Главная // Актуальные документы // ГОСТ (Государственный стандарт)СПРАВКА
Источник публикации
М.: Стандартинформ, 2013
Примечание к документу
Документ
введен в действие с 1 июля 2013 года.
Название документа
"ГОСТ 31470-2012. Межгосударственный стандарт. Мясо птицы, субпродукты и полуфабрикаты из мяса птицы. Методы органолептических и физико-химических исследований"
(введен в действие Приказом Росстандарта от 19.11.2012 N 938-ст)
"ГОСТ 31470-2012. Межгосударственный стандарт. Мясо птицы, субпродукты и полуфабрикаты из мяса птицы. Методы органолептических и физико-химических исследований"
(введен в действие Приказом Росстандарта от 19.11.2012 N 938-ст)
агентства по техническому
регулированию и метрологии
от 19 ноября 2012 г. N 938-ст
МЕЖГОСУДАРСТВЕННЫЙ СТАНДАРТ
МЯСО ПТИЦЫ, СУБПРОДУКТЫ И ПОЛУФАБРИКАТЫ ИЗ МЯСА ПТИЦЫ
МЕТОДЫ ОРГАНОЛЕПТИЧЕСКИХ И ФИЗИКО-ХИМИЧЕСКИХ ИССЛЕДОВАНИЙ
Poultry meat, edible offal and semi-processed products.
Methods for organoleptic and physico-chemical examinations
ГОСТ 31470-2012
Дата введения
1 июля 2013 года
Цели, основные принципы и основной порядок проведения работ по межгосударственной стандартизации установлены
ГОСТ 1.0-92 "Межгосударственная система стандартизации. Основные положения" и
ГОСТ 1.2-2009 "Межгосударственная система стандартизации. Стандарты межгосударственные, правила и рекомендации по межгосударственной стандартизации. Правила разработки, принятия, применения, обновления и отмены".
1. Разработан Государственным научным учреждением "Всероссийский научно-исследовательский институт птицеперерабатывающей промышленности" Российской академии сельскохозяйственных наук (ГНУ "ВНИИПП" Россельхозакадемии).
2. Внесен Федеральным агентством по техническому регулированию и метрологии.
3. Принят Межгосударственным советом по стандартизации, метрологии и сертификации (протокол N 41-2012 от 24 мая 2012 г.).
За принятие проголосовали:
Краткое наименование страны по МК (ИСО 3166) 004-97 | Код страны по МК МК (ИСО 3166) 004-97 | Сокращенное наименование национального органа по стандартизации |
Азербайджан | AZ | Азстандарт |
Беларусь | BY | Госстандарт Республики Беларусь |
Казахстан | KZ | Госстандарт Республики Казахстан |
Кыргызстан | KG | Кыргызстандарт |
Молдова | MD | Молдова-Стандарт |
Российская Федерация | RU | Росстандарт |
Таджикистан | TJ | Таджикстандарт |
Узбекистан | UZ | Узстандарт |
4.
Приказом Федерального агентства по техническому регулированию и метрологии от 19 ноября 2012 г. N 938-ст введен в действие в качестве национального стандарта Российской Федерации с 1 июля 2013 г.
6. Введен впервые.
Информация о введении в действие (прекращении действия) настоящего стандарта публикуется в указателе "Национальные стандарты".
Информация об изменениях к настоящему стандарту публикуется в указателе "Национальные стандарты", а текст изменений - в информационных указателях "Национальные стандарты". В случае пересмотра или отмены настоящего стандарта соответствующая информация будет опубликована в информационном указателе "Национальные стандарты".
Настоящий стандарт распространяется на мясо птицы, в т.ч. обваленное и измельченное, а также субпродукты и полуфабрикаты из мяса птицы и устанавливает методы органолептических и физико-химических исследований (определение общей кислотности полуфабрикатов, массовой доли углеводов, крахмала и хлеба, количества летучих жирных кислот, кислотного и перекисного числа жира, качественное определение свежести мяса птицы по продуктам распада белков по реакции с реактивом Несслера, качественный тест на добавленные компоненты, содержащие углеводы, качественный тест на активность пероксидазы).
В настоящем стандарте использованы нормативные ссылки на следующие межгосударственные стандарты:
ГОСТ 12.1.004-91 Система стандартов безопасности труда. Пожарная безопасность. Общие требования
ГОСТ 12.1.007-76 Система стандартов безопасности труда. Вредные вещества. Классификация и общие требования безопасности
ГОСТ 12.1.019-79 Система стандартов безопасности труда. Электробезопасность. Общие требования и номенклатура видов защиты
ГОСТ 61-75 Реактивы. Кислота уксусная. Технические условия
ГОСТ 427-75 Линейки измерительные металлические. Технические условия
ГОСТ 1770-74 (ИСО 1042-83, ИСО 4788-80) Посуда мерная лабораторная стеклянная. Цилиндры, мензурки, колбы, пробирки. Общие технические условия
ГОСТ 4166-76 Реактивы. Натрий сернокислый. Технические условия
ГОСТ 4174-77 Реактивы. Цинк сернокислый 7-водный. Технические условия
ГОСТ 4206-75 Реактивы. Калий железосинеродистый. Технические условия
ГОСТ 4207-75 Реактивы. Калий железистосинеродистый 3-водный. Технические условия
ГОСТ 4328-77 Реактивы. Натрия гидроокись. Технические условия
ГОСТ 4517-87 Реактивы. Методы приготовления вспомогательных реактивов и растворов, применяемых при анализе
ГОСТ ИСО 5725-1-2003 Точность (правильность и прецизионность) методов и результатов измерений. Часть 1. Основные положения и определения
ГОСТ 5962-67 Спирт этиловый ректификованный. Технические условия
ГОСТ 9147-80 Посуда и оборудование лабораторные фарфоровые. Технические условия
ГОСТ 9959-91 Продукты мясные. Общие условия проведения органолептической оценки
ГОСТ 11109-90 Марля бытовая хлопчатобумажная. Общие технические условия
ГОСТ 12026-76 Бумага фильтровальная лабораторная. Технические условия
ГОСТ 14919-83 Электроплиты, электроплитки и жарочные электрошкафы бытовые. Общие технические условия
ГОСТ 16367-86 Птицеперерабатывающая промышленность. Термины и определения
ГОСТ 21240-89 Скальпели и ножи медицинские. Общие технические требования и методы испытаний
ГОСТ 21784-76 Мясо птицы (тушки кур, уток, гусей, индеек, цесарок). Технические условия
ГОСТ 25336-82 Посуда и оборудование лабораторные стеклянные. Типы, основные параметры и размеры
ГОСТ 25794.2-83 Реактивы. Методы приготовления титрованных растворов для окислительно-восстановительного титрования
ГОСТ 27068-86 Реактивы. Натрий серноватистокислый (натрия тиосульфат) 5-водный. Технические условия
ГОСТ 28498-90 Термометры жидкостные стеклянные. Общие технические требования. Методы испытаний
ГОСТ 29128-91 Продукты мясные. Термины и определения по органолептической оценке качества
ГОСТ 29169-91 (ИСО 648-77) Посуда лабораторная стеклянная. Пипетки с одной отметкой
ГОСТ 29227-91 (ИСО 835-1-81) Посуда лабораторная стеклянная. Пипетки градуированные. Часть 1. Общие требования
ГОСТ 29252-91 (ИСО 385-2-84) Посуда лабораторная стеклянная. Бюретки. Часть 2. Бюретки без установленного времени ожидания
ГОСТ 31467-2012 Мясо птицы, субпродукты и полуфабрикаты из мяса птицы. Методы отбора проб и подготовка их к испытаниям.
Примечание. При пользовании настоящим стандартом целесообразно проверить действие ссылочных стандартов по указателю "Национальные стандарты", составленному по состоянию на 1 января текущего года, и по соответствующим информационным указателям, опубликованным в текущем году. Если ссылочный стандарт заменен (изменен), то при пользовании настоящим стандартом следует руководствоваться заменяющим (измененным) стандартом. Если ссылочный стандарт отменен без замены, то положение, в котором дана ссылка на него, применяется в части, не затрагивающей эту ссылку.
4. Методы органолептического анализа
4.1. Общие требования
4.1.1. Отбор и подготовка проб к испытаниям - по
ГОСТ 28825,
ГОСТ 31657,
ГОСТ 31490,
ГОСТ 31467,
[2]. При отборе единиц выборки транспортной тары и точечных проб оценивают состояние и целостность упаковки продукта, наличие жидкости, льда и снега под упаковкой, соответствие упаковки и маркировки требованиям нормативной и технической документации на конкретный вид продукта.
При определении цвета, запаха, консистенции и внешнего вида замороженных точечных проб они должны быть предварительно разморожены в соответствии с
ГОСТ 31467. После размораживания проб визуально оценивают количество выделившейся жидкости.
4.1.2. Органолептический анализ проводят: не менее чем на пяти точечных пробах крупнокусковых полуфабрикатов, не менее чем на 10 точечных пробах субпродуктов одного вида, не менее чем на 10 точечных пробах мелкокусковых и рубленых полуфабрикатов и не менее чем на трех точечных пробах мясного фарша или мяса птицы механической обвалки массой не менее 200 г каждая.
Органолептический анализ целых тушек и частей тушек птицы проводят в соответствии с
ГОСТ 9959.
4.2. Определение внешнего вида и цвета
4.2.1. Материалы
Линейка металлическая с ценой деления шкалы 1 мм по
ГОСТ 427.
Доски разделочные белого или светло-серого цвета.
Приборы столовые и принадлежности кухонные из коррозионной стали.
Допускается применение других материалов по качеству не ниже указанных выше.
4.2.2. Подготовка к анализу
Точечные пробы, подготовленные по
п. 4.1.1, выкладывают на разделочные доски. При анализе полуфабрикатов фаршированных или в оболочке, ножом или скальпелем отделяют часть, содержащую мясо. Для оценки цвета и внешнего вида среза пробы (или содержащей мясо части пробы) ее разрезают крестообразно на четыре части (при отсутствии кости) или делают 2 - 3 разреза до кости при ее наличии.
4.2.3. Проведение анализа
4.2.3.1. Оценку внешнего вида и цвета продукта проводят одновременно с помощью визуального осмотра его внешней поверхности и поверхности срезов.
4.2.3.2. При анализе натуральных, кусковых и мелкокусковых полуфабрикатов определяют форму полуфабриката, состояние и цвет кожи (при ее наличии), мышечной и жировой ткани, наличие в бескостных полуфабрикатах грубых сухожилий и остатков костной и хрящевой ткани. Особое внимание уделяют дефектам обработки и хранения (качество разделки, наличие кровоизлияний, следов ушибов, разрывов кожи, наличие морозильных ожогов и др.), наличию участков с изменившимся цветом.
4.2.3.3. При анализе рубленых полуфабрикатов, фарша и мяса птицы механической обвалки оценивают форму формованных изделий, однородность, степень измельчения и равномерность перемешивания фарша (равномерность распределения ингредиентов), цвет поверхности, приповерхностного слоя и цвет в срединном слое пробы.
4.2.3.4. При анализе субпродуктов оценивают:
печень - наличие одной или двух долей, вид (гладкость), цвет поверхности и цвет печени на разрезе, наличие желчных пузырей и пятен разлитой желчи, остатков жировой и соединительной тканей;
сердце - наличие наружных кровеносных сосудов, сгустков крови, околосердечной сумки, околомышечного жира и загрязнений;
мышечный желудок - форму и способ разрезания, наличие кутикулы и содержимого желудка, остатков прилегающих внутренних органов и жира (при наличии кутикулы в мышечном желудке сухопутной птицы ее отделяют от желудка, раскладывают, не растягивая на разделочной доске, измеряют с помощью линейки наибольшие значения длины и ширины кутикулы и вычисляют их произведение, выражая результат в см2);
шея - наличие кожи, трахеи, пищевода и загрязнений;
ноги - наличие ороговевшего слоя эпидермиса, наминов, остатков оперения и загрязнений;
голова - наличие гребня, остатков оперения, сгустков крови и загрязнений;
гребень - цвет, наличие сгустков крови и загрязнений.
4.2.4. Обработка результатов
Результаты анализа оценивают по каждой точечной пробе продукта отдельно и сопоставляют с требованиями нормативного или технического документа на конкретный вид продукта.
4.3. Определение консистенции
4.3.1. Материалы
Доски разделочные.
Приборы столовые и принадлежности кухонные из коррозионной стали.
Допускается применение других материалов по качеству не ниже указанных выше.
4.3.2. Упругость субпродуктов (печень, гребни) и натуральных полуфабрикатов из мяса птицы оценивают путем образования ямки легким надавливанием шпателем или пальцем на субпродукт и наблюдением за ее выравниванием (при упругой консистенции после надавливания субпродукт восстанавливает первоначальную форму).
4.3.3. Консистенцию рубленых полуфабрикатов, фарша и мяса птицы механической обвалки оценивают сжиманием кусочка пробы пальцами и растиранием между пальцами. Определяют рыхлость, крошливость, упругость, жесткость, наличие твердых частиц.
4.3.4. Обработка результатов
Результаты анализа оценивают по каждой точечной пробе продукта отдельно и сопоставляют с требованиями нормативного или технического документа на конкретный вид продукта.
4.4. Определение запаха
4.4.1. Средства измерений, посуда, вспомогательное оборудование, реактивы
Весы лабораторные по
ГОСТ 24104 с пределом допускаемой абсолютной погрешности однократного взвешивания +/- 0,002 г.
Баня водяная.
Термометр жидкостной по
ГОСТ 28498 или термодатчик, позволяющий измерять температуру от 0 °C до 100 °C с ценой деления шкалы 1 °C.
Мясорубка с отверстиями решетки диаметром 4 мм по
ГОСТ 4025.
Приборы столовые и принадлежности кухонные из коррозионностойкой стали.
Доска разделочная.
Шпилька металлическая или заточенная деревянная палочка.
Допускается применение других средств измерений с метрологическими характеристиками и оборудования с техническими характеристиками не хуже указанных выше.
4.4.2. Проведение анализа
4.4.2.1. Запах точечной пробы полуфабрикатов из мяса птицы и субпродуктов в потребительской упаковке анализируют следующим образом: после достижения продуктом комнатной температуры (температуру продукта проверяют на контрольной упаковке с продуктом) с помощью ножа или скальпеля разрезают потребительскую упаковку и оценивают запах продукта внутри упаковки через образовавшееся отверстие.
4.4.2.2. Запах освобожденных от упаковки и оболочки продуктов оценивают органолептически как с их поверхности, так и внутри продукта после разрезания точечной пробы. Для оценки запаха внутри продукта можно использовать слегка подогретые в теплой дистиллированной воде чистую металлическую шпильку или чистую заостренную деревянную палочку. Шпильку или палочку втыкают на всю глубину продукта, вынимают и сразу оценивают запах, оставшийся на шпильке или палочке. При анализе отмечают специфичность и степень выраженности запаха для данного вида полуфабриката или субпродукта с учетом используемых рецептурных компонентов, в том числе пряностей, соусов, маринадов и панировки, предусмотренных рецептурой, наличие постороннего запаха (запах, не свойственный конкретному виду продукта, запах несвежего и подвергнутого порче продукта).
4.4.2.3. При сомнениях или разногласиях в оценке запаха полуфабрикатов из мяса птицы или субпродуктов (кроме печени, ног, головы и гребней) используют следующий метод оценки запаха: после отделения оболочки или кости кусковой полуфабрикат измельчают на мясорубке, субпродукты (сердце, мышечный желудок) разрезают ножом или скальпелем на 5 - 7 частей, кожу (при ее наличии) и мягкие ткани с шей отделяют согласно
ГОСТ 31467 и измельчают на мясорубке или с помощью ножа или скальпеля. Из рубленного полуфабриката, фарша, мяса механической обвалки птицы или из приготовленных описанным выше способом проб кусковых полуфабрикатов и субпродуктов отбирают 15 - 20 г продукта, помещают в коническую колбу вместимостью 100 см3, добавляют 50 - 60 см3 дистиллированной воды, перемешивают, закрывают стеклянной пробкой и ставят на кипящую водяную баню. При нагревании колбы с содержимым периодически открывают пробку и оценивают запах паров, выходящих из колбы. Анализ прекращают при достижении температуры содержимого колбы (80 - 85) °C.
4.4.3. Обработка результатов
Результаты анализа оценивают по каждой единице продукта отдельно и сопоставляют с требованиями нормативного или технического документа на конкретный вид продукта.
5. Определение общей кислотности полуфабрикатов
в панировке или с добавлением хлеба
5.1. Сущность метода
Метод основан на титровании водной вытяжки из исследуемого продукта раствором щелочи. Кислотность выражают в градусах Тернера (°T), равных числу кубических сантиметров раствора гидроокиси натрия или калия молярной концентрацией 1 моль/дм3, израсходованных на нейтрализацию кислот, содержащихся в 100 г продукта.
5.2. Метрологические характеристики (P = 0,95):
Диапазон значений определяемой кислотности от 0,3 °T до 10 °T.
Предел повторяемости r = 0,2 °T.
Предел воспроизводимости R = 0,4 °T.
Критическая разность (при

)

.
Границы абсолютной погрешности

.
| | ИС МЕГАНОРМ: примечание. Нумерация пунктов дана в соответствии с официальным текстом документа. | |
5.2. Средства измерений, посуда, вспомогательное оборудование, реактивы
Весы лабораторные по ГОСТ 24104 с пределом допускаемой абсолютной погрешности однократного взвешивания +/- 0,002 г.
Колбы мерные вместимостью 250 см3 по
ГОСТ 1770.
Бюретки с устройством для заливки 1-1-1-2-0,01 по
ГОСТ 29252.
Палочка стеклянная.
Бумага фильтровальная "красная лента" по
ГОСТ 12026.
Фенолфталеин, ч.д.а., и раствор в этиловом 95%-ном спирте массовой концентрацией 10 г/дм3.
Стандарт-титр (фиксанал) для приготовления раствора гидроокиси натрия или калия молярной концентрацией 0,1 моль/дм3.
Допускается применение других средств измерений с метрологическими характеристиками и оборудования с техническими характеристиками не хуже, а также реактивов по качеству не ниже указанных выше.
5.3 Подготовка к проведению определения
5.3.2. Подготовка пробы - по
ГОСТ 31467 с дополнением. Оболочку или покрытие удаляют, панированные полуфабрикаты измельчают вместе с панировкой, а выделившуюся из продукта жидкость (например, при размораживании) удаляют.
5.3.3. Приготовление раствора гидроокиси натрия или калия молярной концентрацией 0,1 моль/дм3
Раствор гидроокиси натрия или калия молярной концентрацией 0,1 моль/дм3 готовят из стандарт-титра согласно прилагаемой инструкции.
Срок хранения раствора в плотно закрытой емкости из полиэтилена - 14 сут.
5.3.4. Приготовление водной вытяжки
| | ИС МЕГАНОРМ: примечание. В официальном тексте документа, видимо, допущена опечатка: имеется в виду пункт 5.3.2, а не пункт 5.5.2. | |
(5,0 +/- 0,2) г подготовленной по
5.5.2 пробы взвешивают в химическом стакане вместимостью 100 см3, с записью результата взвешивания в граммах до второго знака после запятой, добавляют небольшое количество дистиллированной воды и тщательно размешивают стеклянной палочкой. Полученную массу количественно переносят в мерную колбу вместимостью 250 см3, смывая остатки пробы в стакане и воронке дистиллированной водой. В колбу добавляют дистиллированную воду до уровня примерно 3/4 объема колбы, закрывают пробкой, сильно взбалтывают и оставляют на 30 мин, периодически (через каждые 5 - 6 мин) взбалтывая содержимое колбы. Затем доводят объем жидкости в колбе дистиллированной водой до 250 см3, закрывают пробкой и тщательно перемешивают переворачиванием колбы несколько раз. Содержимое колбы фильтруют через складчатый фильтр.
5.4. Проведение измерений
Аликвоту фильтрата пробы объемом 25 см3 с помощью пипетки переносят в коническую колбу вместимостью 100 см3, добавляют одну каплю 1%-ного спиртового раствора фенолфталеина и титруют с помощью бюретки раствором гидроокиси натрия или калия молярной концентрацией 0,1 моль/дм3 до появления розового окрашивания, не исчезающего в течение 1 мин.
5.5. Обработка результатов определения
Общую кислотность

, в градусах Тернера (°T), вычисляют по формуле

, (1)
где 100 - масса анализируемой пробы по
5.6, в которой определяют кислотность в градусах Тернера, г;

- объем раствора гидроокиси натрия (калия) молярной концентрацией 0,1 моль/дм3, израсходованный на титрование аликвоты фильтрата пробы объемом

, см3;

- объем суспензии пробы в дистиллированной воде перед фильтрованием, см3;
10 - коэффициент пересчета раствора гидроокиси натрия (калия) молярной концентрацией 0,1 моль/дм3 в раствор молярной концентрацией 1 моль/дм3;

- объем аликвоты фильтрата пробы, взятый для титрования, см3;
| | ИС МЕГАНОРМ: примечание. В официальном тексте документа, видимо, допущена опечатка: имеется в виду пункт 5.3.4, а не пункт 5.5.4. | |
m - масса анализируемой пробы по
5.5.4, г.
За окончательный результат принимают среднеарифметическое результатов двух определений, выполненных в условиях повторяемости по ГОСТ ИСО 5725-1 для двух идентичных проб, если выполняется условие приемлемости

, (2)
где

,

- результаты определения общей кислотности для двух идентичных проб, °T;
r - предел повторяемости при P = 0,95, °T
(5.3).
Расхождение между результатами двух независимых определений, полученных при использовании одного и того же метода, на одной и той же пробе, в разных лабораториях (по два параллельных определения в каждой лаборатории), разными операторами, с использованием различного оборудования, должно удовлетворять следующему условию приемлемости

,(3)
где

,

- среднеарифметические результатов определений общей кислотности, полученных в двух разных лабораториях, %;

- значение критической разности при P = 0,95 и двух параллельных определений в каждой лаборатории, °T
(5.3).
5.6. Оформление результатов
Результат измерений представляют в виде

, (4)
| | ИС МЕГАНОРМ: примечание. В официальном тексте документа, видимо, допущена опечатка: пункт 5.7 в данном документе отсутствует. | |
где

- среднеарифметическое результатов определений общей кислотности, °T, для двух идентичных проб, признанных приемлемыми по 5.7;

- границы абсолютной погрешности, °T, при P = 0,95
(5.3).
Результат измерения округляют до одного десятичного знака.
6. Метод качественного определения свежести мяса птицы
по продуктам распада белков
6.1. Область применения
Метод предназначен для качественной оценки свежести мяса птицы (тушки и части тушек), мяса птицы механической обвалки и натуральных полуфабрикатов из мяса птицы, в которых отсутствуют какие-либо добавленные компоненты растительного происхождения, маринады, специи, пряности.
Метод применяют при разногласиях в органолептической оценке свежести мяса птицы.
6.2. Сущность метода
Метод основан на способности реактива Несслера (двойная соль йодистой ртути и йодистого калия, растворенная в гидроокиси калия) образовывать окрашенные соединения при взаимодействии с аммиаком, солями аммония, аминами, сульфидами и альдегидами, накапливающимися в мясе птицы в процессе распада белков (при малой концентрации продуктов распада белков в водной вытяжке из мяса птицы соединения, образующиеся после взаимодействия с реактивом Несслера, находятся в виде коллоидного прозрачного раствора желтого цвета, а при большой концентрации - выпадают в осадок в виде хлопьев).
6.3. Аппаратура, материалы, реактивы
Весы лабораторные по
ГОСТ 24104 с пределом допускаемой абсолютной погрешности однократного взвешивания +/- 0,002 г.
Палочки стеклянные.
Реактив Несслера (щелочной водный раствор тетрайодомеркурата (II) калия,

) по
ГОСТ 4517.
Допускается применение других средств измерений с метрологическими характеристиками и оборудования с техническими характеристиками не хуже, а также реактивов по качеству не ниже указанных выше.
6.4. Подготовка к проведению определения
6.4.1. Приготовление реактива Несслера
Применяют готовый коммерческий реактив Несслера или его готовят по
ГОСТ 4517.
Срок хранения бесцветного реактива Несслера в темной склянке с притертой стеклянной пробкой в темном холодном месте - 1 год.
6.4.3. Среднюю пробу готовят по
ГОСТ 31467 с дополнением. Выделившуюся из продукта жидкость (например, при размораживании) используют при приготовлении средней пробы (среднюю пробу готовят для каждой единицы продукта).
6.4.4. Приготовление водной вытяжки
(5,0 +/- 0,2) г подготовленной по
6.4.3 пробы взвешивают в конической колбе вместимостью 100 см3 с записью результата взвешивания в граммах до второго знака после запятой, добавляют около 20 см3 свежепрокипяченной и охлажденной до комнатной температуры дистиллированной воды, настаивают в течение 15 мин при трехкратном взбалтывании и фильтруют через складчатый фильтр.
6.5. Проведение определения
В пробирку с помощью пипетки вносят 1 см3 полученного по
6.4.4 фильтрата, добавляют с помощью капельницы 10 капель реактива Несслера. Содержимое пробирки встряхивают и визуально наблюдают цвет и прозрачность содержимого.
6.6. Оценка результатов определения
Мясо птицы считают свежим, если содержимое пробирки приобретает зеленовато-желтый оттенок, при этом содержимое остается прозрачным или наблюдается незначительное помутнение в течение 15 мин. В этом случае в протоколе испытаний указывают: "Качественный тест с реактивом Несслера - отрицательный".
Если содержимое пробирки приобретает интенсивно-желтый цвет, иногда с оранжевым оттенком, и наблюдается значительное помутнение с выпадением тонкого слоя осадка в течение 15 мин, то это свидетельствует о начальной стадии распада белков. В этом случае в протоколе испытаний указывают: "Качественный тест с реактивом Несслера - положительный (I)".
Если содержимое пробирки сразу после встряхивания приобретает желтовато-оранжевое окрашивание и наблюдается быстрое (1 - 2 мин) образование хлопьев, выпадающих в осадок, то это свидетельствует о стадии значительного распада белков. В этом случае в протоколе испытаний указывают: "Качественный тест с реактивом Несслера - положительный (II)".
7. Метод определения количества летучих жирных кислот
7.1. Область применения
Метод предназначен для определения количества летучих жирных кислот в мясе птицы (тушки и части тушек), мясе птицы механической обвалки и натуральных полуфабрикатах из мяса птицы, в которых отсутствуют какие-либо добавленные компоненты растительного происхождения, маринады, специи, пряности.
Метод применяют для оценки свежести мяса птицы и натуральных полуфабрикатов из мяса птицы.
7.2. Метрологические характеристики метода (P = 0,95) приведены в таблице 1.
Диапазон значений измеряемого количества летучих жирных кислот, мг KOH | Границы относительной погрешности  , % | Предел повторяемости  , % | Критическая разность  ,  , % |
Св. | 1,0 | до | 2,0 | включ. | 36 | 27 | 41 |
" | 2,0 | " | 4,0 | " | 23 | 17 | 27 |
" | 4,0 | " | 10,0 | " | 12 | 9 | 17 |
" | 10,0 | " | 30,0 | " | 9 | 7 | 12 |
7.3. Сущность метода
Метод основан на выделении летучих жирных кислот, накапливающихся в мясе птицы при гидролитическом и окислительном распаде липидов, с помощью перегонки водяным паром и определении их количества титрованием раствором гидроокиси калия. Количество летучих жирных кислот выражают в миллиграммах гидроокиси калия, использованного на титрования летучих жирных кислот, выделенных из 100 г пробы.
7.4. Средства измерений, посуда, вспомогательное оборудование, реактивы
Весы лабораторные по
ГОСТ 24104 с пределом допускаемой абсолютной погрешности однократного взвешивания +/- 0,0002 г.
Колбы мерные вместимостью 250 и 1000 см3 по
ГОСТ 1770.
Прибор для перегонки водяным паром (см.
рисунок 1).
1 - колба Гр-250-14/23 ТС по
ГОСТ 25336 с анализируемой
пробой; 2 - колбонагреватель электрический мощностью
200 - 400 Вт; 3 - электрическая плитка по
ГОСТ 14919;
(парогенератор); 5 - предохранительная трубка (водяной
затвор); 6, 9 - пароотводные трубки внутренним диаметром
6 мм; 7 - пробка; 8 - каплеуловитель КО-60 ХС по
ГОСТ 25336;
10 - холодильник ХШ-3/200 ХС по
ГОСТ 25336; 11 - приемная
Рисунок 1. Прибор для перегонки
летучих жирных кислот водяным паром
Бюретки с устройством для заливки 1-1-1-2-0,01 по
ГОСТ 29252.
Палочка стеклянная.
Бумага фильтровальная "красная лента" по
ГОСТ 12026.
Фенолфталеин, ч.д.а., и раствор в этиловом 95%-ном спирте массовой концентрацией 10 г/дм3.
Кислота серная концентрированная по
ГОСТ 4204, х.ч.
Стандарт-титр (фиксанал) для приготовления раствора гидроокиси натрия или калия молярной концентрацией 0,1 моль/дм3.
Допускается применение других средств измерений с метрологическими характеристиками и оборудования с техническими характеристиками не хуже, а также реактивов по качеству не ниже указанных выше.
7.5. Подготовка к проведению определения
7.5.1. Приготовление раствора гидроокиси калия молярной концентрацией 0,1 моль/дм3
Раствор гидроокиси калия молярной концентрацией 0,1 моль/дм3 готовят из стандарт-титра согласно прилагаемой инструкции.
Срок хранения раствора в плотно закрытой посуде из полиэтилена - 14 сут.
7.5.2. Приготовление раствора серной кислоты массовой долей 2%
В мерную колбу вместимостью 1000 см3, заполненную на 3/4 дистиллированной водой, с помощью пипетки по каплям добавляют 11 см3 концентрированной серной кислоты, доводят объем раствора дистиллированной водой до метки и перемешивают.
7.5.4. Среднюю пробу готовят по
ГОСТ 31467, при этом кожу (при ее наличии) и выделившуюся из продукта жидкость (например при размораживании) удаляют.
7.5.5. Перегонка летучих жирных кислот водяным паром
Для перегонки летучих жирных кислот используют прибор, показанный на
рисунке 1.
25 г приготовленной по
7.5.4 измельченной пробы, взвешенной с записью результата в граммах до третьего знака после запятой, помещают в круглодонную колбу 1 (см.
рисунок 1) вместимостью 250 см3, добавляют 150 см3 раствора серной кислоты массовой долей 2%. Содержимое колбы перемешивают и закрывают пробкой 7. Под холодильник 10 подставляют приемную коническую колбу 11 вместимостью 250 см3, на которую предварительно наносят метку, фиксирующую объем 200 см3. Дистиллированную воду в плоскодонной колбе 4 доводят до кипения и образовавшимся паром отгоняют летучие жирные кислоты до тех пор, пока в приемной колбе не соберется 200 см3 дистиллята. Во время перегонки колбу 1 с пробой подогревают.
7.6. Проведение измерений
В приемную колбу с 200 см3 дистиллята добавляют две капли спиртового раствора фенолфталеина массовой концентрацией 10 г/дм3 и титруют с помощью бюретки раствором гидроокиси калия молярной концентрацией 0,1 моль/дм3 до появления неисчезающей малиновой окраски.
Параллельно при тех же условиях готовят контрольный опыт для определения объема раствора гидроокиси калия, необходимого для нейтрализации дистиллята контрольной пробы, в качестве которой используют 25 см3 дистиллированной воды.
7.7. Обработка результатов
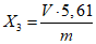
Количество жирных кислот

, выраженное в миллиграммах гидроокиси калия, использованного на титрование летучих жирных кислот, выделенных из 100 г пробы (мг KOH/100 г), вычисляют по формуле

, (5)
где V - объем раствора гидроокиси калия молярной концентрацией 0,1 моль/дм3, израсходованный на титрование 200 см3 дистиллята анализируемой пробы, см3;

- объем раствора гидроокиси калия молярной концентрацией 0,1 моль/дм3, израсходованный на титрование 200 см3 дистиллята контрольной пробы, см3;
5,61 - масса гидроокиси калия, содержащаяся в 1 см3 раствора гидроокиси калия молярной концентрацией 0,1 моль/дм3, мг;
m - масса анализируемой пробы, г.
За окончательный результат принимают среднеарифметическое результатов двух определений, выполненных в условиях повторяемости по ГОСТ ISO 5725-1 для двух идентичных проб, если выполняется условие приемлемости

, (6)
где

,

- результаты определений количества летучих жирных кислот для двух идентичных проб, мг KOH/100 г;

- предел относительной повторяемости при P = 0,95, % (см.
таблицу 1).
Расхождение между результатами двух независимых определений, полученных при использовании одного и того же метода, на одной и той же пробе, в разных лабораториях (по два параллельных определения в каждой лаборатории), разными операторами, с использованием различного оборудования, должно удовлетворять следующему условию приемлемости

, (7)
где

,

- среднеарифметические результатов определений количества летучих жирных кислот, полученные в двух разных лабораториях, мг KOH/100 г;

- среднеарифметическое результатов определений количества летучих жирных кислот

и

, полученных в двух разных лабораториях, мг KOH/100 г;

- критическая разность для двух среднеарифметических результатов определений, полученных в двух разных лабораториях (см.
таблицу 1), %;
7.8. Оформление результатов определения
Результат определения представляют в виде

, (8)
| | ИС МЕГАНОРМ: примечание. В официальном тексте документа, видимо, допущена опечатка: пункт 5.3.7 в данном документе отсутствует. | |
где

- среднеарифметическое результатов определений количества летучих жирных кислот для двух идентичных проб, признанных приемлемыми по 5.3.7, мг KOH/100 г;

- границы абсолютной погрешности при P = 0,95, мг KOH/100 г, вычисляемые по формуле

, (9)
где

- границы относительной погрешности при P = 0,95, % (см.
таблицу 1).
Значение

вычисляют с округлением до двух значащих цифр. Среднеарифметическое результатов определений

округляют до цифры того же разряда, что и последняя значащая цифра границы абсолютной погрешности

.
8. Метод определения кислотного числа жира
8.1. Область применения
Метод предназначен для определения кислотного числа жира в мясе и жировой ткани птицы (тушки и части тушек), мясе птицы механической обвалки, фарше и натуральных полуфабрикатах из мяса и субпродуктов птицы, в которых отсутствуют какие-либо добавленные компоненты растительного происхождения, маринады, специи, пряности.
Метод применяют для оценки свежести мяса птицы и субпродуктов при разногласиях в органолептической оценке.
8.2. Метрологические характеристики метода (P = 0,95) приведены в таблице 2.
Диапазон значений измеряемого кислотного числа жира, мг KOH/г | Границы относительной погрешности  , % | Предел повторяемости  , % | Критическая разность   , % |
Св. | 0,5 | до | 1,0 | включ. | 28 | 20 | 35 |
" | 1,0 | " | 4,0 | " | 10 | 7 | 14 |
" | 4,0 | " | 10,0 | " | 6 | 4 | 8 |
" | 10,0 | " | 30,0 | " | 5 | 4 | 7 |
8.3. Сущность метода
Метод основан на выделении жира из анализируемой пробы, растворении жира в смеси диэтиловый эфир-этиловый спирт и титровании раствором гидроокиси калия свободных жирных кислот, образующихся при хранении мяса птицы, полуфабрикатов и субпродуктов. Кислотное число жира выражают в миллиграммах гидроокиси калия (мг KOH), использованного на титрования свободных жирных кислот, содержащихся в 1 г жира.
8.4. Средства измерений, посуда, вспомогательное оборудование, реактивы
Весы лабораторные по
ГОСТ 24104 с пределом допускаемой абсолютной погрешности однократного взвешивания +/- 0,0002 г.
Баня водяная.
Доска разделочная.
Ножницы.
Чашка фарфоровая выпарительная N 3 по
ГОСТ 9147.
Бюретки с устройством для заливки 1-1-1-2-0,01 по
ГОСТ 29252.
Палочка стеклянная.
Бумага фильтровальная ("красная лента") по
ГОСТ 12026.
Фенолфталеин, ч.д.а., и раствор в этиловом 95%-ном спирте массовой концентрацией 10 г/дм3.
Стандарт-титр (фиксанал) для приготовления раствора гидроокиси калия молярной концентрацией 0,1 моль/дм3.
Эфир диэтиловый.
Спирт этиловый ректификованный 96%-ный по
ГОСТ 5962.
Допускается применение других средств измерений с метрологическими характеристиками и оборудования с техническими характеристиками не хуже, а также реактивов по качеству не ниже указанных выше.
8.5. Подготовка к проведению определения
8.5.1. Приготовление смеси диэтиловый эфир-этиловый спирт в соотношении 2:1
Две объемные части диэтилового эфира смешивают с одной объемной частью этилового спирта и перемешивают. Для нейтрализации полученной смеси добавляют несколько капель спиртового раствора фенолфталеина с массовой концентрацией 10 г/дм3 и добавляют при перемешивании раствор гидроокиси калия молярной концентрацией 0,1 моль/дм3 до появления малинового окрашивания.
Срок хранения смеси эфира и спирта в плотно закрытой темной склянке в темном месте - 2 мес.
8.5.2. Приготовление раствора гидроокиси калия молярной концентрацией 0,1 моль/дм3
Раствор гидроокиси калия молярной концентрацией 0,1 моль/дм3 готовят из стандарт-титра согласно прилагаемой инструкции.
8.5.4. Подготовку пробы проводят:
- при анализе тушки птицы, частей тушки, полуфабрикатов с кожей и субпродуктов отбирают внутреннюю, подкожную или прилегающую жировую ткань в соответствии с
ГОСТ 31467;
- при анализе мышечной ткани, фарша, мяса птицы механической обвалки или субпродуктов без жировой ткани среднюю измельченную пробу готовят согласно
ГОСТ 31467, при этом выделившуюся из продукта жидкость (например, при размораживании) удаляют.
Средние пробы готовят по
ГОСТ 31467 отдельно из каждой отобранной точечной пробы продукта.
8.5.5. Выделение жира из жировой ткани
Отобранную по
8.5.3 жировую ткань массой не менее 20 г измельчают ножом или ножницами и вытапливают жир в фарфоровых чашках на кипящей водяной бане, затем вытопленный жир фильтруют в химический стакан через четыре слоя марли и охлаждают до комнатной температуры.
8.5.6. Выделение жира из измельченной средней пробы мяса и субпродуктов птицы
Пробу продукта, подготовленную по
8.5.4, массой от 20 до 70 г (в зависимости от содержания в ней жира) помещают в фарфоровую чашку, добавляют сернокислый натрий в количестве, равном примерно массе пробы, и смешивают его с пробой пестиком до получения однородной массы. Добавляют 25 см3 диэтилового эфира и перемешивают пестиком. Эфир сливают в выпарную чашку через четыре слоя марли. Экстракцию жира повторяют еще 2 - 3 раза, используя по 15 см3 диэтилового эфира, который сливают в ту же выпарную чашку. Выпарную чашку помещают на водяную баню, нагретую до температур 60 °C - 70 °C, и выпаривают эфир. Масса экстрагированного жира должна быть не менее 1,5 г.
8.6. Проведение измерений
1 г жира, полученного по
8.5.5 или
8.5.6, взвешивают в конической колбе вместимостью 100 см3 с записью результата взвешивания в граммах до третьего знака после запятой, добавляют 20 см3 нейтральной смеси диэтилового эфира и этилового спирта
(8.5.1) и пять капель спиртового раствора фенолфталеина массовой концентрацией 10 г/дм3. Содержимое колбы взбалтывают до полного растворения жира. Для ускорения растворения жира колбу слегка подогревают на водяной бане при постоянном перемешивании раствора. После охлаждения до комнатной температуры полученный раствор жира с помощью бюретки титруют при постоянном взбалтывании раствором гидроокиси калия молярной концентрацией 1 моль/дм3 до появления малиновой окраски, не исчезающей в течение 1 мин. При помутнении раствора в процессе титрования добавляют еще 10 см3 нейтральной эфирно-спиртовой смеси
(8.5.1), содержимое взбалтывают, колбу подогревают на водяной бане до просветления раствора, охлаждают до комнатной температуры и продолжают титрование.
8.7. Обработка результатов
Кислотное число жира

, выраженное в миллиграммах гидроокиси калия, израсходованного на нейтрализацию свободных жирных кислот, содержащихся в 1 г жира, мг KOH/г, вычисляют по формуле

, (10)
где V - объем раствора гидроокиси калия молярной концентрацией 0,1 моль/дм3, израсходованный на титрование, см3;
5,61 - масса гидроокиси калия, содержащаяся в 1 см3 раствора гидроокиси калия молярной концентрацией 0,1 моль/дм3, мг;
m - масса анализируемой пробы жира по
8.6, г.
За окончательный результат принимают среднеарифметическое результатов двух определений, выполненных в условиях повторяемости по ГОСТ ISO 5725-1 для двух идентичных проб, если выполняется условие приемлемости

, (11)
где

,

- результаты определений кислотного числа жира для двух идентичных проб, мг KOH/г;

- предел относительной повторяемости при P = 0,95, % (см.
таблицу 1).
Расхождение между результатами двух независимых определений, полученных при использовании одного и того же метода, на одной и той же пробе, в разных лабораториях (по два параллельных определения в каждой лаборатории), разными операторами, с использованием различного оборудования, должно удовлетворять следующему условию приемлемости

, (12)
где

,

- среднеарифметические результатов определений кислотного числа жира, полученные в двух разных лабораториях, мг KOH/г;

- среднеарифметическое результатов определений кислотного числа жира

и

, полученных в двух разных лабораториях, мг KOH/г;

- критическая разность для двух среднеарифметических результатов определений, полученных в двух разных лабораториях (см.
таблицу 1), %.
8.8. Оформление результатов
Результат определения представляют в виде

, (13)
где

- среднеарифметическое результатов определений кислотного числа жира для двух идентичных проб, признанных приемлемыми по
8.7, мг KOH/г;

- границы абсолютной погрешности при P = 0,95, мг KOH/г, вычисляемые по формуле

, (14)
где

- границы относительной погрешности при P = 0,95, % (см.
таблицу 2).
Значение

вычисляют с округлением до двух значащих цифр. Среднеарифметическое результатов определений

округляют до цифры того же разряда, что и последняя значащая цифра границы абсолютной погрешности

.
9. Метод определения перекисного числа жира
9.1. Область применения
Метод предназначен для определения перекисного числа жира в мясе и жировой ткани птицы (тушки и части тушек), мясе птицы механической обвалки, мясном фарше и натуральных полуфабрикатах из мяса и субпродуктов птицы, в которых отсутствуют какие-либо добавленные компоненты растительного происхождения, маринады, специи, пряности.
Метод применяют для оценки свежести мяса птицы и субпродуктов при разногласиях в органолептической оценке.
9.2. Метрологические характеристики метода (P = 0,95) приведены в таблице 3.
Диапазон значений измеряемого перекисного числа жира, | Границы относительной погрешности  , % | Предел повторяемости,  , % | Критическая разность   , % |
Св. | 0,2 | до | 3,0 | включ. | 25 | 10 | 34 |
" | 3,0 | " | 40,0 | " | 18 | 5 | 25 |
9.3. Сущность метода
Метод основан на реакции взаимодействия продуктов окисления жира (перекисей и гидроперекисей), накапливающихся при хранении продукции, с йодистым калием в растворе уксусной кислоты и хлороформа с последующим определением выделившегося йода титрованием раствором тиосульфата натрия. Перекисное число выражают в миллимолях активного кислорода на 1 кг жира

.
9.4. Средства измерений, посуда, вспомогательное оборудование, реактивы
Весы лабораторные по
ГОСТ 24104 с пределом допускаемой абсолютной погрешности однократного взвешивания +/- 0,0002 г.
Баня водяная.
Доска разделочная.
Ножницы.
Чашка фарфоровая выпарительная N 3 по
ГОСТ 9147.
Колбы мерные 2-250-1 и 2-1000-1 по
ГОСТ 1770.
Бюретки с устройством для заливки 1-1-1-2-0,01 по
ГОСТ 29252.
Палочка стеклянная.
Бумага фильтровальная "красная лента" по
ГОСТ 12026.
Натрий серноватистокислый (натрия тиосульфат) 5-водный по
ГОСТ 27068, х.ч.
Стандарт-титр тиосульфата натрия массой вещества в ампуле 0,1 г-экв. (0,1 г-моль).
Кислота уксусная ледяная по
ГОСТ 61, х.ч., не содержащая кислорода.
Калий йодистый по
ГОСТ 4232, ос.ч., и свежеприготовленный насыщенный водный раствор.
Крахмал растворимый по
ГОСТ 10163, и раствор массовой долей 1%.
Эфир диэтиловый.
Допускается применение других средств измерений с метрологическими характеристиками и оборудования с техническими характеристиками не хуже, а также реактивов по качеству не ниже указанных выше.
9.5. Подготовка к проведению определения
9.5.1. Приготовление стандартного раствора тиосульфата натрия молярной концентрацией 0,1 моль/дм3
Стандартный раствор тиосульфата натрия готовят из стандарт-титра в соответствии с прилагаемой инструкцией или по
ГОСТ 25794.2. Установление титра стандартного раствора проводят по
ГОСТ 25794.2.
Срок хранения стандартного раствора тиосульфата натрия в темной плотно закрытой посуде - 1 мес. По истечении этого срока проверяют титр раствора по
ГОСТ 25794.2 (должны отсутствовать помутнение раствора и осадок).
9.5.2. Приготовление рабочих растворов тиосульфата натрия молярной концентрацией 0,01 и 0,002 моль/дм3
Рабочие растворы готовят непосредственно перед проведением анализа разбавлением стандартного раствора дистиллированной водой в соотношении 1:10 и 1:50.
9.5.3. Приготовление смеси уксусной кислоты и хлороформа в соотношении 1:1
Один объем ледяной уксусной кислоты смешивают с одним объемом хлороформа, перемешивают и хранят в плотно закрытой емкости не более 2 мес.
9.5.4. Раствор крахмала массовой долей 1% готовят по
ГОСТ 4517 в день проведения анализа.
9.5.5. Приготовление насыщенного раствора йодистого калия
5,0 - 5,5 г йодистого калия растворяют в 10 см3 дистиллированной воды. Полученный насыщенный раствор йодистого калия хранят в темном сосуде и перед использованием его обязательно проверяют на присутствие йода. Для этого в коническую колбу вместимостью 250 см3 вносят 10 см3 ледяной уксусной кислоты и добавляют 1 см3 проверяемого насыщенного раствора йодистого калия. Содержимое энергично взбалтывают и сразу прибавляют 100 см3 дистиллированной воды и 1 см3 раствора крахмала с массовой долей 1%. Если образуется голубая окраска, для обесцвечивания которой требуется более 0,07 см3 раствора тиосульфата натрия молярной концентрацией 0,01 моль/дм3
(9.5.2), то насыщенный раствор йодистого калия не используют, а готовят раствор заново.
9.5.7. Подготовку пробы для определения и выделение жира проводят по
8.5.4,
8.5.5 и
8.5.6.
9.6. Проведение определения
0,5 - 1,0 г жира, полученного по
8.5.5 или
8.5.6, взвешивают в конической колбе вместимостью 100 см3 с записью результата взвешивания в граммах до третьего знака после запятой и растворяют в 10 см3 смеси ледяной уксусной кислоты и хлороформа
(9.5.3). К полученному раствору жира добавляют 1 см3 свежеприготовленного насыщенного раствора йодистого калия
(9.5.5), перемешивают и выдерживают в темном месте в течение 5 мин. Затем в раствор добавляют 30 см3 дистиллированной воды и 0,5 см3 раствора крахмала массовой долей 1%
(9.5.4). Выделившийся йод оттитровывают раствором тиосульфата натрия молярной концентрацией 0,01 или 0,002 моль/дм3 (в зависимости от содержания перекисных соединений в жире).
Параллельно при тех же условиях проводят контрольный опыт, в котором берут те же количества реактивов, но без жира. Если объем раствора тиосульфата натрия молярной концентрацией 0,01 моль/дм3, израсходованный на титрование в контрольном опыте, превышает 0,05 см3, то реактивы готовят заново.
9.7. Обработка результатов
Перекисное число жира

, ммоль

, вычисляют по формуле

, (15)
где K - коэффициент поправки к титру раствора тиосульфата натрия;
V - объем раствора тиосульфата натрия молярной концентрацией 0,01 или 0,002 моль/дм3, израсходованный на титрование выделившегося йода по
9.6, см3;

- объем раствора тиосульфата натрия молярной концентрацией 0,01 или 0,002 моль/дм3, израсходованный на титрование в контрольном опыте, см3;
c - молярная концентрация раствора тиосульфата натрия, моль/дм3;
m - масса жира, г.
За окончательный результат принимают среднеарифметическое результатов двух определений, выполненных в условиях повторяемости по ГОСТ ISO 5725-1 для двух идентичных проб, если выполняется условие приемлемости

, (16)
где

,

- результаты определений перекисного числа жира для двух идентичных проб, ммоль

;

- предел относительной повторяемости при P = 0,95, % (см.
таблицу 3).
Расхождение между результатами двух независимых определений, полученных при использовании одного и того же метода, на одной и той же пробе, в разных лабораториях (по два параллельных определения в каждой лаборатории), разными операторами, с использованием различного оборудования, должно удовлетворять следующему условию приемлемости

, (17)
где

,

- среднеарифметические результатов определений перекисного числа жира, полученные в двух разных лабораториях, ммоль

;

- среднеарифметическое результатов определений количества летучих жирных кислот

и

, полученных в двух разных лабораториях, ммоль

;

- критическая разность для двух среднеарифметических результатов определений, полученных в двух разных лабораториях (см.
таблицу 3), %.
9.8. Оформление результатов
Результат определения представляют в виде

, (18)
где

- среднеарифметическое результатов определений перекисного числа жира для двух идентичных проб, признанных приемлемыми по
9.7, ммоль

;

- границы абсолютной погрешности при P = 0,95, ммоль

, вычисляемые по формуле

, (19)
где

- границы относительной погрешности при P = 0,95, % (см.
таблицу 3).
Значение

вычисляют с округлением до двух значащих цифр. Среднеарифметическое значение

округляют до цифры того же разряда, что и последняя значащая цифра границы абсолютной погрешности

.
10. Бензидиновый тест на активность пероксидазы
10.1. Область применения метода
Метод предназначен для качественной оценки активности пероксидазы в тушках птицы и натуральных полуфабрикатах в виде грудного мяса. Метод не применяют для мяса водоплавающей птицы, а также при наличии в пробе продукта добавленных компонентов растительного происхождения, маринадов, специй, пряностей.
10.2. Сущность метода
Метод основан на способности фермента мяса пероксидазы, активность которой при хранении мяса снижается, окислять бензидин в присутствии перекиси водорода до парахинондиамида. Последний с неокисленным бензидином дает мерихиноидное соединение, окрашенное в сине-зеленый цвет.
Метод применяют при разногласиях в органолептической оценке свежести мяса.
10.3. Средства измерений, посуда, вспомогательное оборудование, реактивы
Весы лабораторные по
ГОСТ 24104 с пределом допускаемой абсолютной погрешности однократного взвешивания +/- 0,0002 г.
Колбы мерные вместимостью 100 см3 по
ГОСТ 1770.
Бензидин (4,4-диаминобифенил) с массовой долей основного вещества не менее 99%.
Допускается применение других средств измерений с метрологическими характеристиками и оборудования с техническими характеристиками не хуже, а также реактивов по качеству не ниже указанных выше.
10.4. Подготовка к проведению определения
10.4.1. Приготовление спиртового раствора бензидина массовой долей 0,2%
В мерную колбу вместимостью 100 см3 помещают 0,156 г бензидина с записью результата взвешивания в граммах до третьего знака после запятой и добавляют до метки 96%-ный этиловый спирт. Колбу закрывают пробкой и тщательно перемешивают.
Срок хранения раствора в темном прохладном месте - 1 мес.
10.4.2. Приготовление раствора перекиси водорода массовой долей 1% В мерную колбу вместимостью 100 см3 помещают 3,5 см3 перекиси водорода массовой долей 30% - 35%, доводят дистиллированной водой до метки, закрывают пробкой и перемешивают.
Срок хранения раствора в темном прохладном месте - 5 сут.
10.4.4. Пробу в виде измельченной грудной мышцы готовят по
ГОСТ 31467. Для каждой точечной пробы, отобранной по
ГОСТ 31467, готовят отдельные пробы грудных мышц.
10.4.5. Приготовление водной вытяжки из пробы
5 г измельченной пробы, приготовленной по
10.4.4 и взвешенной с записью результата в граммах до второго знака после запятой, помещают в коническую колбу вместимостью 100 см3, содержащую 20 см3 свежепрокипяченной дистиллированной воды, настаивают в течение 20 мин при периодическом взбалтывании и фильтруют через складчатый фильтр в стакан.
10.5. Проведение определения
В пробирку вносят с помощью пипетки 2 см3 водной вытяжки, приготовленной по
10.4.5, добавляют 5 капель спиртового раствора бензидина массовой долей 0,2% и содержимое пробирки взбалтывают. Затем в пробирку добавляют две капли раствора перекиси водорода массовой долей 1% и наблюдают окрашивание содержимого пробирки.
10.6. Обработка результатов
Мясо считают свежим, если вытяжка приобретает сине-зеленый цвет, переходящий в течение 1 - 2 мин в буро-коричневый. В этом случае в протоколе испытаний указывают: "Бензидиновый тест на пероксидазу - положительный".
Если вытяжка не приобретает в течение 1 - 2 мин специфического сине-зеленого окрашивания либо сразу появляется буро-коричневое окрашивание, то это является признаком несвежего мяса и в протоколе испытаний указывают: "Бензидиновый тест на пероксидазу - отрицательный".
11. Качественный тест на добавленные компоненты,
содержащие углеводы
11.1. Область применения метода
Метод предназначен для качественной оценки присутствия в мясе птицы, субпродуктах и полуфабрикатах добавленных компонентов, содержащих углеводы (хлеб, каши, мука, агар, каррагенан).
11.2. Сущность метода
Метод основан на визуальной оценке окрашивания полисахаридов при взаимодействии с йодом, который образует комплексы с углеводами, по-разному окрашенные в зависимости от происхождения этих углеводов.
11.3. Средства измерений, посуда, вспомогательное оборудование, реактивы
Весы лабораторные по
ГОСТ 24104 с пределом допускаемой погрешности однократного взвешивания +/- 0,002 г.
Допускается применение других средств измерений с метрологическими характеристиками и оборудования с техническими характеристиками не хуже, а также реактивов по качеству не ниже указанных выше.
11.4 Подготовка к проведению определения
11.4.1. Приготовление раствора йода массовой долей 1%
В химическом стакане вместимостью 100 см3 взвешивают 2 г йодистого калия, добавляют 15 см3 дистиллированной воды и 1,27 г йода. После растворения йодистого калия раствор переносят в мерную колбу вместимостью 100 см3 и доводят объем дистиллированной водой до метки.
Срок хранения раствора в посуде из темного стекла с притертой пробкой - 5 мес.
11.4.3. Измельченные пробы готовят по
ГОСТ 31467 с дополнением. Кожу и прилегающий жир удаляют, выделившуюся жидкость (например, при размораживании образца) учитывают при подготовке пробы.
11.4.4. Приготовление водной вытяжки из пробы
5 г приготовленной по
11.4.3 измельченной пробы, с записью результата в граммах до второго знака после запятой, помещают в коническую колбу вместимостью 250 см3, добавляют 100 см3 дистиллированной воды. Колбу с содержимым помещают на электроплитку и содержимое доводят до кипения. Затем колбу снимают с электроплитки и оставляют до появления прозрачного слоя жидкости.
11.4.5. Проведение определения
От отстоявшегося прозрачного слоя отбирают с помощью пипетки 1 см3 жидкости, помещают в пробирку, добавляют 10 см3 дистиллированной воды, добавляют 1 - 2 капли раствора йода массовой долей 1% и визуально определяют цвет окрашенного раствора вытяжки.
11.5. Обработка результатов
Если цвет раствора вытяжки после добавления раствора йода не меняется, то в протоколе испытаний отмечают: "Качественный тест на углеводы - отрицательный".
При наличии в вытяжке из пробы углеводов наблюдается изменение цвета вытяжки, оттенки которого зависят от природы углевода: при наличии в пробе хлеба вытяжка приобретает интенсивно синий цвет, переходящий при избытке раствора йода в зеленый; при содержании в пробе картофеля или картофельного крахмала цвет вытяжки - лиловый; при наличии в пробе каши цвет вытяжки - синеватый, переходящий при избытке раствора йода в грязноватый зеленовато-желтый. Изменение цвета вытяжки в разные оттенки дают также другие полисахариды (агар, каррагинан). При обнаружении указанных выше изменений цвета в протоколе испытаний указывают: "Качественный тест на углеводы - положительный".
12. Метод определения массовой доли углеводов,
крахмала и хлеба
12.1. Область применения метода
Метод предназначен для определения массовой доли углеводов (в пересчете на глюкозу) в мясе птицы, мясе птицы механической обвалки, субпродуктах и полуфабрикатах и определении в полуфабрикатах с известной рецептурой расчетным способом массовой доли крахмала и хлеба.
Метрологические характеристики метода определения массовой доли углеводов (в пересчете на глюкозу) при P = 0,95 приведены в таблице 4.
Среднее значение измеренной массовой доли углеводов в пересчете на глюкозу, % | Границы абсолютной погрешности  , % | Предел повторяемости r, % | Критическая разность  , % |
Св. | 2 | до | 10 | включ. | 0,7 | 0,5 | 0,9 |
" | 10 | " | 20 | " | 1,1 | 0,7 | 1,4 |
" | 20 | | | | 1,4 | 0,9 | 1,8 |
12.2. Сущность метода
Метод основан на способности редуцирующих углеводов, образующихся при кислотном гидролизе пробы, восстанавливать в щелочной среде феррицианид (железосинеродистый калий) в ферроцианид (железистосинеродистый калий). Массовую долю углеводов в пересчете на глюкозу определяют титрованием стандартным раствором глюкозы избытка феррицианида после его реакции с редуцирующими веществами.
12.3. Средства измерений, посуда, вспомогательное оборудование, реактивы
Весы лабораторные
ГОСТ 24104 с пределом допускаемой абсолютной погрешности однократного взвешивания +/- 0,0002 г.
Секундомер.
Бюретки 1-1-1-10-0,02 или 1-2-1-10-0,02 по
ГОСТ 29252 с устройством для заливки.
Колбы Кн-1-500-29/32, Кн-1-250-29/32 и Кн-1-100-29/32 по
ГОСТ 25336.
Цилиндры мерные 2-50-2 и 2-100-2 по
ГОСТ 1770.
Холодильник ХШ-3/200 ХС или ХШ-3/300 ХС по
ГОСТ 25336.
Калий железосинеродистый (феррицианид, гексацианоферрат(III) калия) по
ГОСТ 4206, х.ч.
Калий железистосинеродистый (ферроцианид, гексацианоферрат(II) калия) по
ГОСТ 4207, х.ч.
Кислота соляная по
ГОСТ 3118, х.ч., плотность 1,17 - 1,19 кг/дм3.
Фенолфталеин, спиртовый раствор массовой долей 1%.
Метиленовый голубой, ч.д.а., водный раствор массовой долей 1%.
Эфир этиловый, ч.д.а.
Допускается применение других средств измерений с метрологическими характеристиками и оборудования с техническими характеристиками не хуже, а также реактивов по качеству не ниже указанных выше.
12.4. Подготовка к проведению испытаний
12.4.1. Приготовление водного раствора сернокислого цинка массовой долей 30%
В 50 см3 дистиллированной воды растворяют 57,4 г сернокислого цинка 7-водного с записью результата взвешивания в граммах до первого знака после запятой.
12.4.2. Водный раствор гидроокиси натрия массовой долей 10% готовят по
ГОСТ 4517.
12.4.3. Приготовление раствора железистосинеродистого калия массовой долей 15%
В 100 см3 дистиллированной воды растворяют 20,8 г железистосинеродистого калия 3-водного, взвешенного с записью результата в граммах до первого знака после запятой.
Срок хранения раствора в плотно закрытой стеклянной посуде - 5 мес.
12.4.4. Приготовление раствора железосинеродистого калия массовой концентрацией 10 г/дм3
В мерную колбу вместимостью 250 см3 помещают 2,5 г железосинеродистого калия, взвешенного с записью результата в граммах до третьего знака после запятой, добавляют примерно 100 см3 дистиллированной воды, перемешивают до полного растворения железосинеродистого калия и доводят объем до 250 см3 дистиллированной водой. Раствор готов к использованию на следующий день после приготовления.
Срок хранения раствора в склянке из темного стекла - 2 мес.
12.4.5. Водный раствор соляной кислоты массовой долей 10% готовят по
ГОСТ 4517.
12.4.6. Приготовление раствора глюкозы массовой концентрацией 2 г/дм3
Подготовка промежуточного раствора глюкозы: в мерной колбе вместимостью 100 см3 взвешивают 2 г глюкозы, растворяют ее в небольшой порции дистиллированной воды и доводят объем дистиллированной водой до метки.
С помощью пипетки 10 см3 промежуточного раствора переносят в чистую мерную колбу вместимостью 100 см3 и доводят объем дистиллированной водой до метки.
Растворы глюкозы готовят в день проведения определений.
12.4.7. Определение объема раствора глюкозы массовой концентрацией 2 г/дм3, необходимого для восстановления железосинеродистого калия, содержащегося в 20 см3 раствора железосинеродистого калия массовой концентрацией 10 г/дм3
В коническую колбу вместимостью 250 см3 пипеткой вносят 20 см3 раствора железосинеродистого калия массовой концентрацией 10 г/дм3, 5 см3 раствора гидроокиси натрия массовой долей 10% и 10 см3 раствора глюкозы массовой концентрацией 2 г/дм3.
Колбу с раствором устанавливают на электрическую плитку, покрытую асбестовой сеткой. Через 1 мин с начала кипячения в кипящий раствор добавляют 1 - 2 капли раствора метиленового голубого и титруют избыток феррицианида раствором глюкозы массовой концентрацией 2 г/дм3. В конце точки титрования раствор глюкозы добавляют по каплям с интервалом примерно 3 с до полного исчезновения синей окраски. Вычисляют общий объем раствора глюкозы V, равный сумме объемов раствора глюкозы, внесенного в колбу до кипячения, и раствора глюкозы, израсходованного на титрование.
12.4.8. Подготовка пробы
Измельченные пробы готовят по
ГОСТ 31467 с дополнением в зависимости от целей анализа. При определении содержания углеводов для оценки пищевой и энергетической ценности продукта пробу готовят из всей объединенной пробы, отобранной по
ГОСТ 31467, с учетом выделившейся жидкости. При определении углеводов только в мясосодержащей части продукта пробу готовят отделением немясных покрытий, оболочек, панировки.
12.4.8.2. Гидролиз углеводов, содержащихся в пробе
В коническую колбу вместимостью 500 см3 помещают (20 +/- 2) г подготовленной по
12.4.8.1 пробы, взвешенной с записью результата в граммах до третьего знака после запятой, добавляют 80 см3 раствора соляной кислоты массовой долей 10% и перемешивают содержимое встряхиванием колбы для равномерного смачивания пробы раствором кислоты. Колбу с пробой и раствором соляной кислоты устанавливают на электрическую плитку, покрытую асбестовой сеткой, подсоединяют холодильник и кипятят в течение (15,0 +/- 0,5) мин, отсчитывая время с момента закипания содержимого колбы. Затем колбу охлаждают до комнатной температуры, количественно переносят ее содержимое в чистую мерную колбу вместимостью 250 см3. Колбу, в которой проводился гидролиз, промывают порциями дистиллированной воды и добавляют смывы в мерную колбу. Объем жидкости в мерной колбе доводят дистиллированной водой до 250 см3 так, чтобы попавший в колбу жир находился над меткой.
12.4.8.3. Нейтрализация и очистка гидролизата
Содержимое мерной колбы фильтруют через фильтровальную бумагу в коническую колбу вместимостью 250 см3. В чистую мерную колбу вместимостью 50 см3 пипеткой вносят 25 см3 полученного фильтрата, добавляют 1 - 2 капли спиртового раствора фенолфталеина массовой долей 1% и нейтрализуют гидролизат раствором гидроокиси натрия массовой долей 10%. Для осветления раствора и осаждения белков добавляют 1,5 см3 раствора сернокислого цинка массовой долей 30%, перемешивают содержимое, добавляют 1,5 см3 раствора железистосинеродистого калия массовой долей 15% и снова перемешивают. При образовании пены добавляют 1 - 3 капли этилового эфира. Колбу с содержимым охлаждают до комнатной температуры, доводят объем дистиллированной водой до 50 см3 и фильтруют через фильтровальную бумагу.
12.5. Проведение определения
В коническую колбу вместимостью 500 см3 пипеткой вносят 10 см3 очищенного гидролизата пробы
(12.4.8.3), 20 см3 раствора железосинеродистого калия массовой концентрацией 10 г/дм3 и 5 см3 раствора гидроокиси натрия массовой долей 10%.
Колбу с раствором устанавливают на электрическую плитку, покрытую асбестовой сеткой. Через 1 мин с начала кипячения в кипящий раствор добавляют 1 - 2 капли раствора метиленового голубого и титруют раствором глюкозы массовой концентрацией 2 г/дм3. В конце точки титрования раствор глюкозы добавляют по каплям с интервалом около 3 с до полного исчезновения синей окраски. Отмечают объем раствора глюкозы, израсходованный на титрование.
При большом содержании углеводов в продукте использование 10 см3 очищенного гидролизата пробы может привести к исчезновению синего окрашивания раствора уже до титрования раствором глюкозы. В этом случае необходимо повторить измерение с уменьшенным объемом очищенного гидролизата пробы. Рекомендуется подобрать такой объем очищенного гидролизата пробы, чтобы на титрование избытка феррицианида расходовалось 5 - 6 см3 раствора глюкозы.
12.6. Обработка результатов измерений
Массовую долю углеводов

, в пересчете на глюкозу, %, рассчитывают по формуле

, (20)
где 100 - коэффициент перевода в проценты;
250 - объем гидролизата пробы после его разбавления дистиллированной водой, см3
(12.4.8.2);
50 - объем гидролизата пробы после его нейтрализации и очистки, см3
(12.4.8.3);
2 - массовая концентрация раствора глюкозы, используемого для титрования избытка феррицианида, г/дм3;
1000 - коэффициент перевода из дм3 в см3;
25 - объем фильтрата разбавленного гидролизата пробы, взятый для последующей его нейтрализации и очистки, см3
(12.4.8.3);
V - объем раствора глюкозы массовой концентрацией 2 г/дм3, использованный для восстановления феррицианида, содержащегося в 20 см3 раствора железосинеродистого калия массовой концентрацией 10 г/дм3, см3
(12.4.7);

- объем раствора глюкозы массовой концентрацией 2 г/дм3, использованного для титрования избыточного количества железосинеродистого калия после его взаимодействия с редуцирующими веществами гидролизата пробы, см3
(12.5);
m - масса анализируемой пробы, г;

- объем нейтрализованного и очищенного гидролизата пробы, взятый для проведения измерения, см3
(12.5).
За окончательный результат принимают среднеарифметическое результатов двух определений, выполненных в условиях повторяемости по ГОСТ ИСО 5725-1 для двух идентичных проб, если выполняется условие приемлемости

, (21)
где

,

- результаты определения массовой доли углеводов для двух идентичных проб, %;
r - предел повторяемости при P = 0,95, % (см.
таблицу 4).
Расхождение между результатами двух независимых определений, полученных при использовании одного и того же метода, на одной и той же пробе, в разных лабораториях (по два параллельных определения в каждой лаборатории), разными операторами, с использованием различного оборудования, должно удовлетворять следующему условию приемлемости

, (22)
где

,

- среднеарифметические результатов определений массовой доли углеводов, полученных в двух разных лабораториях, %;

- критическая разность для двух среднеарифметических результатов определений, полученных в двух разных лабораториях, % (см.
таблицу 4).
12.7. Оформление результатов
Вычисление среднеарифметического результатов определения выполняют с точностью до второго десятичного знака с последующим округлением до первого десятичного знака.
Результат измерений представляют в виде

, (23)
где

- среднеарифметическое результатов определений массовой доли углеводов для двух идентичных проб, признанных приемлемыми по
12.6, %;

- границы абсолютной погрешности при P = 0,95, %,
(таблица 4).
12.8. Расчет массовой доли крахмала или хлеба
Если известна рецептура полуфабриката из мяса птицы, содержащего только один компонент с одним видом углеводов, то по значению массовой доли углеводов (в пересчете на глюкозу) рассчитывают массовую долю крахмала или массовую долю хлеба.
Массовую долю крахмала

, %, вычисляют по формуле

, (24)
где 0,9 - коэффициент пересчета глюкозы на крахмал;

- измеренное среднее значение массовой доли углеводов в пересчете на глюкозу, %
(12.6).
Массовую долю хлеба

, %, вычисляют по формуле

, (25)
где 48 - массовая доля крахмала в хлебе, %.
13. Требования безопасности
13.1. При подготовке и проведении определений необходимо соблюдать требования техники безопасности при работе с химическими реактивами по
ГОСТ 12.1.007 и требования пожарной безопасности по
ГОСТ 12.1.004.
13.2. Помещение, в котором проводятся измерения, должно быть снабжено приточно-вытяжной вентиляцией. Работу необходимо проводить в вытяжном шкафу.
13.3. При работе с электроприборами необходимо соблюдать требования безопасности по
ГОСТ 12.1.019.
14. Требования к персоналу
Условия проведения органолептического анализа должны соответствовать
ГОСТ 9959 и
[3]. К проведению органолептического анализа допускаются эксперты-испытатели, обладающие опытом работы с продуктами переработки птицы и/или знакомые с технологией их производства и отвечающие требованиям, предъявляемым к специализированным экспертам в соответствии с
[1] и
[4].
| ИСО 5492:2008 | Органолептический анализ. Словарь |
| ИСО 17604:2003 | Микробиология пищевых продуктов и кормов для животных. Отбор проб с туши для микробиологического анализа |
| ИСО 8589:2007 | Сенсорный анализ. Руководство по проектированию помещений для исследований |
| ИСО 8586-2:2008 | Сенсорный анализ. Общее руководство по отбору, обучению и контролю за работой экспертов. Часть 2. Эксперты по сенсорной оценке |