Главная // Актуальные документы // ГОСТ Р (Государственный стандарт)СПРАВКА
Источник публикации
М.: Стандартинформ, 2019
Примечание к документу
Документ
введен в действие с 01.08.2020.
Название документа
"ГОСТ Р 58656-2019. Национальный стандарт Российской Федерации. Техника сельскохозяйственная мобильная. Методы определения воздействия движителей на почву"
(утв. и введен в действие Приказом Росстандарта от 30.10.2019 N 1129-ст)
"ГОСТ Р 58656-2019. Национальный стандарт Российской Федерации. Техника сельскохозяйственная мобильная. Методы определения воздействия движителей на почву"
(утв. и введен в действие Приказом Росстандарта от 30.10.2019 N 1129-ст)
Утвержден и введен в действие
по техническому регулированию
и метрологии
от 30 октября 2019 г. N 1129-ст
НАЦИОНАЛЬНЫЙ СТАНДАРТ РОССИЙСКОЙ ФЕДЕРАЦИИ
ТЕХНИКА СЕЛЬСКОХОЗЯЙСТВЕННАЯ МОБИЛЬНАЯ
МЕТОДЫ ОПРЕДЕЛЕНИЯ ВОЗДЕЙСТВИЯ ДВИЖИТЕЛЕЙ НА ПОЧВУ
Agricultural mobile machinery. Methods for determining force
produced by propelling agents on soil
ГОСТ Р 58656-2019
Дата введения
1 августа 2020 года
1 РАЗРАБОТАН Федеральным государственным бюджетным научным учреждением "Федеральный научный агроинженерный центр ВИМ" (ФГБНУ ФНАЦ ВИМ), Федеральным государственным бюджетным научным учреждением "Дальневосточный научно-исследовательский институт механизации и электрификации сельского хозяйства" (ФГБНУ ДальНИИМЭСХ)
2 ВНЕСЕН Техническим комитетом по стандартизации ТК 284 "Тракторы и машины сельскохозяйственные"
3 УТВЕРЖДЕН И ВВЕДЕН В ДЕЙСТВИЕ
Приказом Федерального агентства по техническому регулированию и метрологии от 30 октября 2019 г. N 1129-ст
4 ВВЕДЕН ВПЕРВЫЕ
Правила применения настоящего стандарта установлены в статье 26 Федерального закона от 29 июня 2015 г. N 162-ФЗ "О стандартизации в Российской Федерации". Информация об изменениях к настоящему стандарту публикуется в ежегодном (по состоянию на 1 января текущего года) информационном указателе "Национальные стандарты", а официальный текст изменений и поправок - в ежемесячном информационном указателе "Национальные стандарты". В случае пересмотра (замены) или отмены настоящего стандарта соответствующее уведомление будет опубликовано в ближайшем выпуске ежемесячного информационного указателя "Национальные стандарты". Соответствующая информация, уведомление и тексты размещаются также в информационной системе общего пользования - на официальном сайте Федерального агентства по техническому регулированию и метрологии в сети Интернет (www.gost.ru)
1.1 Настоящий стандарт распространяется на мобильную сельскохозяйственную технику - тракторы, комбайны, транспортные средства, сельскохозяйственные машины и другие виды техники, имеющие собственные движители, используемые на полях, лугах и пастбищах.
1.2 Стандарт устанавливает методы определения среднего и максимального нормального давления движителей на почву.
1.3 Стандарт не распространяется на технику, используемую на полевых дорогах и землях, непригодных для рекультивации.
В настоящем стандарте использованы нормативные ссылки на следующие стандарты:
ГОСТ OIML R 76-1 Государственная система обеспечения единства измерений. Весы неавтоматического действия. Часть 1. Метрологические и технические требования. Испытания
ГОСТ 7057 Тракторы сельскохозяйственные. Методы испытаний
ГОСТ 7463 Шины пневматические для тракторов и сельскохозяйственных машин. Технические условия
ГОСТ 7502 Рулетки измерительные металлические. Технические условия
ГОСТ 17697 Автомобили. Качение колеса. Термины и определения
ГОСТ 20915 Испытания сельскохозяйственной техники. Методы определения условий испытаний
ГОСТ 23734 Тракторы промышленные. Методы испытаний
ГОСТ 32774 Тракторы сельскохозяйственные и лесохозяйственные. Устройства тягово-сцепные. Общие технические требования и методы испытаний
ГОСТ Р 58655 Техника сельскохозяйственная мобильная. Нормы воздействия движителей на почву
Примечание - При пользовании настоящим стандартом целесообразно проверить действие ссылочных стандартов в информационной системе общего пользования - на официальном сайте Федерального агентства по техническому регулированию и метрологии в сети Интернет или по ежегодному информационному указателю "Национальные стандарты", который опубликован по состоянию на 1 января текущего года, и по выпускам ежемесячного информационного указателя "Национальные стандарты" за текущий год. Если заменен ссылочный стандарт, на который дана недатированная ссылка, то рекомендуется использовать действующую версию этого стандарта с учетом всех внесенных в данную версию изменений. Если заменен ссылочный стандарт, на который дана датированная ссылка, то рекомендуется использовать версию этого стандарта с указанным выше годом утверждения (принятия). Если после утверждения настоящего стандарта в ссылочный стандарт, на который дана датированная ссылка, внесено изменение, затрагивающее положение, на которое дана ссылка, то это положение рекомендуется применять без учета данного изменения. Если ссылочный стандарт отменен без замены, то положение, в котором дана ссылка на него, рекомендуется применять в части, не затрагивающей эту ссылку.
В настоящем стандарте применены следующие термины с соответствующими определениями:
3.1
влагоемкость почвы: Величина, количественно характеризующая водоудерживающую способность почвы. |
3.2 максимальное нормальное давление: Максимальное давление в контакте единичного колесного или единичного гусеничного движителя с опорным основанием, нормальное (перпендикулярное) к опорной поверхности движителя.
3.3 опорное основание: Объемный массив, по поверхности которого посредством единичных движителей, объединенных в ходовую систему (шасси, ходовой аппарат) перемещается мобильная техника.
3.4
контурная площадь контакта: Площадь, ограниченная внешней огибающей участков контакта, образованных наружными поверхностями выступов рисунка протектора с опорной поверхностью. [ГОСТ 17697-72, пункт 15]. |
4.1 Расстояние между осями колес, горизонтальные координаты осей опорных катков и направляющего колеса относительно оси ведущего колеса каждого единичного гусеничного движителя и вертикальные координаты осей крайних опорных катков относительно осей ведущего и направляющего колес, размер колеи по каждой оси колесного движителя и колеи гусеничного движителя, массу, создающую статическую нагрузку на почву единичным колесным и гусеничным движителем, продольную координату центра тяжести испытуемой техники определяют по
ГОСТ 23734.
4.2 Допускаемые погрешности измеряемых величин - по ГОСТ 7057.
4.3 Площадка, на которую устанавливают технику для определения ее линейных размеров, - по
приложению А настоящего стандарта.
4.4 Весовое устройство и площадка, на которой оно установлено, - по
ГОСТ 23734. Отклонение от плоскостности поверхностей весового устройства и площадки в пределах габарита по длине и ширине техники при ее установке на платформу весов и площадку одновременно не должно быть более 10 мм.
5 Методы определения воздействия движителей на почву
5.1 Метод определения максимального нормального давления колесного движителя на почву
5.1.1 Подготовка к измерениям
Комплектуют и полностью загружают технику в соответствии с видом выполняемых работ и инструкцией по эксплуатации. В шинах движителя устанавливают заданное давление согласно техническим характеристикам по
ГОСТ 7463.
Нагрузку на испытуемую технику, создаваемую массой агрегатируемой машины, находящейся в рабочем положении при ее наибольшей эксплуатационной массе, допускается имитировать дополнительным грузом.
5.1.2 Проведение измерения
5.1.2.1 Массу, приходящуюся на каждый единичный колесный движитель, создающий статическую нагрузку на почву, определяют на весах по
ГОСТ OIML R 76-1 при комплектации и загрузке техники (см.
5.1.1), при этом колеса должны быть расторможены и кинематически отсоединены от двигателя.
5.1.2.2 Колесную технику взвешивают в следующем порядке:
- после заезда на платформу весов:
- всех колес первой оси,
- всех колес второй оси и т.д. до последней оси;
- при съезде с платформы весов на площадку - всех колес осей в обратной последовательности.
В указанной последовательности технику устанавливают на платформу весов и взвешивают также колесами одной стороны, а затем другой стороны.
В каждом случае измерения следует повторить в обратном порядке, установив технику в противоположном направлении.
Массы, создающие нагрузку, допускается определять для каждого единичного движителя в отдельности взвешиванием на секционных весах при последующем взвешивании техники в целом.
5.1.2.3 Допускаемое расхождение результатов определения масс при установке техники на весы колесами одной и той же оси, а также между суммой составляющих и массой техники в целом не должно выходить за пределы погрешности, указанной в
п. 4.2.
5.1.2.4 Площадь контакта шины колеса с почвой (Fкп) в м2, приведенную к условиям работы на почвенном основании, вычисляют по формуле
Fкп = Fк·K1, (1)
где Fк - контурная площадь пятна контакта протектора шины, м2;
K1 - коэффициент приведения площади контакта протектора шины колеса на жестком, ровном опорном основании к условиям работы на почвенном основании, зависящий от диаметра шины колеса.
Значение
Fк определяется на жестком опорном основании в соответствии с
приложением А.
Значения
K1 принимаются в соответствии с
таблицей 1.
Наружный диаметр шины колеса определяют по
ГОСТ 7463.
Таблица 1
Коэффициент
K1, зависящий от наружного диаметра шины колеса
Наружный диаметр шины, мм | K1 |
До 600 включ. | 1,60 |
Св. 600 до 800 включ. | 1,40 |
Св. 800 до 1000 включ. | 1,30 |
Св. 1000 до 1200 включ. | 1,20 |
Св. 1200 до 1500 включ. | 1,15 |
Св. 1500 | 1,10 |
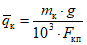
5.1.3 Расчет максимального нормального давления колесного движителя на почву
Максимальное нормальное давление колесного движителя на почву

вычисляют по формуле

, (2)
где

- среднее нормальное давление колесного движителя на почву, кПа;

, (3)
где mк - масса, создающая статическую нагрузку на почву единичным колесным движителем, кг;
g - ускорение свободного падения, м2/с;
K2 = 1,5 - коэффициент продольной неравномерности распределения давления по площади контакта шины.
Примечание - Для новых высокоэластичных шин K2 может быть уточнен при определении по методике, согласованной с представителями потребителя, заказчика и разработчика шин.
5.2 Экспериментально-расчетный метод оценки максимального нормального давления колесного движителя на почву с использованием универсальной характеристики шины
5.2.1 Сущность метода
В соответствии с предлагаемым методом рассматривается изменение максимального нормального давления на почву

в зависимости от контурной площади пятна контакта
Fк, размеры которого определяются вертикальной нагрузкой
Gк, и внутришинным давлением воздуха
pw.
5.2.2 Максимальное нормальное давление вычисляется по формуле

, (4)
где K2 = 1,5 - коэффициент продольной неравномерности распределения давления;
Gк - статическая вертикальная нагрузка на опорное основание от единичного колесного движителя, кН;
K1 - коэффициент, зависящий от наружного диаметра шины колеса;
Fк - контурная площадь пятна контакта протектора шины, м2.
Значение
Fк определяют на жестком опорном основании по
приложению А.
5.2.3 Основные параметры для расчета представлены на схеме деформации пневматической шины колеса при статических испытаниях на
рисунке Б.1 (приложение Б).
5.2.4 Связь для конкретной шины между нормальным прогибом шины f и контурной площадью пятна контакта Fк рассчитывается по формулам:

, (5)
где

,

,
где B и H - ширина и высота профиля шины, м;
D - наружный диаметр шины, м;
d - посадочный диаметр обода, м;
n - норма слойности.
5.2.5 Установить связь между статической вертикальной нагрузкой
Gк, нормальным прогибом шины
f и внутришинном давлении воздуха
pw позволяет универсальная характеристика шины, представленная
формулой (6)

(6)
где Gк - статическая вертикальная нагрузка на колесо, кН;

;

;
p0 [кПа] - постоянные для данной шины коэффициенты;
f - нормальный прогиб шины, м;
pw - внутреннее давление воздуха в шине, кПа.
5.2.6 При расчете постоянных коэффициентов C1, C2 и p0 универсальных характеристик рекомендуется использовать следующие соотношения:

; (7)

; (8)

(при
p0 < 0 в расчетах принимают
p0 = 0); (9)

; (10)

,
где n - норма слойности;
D, B - наружный диаметр и ширина профиля шины, м;
[f] - допустимый статический прогиб шины, м;

,

- внутреннее давление воздуха в шине, кПа, и соответствующая допустимая нагрузка, кН - по
ГОСТ 7463;
i = 1, 2, ..., N,
где
N - число ступеней нагрузки на шины по
ГОСТ 7463.
Значение [f] можно ориентировочно определить по формуле
[f] ~= D/2 - r0, (11)
5.2.7 Нормальный прогиб шины f рассчитывается по формуле

,
p0 > 0. (12)
5.2.8 Пример расчета максимального нормального давления при помощи универсальной характеристики шины приведен в
приложении В.
5.3 Метод определения максимального нормального давления гусеничного движителя на почву
5.3.1 Сущность метода
Метод заключается в определении осевой эпюры нормальных напряжений на глубине 0,2 м песчаного опорного основания, коэффициента продольной неравномерности их распределения и расчете максимального нормального давления гусеничного движителя на почву.
5.3.2 Аппаратура
Датчики давления типа М-70 с пределом измерений до 250 кПа.
Преобразователь сигналов тензорезисторных датчиков класса 1 и регистрирующий прибор, обеспечивающий общую погрешность измерений не более 3% от максимального значения градуировки.
Манометр образцовый типа МО-6 класса 0,35 с пределом измерений до 300 кПа.
5.3.3 Подготовка к измерениям
5.3.3.1 Готовят песчаное опорное основание в грунтовом котловане длиной не менее трех габаритов техники по ее длине, шириной не менее двух габаритов техники по ее ширине и глубиной не менее 0,6 м, используя рулетку по
ГОСТ 7502.
Влажность грунта в основании котлована в слое 0 - 10 см не более 0,5 НВ (НВ - наименьшая влагоемкость почвы).
Котлован заполняют песком с влажностью не более 3% (по массе), содержащим частицы размерами:
- от 0,06 до 1,5 мм - не менее 80%;
- от 0,002 до 0,06 мм - не более 10%;
- до 0,002 мм - не более 10%.
Песок в котловане укладывают слоями высотой 7 - 10 см и укатывают каждый слой колесной машиной, имеющей нагрузку на каждое колесо одной из осей не менее 25 кН. При укатывании устанавливают максимально допустимое давление воздуха в шинах.
5.3.3.2 В подготовленном песчаном опорном основании отрывают траншею глубиной (21 +/- 1) см и шириной не менее двойной ширины гусеницы на расстоянии не менее тройной ширины гусеницы испытываемой техники от каждого бокового края песчаного опорного основания.
На дно траншеи по ее продольной оси устанавливают не менее четырех датчиков давлений. Первый и последний датчики устанавливают на расстоянии не менее одного габарита техники соответственно от начала и конца песчаного опорного основания.
Расстояние между соседними датчиками давлений (lд) в метрах вычисляют по формуле
lд = K·tГ + 0,25·tГ, (13)
где tГ - шаг гусеницы, м;
K - одно из чисел натурального ряда (1, 2, 3, ...), которое выбирают при условии K tГ > 0,5 м.
Допускаемое отклонение фактического расстояния между датчиками от расчетного не должно превышать 0,1tГ.
5.3.3.3 Перед закладкой датчики давлений должны быть градуированы с использованием образцового манометра. При градуировке создают давление, равно распределенное по площади мембраны. В диапазоне градуировки должно быть не менее семи ступеней давлений. Градуируют каждый датчик не менее трех раз. После окончания измерений градуировку датчиков повторяют.
Градуировочные характеристики, полученные до и после измерений, аппроксимируют прямой с использованием метода наименьших квадратов. Среднее квадратическое отклонение точек, полученных на каждой ступени давлений, а также отклонение среднего значения этих точек от прямой не должно превышать 3% от заданного предела измерений.
5.3.3.4 Траншею с заложенными датчиками засыпают песком. Песок в траншее и в примыкающих к ней с каждой стороны зонах, равных расстоянию не менее ширины гусеницы, прикатывают движителем испытуемой техники при ее пятикратных проходах по одному следу в одном и другом направлениях. После прикатывания песок разравнивают и с помощью металлического щупа определяют расстояние от поверхности песка до поверхности мембраны каждого датчика, которое должно быть равно (0,2 +/- 0,02) м. Линию установки датчиков трассируют контрастным гибким шнуром.
5.3.3.5 Устанавливают заданное натяжение гусениц движителя, производят комплектацию и загрузку в соответствии с требованиями
п. 5.1.1.
5.3.4 Проведение измерений
5.3.4.1 Массу, создающую статическую нагрузку каждым или группой опорных катков, передаваемую гусеницей на почву, определяют взвешиванием на весах по
ГОСТ OIML R 76-1 при комплектации и загрузке техники
п. 5.1.1.
При взвешивании гусеницы должны быть расторможены, кинематически отсоединены от двигателя и ослаблены таким образом, чтобы обеспечивалась возможность их демонтажа.
Технику, имеющую упругую связь катков с остовом, взвешивают при заезде на платформу весов опорными катками каждой стороны последовательно первым катком, двумя, тремя и т.д. всеми катками, а затем при ее съезде с платформы на площадку в той же последовательности.
Технику с жестким креплением группы опорных катков на одной раме взвешивают при заезде на платформу весов опорными катками каждой стороны последовательно первой группой, двумя, тремя и т.д. всеми группами, а затем при ее съезде с платформы на площадку в той же последовательности.
В каждом случае измерения следует повторить в обратном порядке, установив технику в противоположном направлении, а также определить массу техники при ее установке на платформу всеми опорными катками.
Массы, создающие нагрузку, допускается определять для каждого опорного катка или группы жестко закрепленных опорных катков взвешиванием на секционных весах по
ГОСТ OIML R 76-1 при последующем взвешивании техники в целом. Отклонение от плоскостности поверхностей площадок секционных весов не должно превышать 5 мм. Отклонение от плоскостности определяют с помощью набора щупов.
5.3.4.2 Допускаемое расхождение результатов определения масс при установке техники на весы катками одной и той же гусеницы, а также между суммой составляющих и массой техники в целом не должно превышать 5%.
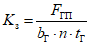
5.3.4.3 Площадь контакта гусеницы с почвой (FГ) в м2 вычисляют по формуле
FГ = lГ·bГ·Kз, (14)
где bГ - ширина гусеницы, измеренная по внешним ее кромкам, м;
lГ - приведенная к условиям работы на почвенном основании длина опорной поверхности гусеницы, м;
lГ = lус + tГ, (15)
где lус - условная длина участка гусеницы, находящегося в контакте с опорным основанием, м;
lус = l1 + l2 + l3, (16)
где l1 - проекция на опорную площадку межцентрового расстояния между ведущим колесом и задним опорным катком (при наклоне ветви гусеницы между ними к опорной площадке более 2° l1 принимают равной нулю), м;
l2 - проекция на опорную площадку межцентрового расстояния между крайними опорными катками, м;
l3 - проекция на опорную площадку межцентрового расстояния между направляющим колесом и передним опорным катком (при наклоне ветви гусеницы между ними к опорной площадке более 5° l3 принимают равной нулю), м.
При l1 = 0 и l3 = 0 lус принимают равной l2 плюс шаг гусеницы.
tГ - шаг гусеницы, м;
Kз - коэффициент заполнения проекции контакта гусеницы с почвой;

(17)
где FГП - площадь проекции участка гусеницы, включающего n полных шагов, на опорную площадку, м2 (допускается определять по технической документации, представляемой заводом изготовителем вместе с испытуемой техникой);
n >= 3 - количество полных шагов на учетном участке гусеницы, шт.
5.3.4.4 Осевую эпюру напряжений определяют при проходе одной гусеницы испытуемой техники по участку с установленными датчиками со скоростью 0,7 - 1,5 м/с так, чтобы продольная ось следа гусеницы совпала с продольной осью установки датчиков. Отклонение указанных осей друг от друга не должно превышать 0,15 ширины гусеницы. Фиксацию показаний начинают при расстоянии между первым опорным катком движителя и первым датчиком не менее 1 м и заканчивают ее после прохода последнего датчика в момент, когда расстояние между ними и последним опорным катком будет не менее 1 м.
5.3.4.5 Одной и той же гусеницей делают повторно в одном направлении не менее пяти учетных проходов, выполненных с соблюдение требований
пп. 5.3.3.4. и
5.3.4.4.
5.3.4.6 Измерения проводят при не менее, чем трех перезакладах датчиков, выполняемых как указано в
пп. 5.3.3.2. и
5.3.3.4. Количество проходов техники при каждой закладке - по
п. 5.3.4.5.
5.3.5 Расчет максимального нормального давления гусеничного движителя на почву
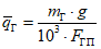
Максимальное нормальное давление гусеничного движителя на почву (qг) в килопаскалях вычисляют по формуле

, (18)
где

- средний коэффициент неравномерности распределения напряжений;
K4 - коэффициент, зависящий от величины тяговой загрузки и определяемый в соответствии с
приложением Г;

- среднее нормальное давление гусеничного движителя на почву, кПа;

, (19)
где mГ - масса, создающая статическую нагрузку на почву единичным гусеничным движителем, кг;
g - ускорение свободного падения, м/с2;
FГП - площадь контакта гусеницы с почвой, м2.
5.3.5.1 Средний коэффициент неравномерности распределения напряжений

вычисляют по формуле

(20)
где

- коэффициент неравномерности распределения напряжений
i-й эпюры;
hmi - максимальное значений i-й эпюры напряжений, мм;
hср.i = Si/li - среднее значение i-й эпюры напряжений, мм;
Si - площадь i-й эпюры напряжений, мм2;
li - длина i-й эпюры напряжений, мм;
i - номер эпюры напряжений;
n - количество эпюр напряжений, определенных всеми датчиками при всех учетных проходах гусеницы.
Значения Si, li и hmi определяют по графическим изображениям эпюр напряжений.
Ошибку среднего значения коэффициента неравномерности распределения напряжений

вычисляют по формуле

(21)
Относительную ошибку среднего значения коэффициента неравномерности распределения напряжений

в процентах вычисляют по формуле

. (22)
Доверительные границы коэффициента неравномерности распределения напряжений

определяют по выражению

, (23)
где t - критерий Стьюдента для двухсторонней оценки коэффициента неравномерности распределения напряжений на уровне значимости 0,05.
При

определение величины

повторяют, увеличив количество учетных проходов гусеницы.
5.3.5.2 Поправочный коэффициент (K4) вычисляют по формуле

, (24)
где Rmp, Rmo - максимальные нагрузки на опорный каток при тяговом усилии (Pкр), в кН, равном соответственно номинальному тяговому усилию (Pкр = Pкр.н.) и 0 (Pкр = 0).
Для выявления значений Rmp и Rmo определяют нагрузки на крайние (первый и последний) опорные катки.
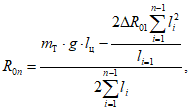
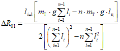
При Pкр = 0 нагрузку на первый (R01) и последний (R0n) опорные катки в кН вычисляют по формулам:

, (25)
где


,
где li - расстояние от оси последнего опорного катка (середины балансирной тележки) до оси i-го опорного катка (середины балансирных тележек), li=1 = l1, м;
lц - горизонтальное расстояние от оси последнего опорного катка до центра тяжести техники, м;
mТ - масса техники, создающая статическую нагрузку на почву движителем, кг;
i = 1, 2, 3, ... n - порядковый номер опорных катков (балансирных тележек) единичного гусеничного движителя;
n - количество опорных катков.
При Pкр = Pкр.н. нагрузку на первый Rp1 и последний Rpn опорные катки вычисляют по формулам:

, (26)
где

где hкр. - вертикальное расстояние от опорной поверхности гусеницы до точки прицепа, м, определяемое по ГОСТ 32774 для прицепных машин.
Из двух полученных значений R01 и последний R0n наибольшее приравнивают Rmo и соответственно из двух значений Rp1 и Rpn наибольшее приравнивают Rmp.
Пример определения коэффициента
K4 приведен в справочном
приложении Г.
Примечание - С разработкой новых полимерно-композитных материалов конструкции гусеничных и полугусеничных движителей вместо металлических гусениц применяются резиноармированные <*>.
--------------------------------
<*> Для снижения вибрационного воздействия на оператора, появления возможности асфальтоходности, уменьшения истирания и фрезерования почвы гусеничными движителями, уменьшения металлоемкости целесообразно применение полимерно-композитных гусениц.
6 Требования безопасности
6.1 При определении контурной площади пятна контакта шины, установленной на объекте, его необходимо надежно зафиксировать так, чтобы при подъеме и опускании колеса отсутствовали смещения, при которых возможно нарушение силовой связи грузоподъемного устройства и вертикально перемещаемой части объекта. Эти испытания должны проводить не менее двух человек.
(рекомендуемое)
ОПРЕДЕЛЕНИЕ КОНТУРНОЙ ПЛОЩАДИ ПЯТНА КОНТАКТА ПРОТЕКТОРА
ШИНЫ ТРАКТОРА
А.1 Трактор при его измерениях должен быть установлен на площадке с бетонным основанием или покрытием, не уступающим ему по плотности.
Отклонение от плоскостности поверхности площадки в пределах габаритов машины не должно быть более 5 мм. Отклонение от горизонтального положения плоскости, прилегающей к поверхности площадки, в тех же габаритах не должно быть более 2°.
А.2 Измерения следует проводить не ранее чем через 15 мин после накачки шин. Погрешность манометра при измерениях давления в шинах по абсолютной величине не должна быть более 5%. Давления в шинах одной и той же оси, если нет особых указаний в инструкции по эксплуатации, не должны отличаться более чем на указанную погрешность.
А.3 Положение колес должно соответствовать прямолинейному движению трактора.
А.4 Отпечаток контурной площади (по ГОСТ 17697) ведущего колеса должен быть получен при многократном его опускании (до полного заполнения отпечатка) домкратом и отсутствии смещения трактора в горизонтальной плоскости в опущенном положении. При этом после каждого опускания колесо поворачивают на угол, соответствующий ширине выступа протектора.
А.5 Нанесение красящего вещества на выступы протектора должно обеспечивать наличие четкого отпечатка без подтеков.
А.6 Контур отпечатка протектора колеса определяют очерчиванием отпечатка плавной кривой, охватывающей выступы.
А.7 Значение контурной площади протектора колеса определяют путем фотографирования отпечатка цифровой камерой с наложенной на него масштабной квадратной фигурой площадью 0,01 м2. Полученный снимок обрабатывают с помощью компьютерных программ для автоматического проектирования, в которых имеется командная опция: "измерения; определение площади произвольной фигуры".
(справочное)
СХЕМА ДЕФОРМАЦИИ ПНЕВМАТИЧЕСКОЙ ШИНЫ КОЛЕСА ПРИ СТАТИЧЕСКИХ
ИСПЫТАНИЯХ
f - нормальный прогиб шины, м;
D - наружный диаметр шины, м;
d - посадочный диаметр обода, м;
bк - ширина пятна контакта, м;
aк - длина пятна контакта, м;
Fк - контурная площадь контакта, м2;

- максимальное нормальное давление, кПа;
Gк - статическая вертикальная нагрузка на колесо, кН.
(рекомендуемое)
ПРИМЕР РАСЧЕТА МАКСИМАЛЬНОГО НОРМАЛЬНОГО ДАВЛЕНИЯ ПРИ ПОМОЩИ
УНИВЕРСАЛЬНОЙ ХАРАКТЕРИСТИКИ ШИНЫ
Таблица В.1
Исходные данные по трактору тягового класса 1,4 для расчета
максимального нормального давления ("Беларус 82.1")
Наименование показателя, обозначения | Размерность | Значения показателя |
Масса трактора эксплуатационная | кг | 4000,0 |
Размер задней шины | | 15,5R38 | 16,9R38 |
Вертикальная нагрузка на заднюю шину, Gк | кН | 15,0 |
Внутреннее давление воздуха (в задней шине), pw | кПа | 150,0 |
Посадочный диаметр обода, d | м | 0,965 | 0,965 |
Наружный диаметр, D | м | 1,570 | 1,675 |
Ширина профиля, B | м | 0,394 | 0,429 |
Высота профиля, H | м | 0,303 | 0,355 |
Норма слойности, n | | 8 | 8 |
Статический радиус, r0 | м | 0,730 | 0,750 <*> |
Допустимый статический прогиб, [f] | м | 0,055 | 0,088 |
Примечание - r0 = 0,750 м - принят условно для демонстрации возможности согласования с помощью предлагаемого метода уровня воздействия движителей на почву с требованиями ГОСТ Р 58655. |
Нормы нагрузок и давление в шинах 15,5R38 и 16,9R38
(таблица В.2), позволяют представить наглядно совмещение нагрузки шин с исходным рабочим режимом
Gк = 15 кН при
pw = 150 кПа
(рисунок В.1).
Таблица В.2
Нормы нагрузок и давлений в шинах для выбора режима работы
шин при различных условиях эксплуатации
Размер шины | Норма слойности | Нагрузка на шину, кН при скорости до 30 км/ч, при давлении, кПа |
60 | 70 | 80 | 90 | 100 | 110 | 120 | 130 | 140 | 150 | 160 |
15,5R38 | 8 | | | 13,92 | 14,90 | 15,88 | 16,81 | 17,74 | 18,38 | 19,36 | 20,14 | 20,78 |
16,9R38 | 8 | 12,74 | 14,70 | 16,66 | 17,74 | 18,82 | 19,29 | 20,97 | 22,00 | 23,08 | 24,16 | 25,24 |

- нагрузочная характеристика шины 15,5R38;

- нагрузочная характеристика шины 16,9R38;

- исходный режим
Gк = 15 кН,
pw = 150 кПа
Рисунок В.1 - Совмещение нагрузочной характеристики шин
с исходным рабочим режимом
Таблица В.3
Универсальная характеристика шин 15,5R38 (точки

и

)
и 16,9R38 (точки

и

)
Показатель | Порядок числа, размерность | Тип шины |
15,5R38 | 16,9R38 |
| | | |
| | 1,45 | 2,03 | 1,8 | 2,57 |
| | 2,60 | 3,88 | 3,23 | 4,86 |

- универсальная характеристика шины 15,5R38;

- универсальная характеристика шины 16,9R38;

- исходный режим
Gк = 15 кН,
pw = 150 кПа для шины 15,5R38;

- исходный режим
Gк = 15 кН,
pw = 150 кПа для шины 16,9R38;

- универсальная характеристика шины 15,5R38;

- универсальная характеристика шины 16,9R38;

- исходный режим
Gк = 15 кН,
pw = 150 кПа для шины 15,5R38;

- исходный режим
Gк = 15 кН,
pw = 150 кПа для шины 16,9R38;

- линейная (универсальная характеристика шины 15,5R38);

- линейная (универсальная характеристика шины 16,9R38);

- линейная (универсальная характеристика шины 16,9R38)
Рисунок В.2 - Универсальные характеристики шин 15,5R38
и 16,9R38
Значения постоянных коэффициентов для определения нормального прогиба шин
f по
формуле (12) и максимального нормального давления

с учетом
формулы (6) представлены в
таблице В.4.
Таблица В.4
Значения постоянных коэффициентов для определения
нормального прогиба шин f(12) и максимального нормального
Наименование показателя | Размерность | Размер шины |
15,5R38 | 16,9R38 |
C1 | | 0,259 | -0,077 |
C2 | | 0,455 | 0,721 |
p0 | кПа | 51,65 | 48,95 |
C3 | - | 1,655 | 1,666 |
K1 | - | 1,1 | 1,1 |
Постоянные коэффициенты, представленные в
таблице В.4, позволяют в соответствии с предложенной структурой номограммы произвести расчетное определение нормального прогиба шин
f и соответствующих значений максимального нормального давления

(
таблица В.5,
рисунок В.3).
Таблица В.5
Изменения нормального прогиба шин
f и максимального
нормального давления

в зависимости от внутреннего
давления воздуха pw в шинах 15,5R38 и 16,9R38 при постоянной
вертикальной нагрузке Gк = 15 кН
Показатель | Размерность | Внутреннее давление воздуха |
pw | кПа | 150 | 140 | 130 | 120 | 110 | 100 |
15,5R38 |
f | м | 0,0429 | 0,0444 | 0,046 | 0,0479 | 0,050 | 0,0524 |
| кПа | 206,89 | 200,43 | 193,67 | 186,59 | 179,19 | 171,45 |
16,9R38 |
f | м | 0,0521 | 0,0551 | 0,0584 | 0,0621 | 0,0663 | 0,0709 |
| кПа | 155,24 | 147,32 | 139,51 | 131,79 | 124,17 | 116,63 |

- прогиб шины 15,5R38;

- прогиб шины 16,9R38;

- максимальное нормальное давление на почву под шиной 15,5R38;

- максимальное нормальное давление на почву под шиной 16,9R38
Рисунок В.3 - Зависимость изменения максимального
нормального давления

и нормального прогиба шины
f
от внутришинного давления pw в шинах 15,5R38 и 16,9R38
при постоянной вертикальной нагрузке Gк = 15 кН
Проведенные расчеты показывают, что изменение внутреннего давления воздуха с
pw = 150 кПа до
pw = 100 кПа позволяет для шины 15,5R38 уменьшить максимальное нормальное давление

на 35,44 кПа (17,1%) с 206,89 кПа до 171,45 кПа, что соответствует допустимому уровню давления на почву при влажности почвы в слое 0 - 30 см 0,5 НВ и менее в весенний период и влажности 0,5 НВ - 0,6 НВ в летне-осенний период.
В случае применения шины 16,9R38 максимальное нормальное давление уменьшается с

до

, то есть на 24,9%, причем допустимые нормы соответственно смещаются из диапазона влажности почвы 0,5 НВ и менее в летне-осенний период в диапазон до 0,6 НВ.
Универсальная характеристика шины
(6), для наглядности и удобства использования в хозяйственных условиях, может быть представлена в виде номограммы, состоящей из трех квадрантов, на
рисунке В.4.
В квадранте I располагается семейство зависимостей
f =
f(
Gк,
pw), рассчитанных для конкретной шины, исходя из
формулы (12):

,
p0 > 0.
С уменьшением давления pw крутизна зависимостей нормального прогиба шин f от вертикальной нагрузки Gк возрастает.
В квадранте II располагается одна кривая, представляющая связь для данной шины между нормальным прогибом шин
f (ось ординат) и контурной площадью контакта
Fк, рассчитанной по
формуле (5)

,
где

;

;
где D, B - наружный диаметр и ширина профиля шины, м;
d - посадочный диаметр обода, м;
H - высота профиля шины, м;
n - норма слойности.
В квадранте III представлено семейство гипербол, описывающих изменение максимального нормального давления на почву

в зависимости от контурной площади
Fк и нормальной нагрузки на колесо
Gк по
формуле (4):

,
где K2 = 1,5 - коэффициент продольной неравномерности распределения давления;
K1 - коэффициент приведения площади контакта протектора шины колеса к условиям работы на почвенном основании, зависящий от диаметра шины колеса.
Чем меньше нагрузка Gк, тем ближе проходит гипербола к центру координат 0.
Рисунок В.4 - Номограмма для определения влияния внутреннего
давления воздуха в шине pw и вертикальной нагрузки Gк
на максимальное нормальное давление

В соответствии с универсальной характеристикой шины
(6) представленная номограмма позволяет наглядно рассматривать влияние нагрузки и внутреннего давления воздуха в шине на величину максимального нормального давления.
Так при постоянной нагрузке
Gк2 снижение внутреннего давления воздуха в шине от
pw1 до
pw3 позволяет уменьшить максимальное давление на почву от

(см. линия

) до

(см. линия

).
При постоянном внутреннем давлении воздуха
pw2 увеличение вертикальной нагрузки от
Gк1 (см. линия

) до
Gк3 (см. линия

) максимальное нормальное давление увеличивается от

до

(индексы при максимальном давлении: первая цифра - уровень вертикальной нагрузки (1 =
Gк1; 2 =
Gк2; 3 =
Gк3), вторая цифра - уровень внутреннего давления воздуха в шинах (1 =
pw1; 2 =
pw2; 3 =
pw3).
(справочное)
ОПРЕДЕЛЕНИЕ ПОПРАВОЧНОГО КОЭФФИЦИЕНТА K4
Пример 1.
В результате расчета получено:
при Pкр = 0
R01 = 8,0 кН и R0n = 7,1 кН;
при Pкр.н. = 30 кН
Rp1 = 6,2 кН и Rpn = 8,8 кН
Так как R01 > R0n, то Rmo = R01 = 8,0 кН,
а Rpn > Rp1, то Rmp = Rpn = 8,8 кН
K4 = Rmp/Rmo = 8,8/8,0 = 1,1
Пример 2.
В результате расчета получено:
при Pкр = 0
R01 = 12,5 кН и R0n = 7,4 кН;
при Pкр.н. = 30 кН
Rp1 = 10,0 кН и Rpn = 9,9 кН
Так как R01 > R0n, то Rmo = R01 = 12,5 кН,
а Rp1 > Rpn, то Rmp = Rp1 = 10 кН
K4 = Rmp/Rmo = 10/12,5 = 0,8
УДК 631.372:631.431.73:006.354 | | |
Ключевые слова: сельское хозяйство, мобильная техника, испытания, метод определения давления на почву |