Главная // Актуальные документы // ГОСТ (Государственный стандарт)СПРАВКА
Источник публикации
М.: Стандартинформ, 2009
Примечание к документу
Документ утратил силу на территории Российской Федерации с 01.01.2017 в части
пункта 3.3 в связи с изданием
Приказа Росстандарта от 23.10.2015 N 1624-ст. Взамен введен в действие
ГОСТ 33538-2015.
Документ включен в Перечень международных и региональных (межгосударственных) стандартов (
п. п. 525,
534), а в случае их отсутствия - национальных (государственных) стандартов, содержащих правила и методы исследований (испытаний) и измерений, в том числе правила отбора образцов, необходимые для применения и исполнения требований технического
регламента Евразийского экономического союза "О безопасности алкогольной продукции" (ТР ЕАЭС 047/2018) и осуществления оценки соответствия объектов технического регулирования (
Решение Коллегии Евразийской экономической комиссии от 17.05.2022 N 80).
Документ включен в
Перечень стандартов, содержащих правила и методы исследований (испытаний) и измерений, в том числе правила отбора образцов, необходимые для применения и исполнения требований технического
регламента "О безопасности пищевой продукции" (ТР ТС 021/2011) и осуществления оценки (подтверждения) соответствия продукции (
Решение Комиссии Таможенного союза от 09.12.2011 N 880).
Документ включен в
Перечень стандартов, содержащих правила и методы исследований (испытаний) и измерений, в том числе правила отбора образцов, необходимые для применения и исполнения требований технического
регламента Таможенного союза "О безопасности зерна" (ТР ТС 015/2011) и осуществления оценки (подтверждения) соответствия продукции (
Решение Комиссии Таможенного союза от 09.12.2011 N 874).
С 01.07.2003 до вступления в силу технических регламентов акты федеральных органов исполнительной власти в сфере технического регулирования носят рекомендательный характер и подлежат обязательному исполнению только в части, соответствующей целям, указанным в
п. 1 ст. 46 Федерального закона от 27.12.2002 N 184-ФЗ.
Текст данного документа приведен с учетом поправок, опубликованных в "ИУС",
N 4, 1999;
N 6, 2021.
Документ
введен в действие с 01.07.1998.
Название документа
"ГОСТ 30483-97. Межгосударственный стандарт. Зерно. Методы определения общего и фракционного содержания сорной и зерновой примесей; содержания мелких зерен и крупности; содержания зерен пшеницы, поврежденных клопом-черепашкой; содержания металломагнитной примеси"
(введен в действие Постановлением Госстандарта России от 22.09.1997 N 330)
"ГОСТ 30483-97. Межгосударственный стандарт. Зерно. Методы определения общего и фракционного содержания сорной и зерновой примесей; содержания мелких зерен и крупности; содержания зерен пшеницы, поврежденных клопом-черепашкой; содержания металломагнитной примеси"
(введен в действие Постановлением Госстандарта России от 22.09.1997 N 330)
Государственного комитета
Российской Федерации
по стандартизации, метрологии
и сертификации
от 22 сентября 1997 г. N 330
МЕЖГОСУДАРСТВЕННЫЙ СТАНДАРТ
ЗЕРНО
МЕТОДЫ ОПРЕДЕЛЕНИЯ ОБЩЕГО И ФРАКЦИОННОГО СОДЕРЖАНИЯ СОРНОЙ
И ЗЕРНОВОЙ ПРИМЕСЕЙ; СОДЕРЖАНИЯ МЕЛКИХ ЗЕРЕН И КРУПНОСТИ;
СОДЕРЖАНИЯ ЗЕРЕН ПШЕНИЦЫ, ПОВРЕЖДЕННЫХ КЛОПОМ-ЧЕРЕПАШКОЙ;
СОДЕРЖАНИЯ МЕТАЛЛОМАГНИТНОЙ ПРИМЕСИ
Grain. Methods for determination of general and fractional
content of extraneous matter and damaged grains;
content of small grains and grain size;
content of grains attacked by pests;
content of metallic particles
ГОСТ 30483-97
Дата введения
1 июля 1998 года
Ссылочные нормативно-технические документы
Обозначение НТД, на который дана ссылка | Номер раздела |
ГОСТ 545-76 | |
| |
| |
| |
| |
| |
| |
| |
1. Разработан Всероссийским научно-исследовательским институтом зерна и продуктов его переработки (ВНИИЗ), Межгосударственным техническим комитетом МТК N 2.
Внесен Госстандартом России.
2. Принят Межгосударственным Советом по стандартизации, метрологии и сертификации (Протокол N 11 от 25 апреля 1997 г.).
За принятие проголосовали:
Наименование государства | Наименование национального органа по стандартизации |
Азербайджанская Республика | Азгосстандарт |
Республика Армения | Армгосстандарт |
Республика Белоруссия | Госстандарт Белоруссии |
Республика Казахстан | Госстандарт Республики Казахстан |
Киргизская Республика | Киргизстандарт |
Российская Федерация | Госстандарт России |
Туркменистан | Главная государственная инспекция Туркменистана |
Республика Узбекистан | Узгосстандарт |
Украина | Госстандарт Украины |
3.
Постановлением Государственного комитета Российской Федерации по стандартизации, метрологии и сертификации от 22 сентября 1997 г. N 330 межгосударственный стандарт ГОСТ 30483-97 введен в действие непосредственно в качестве государственного стандарта Российской Федерации с 1 июля 1998 г.
4. Взамен
ГОСТ 13586.2-81, ГОСТ 13586.4-83 в
части 3.4 и
3.5.
5. Переиздание. Май 2009 г.
Настоящий стандарт распространяется на зерно зерновых и семена бобовых культур, предназначенные для продовольственных, кормовых и технических целей, а также солод и устанавливает методы определения содержания:
сорной примеси и ее фракций, в том числе испорченных зерен, а также вредной и особо учитываемой примесей;
зерновой примеси и ее фракций, в том числе поврежденных зерен, а также семян бобовых культур, поврежденных зерновками и листовертками;
сорной и зерновой примесей риса, в том числе меловых зерен, а также красных, пожелтевших, зеленых стекловидных и глютинозных зерен риса;
зерен пшеницы, поврежденных клопом-черепашкой;
мелких зерен и крупности;
металломагнитной примеси.
Сущность методов заключается в выделении примесей из навески зерна или семян бобовых культур путем ручной разборки с применением сит для облегчения разборки.
2. АППАРАТУРА, МАТЕРИАЛЫ И РЕАКТИВЫ
Весы лабораторные общего назначения с допускаемой погрешностью взвешивания +/- 1 г.
Шелушитель для риса и проса марок ГДФ-1М, У17-ЕШЗ или других марок
<*>.
Шелушитель или устройство для снятия пленок овса марки У1-ЛШО или других марок
<*>.
Устройство для шлифования риса марки УШР или других марок
<*>.
Кукурузомолотилка лабораторная марки ЛКМ-2-61 или других марок <*>.
--------------------------------
<*> Устройства для шелушения, шлифования или обмолота зерна других марок должны иметь метрологические характеристики не ниже тех, что указаны в паспортах основных устройств.
Устройство для разрезания зерен гречихи У1-ЕЗГ.
Рассев лабораторный с круговыми движениями сит РА-5, РА-5М, У1-ЕРЛ и рассев лабораторный с прямолинейными возвратно-поступательными движениями сит РЛ-ЗМ (ЛР-3).
Доска лабораторная.
Пинцет.
Скальпель или лезвие бритвы.
Шпатель.
Чашки для навесок.
Лупа зерновая по
ГОСТ 25706, первой группы, с кратностью увеличения 4
x - 5
x.
Комплекты лабораторных сит: с круглыми отверстиями диаметром 8,0, 7,0, 6,0, 5,0, 4,0, 3,0, 2,5, 2,0, 1,5, 1,0 мм и с продолговатыми отверстиями размером 1,4 x 20, 1,7 x 20, 1,8 x 20, 2,2 x 20, 2,5 x 20 мм.
Магнит постоянный подковообразный из сплава марки ЮНТЗДК 24 по
ГОСТ 17809 грузоподъемностью не менее 12 кг.
Натр едкий технический по
ГОСТ 2263 или калия гидрат окиси технический по
ГОСТ 9285, 0,5%-ный раствор.
Йод технический по ГОСТ 545.
Раствор йода в йодистом калии, 1%-ный раствор, готовят путем растворения 10 г йодистого калия в небольшом количестве воды в мерной колбе вместимостью 500 см3, добавления к полученному раствору 5 г кристаллического йода, и полного его растворения при последующем доведении объема раствора до 500 см3 (раствор сохраняют в склянке из темного стекла в течение 10 сут).
3. ПРОВЕДЕНИЕ ОПРЕДЕЛЕНИЯ
3.1. Определение содержания сорной и зерновой примесей
Фракции сорной и зерновой примесей определяют по методам, изложенным в пунктах:
определение крупной сорной примеси в
3.1.1;
определение явно выраженной сорной и зерновой примесей в
3.1.2;
определение неявно выраженных испорченных и поврежденных зерен в
3.1.3:
пшеницы, ржи, ячменя, овса, сорго, солода в
3.1.3.1,
определение вредной примеси в
3.1.4;
определение особо учитываемой примеси в
3.1.5:
семян донника и луковичек дикого чеснока в
3.1.5.2,
определение семян зернобобовых культур, поврежденных зерновками и листовертками в
3.1.6;
определение общего содержания сорной примеси в
3.1.7;
определение общего содержания зерновой примеси в
3.1.8.
3.1.1. Определение содержания крупной сорной примеси
Крупной сорной примесью считают компоненты сорной примеси анализируемой культуры, оставшиеся на сите с отверстиями диаметром 6 мм.
Среднюю пробу зерна взвешивают с точностью до 1 г до полного просеивания зерна основной культуры.
Допускается просеивание средней пробы проводить частями при диаметре обечайки сита менее 30 см.
Вручную выбирают оставшиеся на сите компоненты крупной сорной примеси (части листьев, стеблей; створки бобов; части колоса и отдельные колоски, из которых извлекают зерно; крупные семена сорных растений; комочки земли; гальку), группируют их по фракциям сорной примеси анализируемой культуры и взвешивают фракции с точностью до второго десятичного знака.
Из средней пробы крупносеменных культур (кукуруза, кормовые бобы, чечевица тарелочная, горох, фасоль, нут, чина) допускается выбирать вручную компоненты крупной сорной примеси.
Обнаруженную в средней пробе зерна или семян зернобобовых культур крупную гальку взвешивают отдельно.
Содержание фракций крупной сорной примеси Xк.с %, вычисляют по формуле
где mк.с - масса фракции крупной сорной примеси культуры, г;
m - масса средней пробы, г.
3.1.2. Определение содержания явно выраженной сорной и зерновой примесей
Из средней пробы зерна или солода, освобожденной от крупной сорной примеси
(3.1.1), выделяют навески массой:
50 г - пшеницы, ржи, ячменя (в том числе пивоваренного), гречихи, овса, риса, чечевицы мелкосеменной, вики;
50 г - солода;
25 г - проса, сорго;
100 г - кукурузы, гороха, фасоли, нута, чины, люпина, чечевицы тарелочной;
200 г - бобов кормовых.
Навески взвешивают с точностью до первого десятичного знака.
При одновременном проведении определения содержания сорной, зерновой примеси и мелких зерен и крупности навески просеивают на комплекте лабораторных сит, приведенных в
Приложении 1, применительно к анализируемой культуре, устанавливая сита в последовательности: поддон; сито для выделения прохода, относимого к сорной примеси; сито для определения мелкого зерна; сита для определения крупности.
Комплект сит помещают на деревянную гладкую и ровную поверхность или стекло и круговыми движениями без встряхивания просеивают гречиху, кукурузу и зернобобовые культуры, а остальные культуры просеивают равномерными возвратно-поступательными движениями (по направлению продольной оси продолговатых отверстий сит) без встряхивания.
При просеивании размах колебаний сит должен быть около 10 см, а продолжительность просеивания должна составлять 1 мин для зернобобовых культур и 3 мин для всех зерновых культур при 110 - 120 движениях в минуту.
Просеивание зерна и семян зернобобовых культур механизированным способом проводят на лабораторном рассеве в соответствии с правилами, изложенными в инструкции по эксплуатации или в паспорте.
Из остатка на каждом сите (сходе) выделяют фракции явно выраженной сорной (в том числе вредную и особо учитываемую примесь) и зерновой примесей в соответствии с характеристиками, приведенными в стандарте на анализируемую культуру.
Из прохода сита, установленного для сорной примеси, выделяют вредную примесь.
Обнаруженную металломагнитную, вредную, особо учитываемую примесь (головневые зерна, галька, семена донника и луковички дикого чеснока), а также живых и мертвых вредителей удаляют и при расчетах не учитывают.
Выделенные, согласно стандарту на исследуемую культуру, фракции явно выраженной сорной и зерновой примесей взвешивают с точностью до первого десятичного знака при массе фракции 25 г и более и с точностью до второго десятичного знака при массе фракции менее 25 г.
Содержание фракций явно выраженной сорной примеси (Xф.с) и явно выраженной зерновой примеси Хф.з, %, вычисляют по формулам:
где mф.с - масса фракции явно выраженной сорной примеси, г;
mф.з - масса фракции явно выраженной зерновой примеси, г;
m1 - масса навески, г.
Вычисления содержания фракций явно выраженной сорной и зерновой примесей проводят до второго десятичного знака.
При определении содержания явно выраженной сорной и зерновой примесей учитывают следующие особенности культуры:
у крупяного овса | - из состава зерновой примеси выделяют и особо учитывают: в сходе сита с отверстиями размером 1,8 x 20 мм - содержание зерен пшеницы и полбы, зерен ржи и ячменя; в сходе сита и проходе сита с отверстиями размером 1,8 x 20 мм - суммарное содержание пшеницы и полбы; ржи и ячменя; кукурузы, фасоли, гороха, нута, чины, чечевицы, сои, кормовых бобов, вики; |
у овса крупяного и кормового | - обнаруженные в навеске перед просеиванием двойные зерна, а также двухзерный овес разделяют, при этом сильно недозрелые зерна относят к зерновой примеси, а цветковые пленки - к сорной примеси; |
у крупяного ячменя | - из состава зерновой примеси выделяют и отдельно учитывают в сходе сита и проходе сита с отверстиями размером 2,2 x 20 мм поврежденные зерна пшеницы и полбы, целые и поврежденные зерна ржи и овса; |
у солода | - в составе сорной примеси не учитывают солодовую шелуху (солодовая шелуха - оболочка зерна солода, отделяемая в результате механических повреждений вследствие его хрупкости); |
у кукурузы в початках | - определение засоренности проводят после обмолота початков вручную или на лабораторной молотилке в зерне, освобожденном от кусочков стержней. Битые зерна (включая проход через сито с отверстиями диаметром 2,5 мм) и давленые зерна в составе сорной и зерновой примеси не учитывают, а относят к основному зерну; |
у чечевицы | - обнаруживают примесь семян плоской вики по следующим признакам: у плоской вики явно заметен рубчик овальной формы, занимающий 1/3 часть окружности семени, которое в этом месте утолщено, ребро семени тупое, а у чечевицы рубчик длиной 2 мм и едва заметен, ребро заостренное. |
3.1.3. Определение содержания неявно выраженных испорченных и поврежденных зерен
3.1.3.1. В пшенице, ржи, ячмене, сорго, овсе, солоде
Из навески пшеницы, ржи, ячменя, овса, солода массой 50 г (для сорго - 25 г), освобожденной от явно выраженных сорной и зерновой примесей, выделяют навеску массой 10 г и взвешивают ее с точностью до второго десятичного знака. С зерен овса и пленчатого сорго снимают пленки вручную или на шелушителе.
Зерна, вызвавшие сомнения в принадлежности их к здоровому зерну при внешнем осмотре, разрезают поперек.
Разрезанные зерна, в зависимости от степени повреждения зерновки, относят или к испорченным, или к поврежденным зернам в соответствии с характеристикой, приведенной в стандарте на культуру.
Испорченные и поврежденные зерна (у овса и сорго с пленками) взвешивают раздельно с точностью до второго десятичного знака.
Содержание испорченных или поврежденных зерен пшеницы, ржи, ячменя, овса

, %, вычисляют по формуле
где

- масса испорченных или поврежденных зерен, выделенных из навески массой 10 г, г;
m2 - масса зерна, оставшаяся после выделения из навески массой 50 г явно выраженной сорной и зерновой примесей, г.
Общее содержание, испорченных или поврежденных зерен пшеницы, ржи, ячменя, овса, %, вычисляют по формуле
где

- масса явно выраженных испорченных или поврежденных зерен, выделенных из навески массой 50 г, г.
Содержание испорченных или поврежденных зерен сорго, %, вычисляют соответственно по формулам:
где m2 - масса зерна, оставшаяся после выделения из навески сорго массой 25 г явно выраженных сорной и зерновой примесей, г;

- масса явно выраженных испорченных или поврежденных зерен сорго, выделенных из навески массой 25 г, г.
Из навески проса массой 25 г, освобожденной от явно выраженных сорной и зерновой примесей, выделяют навеску массой 10 г и взвешивают ее с точностью до второго десятичного знака.
Зерна проса шелушат, а затем освобожденные от пленок ядра снова взвешивают. Проводят внешний осмотр ядер и из них выделяют испорченные и поврежденные ядра в соответствии с характеристикой, приведенной в стандарте на просо.
Испорченные и поврежденные ядра проса взвешивают раздельно с точностью до второго десятичного знака.
Содержание испорченных или поврежденных зерен проса

, %, вычисляют по формуле
где

- масса испорченных или поврежденных ядер, выделенных из навески массой 10 г, г;
mоб - масса ядер, полученных после шелушения зерен в навеске массой 10 г, г;
m2 - масса необрушенных зерен, оставшихся после выделения из навески массой 25 г явно выраженной сорной и зерновой примеси, г.
Общее содержание испорченных или поврежденных зерен проса XИ, %, вычисляют по формуле
где

- масса явно выраженных испорченных или поврежденных зерен, выделенных из навески массой 25 г, г.
Из навески гречихи массой 50 г, освобожденной от явно выраженных сорной и зерновой примесей, выделяют навеску массой 10 г и взвешивают ее с точностью до второго десятичного знака. Все зерна навески разрезают лезвием бритвы и выделяют испорченные зерна в соответствии с характеристиками, приведенными в стандарте на гречиху.
Испорченные зерна гречихи вместе с пленками и частицами ядра взвешивают раздельно с точностью до второго десятичного знака.
Содержание испорченных зерен

, %, вычисляют по формуле
где

- масса испорченных зерен гречихи, выделенных из навески массой 10 г, г;
m2 - масса необрушенных зерен гречихи, оставшихся после выделения из навески массой 25 г явно выраженной сорной примеси, г.
Общее содержание испорченных зерен гречихи XИ, %, вычисляют по формуле
где

- масса явно испорченных зерен гречихи, выделенных из навески массой 50 г, г.
Вычисления испорченных зерен проводят до второго десятичного знака с последующим округлением результата до первого десятичного знака.
Полученные результаты определения для проставления в документах о качестве зерна округляют следующим образом: если первая из отбрасываемых цифр (считая слева направо) меньше 5, то последняя сохраняемая цифра не меняется, если равна или более 5, то увеличивается на единицу.
Допускаемые расхождения при контрольных определениях испорченных или поврежденных зерен не должны превышать норм, приведенных в таблице 1.
Таблица 1
Содержание испорченных или поврежденных зерен, % | Допускаемое расхождение, % |
Пшеница | Просо | Горох | Ячмень, гречиха | Кукуруза |
Не более 0,2 | 0,1 | - | 0,1 | - | 0,1 |
Не более 0,3 | - | - | - | 0,2 | - |
0,3 - 0,5 | 0,2 | 0,2 | 0,2 | - | 0,2 |
0,4 - 0,5 | - | - | - | 0,3 | - |
0,6 - 1,0 | 0,3 | 0,4 | 0,3 | 0,4 | 0,3 |
1,1 - 2,0 | 0,6 | 0,5 | 0,6 | 0,5 | 0,5 |
2,1 - 3,0 | 0,6 | 0,6 | 0,6 | 0,6 | 0,6 |
3,1 - 4,0 | 0,7 | 0,7 | 0,6 | 0,8 | 0,7 |
4,1 - 5,0 | 0,8 | 0,8 | 0,7 | 1,0 | 0,8 |
5,1 - 6,0 | 0,9 | 1,1 | 0,7 | 1,2 | 0,9 |
6,1 - 7,0 | 1,0 | 1,4 | 0,7 | 1,4 | 1,0 |
7,1 - 8,0 | 1,1 | 1,6 | 0,8 | 1,6 | 1,1 |
8,1 - 9,0 | 1,1 | - | 0,9 | - | 1,2 |
8,1 - 10,0 | - | 1,8 | - | - | - |
9,1 - 10,0 | - | - | 1,0 | - | - |
10,1 и более | - | 2,1 | 1,1 | - | - |
При контрольном определении испорченных или поврежденных зерен за окончательный результат определения принимают результат первоначального определения, если расхождение между результатами первоначального и контрольного определений не превышает допускаемую норму, устанавливаемую по результату контрольного определения. Если расхождение превышает допускаемую норму, то за окончательный результат принимают результат контрольного определения.
Примеры расчета содержания испорченных или поврежденных зерен приведены в
Приложении 2.
3.1.4. Определение содержания вредной примеси
Из средней пробы, освобожденной от крупной сорной примеси
(3.1.1), выделяют навески массой:
500 г - для определения спорыньи, угрицы, вязеля разноцветного, горчака ползучего, софоры лисохвостной, термопсиса ланцетного, гелиотропа опушенноплодного, триходесмы седой;
200 г - для определения плевела опьяняющего;
200 г - пшеницы, ржи и других культур, кроме ячменя, - для определения головни;
500 г ячменя - для определения головни.
Навески взвешивают с точностью до первого десятичного знака и разбирают вручную. Обнаруженные компоненты вредной примеси группируют отдельно по видам и взвешивают с точностью до второго десятичного знака.
Содержание каждого вида вредной примеси XВ, %, вычисляют по формуле
где mВ - масса выделенного вида вредной примеси, г;
m3 - масса навески, г.
Вычисление вредной примеси проводят до второго десятичного знака без последующего округления результата.
3.1.5. Определение содержания особо учитываемой примеси
3.1.5.1. Определение содержания головневых зерен
Головневыми зернами считают синегузочные и мараные зерна. К синегузочным относят зерна пшеницы, у которых запачканы спорами головни только бородки; к мараным относят зерна пшеницы, у которых запачканы спорами головни не только бородки, но и поверхность зерновки и бороздки.
Из навески зерна массой, установленной в
3.1.2, освобожденной от сорной и зерновой примесей, выделяют навеску массой 20 г и взвешивают ее с точностью до второго десятичного знака.
Из массы зерен в навеске без применения лупы выбирают головневые зерна и взвешивают их с точностью до второго десятичного знака.
Содержание головневых зерен XГ, %, вычисляют по формуле
где mГ - масса головневых зерен, выделенных из навески массой 20 г, г.
3.1.5.2. Определение содержания семян донника и луковичек дикого чеснока
Из средней пробы зерна, освобожденной от крупной сорной примеси
(3.1.1), выделяют навеску массой 500 г и взвешивают ее с точностью до первого десятичного знака.
Навеску зерна порциями около 100 г просеивают на сите с продолговатыми отверстиями размером 1,7 x 20 мм.
После просеивания каждой порции осматривают сход сита и проход сита. Обнаруженные в сходе сита луковички дикого чеснока, а в проходе сита семена донника выбирают вручную и подсчитывают отдельно.
Содержание семян донника и луковичек дикого чеснока, выражаемое количеством штук в 1 кг, вычисляют путем умножения на 2 обнаруженного в навеске 500 г числа луковичек дикого чеснока или семян донника.
3.1.5.3. Определение содержания гальки
Из средней пробы зерна, освобожденной от крупной сорной примеси
(3.1.1), выделяют навеску массой 500 г и взвешивают ее с точностью до первого десятичного знака.
Навеску просеивают на сите с отверстиями диаметром 1,5 мм. Обнаруженную в сходе сита гальку выбирают и взвешивают с точностью до второго десятичного знака.
Содержание гальки

, %, вычисляют по формуле
где

- масса гальки, выделенной из навески массой 500 г, г.
Общее содержание гальки Xгл, %, вычисляют по формуле
где

- содержание крупной гальки, %, выделенной из схода сита с диаметром отверстий 6 мм при определении крупной сорной примеси
(3.1.1).
3.1.6. Определение содержания семян зернобобовых культур, поврежденных зерновками и листовертками
Из средней пробы зерна, освобожденной от крупной сорной примеси
(3.1.1), выделяют навеску массой:
100 г - гороха, фасоли, нута, чины, люпина и вики, чечевицы мелкосеменной и тарелочной;
200 г - бобов кормовых.
Навеску освобождают вручную от явно выраженной сорной примеси. Оставшуюся массу семян взвешивают с точностью до первого десятичного знака.
Семена распределяют на лабораторной доске и тщательно осматривают. При осмотре из массы семян выделяют семена с явными признаками повреждения, но без наличия в них вредителей:
семена с пустыми, выеденными зерновками полостями;
семена с изъеденной листовертками поверхностью, углубления на которой, как правило, заполнены экскрементами, оплетенными паутиной.
Выделенные семена взвешивают с точностью до второго десятичного знака. Затем выделяют семена гороха, фасоли, вики, кормовых бобов, чечевицы с наличием в зерне полости с характерными округлыми отверстиями диаметром 2 - 3 мм;
гороха, фасоли, вики, чечевицы, кормовых бобов с круглыми "окошечками" (летные отверстия жуков) в виде темных пятен, представляющих собой оболочку семян, под которой находится личинка, куколка или жук зерновки;
фасоли со слабо заметными уколами, представляющими входные отверстия личинок, диаметром 0,1 - 0,3 мм;
фасоли, настолько изъеденные, что у них остались только оболочки, разрушающиеся при надавливании, под которыми могут находиться личинки или жуки фасолевой зерновки.
Выделенные семена с перечисленными признаками вскрывают. Семена с наличием мертвых вредителей взвешивают.
Семена бобовых, на которых при визуальном осмотре не выявлено признаков повреждения зерновками и листовертками, помещают на сетку. Сетку с семенами погружают в сосуд с раствором йода в 1%-ном йодистом калии и выдерживают 60 - 90 с. Затем переносят сетку с семенами в 0,5%-ный раствор щелочи на 30 с. Каждый раз используют новую порцию растворов.
После окончания экспозиции сетку с семенами вынимают из раствора щелочи и семена промывают водопроводной водой для освобождения от щелочи в течение 15 - 20 с.
Вынимают семена из сетки и быстро просматривают для обнаружения входных отверстий личинок насекомых или мест проколов оболочки, которые окрашиваются в черный цвет и становятся хорошо заметными (мелкие черные пятна диаметром 1 - 2 мм). Семена с пятнами вскрывают. Обнаруженные семена с мертвыми вредителями взвешивают.
Содержание семян, поврежденных зерновками и листовертками, Xп.з, %, вычисляют по формуле
где m1 - масса поврежденных семян без наличия вредителей, г;
m2 - масса поврежденных семян с наличием мертвых вредителей, обнаруженных при вскрытии сухих семян, г;
m3 - масса поврежденных семян с наличием мертвых вредителей, обнаруженных при вскрытии обработанных семян, г;
m4 - масса навески, г.
3.1.7. Определение общего содержания сорной примеси
Общее содержание сорной примеси Xс, %, вычисляют как сумму результатов определений:
крупной органической сорной примеси, выделенной из схода сита с отверстиями 6 мм, а также органической примеси, выделенной из навески для определения явно выраженных сорной и зерновой примесей;
крупной минеральной примеси, кроме гальки, выделенной из схода сита с отверстиями 6 мм, а также минеральной примеси, кроме гальки, выделенной из навески для определения явно выраженных сорной и зерновой примесей;
гальки, выделенной из схода сита с отверстиями диаметром 6 мм, а также выделенной из навески массой 500 г;
семян сорных растений, а также культурных растений, которые относятся в соответствии с требованиями стандарта на культуру к сорной примеси, выделенных из схода с сита с отверстиями диаметром 6 мм, а также выделенных из навески для определения содержания явно выраженных сорной и зерновой примесей;
испорченных зерен, выделенных из навески для определения явно выраженных сорной и зерновой примесей и из навески, выделенной для определения неявно выраженных испорченных и поврежденных зерен;
вредной примеси, выделенной из навесок, установленных стандартом для определения вредной примеси;
прохода через сито, применяемого для выделения сорной примеси, в количестве, установленном стандартом на культуру.
3.1.8. Определение общего содержания зерновой примеси
Общее содержание зерновой примеси Xз, %, вычисляют как сумму результатов определения всех фракций явно выраженной зерновой примеси, установленной стандартом на культуру, и фракции поврежденных зерен, выделенной из навески, установленной стандартом для определения неявно выраженных испорченных и поврежденных зерен.
Полученные результаты определения содержания сорной и зерновой примесей для проставления в документах о качестве зерна округляют по
СТ СЭВ 543-77.
Контрольное определение содержания сорной и зерновой примеси проводят тем же методом, что и первоначальное определение.
Допускаемые расхождения при контрольных определениях сорной и зерновой примесей не должны превышать норм, приведенных в таблице 2.
Таблица 2
Содержание сорной или зерновой примеси, % | Допускаемое расхождение, % |
Не более 0,5 | 0,2 |
0,6 - 1,0 | 0,4 |
1,1 - 2,0 | 0,6 |
2,1 - 3,0 | 0,8 |
3,1 - 4,0 | 1,0 |
4,1 - 5,0 | 1,2 |
5,1 - 6,0 | 1,4 |
6,1 - 7,0 | 1,6 |
7,1 - 8,0 | 1,8 |
8,1 - 9,0 | 2,0 |
9,1 - 10,0 | 2,2 |
10,1 - 15,0 | 3,0 |
Более 15,0 | 3,8 |
При контрольном определении за окончательный результат определения сорной или зерновой примесей принимают результат первоначального определения, если расхождение между результатами первоначального и контрольного определений не превышает допускаемую норму, устанавливаемую по результатам контрольного определения. Если расхождение превышает допускаемую норму, то за окончательный результат принимают результат контрольного определения.
3.2. Определение содержания сорной и зерновой примесей в рисе, а также красных, пожелтевших, зеленых стекловидных и глютинозных зерен риса
К красным относят зерна риса, имеющие окраску семенных и плодовых оболочек (после снятия цветковых пленок) от розовой с коричневым или серым оттенками до красной или буро-коричневой с красным оттенком.
К пожелтевшим относят зерна риса с ядром желтого цвета различной интенсивности.
К меловым относят зерна риса, у которых 1/2 и более поверхности имеют непрозрачный внешний вид, подобный мелу.
К глютинозным относят зерна риса однородные по цвету, плотного строения, консистенции молочного стекла, в разрезе стеаринообразные без мучнистого или стекловидного вкрапления.
К зеленым стекловидным зернам риса относят стекловидные зерна риса, имеющие зеленую окраску семенных и плодовых оболочек разной степени интенсивности (после снятия цветковых пленок), обусловленную наличием в них хлорофилла.
Примечание. Меловые и глютинозные зерна риса распознают по окраске, которую они приобретают после обработки раствором йода (раствор готовят путем растворения двух-трех капель медицинской йодной настойки в 10 - 15 см3 дистиллированной или кипяченой воды): меловые - темно-синюю окраску, а глютинозные - красно-бурую окраску.
Схема проведения оценки качества зерна риса приведена в
Приложении 3.
3.2.1. Определение крупной сорной примеси в рисе
Среднюю пробу риса, взвешенную с точностью до 1 г, просеивают на сите диаметром отверстий 6 мм.
Выбирают вручную компоненты крупной сорной примеси риса, оставшиеся на сите: комочки земли; части листьев, стеблей; метелки; отдельные колоски, из которых извлекают зерна; семена всех культурных и сорных растений, а также крупную гальку. Компоненты формируют по фракциям сорной примеси риса, отдельно взвешивают и определяют содержание по формуле, указанной в
3.1.1.
3.2.2. Определение явно выраженных сорной и зерновой примесей в рисе
Из средней пробы риса, освобожденной от крупной сорной примеси, выделяют навеску массой 50 г и взвешивают ее с точностью до первого десятичного знака.
Навеску просеивают на сите с отверстиями диаметром 2,0 мм в течение 3 мин при 110 - 120 движениях в минуту.
Проход сита с диаметром отверстий 2,0 мм взвешивают и относят к сорной примеси.
В остатке на сите с диаметром отверстий 2,0 мм выделяют компоненты явно выраженных сорной и зерновой примесей риса, группируют их по фракциям и взвешивают с точностью до второго десятичного знака.
Содержание фракций явно выраженных сорной и зерновой примесей риса в процентах
Xф.с и
Xф.з вычисляют по
3.1.2.
Из обрушенных зерен риса, обнаруженных при разборке навески массой 50 г, выделяют красные, глютинозные, зеленые стекловидные, а также испорченные зерна риса и взвешивают их с точностью до второго десятичного знака.
3.2.3. Определение содержания неявно выраженных испорченных зерен, а также зерен риса с красными плодовыми и семенными оболочками, глютинозных и зеленых стекловидных зерен
Из навески риса массой 50 г, освобожденной от явно выраженных сорной и зерновой примесей, после тщательного перемешивания зерна выделяют две навески массой 10 г и взвешивают их с точностью до второго десятичного знака.
Обе навески обрушивают на шелушителе, при этом оставшиеся в навеске после шелушения нешелушеные зерна обрушивают вручную. Обрушенные зерна риса в навеске снова взвешивают с точностью до второго десятичного знака.
Из обрушенных зерен путем визуального осмотра выделяют испорченные зерна (в соответствии с характеристикой, приведенной в стандарте на рис), а также красные, глютинозные, зеленые стекловидные зерна риса (в соответствии с приведенной выше характеристикой) и взвешивают раздельно с точностью до второго десятичного знака.
Содержание красных, глютинозных, зеленых стекловидных зерен

, %, вычисляют по формуле
где

- масса красных, глютинозных или зеленых стекловидных зерен, выделенных из обрушенных зерен навески, г;
m1 - масса обрушенных зерен в навеске массой 10 г, г.
За окончательный результат

анализа принимают среднее арифметическое результатов двух параллельных определений, если расхождение между ними не превышает допускаемых норм, приведенных в
таблице 3.
Содержание сорной и зерновой примесей риса, в том числе испорченных зерен и меловых, а также красных, пожелтевших, глютинозных, зеленых стекловидных зерен, % | Допускаемое расхождение, % |
при параллельных и контрольных определениях испорченных зерен риса | при параллельных и контрольных определениях меловых и пожелтевших зерен риса, а также при контрольных определениях сорной и зерновой примесей, красных, глютинозных и зеленых стекловидных зерен |
Не более 0,3 | 0,2 | - |
0,4 - 0,5 | 0,3 | - |
Не более 0,5 | - | 0,2 |
0,6 - 1,0 | 0,4 | 0,4 |
1,1 - 2,0 | 0,5 | 0,6 |
2,1 - 3,0 | 0,6 | 0,8 |
3,1 - 4,0 | 0,8 | 1,0 |
4,1 - 5,0 | 1,0 | 1,2 |
5,1 - 6,0 | 1,2 | 1,4 |
6,1 - 7,0 | 1,4 | 1,6 |
7,1 - 8,0 | 1,6 | 1,8 |
8,1 - 9,0 | - | 2,0 |
9,1 - 10,0 | - | 2,2 |
Если расхождение превышает установленные нормы, то определение повторяют.
Общее содержание красных или глютинозных, или зеленых стекловидных зерен Xк, %, вычисляют по формуле
где

- масса красных или глютинозных или зеленых стекловидных зерен, выделенных из обрушенных зерен навески массой 50 г, г;
m - масса зерен риса, оставшихся после выделения из навески массой 50 г явно выраженных сорной и зерновой примесей.
Содержание испорченных зерен

, %, вычисляют по формуле
где

- масса испорченных зерен, выделенных из обрушенных зерен навески массой 10 г, г;
m1 - масса обрушенных зерен в навеске массой 10 г, г;
m - масса зерен риса, оставшихся после выделения из навески массой 50 г явно выраженных сорной и зерновой примесей, г.
За окончательный результат

анализа принимают среднее арифметическое результатов двух параллельных определений, если расхождение между ними не превышает допускаемых норм, установленных в
таблице 3.
Общее содержание испорченных зерен риса Xи, %, вычисляют по формуле
где

- масса испорченных зерен, выделенных из обрушенных зерен навески массой 50 г, г.
3.2.4. Определение содержания пожелтевших и меловых зерен риса
Каждую из двух навесок обрушенного зерна риса, включая выделенные фракции красных, глютинозных и зеленых стекловидных зерен, шлифуют, а затем просеивают на сите с отверстиями 1,5 мм для отсеивания мучки. Сход с сита взвешивают и выделяют целые и дробленые пожелтевшие ядра и целые и дробленые меловые ядра. Выделенные, пожелтевшие и меловые ядра раздельно взвешивают.
Содержание пожелтевших зерен риса Xж, %, относимых к основному зерну, вычисляют по формуле
где mж - масса пожелтевших ядер риса, выделенных из навески шлифованного риса, целых и дробленых, г;
m2 - масса шлифованных ядер риса после отсеивания мучки, г.
За окончательный результат

анализа принимают среднее арифметическое результатов двух параллельных определений, если расхождение между ними не превышает допускаемых норм, приведенных в
таблице 3.
Если расхождение превышает допускаемые нормы, то определение повторяют.
Содержание меловых зерен риса Xм, %, относимых к примесям, вычисляют по формуле
где mм - масса меловых ядер риса, выделенных из навески шлифованного риса, целых и дробленых, г;
m - масса зерен риса, оставшихся после выделения из навески массой 50 г явно выраженных сорной и зерновой примесей, г;
m2 - масса шлифованных ядер риса после отсеивания мучки, г.
За окончательный результат

анализа принимают среднее арифметическое результатов двух параллельных определений, если расхождение между ними не превышает допускаемых норм, приведенных в
таблице 3.
Если расхождение превышает допускаемые нормы, то определение повторяют.
Примеры расчета испорченных, меловых, пожелтевших и красных зерен риса приведены в
Приложении 4.
Общее содержание сорной примеси риса вычисляют в соответствии с требованиями
3.1.7, а общее содержание зерновой примеси риса - в соответствии с требованиями
3.1.8.
При контрольном определении за окончательный результат анализа принимают результат первоначального определения, если расхождение между результатами первоначального и контрольного определений не превышает допускаемую норму, устанавливаемую по результату контрольного определения.
Если расхождение превышает допускаемую норму, то за окончательный результат принимают результат контрольного определения.
Примеры применения норм допустимых расхождений приведены в
Приложении 5.
3.3. Определение зерен пшеницы, поврежденных клопом-черепашкой
Из навески пшеницы массой 50 г, освобожденной от явно выраженных сорной и зерновой примесей
(3.1.2), выделяют две навески массой 10 г каждая и взвешивают с точностью до второго десятичного знака.
Зерна распределяют на анализной доске и тщательно осматривают с помощью лупы.
При осмотре из массы зерен выделяют зерна с наличием на поверхности следов укола в виде темной точки, вокруг которой образуется резко очерченное светло-желтое пятно округлой или неправильной формы;
зерна с наличием на поверхности такого же пятна, в пределах которого имеется вдавленность или морщины без следа укола;
зерна с наличием такого же пятна на зародыше без вдавленности или морщин и без следов укола.
У поврежденных клопом зерен во всех случаях консистенция под пятном рыхлая и мучнистая.
Зерна пшеницы с желтыми пятнами, расположенными не у зародыша, без следов укола, вдавленности, а также без морщинистости в пределах пятен не являются поврежденными клопом-черепашкой.
Обнаруженные в навесках зерна, поврежденные клопом-черепашкой, взвешивают с точностью до второго десятичного знака.
Содержание зерен, поврежденных клопом-черепашкой, Xк, %, в каждой навеске вычисляют по формуле

или

где

или

- масса зерен, поврежденных клопом-черепашкой, в навеске массой 10 г, г.
За окончательный результат анализа принимают среднее арифметическое результатов двух параллельных определений, если расхождение между ними не превышает норм, приведенных в таблице 4.
Таблица 4
Содержание зерен, поврежденных клопом-черепашкой, % | Допускаемое расхождение при параллельных и контрольных определениях, % |
Не более 5,0 | 0,5 |
5,0 и более | 1,0 |
Допускаемые расхождения при контрольных определениях приведены в таблице 4.
При контрольном определении за окончательный результат определения принимают результат первоначального определения, если расхождение между результатами первоначального и контрольного определений не превышает допускаемую норму, устанавливаемую по результатам контрольного определения. Если расхождение превышает допускаемую норму, то за окончательный результат принимают результат контрольного определения.
3.4. Определение содержания мелких зерен (семян) и крупности
Из средней пробы зерна, освобожденной от крупной сорной примеси (в соответствии с
3.1.1), выделяют навеску массой:
50 г - пшеницы, ржи, ячменя (в том числе пивоваренного), гречихи, овса, сорго, солода;
100 г - кукурузы, гороха, чечевицы тарелочной;
200 г - бобов кормовых.
Навески взвешивают с точностью до первого десятичного знака.
Навеску просеивают на комплекте лабораторных сит: поддон, сито для выделения прохода, относимого к сорной примеси; сито для определения мелкого зерна; сита для определения крупности. Размер сит указан в
Приложении 1.
Сходы с сит, установленных для определения крупности, и проход через сито, установленное для определения мелкого зерна, вручную освобождают от сорной и зерновой примесей и очищенное зерно взвешивают с точностью до второго десятичного знака.
Содержание мелкого зерна (семян) или крупность Xм, %, вычисляют по формуле
где mм - масса фракций мелкого зерна (семян) или масса зерна (семян) в сходе с сита, установленного для определения крупности, г;
m1 - масса зерна (семян), оставшаяся после выделения из навески сорной и зерновой примесей, г.
Вычисления проводят до второго десятичного знака с последующим округлением результата до первого десятичного знака.
Допускаемые расхождения при контрольных определениях мелких зерен приведены в таблице 5.
Таблица 5
Содержание мелких зерен, % | Допускаемое расхождение, % |
Не более 5,0 | 1,0 |
5,1 - 10,0 | 1,5 |
10,1 - 20,0 | 2,0 |
20,1 - 30,0 | 2,5 |
Более 30,0 | 3,0 |
Допускаемые расхождения при контрольных определениях крупности зерна составляют 3,0%.
При контрольном определении мелких зерен и крупности зерна за окончательный результат анализа принимают результат первоначального определения, если расхождение между результатами первоначального и контрольного определений не превышает допускаемую норму, устанавливаемую по результату контрольного определения. Если расхождение превышает допускаемую норму, то за окончательный результат анализа принимают результат контрольного определения.
По процентному содержанию остатка на ситах, установленных для определения крупности, гречиху, чечевицу тарелочную и горох относят к соответствующей категории крупности, исходя из состояния по крупности, приведенного в стандарте на культуру.
3.5. Определение содержания металломагнитной примеси в зерне
Из средней пробы, освобожденной от крупной сорной примеси по
3.1.1, выделяют навеску массой 1000 г и взвешивают ее с точностью до первого десятичного знака.
Навеску равномерно распределяют на поверхности слоем толщиной не более 0,5 см.
Ножками магнита медленно проводят продольные и поперечные бороздки в зерне таким образом, чтобы ножки магнита проходили через всю толщину зерна.
После обработки магнитом всей поверхности зерна приставшие к магниту металломагнитные частицы снимают в чашку. Зерно собирают, перемешивают и снова распределяют на поверхности слоем толщиной не более 0,5 см. Затем проводят повторное выделение из массы навески металломагнитных частиц с помощью магнита. Приставшие к магниту частицы снимают в ту же чашку. Взвешивают находящуюся в чашке металломагнитную примесь с точностью до четвертого десятичного знака.
Содержание металломагнитной примеси вычисляют до четвертого десятичного знака с последующим округлением результата до третьего десятичного знака и выражают в миллиграммах на 1 кг зерна.
(обязательное)
ПЕРЕЧЕНЬ ПРИМЕНЯЕМЫХ ЛАБОРАТОРНЫХ СИТ
Наименование культуры | Размер отверстий сит, мм, для |
определения мелких зерен | выделения прохода, относимого к сорной примеси | определения крупности |
Пшеница | 1,7 x 20 | Диаметр 1,0 | - |
Рожь | 1,4 x 20 | Диаметр 1,0 | - |
Ячмень продовольственный и кормовой | 2,2 x 20 (для ячменя крупяного) | Диаметр 1,5 | - |
Ячмень для пивоварения | 2,2 x 20 | Диаметр 1,5 | 2,5 x 20 |
Солод, смесь зерновая, отходы зерновые, ростки солодовые | 2,2 x 20 | Диаметр 1,5 | - |
Овес | 1,8 x 20 (для овса крупяного) | Диаметр 1,5 | - |
Просо | - | 1,4 x 20 | - |
Гречиха | - | Диаметр 3,0 | Диаметр 4,0 |
Рис-зерно | - | Диаметр 2,0 | - |
Кукуруза в зерне | Диаметр 8,0 (I и II типы для пищеконцентратной промышленности) | Диаметр 2,5 | - |
Горох | Диаметр 5,0 (для гороха крупяного) | Диаметр 2,5 | Диаметр |
| | 1-й тип | 1-й тип |
| | | 1-й подтип | 2-й подтип |
| | | 7,0 | 6,0 |
| | | 6,0 | 5,0 |
| | | 4,0 | 4,0 |
Фасоль продовольственная | - | Диаметр 3,0 | - |
Чечевица тарелочная | Диаметр 4,8 | Диаметр 2,5 | Диаметр |
| | | 6,3 |
| | | 5,2 |
| | | 4,8 |
Чечевица мелкосеменная | - | Диаметр 1,5 | - |
Чина | - | Диаметр 2,0 | - |
Нут | - | Диаметр 2,0 | - |
Бобы кормовые | - | Диаметр 3,0 | - |
Сорго | Диаметр 2,5 | Диаметр 1,5 | - |
Соя | - | Диаметр 3,0 | - |
Вика | - | Диаметр 2,0 | - |
(справочное)
ПРИМЕРЫ РАСЧЕТА СОДЕРЖАНИЯ ИСПОРЧЕННЫХ
И ПОВРЕЖДЕННЫХ ЗЕРЕН ПШЕНИЦЫ, ГРЕЧИХИ И ПРОСА
1. Пример расчета для пшеницы
При разборе навески пшеницы массой 50,0 г выделено 0,45 г сорной примеси, в числе которой 0,05 г явно выраженных испорченных зерен пшеницы, и 0,75 г зерновой примеси, в числе которой 0,25 г явно выраженных поврежденных зерен пшеницы.
После выделения из навески сорной и зерновой примесей ее масса составляет 50,0 - (0,45 + 0,75) = 48,80 г.
Из дополнительной навески массой 10,00 г выделено еще 0,04 г испорченных зерен и 0,10 поврежденных зерен. Содержание неявно выраженных испорченных зерен пшеницы, рассчитанное по
формуле 4, составляет

, а неявно выраженных поврежденных зерен

.
Общее содержание испорченных зерен в пшенице, рассчитанное по
формуле 5, составляет

, а поврежденных зерен

.
2. Пример расчета для гречихи
При разборе навески гречихи массой 50,0 г выделено 1,10 г сорной примеси, в числе которой 0,15 г явно выраженных испорченных обрушенных зерен, и 0,70 г зерновой примеси.
Масса зерна гречихи после выделения сорной и зерновой примесей составляет 50,0 - (1,10 + 0,70) = 48,20 г.
Из дополнительной навески массой 10,00 г выделено еще 0,22 г испорченных зерен.
Содержание неявно выраженных испорченных зерен, рассчитанное по
формуле 4, составляет

.
Общее содержание испорченных зерен гречихи, рассчитанное по
формуле 5, составляет

.
3. Пример расчета для проса
При разборе навески проса массой 25 г выделено 2,80 г сорной примеси, в числе которой 0,20 г явно выраженных испорченных обрушенных зерен проса и 1,50 г зерновой примеси, в числе которой 0,50 г поврежденных обрушенных зерен проса.
После выделения из навески сорной и зерновой примесей масса чистого необрушенного проса составляет
25,0 - (2,80 + 1,50) = 20,70 г.
Из дополнительной навески проса массой 10,00 г после обрушивания зерна выделено 8,43 г ядер проса, в числе которых обнаружено 0,20 г испорченных ядер и 0,30 г поврежденных ядер.
Содержание неявно выраженных испорченных зерен проса, рассчитанное по
формуле 4, составляет

.
Общее содержание испорченных зерен проса составляет

.
Содержание неявно выраженных поврежденных зерен проса, рассчитанное по
формуле 4, составляет

.
Общее содержание поврежденных зерен проса, рассчитанное по
формуле 5, составляет

.
(обязательное)
СХЕМА ПРОВЕДЕНИЯ ОЦЕНКИ КАЧЕСТВА ЗЕРНА РИСА
--------------------------------
<*> Сито применяют для обозначения разборки навески.
(справочное)
ПРИМЕР РАСЧЕТА СОДЕРЖАНИЯ В РИСЕ ИСПОРЧЕННЫХ, МЕЛОВЫХ,
КРАСНЫХ И ПОЖЕЛТЕВШИХ ЗЕРЕН
При разборе навески массой 50,0 г выделено 0,30 г явно выраженной сорной и 1,00 г явно выраженной зерновой примеси.
В массе обрушенных зерен обнаружено 0,10 г испорченных зерен риса и 0,20 г красных зерен.
После выделения из навески явно выраженных сорной и зерновой примесей ее масса составляла 50,0 - (0,30 + 1,00) = 48,7 г.
Из двух 10 г дополнительных навесок риса, масса которых после обрушивания составляла 8,00 г и 8,20 г каждая, выделено соответственно 0,25 г и 0,28 г испорченных зерен и 0,30 и 0,32 г красных зерен.
После шлифования двух обрушенных навесок риса масса шлифованных ядер в них после отсеивания мучки составляла 7,50 г и 7,80 г соответственно.
В числе шлифованных ядер обнаружено 0,60 г и 0,65 г пожелтевших ядер, 0,30 и 0,33 меловых ядер.
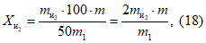
Содержание неявно выраженных испорченных зерен риса, рассчитанное по
формуле 17, составляет: в 1-й навеске

; во 2-й навеске

, а среднее значение 3,13%.
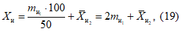
Общее содержание испорченных зерен, рассчитанное по
формуле 18, составляет 2 · 0,10 + 3,13 = 3,33%.
Содержание красных зерен в обрушенном зерне 10 г навесок, рассчитанное по
формуле 15, составляет: в 1-й навеске

; во 2-й навеске

, а среднее значение 3,83%.
Общее содержание красных зерен, рассчитанное по
формуле 16, составляет

.
Содержание меловых зерен, рассчитанное по
формуле 20, составляет: в 1-й навеске

, во 2-й навеске

, а среднее 4,00%.
(справочное)
ПРИМЕРЫ ПРИМЕНЕНИЯ НОРМ ДОПУСКАЕМЫХ РАСХОЖДЕНИЙ
Пример 1. При двух параллельных определениях содержание сорной примеси составляет: по первому определению - 1,42%; по второму определению - 1,84%; расхождение - 0,42%. Допускаемое расхождение (исходя из среднего арифметического результата двух определений - 1,63%) не должно превышать 0,6%. В этом случае за окончательный результат определения принимают - 1,63%.
Пример 2. При двух параллельных определениях содержание сорной примеси составляет: по первому определению - 1,02%; по второму определению - 1,95%; расхождение - 0,93%. Допускаемое расхождение (исходя из среднего арифметического результата двух определений - 1,48%) не должно превышать 0,6%. В этом случае расхождение превышает допускаемую норму и определение повторяют.
Пример 3. Содержание сорной примеси по результатам первоначального определения - 2,2%; по результатам контрольного определения - 3,1%; расхождение - 0,9%. При содержании сорной примеси - 3,1% (исходя из результата контрольного определения) расхождение не должно превышать 1,0%. В этом случае за окончательный результат принимают результат первоначального определения - 2,2%.
Пример 4. Содержание сорной примеси по результатам первоначального определения - 2,2%; по результатам контрольного определения - 3,4%; расхождение - 1,2%. При содержании сорной примеси 3,4% (исходя из результата контрольного определения) расхождение не должно превышать 1,0%. В этом случае за окончательный результат анализа принимают результат контрольного определения - 3,4%.
(справочное)
ПРИМЕР РАСЧЕТА СОДЕРЖАНИЯ МЕЛКОГО ЗЕРНА И КРУПНОСТИ ЯЧМЕНЯ
ПИВОВАРЕННОГО
После просеивания навески массой 50 г и выделения сорной и зерновой примесей получено основного зерна:
в сходе с сита 2,5 x 20 мм - 34,30 г;
в сходе с сита 2,2 x 20 мм - 10,85 г;
в проходе через сито 2,2 x 20 мм - 1,68 г.
Итого: 46,83 г.
Общее количество примесей - 3,17 г.
Крупность составит

или после округления 73,2%.
Содержание мелкого зерна составит

или после округления 3,6%.