит из рамы, опорно-приводных колес, кассет с комплектом брезентовых рамок (15 штук) размером 70 x 190 см, механизма поштучного выброса рамок, ленточного транспортера, механизма привода транспортера, прицепного устройства.
Прицепной рамочный пробоотборник половы состоит из рамы, опорно-приводных колес, механизма поштучного выброса рамок, кассет с комплектом рамок (15 штук) размером 1000 x 700 см, механизмов привода и управления пробоотборников.
Пробоотборники агрегатируются с комбайном на выходе продуктов обмолота - соломы и половы.
За учетный проход пробоотборника позволяют отбирать по 15 проб (рамок) соломы и половы.
Эластичные резиновые пробоотборники для сбора потерь зерна при работе комбайна в хозяйственных условиях. До прохода комбайна пробоотборники укладывают в нескошенный хлебостой на всю ширину захвата жатки с интервалом 30 - 40 см с учетом колеи колес.
(рекомендуемое)
ФОРМЫ ВЕДОМОСТЕЙ ИСХОДНЫХ ДАННЫХ ДЛЯ ОБРАБОТКИ
РЕЗУЛЬТАТОВ ИСПЫТАНИЙ НА ЭВМ
Форма Г.1 - Исходные данные по качеству работы молотилки комбайна
Марка комбайна _____________________ Культура, сорт _______________________
Место испытаний ___________________________________________________________
наименование хозяйства, отделение, поле
Способ уборки _____________________________________________________________
Дата _____________________________ Опыт ___________________________________
Наименование показателя | Повторность |
1 | 2 | 3... | n |
Длина учетной делянки, м | | | | |
Длина делянки, с которой отобрана проба соломы и половы, м | | | | |
Рабочая ширина захвата жатки комбайна, м | | | | |
Время прохождения учетной делянки, с | | | | |
Масса соломы, кг | | | | |
Масса половы, кг | | | | |
Масса зерна, кг | | | | |
Содержание основного зерна и зерновой примеси в зерне из бункера, % | | | | |
Потери зерна недомолотом в соломе, г | | | | |
Потери свободным зерном в соломе, г | | | | |
Потери зерна недомолотом в полове, г | | | | |
Потери свободным зерном в полове, г | | | | |
Дробление зерна, % | | | | |
Обрушенное зерно (для пленчатых культур), % | | | | |
Коэффициент тарировки лабораторно-полевой молотилки | | | | |
Коэффициент распыла | | | | |
Потери зерна из-за недостаточного уплотнения молотилки комбайна, г | | | | |
Исполнитель _____________ __________________ __________________________
должность личная подпись инициалы, фамилия
Форма Г.2 - Исходные данные для построения графика и определения расчетной подачи (пропускной способности) молотилки комбайна
Марка комбайна ____________________________________________________________
Место испытаний ___________________________________________________________
наименование хозяйства, отделение, поле
Культура, сорт ____________________________________________________________
Способ уборки _____________________________________________________________
Дата ___________________
Опыт | Повторность | Приведенная подача, кг/с | Суммарные потери зерна за молотилкой комбайна, % |
| | | |
Исполнитель _____________ __________________ __________________________
должность личная подпись инициалы, фамилия
Форма Г.3 - Исходные данные по качеству работы комбайна на прямом комбайнировании
Марка комбайна _____________________ Культура, сорт _______________________
Место испытаний ___________________________________________________________
наименование хозяйства, отделение, поле
Дата _____________________________ Опыт ___________________________________
Наименование показателя | Повторность |
1 | 2 | 3 | ... | n |
Длина учетной делянки, м | | | | | |
Рабочая ширина захвата жатки, м | | | | | |
Время прохождения учетной делянки, с | | | | | |
Масса зерна в бункере комбайна, кг | | | | | |
Масса соломы, кг | | | | | |
Масса половы, кг | | | | | |
Массовая доля содержания основного зерна и зерновой примеси в зерне из бункера комбайна, % | | | | | |
Массовая доля содержания дробленого зерна, % | | | | | |
Массовая доля содержания обрушенного зерна (для пленчатых культур), % | | | | | |
Потери зерна недомолотом в соломе, г | | | | | |
Потери свободным зерном в соломе, г | | | | | |
Потери зерна недомолотом в полове, г | | | | | |
Потери свободным зерном в полове, г | | | | | |
Коэффициент тарировки лабораторной молотилки | | | | | |
Коэффициент распыла | | | | | |
Потери зерна из-за недостаточного уплотнения молотилки комбайна, г | | | | | |
Потери зерна от самоосыпания, г | | | | | |
Площадь рамки для учета потерь зерна от самоосыпания, м2 | | | | | |
Потери зерна в несрезанных колосьях за жаткой комбайна, г | | | | | |
Потери зерна в срезанных колосьях за жаткой комбайна, г | | | | | |
Площадь рамки для учета потерь зерна в срезанных и несрезанных колосьях за жаткой комбайна, м2 | | | | | |
Потери свободного зерна за жаткой комбайна, г | | | | | |
Площадь рамки для учета потерь свободного зерна за жаткой комбайна, м2 | | | | | |
Суммарные потери зерна за молотилкой комбайна, % | | | | | |
Форма Г.4 - Исходные данные по качеству работы комбайна на раздельном комбайнировании
Марка комбайна _____________________ Культура, сорт _______________________
Место испытаний ___________________________________________________________
наименование хозяйства, отделение, поле
Дата _____________________________ Опыт ___________________________________
Наименование показателя | Повторность |
1 | 2 | 3 | ... | n |
Длина учетной делянки, м | | | | | |
Рабочая ширина захвата жатки, сформировавшей валок, м | | | | | |
Время прохождения учетной делянки, с | | | | | |
Масса зерна в бункере комбайна, кг | | | | | |
Масса соломы, кг | | | | | |
Масса половы, кг | | | | | |
Массовая доля содержания основного зерна и зерновой примеси в зерне из бункера комбайна, % | | | | | |
Массовая доля содержания дробленого зерна, % | | | | | |
Массовая доля содержания обрушенного зерна (для пленчатых культур), % | | | | | |
Потери зерна недомолотом в соломе, г | | | | | |
Потери свободным зерном в соломе, г | | | | | |
Потери зерна недомолотом в полове, г | | | | | |
Потери свободным зерном в полове, г | | | | | |
Коэффициент тарировки лабораторной молотилки | | | | | |
Коэффициент распыла | | | | | |
Потери зерна из-за недостаточного уплотнения молотилки комбайна, г | | | | | |
Потери зерна от самоосыпания, г | | | | | |
Площадь рамки для учета потерь зерна от самоосыпания, м2 | | | | | |
Потери зерна в срезанных колосьях (метелках, бобах) за подборщиком, г | | | | | |
Потери свободного зерна за подборщиком, г | | | | | |
Длина рамки для учета потерь в срезанных колосьях (метелках, бобах) за подборщиком, м | | | | | |
Длина рамки для учета потерь свободного зерна за подборщиком, м | | | | | |
Потери зерна за валковой жаткой, % | | | | | |
Суммарные потери зерна за молотилкой комбайна, % | | | | | |
Форма Г.5 - Исходные данные для построения графика и определения номинальной производительности комбайна
Марка комбайна ____________________________________________________________
Место испытаний ___________________________________________________________
наименование хозяйства, отделение, поле
Культура, сорт ____________________________________________________________
Способ уборки _____________________________________________________________
Дата ___________________
Опыт | Фактическая производительность, т/ч | Суммарные потери зерна за молотилкой комбайна, % |
1 | | |
2 | | |
3 | | |
... | | |
n | | |
Исполнитель _____________ __________________ __________________________
должность личная подпись инициалы, фамилия
(рекомендуемое)
СРЕДСТВ ИЗМЕРЕНИЙ И ОБОРУДОВАНИЯ, ПРИМЕНЯЕМЫХ
ПРИ ОПРЕДЕЛЕНИИ ПОКАЗАТЕЛЕЙ АГРОТЕХНИЧЕСКОЙ ОЦЕНКИ
Динамометр с диапазоном измерений 0,2 - 2 кН и 0,5 - 5 кН с погрешностью измерений +/- 2% по
ГОСТ 13837.
Весы с погрешностью измерений +/- 10 мг по
ГОСТ 24104.
Молотилка лабораторная пучковая.
Пробоотборники соломы и половы.
Молотилка передвижная лабораторно-полевая или селекционный комбайн типа "Сампо".
Весы с погрешностью измерений +/- 40 г по
ГОСТ 29329.
Рамка металлическая размером 50 x 50 см.
Рамка деревянная размером 100 x 100 см (для зернобобовых культур).
Шкаф сушильный с погрешностью измерений +/- 2 °C.
Влагомер с погрешностью измерений не более +/- 2,0%.
Рулетка длиной 10 м с погрешностью измерений +/- 1 мм по
ГОСТ 7502.
Оборудование для разделения проб бункерного зерна на фракции.
Секундомер с погрешностью измерений +/- 1 с.
| ТР ТС 010/2011 | О безопасности машин и оборудования (утвержден Решением Комиссии Таможенного союза от 18 октября 2011 г. N 823) |