Главная // Актуальные документы // Рекомендация / РекомендацииСПРАВКА
Источник публикации
М.: ЦНИИКС им. В.А. Кучеренко, 1989
Примечание к документу
Название документа
"Рекомендации по проектированию, изготовлению и применению изделий и конструкций из бетона на гипсоцементнопуццолановых вяжущих"
(утв. ЦНИИСК им. В.А. Кучеренко Госстроя СССР 23.03.1989)
"Рекомендации по проектированию, изготовлению и применению изделий и конструкций из бетона на гипсоцементнопуццолановых вяжущих"
(утв. ЦНИИСК им. В.А. Кучеренко Госстроя СССР 23.03.1989)
Директором ЦНИИСК
им. В.А. Кучеренко
23 марта 1989 года
РЕКОМЕНДАЦИИ
ПО ПРОЕКТИРОВАНИЮ, ИЗГОТОВЛЕНИЮ И ПРИМЕНЕНИЮ
ИЗДЕЛИЙ И КОНСТРУКЦИЙ ИЗ БЕТОНА
НА ГИПСОЦЕМЕНТНОПУЦЦОЛАНОВЫХ ВЯЖУЩИХ
Рекомендованы к изданию решением секции "Крупнопанельные и каменные конструкции" Научно-технического совета ЦНИИСК им. В.А. Кучеренко Госстроя СССР.
Приведены указания по проектированию, изготовлению и применению конструкций из бетонов на гипсоцементнопуццолановых вяжущих для жилых, гражданских и производственных зданий.
Предназначены для инженерно-технических работников проектных и строительных организаций, а также для работников строительной индустрии.
Рекомендации разработаны на кафедре технологии вяжущих веществ и бетонов МИСИ им. В.В. Куйбышева (зав. кафедрой д-р техн. наук Ю.М. Баженов) лауреатом Ленинской премии, д-ром техн. наук А.М. Волжинским, д-ром техн. наук А.В. Ферронской, кандидатами техн. наук Л.Д. Чумаковым, В.И. Стамбулко, В.Ф. Коровяковым; в отделе прочности крупнопанельных и каменных зданий ЦНИИСК им. В.А. Кучеренко (зав. отделом канд. техн. наук Лабозин П.Г.) кандидатами техн. наук А.В. Грановским, Н.И. Левиным; на кафедре инженерных конструкций МАРХИ (зав. кафедрой канд. техн. наук В.Н. Голосов) канд. техн. наук Л.Г. Куликовым.
1.1. Настоящие рекомендации распространяются на проектирование, изготовление и применение в городском и сельском строительстве жилых, общественных и производственных зданий следующих видов конструктивных элементов и изделий из бетонов на гипсоцементнопуццолановых вяжущих (ГЦПВ):
- стеновых панелей и блоков внутренних и наружных стен;
- стеновых камней, плит и перегородок;
- панелей и плит междуэтажных перекрытий и покрытий;
- объемных элементов (санитарно-технические кабины, вентиляционные блоки и др.).
| | ИС МЕГАНОРМ: примечание. Взамен ГОСТ 9561-76 Постановлением Госстроя СССР от 20.09.1991 N 5 с 1 января 1992 года введен в действие ГОСТ 9561-91. | |
| | ИС МЕГАНОРМ: примечание. Взамен ГОСТ 12767-80 Постановлением Минстроя России от 18.05.1995 N 18-45 с 1 января 1996 года введен в действие ГОСТ 12767-94. | |
| | ИС МЕГАНОРМ: примечание. Взамен ГОСТ 9574-80 Постановлением Госстроя СССР от 20.08.1990 N 72 с 1 января 1992 года введен в действие ГОСТ 9574-90. | |
1.2. При проектировании стеновых панелей, блоков, перегородок, а также панелей и плит междуэтажных перекрытий и покрытий необходимо соблюдать требования настоящих Рекомендаций,
СНиП II-3-79** "Строительная теплотехника",
СНиП 2.01.07-85 "Нагрузки и воздействия",
СНиП 2.03.01-84 "Бетонные и железобетонные конструкции",
ГОСТ 11024-84 "Панели стеновые наружные бетонные и железобетонные для жилых и общественных зданий. Общие технические условия",
ГОСТ 12504-80 "Панели стеновые внутренние бетонные и железобетонные для жилых и общественных зданий. Общие технические условия", ГОСТ 9561-76* "Панели железобетонные многопустотные для перекрытий зданий и сооружений. Технические условия", ГОСТ 12767-80* "Панели железобетонные сплошные для перекрытий жилых и общественных зданий. Технические условия",
ГОСТ 13578-68 "Панели из легких бетонов на пористых заполнителях для наружных стен производственных зданий. Технические требования" и ГОСТ 9574-80 "Панели гипсобетонные для перегородок. Технические условия".
1.3. Стеновые блоки, камни и плиты из бетонов на ГЦПВ должны удовлетворять требованиям
ГОСТ 19010-82 "Блоки стеновые бетонные и железобетонные для зданий. Общие технические условия",
ГОСТ 6133-84 "Камни бетонные стеновые. Технические условия" и
ГОСТ 6428-83 "Плиты гипсовые для перегородок. Технические условия", а проектирование из этих изделий следует вести с учетом требований
СНиП II-22-81 "Каменные и армокаменные конструкции" и "
Пособия по проектированию бетонных и железобетонных конструкций из ячеистых бетонов" к СНиП 2.03.01-84.
1.4. При проектировании конструктивных элементов из бетонов на ГЦПВ следует предусматривать защиту арматуры и закладных деталей от коррозии в соответствии с требованиями настоящих Рекомендаций и
СН 277-80.
1.5. Теплотехнический расчет элементов конструкций из бетонов на ГЦПВ следует производить в соответствии со
СНиП II-3-79**. Отсутствующие в
СНиП II-3-79** теплотехнические характеристики бетонов на ГЦПВ следует принимать на основании опытных данных.
1.6. Изделия из бетонов на ГЦПВ рекомендуются к применению в жилых, общественных и производственных зданиях с нормальным температурно-влажностным режимом.
1.7. Изделия, предназначенные для зданий с агрессивной средой или повышенной влажностью воздуха помещений (более 75%), должны дополнительно удовлетворять требованиям
СНиП 2.03.11-85 "Защита строительных конструкций от коррозии".
1.8. При возведении зданий, предназначенных для строительства в сейсмических районах, в северной строительно-климатической зоне, в зонах распространения вечной мерзлоты, на просадочных и набухающих грунтах, а также для эксплуатации в условиях систематического воздействия повышенных температур и влажности более 75%, динамических воздействий и др., проектирование и расчеты должны вестись с учетом дополнительных требований, приведенных в соответствующих нормативных документах.
1.9. Панели и крупные блоки из бетонов на ГЦПВ рекомендуется применять для стен зданий: несущих - до 5-и этажей, самонесущих - до 9-и этажей при обеспечении расчетом необходимой прочности и деформативности конструкции.
1.10. Панели и плиты междуэтажных перекрытий и покрытий из бетонов на ГЦПВ допускается применять при возведении зданий только после экспериментальной проверки их прочностных и деформативных характеристик в условиях, соответствующих эксплуатационным.
1.11. Для изготовления конструкций и изделий следует использовать различные виды бетонов на ГЦПВ, основные характеристики которых приведены в табл. 1.
┌───────────────┬────────────────┬────────────┬─────────┬─────────────────┐
│ Вид бетона │ Марка │ Класс по │Марка по │Теплопроводность,│
│ │ по средней │ прочности │морозо- │ Вт/(м x °C) (в │
│ │плотности, кг/м3│ на сжатие │стойкости│сухом состоянии) │
├───────────────┼────────────────┼────────────┼─────────┼─────────────────┤
│Конструкционный│D 2200 - 2400 │В7,5; В10; │F35; F50;│ 1,20 - 1,51 │
│тяжелый │ │В15; В17,5; │F75; │ │
│ │ │В20; В22,5; │F100; │ │
│ │ │В25 │F150 │ │
│Мелкозернистый │D 1800 - 2200 │В3,5; В5; │F35; F50;│ 0,58 - 1,20 │
│ │ │В7,5; В10; │F75; F100│ │
│ │ │В12; В15 │ │ │
│На ГЦПВ без │D 1200 - 1700 │В5; В7,5; │F25; F35;│ 0,35 - 0,50 │
│заполнителя │ │В10 │F50 │ │
│Легкий │D 800; D 900; │В2,5; В3,5 │F25; F35 │ 0,20 - 0,26 │
│ │D 1000; D 1100 │В2,5; В3,5; │F25; F35;│ 0,25 - 0,33 │
│ │ │В5; В7,5; │F50 │ │
│ │D 1200; D 1300 │В3,5; В5; │F25; F35;│ 0,32 - 0,42 │
│ │ │В7,5; В10; │F50 │ │
│ │D 1400; D 1500 │В3,5; В5; │F35; F50;│ 0,42 - 0,53 │
│ │ │В7,5; В10; │F75 │ │
│ │ │В12,5 │ │ │
│ │D 1600; D 1700 │В5; В7,5; │F35; F50;│ 0,52 - 0,64 │
│ │ │В10; В12,5; │F75 │ │
│ │ │В15 │ │ │
│ │ D 1800 │В7,5; В10; │F50; F75;│ 0,66 - 0,70 │
│ │ │В12,5; В15; │F100 │ │
│ │ │В17,5 │ │ │
│Теплоизоляци- │ D 400 │В0,75; В0,85│ - │ 0,10 - 0,11 │
│онный ячеистый │ D 500 │В1; В1,5 │ F15 │ 0,12 - 0,13 │
└───────────────┴────────────────┴────────────┴─────────┴─────────────────┘
1.12. Изготовление конструкций и изделий из бетонов на ГЦПВ следует осуществлять в соответствии с настоящими Рекомендациями и
ГОСТ 13015.0-83 "Конструкции и изделия бетонные и железобетонные сборные. Общие технические требования";
ГОСТ 13015.3-81 "Конструкции и изделия бетонные и железобетонные. Документ о качестве".
1.13. В целях обеспечения долговечности конструкций из бетонов на ГЦПВ следует предусматривать их защиту от увлажнения грунтовыми водами и интенсивного увлажнения атмосферными осадками, для чего рекомендуется применять защитно-декоративные отделки наружных поверхностей стен (керамической плиткой по СН 389-68, окрасочными составами по
СН 277-80 или др.).
2. ПРОЕКТИРОВАНИЕ КОНСТРУКЦИЙ ИЗ БЕТОНОВ
НА ГИПСОЦЕМЕНТНОПУЦЦОЛАНОВЫХ ВЯЖУЩИХ
2.2. При проектировании бетонных и железобетонных конструкций в зависимости от их назначения и условий работы устанавливают следующие основные показатели качества бетона на ГЦПВ:
а) класс по прочности на сжатие В;
б) класс по прочности на осевое растяжение

(назначают в случаях, когда эта характеристика имеет главенствующее значение и контролируется на производстве);
в) марку по морозостойкости F (назначают для конструкций, подвергающихся в увлажненном состоянии попеременному замораживанию и оттаиванию);
г) марку по средней плотности D (назначают для конструкций, к которым кроме конструктивных предъявляются требования по теплоизоляции).
2.3. Классы по прочности на сжатие и осевое растяжение отвечают значению гарантированной прочности бетона на ГЦПВ с обеспеченностью 0,95.
Средняя прочность бетона на ГЦПВ, соответствующая его классу по прочности на сжатие, определяется по формуле

,
где

- средняя прочность бетона на ГЦПВ, кгс/см2, которую следует обеспечить при производстве конструкций;
В - численное значение класса бетона на ГЦПВ по прочности на сжатие;
1,64 - коэффициент, характеризующий обеспеченность 0,95;
0,17 - нормативный коэффициент вариации прочности бетона на ГЦПВ (17%).
0,098 - переходный коэффициент от МПа к кгс/см2.
| | ИС МЕГАНОРМ: примечание. Взамен ГОСТ 10180-78 в части определения прочности бетона по контрольным образцам Постановлением Госстроя СССР от 29.12.1989 N 168 с 1 января 1991 года введен в действие ГОСТ 10180-90. | |
2.4. Среднюю прочность бетона на ГЦПВ определяют по ГОСТ 10180-78 с учетом требований
п. 3.24 настоящих Рекомендаций, а бетона на ГЦПВ без заполнителя (ГЦП бетона) испытанием по
ГОСТ 310.4-81* образцов-балочек 40 x 40 x 160 мм, твердеющих по установленному проектом режиму.
2.5. Класс бетона устанавливается, как правило, в возрасте 28 сут. При проектировании может быть принят и другой возраст бетона, отвечающий его классу по прочности на сжатие, исходя из реального срока загружения конструкции и условий твердения бетона.
2.6. Значение отпускной прочности бетона в элементах сборных конструкций следует назначать в соответствии с
ГОСТ 13015.0-83 и стандартами на конструкции конкретных видов.
Нормативные и расчетные характеристики бетона и арматуры
2.7. Нормативные сопротивления бетонов конструкционных тяжелых, мелкозернистых и легких на ГЦПВ осевому сжатию (призменная прочность)

и осевому растяжению

(с округлением) в зависимости от класса бетона по прочности на сжатие принимаются по табл. 2.
┌──────────────┬──────────────────────────────────────────────────────────┐
│ Вид │ Нормативные R и R и расчетные сопротивления бетона │
│сопротивления │ bn btn │
│ │для предельных состояний второй группы R и R │
│ │ b,ser bt,ser │
│ │ при классе бетона по прочности на сжатие │
│ ├────┬────┬────┬────┬────┬─────┬────┬─────┬────┬─────┬─────┤
│ │В2,5│В3,5│ В5 │В7,5│В10 │В12,5│В15 │В17,5│В20 │В22,5│ В25 │
├──────────────┼────┼────┼────┼────┼────┼─────┼────┼─────┼────┼─────┼─────┤
│Сжатие осевое │ 1,9│ 2,7│ 3,5│ 5,5│ 7,5│ 9,5 │11,0│13,0 │15,0│16,5 │18,5 │
│(призменная │----│----│----│----│----│---- │----│---- │----│---- │---- │
│прочность) P │19,4│27,5│35,7│56,1│76,5│96,9 │ 112│ 133 │ 153│ 168 │ 189 │
│ bn│ │ │ │ │ │ │ │ │ │ │ │
│и P │ │ │ │ │ │ │ │ │ │ │ │
│ b,ser │ │ │ │ │ │ │ │ │ │ │ │
│ │ │ │ │ │ │ │ │ │ │ │ │
│Растяжение │0,29│0,39│0,55│0,70│0,85│1,00 │1,15│ 1,3 │1,40│ 1,5 │1,60 │
│осевое P │----│----│----│----│----│---- │----│---- │----│---- │---- │
│ btn │2,96│4,00│5,61│7,14│8,67│10,2 │11,7│13,3 │14,3│15,3 │16,3 │
│и P │ │ │ │ │ │ │ │ │ │ │ │
│ bt,ser │ │ │ │ │ │ │ │ │ │ │ │
└──────────────┴────┴────┴────┴────┴────┴─────┴────┴─────┴────┴─────┴─────┘
Примечания. 1. Над чертой указаны значения в МПа, под чертой - в кгс/см2.
2. Классы по прочности на сжатие бетонов различных видов приведены в
табл. 1.
3.

,

и

и

при классе В2,5 - только для легкого бетона.
2.8. Коэффициенты надежности по бетону при сжатии

и растяжении

для тяжелого, мелкозернистого и легкого бетонов на ГЦПВ принимаются согласно главе
СНиП 2.03.01-84.
2.9. Расчетные сопротивления бетонов конструкционных тяжелых, мелкозернистых и легких на ГЦПВ для предельных состояний первой

и

и второй

и

групп, определенные делением (с округлением) нормативных сопротивлений на коэффициенты

и

, приведены соответственно в табл. 3 и
2.
Таблица 3
┌─────────────┬───────────────────────────────────────────────────────────┐
│ Вид │ Расчетные сопротивления бетона для предельных состояний │
│сопротивления│ первой группы R и R при классе бетона по прочности │
│ │ b bt │
│ │ на сжатие │
│ ├────┬────┬────┬────┬─────┬─────┬─────┬─────┬────┬─────┬────┤
│ │В2,5│В3,5│ В5 │В7,5│ В10 │В12,5│ В15 │В17,5│В20 │В22,5│В25 │
├─────────────┼────┼────┼────┼────┼─────┼─────┼─────┼─────┼────┼─────┼────┤
│Сжатие осевое│ 1,5│0,26│ 2,8│ 4,5│ 6,0 │ 7,5 │ 8,5 │10,0 │11,5│12,5 │14,5│
│(призменная │----│----│----│----│---- │---- │---- │---- │----│---- │----│
│прочность) P │15,3│21,4│28,6│45,9│61,2 │76,5 │86,7 │ 102 │117 │ 128 │148 │
│ b│ │ │ │ │ │ │ │ │ │ │ │
│Растяжение │0,20│0,26│0,37│0,48│0,57 │0,66 │0,75 │0,87 │0,90│ 1,0 │1,05│
│осевое P │----│----│----│----│---- │---- │---- │---- │----│---- │----│
│ bt │2,04│2,65│3,77│4,89│5,81 │6,73 │7,65 │8,84 │9,18│10,2 │10,7│
└─────────────┴────┴────┴────┴────┴─────┴─────┴─────┴─────┴────┴─────┴────┘
2.10. Расчетные сопротивления бетона для предельных состояний первой группы снижаются путем умножения на коэффициенты условий работы бетона

, учитывающие особенности свойств бетонов, длительность действия нагрузки и ее многократную повторяемость, условия и стадию работы конструкции, способ ее изготовления и т.п. Значения коэффициентов условий работы бетона приведены в табл. 4.
Таблица 4
┌───┬───────────────────────────────────────────────┬─────────────────────┐
│ N │Факторы, обуславливающие введение коэффициентов│Коэффициенты условий │
│п/п│ условий работы бетона │ работы бетона │
│ │ ├───────────┬─────────┤
│ │ │ условное │значение │
│ │ │обозначение│ │
├───┼───────────────────────────────────────────────┼───────────┼─────────┤
│ 1 │ 2 │ 3 │ 4 │
├───┼───────────────────────────────────────────────┼───────────┼─────────┤
│ 1 │Длительность действия нагрузки: │ │ │
│ │ а) при учете постоянных, длительных и │ гамма │ 0,80 │
│ │кратковременных нагрузок, кроме нагрузок, │ b1 │ │
│ │суммарная длительность которых мала, а также │ │ │
│ │при учете особых нагрузок, вызванных │ │ │
│ │деформациями просадочных грунтов, набухающих │ │ │
│ │вечномерзлых и тому подобных грунтов; │ │ │
│ │ б) при учете нагрузок, суммарная длительность │ гамма │ 1,1 │
│ │действия которых мала, или особых нагрузок, │ b2 │ │
│ 2 │Бетонные конструкции │ гамма │ 0,9 │
│ │ │ b3 │ │
│ 3 │Бетонирование в вертикальном положении │ гамма │ 0,8 │
│ │(высота слоя бетонирования свыше 1,5 м) │ b4 │ │
│ 4 │Учет возможности временного водонасыщения │ гамма │ 0,70 │
│ │конструкции │ b5 │ │
└───┴───────────────────────────────────────────────┴───────────┴─────────┘
Примечание. Коэффициенты условий работы бетона вводятся независимо друг от друга, но при этом их произведение должно быть не менее 0,45.
2.11. Расчетное сопротивление срезу

по горизонтальным монтажным швам для стен из блоков и панелей всех видов при растворе М 50 и выше принимается равным

.
2.12. Значения начального модуля упругости бетона на ГЦПВ при сжатии и растяжении приведены в табл. 5. Они могут быть уточнены экспериментально.
┌──────────────────────┬──────────────────────────────────────────────────┐
│ Бетон │ Начальные модули упругости бетона при сжатии и │
│ │ -3 │
│ │растяжении E x 10 при классе бетона по прочности│
│ │ │
│ │ на сжатие │
│ ├─────┬─────┬─────┬──────┬─────┬──────┬─────┬──────┤
│ │В2,5 │В3,5 │ В5 │ В7,5 │ В10 │ В15 │ В20 │ В25 │
├──────────────────────┼─────┼─────┼─────┼──────┼─────┼──────┼─────┼──────┤
│Тяжелый │ - │ - │ - │ 13,0 │16,0 │ 20,0 │27,0 │ 30,0 │
│ │ │ │ │ ---- │---- │ ---- │---- │ ---- │
│ │ │ │ │ 133 │ 163 │ 205 │ 275 │ 306 │
│ │ │ │ │ │ │ │ │ │
│Мелкозернистый │ - │ - │ 6,8 │ 9,5 │13,0 │ 16,5 │ - │ - │
│ │ │ │ --- │ --- │---- │ ---- │ │ │
│ │ │ │ 70 │ 97 │ 133 │ 168 │ │ │
│ │ │ │ │ │ │ │ │ │
│Бетон на ГЦПВ без │ - │ - │ 5,0 │ 6,2 │ 8,5 │ 10,6 │ - │ - │
│заполнителя (ГЦП │ │ │ --- │ --- │ --- │ ---- │ │ │
│бетон) │ │ │ 51 │ 63 │ 87 │ 108 │ │ │
│ │ │ │ │ │ │ │ │ │
│Легкий марки по │ │ │ │ │ │ │ │ │
│средней плотности D: │ │ │ │ │ │ │ │ │
│ │ │ │ │ │ │ │ │ │
│ 1000 │ 4,3 │ 4,8 │ 5,5 │ 6,3 │ - │ - │ - │ - │
│ │ --- │ --- │ --- │ --- │ │ │ │ │
│ │ 44 │ 49 │ 56 │ 64 │ │ │ │ │
│ │ │ │ │ │ │ │ │ │
│ 1200 │ - │ 5,9 │ 6,6 │ 7,5 │ 8,9 │ - │ - │ - │
│ │ │ --- │ --- │ --- │ --- │ │ │ │
│ │ │ 60 │ 67 │ 76 │ 91 │ │ │ │
│ │ │ │ │ │ │ │ │ │
│ 1400 │ - │ 7,0 │ 8,0 │ 9,0 │11,0 │ 12,0 │ - │ - │
│ │ │ --- │ --- │ --- │---- │ ---- │ │ │
│ │ │ 71 │ 82 │ 92 │ 112 │ 122 │ │ │
└──────────────────────┴─────┴─────┴─────┴──────┴─────┴──────┴─────┴──────┘
Примечания. 1. Над чертой указаны значения в МПа, под чертой - в кгс/см2.
2. Для легкого и поризованного бетонов при промежуточных значениях плотности бетонов начальные модули упругости принимают по линейной интерполяции.
2.13. При определении деформаций и перемещении панельных и блочных конструкций из бетонов на ГЦПВ и вычислении их жесткостных характеристик вместо начальных модулей упругости следует использовать модули деформаций:

- при определении деформаций от кратковременных нагрузок;

- при определении деформаций от длительных воздействий.
Модуль деформаций

принимается равным начальному модулю упругости, умноженному на коэффициент p, который учитывает увеличение деформаций вследствие кратковременной ползучести бетона и принимается равным:
0,85 - для тяжелых бетонов на пористых заполнителях при плотном мелком заполнителе;
0,7 - для бетонов на пористых заполнителях.
Модуль деформаций

учитывает развитие длительных деформаций ползучести и вычисляется по формуле

,
где E - начальный модуль упругости бетона
(табл. 5);

- коэффициент, учитывающий длительность действия нагрузки и применяемый при определении деформаций от постоянных и длительных вертикальных нагрузок, равен 1, а при определении деформаций, вызванных температурно-влажностными воздействиями и неравномерными деформациями основания, равен 0,8.
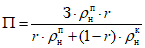
2.14. Предельные меры ползучести, вводимые в расчет при проектировании конструкций с учетом длительности воздействия нагрузки, вычисляются по формуле

,
где

- нормативное значение меры ползучести

тяжелых бетонов на ГЦПВ естественного твердения в возрасте 28 сут, принимаемое по табл. 6;

-

- поправочные коэффициенты, принимаемые по
табл. 7.
Таблица 6
┌───────────────────────────┬────────┬─────────┬────────┬────────┬────────┐
│Класс бетона по прочности │ В7,5 │ В10 │ В15 │ В17,5 │ В20 │
│на сжатие │ │ │ │ │ │
├───────────────────────────┼────────┼─────────┼────────┼────────┼────────┤
│Нормативная мера ползучести│ 23 │ 17 │ 14 │ 12 │ 10 │
│ 5 │ │ │ │ │ │
│C x 10 │ │ │ │ │ │
│ н │ │ │ │ │ │
└───────────────────────────┴────────┴─────────┴────────┴────────┴────────┘
┌────────────────────────────────┬────────┬─────┬─────┬─────┬─────┬───────┐
│Отношение средней прочности │ 0,6 │ 0,7 │ 0,8 │ 0,9 │ 1,0 │и более│
│ _ │ │ │ │ │ │ │
│бетона R к нормативной R │ │ │ │ │ │ │
│ н │ │ │ │ │ │ │
│K │ 1,5 │ 1,4 │1,25 │1,15 │ 1,0 │ │
│ 1 │ │ │ │ │ │ │
├────────────────────────────────┼────────┼─────┼─────┼─────┼─────┼───────┤
│Возраст бетона в момент │ 28 │ 45 │ 60 │ 90 │ │ │
│загружения, сут │ │ │ │ │ │ │
│K │ 1,0 │0,90 │0,80 │0,70 │ │ │
│ 2 │ │ │ │ │ │ │
├────────────────────────────────┼────────┼─────┼─────┼─────┼─────┼───────┤
│Открытая удельная поверхность, │ 0 │0,27 │ 0,4 │ 0,6 │ 0,8 │ 1,0 │
│ -1 │и более │ │ │ │ │ │
│см (отношение периметра │ │ │ │ │ │ │
│к площади сечения) │ │ │ │ │ │ │
│K │ 0,75 │ 1,0 │ 1,1 │ 1,3 │1,48 │ 1,65 │
│ 3 │ │ │ │ │ │ │
├────────────────────────────────┼────────┼─────┼─────┼─────┼─────┼───────┤
│Относительная влажность, % │ 40 │ 50 │ 60 │ 70 │ 80 │и более│
│K │ 1,40 │1,30 │1,15 │ 1,0 │0,85 │ │
│ 4 │ │ │ │ │ │ │
└────────────────────────────────┴────────┴─────┴─────┴─────┴─────┴───────┘
| | ИС МЕГАНОРМ: примечание. В официальном тексте документа, видимо, допущена опечатка: формула (2) отсутствует. Возможно, имеется в виду формула пункта 2.14. | |
Примечание. В
формуле (2) принимается один из коэффициентов

или

.
2.15. Величины деформаций усадки тяжелых и легких бетонов на ГЦПВ принимаются в расчетах равными 0,5 мм/м.
2.16. Начальный коэффициент поперечной деформации (коэффициент Пуассона)

принимается для тяжелых бетонов на ГЦПВ равным 0,20, а для легких - 0,22.
2.17. Коэффициент линейной температурной деформации

при изменении температуры от минус 40 °C до плюс 50 °C принимается равным

для тяжелых и

для легких и ячеистых бетонов на ГЦПВ.
2.18. Значения расчетных коэффициентов теплопроводности бетона на ГЦПВ принимается в зависимости от его плотности и условий эксплуатации по
СНиП II-3-79** такими же, как для бетона на портландцементе. Отсутствующие в указанном
СНиП коэффициенты теплопроводности следует определять опытным путем.
2.19. Выбор арматурных сталей следует производить в зависимости от типа конструкции, а также от условий возведения и эксплуатации здания или сооружения.
2.20. Расчетные сопротивления арматуры должны назначаться в соответствии с главой
СНиП 2.03.01-84 и действующими нормативными документами.
Основные расчетные положения
2.21. Бетонные и железобетонные конструкции согласно СТ СЭВ 1406-78 должны быть обеспечены с требуемой надежностью от возникновения всех видов предельных состояний расчетом, выбором материалов, назначением размеров и конструированием.
2.22. Бетонные и железобетонные конструкции из бетонов на ГЦПВ должны удовлетворять требованиям расчета по несущей способности (предельные состояния первой группы) и по пригодности к нормальной эксплуатации (предельные состояния второй группы).
При этом расчет по предельным состояниям первой группы должен обеспечивать конструкции от хрупкого или вязкого разрушения, разрушения от совместного воздействия силовых факторов и неблагоприятных влияний внешней среды.
Расчет по предельным состояниям второй группы должен обеспечивать конструкции от образования трещин, а также их чрезмерного или длительного раскрытия (если по условиям эксплуатации образование или длительное раскрытие трещин допустимо) и чрезмерных перемещений (прогибов, углов перекоса).
2.23. Нормативными сопротивлениями бетонов на ГЦПВ являются: сопротивление осевому сжатию призм (призменная прочность)

, сопротивление осевому растяжению

.
2.24. При проектировании железобетонных конструкций из бетонов на ГЦПВ не допускается применять:
тяжелый и мелкозернистый бетон класса по прочности на сжатие ниже В7,5;
легкий бетон класса по прочности на сжатие ниже В3,5 - для однослойных и ниже 2,5 - для двухслойных конструкций.
Блоки и панели наружных стен
2.25. Бетон блоков для наружных стен из легких бетонов должен быть не ниже класса В3,5, а из тяжелых бетонов (неотапливаемых зданий) не менее В7,5. Панели навесные для стен допускается выполнять из бетона класса В2,5.
2.26. Блоки и панели необходимо проектировать с наружным и внутренним отделочным слоем, толщина наружного декоративного слоя из раствора должна быть не менее 20 мм, внутреннего - 10 мм.
2.27. Отделка фасадной стороны может быть выполнена раствором (бетоном) с прочностью на сжатие 7,5; 10 МПа, приготовленным на ГЦПВ или на пуццолановом портландцементе. Наружная отделка может быть также выполнена из любых материалов, принятых в крупнопанельном домостроении (облицовочная плитка, декоративный бетон и др.). Внутренняя сторона панелей покрывается слоем из отделочного раствора на ГЦПВ толщиной 10 - 15 мм. Прочность на сжатие раствора для внутреннего фактурного слоя должна быть не менее прочности на сжатие легкого бетона.
2.28. Однослойные панели стен должны быть конструктивно армированы сварными каркасами в соответствии с "Инструкцией по проектированию конструкций панельных жилых зданий"
(ВСН 32-77). Проектирование стыков панелей наружных стен выполняется в соответствии с рекомендациями, изложенными в
ВСН 32-77.
Блоки и панели внутренних стен
2.29. Класс бетона крупных блоков и панелей для внутренних несущих стен должен быть не ниже В7,5. Блоки могут быть сплошные и пустотелые.
2.30. Междуквартирные стены и стены между лестничной клеткой и жилыми комнатами из тяжелого бетона рекомендуется по условиям звукоизоляции принимать толщиной не менее 16 см.
2.31. Панели внутренних стен рекомендуется армировать в соответствии с рекомендациями
ВСН 32-77.
2.32. Вертикальные стыки между стеновыми панелями следует заполнять раствором или бетоном по прочности на сжатие не ниже 10 МПа. Раствор следует изготовлять на ГЦПВ или пуццолановом портландцементе.
Панели, плиты перекрытий и покрытий
2.33. Панели перекрытия из тяжелых бетонов на ГЦПВ допускается проектировать в экспериментальном порядке из бетона класса по прочности на сжатие не ниже В10.
2.34. Плиты перекрытий рекомендуются многопустотные, панели - сплошные однослойные при пролетах до 4 м.
2.35. Перекрытия для жилых домов рекомендуется проектировать в виде комплексной (составной) конструкции, обладающей полной заводской готовностью и требуемой звукоизоляцией. Рекомендуются перекрытия с раздельным полом, состоящим из несущей сплошной панели, звукоизоляционной сплошной прокладки и панели основания под чистые полы на основе ГЦПВ.
При проектировании плит перекрытий и покрытий следует руководствоваться указаниями настоящих Рекомендаций, главы
СНиП 2.03.01-84 и
ВСН 32-77.
2.36. Панели и плиты перекрытия рекомендуется армировать сварными сетками без нахлесточных стыков. Рабочая арматура принимается ненапрягаемой и должна быть защищена от коррозии в соответствии с требованиями настоящих Рекомендаций (см.
Приложение 2) и
СН 277-80.
2.37. Конструкции несущих плит и панелей покрытий, а также чердачных перекрытий из бетона на ГЦПВ допускается проектировать в экспериментальном порядке из бетона класса не ниже В10.
Панели для бесчердачных покрытий (совмещенных крыш) рекомендуется проектировать в виде однослойной конструкции с вентилируемыми каналами - круглого или иного сечения.
3.1. Для изготовления изделий применяется бетон тяжелый, мелкозернистый, легкий, ячеистый на основе ГЦПВ с минеральными или органическими заполнителями, а также ГЦП бетон (без заполнителей).
3.2. Гипсоцементнопуццолановое вяжущее (ГЦПВ) должно удовлетворять требованиям ОСТ 21-29-77.
3.3. ГЦПВ целесообразно приготовлять на гипсовых заводах по существующим технологиям. Оно может быть получено также путем тщательного смешивания в надлежащих количествах готовых материалов:
- портландцемента или шлакопортландцемента
(ГОСТ 10178-85), пуццоланового портландцемента
(ГОСТ 22266-76*);
- гипсовых вяжущих
(ГОСТ 125-79), а также гипсовых вяжущих повышенной прочности из природного сырья и отходов промышленности (высокопрочного, ангидритового и др.);
- активной минеральной добавки (ОСТ 21-9-81).
3.4. Примерное содержание компонентов ГЦПВ следующее: гипсовое вяжущее (любой модификации) от 60 до 80%; пуццолановый портландцемент надлежащего состава или портландцемент (шлакопортландцемент) вместе с введенной в них активной минеральной добавкой от 20 до 40% (по массе).
3.5. ГЦПВ для несущих и наружных конструкций должно содержать в своем составе не менее 20% (по массе) клинкерной части портландцемента.
Примечание. Соотношение между применяемым цементом и активной минеральной добавкой устанавливается по методике, изложенной в приложениях к ОСТ 21-29-77.
3.6. ГЦПВ на основе гипсового вяжущего марок Г4 - Г7 имеет М100 и М150 (по методике ОСТ 21-29-77). При применении гипсовых вяжущих более высоких марок можно получить ГЦПВ М200, М250, М300 и более.
| | ИС МЕГАНОРМ: примечание. Взамен ГОСТ 8267-82 и ГОСТ 10260-82 с 1 января 1995 года введен в действие ГОСТ 8267-93 (Постановление Госстроя России от 17.06.1994 N 18-43). | |
3.7. Заполнители для тяжелого и мелкозернистого бетона должны отвечать требованиям
ГОСТ 10268-80 и стандартам на отдельные виды крупного (ГОСТ 8267-82,
ГОСТ 8268-82, ГОСТ 10260-82) и мелкого (ГОСТ 8736-85) заполнителей.
| | ИС МЕГАНОРМ: примечание. Взамен ГОСТ 9757-83 Постановлением Госстроя СССР от 30.08.1990 N 75 с 1 января 1991 года введен в действие ГОСТ 9757-90. | |
3.8. Заполнители пористые неорганические для легких бетонов должны отвечать требованиям ГОСТ 9757-83 и стандартам на отдельные виды крупного и мелкого пористого заполнителя (ГОСТ 9759-83, ГОСТ 11991-83, ГОСТ 19345-83, ГОСТ 9760-86 и др.).
3.9. Заполнители из пористых горных пород (щебень и песок) должны удовлетворять требованиям
ГОСТ 22263-76.
3.10. Мелкие фракции пористых песков могут выполнять роль активной минеральной добавки. Это может быть использовано при изготовлении ГЦПВ с применением заводского пуццоланового портландцемента с недостаточным содержанием в нем активной минеральной добавки, определенной по методике ОСТ 21-29-77. В этом случае по методике, изложенной в указанном ОСТе, определяется минимальное количество пористого песка, заменяющее недостающее количество минеральной добавки в цементе. При подборе состава легкого бетона это количество добавки должно быть учтено.
3.11. Органические заполнители (древесные опилки, льняная костра и т.д.) должны удовлетворять требованиям соответствующих условий. Абсолютная влажность опилок должна быть не менее 20%.
3.12. Вода для приготовления бетонных и растворных смесей должна отвечать требованиям
ГОСТ 23732-79.
3.13. Для регулирования сроков схватывания бетонной (растворной) смеси на ГЦПВ могут применяться ЛСТ - лигносульфонат технический, техническая бура, ЩСПК, клееизвестковый замедлитель и др. (см.
Приложение 1).
Количество замедлителя зависит от его вида, требований к бетонной (растворной) смеси и назначается с обязательной экспериментальной проверкой сроков схватывания смеси и темпа нарастания прочности бетона.
3.14. Рекомендуется введение в бетонную (растворную) смесь поверхностно-активных веществ, особенно суперпластификаторов, воздухововлекающих, гидрофобизирующих и др. добавок в соответствии с техническими условиями и с экспериментальным уточнением их количества (см.
Приложение 1).
Введение добавок способствует улучшению структуры бетона и повышению его прочности за счет снижения водопотребности бетонной смеси, а также повышает водостойкость и долговечность изделий, особенно эксплуатируемых при воздействии агрессивных сред.
| | ИС МЕГАНОРМ: примечание. Постановлением Госстандарта СССР от 29.06.1988 N 2417 с 1 июля 1989 года введен в действие ГОСТ 177-88. | |
3.15. В качестве газообразующей добавки при производстве ячеистого бетона рекомендуется пергидроль (ГОСТ 177-55 "Перекись водорода"). В качестве пенообразующей добавки рекомендуются добавки, применяемые при производстве пенобетона, с обязательной проверкой их в каждом конкретном случае.
3.16. Для армирования изделий и конструкций следует применять стержневую арматурную сталь классов А-I, А-II, А-III по
ГОСТ 5781-82; арматурную проволоку классов В-1 и Вр-1 из низкоуглеродистой стали по
ГОСТ 6727-80; сварные сетки по
ГОСТ 8478-81.
Сварная арматура и закладные детали изделий должны соответствовать требованиям
ГОСТ 10922-75.
3.17. Арматура и закладные детали в изделиях и конструкциях должны быть защищены от коррозии в соответствии с требованиями настоящих Рекомендаций и
СН 277-80.
Защитные покрытия арматуры и способы их приготовления и нанесения, а также способы защиты арматуры от коррозии путем добавок ингибиторов коррозии приведены в
Приложении 2.
Определение составов бетона на ГЦПВ <*>
--------------------------------
3.18. Бетон на ГЦПВ должен приготовляться из составов, подобранных заводской лабораторией, в соответствии с характеристиками исходных материалов и с учетом применяемой технологии приготовления, транспортирования, формования и твердения смесей. Подобранный состав должен обеспечивать необходимые проектные требования, в их числе заданный средний уровень прочности бетона, а для легких бетонов, кроме этого, требуемую среднюю плотность (марку), отпускную влажность бетона и другие требования. Бетонная (растворная) смесь должна иметь необходимые сроки схватывания, обеспечивающие формование изделий до начала схватывания смеси.
3.19. Подбор состава тяжелого бетона производится расчетно-экспериментальным методом, включающим:
выбор материалов для приготовления бетонной смеси;
установление расчетным путем и по таблицам составов для пробных замесов; расход вяжущего для исходных замесов следует назначать с учетом данных, приведенных в табл. 8;
определение необходимого количества воды для затворения бетонной смеси производится опытным путем в зависимости от требуемой удобоукладываемости бетонной смеси. Ориентировочный расход воды выбирается по данным
табл. 9.
┌─────┬──────────┬───────────┬────────────────────────────────────────────┐
│Марка│Жесткость │Подвижность│ Расход ГЦПВ, кг/м3, для бетона прочностью │
│ГЦПВ │ бетонной │ бетонной │ на сжатие, МПа │
│ │ смеси, с │ смеси, см ├────────┬────────┬────────┬────────┬────────┤
│ │ │ │ 10 │ 15 │ 20 │ 25 │ 30 │
├─────┼──────────┼───────────┼────────┼────────┼────────┼────────┼────────┤
│ 150 │ 11 - 20 │ - │330 - │390 - │480 - │ - │ - │
│ │ │ │ 350│ 410│ 510│ │ │
│ │ 5 - 10 │ - │370 - │440 - │ - │ - │ - │
│ │ │ │ 390│ 460│ │ │ │
│ │ │ 1 - 4 │400 - │470 - │ - │ - │ - │
│ │ │ │ 430│ 500│ │ │ │
├─────┼──────────┼───────────┼────────┼────────┼────────┼────────┼────────┤
│ 250 │ 11 - 20 │ - │ - │ - │380 - │430 - │490 - │
│ │ │ │ │ │ 410│ 460│ 510│
│ │ 5 - 10 │ - │ - │ - │440 - │490 - │ - │
│ │ │ │ │ │ 460│ 510│ │
│ │ - │ 1 - 4 │ - │ - │480 - │530 - │ - │
│ │ │ │ │ │ 520│ 550│ │
└─────┴──────────┴───────────┴────────┴────────┴────────┴────────┴────────┘
Примечание. Применение ГЦПВ ниже М100 не допускается.
┌─────────┬───────────┬───────────────────────────────────────────────────┐
│Жесткость│Подвижность│ Расход воды, л/м3, при наибольшей крупности в мм │
│бетонной │ бетонной ├─────────────────────────┬─────────────────────────┤
│смеси, с │ смеси, см │ гравия │ щебня │
│ │ ├────────┬────────┬───────┼────────┬───────┬────────┤
│ │ │ 10 │ 20 │ 40 │ 10 │ 20 │ 40 │
├─────────┴───────────┴────────┴────────┴───────┴────────┴───────┴────────┤
│ ГЦПВ на основе гипсового вяжущего бета модификации │
│11 - 20 │ - │ 215 │ 200 │ 185 │ 225 │ 215 │ 200 │
│ 5 - 10 │ - │ 240 │ 225 │ 210 │ 250 │ 240 │ 225 │
│ │ 1 - 4 │ 260 │ 245 │ 230 │ 270 │ 260 │ 245 │
│ │
│ ГЦПВ на основе гипсового вяжущего альфа модификации │
│11 - 20 │ - │ 190 │ 175 │ 160 │ 200 │ 190 │ 175 │
│ 5 - 10 │ - │ 215 │ 200 │ 185 │ 230 │ 215 │ 195 │
│ │ 1 - 4 │ 230 │ 215 │ 200 │ 245 │ 230 │ 210 │
└─────────┴───────────┴────────┴────────┴───────┴────────┴───────┴────────┘
Примечания. 1. Данные
табл. 9 справедливы при расходах вяжущего 400 - 450 кг/м3 и при использовании песков средней крупности.
2. Определение необходимого количества воды производится экспериментальным путем с учетом данных, приведенных в
табл. 9, и в соответствии с ГОСТ 10181.1-81, а также с учетом необходимого времени, установленного для начала схватывания бетонной смеси.
3.20. Подбор состава легкого бетона осуществляется в следующем порядке:
на основе имеющихся характеристик исходных компонентов и требований к бетонной смеси и бетону выбирают ориентировочный расход вяжущего
(табл. 10) и на основе требуемой жесткости (подвижности) расход воды
(табл. 11);
расход крупного и мелкого заполнителя рассчитывают, исходя из заданной средней плотности бетона и его структуры, пользуясь существующими методиками по подбору состава керамзитобетона и с учетом
п. 3.10 данных Рекомендаций;
из бетонной смеси изготовляют образцы-кубы для определения требуемой прочности и средней плотности бетона.
┌─────┬──────────┬─────────┬────────────┬─────────────────────────────────┐
│Марка│Предельная│Жесткость│Подвижность │ Расход ГЦПВ, кг/м3, для бетона │
│ГЦПВ │крупность │бетонной │ бетонной │ прочностью на сжатие, МПа │
│ │керамзита,│смеси, с │ смеси, см ├──────┬──────┬──────┬─────┬──────┤
│ │ мм │ │ │ 3,5 │ 5 │ 7,5 │ 10 │ 15 │
├─────┼──────────┼─────────┼────────────┼──────┼──────┼──────┼─────┼──────┤
│ 1 │ 2 │ 3 │ 4 │ 5 │ 6 │ 7 │ 8 │ 9 │
├─────┼──────────┼─────────┼────────────┼──────┼──────┼──────┼─────┼──────┤
│ 100 │ 20 │ 11 - 15 │ - │280 - │330 - │360 - │ - │ - │
│ │ │ │ │ 310│ 360│ 380│ │ │
│ │ │ 5 - 10 │ - │300 - │350 - │380 - │ - │ - │
│ │ │ │ │ 340│ 380│ 400│ │ │
│ │ │ - │ 1 - 4 │330 - │380 - │400 - │ - │ - │
│ │ │ │ │ 370│ 400│ 460│ │ │
│ ├──────────┼─────────┼────────────┼──────┼──────┼──────┼─────┼──────┤
│ │ 40 │ 11 - 15 │ - │300 - │365 - │ - │ - │ - │
│ │ │ │ │ 350│ 390│ │ │ │
│ │ │ 5 - 10 │ - │320 - │375 - │ - │ - │ - │
│ │ │ │ │ 380│ 400│ │ │ │
│ │ │ - │ 1 - 4 │380 - │390 - │ - │ - │ - │
│ │ │ │ │ 420│ 430│ │ │ │
├─────┼──────────┼─────────┼────────────┼──────┼──────┼──────┼─────┼──────┤
│ 150 │ 20 │ 11 - 15 │ - │275 - │325 - │375 - │400 -│ - │
│ │ │ │ │ 325│ 350│ 400│ 425│ │
│ │ │ 5 - 10 │ - │275 - │325 - │375 - │400 -│ - │
│ │ │ │ │ 335│ 360│ 410│ 440│ │
│ │ │ - │ 1 - 4 │360 - │380 - │410 - │440 -│ - │
│ │ │ │ │ 380│ 400│ 430│ 460│ │
│ ├──────────┼─────────┼────────────┼──────┼──────┼──────┼─────┼──────┤
│ │ 40 │ 11 - 15 │ - │300 - │350 - │400 - │ - │ - │
│ │ │ │ │ 350│ 375│ 425│ │ │
│ │ │ 5 - 10 │ - │300 - │350 - │400 - │ - │ - │
│ │ │ │ │ 360│ 390│ 440│ │ │
│ │ │ - │ 1 - 4 │380 - │390 - │440 - │ - │ - │
│ │ │ │ │ 400│ 420│ 460│ │ │
├─────┼──────────┼─────────┼────────────┼──────┼──────┼──────┼─────┼──────┤
│ 250 │ 20 │ 11 - 15 │ - │ - │ - │ - │325 -│400 - │
│ │ │ │ │ │ │ │ 350│ 425│
│ │ │ 5 - 10 │ - │ - │ - │ - │325 -│425 - │
│ │ │ │ │ │ │ │ 360│ 450│
│ │ │ - │ 1 - 4 │ - │ - │ - │380 -│450 - │
│ │ │ │ │ │ │ │ 400│ 480│
│ ├──────────┼─────────┼────────────┼──────┼──────┼──────┼─────┼──────┤
│ │ 40 │ 11 - 15 │ - │ - │ - │ - │350 -│ - │
│ │ │ │ │ │ │ │ 375│ │
│ │ │ 5 - 10 │ - │ - │ - │ - │350 -│ - │
│ │ │ │ │ │ │ │ 385│ │
│ │ │ - │ 1 - 4 │ - │ - │ - │400 -│ - │
│ │ │ │ │ │ │ │ 420│ │
└─────┴──────────┴─────────┴────────────┴──────┴──────┴──────┴─────┴──────┘
┌─────────┬───────────┬───────────────────────────────────────────────────┐
│Жесткость│Подвижность│ Расход воды, л/м3, при наибольшей крупности, мм │
│бетонной │ бетонной ├─────────────────────────┬─────────────────────────┤
│смеси, с │ смеси, см │ гравия │ щебня │
│ │ ├────────────┬────────────┼────────────┬────────────┤
│ │ │ 20 │ 40 │ 20 │ 40 │
├─────────┴───────────┴────────────┴────────────┴────────────┴────────────┤
│ ГЦПВ на основе гипсового вяжущего бета модификации │
│ 11 - 15 │ - │ 240 - 250 │ 230 - 240 │ 250 - 260 │ 240 - 250 │
│ 5 - 10 │ - │ 260 - 280 │ 260 - 270 │ 280 - 290 │ 270 - 280 │
│ │ 1 - 4 │ 300 - 310 │ 290 - 300 │ 310 - 320 │ 300 - 310 │
│ │
│ ГЦПВ на основе гипсового вяжущего альфа модификации │
│ 11 - 15 │ - │ 220 - 230 │ 210 - 220 │ 230 - 240 │ 215 - 230 │
│ 5 - 10 │ - │ 250 - 260 │ 240 - 250 │ 260 - 270 │ 240 - 250 │
│ │ 1 - 4 │ 280 - 290 │ 270 - 280 │ 290 - 310 │ 270 - 290 │
└─────────┴───────────┴────────────┴────────────┴────────────┴────────────┘
Примечания. 1. Данные
табл. 11 справедливы при расходах вяжущего 380 - 400 кг/м3 и при использовании керамзитового песка.
2. Определение необходимого количества воды производится экспериментальным путем.
При подборе составов бетона необходимо фиксировать начало схватывания бетонной смеси.
3.21. Подбор состава легкого бетона с воздухововлекающими или порообразующими добавками следует определять с учетом "Руководства по заводской технологии изготовления наружных стеновых панелей из легких бетонов на пористых заполнителях", М., 1980, и требований настоящих Рекомендаций.
3.22. Установленные ориентировочные составы бетона следует проверять непосредственно в производственных условиях с учетом всех технологических особенностей предприятия.
3.23. При проведении опытных замесов расходы материалов и воды пересчитываются с учетом фактической влажности заполнителя.
| | ИС МЕГАНОРМ: примечание. Взамен ГОСТ 10180-78 в части определения прочности бетона по контрольным образцам Постановлением Госстроя СССР от 29.12.1989 N 168 с 1 января 1991 года введен в действие ГОСТ 10180-90. | |
3.24. Прочность на сжатие бетона на ГЦПВ определяют по ГОСТ 10180-78.
Примечание. Высушивание образцов из легкого и ячеистого бетонов до постоянной массы производится при температуре 50 +/- 5 °C.
3.25. Откорректированный в результате опытных замесов состав бетона признается удовлетворительным и выдается на производство, если при обеспечении необходимых технологических требований бетон в изделиях отвечает заданным проектным требованиям по прочности, средней плотности и отпускной влажности (в случае легкого бетона) или другим специальным требованиям.
3.26. Рекомендуется из подобранного состава легкого бетона изготовить образцы для проверки коэффициента теплопроводности и морозостойкости в соответствии с ГОСТ 7076-78 и ГОСТ 10060-87.
Приготовление бетонных смесей
3.27. При приготовлении бетонной смеси ГЦПВ дозируют по массе с точностью +/- 1%, крупные заполнители (плотные) и песок с точностью +/- 2%. Пористые заполнители дозируют по объему с точностью +/- 3%. Воду и добавки дозируют по массе или объему с точностью +/- 1%.
3.28. Приготовление бетонных смесей на пористых заполнителях и мелкозернистых смесей следует производить в смесителях принудительного действия. Наиболее целесообразными являются смесители непрерывного действия, что позволяет при изготовлении подвижных смесей исключить добавку замедлителя схватывания бетонной смеси, отрицательно сказывающуюся на интенсивности начального твердения бетонов.
3.29. Приготовление бетонных смесей на плотных крупных заполнителях может осуществляться в гравитационных смесителях периодического действия либо в смесителях принудительного действия с горизонтальным валом.
3.30. Очистку смесителей периодического действия необходимо производить ежечасно водой, содержащей раствор замедлителя.
3.31. Время перемешивания определяется опытным путем и зависит от типа и вместимости смесителя, вида и подвижности (жесткости) бетонной смеси и находится в пределах 2 - 5 мин.
3.32. В смесители периодического действия материалы должны загружаться в следующей последовательности: 1/2 - 1/3 общего количества крупного и мелкого заполнителя, вода с добавкой замедлителя схватывания, а в случае необходимости и с другой добавкой, затем после перемешивания в течение 1 - 2 мин - ГЦПВ и оставшийся заполнитель.
3.33. При приготовлении поризованных легких бетонов, отдозированный раствор пенообразователя вводится в пеногенератор в соответствии с "Инструкцией по изготовлению и применению стеновых панелей и блоков из керамзитопенобетона для животноводческих и птицеводческих зданий", ВСН 03-77 Минсельстроя СССР и "
Рекомендаций по изготовлению ограждающих конструкций из поризованного керамзитобетона", М., 1973.
3.34. Приготовленная бетонная смесь, выгружаемая из смесителя в зимнее время, должна иметь температуру не ниже +10 °C.
3.35. Подача бетонной смеси к месту укладки должна производиться непосредственно из смесителя или с минимальным количеством перегрузок по кратчайшему пути и по времени, не превышающему 3 - 5 мин. Высота свободного падения смеси при перегрузках не должна превышать 1 м.
3.36. Стеновые камни из бетонов на основе ГЦПВ следует изготовлять с применением формовочного оборудования, обеспечивающего получение их в соответствии с требованиями
ГОСТ 6133-84.
3.37. При небольшом объеме производства камни могут формоваться на ручных вибрационных станках типа РВ-4, РВ-5 или др.
3.38. Естественная сушка камней в летних условиях должна производиться на воздухе под навесом. Для этого камни укладывают на ребро на стеллажи с зазором между ними не менее 5 см.
3.39. Искусственную сушку стеновых камней следует производить в сушилках. Отпускная влажность камней не должна быть более 12%.
3.40. Изготовление крупных блоков, панелей и плит для наружных стен, перекрытий и покрытий можно производить по любой существующей технологии при условии обеспечения укладки и уплотнения бетонной смеси до начала ее схватывания.
3.41. Время от момента выгрузки бетонной смеси из смесителя до укладки ее в форму должно быть сведено к минимуму. Для этого рационально устанавливать смеситель непосредственно над постом формования изделий.
3.42. Укладку и уплотнение бетонных смесей следует производить в соответствии с "
Руководством по технологии формования железобетонных изделий", М., 1977, и указаниями настоящих Рекомендаций.
3.43. Уплотнение бетонных смесей в формах должно производиться методами, обеспечивающими при наибольшей степени механизации процесса и наименьшей продолжительности формования, достижение равномерного и наибольшего уплотнения смеси по всему объему изделия.
3.44. Уплотнение жестких бетонных смесей следует осуществлять с пригрузом в 30 - 50 г/см2. Продолжительность уплотнения бетонной смеси для различных видов изделий должна устанавливаться опытным путем.
3.45. Отделку изделий во время формования следует производить в соответствии с "Инструкцией по отделке фасадных поверхностей для наружных стен" (ВСН 66-89-76).
3.46. Распалубливание изделий можно осуществлять при достижении 30 - 40% требуемой прочности, т.е. через 1 - 3 ч в зависимости от свойств бетона, размеров и вида изделий, способа формования.
3.47. После распалубливания изделий в холодное время года они должны выдерживаться не менее суток в помещении цеха при температуре не ниже +15 °C.
3.48. Отделку изделий (блоков, панелей), а также комплектацию панелей рекомендуется осуществлять на вертикальных или горизонтально-вертикальных конвейерах в соответствии с "Руководством по заводской технологии изготовления наружных стеновых панелей из легких бетонов на пористых заполнителях", М., 1980, и указаниями настоящих Рекомендаций
(п. 3.45).
Контроль качества производства изделий
3.49. Контроль качества производства изделий должен осуществляться путем операционного (входного и текущего) контроля всех производственных процессов и приемочного контроля качества изделий при отпуске их потребителю.
3.50. Контроль качества исходных материалов для приготовления бетона осуществляется заводской лабораторией при получении каждой новой партии материалов.
3.51. Испытания ГЦПВ или его отдельных компонентов производят в соответствии с действующей нормативно-технической документацией.
3.52. Испытания крупного и мелкого заполнителя для бетона производят в соответствии с государственными стандартами.
3.53. Контроль качества арматурных изделий осуществляется ОТК и лабораторией завода. Контроль включает проверку соответствия размеров, геометрической формы и конструкций каркасов рабочим чертежам, качества сварных соединений, правильности установки закладных деталей. Одновременно проверяется качество защитной обмазки на арматуре.
3.54. Контроль правильности работы дозаторов осуществляется 1 раз в смену.
3.55. Качество бетонной смеси оценивается по результатам контроля ее удобоукладываемости, средней плотности и сроков схватывания.
3.56. Удобоукладываемость бетонной смеси проверяют по ГОСТ 10181.1-81 до или в процессе укладки в формы.
3.57. Сроки схватывания бетонной смеси определяют: начало - по срокам схватывания ГЦП теста, приготовленного с В/Вяж отношением, соответствующим В/Вяж отношению в бетонной смеси, с учетом воды, отторгнутой заполнителем; конец - визуально на образце, отформованном из смеси, взятой сразу после приготовления.
3.58. Контроль прочности в изделиях и конструкциях осуществляют в соответствии с
ГОСТ 18105-86.
В начальный период контроля, вплоть до накопления необходимых статистических данных, требуемую прочность бетона

(наименьшее допустимое значение прочности бетона в партии) следует рассчитывать по формуле
| | ИС МЕГАНОРМ: примечание. Нумерация формул дана в соответствии с официальным текстом документа. | |

, (3)
где

- нормируемое значение прочности бетона в МПа для бетона данного класса по прочности на сжатие;

- коэффициент, учитывающий однородность по прочности различных видов бетона; для бетона на ГЦПВ

,
тогда

.
3.59.

устанавливается лабораторией при контроле нормируемой прочности: отпускной, проектной.
Партия бетона подлежит приемке, если фактическая прочность

не ниже требуемой

.
| | ИС МЕГАНОРМ: примечание. Взамен ГОСТ 10180-78 в части определения прочности бетона по контрольным образцам Постановлением Госстроя СССР от 29.12.1989 N 168 с 1 января 1991 года введен в действие ГОСТ 10180-90. | |
3.60. При изготовлении контрольных образцов для испытаний бетонную смесь отбирают в момент ее укладки в форму на посту формования. Сразу же из нее формуют образцы стандартных размеров в соответствии с ГОСТ 10180-78. Образцы должны быть отформованы до начала схватывания смеси и твердеть в тех же условиях, что и изделия. Часть образцов испытывают, устанавливая отпускную, а при необходимости и распалубочную прочность бетона, другую часть хранят в нормальных условиях в течение 28 сут для определения проектной прочности бетона.
3.61. Морозостойкость бетона на ГЦПВ контролируют по ГОСТ 10060-87.
3.63. Влажность легкого бетона на пористых заполнителях и ячеистого бетона следует определять по
ГОСТ 12730.0-78 и
ГОСТ 12730.2-78 испытанием проб, отобранных из готовых изделий. От каждого изделия следует отбирать не менее двух проб. Пробы для определения влажности бетона следует отбирать выбуриванием и высверливанием при малой скорости на глубину, равную половине толщины изделия, на расстоянии от торцевых граней изделия не менее половины его толщины и не менее 200 мм. Отверстия, образовавшиеся после отбора проб, должны быть заделаны раствором на ГЦПВ.
Масса каждой навески (в граммах), используемой для определения влажности, должна быть не менее 100 для легкого бетона на пористых заполнителях и 20 - для ячеистого бетона. Температура сушки проб до постоянной массы должна быть 50 +/- 5 °C.
3.64. Теплопроводность легкого бетона на пористых и органических заполнителях и ячеистого бетона определяется в высушенном до постоянной массы состоянии при температуре 50 +/- 5 °C по ГОСТ 7076-78.
3.65. Объем межзерновых пустот легкого бетона на пористых заполнителях следует определять в уплотненной бетонной смеси по ГОСТ 10181.0-81 и ГОСТ 10181.3-81, затвердевшего бетона по
ГОСТ 12730.0-78 и
ГОСТ 12730.4-78.
3.67. Наличие сцепления защитно-декоративного и отделочного слоев или облицовочных плиток с бетоном изделий следует проверять простукиванием металлическим молотком массой 50 г. Слои или плитки, издающие при простукивании глухой звук, считают отслоившимися.
4. ПРИЕМКА, МАРКИРОВКА, ХРАНЕНИЕ И ТРАНСПОРТИРОВКА ИЗДЕЛИЙ
4.1. Изделия перед отправкой на склад готовой продукции должны быть приняты отделом технического контроля предприятия.
4.2. Размеры, непрямолинейность и неплоскостность изделий, положение стальных закладных изделий, арматурных выпусков и монтажных петель, толщину защитного слоя бетона до арматуры, качество бетонных поверхностей, внешний вид и фактическую массу блоков и панелей следует контролировать в соответствии с
ГОСТ 13015.0-83.
4.3. Приемку изделий следует производить партиями по совокупности показателей качества готовых изделий в соответствии с требованиями
ГОСТ 13015.1-81 и настоящих Рекомендаций.
4.4. В состав партии должны входить изделия одного назначения, изготовленные предприятием по одной технологии из материалов одного вида и качества.
4.5. Приемочный контроль и испытания наружных блоков и панелей на отпускную влажность и плотность легкого бетона на пористых заполнителях следует проводить не реже одного раза в месяц.
4.6. Маркировку блоков и панелей следует проводить по
ГОСТ 13015.2-81. Мелкие стеновые блоки и камни должны маркироваться в каждом штабеле по одному в верхнем, среднем и нижнем рядах путем нанесения несмываемой краской при помощи трафарета или штампа товарного знака предприятия-изготовителя.
4.7. Предприятие-изготовитель должно гарантировать соответствие изделий требованиям действующих нормативных документов при соблюдении потребителем условий применения и хранения, установленных настоящими Рекомендациями, и сопровождать каждую партию паспортом по
ГОСТ 13015.3-81.
4.8. Изделия из бетонов на ГЦПВ должны храниться рассортированными по маркам и должны быть защищены от увлажнения и не соприкасаться с грунтом.
4.9. Блоки и панели следует хранить на закрытом складе в вертикальном (рабочем) положении. Перемычечные, поясные, подкарнизные и другие блоки высотой до 800 мм допускается хранить в штабелях высотой не более 2,5 м.
4.10. Стеновые камни и мелкие блоки должны храниться уложенными в штабели высотой не более 2 м. Пустотелые камни должны храниться пустотами вниз.
4.12. Транспортирование стеновых камней и мелких блоков может осуществляться любыми транспортными средствами на поддонах, пакетами или в контейнерах, защищенными от увлажнения.
4.13. Запрещается производить погрузку и перевозку камней и мелких блоков навалом и разгрузку их сбрасыванием.
ХИМИЧЕСКИЕ ДОБАВКИ ДЛЯ РЕГУЛИРОВАНИЯ
СВОЙСТВ БЕТОННЫХ СМЕСЕЙ И БЕТОНОВ
┌───────────┬───────────────────┬────────┬───────────────┬────────────────┐
│ Класс │ Наименование │Условное│ Нормативный │ Рекомендуемое │
│ добавок │ добавки │обозна- │ документ на │ количество │
│по действию│ │чение │ добавку │ добавки в │
│ на ГЦПВ │ │ │ │расчете на сухое│
│ │ │ │ │ вещество, │
│ │ │ │ │ % массы ГЦПВ │
├───────────┼───────────────────┼────────┼───────────────┼────────────────┤
│ 1 │ 2 │ 3 │ 4 │ 5 │
├───────────┼───────────────────┼────────┼───────────────┼────────────────┤
│Пластифици-│Суперпластификатор │ С-3 │ТУ 6-14-625-80 │ 0,5 - 1,0 │
│рующие │С-3 │ │с изм. N 1 │ │
│ │ │ │Минхимпром │ │
│ │Суперпластификатор │ КМ-30 │ │ 0,5 - 1,0 │
│ │КМ-30 │ │ │ │
│ │Суперпластификатор │СП 10-03│ТУ 44-3-506-81 │ 0,2 - 1,0 │
│ │10-03 │ │Минхимпром │ │
│ │Суперпластификатор │СП 40-03│ТУ 38-4-0258-82│ 0,2 - 0,6 │
│ │40-03 │ │ │ │
│Пластифици-│Лигносульфонаты │ ЛСТ │ОСТ 13-183-83 │ 0,1 - 1,0 │
│рующе- │технические │ │ │ │
│замедляющие│ │ │ │ │
│Замедлители│Животный клей │ │ │ 0,4 - 0,6 │
│ │(мездровый) │ │ │ │
│ │Водорастворимый │ ВРП-1 │ТУ │ 0,001 - 0,03 │
│ │препарат │ │59-02-00405-78 │ │
│ │ │ │с изм. N 2 │ │
│ │Щелочной сток │ ЩСПК │ТУ │ 0,005 - 0,1 │
│ │производства │ │113-03-488-84 │ │
│ │капролактама (соль │ │ │ │
│ │адипиновой кислоты)│ │ │ │
│Ускорители │Сульфат натрия │ СН │
ГОСТ 6318-77 │ 0,3 - 0,5 │
ИС МЕГАНОРМ: примечание.
Взамен ГОСТ 4148-66 Постановлением Госстандарта СССР от 28.06.1978
│ │Сульфат железа │ СЖ │ГОСТ 4148-66 │ 0,1 - 0,8 │
│ │Хлорид кальция │ ХК │ГОСТ 450-70 │ 0,1 - 1,0 │
ИС МЕГАНОРМ: примечание.
Взамен ГОСТ 12966-75 Постановлением Госстандарта СССР от 30.09.1985 N 3183
│ │Сульфат алюминия │ СА │ГОСТ 12966-75 │ 0,1 - 1,0 │
│ │Хлорид натрия │ ХН │ГОСТ 13830-68 │ 0,1 - 0,5 │
│ │(гипсовый камень) │ │ │ │
│Воздухо- │Смола нейтрализо- │ СНВ │ТУ 81-05-75-74 │ 0,005 - 0,015 │
│вовлекающие│ванная воздухово- │ │ │ │
│ │влекающая │ │ │ │
│ │Смола древесная │ СДО │ТУ 13-05-02-83 │ 0,005 - 0,02 │
│ │омыленная │ │ │ │
│ │Сульфанол │ С │ТУ 6-01-1157-78│ 0,005 - 0,02 │
│Гидрофобные│Этилсиликонат │ ГКЖ-10 │ТУ 6-02-696-76 │ 0,15 - 0,6 │
│ │натрия │ │ │ │
│ │Метилсиликонат │ ГКЖ-11 │ТУ 6-02-696-76 │ 0,15 - 0,6 │
│ │натрия │ │ │ │
│ │(136-41 ГКЖ-94) │ │ │ │
│ │Битумная эмульсия │ │ │ 5 - 20 │
│Комплексные│ЛСТ + СЖ (СН, ХК, │ │Дозировки │ │
│ │СА) │ │компонентов │ │
│ │ЛСТ + БТ │ │комплексных │ │
│ │ЩСПК + ЛСТ + СЖ │ │добавок не │ │
│ │(ХК) │ │должны превы- │ │
│ │С-3 + ЛСТ │ │шать указанных │ │
│ │ЩСПК + С-3 + ГК │ │выше для каждой│ │
│ │(СЖ) │ │отдельной │ │
│ │ │ │добавки │ │
└───────────┴───────────────────┴────────┴───────────────┴────────────────┘
Примечание. Оптимальные дозировки для бетонов различных видов устанавливают экспериментальным путем при обязательном контроле параметров свойств (сроков схватывания, начальной и конечной прочности, коэффициента размягчения, появления высолов).
Расход добавки в пересчете на сухое вещество и на раствор известной концентрации определяют по формулам

;

,
где Д - расход добавки в % от массы вяжущего;
d - то же, в кг/м3 бетонной смеси в пересчете на сухое вещество добавки;

- то же, на раствор рабочей консистенции;
n - концентрация рабочего раствора добавки, %;

- плотность рабочего раствора добавки.
Количество воды для затворения бетонной смеси

с учетом воды, содержащейся в растворе добавки известной концентрации, вычисляют по формуле

.
1. Цементно-полистирольное покрытие. Для приготовления цементно-полистирольного покрытия требуются материалы: портландцемент (марки не ниже 400), полистирол блочный или эмульсионный, песок молотый до удельной поверхности 5000 - 6000 см2/г, скипидар или ксилол-метан.
Рекомендуется следующий состав обмазки:
полистирольный клей 100 вес. ч.
молотый песок 20 "
портландцемент 130 - 200 "
Полистирольный клей готовится растворением полистирола блочного и 80 вес. ч. скипидара или 15 вес. ч. эмульсионного полистирола и 85 вес. ч. скипидара. Растворение ведется при перемешивании без подогрева.
Полистирольный клей может быть заготовлен в большом количестве и храниться в закрытой таре. Эти свойства клея дают возможность готовить цементно-полистирольный состав для проведения работ в течение одной смены.
Цементно-полистирольное покрытие готовится следующим образом: в полистирольный клей небольшими порциями при тщательном перемешивании вводят расчетное количество молотого песка и цемента. Консистенция смесей должна быть сметанообразной. Работу следует производить в специальном помещении, оборудованном вентиляцией.
Сушка покрытия производится при 20 - 25 °C в течение 15 - 30 мин. При более высокой температуре время сушки уменьшается.
2. Цементно-поливинилацетатное покрытие. Для приготовления цементно-поливинилацетатной смеси требуются следующие материалы: портландцемент (марки не ниже 400); поливинилацетатная пластифицированная эмульсия, молотый песок.
Для приготовления покрытия рекомендуется следующий состав:
портландцемент 250 вес. ч.
поливинилацетатная 50%-ная эмульсия 100 "
вода 60 "
молотый песок 20 "
Цементно-поливинилацетатная смесь готовится следующим образом: в поливинилацетатную эмульсию вводится расчетное количество воды, затем при постоянном перемешивании добавляют цемент и молотый песок. Готовая смесь должна иметь сметанообразную консистенцию.
Готовую смесь выдерживают в течение 20 - 30 мин для удаления пузырьков воздуха, а затем ею обмазывают арматуру.
Арматуру сушат в помещении в течение 40 - 60 мин. Цементно-поливинилацетатная смесь готовится в количестве, необходимом для работы в течение одной смены.
Покрытия наносятся на арматуру. Толщина покрытия, проверяемая после высыхания с помощью штангенциркуля, должна быть не менее 0,4 мм.
Обмазка на поверхности арматуры (до укладки в бетон) должна быть плотной и однородной, без видимых пор, пузырей, крупинок и трещин.
Допускаются потеки в виде застывших капель защитного состава с нижней стороны арматурных стержней. При косом срезе острым ножом вдоль поверхности арматуры не должно происходить откалывания защитного покрытия за пределами среза.
После высыхания защитное покрытие не должно отслаиваться от поверхности арматуры.
Защитное покрытие в высушенном состоянии не должно размокать в течение 24 ч пребывания в воде при температуре 18 °C.
3. Цементно-кузбасслаковое покрытие. Для приготовления цементно-кузбасслакового покрытия рекомендуется следующий состав:
портландцемент - 1 вес. ч.
кузбасслак - 1 вес. ч.
Кроме этого, можно рекомендовать защиту арматуры от коррозии способом металлизации (оцинкование, алюминизация). Металлическое покрытие наносится на арматуру способом горячего или диффузионного цинкования.
Толщина защитного слоя покрытия должна быть в пределах 0,4 - 0,6 мм.
Защитным действием по отношению к стали в бетоне на ГЦПВ обладают комплексные добавки-ингибиторы, проявляющие синергический эффект. Наиболее эффективными являются комплексные добавки: 1,5% нитрита натрия (НН) + ализариновое масло; 1,3% НН + 0,2% бура; 1,5% НН + 0,25 ПАВ, обладающие также пластифицирующим действием.
Однако эти добавки не могут полностью обеспечить сохранность стальной арматуры от коррозии в бетонах на ГЦПВ. Целесообразность их применения зависит от вида бетона и назначения конструкции, условий ее эксплуатации, толщины и качества защитного слоя и устанавливается на основании предварительных экспериментальных проверок.
ПРИМЕРЫ ПОДБОРА СОСТАВОВ БЕТОНА
Пример подбора состава тяжелого бетона на ГЦПВ
Требуется подобрать бетон класса по прочности на сжатие В10 (средний уровень прочности при

;

;

;

или 180 кгс/см2).
Жесткость бетонной смеси - 11 - 20 с (ГОСТ 10181-81).
Характеристика материалов: ГЦПВ марки 150 (истинная плотность - 2,7 г/см3) содержит в своем составе по массе: гипсового вяжущего (Г-5 Б II) - 50%, портландцемента Брянского завода марки 400 - 30%, трепела Брянского - 20%. Наибольшая крупность щебня из гравия - 20 мм, истинная плотность - 2,5, насыпная плотность - 1,43 т/м3, пустотность - 43%; песок с модулем крупности 2,5 и истинной плотностью 2,65 г/см3, насыпная плотность - 1,6 т/м3.
По
табл. 8 и
9 выбирают расходы ГЦПВ и воды соответственно 400 кг и 215 л, т.е.

или

. Для уточнения

, обеспечивающего требуемую прочность, задаются еще двумя отношениями, отклоняющимися от расчетного на +/- 0,1.
Принимают три расхода воды, соответствующие

отношениям для выбранного расхода ГЦПВ в 400 кг/м3:
Определяют расход крупного заполнителя, приняв коэффициент избытка

.

.
Затем определяют расходы песка:
Пересчитывают полученный расход материалов на требуемые объемы опытных замесов.
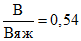
В данном случае на замесе 8 - 10 л сначала определяют удобоукладываемость бетонной смеси в приборе для определения жесткости (ГОСТ 10181.1-81).
Она составляет соответственно принятым расходам воды - 10, 16 и 32 с. Так как два

отношения обеспечивают требуемую жесткость, то корректировку состава бетонной смеси не делают.
Смесь укладывают в 2 трехгнездовые формы для кубов с ребром 10 см. Одновременно определяют время до начала схватывания бетонной смеси при назначенном количестве замедлителя.
| | ИС МЕГАНОРМ: примечание. Взамен ГОСТ 10180-78 в части определения прочности бетона по контрольным образцам Постановлением Госстроя СССР от 29.12.1989 N 168 с 1 января 1991 года введен в действие ГОСТ 10180-90. | |
Образцы освобождают от форм через 1 - 2 ч после уплотнения бетонной смеси. Прочность бетона определяют согласно ГОСТ 10180-78* и вычисляют по 6 образцам.
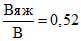
По данным испытаний образцов, приведенных к прочности стандартного образца в 28-суточном возрасте, строят зависимость P от

и находят такое

отношение, которое обеспечивает средний уровень прочности бетона P = 180 кгс/см2. В рассматриваемом примере

или

. Принимая установленный в опытных замесах расход воды

, соответствующий требуемой жесткости, определяют расход ГЦПВ: 216 x 1,9 = 410 кг/м3.
Производят уточненный расчет материалов на 1 м3 и готовят серии контрольных образцов-кубов для испытания через несколько часов (2 - 4 ч в зависимости от технологии производства) и в возрасте 1, 3, 7, 28 сут, а при необходимости и в другие дополнительные сроки.
По данным испытаний строят кривую роста прочности бетона на ГЦПВ во времени, по которой устанавливают распалубочную и отпускную прочность бетона и сроки ее достижения.
Пример подбора состава легкого бетона на ГЦПВ
Исходные данные
Марка керамзитобетона по средней плотности - Д 1100.
Класс по прочности на сжатие - В5 (

или 90 кг/см2).
Требуемая удобоукладываемость бетонной смеси - 5 - 10 с.
Материалы
ГЦПВ марки 150, песок керамзитовый со средней насыпной плотностью

; керамзитовый гравий с наибольшей крупностью 20 мм и

.
Порядок подбора
1. По
табл. 10 выбирают ориентировочный расход ГЦПВ - 380 кг/м3.
2. Расход заполнителей определяют следующим образом. Суммарный расход крупного и мелкого заполнителя на 1 м3 керамзитобетона.
З = Д - 1,15Ц, где Ц - расход вяжущего;
З = 1100 - 1,15 x 380 = 1100 - 437 = 663 кг.
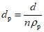
Расход песка определяют по формуле

,
где r - доля песка в общей смеси заполнителя - выбирается как для обычного керамзитобетона, но меньше на 30 - 50% из-за большого расхода ГЦПВ и его несколько меньшей плотности по сравнению с портландцементом.
Принимаем r = 0,2, тогда

,
или

. Расход керамзита

или

.
3. Ориентировочный расход воды выбираем либо по
табл. 11, либо по формуле

,
где НГ - нормальная густота ГЦПВ, %;
Ц - расход вяжущего, кг;

- водопоглощение керамзита, %;

- расход керамзита, кг;

.
Водовяжущее отношение

.
| | ИС МЕГАНОРМ: примечание. Взамен ГОСТ 10180-78 в части определения прочности бетона по контрольным образцам Постановлением Госстроя СССР от 29.12.1989 N 168 с 1 января 1991 года введен в действие ГОСТ 10180-90. | |
По результатам расчета приготавливают пробные замесы с расходами вяжущего на 15% меньше и больше выбранного, т.е. 323, 380, 437 кг при одинаковой удобоукладываемости. После испытания образцов по ГОСТ 10180-78* и
п. 3.24 настоящих Рекомендаций строят графики зависимости прочности и средней плотности бетона от расхода вяжущего, затем выбирают оптимальный состав керамзитобетонной смеси для бетона класса В5, марки D 1100.