Главная // Актуальные документы // ГОСТ (Государственный стандарт)СПРАВКА
Источник публикации
М.: Госстрой РФ, ГУП ЦПП, 2001
Примечание к документу
Документ утратил силу с 1 июля 2015 года в связи с изданием
Приказа Росстандарта от 11.12.2014 N 1972-ст. Взамен введен в действие
ГОСТ 10181-2014.
С 1 июля 2003 года до вступления в силу технических регламентов акты федеральных органов исполнительной власти в сфере технического регулирования носят рекомендательный характер и подлежат обязательному исполнению только в части, соответствующей целям, указанным в
пункте 1 статьи 46 Федерального закона от 27.12.2002 г. N 184-ФЗ.
Введен в действие с 1 июля 2001 года.
Взамен ГОСТ 10181.0-81 - ГОСТ 10181.4-81.
Название документа
"ГОСТ 10181-2000. Смеси бетонные. Методы испытаний"
(введен в действие Постановлением Госстроя РФ от 14.12.2000 N 127)
"ГОСТ 10181-2000. Смеси бетонные. Методы испытаний"
(введен в действие Постановлением Госстроя РФ от 14.12.2000 N 127)
от 14 декабря 2000 г. N 127
МЕЖГОСУДАРСТВЕННЫЙ СТАНДАРТ
СМЕСИ БЕТОННЫЕ
МЕТОДЫ ИСПЫТАНИЙ
Concrete mixtures. Methods of testing
ГОСТ 10181-2000
1. Разработан Научно-исследовательским, проектно-конструкторским и технологическим институтом бетона и железобетона (НИИЖБ), Всероссийским федеральным технологическим институтом (ВНИИЖелезобетон), Проектно-изыскательским и научно-исследовательским институтом по проектированию организации энергетического строительства ОАО "Оргэнергострой".
Внесен Госстроем России.
2. Принят Межгосударственной научно-технической комиссией по стандартизации, техническому нормированию и сертификации в строительстве (МНТКС) 17 мая 2000 г.
За принятие стандарта проголосовали:
┌────────────────────────┬───────────────────────────────────────┐
│Наименование государства│ Наименование органа государственного │
│ │ управления строительством │
├────────────────────────┼───────────────────────────────────────┤
│Республика Казахстан │Казстройкомитет │
│Кыргызская Республика │Государственная комиссия при │
│ │Правительстве Кыргызской Республики по │
│ │архитектуре и строительству │
│Республика Молдова │Министерство окружающей среды и │
│ │благоустройства территорий Республики │
│ │Молдова │
│Российская Федерация │Госстрой России │
│Республика Таджикистан │Комархстрой Республики Таджикистан │
│Республика Узбекистан │Госкомархитектстрой Республики │
│ │Узбекистан │
│Украина │Госстрой Украины │
└────────────────────────┴───────────────────────────────────────┘
3. Взамен ГОСТ 10181.0-81 - ГОСТ 10181.4-81.
4. Введен в действие с 1 июля 2001 г. в качестве государственного стандарта Российской Федерации Постановлением Госстроя России от 14 декабря 2000 г. N 127.
ВВЕДЕНИЕ
Настоящий стандарт гармонизирован со следующими международными стандартами:
ISO 4109-80 Бетонная смесь. Определение консистенции. Испытание на осадку конуса;
ISO 4110-79 Бетонная смесь. Определение консистенции. Испытание на приборе Вебе;
ISO 4848-80 Бетоны. Определение содержания воздуха в свежеприготовленной бетонной смеси методом давления;
ISO 6276-82 Бетоны. Определение плотности бетонной смеси.
В тексте настоящего стандарта использованы следующие положения:
в
подразделе 4.1 - ISO 4109-80 в части применяемого оборудования и методики определения осадки конуса бетонной смеси при определении ее подвижности;
в
подразделе 4.2.3 - ISO 4110-79 в части требований к методике определения жесткости бетонной смеси;
в
разделе 5 - ISO 6276-82 в части соотношения между размером измерительного сосуда и наибольшей крупностью зерен заполнителя и методикой определения средней плотности бетонной смеси;
в
подразделе 6.3 - ISO 4848-80 в части требований к методике определения объема вовлеченного в бетонную смесь воздуха методом давления.
Настоящий стандарт распространяется на бетонные смеси для приготовления тяжелого, мелкозернистого и легкого бетонов и устанавливает правила отбора проб и методы определения удобоукладываемости, средней плотности, пористости, расслаиваемости, температуры и сохраняемости свойств бетонной смеси.
Стандарт не распространяется на смеси для приготовления крупнопористых бетонов.
В настоящем стандарте использованы ссылки на следующие нормативные документы:
| | ИС МЕГАНОРМ: примечание. Взамен ГОСТ 8.001-80, утратившего силу на территории Российской Федерации с 1 декабря 2001 года, действует ПР 50.2.009-94 "ГСИ. Порядок проведения испытаний и утверждения типа средств измерений" (Постановление Госстандарта РФ от 27.09.2001 N 394-ст). | |
ГОСТ 8.001-80 ГСИ. Организация и порядок проведения государственных испытаний средств измерений
| | ИС МЕГАНОРМ: примечание. Взамен ГОСТ 8.326-89, утратившего силу на территории Российской Федерации с 1 декабря 2001 года, действует ПР 50.2.009-94 "ГСИ. Порядок проведения испытаний и утверждения типа средств измерений" (Постановление Госстандарта РФ от 27.09.2001 N 394-ст). | |
ГОСТ 8.326-89 ГСИ. Метрологическая аттестация средств измерений
| | ИС МЕГАНОРМ: примечание. Взамен ГОСТ 8.383-80, утратившего силу на территории Российской Федерации с 1 декабря 2001 года, действует ПР 50.2.009-94 "ГСИ. Порядок проведения испытаний и утверждения типа средств измерений" (Постановление Госстандарта РФ от 27.09.2001 N 394-ст). | |
ГОСТ 8.383-80 ГСИ. Государственные испытания средств измерений. Основные положения
ГОСТ 427-75 Линейки измерительные металлические. Технические условия
ГОСТ 1770-74 Посуда мерная лабораторная стеклянная. Цилиндры, мензурки, колбы, пробирки. Общие технические условия
ГОСТ 2789-73 Шероховатость поверхности. Параметры и характеристики
ГОСТ 8269.0-97 Щебень и гравий из плотных горных пород и отходов промышленного производства для строительных работ. Методы физико-механических испытаний
ГОСТ 9533-81 Кельмы, лопатки и отрезовки. Технические условия
ГОСТ 9758-86 Заполнители пористые неорганические для строительных работ. Методы испытаний
ГОСТ 10180-90 Бетоны. Методы определения прочности по контрольным образцам
ГОСТ 13646-68 Термометры стеклянные ртутные для точных измерений. Технические условия
ГОСТ 22685-89 Формы для изготовления контрольных образцов бетона. Технические условия
ГОСТ 23932-90 Посуда и оборудование лабораторные стеклянные. Общие технические условия
| | ИС МЕГАНОРМ: примечание. Взамен ГОСТ 24104-88 Постановлением Госстандарта РФ от 26.10.2001 N 439-ст с 1 июля 2002 года введен в действие ГОСТ 24104-2001. | |
ГОСТ 24104-88 Весы лабораторные общего назначения и образцовые. Общие технические условия
3. Правила отбора проб и проведения испытаний
3.1. Пробы бетонной смеси для испытания при производственном контроле следует отбирать:
- при производстве сборных и монолитных изделий и конструкций - на месте укладки бетонной смеси;
- при отпуске товарной бетонной смеси - на месте ее приготовления при погрузке в транспортную емкость.
3.2. Пробу бетонной смеси для испытаний отбирают непосредственно перед началом бетонирования из средней части замеса или порции смеси. При непрерывной подаче бетонной смеси (ленточными транспортерами, бетононасосами) пробы отбирают в три приема в случайные моменты времени в течение не более 10 мин.
3.3. Объем отобранной пробы должен обеспечивать не менее двух определений всех контролируемых показателей качества бетонной смеси.
3.4. Отобранная проба перед проведением испытаний должна быть дополнительно перемешена.
Бетонные смеси, содержащие воздухововлекающие, газообразующие и пенообразующие добавки, а также предварительно разогретые смеси перед испытанием не перемешивают.
3.5. Испытание бетонной смеси и изготовление контрольных образцов бетона должно быть начато не позднее чем через 10 мин после отбора пробы.
3.6. Температура бетонной смеси от момента отбора пробы до момента окончания испытания не должна изменяться более чем на 5 °C.
3.7. Условия хранения пробы бетонной смеси после ее отбора до момента испытания должны исключить потерю влаги или увлажнение.
| | ИС МЕГАНОРМ: примечание. Взамен ГОСТ 8.001-80, ГОСТ 8.326-89, ГОСТ 8.383-80 утративших силу на территории Российской Федерации с 1 декабря 2001 года, действует ПР 50.2.009-94 "ГСИ. Порядок проведения испытаний и утверждения типа средств измерений" (Постановление Госстандарта РФ от 27.09.2001 N 394-ст). | |
3.8. Поверку средств измерений и аттестацию испытательного оборудования следует осуществлять в соответствии с ГОСТ 8.001, ГОСТ 8.326, ГОСТ 8.383.
3.9. Результаты определения показателей качества бетонной смеси должны быть занесены в журнал, в котором указывают:
- наименование организации - изготовителя смеси;
- наименование определяемого показателя качества;
- дату и время испытания;
- место отбора пробы;
- температуру бетонной смеси;
- результаты частных определений отдельных показателей качества бетонной смеси и среднеарифметические результаты по каждому показателю.
4. Определение удобоукладываемости бетонной смеси
Удобоукладываемость бетонной смеси оценивают показателями подвижности или жесткости.
4.1. Определение подвижности бетонной смеси
Подвижность бетонной смеси оценивают по осадке (ОК) или расплыву (РК) конуса, отформованного из бетонной смеси.
Расплыв конуса характеризует удобоукладываемость бетонной смеси марок П4 - П5.
4.1.1. Средства контроля и вспомогательное оборудование
Для определения подвижности бетонной смеси применяют:
- воронку загрузочную;
- секундомер;
- гладкий лист размерами не менее 700 х 700 мм из водонепроницаемого материала (металл, пластмасса и т.п.);
- прямой металлический гладкий стержень диаметром 16 мм, длиной 600 мм с округленными концами.
1 - ручка; 2 - корпус; 3 - упоры; 4 - сварной шов
Рисунок 1. Конус для определения подвижности
4.1.1.1. Конус изготавливают из листовой стали толщиной не менее 1,5 мм. Внутренняя сторона конуса должна иметь поверхность, шероховатость

которой не должна быть более 40 мкм по
ГОСТ 2789.
4.1.2. Порядок подготовки и проведения испытания
4.1.2.1. Для определения подвижности бетонной смеси с зернами заполнителя наибольшей крупностью до 40 мм включительно применяют нормальный конус, а с зернами наибольшей крупностью более 40 мм - увеличенный. Размер используемого конуса принимают по таблице 1.
Наименование конуса | Внутренний размер конуса, мм |
d | D | H |
Нормальный | 100 +/- 2 | 200 +/- 2 | 300 +/- 2 |
Увеличенный | 150 +/- 2 | 300 +/- 2 | 450 +/- 2 |
Конус для определения жесткости по методу Скрамтаева | 100 +/- 2 | 194 +/- 2 | 300 +/- 2 |
Примечание. Конус для определения жесткости по методу Скрамтаева изготавливают без упоров. |
4.1.2.2. При подготовке конуса и приспособлений к испытаниям все соприкасающиеся с бетонной смесью поверхности следует очистить и увлажнить.
4.1.2.3. Конус устанавливают на гладкий лист и заполняют его бетонной смесью марок П1, П2 или П3 через воронку в три слоя одинаковой высоты.
Каждый слой на его высоту уплотняют штыкованием металлическим стержнем:
в нормальном конусе - 25 раз, в увеличенном - 56 раз.
Бетонной смесью марок П4 и П5 конус заполняют в один прием и штыкуют 10 раз.
Конус во время заполнения и штыкования должен быть плотно прижат к листу.
4.1.2.4. После уплотнения бетонной смеси воронку снимают, избыток смеси срезают кельмой вровень с верхними краями конуса и заглаживают поверхность бетонной смеси. Время от начала заполнения конуса до его снятия не должно превышать 3 мин.
4.1.2.5. Конус плавно снимают с отформованной бетонной смеси в строго вертикальном направлении и устанавливают рядом с ней. Время, затраченное на подъем конуса, должно составлять 5 - 7 с.
4.1.2.6. Осадку конуса бетонной смеси определяют укладывая гладкий стержень на верх формы и измеряя расстояние от нижней поверхности стержня до верха бетонной смеси с погрешностью не более 0,5 см.
Если после снятия формы конуса бетонная смесь разваливается, измерение не выполняют и испытание повторяют на новой пробе бетонной смеси.
Осадку конуса бетонной смеси, определенную в увеличенном конусе, приводят к осадке нормального конуса умножением осадки увеличенного конуса на коэффициент 0,67.
4.1.2.7. Осадку конуса бетонной смеси вычисляют с округлением до 1,0 см как среднеарифметическое результатов двух определений из одной пробы, отличающихся между собой не более чем:
на 1 см при ОК

9 см;
" 2 " " ОК = 10 - 15 см;
" 3 " " ОК

16 см.
При большем расхождении результатов определение повторяют на новой пробе.
4.1.2.8. Расплыв конуса бетонной смеси РК оценивают по нижнему диаметру лепешки (в см), образовавшейся в результате расплыва бетонной смеси при определении подвижности по осадке нормального конуса по
4.1.2.5.
4.1.2.9. Расплыв конуса бетонной смеси определяют измерением металлической линейкой диаметра расплывшейся лепешки в двух взаимно перпендикулярных направлениях с погрешностью не более 0,5 см.
4.1.3. Правила обработки результатов испытаний
4.1.3.1. Осадку и расплыв конуса бетонной смеси определяют дважды. Общее время испытания с начала заполнения конуса бетонной смесью при первом определении и до момента измерения осадки конуса при втором определении не должно превышать 10 мин.
4.1.3.2. Расплыв конуса бетонной смеси вычисляют с округлением до 1,0 см как среднеарифметическое значение результатов двух определений расплыва конуса из одной пробы, отличающихся между собой не более чем на 3 см. При большем расхождении результатов определение повторяют на новой пробе.
4.2. Определение жесткости бетонной смеси
Жесткость бетонной смеси характеризуют временем вибрации в секундах, необходимым для уплотнения бетонной смеси.
4.2.1. В зависимости от марки по удобоукладываемости бетонной смеси по
ГОСТ 7473 применяют следующие методы определения жесткости:
- на установке типа Вебе (рисунок 2) - смесей марок Ж1 - Ж4 и СЖ1 - СЖ3;
- по методу Красного (рисунок 3) - смесей марок Ж1 - Ж4;
- по методу Скрамтаева - смесей марок Ж1 - Ж4.
1 - цилиндр с фланцем в основании; 2 - конус;
3 - кольцо-держатель с ручками; 4 - загрузочная воронка;
5 - штатив; 6 - направляющая втулка;
7 - фиксирующая втулка; 8 - диск с шестью отверстиями;
9 - стальная шайба; 10 - штанга
Рисунок 2. Установка типа Вебе
Рисунок 3. Прибор Красного
4.2.2. Средства испытания
Для определения жесткости бетонной смеси применяют:
- виброплощадку лабораторную;
- секундомер;
- прямой металлический гладкий стержень диаметром 16 мм, длиной 600 мм с округленными концами;
- воронку загрузочную;
4.2.2.1. Цилиндр 1, конус 2 и воронку 4 установки типа Вебе изготавливают из листовой стали.
Кольцо и конус должны иметь гладкую внутреннюю поверхность, степень шероховатости

которой не должна быть более 40 мкм по
ГОСТ 2789. Диск 8, штангу 10 и шайбу 9 изготавливают из стали.
Общая масса диска, штанги и шайбы установки должна составлять при испытании жестких смесей марок Ж1 - Ж4 - (2750 +/- 50) г, а при испытании сверхжестких бетонных смесей марок СЖ1 - СЖ3 - (13000 +/- 50) г.
4.2.2.2. Лабораторная виброплощадка с установленным на ней прибором с бетонной смесью должна обеспечивать вертикально направленные колебания частотой (2900 +/- 100) в мин и амплитудой (0,5 +/- 0,05) мм.
Виброплощадка и установка должны иметь устройства, обеспечивающие при испытаниях их жесткое крепление к поверхности виброплощадки.
4.2.2.3. Прибор Красного изготавливают из стали с шероховатостью поверхности

не более 40 мкм по
ГОСТ 2789. Отклонение толщины диска и диаметра отверстий прибора не должно превышать +/- 0,1 мм, остальных размеров - +/- 0,2 мм. Общая масса прибора должна составлять (435 +/- 15) г.
4.2.3. Определение жесткости бетонной смеси на установке типа Вебе
4.2.3.1. Установку собирают и закрепляют на виброплощадке.
4.2.3.2. Заполнение конуса установки бетонной смесью, уплотнение смеси и снятие с отформованной смеси конуса осуществляют в соответствии
4.1.2, как для смесей марок П1 - П3.
4.2.3.3. Поворотом штатива 5 диск 8
(рисунок 2) устанавливают над отформованным конусом бетонной смеси и плавно опускают его до соприкосновения с поверхностью смеси.
Затем одновременно включают виброплощадку и секундомер и наблюдают за выравниванием и уплотнением бетонной смеси. Смесь вибрируют до тех пор, пока не начнется выделение цементного теста из любых двух отверстий диска 8. В этот момент выключают секундомер и вибратор. Измеренное время в секундах характеризует жесткость бетонной смеси.
4.2.4. Определение жесткости бетонной смеси по методу Красного
4.2.4.1. При определении жесткости бетонной смеси прибор Красного устанавливают в форму:
ФК-100 - при наибольшей крупности зерен заполнителя 20 мм,
ФК-150 - " " " " " 40 " ,
ФК-200 - " " " " " 70 " .
Возможно применение цилиндрических форм ФЦ диаметром, соответствующим размеру ребра формы куба.
4.2.4.2. Установленную на виброплощадку форму заполняют смесью доверху без уплотнения. Избыток смеси срезают кельмой вровень с верхними краями формы.
4.2.4.3. Прибор Красного погружают в бетонную смесь ножками вниз до соприкосновения диска с поверхностью смеси.
4.2.4.4. Включают одновременно виброплощадку и секундомер и вибрируют смесь до тех пор, пока не начнется выделение цементного теста из любых двух отверстий диска прибора. В этот момент выключают секундомер и виброплощадку. Полученное время (в секундах) характеризует жесткость бетонной смеси.
Переходный коэффициент к установке типа Вебе равен 1.
4.2.5. Определение жесткости бетонной смеси по методу Скрамтаева
4.2.5.1. Жесткость бетонной смеси следует определять в формах ФК-200.
4.2.5.2. Для определения жесткости в закрепленную на виброплощадке форму помещают конус Скрамтаева и заполняют его бетонной смесью, как указано в
4.1.2.3 для смесей марки П1 - П3.
Затем конус осторожно снимают и включают одновременно виброплощадку и секундомер. Вибрирование осуществляют до тех пор, пока поверхность бетонной смеси не станет горизонтальной.
Время (в секундах), необходимое для выравнивания поверхности бетонной смеси в форме, характеризует жесткость смеси.
Переходный коэффициент от метода Скрамтаева к методу определения жесткости на установке типа Вебе принимают равным 0,7.
4.2.6. Правила обработки результатов испытаний
4.2.6.1. Жесткость бетонной смеси определяют дважды. Общее время испытания с начала заполнения формы при первом определении и до окончания вибрирования при втором определении не должно превышать 10 мин.
4.2.6.2. Жесткость бетонной смеси вычисляют с округлением до 1 с как среднеарифметическое значение результатов двух определений жесткости из одной пробы смеси, отличающихся между собой не более чем на 20% среднего значения. При большем расхождении результатов определение повторяют на новой пробе.
4.2.6.3. Определять удобоукладываемость, а также другие свойства бетонной смеси допускается любым прибором, удовлетворяющим требованиям
Приложения А по точности и чувствительности.
Примечание. Сравнение другого прибора с стандартизованным рассмотрено на примере оценки точности и чувствительности прибора для определения удобоукладываемости бетонной смеси.
5. Определение средней плотности бетонной смеси
Среднюю плотность бетонной смеси характеризуют отношением массы уплотненной бетонной смеси к ее объему.
Для определения средней плотности бетонной смеси применяют:
- формы для изготовления контрольных образцов бетона по
ГОСТ 22685;
| | ИС МЕГАНОРМ: примечание. Взамен ГОСТ 24104-88 Постановлением Госстандарта РФ от 26.10.2001 N 439-ст с 1 июля 2002 года введен в действие ГОСТ 24104-2001. | |
- весы лабораторные по ГОСТ 24104;
- виброплощадку лабораторную;
- сосуды металлические цилиндрические, размеры которых принимают в зависимости от наибольшей крупности зерен заполнителя по таблице 2.
Таблица 2
Наибольшая крупность зерен фракции заполнителя, мм | Вместимость сосуда, см3 | Внутренний размер сосуда, мм |
диаметр | высота |
<= 20 | 1000 | 108 | 108 |
40 | 5000 | 185 | 185 |
> 70 | 10000 | 234 | 234 |
Примечание. Плотность бетонной смеси, предназначенной для приготовления бетонов классов В5 и менее на пористых заполнителях, определяют в сосудах вместимостью 5000 см3 или в формах ФК-150 независимо от наибольшей крупности заполнителя. |
5.2. Проведение испытания
5.2.1. Перед испытанием мерный сосуд взвешивают с погрешностью не более 1 г.
5.2.2. Бетонную смесь помещают в сосуд и уплотняют в соответствии с
ГОСТ 10180 в зависимости от удобоукладываемости смеси.
5.2.3. После уплотнения избыток смеси срезают стальной линейкой, и поверхность тщательно выравнивают вровень с краями мерного сосуда. Затем сосуд с бетонной смесью взвешивают с погрешностью не более 1 г.
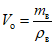
5.2.4. Среднюю плотность бетонной смеси

, кг/м3, вычисляют по формуле

, (1)
где m - масса мерного сосуда с бетонной смесью, г;

- масса мерного сосуда без смеси, г;
V - вместимость мерного сосуда, см3.
5.2.5. Среднюю плотность бетонной смеси определяют дважды для каждой пробы смеси и вычисляют с округлением до 10 кг/м3 как среднеарифметическое значение результатов двух определений из одной пробы, отличающихся между собой не более чем на 5% среднего значения. При большем расхождении результатов определение повторяют на новой пробе бетонной смеси.
6. Определение пористости бетонной смеси
Пористость бетонной смеси оценивают следующими показателями: объемом воздуха или газа, содержащегося в уплотненной бетонной смеси, и объемом межзерновых пустот.
Объем вовлеченного воздуха определяют в бетонах на плотных и пористых заполнителях, объем межзерновых пустот - в бетонах на пористых заполнителях.
Объем вовлеченного воздуха определяют экспериментальным или расчетным методом.
Объем вовлеченного воздуха в смеси на плотном заполнителе определяют объемным или компрессионным методом (при помощи объемомера или поромера соответственно), а на пористом заполнителе - только объемным методом.
6.1. Средства испытания
Для определения объема вовлеченного воздуха в бетонную смесь применяют:
| | ИС МЕГАНОРМ: примечание. Взамен ГОСТ 24104-88 Постановлением Госстандарта РФ от 26.10.2001 N 439-ст с 1 июля 2002 года введен в действие ГОСТ 24104-2001. | |
- весы лабораторные по ГОСТ 24104;
- виброплощадку лабораторную;
- противень;
- прямой металлический гладкий стержень длиной 600 мм, диаметром 16 мм с округленными концами.
1 - металлическая пластина; 2 - ограничители;
3 - стрелка; 4 - петля; 5 - пригружающий пуансон;
6 - цилиндрический сосуд
Рисунок 4. Объемомер
1 - чаша; 2 - накидной болт; 3 - крышка;
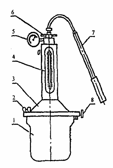
4 - водомерная труба; 5 - манометр; 6 - входной вентиль;
7 - ручной насос; 8 - сливной вентиль
Рисунок 5. Поромер
6.1.1. Вместимость цилиндрического сосуда объемомера устанавливают в зависимости от наибольшей крупности зерен заполнителя по таблице 3.
Таблица 3
Наибольшая крупность зерен заполнителя, мм | <= 20 | >= 40 |
Минимальная вместимость сосуда, см3 | 5000 | 10000 |
Отношение высоты сосуда к его диаметру должно быть от 1 до 2.
Пригружающий пуансон 5 должен быть выполнен в виде металлического кольца высотой 20 мм и наружным диаметром на 3 мм меньше внутреннего диаметра сосуда и иметь дно из сетки с ячейками размером 1,2 мм и проволочную петлю для поднятия его из сосуда.
Металлическая пластина 1 должна иметь ширину 15 мм, толщину 5 мм, расстояние между ограничителями должно быть равно наружному диаметру сосуда. Стрелка 3 длиной 22 мм должна иметь конусообразную форму с острым концом.
6.1.2. Градуировка объемомера
Градуировка объемомера заключается в установлении объема его сосуда (постоянной объемомера).
6.1.2.1. В пустой цилиндрический сосуд помещают пригружающий пуансон, устанавливают на сосуд металлическую пластину со стрелкой и наливают воду до тех пор, пока ее поверхность не придет в соприкосновение с острием стрелки, что фиксируют по моменту соприкосновения острия стрелки с его отражением в воде.
Постоянную объемомера

вычисляют по формуле

, (2)
где

- масса влитой воды, г, определяемая с погрешностью не более 1 г;

- плотность воды, принимаемая равной 1,0 г/см3.
6.1.3. Градуировка поромера
Градуировка поромера заключается в измерении вместимости чаши и цены деления прибора.
6.1.3.1. Чаша и крышка поромера должны иметь жесткую конструкцию, не допускающую изменение объема прибора при приложении давления до 200 кПа. Соединение крышки и чаши должно иметь уплотнение, обеспечивающее герметичность прибора. Внутренняя поверхность крышки должна иметь угол к плоскости ее основания не менее 30°, чаша - плоское дно.
Отношение диаметра чаши к ее высоте должно составлять 1 +/- 0,25.
Вместимость чаши принимают в зависимости от наибольшей крупности зерен заполнителя по таблице 4.
Таблица 4
Наибольшая крупность зерен фракции заполнителя, мм | <= 20 | >= 40 |
Минимальная вместимость чаши, см3 | 2000 | 8000 |
Вместимость водомерной трубки должна составлять (6 +/- 1)% вместимости чаши. Длина шкалы водомерной трубки должна быть не менее 100 мм, число делений - не менее 100.
В пустом приборе давление (100 +/- 20) кПа не должно снижаться более чем на 5 кПа в течение 1 мин. Шкала манометра прибора должна иметь верхний предел 200 кПа.
Материал чаши и крышки прибора должен быть устойчив к действию щелочей цемента.
6.1.3.2. Поромер имеет следующее дополнительное оборудование: воронку для наливания воды в прибор, сосуд для воды вместимостью не менее 3000 см3, стальную пластину размерами 5 х 20 х 500 мм.
6.1.3.3. Для определения вместимости чаши на ее фланец наносят тонкий слой солидола или другого жира, чашу накрывают стеклянным листом и взвешивают все вместе с погрешностью не более 1 г. Затем снимают лист, наливают в чашу воду до образования выпуклого мениска и вновь накрывают стеклянным листом. После стекания излишков воды чашу обтирают тканью и чашу с листом и водой взвешивают с погрешностью не более 1 г.
Вместимость чаши

, см3, вычисляют с округлением до 1 см3 по формуле

, (3)
где

- масса чаши со стеклом и водой, г;

- масса чаши со стеклом без воды, г;

- плотность воды, принимаемая равной 1,0 г/см3.
Для определения цены деления шкалы прибора наливают воду в чашу поромера, накрывают ее крышкой, затягивают накидные болты, закрывают сливной вентиль и через воронку доливают воду немного выше уровня верхнего (нулевого) деления шкалы. Открыв сливной вентиль, устанавливают уровень воды на нулевом делении. Затем, подставив предварительно взвешенный с погрешностью не более 1,0 г стакан, открывают сливной вентиль и сливают воду до отметки от 30 до 60% шкалы водомерной трубки. Взвешивают стакан с водой с погрешностью не более 1 г.
Цену деления шкалы прибора С вычисляют по формуле

, (4)
где

,

- масса стакана с водой и без воды, г;
Е - число делений водомерной трубки, соответствующее объему вылитой воды;

- вместимость чаши, см3.
6.2. Объемный метод определения объема вовлеченного воздуха
6.2.1. Отбирают навеску бетонной смеси

массой, г, вычисляемой по формуле

, (5)
где

- плотность бетонной смеси, г/см3;

- объем смеси в уплотненном состоянии, принимаемый равным 0,3

, см3, здесь

- вместимость чаши, см3.
6.2.2. Навеску бетонной смеси помещают в сосуд объемомера и уплотняют по
ГОСТ 10180.
6.2.3. В объемомер с навеской бетонной смеси наливают взвешенное количество воды (с погрешностью не более 1 г) объемом в 1,5 - 2 раза большим, чем объем испытываемой смеси.
В течение 2 - 3 мин тщательно перемешивают бетонную смесь с водой металлическим стержнем. После перемешивания снимают образовавшуюся в сосуде пену и помещают ее в предварительно взвешенный стеклянный стакан вместимостью 100 - 200 мл.
6.2.4. Перемешивание и отбор пены повторяют не менее двух раз с промежутком времени 2 - 3 мин, после чего устанавливают суммарную массу отобранной пены с погрешностью не более 1 г.
6.2.5. При испытании бетонной смеси на пористом заполнителе перед каждым снятием пены в сосуд опускают пригружающий пуансон для предотвращения всплывания зерен заполнителя.
6.2.6. После последнего снятия пены в сосуд опускают пригружающий пуансон, на сосуд накладывают пластину со стрелкой так, чтобы ограничители соприкасались со стенками сосуда. Затем постепенно небольшой струей доливают в сосуд воду по
6.2.3. После этого взвешиванием определяют суммарную массу всей налитой в сосуд воды с погрешностью до 1 г.
6.2.7. При испытании бетонной смеси на пористом заполнителе после окончания испытания поднимают пуансон, отбирают из испытанной смеси 20 - 50 зерен крупного заполнителя, которые обтирают влажной тканью, взвешивают с погрешностью не более 1 г, высушивают до постоянной массы и вычисляют водопоглощение крупного заполнителя

, %, за время от начала приготовления бетонной смеси до окончания испытания по формуле

, (6)
где

- масса отобранной пробы крупного заполнителя в водонасыщенном состоянии, г;

- то же, в сухом состоянии, г.
6.2.8. Пористость бетонной смеси

, %, вычисляют с округлением до 0,1% по формуле

, (7)
где

- объем испытываемой бетонной смеси в уплотненном состоянии, см3;

- масса всей влитой воды, г;

- плотность воды, принимаемая 1,0 г/см3;

- постоянная объемомера, см3, определяемая по
6.1.2;

- масса отобранной пены, г;

- водопоглощение крупного пористого заполнителя за время от момента приготовления смеси до окончания испытания, % массы;
n - коэффициент, равный 0,4 - для пористого гравия и 0,75 - для пористого щебня;
Щ - содержание крупного пористого заполнителя в номинальном составе бетонной смеси, кг/м3.
Для бетонной смеси на плотном заполнителе величины n,

и Щ принимают равными нулю.
6.3. Компрессионный метод определения объема вовлеченного воздуха
6.3.1. Бетонную смесь укладывают в чашу поромера и уплотняют по
ГОСТ 10180. После уплотнения излишек бетонной смеси срезают стальной линейкой. Затем фланец тщательно очищают от бетонной смеси, устанавливают на чаше крышку прибора, прижимают ее накидными болтами. Сливной вентиль при этом должен быть закрыт.
6.3.2. Через воронку заливают в прибор воду до отметки (50 +/- 30)% шкалы. Затем отклоняют прибор примерно на 30° от вертикали и, используя дно чаши как точку опоры, описывают 10 полных кругов верхним концом прибора, одновременно постукивая рукой по конической крышке для удаления пузырьков воздуха. Далее прибор возвращают в вертикальное положение и доливают через воронку воду до уровня выше нулевой риски шкалы.
Если на поверхности воды появляется пена, то ее необходимо ликвидировать путем вливания через воронку от 1 до 3 мл спирта (этилового, метилового или др.).
Открыв сливной вентиль, приводят уровень воды к нулевому делению шкалы прибора.
6.3.3. Закрывают входной и сливной вентили и насосом поднимают давление в приборе до (110 +/- 5) кПа. Постукивают рукой по стенкам чаши и, когда давление опустится до 100 кПа, отмечают по шкале прибора уровень воды

.
6.3.4. Открыв входной вентиль, уменьшают избыточное давление до нуля, постукивая рукой в течение 1 мин по стенкам чаши, и затем отмечают уровень воды

.
6.3.5. Пористость бетонной смеси

, %, вычисляют по формуле

, (8)
где С - цена деления шкалы прибора, устанавливаемая по
6.1.3;
6.3.6. Пористость бетонной смеси вычисляют с округлением до 0,1% как среднеарифметическое значение результатов двух определений из одной отобранной пробы бетонной смеси, отличающихся между собой не более чем на 20% среднего значения. При большем расхождении определение повторяют на новой пробе бетонной смеси.
6.4. Расчетный метод определения объема вовлеченного воздуха
Пористость уплотненной бетонной смеси

, %, вычисляют с округлением до 0,1% по формуле

, (9)
где Ц, П, Щ, В и

- фактическая масса, кг, соответственно цемента, сухих песка и щебня (гравия), воды и раствора добавок в 1 м3 уплотненной бетонной смеси, вычисленные по формулам 1 - 4
ГОСТ 27006;

- истинная плотность цемента, г/см3, определяемая по
ГОСТ 310.2 или принимаемая равной 3,1 для портландцемента и его разновидностей и 3,0 - для шлакопортландцемента;

,

- средняя плотность зерен песка и щебня (гравия), г/см3, определяемая для плотного заполнителя соответственно по
ГОСТ 8735 и
ГОСТ 8269.0, а для пористого заполнителя - по
ГОСТ 9758 в цементном тесте;
n - коэффициент, учитывающий увеличение средней плотности зерен крупного заполнителя в результате его частичного дробления при перемешивании бетонной смеси в смесителе принудительного действия, принимается равным:
1 - для плотного заполнителя;
1,05 - для пористого заполнителя с маркой по прочности П75 и более;
1,1 - для пористого заполнителя с маркой по прочности менее П75.
6.5. Определение объема межзерновых пустот в бетонной смеси
Объем межзерновых пустот, оставшихся в уплотненной бетонной смеси вследствие ее неполного уплотнения или недостаточного содержания растворной составляющей (по сравнению с объемом межзерновых пустот в крупном заполнителе), выражаемый в процентах к общему объему смеси, определяют экспериментальным способом.
6.5.1. Объем межзерновых пустот определяют в последовательности, приведенной ниже.
6.5.2. Уплотненную бетонную смесь после определения средней плотности по
5.2 выгружают из цилиндрического сосуда (или формы) на противень, растирают комья, тщательно перемешивают с добавлением 2000 г цемента и 600 - 800 г воды. После этого определяют среднюю плотность полученной смеси в уплотненном состоянии в соответствии с
5.2.
6.5.3. Объем межзерновых пустот в уплотненной бетонной смеси

, %, вычисляют по формуле

, (10)
где

- объем бетонной смеси, см3, равный вместимости мерного сосуда или формы, в которой определяли среднюю плотность по
5.2;

- объем уплотненной бетонной смеси после добавления в нее цемента и воды, см3, вычисляемый по формуле

, (11)

- объем добавленного цементного теста, см3, определяемый по формуле

, (12)
где

- масса испытываемой бетонной смеси (до добавления цемента и воды), г;

- масса добавленного цемента, г;

- масса добавленной воды, г;

- средняя плотность бетонной смеси в уплотненном состоянии после добавления в нее цемента и воды, г/см3;

- плотность цемента, г/см3, принимаются по
6.4.
6.5.4. Объем межзерновых пустот в уплотненной бетонной смеси вычисляют с округлением до 0,1% как среднеарифметическое значение результатов двух определений из одной отобранной пробы, отличающихся между собой не более чем на 20% среднего значения. При большем расхождении результатов определение повторяют на новой пробе.
7. Определение расслаиваемости бетонной смеси
Расслаиваемость бетонной смеси оценивают показателями раствороотделения и водоотделения.
7.1. Средства испытания
Для определения расслаиваемости бетонной смеси применяют:
- формы стальные для изготовления контрольных образцов бетона типа ФК-200 по
ГОСТ 22685;
- сосуд вместимостью 5000 см3;
- виброплощадку лабораторную;
- противень;
- сито с отверстиями диаметром 5 мм;
- электрошкаф сушильный;
7.2. Определение раствороотделения бетонной смеси
7.2.1. Раствороотделение бетонной смеси с крупным заполнителем, характеризующее ее расслаиваемость при динамическом воздействии, определяют путем сопоставления содержания растворной составляющей в нижней и верхней частях бетонной смеси, уплотненной в мерном сосуде или форме для изготовления контрольных образцов бетона.
7.2.2. Бетонную смесь выкладывают в форму (сосуд) и уплотняют в соответствии с
ГОСТ 10180 в зависимости от удобоукладываемости смеси. После этого уплотненную бетонную смесь дополнительно вибрируют на лабораторной виброплощадке в течение времени:
жесткую смесь - марок Ж1 - Ж4 - 120 с,
СЖ1 - СЖ3 - 180 с;
подвижную смесь: марок П1 и П2 - 25 с,
марок П3 - П5 - 10 с.
7.2.3. После дополнительного вибрирования верхний слой бетонной смеси высотой около половины высоты формы (сосуда) отбирают на предварительно взвешенный противень, а смесь, оставшуюся в нижней части формы, вибрируют до выравнивания поверхности смеси. Затем измеряют с погрешностью до 5 мм высоту слоя смеси

, оставшейся в нижней части формы, и вычисляют высоту отобранного слоя смеси

. После этого оставшуюся в форме смесь выкладывают на второй взвешенный противень.
7.2.4. Разделенную таким образом на две навески смесь из верхней и нижней частей формы взвешивают с погрешностью до 10 г и подвергают мокрому рассеву на сите с отверстиями диаметром 5 мм. При мокром рассеве каждую навеску смеси, выложенную на сито, промывают струей чистой воды до полного удаления цементно-песчаного раствора с поверхности зерен крупного заполнителя. Промывку смеси считают законченной, когда из сита вытекает чистая вода.
7.2.5. Отмытый крупный заполнитель из каждой навески смеси переносят на чистый противень и высушивают до постоянной массы при температуре (105 +/- 5) °C и взвешивают с погрешностью не более 10 г.
7.2.6. Массу растворной составляющей в навесках верхней и нижней частей формы с учетом объема отобранной пробы определяют по формулам

, (13)

, (14)
где

,

- масса растворной составляющей смеси, находившейся в верхней и нижней частях формы, г;

,

- масса бетонной смеси, отобранной из верхней и нижней частей формы, г;

,

- масса высушенного крупного заполнителя, содержащегося в навесках из верхней и нижней частей формы, г;
H - высота формы или сосуда, мм;

,

- фактическая высота верхнего и нижнего слоев смеси по
7.2.3, мм.
7.2.7. Показатель раствороотделения бетонной смеси

, %, определяют по формуле

, (15)
7.2.8. Показатель раствороотделения для каждой пробы бетонной смеси определяют дважды и вычисляют с округлением до 1% как среднеарифметическое значение результатов двух определений, отличающихся между собой не более чем на 20% среднего значения. При большем расхождении результатов определение повторяют на новой пробе бетонной смеси.
7.3. Определение водоотделения бетонной смеси
7.3.1. Водоотделение бетонной смеси определяют после ее отстаивания в мерном сосуде или форме в течение определенного промежутка времени.
7.3.2. Бетонную смесь укладывают в сосуд (форму), вместимость и размер которого в зависимости от наибольшей крупности зерен заполнителя принимают по
5.1 и уплотняют на виброплощадке в зависимости от удобоукладываемости смеси в соответствии с
7.2.2. Уровень бетонной смеси должен быть на (10 +/- 5) мм ниже верхнего края сосуда (формы).
7.3.3. Сосуд (форму) накрывают листом паронепроницаемого материала (стекло, стальная пластина и т.п.) и оставляют в покое на 1,5 ч.
7.3.4. Отбирают пипеткой каждые 15 мин отделившуюся воду, собирая ее в стакан с крышкой и взвешивают по окончании испытания.
7.3.5. Водоотделение бетонной смеси

, %, характеризуют объемом воды, выделившейся из бетонной смеси за 1,5 ч, отнесенным к объему бетонной смеси в сосуде (форме) и вычисляют по формуле

, (16)
где

- масса отделившейся воды, г;

- плотность воды, принимаемая равной 1 г/см3;

- объем уплотненной бетонной смеси, см3.
7.3.6. Водоотделение определяют дважды для каждой пробы бетонной смеси и вычисляют с округлением до 1% как среднеарифметическое значение результатов двух определений, отличающихся между собой не более чем на 20% среднего значения. При большем расхождении результатов определение повторяют на новой пробе бетонной смеси.
8. Определение температуры бетонной смеси
8.1. Средства испытания
Применяют стеклянный термометр по
ГОСТ 13646 или другой прибор для измерения температуры ценой деления не более 0,5 °C.
8.2. Проведение испытания
8.2.1. Температуру бетонной смеси измеряют на отдельной пробе смеси.
8.2.2. Измерение температуры бетонной смеси должно быть начато не позднее чем через 2 мин после отбора пробы.
8.2.3. Измеритель температуры погружают в бетонную смесь на глубину, определяемую техническим требованием к измерителю температуры.
8.2.4. Толщина слоя бетонной смеси вокруг измерителя температуры должна быть не менее 75 мм и не менее чем в 3 раза превышать наибольшую крупность зерен фракции заполнителя.
8.2.5. Температуру измеряют через 3 мин после погружения измерителя температуры в бетонную смесь.
9. Определение сохраняемости свойств бетонной смеси
Оценка сохраняемости свойств бетонной смеси
(разделы 4 -
8) заключается в получении и оценке данных об изменении свойств в течение определенного времени.
9.1. Средства испытания
Применяют приборы и вспомогательное оборудование в соответствии с требованиями соответствующих методов для определения свойств бетонной смеси.
9.2. Проведение испытания
9.2.1. Объем порции бетонной смеси, отобранной для испытания, должен быть достаточным для изготовления из нее отдельных проб на каждый срок измерения определяемого свойства бетонной смеси.
9.2.2. Условия хранения пробы бетонной смеси от момента ее отбора до момента испытания должны соответствовать температурно-влажностным условиям транспортирования и укладки бетонной смеси.
9.2.3. Первое испытание следует выполнять непосредственно после окончания перемешивания смеси, а второе и последующие - через каждые 30 мин до окончания испытания.
9.2.4. Для каждого испытания следует использовать отдельную новую пробу бетонной смеси.
(обязательное)
ОЦЕНКА ТОЧНОСТИ И ЧУВСТВИТЕЛЬНОСТИ ПРИБОРА
ДЛЯ ОПРЕДЕЛЕНИЯ УДОБОУКЛАДЫВАЕМОСТИ БЕТОННОЙ СМЕСИ
А.1. Определение точности и чувствительности прибора для определения удобоукладываемости бетонной смеси выполняют на двух составах, отличающихся подвижностью между ними не менее чем на 10 см или жесткостью не менее чем на 15 с.
Для определения каждого свойства бетонной смеси выполняют по пять испытаний на поверяемом и стандартизованном приборах.
А.2. Точность поверяемого прибора характеризуют отношением средних коэффициентов вариации удобоукладываемости бетонной смеси, полученных на поверяемом и стандартизованном приборах. Средние коэффициенты вариации показателей удобоукладываемости, определенные по результатам испытаний поверяемым

и стандартизованным

приборами, вычисляют по формуле

, (А.1)
где

,

- коэффициенты вариации показателя удобоукладываемости бетонной смеси для каждого из двух испытанных составов, определяемые на поверяемом и стандартизованном приборах и вычисляемые по формуле

; (А.2)
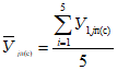
где

; (А.3)

; (А.4)

- средний показатель удобоукладываемости бетонной смеси j-го состава, полученный на поверяемом и стандартизованном приборах;

- среднеквадратическое отклонение показателя удобоукладываемости бетонной смеси j-го состава, полученное на поверяемом и стандартизованном приборах;

- результат определения удобоукладываемости бетонной смеси в i-й пробе j-го состава (i = 1 - 5; j = 1, 2), полученный на поверяемом и стандартизованном приборах.
Точность поверяемого прибора признают удовлетворительной, если соблюдается соотношение

, (А.5)
где

,

- средние коэффициенты вариации показателя удобоукладываемости бетонной смеси, полученные при испытании на поверяемом и стандартизованном приборах, вычисленные по
формуле (А.1).
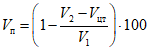
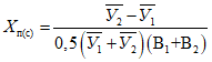
А.3. Чувствительность прибора

характеризуют оценкой относительного изменения удобоукладываемости бетонной смеси при изменении ее водосодержания и вычисляют по формуле

, (А.6)
где

,

- средние показатели удобоукладываемости бетонной смеси двух испытанных составов по
А.1, вычисленные по
формуле (А.3);

,

- водосодержание бетонной смеси двух различных составов по
А.1, л/м3.
Чувствительность поверяемого прибора признают удовлетворительной, если соблюдается соотношение

, (А.7)
где

,

- чувствительность поверяемого и стандартизованного приборов, вычисленная по
формуле (А.6).
А.4. Поверяемый прибор, удовлетворяющий требованиям
А.2 и
А.3, градуируют путем установления зависимости

между показателями удобоукладываемости по поверяемому и стандартизованному приборам.
Коэффициенты a и b вычисляют по формулам

; (А.8)

, (А.9)
где

,

,

,

- средние значения показателя удобоукладываемости двух испытанных составов бетонной смеси, полученные на поверяемом и стандартизованном приборах и вычисленные по
формуле (А.3).