Главная // Актуальные документы // ГОСТ (Государственный стандарт)СПРАВКА
Источник публикации
М.: ИПК Издательство стандартов, 1999
Примечание к документу
С 01.07.2003 до вступления в силу технических регламентов акты федеральных органов исполнительной власти в сфере технического регулирования носят рекомендательный характер и подлежат обязательному исполнению только в части, соответствующей целям, указанным в
п. 1 ст. 46 Федерального закона от 27.12.2002 N 184-ФЗ.
Текст документа приведен с учетом
поправки, опубликованной в "ИУС", N 11, 1983.
Документ
введен в действие с 01.07.1983.
Взамен ГОСТ 12041-66, кроме части семян сахарной свеклы.
Название документа
"ГОСТ 12041-82. Межгосударственный стандарт. Семена сельскохозяйственных культур. Метод определения влажности"
(утв. и введен в действие Постановлением Госстандарта СССР от 17.05.1982 N 1950)
(ред. от 01.12.1987)
"ГОСТ 12041-82. Межгосударственный стандарт. Семена сельскохозяйственных культур. Метод определения влажности"
(утв. и введен в действие Постановлением Госстандарта СССР от 17.05.1982 N 1950)
(ред. от 01.12.1987)
Утвержден и введен в действие
Постановлением Государственного
комитета СССР по стандартам
от 17 мая 1982 г. N 1950
МЕЖГОСУДАРСТВЕННЫЙ СТАНДАРТ
СЕМЕНА СЕЛЬСКОХОЗЯЙСТВЕННЫХ КУЛЬТУР
МЕТОД ОПРЕДЕЛЕНИЯ ВЛАЖНОСТИ
Seed of farm crops.
Method for determination of moisture content
ГОСТ 12041-82
| | Список изменяющих документов (в ред. Изменения N 1, утв. в декабре 1987 г.) | |
Дата введения
1 июля 1983 года
1. Разработан и внесен Государственным агропромышленным комитетом СССР.
Разработчики: А.М. Фоканов, В.Г. Шмидт, А.Ф. Путинцев, Е.В. Мезенцева, В.И. Романенко, В.Д. Майорова, И.И. Дьячкин, А.С. Яковок, Н.С. Слободяник, Ф. Саидбурханов, Т.М. Мельникова.
2. Утвержден и введен в действие Постановлением Государственного комитета СССР по стандартам от 17.05.1982 N 1950.
3. Взамен ГОСТ 12041-66, кроме части семян сахарной свеклы.
4. Ссылочные нормативно-технические документы
Обозначение НТД, на который дана ссылка | Номер пункта |
| |
| |
| |
|
|
ГОСТ 24104-88 | |
| |
5. Ограничение срока действия снято по Протоколу N 2-92 Межгосударственного совета по стандартизации, метрологии и сертификации (ИУС 2-93).
6. Переиздание (февраль 1999 г.) с Изменением N 1, утвержденным в декабре 1987 г. (ИУС 2-88).
Настоящий стандарт распространяется на семена сельскохозяйственных культур и устанавливает воздушно-тепловой метод определения влажности.
Воздушно-тепловой метод основан на определении потери влаги семенами при высушивании.
Стандарт не распространяется на семена сахарной свеклы, хлопчатника и цветочных культур.
2. АППАРАТУРА, МАТЕРИАЛЫ И РЕАКТИВЫ
2.1. Для проведения анализа применяют:
шкаф сушильный электрический с вентиляцией, позволяющий поддерживать в рабочей камере температуру от 100 до 150 °C с погрешностью +/- 2 °C;
влагомер электрический с погрешностью измерения, %, абсолютной влажности:
при влажности в диапазоне до 18% - +/- 1,5;
при влажности в диапазоне свыше 18% - +/- 2,0;
весы лабораторные не ниже 3-го класса точности с наибольшим пределом взвешивания 500 г по ГОСТ 24104;
мельницу лабораторную электрическую с числом оборотов ножа не менее 8000 в минуту;
секундомер;
часы сигнальные;
стеклянные стаканчики с притертыми крышками;
бюксы сетчатые с сетчатыми крышками для подсушивания семян;
бюксы алюминиевые с крышками для высушивания семян;
щипцы тигельные;
аппарат для ускоренного охлаждения семян типа АУО (охладитель);
плиту из нержавеющего металла размером ориентировочно 300 x 400 x 10 мм для охлаждения бюкс с навесками семян;
совок;
ложечку;
вазелин технический;
кальций хлористый.
(Измененная редакция, Изм. N 1).
3.1. Определение влажности проводят не позднее 2 сут с момента поступления образца.
3.2. В зимнее время охлажденную пробу семян перед анализом выдерживают при комнатной температуре не менее 2 ч.
(Измененная редакция, Изм. N 1).
3.3. Сушильный шкаф включают в электросеть и разогревают до требуемой температуры.
3.4. На дно эксикатора помещают обезвоженный хлористый кальций, который не реже одного раза в месяц прокаливают или заменяют новым. Пришлифованные края эксикатора смазывают тонким слоем вазелина.
3.5. Стеклянные стаканчики и бюксы нумеруют, а алюминиевые бюксы, кроме того, взвешивают вместе с крышками до сотых долей грамма.
4.1. Из средней пробы, предназначенной для определения влажности и зараженности амбарными вредителями, после тщательного ее перемешивания путем встряхивания сосуда отбирают от крупносеменных культур 45 - 50 г семян, от мелкосеменных - 23 - 25 г, за исключением культур, масса средней пробы которых допускается 50 г и менее.
Примечание. Отнесение культур к крупносеменным и мелкосеменным проводят в соответствии с
ГОСТ 12037.
4.2. Взятые из средней пробы семена делят на две примерно равные части: одну часть используют для анализа, другую помещают в стеклянный стаканчик с притертой крышкой и сохраняют до конца анализа на случай повторного определения влажности.
4.3. Семена нижеперечисленных культур, предназначенные для анализа, размалывают на электрической лабораторной мельнице в течение времени, указанного в табл. 1.
Таблица 1
Наименование культуры | Время размола, с |
1. Гречиха, просо, сорго | 20 |
2. Пшеница, полба, рожь, тритикале, рис, вика, люпин многолистный, эспарцет, долихос, маш, чечевица, клещевина, арахис обрушенный | 40 |
3. Кукуруза, ячмень, овес, горох, фасоль, нут, чина, бобы, люпин однолетний, соя | 60 |
4. Ноготки лекарственные, ревень дланевидный (тангутский) | 10 |
5. Алтей лекарственный, астрагал шерстистоцветковый, кассия остролистная, стальник полевой | 20 |
Примечания:
1. Семена клещевины, арахиса обрушенного и люпина однолетнего размалывают после предварительного подсушивания.
2. Семена бахчевых культур допускается перед высушиванием разрезать на 5 - 8 частей.
4.1 - 4.3. (Измененная редакция, Изм. N 1).
4.4. Измельченную массу семян переносят в стеклянный стаканчик и перемешивают ложечкой (3 - 5 с).
4.5. Из измельченных или целых семян, для которых измельчение не предусмотрено, отвешивают в алюминиевые бюксы две навески массой по 5,00 г каждая. Для культур, масса средней пробы которых 50 г и менее, навески выделяют непосредственно из средней пробы.
4.6. Бюксы с навесками семян ставят на крышки и помещают в разогретый до требуемой температуры сушильный шкаф в один ряд на каждой полке.
Высушивание проводят в соответствии с режимами, указанными в табл. 2.
Таблица 2
Наименование культуры | Температура высушивания, °C | Время высушивания, мин |
1. Пшеница, рожь, тритикале, ячмень, овес, гречиха, горох, вика | 150 | 20 |
2. Зерновые и зернобобовые (кроме указанных в подпункте 1), люпин, эспарцет, подсолнечник, арахис, клещевина, соя | 130 | 40 |
3. Овощные (кроме гороха, фасоли и бобов), бахчевые, кормовые травы и корнеплоды, медоносные травы, лен, конопля, горчица, кенаф | 130 | 60 |
4. Табак, махорка | 130 | 20 |
| 105 | 300 |
6. Лекарственные | | |
а) датиска коноплевая, наперстянка красная, тимьян обыкновенный | 130 | 20 |
б) белена черная, красавка (белладонна), желтушник раскидистый, кассия остролистная, мачок желтый, паслен дольчатый, пиретрум цинерариелистный (ромашка далматская) | 130 | 40 |
в) алтей лекарственный, амми большая, астрагал шерстистоцветковый, валериана лекарственная, дурман обыкновенный, зверобой продырявленный, катарантус розовый, левзея сафлоровидная, ноготки лекарственные, подорожник блошный, подорожник большой, пустырник сердечный (пятилопастной), расторопша пятнистая, ревень дланевидный (тангутский), ромашка ободранная (аптечная), синюха голубая, стальник полевой, череда трехраздельная | 130 | 60 |
г) виснага морковевидная (амми зубная), бессмертник песчаный, горец почечуйный, девясил высокий, дурман индейский, марена красильная, наперстянка шерстистая, шалфей лекарственный | 130 | 80 |
Примечание. Семена табака и махорки с влажностью выше 12% высушивают в течение 30 мин.
Время высушивания отсчитывают с момента восстановления заданной температуры после загрузки шкафа.
4.5, 4.6. (Измененная редакция, Изм. N 1).
4.7. По окончании установленного времени высушивания бюксы с навесками вынимают из сушильного шкафа тигельными щипцами, закрывают крышками и ставят для охлаждения на 8 - 10 мин на металлическую плиту или на 15 - 20 мин в эксикатор. После охлаждения (но не позже чем через 30 мин) бюксы взвешивают вместе с крышками до сотых долей грамма.
4.8. Определение влажности семян с предварительным подсушиванием
4.8.1. Для семян подсолнечника, зерновых и зернобобовых культур с влажностью более 18%, сои более 16%, а люпина однолетнего, клещевины и арахиса обрушенного при любой исходной влажности применяют двухступенчатую сушку, включающую предварительное и основное высушивание. Необходимость предварительного подсушивания семян устанавливают, определяя влажность электрическим влагомером.
4.8.2. Из отобранных в соответствии с
пп. 4.1 и
4.2 семян отвешивают 20 г, помещают их в сетчатую бюксу, закрывают сетчатой крышкой и подсушивают в соответствии с требованиями, указанными в табл. 3.
Таблица 3
Наименование культуры | Температура подсушивания, °C | Время подсушивания, мин |
1. Пшеница, рожь, тритикале, ячмень, овес, гречиха, вика | 120 | 15 |
2. Зерновые и зернобобовые (кроме перечисленных в подпункте 1), люпин однолетний, соя, клещевина, арахис обрушенный, подсолнечник | 105 | 30 |
4.8.3. Подсушенные семена после охлаждения в течение 5 мин на охладителе или в течение 10 - 15 мин на металлической плите пересыпают в чашку весов и взвешивают до сотых долей грамма, а затем размалывают, как указано в
п. 4.3.
4.8.4. Из семян отвешивают в алюминиевые бюксы две навески массой по 5,00 г и анализ проводят, как указано в
пп. 4.6 и
4.7.
4.9. Определение влажности необрушенных семян арахиса
4.9.1. Для определения влажности необрушенного арахиса из отобранных по
пп. 4.1 и
4.2 семян отвешивают 11 - 12 г, снимают с них плодовые оболочки и размалывают, а каждое семя разрезают на 8 - 12 частей. Из смеси измельченных семян и плодовых оболочек отвешивают в алюминиевые бюксы две навески массой по 5,00 г каждая и анализ проводят, как указано в
пп. 4.6 и
4.7.
4.10. Определение влажности стержней початков кукурузы
4.10.1. При необходимости определения влажности стержней початков кукурузы из средней пробы стержней отбирают после перемешивания 20 - 25 г кусочков и разрезают их на мелкие части. Далее анализ проводят как указано в
пп. 4.5 -
4.7.
(Измененная редакция, Изм. N 1).
4.11. Для ориентировочного определения влажности семян, а также при технологическом контроле влажности в процессе уборки, послеуборочной обработки и хранения семян допустимо применение электрических влагомеров в соответствии с инструкцией по их использованию.
5.1. По результатам взвешиваний каждой навески до и после высушивания определяют потерю влаги семенами, которую вычисляют в процентах.
5.2. Влажность семян при одноступенчатом высушивании (W1) в процентах вычисляют по каждой навеске по формуле
где m1 - масса навески, равная 5,00 г;
m2 - масса 5-граммовой навески после высушивания, г.
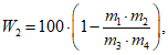
5.3. Влажность семян при двухступенчатом высушивании (W2) в процентах вычисляют по каждой навеске по формуле
где m1 - масса 20-граммовой навески после подсушивания, г;
m2 - масса 5-граммовой навески после высушивания, г;
m3 - масса навески, равная 20,00 г;
m4 - масса навески, равная 5,00 г.
Пример. После предварительного подсушивания 20-граммовой навески ее масса составила 18,36 г. При повторном высушивании 5-граммовой навески ее масса составила 4,28 г. Подставив эти данные в формулу, получим
Так же определяют влажность второй 5-граммовой навески.
Результаты вычисляют с точностью до второго десятичного знака.
(Измененная редакция, Изм. N 1).
5.4. Расхождения между результатами двух параллельных определений влажности не должны превышать: для семян, размалываемых перед высушиванием, - 0,2%; для семян, высушиваемых целыми или разрезанными, - 0,4%. При расхождении результатов на

величину анализ повторяют. Если при повторном определении расхождение между результатами находится в пределах допускаемого, влажность семян устанавливают по результатам повторного определения.
5.5. За результат определения влажности пробы семян принимают среднее арифметическое значение влажности двух навесок, а в случае расхождения выше допускаемого при повторном определении - среднее арифметическое двух определений, т.е. 4 навесок, округленное до десятых долей процента.
(Измененная редакция, Изм. N 1).
5.6. Правила округления полученных результатов
Если цифра, следующая за установленным пределом точности, больше 5, то предшествующую цифру увеличивают на единицу; если же цифра меньше 5, ее отбрасывают; если цифра равна 5, то предшествующую цифру увеличивают на единицу, если она нечетная, и оставляют без изменений, если она четная или нуль.
5.7. Результаты всех взвешиваний и расчеты заносят в рабочий бланк по форме, указанной в Приложении.
Рекомендуемое
Форма записи результатов определения влажности семян
Номер сетчатой бюксы | Масса 20-граммовой навески после подсушивания, г | Номер алюминиевой бюксы с крышкой | Масса алюминиевой бюксы с крышкой, г | Масса алюминиевой бюксы с крышкой и 5-граммовой навеской, г | Масса 5-граммовой навески после высушивания, г | Влажность, % |
до высушивания | после высушивания | навесок | средняя |
| | | | | | | | |
.................................................................................................. |
.................................................................................................. |
Примечание. При использовании электровлагомера заполняют только две последние графы.