Главная // Актуальные документы // ГОСТ (Государственный стандарт)
СПРАВКА
Источник публикации
М.: Стандартинформ, 2016
Примечание к документу
Документ введен в действие с 1 июля 2017 года.
Название документа
"ГОСТ 33954-2016. Межгосударственный стандарт. Смородина красная и белая свежая. Технические условия"
(введен в действие Приказом Росстандарта от 29.11.2016 N 1852-ст)

"ГОСТ 33954-2016. Межгосударственный стандарт. Смородина красная и белая свежая. Технические условия"
(введен в действие Приказом Росстандарта от 29.11.2016 N 1852-ст)


Содержание


Введен в действие
Приказом Федерального агентства
по техническому регулированию
и метрологии
от 29 ноября 2016 г. N 1852-ст
МЕЖГОСУДАРСТВЕННЫЙ СТАНДАРТ
СМОРОДИНА КРАСНАЯ И БЕЛАЯ СВЕЖАЯ
ТЕХНИЧЕСКИЕ УСЛОВИЯ
Fresh red and white currants. Specifications
(UNECE STANDARD FFV-57:2010,
Concerning the marketing and commercial quality
control of berry fruits, MOD)
ГОСТ 33954-2016
МКС 67.080.10
ОКП 97 6134
ОКПД 01.25.12.120
01.25.12.130
Дата введения
1 июля 2017 года
Предисловие
Цели, основные принципы и основной порядок проведения работ по межгосударственной стандартизации установлены в ГОСТ 1.0-2015 "Межгосударственная система стандартизации. Основные положения" и ГОСТ 1.2-2015 "Межгосударственная система стандартизации. Стандарты межгосударственные, правила и рекомендации по межгосударственной стандартизации. Правила разработки, принятия, обновления и отмены"
Сведения о стандарте
1 ПОДГОТОВЛЕН Автономной некоммерческой организацией "Научно-исследовательский центр "Кубаньагростандарт" (АНО "НИЦ "Кубаньагростандарт") на основе русской версии стандарта, указанного в пункте 5
2 ВНЕСЕН Федеральным агентством по техническому регулированию и метрологии
3 ПРИНЯТ Межгосударственным советом по стандартизации, метрологии и сертификации (протокол от 25 октября 2016 г. N 92-П)
За принятие проголосовали:
Краткое наименование страны по МК (ИСО 3166) 004-97
Код страны по МК (ИСО 3166) 004-97
Сокращенное наименование национального органа по стандартизации
Армения
AM
Минэкономики Республики Армения
Беларусь
BY
Госстандарт Республики Беларусь
Грузия
GE
Грузстандарт
Киргизия
KG
Кыргызстандарт
Россия
RU
Росстандарт
4 Приказом Федерального агентства по техническому регулированию и метрологии от 29 ноября 2016 г. N 1852-ст межгосударственный стандарт ГОСТ 33954-2016 введен в действие в качестве национального стандарта Российской Федерации с 1 июля 2017 г.
5 Настоящий стандарт является модифицированным по отношению к стандарту UNECE STANDARD FFV-57:2010, касающемуся сбыта и контроля товарного качества ягод (Concerning the marketing and commercial quality control of berry fruits, MOD), путем внесения дополнительных положений, фраз, изменений по отношению к тексту стандарта UNECE STANDARD FFV-57:2010 в содержание разделов 1 - 6, отдельных структурных элементов, показателей и их значений в разделах 5, 6, выделенных в тексте курсивом. Настоящий стандарт дополнен разделами 7, 8 и библиографией.
Стандарт UNECE STANDARD FFV-57:2010, касающийся сбыта и контроля товарного качества ягод, принят на 66-й сессии Рабочей группы по сельскохозяйственным стандартам качества европейской экономической комиссии ООН [United Nations Economic Commission for Europe (UNECE)].
Наименование настоящего стандарта изменено относительно наименования указанного стандарта UNECE STANDARD FFV-57:2010 для приведения в соответствие с ГОСТ 1.5 (пункт 3.6).
Официальные экземпляры стандарта UNECE STANDARD FFV-57:2010, касающегося сбыта и контроля товарного качества ягод, на основе которого подготовлен настоящий стандарт, доступны на сайте UNECE http://www.unece.org/trade/agr/standard/fresh/ffv-standardse.html.
Содержание раздела IV UNECE STANDARD FFV-57:2010 в части исключенного термина "продукция, подверженная деградации" приведено в дополнительном приложении ДА.
Сопоставление структуры настоящего стандарта со структурой указанного стандарта UNECE STANDARD FFV-57:2010 приведено в дополнительном приложении ДБ.
Сведения о соответствии ссылочных межгосударственных стандартов международным стандартам приведены в дополнительном приложении ДВ.
Стандарт подготовлен на основе ГОСТ Р 54698-2011 "Смородина красная и белая свежая. Технические условия" <*>
--------------------------------
<*> Приказом Федерального агентства по техническому регулированию и метрологии от 29 ноября 2016 г. N 1852-ст ГОСТ Р 54698-2011 "Смородина красная и белая свежая. Технические условия" отменен с 1 июля 2017 г.
6 ВВЕДЕН ВПЕРВЫЕ
Информация об изменениях к настоящему стандарту публикуется в ежегодном информационном указателе "Национальные стандарты" (по состоянию на 1 января текущего года), а текст изменений и поправок - в ежемесячном информационном указателе "Национальные стандарты". В случае пересмотра (замены) или отмены настоящего стандарта соответствующее уведомление будет опубликовано в ежемесячном информационном указателе "Национальные стандарты". Соответствующая информация, уведомление и тексты размещаются также в информационной системе общего пользования - на официальном сайте Федерального агентства по техническому регулированию и метрологии в сети Интернет (www.gost.ru)
Введение
При оформлении настоящего стандарта, модифицированного по отношению к стандарту UNECE STANDARD FFV-57:2010 (касающемуся сбыта и контроля товарного качества ягод), исключен термин "продукция, подверженная деградации" и ее параметры, которые предусмотрены в разделе IV "Положения, касающиеся допусков". При этом причина исключения из настоящего стандарта термина "продукция, подверженная деградации" указана в дополнительном приложении ДА.
1. Область применения
Настоящий стандарт распространяется на свежие ягоды красной и белой смородины культурных сортов и дикорастущих видов рода Ribes, поставляемые и реализуемые для потребления в свежем виде (далее - смородина).
Требования, обеспечивающие безопасность смородины для жизни и здоровья людей, изложены в 5.3, к качеству продукции - в 5.2, к маркировке - в 5.5.
Примечание - Раздел 1 настоящего стандарта дополнен по сравнению с областью применения стандарта UNECE STANDARD FFV-57:2010 в части свежих ягод белой смородины в связи с тем, что требования к этим ягодам идентичны требованиям к ягодам красной смородины.
2. Нормативные ссылки
В настоящем стандарте использованы нормативные ссылки на следующие межгосударственные стандарты:
ГОСТ 8.579-2002 Государственная система обеспечения единства измерений. Требования к количеству фасованных товаров в упаковках любого вида при их производстве, расфасовке, продаже и импорте
ГОСТ 9142-2014 Ящики из гофрированного картона. Общие технические условия
ГОСТ 10131-93 Ящики из древесины и древесных материалов для продукции пищевых отраслей промышленности, сельского хозяйства и спичек. Технические условия
ГОСТ 12301-2006 Коробки из картона, бумаги и комбинированных материалов. Общие технические условия
ГОСТ 13511-2006 Ящики из гофрированного картона для пищевых продуктов, спичек, табачных изделий и моющих средств. Технические условия
ГОСТ 14192-96 <*> Маркировка грузов
--------------------------------
<*> В Российской Федерации действует ГОСТ Р 51474-99 "Упаковка. Маркировка, указывающая на способ обращения с грузами".
ГОСТ 17812-72 Ящики дощатые многооборотные для овощей и фруктов. Технические условия
ГОСТ 20463-75 Ящики деревянные проволокоармированные для овощей и фруктов. Технические условия
ГОСТ 21133-87 Поддоны ящичные специализированные для картофеля, овощей, фруктов и бахчевых культур. Технические условия
ГОСТ 21650-76 Средства скрепления тарно-штучных грузов в транспортных пакетах. Общие требования
ГОСТ 24597-81 Пакеты тарно-штучных грузов. Основные параметры и размеры
ГОСТ 26663-85 Пакеты транспортные. Формирование с применением средств пакетирования. Общие технические условия
ИС МЕГАНОРМ: примечание.
В официальном тексте документа, видимо, допущена опечатка: стандарт имеет номер ГОСТ 26927-86, а не ГОСТ 26927-94.
ГОСТ 26927-94 Сырье и продукты пищевые. Методы определения ртути
ГОСТ 26929-94 Сырье и продукты пищевые. Подготовка проб. Минерализация для определения содержания токсичных элементов
ГОСТ 26930-86 <*> Сырье и продукты пищевые. Метод определения мышьяка
--------------------------------
<*> В Российской Федерации действует ГОСТ Р 51766-2001 "Сырье и продукты пищевые. Атомно-абсорбционный метод определения мышьяка".
ГОСТ 26932-86 <**> Сырье и продукты пищевые. Методы определения свинца
ГОСТ 26933-86 <**> Сырье и продукты пищевые. Методы определения кадмия
--------------------------------
<**> В Российской Федерации действует ГОСТ Р 51301-99 "Продукты пищевые и продовольственное сырье. Инверсионно-вольтамперометрические методы определения содержания токсичных элементов (кадмия, свинца, меди и цинка)".
ГОСТ 27519-87 (ISO 1956/1-82) Фрукты и овощи. Морфологическая и структуральная терминология. Часть 1
ГОСТ 27521-87 (ISO 1990/1-82) Фрукты. Номенклатура. Первый список
ГОСТ 29329-92 <***> Весы для статического взвешивания. Общие технические требования
--------------------------------
<***> В Российской Федерации действует ГОСТ Р 53228-2008 "Весы неавтоматического действия. Часть 1. Метрологические и технические требования. Испытания".
ГОСТ 30178-96 <**> Сырье и продукты пищевые. Атомно-абсорбционный метод определения токсичных элементов
--------------------------------
<**> В Российской Федерации действует ГОСТ Р 51301-99 "Продукты пищевые и продовольственное сырье. Инверсионно-вольтамперометрические методы определения содержания токсичных элементов (кадмия, свинца, меди и цинка)".
ГОСТ 30349-96 Плоды, овощи и продукты их переработки. Методы определения остаточных количеств хлорорганических пестицидов
ГОСТ 30538-97 Продукты пищевые. Методика определения токсичных элементов атомно-эмиссионным методом
ГОСТ 30710-2001 Плоды, овощи и продукты их переработки. Методы определения остаточных количеств фосфорорганических пестицидов
ГОСТ 31628-2012 <*> Продукты пищевые и продовольственное сырье. Инверсионно-вольтамперометрический метод определения массовой концентрации мышьяка
--------------------------------
<*> В Российской Федерации действует ГОСТ Р 51766-2001 "Сырье и продукты пищевые. Атомно-абсорбционный метод определения мышьяка".
ГОСТ 32161-2013 Продукты пищевые. Метод определения содержания цезия Cs-137
ГОСТ 32163-2013 Продукты пищевые. Метод определения содержания стронция Sr-90
ГОСТ 32164-2013 Продукты пищевые. Метод отбора проб для определения стронция Sr-90 и цезия Cs-137
Примечание - При пользовании настоящим стандартом целесообразно проверить действие ссылочных стандартов на территории государства по соответствующему указателю стандартов, составленному по состоянию на 1 января текущего года, и по соответствующим информационным указателям, опубликованным в текущем году. Если ссылочный стандарт заменен (изменен), то при пользовании настоящим стандартом следует руководствоваться заменяющим (измененным) стандартом. Если ссылочный стандарт отменен без замены, то положение, в котором дана ссылка на него, применяется в части, не затрагивающей эту ссылку.
3. Термины и определения
В настоящем стандарте применены термины по ГОСТ 27519, ГОСТ 27521, а также следующий термин с соответствующим определением:
3.1 излишняя внешняя влажность: Влага на ягодах смородины от полива, росы и дождя.
Примечание - Конденсат на доставленных из холодильников или холодильных транспортных средств ягодах, вызванный разницей температур, не считают излишней внешней влажностью.
4. Классификация
4.1 Смородину в зависимости от качества подразделяют на три товарных сорта: высший, первый, второй.
4.2 Смородину по окраске ягод подразделяют на красную и белую.
5. Технические требования
5.1 Смородина должна соответствовать требованиям настоящего стандарта, быть подготовлена и упакована в потребительскую упаковку и/или транспортную упаковку по технологической инструкции с соблюдением требований, установленных нормативными правовыми актами государства, принявшего настоящий стандарт <*>.
--------------------------------
<*> Для государств - участников Таможенного союза - по [1], [2], [3].
5.2 Качество смородины должно соответствовать характеристикам и нормам, указанным в таблице 1.
Таблица 1
Наименование показателя
Характеристика и норма для товарных сортов
высшего
первого
второго
Внешний вид
Ягоды свежие, здоровые, не перезрелые, не мятые, чистые, без излишней внешней влажности
Типичные по форме и окраске для данного помологического сорта, в случае дикорастущей смородины - вида.
Кисть полная, плотная.
Допускаются незначительные поверхностные дефекты (незначительные отклонения от формы и окраски) при условии, что они не влияют на общий вид, качество, сохраняемость и товарный вид продукта в упаковочной единице
Типичные по форме и окраске для данного помологического сорта, в случае дикорастущей смородины - вида.
Кисть почти полная.
Допускаются очень незначительные утечка сока и помятость при условии, что они не влияют на общий внешний вид, качество, сохраняемость и товарный вид продукта в упаковочной единице
Ягоды на кистях могут быть распределены менее равномерно.
Допускаются незначительные утечка сока и помятость при условии, что ягоды сохраняют присущие им характерные признаки качества
Степень зрелости и состояние ягод
Ягоды потребительской зрелости, позволяющие выдерживать транспортирование, погрузку, разгрузку и доставку к месту назначения
Запах и вкус
Свойственные помологическому сорту или виду, в случае ягод дикорастущей смородины - без постороннего запаха и (или) привкуса
Массовая доля ягод смородины, не соответствующих данному товарному сорту, но соответствующих более низкому сорту, %, не более,
5,0 <*>
10,0
10,0
в том числе
- не соответствующих второму сорту
Не допускается
2,0
10,0
Массовая доля примеси растительного происхождения, %, не более
Не допускается
0,3
0,5
Наличие минеральной примеси (песок, пыль и др.)
Не допускается
Наличие ягод запаренных, забродивших, заплесневелых, загнивших, засохших, со следами химических средств защиты
Не допускается
Наличие сельскохозяйственных вредителей и продуктов их жизнедеятельности
Не допускается
<*> В том числе не более 0,5% ягод смородины второго сорта.
5.3 Содержание токсичных элементов, пестицидов, радионуклидов, яиц гельминтов и цист кишечных патогенных простейших не должно превышать норм, установленных нормативными правовыми актами государства, принявшего настоящий стандарт <*>.
--------------------------------
<*> Для государств - участников Таможенного союза - по [1].
5.4 Упаковка
5.4.1 Упаковка смородины по нормативным правовым актам государства, принявшего настоящий стандарт <**>.
--------------------------------
<**> Для государств - участников Таможенного союза - по [2]
5.4.2 Смородину упаковывают в потребительскую тару деревянную, из полимерных и комбинированных материалов. Потребительскую упаковочную единицу помещают в деревянные, полимерные, картонные ящики по ГОСТ 9142, ГОСТ 13511, ГОСТ 17812, специальные ящичные поддоны и другие емкости по ГОСТ 12301, ГОСТ 21133 или другую тару, обеспечивающую сохранение качества и безопасность продукции при транспортировании.
Допускается по согласованию с потребителем упаковывать смородину непосредственно в деревянные, полимерные, картонные ящики по ГОСТ 9142, ГОСТ 10131, ГОСТ 12301, ГОСТ 17812, ГОСТ 20463 или другую тару.
5.4.3 Содержимое каждой упаковочной единицы должно быть однородным. Каждая упаковочная единица должна содержать ягоды смородины одного помологического и товарного сорта или, в случае дикорастущей смородины, одного вида и товарного сорта. По согласованию с потребителем для ягод смородины второго сорта допускается упаковывать в одну упаковочную единицу смесь ягод разных помологических сортов при условии, что они являются однородными по окраске.
Видимая часть содержимого упаковочной единицы должна соответствовать содержимому всей упаковочной единицы.
5.4.4 Смородина должна быть упакована таким образом, чтобы обеспечивалась ее надлежащая сохранность и безопасность.
5.4.5 Тара для упаковки смородины должна быть целой, крепкой, чистой, сухой, не зараженной сельскохозяйственными вредителями, без постороннего запаха.
5.4.6 Материалы, используемые для упаковки, а также чернила, клей, бумага, применяемые для нанесения текста или наклеивания этикеток, должны быть не токсичными и обеспечивать при контакте с ягодами сохранение их качества и безопасности.
5.4.7 Масса ягод смородины в потребительской упаковочной единице должна соответствовать номинальной, указанной в маркировке.
Отрицательное отклонение массы нетто ягод смородины от номинальной массы нетто каждой упаковочной единицы должно соответствовать требованиям ГОСТ 8.579.
Отклонение массы ягод смородины в одной упаковочной единице от номинальной массы нетто в сторону увеличения не регламентируют [3].
5.5 Маркировка
5.5.1 Маркировка потребительской и транспортной упаковочной единицы смородины по нормативным правовым актам государства, принявшего стандарт <*>.
--------------------------------
<*> Для государств - участников Таможенного союза - по [4].
5.5.2 Информация, наносимая на потребительскую упаковочную единицу смородины, должна содержать:
- наименование продукта;
- наименование и местонахождение изготовителя [юридический адрес, включая страну, и, при несовпадении с юридическим адресом, адрес(а) производств(а)] и организации, уполномоченной изготовителем на принятие претензий от потребителей на территории государства (при наличии);
- район производства или его национальное, региональное или местное название (при необходимости);
- товарный знак изготовителя (при наличии);
- массу нетто;
- товарный сорт;
- дату сбора и дату упаковывания;
- условия хранения;
- обозначение настоящего стандарта;
- информацию о подтверждении соответствия.
5.5.3 Маркировка транспортной тары - по ГОСТ 14192 с нанесением манипуляционных знаков "Скоропортящийся груз", "Ограничение температуры".
6. Правила приемки
6.1 Смородину принимают партиями. Под партией понимают любое количество смородины одного помологического и товарного сорта или одного вида и товарного сорта в случае дикорастущей смородины, упакованной в тару одного вида и типоразмера, поступившее в одном транспортном средстве из одной страны и оформленное одним документом, удостоверяющим качество и безопасность продукции и обеспечивающим прослеживаемость продукции.
Сопроводительный документ должен содержать следующую информацию:
- номер документа и дату его выдачи;
- наименование и адрес отправителя;
- наименование и адрес получателя;
- наименование продукта;
- помологический сорт (не обязательно);
- товарный сорт;
- число упаковочных единиц;
- массу нетто;
- дату сбора, упаковывания, отгрузки;
- условия хранения;
- номер и вид транспортного средства;
- обозначение настоящего стандарта;
- информацию о подтверждении соответствия.
6.2 Порядок и периодичность контроля
6.2.1 Контроль показателей качества, массы продукта в упаковочной единице, качества упаковки и маркировки проводят для каждой партии продукции.
6.2.2 Для определения качества смородины, правильности упаковывания и маркирования, а также массы продукта в упаковочной единице на соответствие требованиям настоящего стандарта от партии смородины из разных мест отбирают выборку, объем которой указан в таблице 2.
Таблица 2
Объем партии, количество упаковочных единиц
Объем выборки, количество отбираемых упаковочных единиц
До 500 включ.
15
Св. 500 до 1000 включ.
20
Св. 1000 до 5000 включ.
25
Св. 5000 до 10000 включ.
30
Св. 10000
30 и дополнительно на каждые 500 полных и неполных упаковочных единиц по одной упаковочной единице
Примечание - При объеме партии менее 15 упаковочных единиц в выборку отбирают все упаковочные единицы.
6.2.3 Из каждой отобранной в выборку упаковочной единицы из разных мест отбирают точечные пробы массой не менее 10% ягод. Из точечных проб составляют объединенную пробу массой не более 2 кг, которую анализируют. Результаты проверки распространяют на всю партию.
6.2.4 После проверки отобранные упаковочные единицы присоединяют к партии смородины.
6.2.5 Качество смородины в поврежденных упаковочных единицах проверяют отдельно и результаты распространяют только на смородину, находящуюся в этих упаковочных единицах.
6.2.6 Контроль за содержанием в смородине токсичных элементов, радионуклидов, пестицидов, яиц гельминтов и цист кишечных патогенных простейших проводят в соответствии с порядком, установленным изготовителем продукции по нормативным правовым актам государства, принявшего настоящий стандарт <*>.
--------------------------------
<*> Для государств - участников Таможенного союза - по [1].
6.2.7 Результаты проверки распространяют на всю партию.
6.2.8 При получении неудовлетворительных результатов хотя бы по одному из показателей по нему проводят повторное определение удвоенного объема выборки, взятого из той же партии. Результаты повторного определения являются окончательными и распространяются на всю партию.
7. Методы контроля
7.1 Качество упаковки и маркировки упаковочных единиц, отобранных по 6.2.2, оценивают на соответствие требованиям настоящего стандарта визуально.
7.2 Проверке по качеству подлежит вся смородина, отобранная по 6.2.3.
7.3 Применяют следующие средства измерений:
- весы для статического взвешивания по ГОСТ 29329 среднего класса точности с наибольшим пределом взвешивания 25 кг, ценой поверочного деления e = 50 г и пределом допускаемой погрешности +/- 0,5 e;
- весы по ГОСТ 29329, среднего класса точности с наибольшим пределом взвешивания не более 3 кг и ценой поверочного деления e <= 2 г.
Допускается применение других средств измерений с метрологическими характеристиками не ниже указанных.
7.4 Объединенную пробу смородины взвешивают, осматривают и рассортировывают на фракции по показателям, установленным в таблице 1.
7.5 Внешний вид, запах и вкус, степень зрелости и состояние ягод, наличие посторонних примесей, сельскохозяйственных вредителей, ягод, пораженных сельскохозяйственными вредителями, запаренных, забродивших, заплесневелых, загнивших, засохших, со следами химических средств защиты оценивают органолептически.
7.6 Взвешивают каждую фракцию смородины mi. Результат взвешивания фракций записывают с точностью до второго десятичного знака.
7.7 По результатам взвешиваний по 7.6 определяют в процентах массовую долю смородины с отклонениями от значений показателей, установленных в таблице 1.
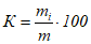
7.8 Массовую долю каждой фракции ягод смородины с отклонениями по качеству K, %, от общей массы ягод в объединенной пробе вычисляют по формуле
, (1)
где mi - масса фракции ягод смородины с отклонениями по качеству, кг;
m - общая масса ягод смородины в объединенной пробе, кг.
Вычисления проводят с точностью до второго десятичного знака с последующим округлением до первого десятичного знака.
Полученные результаты сравнивают со значениями, указанными в таблице 1. Результаты распространяют на всю партию.
7.9 Подготовка и минерализация проб для определения содержания токсичных элементов - по ГОСТ 26929, радионуклидов - по ГОСТ 32164.
7.10 Определение ртути - по ГОСТ 26927.
7.11 Определение мышьяка - по ГОСТ 26930, ГОСТ 30538, ГОСТ 31628.
7.12 Определение свинца - по ГОСТ 26932, ГОСТ 30178, ГОСТ 30538.
7.13 Определение кадмия - по ГОСТ 26933, ГОСТ 30178, ГОСТ 30538.
7.14 Определение хлорорганических пестицидов - по ГОСТ 30349, фосфорорганических пестицидов - по ГОСТ 30710.
7.15 Определение радионуклидов - по ГОСТ 32161, ГОСТ 32163.
7.16 Определение наличия яиц гельминтов и цист кишечных патогенных простейших - по нормативным документам государства, принявшего настоящий стандарт.
8. Транспортирование и хранение
8.1 Смородину транспортируют в чистых, сухих, без постороннего запаха, не зараженных вредителями транспортных средствах в соответствии с условиями транспортирования, установленными изготовителем, в случае их отсутствия - в соответствии с условиями хранения смородины, установленными изготовителем.
8.2 Допускается транспортирование смородины транспортными пакетами по ГОСТ 24597 и ГОСТ 26663. Средства скрепления и способы пакетирования - по ГОСТ 21650.
8.3 Смородину хранят в чистых, сухих, не зараженных сельскохозяйственными вредителями, без постороннего запаха, хорошо вентилируемых, охлаждаемых помещениях в соответствии с установленными правилами, в условиях, обеспечивающих ее сохранность.
Условия хранения смородины устанавливает изготовитель согласно нормативным документам, действующим на территории государства, принявшего настоящий стандарт.
Приложение ДА
(справочное)
СОДЕРЖАНИЕ РАЗДЕЛА IV UNECE STANDARD FFV-57:2010 В ЧАСТИ
ИСКЛЮЧЕННОГО ТЕРМИНА "ПРОДУКЦИЯ, ПОДВЕРЖЕННАЯ ДЕГРАДАЦИИ"
Таблица ДА.1
Раздел, пункт
Модификация
Стандарт UNECE STANDARD, FFV-57:2010
раздел IV
Заменено:
"IV. Положения, касающиеся допусков
A. Допуски по качеству
II) Первый сорт
Допускается наличие 10% по количеству и весу ягод, не отвечающих требованиям этого сорта, но отвечающих требованиям второго сорта. В пределах этого допуска не более 2% общего количества может составлять продукция, которая не удовлетворяет ни требованиям качества второго сорта, ни минимальным требованиям, или продукция, подверженная деградации.
III) Второй сорт
Допускается наличие 10% по количеству или весу ягод, не удовлетворяющих ни требованиям этого сорта, ни минимальным требованиям. В пределах этого допуска не более 2% общего количества может составлять продукция, подверженная деградации"
ГОСТ 33954-2016,
на
"Массовая доля ягод, не соответствующих данному товарному сорту, но соответствующих более низкому сорту, %, не более:
для высшего сорта - 5,0,
в пределах этого допуска допускается наличие ягод:
- соответствующих требованиям второго сорта - не более 0,5%,
- не соответствующих требованиям второго сорта - не допускается;
для первого сорта - 10,0,
в пределах этого допуска допускается наличие ягод, не соответствующих требованиям второго сорта, - не более 2,0%"
Примечание - В настоящем стандарте по отношению к стандарту UNECE STANDARD FFV-57:2010 исключен термин "продукция, подверженная деградации" (и нормы для нее) в связи с отсутствием этого термина и определения такой категории ("продукция, подверженная деградации") в нормативных документах на плодоовощную продукцию в Российской Федерации.
Приложение ДБ
(справочное)
СОПОСТАВЛЕНИЕ СТРУКТУРЫ НАСТОЯЩЕГО СТАНДАРТА
СО СТРУКТУРОЙ СТАНДАРТА UNECE STANDARD FFV-57:2010
Таблица ДБ.1
Структура настоящего стандарта
Структура стандарта UNECE STANDARD FFV-57:2010
1 Область применения
I Определение продукта
2 Нормативные ссылки
II Положения, касающиеся качества
A. Минимальные требования
B. Требования к зрелости
C. Классификация
3 Термины и определения
III Положения, касающиеся калибровки
4 Классификация
IV Положения, касающиеся допусков
A. Допуски по качеству
5 Технические требования (пункты 5.1 - 5.3),
а также
5.4 Упаковка
5.5 Маркировка
V Положения, касающиеся товарного вида
A. Однородность
B. Упаковка
6 Правила приемки
VI Положения, касающиеся маркировки
A Опознавательные обозначения
B. Характер продукта
C. Происхождение продукции
D. Товарные характеристики
7 Методы контроля
-
8 Транспортирование и хранение
-
Приложение ДА (справочное) Содержание раздела IV стандарта UNECE STANDARD FFV-57:2010 в части исключенного термина "продукция, подверженная деградации"
-
Приложение ДБ (справочное) Сопоставление структуры настоящего стандарта со структурой стандарта UNECE STANDARD FFV-57:2010
-
Приложение ДВ (справочное) Сведения о соответствии ссылочных межгосударственных стандартов международным стандартам, использованным в качестве ссылочных в примененном стандарте UNECE STANDARD FFV-57:2010
-
-
Примечание - В настоящий стандарт дополнительно внесены разделы 7, 8, а также дополнительные приложения ДА, ДБ, ДВ в соответствии с требованиями к оформлению межгосударственного стандарта, модифицированного по отношению к стандарту UNECE STANDARD FFV, и библиография.
Приложение ДВ
(справочное)
СВЕДЕНИЯ О СООТВЕТСТВИИ ССЫЛОЧНЫХ МЕЖГОСУДАРСТВЕННЫХ
СТАНДАРТОВ МЕЖДУНАРОДНЫМ СТАНДАРТАМ
Таблица ДВ.1
Обозначение ссылочного межгосударственного стандарта
Степень соответствия
Обозначение и наименование соответствующего международного стандарта
ГОСТ 27519-87 (ИСО 1956/1-82)
IDT
ISO 1956/1:82 <*> "Фрукты и овощи. Морфологическая и структуральная терминология. Часть 1"
ГОСТ 27521-87 (ИСО 1990/1-82)
IDT
ISO 1990/1:1982 "Фрукты. Номенклатура. Первый список"
Примечание - В настоящей таблице использовано следующее условное обозначение степени соответствия стандартов:
- IDT - идентичные стандарты.
--------------------------------
<*> Этот стандарт был рассмотрен и затем подтвержден в 2014 г.
Библиография
[1]
Технический регламент Таможенного союза ТР ТС 021/2011 "О безопасности пищевой продукции", утвержденный Решением Комиссии Таможенного союза от 9 декабря 2011 г. N 880
[2]
Технический регламент Таможенного союза ТР ТС 005/2011 "О безопасности упаковки", утвержденный Решением Комиссии Таможенного союза от 16 августа 2011 г. N 769
[3]
Директива Совета европейских сообществ от 20 января 1976 г. (76/211/ЕС) "О сближении законодательств государств-членов относительно предварительной фасовки некоторых продуктов по массе или по объему в единице фасованной продукции"
[4]
Технический регламент Таможенного союза ТР ТС 022/2011 "Пищевая продукция в части ее маркировки", утвержденный Решением Комиссии Таможенного союза от 9 декабря 2011 г. N 881