Главная // Актуальные документы // ГОСТ (Государственный стандарт)СПРАВКА
Источник публикации
М.: Стандартинформ, 2014
Примечание к документу
Документ включен в
Перечень стандартов, в результате применения которых на добровольной основе обеспечивается соблюдение требований технического
регламента Таможенного союза "Технический регламент на соковую продукцию из фруктов и овощей" (ТР ТС 023/2011) (
Решение Комиссии Таможенного союза от 09.12.2011 N 882).
Текст данного документа приведен с учетом
поправки, опубликованной в "ИУС", N 4, 2020.
Документ
введен в действие с 1 июля 2014 года.
Название документа
"ГОСТ 32104-2013. Межгосударственный стандарт. Консервы. Продукция соковая. Нектары фруктовые и фруктово-овощные. Общие технические условия"
(введен в действие Приказом Росстандарта от 28.06.2013 N 330-ст)
"ГОСТ 32104-2013. Межгосударственный стандарт. Консервы. Продукция соковая. Нектары фруктовые и фруктово-овощные. Общие технические условия"
(введен в действие Приказом Росстандарта от 28.06.2013 N 330-ст)
Приказом Федерального
агентства по техническому
регулированию и метрологии
от 28 июня 2013 г. N 330-ст
МЕЖГОСУДАРСТВЕННЫЙ СТАНДАРТ
КОНСЕРВЫ
ПРОДУКЦИЯ СОКОВАЯ
НЕКТАРЫ ФРУКТОВЫЕ И ФРУКТОВО-ОВОЩНЫЕ
ОБЩИЕ ТЕХНИЧЕСКИЕ УСЛОВИЯ
Canned foods. Juice products. Fruit,
fruit and vegetable nectars. General specifications
ГОСТ 32104-2013
Дата введения
1 июля 2014 года
Цели, основные принципы и основной порядок проведения работ по межгосударственной стандартизации установлены
ГОСТ 1.0-92 "Межгосударственная система стандартизации. Основные положения" и
ГОСТ 1.2-2009 "Межгосударственная система стандартизации. Стандарты межгосударственные, правила и рекомендации по межгосударственной стандартизации. Правила разработки, принятия, применения, обновления и отмены".
1. Разработан Государственным научным учреждением Всероссийским научно-исследовательский институтом консервной и овощесушильной промышленности Российской академии сельскохозяйственных наук (ГНУ ВНИИКОП Россельхозакадемии) при участии Некоммерческой организации "Российский союз производителей соков" (РСПС).
2. Внесен Федеральным агентством по техническому регулированию и метрологии (ТК 093).
3. Принят Межгосударственным советом по стандартизации, метрологии и сертификации (протокол от 7 июня 2013 г. N 43-2013).
За принятие проголосовали:
Краткое наименование страны по МК (ИСО 3166) 004-97 | Код страны по МК (ИСО 3166) 004-97 | Сокращенное наименование национального органа по стандартизации |
Армения | AM | Минэкономики Республики Армения |
Беларусь | BY | Госстандарт Республики Беларусь |
Казахстан | KZ | Госстандарт Республики Казахстан |
Киргизия | KG | Кыргызстандарт |
Россия | RU | Росстандарт |
Таджикистан | TJ | Таджикстандарт |
Узбекистан | UZ | Узстандарт |
4. Приказом Федерального агентства по техническому регулированию и метрологии от 28 июня 2013 г. N 330-ст межгосударственный стандарт ГОСТ 32104-2013 введен в действие в качестве национального стандарта Российской Федерации с 1 июля 2014 г.
5. Введен впервые.
Информация об изменениях к настоящему стандарту публикуется в ежегодном информационном указателе "Национальные стандарты", а текст изменений и поправок - в ежемесячном информационном указателе "Национальные стандарты". В случае пересмотра (замены) или отмены настоящего стандарта соответствующее уведомление будет опубликовано в ежемесячном информационном указателе "Национальные стандарты". Соответствующая информация, уведомление и тексты размещаются также в информационной системе общего пользования - на официальном сайте Федерального агентства по техническому регулированию и метрологии в сети Интернет.
Настоящий стандарт распространяется на соковую продукцию - фруктовые и фруктово-овощные нектары, в т.ч. обогащенные (далее - нектары).
В настоящем стандарте использованы ссылки на следующие межгосударственные стандарты:
ГОСТ 8.579-2002 Государственная система обеспечения единства измерений. Требования к количеству фасованных товаров в упаковках любого вида при их производстве, расфасовке, продаже и импорте
ГОСТ 5981-2011 Банки и крышки к ним металлические для консервов. Технические условия
ГОСТ 8756.0-70 Продукты пищевые консервированные. Отбор проб и подготовка их к испытанию
ГОСТ 8756.1-79 Продукты пищевые консервированные. Методы определения органолептических показателей, массы нетто или объема и массовой доли составных частей
ГОСТ 8756.9-78 Продукты переработки плодов и овощей. Метод определения осадка в плодовых и ягодных соках и экстрактах
ГОСТ 8756.10-70 Продукты переработки плодов и овощей. Метод определения содержания мякоти
ГОСТ 8756.11-70 Продукты переработки плодов и овощей. Методы определения прозрачности соков и экстрактов, растворимости экстрактов
ГОСТ 8756.18-70 Продукты пищевые консервированные. Метод определения внешнего вида, герметичности тары и состояния внутренней поверхности металлической тары
ГОСТ 10117.1-2001 Бутылки стеклянные для пищевых жидкостей. Общие технические условия
ГОСТ 10117.2-2001 Бутылки стеклянные для пищевых жидкостей. Типы, параметры и основные размеры
ГОСТ 10444.12-88 Продукты пищевые. Методы определения дрожжей и плесневых грибов
ГОСТ 10444.15-94 Продукты пищевые. Методы определения количества мезофильных аэробных и факультативно-анаэробных микроорганизмов
ГОСТ 13799-81 Продукция плодовая, ягодная, овощная и грибная консервированная. Упаковка, маркировка, транспортирование и хранение
ГОСТ 24283-80 Консервы гомогенизированные для детского питания. Метод определения качества измельчения
ГОСТ 25555.3-82 Продукты переработки плодов и овощей. Методы определения минеральных примесей
ГОСТ 26313-84 Продукты переработки плодов и овощей. Правила приемки, методы отбора проб
ГОСТ 26323-84 Продукты переработки плодов и овощей. Методы определения содержания примесей растительного происхождения
ГОСТ 26669-85 Продукты пищевые и вкусовые. Подготовка проб для микробиологических анализов
ГОСТ 26670-91 Продукты пищевые. Методы культивирования микроорганизмов
ГОСТ 26671-85 Продукты переработки плодов и овощей, консервы мясные и мясорастительные. Подготовка проб для лабораторных анализов
ГОСТ 26929-94 Сырье и продукты пищевые. Подготовка проб. Минерализация для определения токсичных элементов
ГОСТ 26930-86 Сырье и продукты пищевые. Метод определения мышьяка
ГОСТ 28562-90 Продукты переработки плодов и овощей. Рефрактометрический метод определения растворимых сухих веществ
ГОСТ 29187-91 Плоды и ягоды быстрозамороженные. Общие технические условия
ГОСТ 29270-95 Продукты переработки плодов и овощей. Методы определения нитратов
ГОСТ 30178-96 Сырье и продукты пищевые. Атомно-абсорбционный метод определения токсичных элементов
ГОСТ 30349-96 Плоды, овощи и продукты их переработки. Методы определения остаточных количеств хлорорганических пестицидов
ГОСТ 30425-97 Консервы. Метод определения промышленной стерильности
ГОСТ 30538-97 Продукты пищевые. Методика определения токсичных элементов атомно-эмиссионным методом
ГОСТ 30710-2001 Плоды, овощи и продукты их переработки. Методы определения остаточных количеств фосфорорганических пестицидов
ГОСТ 31628-2012 Продукты пищевые и продовольственное сырье. Инверсионно-вольтамперометрический метод определения массовой концентрации мышьяка
ГОСТ 31643-2012 Продукция соковая. Определение аскорбиновой кислоты методом высокоэффективной жидкостной хроматографии
ГОСТ 31669-2012 Продукция соковая. Определение сахарозы, глюкозы, фруктозы и сорбита методом высокоэффективной жидкостной хроматографии
ГОСТ 31714-2012 Соки и соковая продукция. Идентификация. Определение стабильных изотопов углерода методом масс-спектрометрии
ГОСТ 31715-2012 Соки и соковая продукция. Идентификация. Определение стабильных изотопов водорода методом масс-спектрометрии
ГОСТ 31717-2012 Соки и соковая продукция. Идентификация. Определение аскорбиновой кислоты ферментативным методом
ГОСТ 31718-2012 Соки и соковая продукция. Идентификация. Определение стабильных изотопов кислорода методом масс-спектрометрии
ГОСТ 31904-2012 Продукты пищевые. Методы отбора проб для микробиологических испытаний
ГОСТ 32101-2013 Консервы. Продукция соковая. Соки фруктовые прямого отжима. Общие технические условия
ГОСТ 32102-2013 Консервы. Продукция соковая. Соки фруктовые концентрированные. Общие технические условия
Примечание. При пользовании настоящим стандартом целесообразно проверить действие ссылочных стандартов в информационной системе общего пользования - на официальном сайте Федерального агентства по техническому регулированию и метрологии в сети Интернет или по ежегодному информационному указателю "Национальные стандарты", который опубликован по состоянию на 1 января текущего года, и по выпускам ежемесячного информационного указателя "Национальные стандарты" за текущий год. Если ссылочный стандарт заменен (изменен), то при пользовании настоящим стандартом следует руководствоваться заменяющим (измененным) стандартом. Если ссылочный стандарт отменен без замены, то положение, в котором дана ссылка на него, применяется в части, не затрагивающей эту ссылку.
В настоящем стандарте применены термины и определения по
[1],
[2].
4.1. Наименования нектаров устанавливают в зависимости от вида используемого сырья в соответствии с требованиями
[1] или нормативных правовых актов, действующих на территории государства, принявшего стандарт, - для продукции, не подлежащей обращению на территории государств - членов Таможенного союза.
Фруктовые нектары изготавливают из:
- одного вида фруктового сока и/или пюре;
- из двух и более фруктовых соков и/или пюре (смешанными).
Фруктово-овощные нектары изготавливают из одного или нескольких видов фруктовых соков и/или пюре с добавлением овощных соков и/или пюре.
Во фруктово-овощных нектарах доля фруктовой части должна быть более 50% от общей объемной доли сока и/или пюре в нектаре.
4.2. Нектары в зависимости от технологии изготовления подразделяют:
- на нектары;
- нектары осветленные;
- нектары с мякотью.
Нектары с мякотью могут изготавливаться гомогенизированными.
Нектары могут изготавливаться:
- стерилизованными;
- пастеризованными в соответствии с требованиями
[1] или нормативных правовых актов, действующих на территории государства, принявшего стандарт, - для продукции, не подлежащей обращению на территории государств - членов Таможенного союза.
4.3. Нектары могут изготавливаться обогащенными.
Для изготовления обогащенных нектаров используют пищевые и/или биологически активные вещества в соответствии с требованиями
[1],
[2] или нормативных правовых актов, действующих на территории государства, принявшего стандарт, - для продукции, не подлежащей обращению на территории государств - членов Таможенного союза.
5. Технические требования
5.1. Нектары изготавливают в соответствии с требованиями
[1] или нормативных правовых актов, действующих на территории государства, принявшего стандарт, - для продукции, не подлежащей обращению на территории государств - членов Таможенного союза, и настоящего стандарта по документам на конкретные наименования нектаров и/или по технологическим инструкциям, и/или по рецептурам.
5.2. Характеристики
5.2.1. По органолептическим показателям нектары должны соответствовать требованиям, приведенным в таблице 1.
Таблица 1
Наименование показателя | Характеристика |
Внешний вид: | |
- нектаров | Естественно мутная жидкость, прозрачность необязательна. Допускаются: - осадок на дне упаковки; - наличие цветного маслянистого кольца на поверхности нектаров и (или) наличие темного кольца - для нектаров из темно-окрашенных фруктов; - для нектаров из цитрусовых и тропических фруктов - наличие частиц мякоти указанных фруктов (за исключением цедры и альбедо), клетки цитрусовых фруктов; - наличие камедистых (твердых) частиц мякоти в нектарах из груш и айвы. |
- нектаров осветленных | Прозрачная жидкость, допускается легкая опалесценция. Не допускается в виноградном нектаре и купажированных нектарах, содержащих виноградный сок, наличие кристаллов винного камня. |
- нектаров с мякотью | Для гомогенизированных - однородная жидкость с равномерно распределенной тонкоизмельченной фруктовой (овощной) мякотью соответствующих фруктов (овощей). Допускаются: - незначительное расслаивание; - наличие осадка частиц мякоти использованных фруктов (овощей) на дне упаковки (за исключением цедры и альбедо) для нектаров, кроме гомогенизированных; - единичные точечные вкрапления кожицы темного цвета - для нектаров из темно-окрашенных фруктов |
Вкус и аромат | Хорошо выраженные, свойственные использованным фруктовым (овощным) сокам или пюре (или их смеси). Допускаются: - для нектаров из дикорастущих ягод - естественная горечь; - для нектаров из цитрусовых фруктов - естественная горечь и привкус эфирных масел. Для обогащенных нектаров допускается привкус и запах вносимых биологически активных веществ. Не допускаются посторонние привкус и запах |
Цвет | Однородный по всей массе, свойственный цвету использованных фруктовых (овощных) соков и/или пюре, из которых изготовлены нектары |
5.2.2. Требования к физико-химическим показателям нектаров приведены в таблице 2.
Таблица 2
Наименование показателя | Значение показателя |
Минимальное содержание растворимых сухих веществ | |
Массовая доля осадка в нектарах осветленных, %, не более | 0,3 |
Объемная доля мякоти для нектаров с мякотью <*>, %, не менее | 8,0 |
Минеральные примеси | Не допускаются |
Примеси растительного происхождения | То же |
Посторонние примеси | " |
<*> Объемная доля мякоти в нектарах с мякотью, содержащих клетки цитрусовых фруктов, не контролируется. |
5.2.3. Минимальная объемная доля сока и/или пюре в нектарах из одного вида сырья должна соответствовать значениям, указанным в
[1] или нормативных правовых актах, действующих на территории государства, принявшего стандарт, - для продукции, не подлежащей обращению на территории государств - членов Таможенного союза.
5.2.4. Минимальную общую объемную долю соков и (или) пюре для нектаров из двух и более видов соков и/или пюре вычисляют как сумму средневзвешенных значений минимальных объемных долей соков и/или пюре, входящих в состав нектара.
Методика расчета приведена в Приложении А.
5.2.5. Требования к токсичным элементам, микотоксинам, пестицидам, нитратам, микробиологическим показателям, радионуклидам (для нектаров, изготовленных с добавлением дикорастущих ягод) должны соответствовать
[1],
[2] или нормативным правовым актам, действующим на территории государства, принявшего стандарт, - для продукции, не подлежащей обращению на территории государств - членов Таможенного союза.
5.2.6. Органолептические показатели, конкретные значения физико-химических показателей, массовая доля растворимых сухих веществ, объемная доля мякоти, объемная доля соков и/или пюре в конкретных видах нектаров, пищевая ценность, обусловленные особенностями используемого сырья, рецептур и технологии производства, устанавливаются в документах на конкретные наименования нектаров и/или технологических инструкциях и/или рецептурах.
5.3. Требования к сырью
5.3.1. Для изготовления нектаров используют следующее сырье:
- фрукты свежие;
- овощи свежие;
- овощи быстрозамороженные;
- соки фруктовые прямого отжима, консервированные способом "горячего розлива" и асептическим способом;
- соки фруктовые прямого отжима быстрозамороженные;
- соки фруктовые концентрированные, консервированные асептическим способом или быстрозамороженные;
- пюре фруктовые быстрозамороженные;
- пюре фруктовые асептического консервирования;
- пюре фруктовые стерилизованные, консервированные асептическим способом или методом "горячего розлива";
- пюре фруктовые концентрированные стерилизованные, асептического консервирования или замороженные;
- пюре овощные быстрозамороженные;
- пюре овощные асептического консервирования;
- пюре овощные концентрированные стерилизованные, асептического консервирования или замороженные;
- пюре овощные стерилизованные, консервированные асептическим способом или замороженные;
- концентрированные натуральные ароматобразующие фруктовые или овощные вещества;
- концентрированные натуральные ароматобразующие фруктовые или овощные вещества;
- клетки цитрусовых фруктов;
- овощную или фруктовую мякоть;
- растительные экстракты;
- пряности;
- сахар по ГОСТ 31361 или сиропы (растворы) сахара (сахаров);
- поваренную пищевую соль высшего сорта;
- пищевые добавки и технологические средства в соответствии с требованиями
[1],
[2],
[3] или нормативных правовых актов, действующих на территории государства, принявшего стандарт, - для продукции, не подлежащей обращению на территории государств - членов Таможенного союза;
- воду питьевую в соответствии с требованиями
[1],
[2] или нормативных документов государств, принявших стандарт, - для продукции, не подлежащей обращению на территории государств - членов Таможенного союза.
Допускается использование других видов сырья в соответствии с требованиями
[1],
[2] или нормативных правовых актов, действующих на территории государства, принявшего стандарт, - для продукции, не подлежащей обращению на территории государств - членов Таможенного союза.
Сырье, используемое для изготовления нектаров, по показателям безопасности должно соответствовать требованиям
[1],
[2] или нормативных правовых актов, действующих на территории государства, принявшего стандарт, - для продукции, не подлежащей обращению на территории государств - членов Таможенного союза.
5.4. Упаковка
5.4.1. Нектары фасуют в герметично укупориваемую потребительскую упаковку и упаковывают в транспортную упаковку.
Потребительская упаковка, укупорочные средства и транспортная упаковка должны быть предназначены для применения в пищевой промышленности и соответствовать требованиям
[1],
[4] или нормативных правовых актов, действующих на территории государства, принявшего стандарт, - для продукции, не подлежащей обращению на территории государств - членов Таможенного союза.
Покрытия внутренней поверхности металлических банок и крышек должны быть изготовлены из лакокрасочных материалов, соответствующих требованиям
[4] или нормативных правовых актов, действующих на территории государства, принявшего стандарт,
ГОСТ 5981 и предназначенных для применения в пищевой промышленности.
Допускается по условиям договора фасование нектаров асептическим способом в упаковку типа "Bag-in-Box" ("Мешок в коробке").
5.4.2. Потребительская и транспортная упаковка должны обеспечивать сохранность соковой продукции и ее соответствие требованиям настоящего стандарта,
[1] и
[2] или нормативных правовых актов, действующих на территории государства, принявшего стандарт, - для продукции, не подлежащей обращению на территории государств - членов Таможенного союза, в течение срока годности при соблюдении условий транспортирования и хранения.
Рекомендуемая потребительская и транспортная упаковка для фасования и упаковывания нектаров приведена в
Приложении Б.
5.4.3. Объем продукта в одной упаковочной единице должен соответствовать номинальному количеству, указанному в маркировке потребительской упаковки, с учетом допустимых отклонений.
Пределы допустимых отрицательных отклонений объема продукта в одной упаковочной единице от номинального количества - по
ГОСТ 8.579.
5.5. Маркировка
5.5.1. Маркировка потребительской упаковки и транспортной упаковки - в соответствии с требованиями
[1],
[3],
[5] или нормативных правовых актов, действующих на территории государства, принявшего стандарт, - для продукции, не подлежащей обращению на территории государств - членов Таможенного союза, и
ГОСТ 13799 со следующими дополнениями:
- допускается надпись: "гомогенизированный" для гомогенизированных нектаров;
- допускается надпись: "пастеризованный" для пастеризованных нектаров и "стерилизованный" для стерилизованных нектаров;
- допускается надпись: "Перед употреблением взбалтывать" для нектаров с мякотью.
5.5.2. Транспортная маркировка упаковки - по
[1],
[4],
[5] или нормативным правовым актам, действующим на территории государства, принявшего стандарт, - для продукции, не подлежащей обращению на территории государств - членов Таможенного союза,
ГОСТ 13799 и
ГОСТ 14192.
5.5.3. Краски, применяемые для нанесения маркировки, и клей для наклеивания этикетки на упаковку должны быть разрешены к применению в пищевой промышленности.
6.1. Правила приемки - по
ГОСТ 26313 и настоящему стандарту.
6.2. Контроль органолептических (кроме качества измельчения мякоти), физико-химических показателей (кроме массовой доли осадка, объемной доли мякоти, примесей растительного происхождения, минеральных примесей), объемной доли фруктового сока и/или пюре в нектаре, объема нектара в одной потребительской упаковочной единице, качества упаковки и маркировки проводят для каждой партии нектаров.
6.3. Массовые доли осадка, минеральных примесей, примесей растительного происхождения и объемную долю мякоти определяют при возникновении разногласий при органолептической оценке качества нектара.
6.4. Контроль показателей безопасности нектаров проводят в соответствии с требованиями
[1],
[2] или нормативных правовых актов, действующих на территории государства, принявшего стандарт, - для продукции, не подлежащей обращению на территории государств - членов Таможенного союза, контроль микробиологических показателей патогенных и условно-патогенных микроорганизмов в соответствии с требованиями
[2] или нормативных правовых актов, действующих на территории государства, принявшего стандарт, - для продукции, не подлежащей обращению на территории государств - членов Таможенного союза, с периодичностью, установленной изготовителем.
6.5. Микробиологический контроль качества нектаров проводят в соответствии с требованиями
[1] или нормативных правовых актов, действующих на территории государства, принявшего стандарт, - для продукции, не подлежащей обращению на территории государств - членов Таможенного союза, с периодичностью, установленной изготовителем.
6.6. Идентификацию нектаров проводят по
[1] или нормативным правовым актам, действующим на территории государства, принявшего стандарт, - для продукции, не подлежащей обращению на территории государств - членов Таможенного союза.
7.1. Отбор проб - по
ГОСТ 26313,
ГОСТ 8756.0, подготовка проб для определения органолептических и физико-химических показателей - по
ГОСТ 26671, для определения радионуклидов - по нормативным документам, действующим на территории государства, принявшего стандарт, минерализация проб для определения токсичных элементов - по
ГОСТ 26929, отбор проб для микробиологических анализов - по
ГОСТ 31904, подготовка проб для микробиологических анализов - по
ГОСТ 26669, культивирование и определение микроорганизмов - по
ГОСТ 26670.
7.2. Определение герметичности стеклянной и металлической упаковки - по
ГОСТ 8756.18.
7.3. Определение органолептических показателей - по
ГОСТ 8756.1.
В случае разногласий в визуальной оценке прозрачность осветленных нектаров - по
ГОСТ 8756.11, внешний вид и консистенцию гомогенизированных нектаров - по ГОСТ 24283.
7.4. Определение массовой доли мякоти - по
ГОСТ 8756.10, объемной доли мякоти - по нормативным документам, действующим на территории государства, принявшего стандарт, - для продукции, не подлежащей обращению на территории государств - членов Таможенного союза.
7.5. Определение содержания растворимых сухих веществ - по
ГОСТ 28562.
7.6. Определение массовой доли осадка - по
ГОСТ 8756.9.
7.7. Определение массовой доли нитратов - по
ГОСТ 29270.
7.9. Определение примесей растительного происхождения - по
ГОСТ 26323.
7.10. Посторонние примеси определяют визуально.
7.11. Определение массовой доли свинца - по
ГОСТ 26932,
ГОСТ 30178,
ГОСТ 30538 и по нормативным документам, действующим на территории государства, принявшего стандарт.
7.12. Определение массовой доли мышьяка - по
ГОСТ 26930,
ГОСТ 30538,
ГОСТ 31628 и по нормативным документам, действующим на территории государства, принявшего стандарт.
7.13. Определение массовой доли кадмия - по
ГОСТ 26933,
ГОСТ 30178,
ГОСТ 30538 и по нормативным документам, действующим на территории государства, принявшего стандарт.
7.14. Определение массовой доли ртути - по
ГОСТ 26927 и по нормативным документам, действующим на территории государства, принявшего стандарт.
7.16. Определение промышленной стерильности нектаров - по
ГОСТ 30425.
7.17. Определение микробиологических показателей - по
ГОСТ 10444.12,
ГОСТ 10444.15 или по нормативным документам, действующим на территории государства, принявшего стандарт, - для продукции, не подлежащей обращению на территории государств - членов Таможенного союза.
7.18. Определение радионуклидов (для нектаров, изготовленных с добавлением дикорастущих ягод) - по нормативным документам, действующим на территории государства, принявшего стандарт.
7.19. Определение показателей, используемых для идентификации нектаров (см.
6.6):
- определение сахарозы, глюкозы, фруктозы и сорбита - по
ГОСТ 31669;
- определение стабильных изотопов кислорода - по
ГОСТ 31718;
- определение стабильных изотопов водорода - по
ГОСТ 31715;
- определение стабильных изотопов углерода - по
ГОСТ 31714.
8. Транспортирование и хранение
8.1. Правила транспортирования и условия хранения нектаров - по
[1],
[2] или нормативным правовым актам, действующим на территории государства, принявшего стандарт, и
ГОСТ 13799.
Нектары, фасованные в стеклянную упаковку, при хранении должны быть защищены от попадания прямых солнечных лучей.
8.2. Сроки годности нектаров устанавливает изготовитель с указанием условий хранения (рекомендуемые условия и сроки хранения, в течение которых нектары сохраняют свое качество, приведены в
Приложении В).
(рекомендуемое)
РАСЧЕТА МИНИМАЛЬНОЙ ОБЩЕЙ ОБЪЕМНОЙ ДОЛИ
ФРУКТОВЫХ (ОВОЩНЫХ) СОКОВ И/ИЛИ ПЮРЕ В НЕКТАРАХ
ИЗ ДВУХ И БОЛЕЕ ВИДОВ СОКОВ И/ИЛИ ПЮРЕ
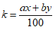
Минимальную общую объемную долю фруктовых (овощных) соков и/или пюре для купажированных нектаров k, %, вычисляют как сумму средневзвешенных значений:
- для двухкомпонентных нектаров (a + b) по формуле

,
где a - содержание первого сока во фруктовой (фруктово-овощной) части нектара из двух видов соков и/или пюре по рецептуре, %;
x - минимальная объемная доля фруктового (овощного) сока и/или пюре в нектаре "a" из одного вида сырья, %, в соответствии с
[1] (приложение 2);
b - содержание второго сока во фруктовой (фруктово-овощной) части нектара из двух видов соков и/или пюре по рецептуре, %;
y - минимальная объемная доля фруктового (овощного) сока и/или пюре в нектаре "b" из одного вида сырья, %, в соответствии с
[1] (приложение 2),
при этом a > b и a + b = 100%;
- для многокомпонентных нектаров (a + b +,..., + n) по формуле

,
где n - содержание n-сока во фруктовой (фруктово-овощной) части купажированного нектара по рецептуре, %;
z - минимальная объемная доля фруктового (овощного) сока и/или пюре в нектаре из одного вида сырья "n", %,
при этом a > (b +,..., + n) и a + b +,..., + n = 100%.
(справочное)
ПОТРЕБИТЕЛЬСКАЯ И ТРАНСПОРТНАЯ УПАКОВКА
ДЛЯ ФАСОВАНИЯ И УПАКОВЫВАНИЯ НЕКТАРОВ
Нектары фасуют:
- в упаковку из полимерных и комбинированных материалов.
Допускается фасовать нектары в упаковку из материалов других видов, предназначенных для применения в пищевой промышленности.
(рекомендуемое)
РЕКОМЕНДУЕМЫЕ УСЛОВИЯ И СРОКИ ГОДНОСТИ НЕКТАРОВ
Б.1. Условия и сроки годности, в течение которых нектары сохраняют свое качество при температуре от 0 °C до 25 °C со дня изготовления, не более:
- в стеклянной упаковке:
светлоокрашенных - 2 лет,
темноокрашенных - 1,5 года;
- в металлической упаковке - 1 года;
- в алюминиевых тубах - 1 года;
- в потребительской упаковке из комбинированных материалов на основе бумаги (картона), алюминиевой фольги и полимерной пленки:
для нектаров, фасованных асептическим способом, при температуре от 0 °C до 25 °C - 1 года,
для нектаров, фасованных методом "горячего розлива", при температуре от 0 °C до 10 °C - 6 мес;
- в потребительской полимерной упаковке для соков, фасованных асептическим способом, - не более 9 мес;
- в потребительской упаковке из комбинированных пленочных материалов на основе алюминиевой фольги и полиэтиленовой пленки при температуре от 0 °C до 10 °C для нектаров, в том числе осветленных, фасованных методом "горячего розлива", - 9 мес.
Б.2. Условия и сроки годности, в течение которых пастеризованные нектары сохраняют свое качество со дня изготовления:
- в асептической упаковке из комбинированных материалов - 30 сут при температуре плюс (4 +/- 2) °C.
| | Технический регламент Таможенного союза "Технический регламент на соковую продукцию из фруктов и овощей". Утвержден Решением Комиссии Таможенного союза от 9 декабря 2011 г. N 882 <*> |
| | Технический регламент Таможенного союза "О безопасности пищевой продукции". Утвержден Решением Комиссии Таможенного союза от 9 декабря 2011 г. N 880 <*> |
| | Технический регламент Таможенного союза "Требования безопасности пищевых добавок, ароматизаторов и технологических вспомогательных средств". Утвержден Решением ЕЭК от 20.07.2012 N 58 <*> |
| | Технический регламент Таможенного союза "О безопасности упаковки". Утвержден Решением Комиссии Таможенного союза от 16.08.2011 N 769 <*> |
| | Технический регламент Таможенного союза "Пищевая продукция в части ее маркировки". Утвержден Решением Комиссии Таможенного союза от 9 декабря 2011 г. N 881 <*> |
--------------------------------
<*> Действует на территории Таможенного союза.