Главная // Актуальные документы // ГОСТ (Государственный стандарт)СПРАВКА
Источник публикации
В данном виде документ опубликован не был.
Первоначальный текст документа опубликован в издании
М.: Издательство стандартов, 1985.
Информацию о публикации документов, создающих данную редакцию, см. в справке к этим документам.
Примечание к документу
Документ утратил силу с 1 января 1995 года в связи с изданием
Постановления Госстроя России от 17.06.1994 N 18-43. Взамен введен в действие
ГОСТ 8267-93.
Изменение N 1, утв. Постановлением Госстроя СССР от 21.11.1988 N 227, введено в действие с 1 декабря 1988 года.
Взамен ГОСТ 8268-74.
Название документа
"ГОСТ 8268-82. Государственный стандарт Союза ССР. Гравий для строительных работ. Технические условия"
(введен в действие Постановлением Госстроя СССР от 26.07.1982 N 190)
(ред. от 21.11.1988)
"ГОСТ 8268-82. Государственный стандарт Союза ССР. Гравий для строительных работ. Технические условия"
(введен в действие Постановлением Госстроя СССР от 26.07.1982 N 190)
(ред. от 21.11.1988)
Постановлением Государственного
комитета СССР
по делам строительства
от 26 июля 1982 г. N 190
ГОСУДАРСТВЕННЫЙ СТАНДАРТ СОЮЗА ССР
ГРАВИЙ ДЛЯ СТРОИТЕЛЬНЫХ РАБОТ
ТЕХНИЧЕСКИЕ УСЛОВИЯ
Gravel for construction work. Specifications
ГОСТ 8268-82
| | Список изменяющих документов Госстроя СССР от 21.11.1988 N 227) | |
ОКП 57 11020
Взамен
ГОСТ 8268-74
Постановлением Государственного комитета СССР по делам строительства от 26 июля 1982 г. N 190 срок введения установлен
с 1 января 1984 года
Настоящий стандарт распространяется на гравий со средней плотностью, включая поры, (объемной массой) свыше 2,0 г/см3, получаемый рассевом природных гравийно-песчаных смесей.
Гравий в зависимости от его назначения должен применяться в соответствии с нормативно-технической документацией на заполнители для бетонов монолитных и сборных бетонных и железобетонных конструкций и на применение гравия для соответствующих видов строительных работ.
| | ИС МЕГАНОРМ: примечание. Постановлением Госстроя СССР от 08.04.1985 N 46 с 1 января 1986 года введен в действие ГОСТ 7394-85. | |
Требования настоящего стандарта на гравийный балласт для железнодорожного пути по ГОСТ 7394-77 не распространяются.
1. ТЕХНИЧЕСКИЕ ТРЕБОВАНИЯ
1.1. Гравий должен изготовляться в соответствии с требованиями настоящего стандарта по технологическим регламентам, утвержденным в установленном порядке, и характеризоваться следующими показателями качества:
зерновым составом;
прочностью;
формой зерен;
содержанием зерен слабых пород;
содержанием пылевидных и глинистых частиц;
морозостойкостью;
насыпной плотностью.
(п. 1.1 в ред.
Изменения N 1, утв. Постановлением Госстроя СССР от 21.11.1988 N 227)
1.2. Зерновой состав гравия
1.2.1. Зерновой состав гравия характеризуют:
наибольшим и наименьшим номинальными размерами зерен фракций или смеси фракций (D и d, мм);
1.2.2. Гравий поставляют в виде основных фракций, характеризуемых соответствующими наименьшим и наибольшим номинальными размерами зерен:
от 5 до 10 мм или от 3 до 10 мм;
св. 10 до 20 мм;
св. 20 до 40 мм;
св. 40 до 70 мм.
По соглашению сторон допускается выпускать и поставлять гравий в виде смеси фракций от 5 до 20 мм или от 3 до 20 мм и гравий крупнее 70 мм, а для производства дорожных работ - гравий смеси фракций от 5(10) до 40 мм и от 20 до 70 мм.
1.2.3. Исключен с 1 декабря 1988 года. -
Изменение N 1, утв. Постановлением Госстроя СССР от 21.11.1988 N 227.
1.2.4. Значения полных остатков на контрольных ситах при рассеве гравия фракции от 5 до 10 мм; свыше 10 до 20 мм; свыше 20 до 40 мм; свыше 40 до 70 мм должны соответствовать указанным в табл. 1.
Диаметр отверстий контрольных сит, мм | d | 0,5(d + D) | D | 1,25D |
Полный остаток на ситах, % по массе | От 90 до 100 | От 30 до 80 | До 10 | До 0,5 |
В гравии фракций от 5 до 10 мм и от 3 до 10 мм полный остаток на ситах с отверстиями размером соответственно 2,5 мм и 1,25 мм должен быть в пределах от 95 до 100% по массе.
1.2.5. Полные остатки на контрольных ситах при рассеве гравия смеси фракций от 5(3) до 20 мм должны соответствовать указанным в табл. 2.
Таблица 2
Диаметр контрольных сит, мм | 5(3) | 10 | 20 | 25 |
Полные остатки на ситах, % по массе | От 95 до 100 | От 55 до 75 | До 10 | До 0,5 |
1.2.6. Для гравия фракций крупнее 70 мм (от 70 до 120 мм и от 120 до 150 мм), а также для смеси фракций от 5(10) до 40 мм и от 20 до 70 мм полные остатки на ситах диаметром d; D; 1,25D должны соответствовать указанным в
табл. 1, а соотношение фракций устанавливают соглашением сторон в соответствии с нормативно-технической документацией на применение указанных смесей для соответствующих видов строительных работ.
1.3. Прочность
1.3.1. Прочность гравия характеризуется его маркой, определяемой по дробимости при сжатии (раздавливании) в цилиндре. Кроме того, гравий, предназначаемый для строительства автомобильных дорог, характеризуется истираемостью в полочном барабане.
1.3.2. Марки гравия по дробимости в цилиндре должны соответствовать указанным в табл. 3.
Таблица 3
Марка гравия по дробимости | Потеря по массе, % |
Др 8 | До 8 |
Др 12 | Св. 8 до 12 |
Др 16 | " 12 " 16 |
Др 24 | " 16 " 24 |
Примечания:
1. Марки гравия разрешается устанавливать по результатам испытаний его как в сухом, так и в насыщенном водой состояниях.
2. Указанным в
табл. 4 маркам гравия соответствуют следующие ориентировочные значения интервалов прочности при сжатии пород, слагающих зерна гравия: Др 8 - свыше 100 МПа; Др 12 - свыше 80 до 100 МПа; Др 16 - свыше 60 до 80 МПа; Др 24 - от 40 до 60 МПа.
1.3.3. Исключен с 1 декабря 1988 года. -
Изменение N 1, утв. Постановлением Госстроя СССР от 21.11.1988 N 227.
1.3.4. Марки гравия по истираемости в полочном барабане устанавливают в соответствии с табл. 4.
Марка гравия по истираемости | Потеря по массе, % |
И-I | До 20 |
И-II | Св. 20 до 30 |
И-III | " 30 " 40 |
И-IV | " 40 " 50 |
1.4. Содержание зерен слабых пород
1.4.1. К слабым относят зерна с пределом прочности исходной горной породы при сжатии в насыщенном водой состоянии до 20 МПа (200 кгс/см2).
1.4.2. Гравий марок Др 8, Др 12 и Др 16 не должен содержать зерна слабых пород в количестве более 10% по массе, гравий марки Др 24 - более 15% по массе.
1.5. Содержание пылевидных и глинистых частиц
1.5.1. К пылевидным и глинистым относят частицы размером менее 0,05 мм, кроме того, выделяют комки глины с крупностью частиц от 1,25 мм до наибольшего размера зерен данной фракции или смеси фракций.
1.5.2. В зависимости от марки гравия по прочности содержание в нем пылевидных и глинистых частиц, в том числе глины в комках не должно превышать указанного в табл. 5.
Таблица 5
Марка гравия по дробимости | Содержание пылевидных и глинистых частиц, % по массе, не более |
Др 8 | 1 |
Др 12 | 1 |
Др 16 | 1 |
Др 24 | 2 |
Для всех марок гравия по прочности содержание глины в комках в общем количестве пылевидных и глинистых частиц не должно превышать 0,25% по массе.
1.5.3. Гравий не должен содержать посторонних засоряющих примесей.
1.6. Морозостойкость
1.6.1. Морозостойкость гравия характеризуют числом циклов замораживания и оттаивания, при котором потери гравия в массе не превышают установленных значений.
Разрешается оценивать морозостойкость гравия по числу циклов насыщения в растворе сернокислого натрия и высушивания. При отрицательных результатах этого испытания окончательную оценку дают на основе испытания замораживанием и оттаиванием.
1.6.2. По морозостойкости гравий подразделяют на следующие марки: Мрз 15; Мрз 25; Мрз 50; Мрз 100; Мрз 150; Мрз 200; Мрз 300. Марки гравия соответствует числу циклов замораживания и оттаивания, выдержанных гравием при испытании.
Показатели морозостойкости гравия при испытании его замораживанием и оттаиванием или насыщением в растворе сернокислого натрия и высушиванием должны соответствовать требованиям табл. 6.
Таблица 6
Испытание | Марка гравия по морозостойкости |
Мрз 15 | Мрз 25 | Мрз 50 | Мрз 100 | Мрз 150 | Мрз 200 | Мрз 300 |
Замораживание: | | | | | | | |
число циклов | 15 | 25 | 50 | 100 | 150 | 200 | 300 |
потеря в массе после испытания, %, не более | 10 | 10 | 5 | 5 | 5 | 5 | 5 |
Насыщение в растворе сернокислого натрия: | | | | | | | |
число циклов | 3 | 5 | 10 | 10 | 15 | 15 | 15 |
потеря в массе после испытания, %, не более | 10 | 10 | 10 | 5 | 5 | 3 | 2 |
1.6.3. Исключен с 1 декабря 1988 года. -
Изменение N 1, утв. Постановлением Госстроя СССР от 21.11.1988 N 227.
1.7. По требованию потребителя предприятие (карьер)-изготовитель определяет и сообщает следующие показатели качества гравия:
плотность (истинную и среднюю);
пористость;
пустотность (объем межзерновых пустот);
водопоглощение.
1.8. По требованию потребителя предприятие (карьер)-изготовитель сообщает петрографическую характеристику, оценку формы зерен гравия и данные физико-механических свойств гравия и валунов по ГОСТ 24100-80, установленные при геологической разведке.
1.9. Предприятие (карьер)-изготовитель должен обеспечить стабильное получение качества гравия на уровне требований настоящего стандарта.
Обеспеченность установленных стандартом значений показателей качества гравия по зерновому составу (содержание зерен размером менее наименьшего номинального размера d и более наибольшего номинального размера D) и содержанию пылевидных и глинистых частиц при текущем производственном контроле по
пп. 2.5 -
2.7 должна быть не менее 95%.
(в ред.
Изменения N 1, утв. Постановлением Госстроя СССР от 21.11.1988 N 227)
2.1. Гравий, выпускаемый предприятием (карьером)-изготовителем, должен быть принят техническим контролем этого предприятия.
Предприятие (карьер)-изготовитель должно гарантировать соответствие гравия требованиям настоящего стандарта.
2.2. Поставку и приемку гравия производят партиями, состоящими из гравия данной фракции (смеси фракций), установленной в договоре на поставку. Количество гравия одной фракции (смеси фракций), одновременно отгружаемое одному потребителю в одном железнодорожном составе или в одном судне, считают партией.
При отгрузке автомобильным транспортом партией считают количество гравия одной фракции (смеси фракций), отгружаемое одному потребителю в течение суток.
2.3. Определение количества поставляемого гравия производят по объему или массе. Обмер гравия производят в вагонах, судах и автомобилях.
Взвешивание гравия, отгружаемого в вагонах или автомобилях, производят на железнодорожных или автомобильных весах. Массу гравия, отгруженного в судах, определяют по осадке судна.
Пересчет количества гравия из весовых единиц в объемные производят по значениям насыпной плотности гравия, определяемой в состоянии естественной влажности.
При определении объема гравия в месте доставки объем гравия, полученный путем обмера его в вагоне или автомобиле, должен быть умножен на коэффициент уплотнения гравия при его транспортировании, который устанавливают соглашением сторон в зависимости от способа погрузки, дальности перевозки и его зернового состава. Коэффициент уплотнения гравия не должен быть более 1,10.
2.4. Приемочный контроль качества гравия на предприятии (карьере)-изготовителе производят путем испытания сменных проб, отбираемых из потоков гравия на ленточных конвейерах по ГОСТ 8269-87. Испытания включают определение зернового состава, содержание пылевидных и глинистых частиц, в том числе глины в комках, содержания зерен слабых пород. Контроль качества гравия по перечисленным показателям производят ежедневно, при этом отбирают и испытывают одну сменную пробу щебня каждой технологической линии.
(в ред.
Изменения N 1, утв. Постановлением Госстроя СССР от 21.11.1988 N 227)
Периодический контроль качества гравия включает определение прочности, насыпной плотности и морозостойкости гравия путем испытания соответствующих сменных проб. Определение прочности и насыпной плотности производят один раз в квартал, морозостойкости - один раз в год.
(в ред.
Изменения N 1, утв. Постановлением Госстроя СССР от 21.11.1988 N 227)
Определение прочности и морозостойкости гравия производят также в каждом случае изменения свойств разрабатываемой породы.
2.5. Обеспеченность установленных стандартом значений содержания в гравии зерен размером менее наименьшего номинального размера d и более наибольшего номинального размера D, а также содержания пылевидных и глинистых частиц характеризуют отношением числа сменных проб, показатели качества которых превышают нормативные значения к общему числу сменных проб, отобранных и испытанных в течение одного квартала.
2.6. Обеспеченность установленных стандартом значений показателей качества гравия определяют по количеству сменных проб, имеющих отклонение от нормативного значения в установленных п. 2.7 пределах.
(в ред.
Изменения N 1, утв. Постановлением Госстроя СССР от 21.11.1988 N 227)
Абзац исключен с 1 декабря 1988 года. -
Изменение N 1, утв. Постановлением Госстроя СССР от 21.11.1988 N 227.
Содержание в гравии зерен размером менее d принимают равным разности между 100% и полным остатком на контрольном сите с отверстиями диаметром d, %, а зерен размером более D - полному остатку на контрольном сите с отверстиями диаметром D, %.
2.7. Для гравия количество сменных проб, имеющих значения показателей, указанных в п. 2.5, выше нормативных, должно быть не более 5%.
(в ред.
Изменения N 1, утв. Постановлением Госстроя СССР от 21.11.1988 N 227)
При этом отклонения показателей от нормативных значений в сторону увеличения не должно превышать 20%.
2.8. Потребитель при контрольной проверке соответствия гравия требованиям настоящего стандарта должен применять приведенный в
пп. 2.9 -
2.12 порядок отбора проб.
2.9. Число частичных проб, отбираемых для контрольной проверки качества гравия в каждой партии, должно быть не менее:
Объем партии, м3 | Число частичных проб |
До 350 | 10 |
Св. 350 до 700 | 15 |
" 700 | 20 |
Частичные пробы объединяют в среднюю пробу, характеризующую контролируемую партию. Усреднение, сокращение и подготовку пробы к испытаниям производят по ГОСТ 8269-87.
(в ред.
Изменения N 1, утв. Постановлением Госстроя СССР от 21.11.1988 N 227)
2.10. Для контроля качества гравия, отгружаемого железнодорожным транспортом, частичные пробы отбирают при разгрузке вагонов из потока гравия на ленточных конвейерах, используемых для транспортирования его на склад потребителя. При разгрузке каждого опробываемого вагона отбирают через равные интервалы времени пять частичных проб. Число опробываемых вагонов принимают с учетом получения требуемого числа частичных проб по
п. 2.9. Вагоны выбирают по указанию потребителя. В случае, если партия состоит из одного вагона, при его разгрузке отбирают пять частичных проб, которые объединяют в среднюю пробу.
(в ред.
Изменения N 1, утв. Постановлением Госстроя СССР от 21.11.1988 N 227)
Если непрерывный транспорт при разгрузке вагонов не применяют, производят отбор частичных проб непосредственно из вагонов. Для этого поверхность гравия в вагоне выравнивают и в точках отбора проб отрывают лунки глубиною 0,2 - 0,4 м. Точки отбора принимают в центре и в четырех углах вагона, при этом расстояние от бортов вагона до точек отбора должно быть не менее 0,5 м. Из лунок пробы гравия отбирают совком, перемещая его снизу вверх вдоль стенки лунки.
2.11. Для контроля качества гравия, отгружаемого водным транспортом, частичные пробы отбирают при разгрузке судов.
(в ред.
Изменения N 1, утв. Постановлением Госстроя СССР от 21.11.1988 N 227)
В случае применения при разгрузке непрерывного транспорта частичные пробы отбирают через равные интервалы времени из потока гравия на ленточных конвейерах. При разгрузке судов грейферными кранами частичные пробы отбирают совком через равные интервалы времени по мере разгрузки с вновь образованной поверхности гравия в судне без образования лунок.
2.12. Для контроля качества гравия, отгружаемого автомобильным транспортом, частичные пробы отбирают при разгрузке автомобилей.
(в ред.
Изменения N 1, утв. Постановлением Госстроя СССР от 21.11.1988 N 227)
В случае применения при разгрузке гравия непрерывного транспорта частичные пробы отбирают из потока гравия на ленточных конвейерах. При разгрузке каждого опробываемого автомобиля отбирают одну частичную пробу. Число опробываемых автомобилей принимают с учетом получения требуемого числа частичных проб по
п. 2.9. Автомобили выбирают по указанию потребителя.
В случае если партия состоит менее чем из десяти автомобилей, опробуют каждый автомобиль.
Если непрерывный транспорт при разгрузке автомобилей не применяют, частичные пробы отбирают непосредственно из автомобилей. Для этого поверхность гравия в автомобиле выравнивают, в центре кузова отрывают лунку глубиною 0,2 - 0,4 м. Из лунки пробу гравия отбирают совком, перемещая его снизу вверх вдоль стенки лунки.
3.1. Испытания гравия проводят по ГОСТ 8269-87.
(в ред.
Изменения N 1, утв. Постановлением Госстроя СССР от 21.11.1988 N 227)
4. МАРКИРОВКА, ТРАНСПОРТИРОВАНИЕ И ХРАНЕНИЕ
4.1. Предприятие (карьер)-изготовитель обязано сопровождать каждую партию поставляемого гравия документом установленной формы, в котором указывают:
наименование предприятия (карьера)-изготовителя и его адрес;
номер и дату выдачи паспорта;
наименование и адрес потребителя;
номер партии и количество гравия;
номера вагонов или номер судна и номера накладных;
наименование фракции гравия;
зерновой состав гравия;
содержание зерен пластинчатой (лещадной) и игловатой формы;
содержание пылевидных и глинистых частиц, в том числе глины в комках;
содержание зерен слабых пород;
марку гравия по прочности;
морозостойкость гравия;
насыпную плотность гравия;
обозначение настоящего стандарта.
Абзац исключен с 1 декабря 1988 года. -
Изменение N 1, утв. Постановлением Госстроя СССР от 21.11.1988 N 227.
Показатели качества гравия вносят в указанный документ по данным испытаний.
4.2. Гравий транспортируют в открытых железнодорожных вагонах и судах, а также в автосамосвалах в соответствии с утвержденными в установленном порядке правилами перевозок грузов соответствующим видом транспорта и хранят раздельно по фракциям в условиях, предохраняющих его от засорения и загрязнения.
При перевозке гравия железнодорожным транспортом должно быть обеспечено также выполнение требований Технических условий погрузки и крепления грузов, утвержденных Министерством путей сообщения.
Обязательное
СТАТИСТИЧЕСКИЙ КОНТРОЛЬ КАЧЕСТВА
ГРАВИЯ ВЫСШЕЙ КАТЕГОРИИ КАЧЕСТВА
1. Статистический контроль применяют при оценке качества гравия по содержанию в каждой фракции (смеси фракций) зерен размером менее наименьшего номинального размера d и более наибольшего номинального размера D, а также по содержанию пылевидных и глинистых частиц.
2. Статистический контроль качества включает определение среднего арифметического значения оцениваемого показателя по результатам испытания сменных проб за один квартал и коэффициента вариации значений показателя за указанный период. Полученное среднее арифметическое значение показателя сопоставляют с табличным, соответствующим вычисленному коэффициенту вариации.
3. Среднее значение оцениваемого показателя качества при соответствующем коэффициенте вариации не должно превышать табличных значений.
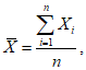
4. Среднее арифметическое значение показателя

определяют по формуле
где Xi - результат испытания сменной пробы;
n - число сменных проб за один квартал.
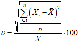
5. Коэффициент вариации

в процентах определяют по формуле
6. Средние значения содержания зерен размером менее d и более D, соответствующие различным значениям коэффициента вариации, указаны в табл. 1.
Таблица 1
Коэффициент вариации  , % | Среднее значение показателя, % не более, при нормативном значении |
5% | 10% |
До 5 | 4,5 | 9,1 |
От 5 до 10 | 4,2 | 8,3 |
Св. 10 " 15 | 3,8 | 7,6 |
" 15 " 20 | 3,5 | 7,1 |
" 20 " 25 | 3,3 | 6,6 |
" 25 " 30 | 3,1 | 6,2 |
" 30 " 35 | 2,9 | 5,8 |
" 35 " 40 | 2,7 | 5,5 |
" 40 " 45 | 2,6 | 5,2 |
" 45 " 50 | 2,5 | 5,0 |
7. Средние значения содержания пылевидных и глинистых частиц, соответствующие различным значениям коэффициентов вариации, указаны в табл. 2.
Таблица 2
Коэффициент вариации  , % | Среднее значение показателя, % не более, при нормативном значении |
1% | 2% |
До 5 | 0,91 | 1,82 |
От 5 до 10 | 0,83 | 1,66 |
Св. 10 " 15 | 0,76 | 1,52 |
" 15 " 20 | 0,71 | 1,42 |
" 20 " 25 | 0,66 | 1,32 |
" 25 " 30 | 0,62 | 1,24 |
" 30 " 35 | 0,58 | 1,16 |
" 35 " 40 | 0,55 | 1,10 |
" 40 " 45 | 0,52 | 1,04 |
" 45 " 50 | 0,50 | 1,00 |