Главная // Актуальные документы // ГОСТ (Государственный стандарт)СПРАВКА
Источник публикации
М.: Издательство стандартов, 1986
Примечание к документу
Документ утратил силу с 1 июля 2015 года в связи с изданием
Приказа Росстандарта от 11.12.2014 N 1973-ст. Взамен введен в действие
ГОСТ 27005-2014.
С 1 июля 2003 года до вступления в силу технических регламентов акты федеральных органов исполнительной власти в сфере технического регулирования носят рекомендательный характер и подлежат обязательному исполнению только в части, соответствующей целям, указанным в
пункте 1 статьи 46 Федерального закона от 27.12.2002 г. N 184-ФЗ.
Текст документа приведен с учетом
поправки, опубликованной в "ИУС", N 8, 1987,
поправки, опубликованной в "ИУС", N 4, 1988,
поправки, опубликованной в "ИУС", N 9, 1989.
Введен в действие с 1 января 1988 года.
Название документа
"ГОСТ 27005-86. Бетоны легкие и ячеистые. Правила контроля средней плотности"
(утв. Постановлением Госстроя СССР от 08.08.1986 N 106)
"ГОСТ 27005-86. Бетоны легкие и ячеистые. Правила контроля средней плотности"
(утв. Постановлением Госстроя СССР от 08.08.1986 N 106)
Утвержден и введен в действие
Постановлением Госстроя СССР
от 8 августа 1986 г. N 106
ГОСУДАРСТВЕННЫЙ СТАНДАРТ СОЮЗА ССР
БЕТОНЫ ЛЕГКИЕ И ЯЧЕИСТЫЕ
ПРАВИЛА КОНТРОЛЯ СРЕДНЕЙ ПЛОТНОСТИ
Light-weight and cellular concretes.
Rules of average density control
ГОСТ 27005-86
ОКП 58 7000
Дата введения
1 января 1988 года
Разработан Научно-исследовательским институтом бетона и железобетона (НИИЖБ) Госстроя СССР, Научно-исследовательским институтом строительной физики (НИИСФ) Госстроя СССР, Центральным научно-исследовательским институтом строительных конструкций им. В.А. Кучеренко (ЦНИИСК) Госстроя СССР, Центральным научно-исследовательским институтом экспериментального проектирования жилища (ЦНИИЭПжилища) Госгражданстроя при Госстрое СССР, Министерством энергетики и электрификации СССР, Министерством промышленности строительных материалов СССР, МособлстройЦНИЛом Главмособлстроя при Мособлисполкоме.
Исполнители: И.Е. Путляев, д-р техн. наук; А.Т. Баранов, д-р техн. наук (руководители темы); Т.А. Ухова, канд. техн. наук; Л.И. Карпикова, канд. техн. наук; В.Н. Ярмаковский, канд. техн. наук; В.И. Савин, канд. техн. наук; Р.Л. Серых, канд. техн. наук; И.М. Дробященко, канд. техн. наук; В.Г. Довжик, канд. техн. наук; З.М. Брейтман; Б.А. Верскаин; Е.Н. Бурмистрова; Л.И. Острат; В.Р. Хлевчук, канд. техн. наук; В.А. Дорф, канд. техн. наук; Э.Г. Соркин, канд. техн. наук; Н.И. Левин, канд. техн. наук; Н.С. Стронгин, канд. техн. наук; Н.Я. Спивак, канд. техн. наук; О.Ш. Кикава, канд. техн. наук; И.Н. Нагорняк.
Внесен Научно-исследовательским институтом бетона и железобетона (НИИЖБ) Госстроя СССР.
Директор К.В. Михайлов.
Утвержден и введен в действие Постановлением Государственного комитета СССР по делам строительства от 8 августа 1986 г. N 106.
Настоящий стандарт распространяется на легкий и ячеистый бетоны сборных бетонных и железобетонных конструкций и изделий (далее - конструкции) для жилых, общественных, производственных и сельскохозяйственных зданий и устанавливает правила контроля их средней плотности (далее - плотности).
Пояснения к терминам, используемым в настоящем стандарте, приведены в справочном
Приложении.
1.1. На предприятиях на стадии производства конструкций и при приготовлении легкобетонной смеси должен производиться статистический контроль плотности бетона в соответствии с требованиями настоящего стандарта.
1.2. Контроль плотности бетона производят с использованием результатов контроля предыдущих партий в следующем порядке:
определяют плотность бетона в каждой партии, изготовленной в течение установленного стандартом периода (анализируемого);
вычисляют характеристики однородности плотности бетона за анализируемый период;
определяют по характеристикам однородности плотности бетона в анализируемом периоде требуемую плотность бетона для последующего контролируемого периода;
определяют плотность бетона в данной контролируемой партии, сравнивают ее с требуемой плотностью и принимают решение о приемке этой партии.
1.3. Определение плотности бетона в партиях производят испытанием серий контрольных образцов согласно
ГОСТ 12730.0-78, ГОСТ
12730.1-78 (далее - контроль по образцам) либо радиоизотопным методом по ГОСТ 17623-78.
Применение других методов контроля допускается по согласованию с головными научно-исследовательскими организациями.
1.4. В качестве характеристики однородности, используемой при контроле для определения требуемой плотности бетона

вычисляют средний по партиям коэффициент вариации

за анализируемый период.
1.5. По вычисленным значениям

и

определяют уровень плотности бетона

на предстоящий контролируемый период, который используют при подборе состава бетона в соответствии с
ГОСТ 27006-86.
2. ОПРЕДЕЛЕНИЕ ПЛОТНОСТИ БЕТОНА В ПАРТИИ
При определении плотности бетона конструкций радиоизотопным методом в состав партии включают бетон одной партии конструкций.
2.2. Плотность бетона определяют на образцах, предназначенных для определения отпускной прочности по ГОСТ 10180-78. Плотность вычисляют по показателям плотности всех образцов серии бетона в сухом состоянии.
2.3. При приготовлении легкобетонной смеси по
ГОСТ 7473-85 изготавливают не менее одной серии образцов в соответствии с ГОСТ 10180-78.
2.4. При контроле плотности бетона в партии радиоизотопным методом по ГОСТ 17623-78 от каждой партии конструкций отбирают не менее трех конструкций.
Число и расположение контролируемых участков должно указываться проектной организацией в рабочих чертежах конструкций в зависимости от геометрических размеров, назначения и технологии изготовления.
При отсутствии указаний в рабочих чертежах контролируемые участки устанавливаются изготовителем по согласованию с проектной или научно-исследовательской организацией.
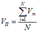
2.5. Плотность бетона в партии

, кг/м3, вычисляют по формуле

, (1)
где

- единичное значение плотности, кг/м3;

- число единичных значений плотности в партии бетона.
За единичное значение плотности бетона принимают:
при контроле по образцам - среднюю плотность всех образцов одной серии по
ГОСТ 12730.0-78;
при контроле радиоизотопным методом - среднюю плотность бетона конструкции, вычисленную как среднее арифметическое значение плотности бетона контролируемых участков конструкции.
3. ОПРЕДЕЛЕНИЕ ХАРАКТЕРИСТИК ОДНОРОДНОСТИ
БЕТОНА ПО ПЛОТНОСТИ
3.1. Продолжительность анализируемого периода устанавливают от двух до шести недель с тем, чтобы общее число единичных значений плотности бетона в течение этого периода составило не менее 30.
3.2. В течение анализируемого периода для каждой партии бетона вычисляют среднее квадратическое отклонение

, кг/м3, и коэффициент вариации плотности бетона

в процентах.
3.3. При контроле по образцам среднее квадратическое отклонение плотности бетона в партии

, кг/м3, при числе единичных значений плотности бетона более шести вычисляют по формуле

, (2)
При числе серий контрольных образцов для данной партии от двух до шести значение среднего квадратического отклонения плотности бетона вычисляют по формуле

, (3)
где

- размах значений средней плотности, кг/м3, в партии, определяемый как разность между максимальным и минимальным значениями плотности;

- коэффициент, зависящий от числа единичных значений плотности (n), принимаемый по табл. 1.
Таблица 1
────────────────────────────┬───────┬──────┬──────┬───────┬───────
Число единичных значений n │ 2 │ 3 │ 4 │ 5 │ 6
────────────────────────────┼───────┼──────┼──────┼───────┼───────
Значение коэффициента альфа │1,13 │1,69 │2,05 │2,33 │2,5
3.4. При определении плотности бетона радиоизотопным методом по ГОСТ 17623-78 среднее квадратическое отклонение

кг/м3, вычисляют с учетом отклонений градуировочной зависимости по формуле

, (4)
где

- среднее квадратическое отклонение градуировочной зависимости, кг/м3;
р - число контролируемых участков конструкции.
3.5. Коэффициент вариации плотности бетона

в партии в процентах определяют по формуле

. (5)
3.6. Средний по партиям за анализируемый период коэффициент вариации плотности бетона

в процентах вычисляют по формуле

, (6)
где N - число партий за анализируемый период.
3.7. На строительной площадке коэффициент вариации плотности бетона принимают по документу о качестве легкобетонной смеси предприятия-изготовителя.
3.8. При контроле нерегулярно выпускаемых конструкций коэффициент вариации плотности бетона принимают равным коэффициенту вариации плотности бетона другого состава при условии их изготовления по той же технологии и на одинаковых материалах и отличающегося по плотности не более чем на одну марку.
4. ОПРЕДЕЛЕНИЕ ТРЕБУЕМОЙ ПЛОТНОСТИ БЕТОНА
4.1. Требуемую плотность бетона на предстоящий контролируемый период

, кг/м3, вычисляют по формуле

, (7)
где

- нормируемое значение плотности бетона (марка по средней плотности), кг/м3;

- коэффициент требуемой плотности, принимаемый по табл. 2 в зависимости от вида бетона и среднего по партиям коэффициента вариации плотности бетона

за анализируемый период, вычисленного по
формуле (6).
────┬─────────────────────────────────────────────────────────────
V , │ К
п │ т
% ├───────────┬──────────┬─────────────────────┬────────────────
│для │для │для конструкционных │для легких кон-
│ячеистых │ячеистых │легких бетонов с ро │струкционных
│теплоизо- │конструк- │ н │бетонов с ро
│ляционных │ционно- │от 700 до 1400 кг/м3 │ н
│и конструк-│теплоизо- │включ. и ячеистых │более 1400 кг/м3
│ционно- │ляционных │ │
│теплоизоля-│бетонов с │бетонов с ро от 1000│
│ционных │ро 700 - │ н │
│бетонов с │ н │до 1200 кг/м3 включ. │
│ро от 300 │900 кг/м3 │ │
│ н │и легких │ │
│до 600 │теплоизо- │ │
│кг/м3 │ляционных │ │
│включ. │бетонов с │ │
│ │ро 600 │ │
│ │ н │ │
│ │кг/м3 и │ │
│ │менее │ │
────┼───────────┼──────────┼─────────────────────┼────────────────
2 │1,07 │1,04 │1,02 │1,0
3 │1,06 │1,03 │1,01 │0,99
4 │1,05 │1,02 │1,00 │0,98
5 │1,04 │1,01 │0,98 │0,97
6 │1,02 │0,99 │0,97 │0,96
7 │1,00 │0,98 │0,96 │0,94
8 │0,98 │0,97 │0,95 ├────────────────
9 │0,97 │0,96 ├─────────────────────┘
────┼───────────┴──────────┘
10 │Область недопустимых значений
4.2. При контроле плотности бетона отдельных партий коэффициент требуемой плотности может приниматься по
табл. 2 в зависимости от коэффициента вариации плотности бетона в данной партии, вычисленного по
формуле (5), если число единичных значений плотности бетона в этой партии, определенных радиоизотопным методом, составляет не менее 30.
При использовании радиоизотопного метода контроля плотности правую часть
формулы (7) следует умножить на коэффициент, равный 1,02.
4.3. В начальный период, до накопления необходимого для ведения статистического контроля плотности бетона числа результатов испытаний, значение

принимают равным значению

нормируемой плотности (марки по плотности).
4.4. Продолжительность контролируемого периода, в течение которого может быть использовано установленное значение требуемой плотности, следует принимать от 2 недель до 1 мес.
5. ПРИЕМКА БЕТОНА ПО ПЛОТНОСТИ
5.1. Партия бетона подлежит приемке при следующем условии

. (8)
5.2. В случае, когда при контроле по образцам партия бетона не удовлетворяет требованиям п. 5.1, допускается проводить повторную приемку с применением радиоизотопного метода партии бетона в целом или поштучно взвешивать изделия.
5.3. Контроль плотности бетона по результатам взвешивания изделий производят с учетом поправок на влажность бетона, массу арматуры, закладных деталей, наружного и внутреннего слоев из тяжелого бетона и раствора, оконных и дверных блоков, подоконных плит и других элементов.
Взвешивание изделий производят с погрешностью +/- 2%.
5.4. Возможность использования изделий, плотность бетона которых не отвечает требованиям настоящего стандарта, должна быть согласована с проектной организацией.
5.5. Значения фактической и требуемой плотности бетона должны быть указаны в документе о качестве партии конструкций по
ГОСТ 13015.3-81 или легкобетонной смеси по
ГОСТ 7473-85.
6. ОПРЕДЕЛЕНИЕ СРЕДНЕГО УРОВНЯ ПЛОТНОСТИ БЕТОНА
6.1. Средний уровень плотности бетонов

на предстоящий контролируемый период определяют по формуле

, (9)
где

- коэффициент, принимаемый по табл. 3 в зависимости от среднего за анализируемый период коэффициента вариации плотности бетона

, вычисленного по
формуле (6).
Таблица 3
───────────┬────────────┬──────────────┬─────────────┬────────────
V ,% │ До 3 │ От 3 до 5 │ От 5 до 7 │ От 7 до 9
п │ │ │ │
───────────┼────────────┼──────────────┼─────────────┼────────────
К │0,98 │0,97 │0,96 │0,95
м.п. │ │ │ │
6.2. Нижнюю предупредительную границу плотности бетона

, кг/м3, в контролируемой партии рассчитывают по формуле

, (10)
где

- коэффициент межпартионной вариации плотности, принимаемый равным 0,5

.
6.3. Фактическая плотность бетона в отдельных партиях может быть ниже

, если бетон отвечает требованиям по прочности
ГОСТ 18105-86.
Справочное
────────────────┬────────┬────────────────────────────────────────
Термин │Условное│ Пояснение
│обозна- │
│чение │
────────────────┼────────┼────────────────────────────────────────
Нормируемая │ро │ Значение плотности бетона, заданное в
плотность бетона│ н │нормативно-технической и проектной
│ │документации
Требуемая │ро │ Максимально допустимое значение
плотность бетона│ т │фактической плотности бетона в партии,
│ │устанавливаемое лабораториями предпри-
│ │ятий и строек в соответствии с достиг-
│ │нутой ее однородностью
Средний уро- │ро │ Среднее значение плотности бетона, ус-
вень плотности │ у │танавливаемое лабораториями предприятий
бетона │ │и строек на определенный контролируемый
│ │период в соответствии с достигнутой
│ │однородностью по плотности, на которое
│ │подбирается его состав и которое под-
│ │держивается в производстве
Фактическая │ро │ Среднее значение плотности бетона в
плотность бетона│ m │партии, определяемое по результатам
в партии │ │испытаний контрольных образцов или
│ │радиоизотопным методом непосредственно
│ │в конструкции
Контролируемый│ │ Участок конструкции, на котором произ-
участок │ │водят измерения при контроле плотности
Анализируемый │ │ Период времени, за который вычисляется
период │ │средний по партиям коэффициент вариации
│ │плотности для назначения требуемой плот-
│ │ности в течение последующего контроли-
│ │руемого периода
период │ │
кий комплекс │ │