Главная // Актуальные документы // ГОСТ (Государственный стандарт)СПРАВКА
Источник публикации
М.: Стандартинформ, 2016
Примечание к документу
Текст данного документа приведен с учетом
поправки, опубликованной в "ИУС", N 4, 2020.
Документ
введен в действие с 1 июля 2017 года.
Название документа
"ГОСТ 33931-2016. Межгосударственный стандарт. Горох овощной свежий. Технические условия"
(введен в действие Приказом Росстандарта от 29.11.2016 N 1848-ст)
"ГОСТ 33931-2016. Межгосударственный стандарт. Горох овощной свежий. Технические условия"
(введен в действие Приказом Росстандарта от 29.11.2016 N 1848-ст)
по техническому регулированию
и метрологии
от 29 ноября 2016 г. N 1848-ст
МЕЖГОСУДАРСТВЕННЫЙ СТАНДАРТ
ГОРОХ ОВОЩНОЙ СВЕЖИЙ
ТЕХНИЧЕСКИЕ УСЛОВИЯ
Fresh vegetable peas. Specifications
(UNECE STANDARD FFV-27:2010,
Concerning the marketing and commercial
quality control of peas,
MOD)
ГОСТ 33931-2016
ОКПД 01.11.62.000
Дата введения
1 июля 2017 года
Цели, основные принципы и основной порядок проведения работ по межгосударственной стандартизации установлены в
ГОСТ 1.0-2015 "Межгосударственная система стандартизации. Основные положения",
ГОСТ 1.2-2015 "Межгосударственная система стандартизации. Стандарты межгосударственные, правила и рекомендации по межгосударственной стандартизации. Правила разработки, принятия, обновления и отмены"
1 ПОДГОТОВЛЕН Автономной некоммерческой организацией "Научно-исследовательский центр "Кубаньагростандарт" (АНО "НИЦ "Кубаньагростандарт") на основе русской версии стандарта, указанного в
пункте 5
2 ВНЕСЕН Федеральным агентством по техническому регулированию и метрологии
3 ПРИНЯТ Межгосударственным советом по стандартизации, метрологии и сертификации (протокол от 22 ноября 2016 г. N 93-П)
За принятие проголосовали:
Краткое наименование страны по МК (ИСО 3166) 004-97 | Код страны по МК (ИСО 3166) 004-97 | Сокращенное наименование национального органа по стандартизации |
Армения | AM | Минэкономики Республики Армения |
Грузия | GE | Грузстандарт |
Казахстан | KZ | Госстандарт Республики Казахстан |
Киргизия | KG | Кыргызстандарт |
Россия | RU | Росстандарт |
4
Приказом Федерального агентства по техническому регулированию и метрологии от 29 ноября 2016 г. N 1848-ст межгосударственный стандарт ГОСТ 33931-2016 введен в действие в качестве национального стандарта Российской Федерации с 1 июля 2017 г.
5 Настоящий стандарт модифицирован по отношению к стандарту UNECE STANDARD FFV-27:2010, касающемуся сбыта и контроля товарного качества гороха (Concerning the marketing and commercial quality control of peas, MOD), путем внесения дополнительных положений, фраз, изменений по отношению к тексту стандарта UNECE STANDARD FFV-27:2010 в содержание
разделов 1 -
6, отдельных структурных элементов, показателей и их значений в
разделах 4 -
6, выделенных в тексте курсивом. Настоящий стандарт дополнен
разделами 7,
8 и
библиографией.
Стандарт UNECE STANDARD FFV-27:2010, касающийся сбыта и контроля товарного качества гороха, принят на 66-й сессии Рабочей группы по сельскохозяйственным стандартам качества европейской экономической комиссии ООН [United Nations Economic Commission for Europe (UNECE)].
Наименование настоящего стандарта изменено относительно наименования стандарта UNECE STANDARD FFV-27:2010 для приведения в соответствие с ГОСТ 1.5
(подраздел 3.6).
Официальные экземпляры стандарта UNECE STANDARD FFV-27:2010, касающегося сбыта и контроля товарного качества гороха, на основе которого подготовлен настоящий стандарт, доступны на сайте UNECE http://www.unece.org/trade/agr/standard/fresh/ffv-standardse.html
Содержание раздела IV UNECE STANDARD FFV-27:2010 в части исключенного термина "продукция, подверженная деградации" приведено в справочном
приложении ДА.
Сопоставление структуры настоящего стандарта со структурой UNECE STANDARD FFV-27:2010 приведено в дополнительном
приложении ДБ.
Сведения о соответствии ссылочных межгосударственных стандартов международным стандартам, приведены в дополнительном
приложении ДВ.
Стандарт подготовлен на основе применения
ГОСТ Р 55478-2013 "Горох овощной свежий. Технические условия" <*>
--------------------------------
<*>
Приказом Федерального агентства по техническому регулированию и метрологии от 29 ноября 2016 г. N 1848-ст
ГОСТ Р 55478-2013 "Горох овощной свежий. Технические условия" отменен с 1 июля 2017 г.
6 ВВЕДЕН ВПЕРВЫЕ
Информация об изменениях к настоящему стандарту публикуется в ежегодном информационном указателе "Национальные стандарты" (по состоянию на 1 января текущего года), а текст изменений и поправок - в ежемесячном информационном указателе "Национальные стандарты". В случае пересмотра (замены) или отмены настоящего стандарта соответствующее уведомление будет опубликовано в ежемесячном информационном указателе "Национальные стандарты". Соответствующая информация, уведомление и тексты размещаются также в информационной системе общего пользования - на официальном сайте Федерального агентства по техническому регулированию и метрологии в сети Интернет (www.gost.ru)
При оформлении настоящего стандарта, модифицированного по отношению к стандарту UNECE STANDARD FFV-27:2010, касающемуся сбыта и контроля товарного качества гороха, исключен термин "продукция, подверженная деградации" и ее параметры, которые предусмотрены в разделе IV "Положения, касающиеся допусков" для гороха первого и второго сортов. При этом причина исключения термина "продукция, подверженная деградации" из настоящего стандарта представлена в дополнительном приложении ДА.
Настоящий стандарт распространяется на овощной горох в виде плодов-бобов лущильных и сахарных сортов (незрелые плоды-бобы), получаемый из ботанических сортов (Pisum sativum Linnaeus), поставляемый и реализуемый для потребления в свежем виде.
Требования, обеспечивающие безопасность свежего овощного гороха для жизни и здоровья людей, изложены в 5.3, к качеству продукции - в 5.2, к маркировке - в 5.6.
В настоящем стандарте использованы нормативные ссылки на следующие межгосударственные стандарты:
ГОСТ 8.579-2002 Государственная система обеспечения единства измерений. Требования к количеству фасованных товаров в упаковках любого вида при их производстве, расфасовке, продаже и импорте
ГОСТ 9142-2014 Ящики из гофрированного картона. Общие технические условия
ГОСТ 11354-93 Ящики из древесины и древесных материалов многооборотные для продукции пищевых отраслей промышленности и сельского хозяйства. Технические условия
ГОСТ 12301-2006 Коробки из картона, бумаги и комбинированных материалов. Общие технические условия
--------------------------------
<*>
В Российской Федерации действует ГОСТ Р 51474-99 "Упаковка. Маркировка, указывающая на способ обращения с грузами".
ГОСТ 20463-75 Ящики деревянные проволокоармированные для овощей и фруктов. Технические условия
ГОСТ 23285-78 Пакеты транспортные для пищевых продуктов и стеклянной тары. Технические условия
ГОСТ 26929-94 Сырье и продукты пищевые. Подготовка проб. Минерализация для определения содержания токсичных элементов
ГОСТ 26930-86 Сырье и продукты пищевые. Метод определения мышьяка
ГОСТ 26932-86 Сырье и продукты пищевые. Методы определения свинца
ГОСТ 26933-86 Сырье и продукты пищевые. Методы определения кадмия
ГОСТ 27523-87 (ISO 1991/1-1982) Овощи - Номенклатура - Первый список
ГОСТ 29329-92 <*>
Весы для статического взвешивания. Общие технические требования
--------------------------------
<*>
В Российской Федерации действует ГОСТ Р 53228-2008 "Весы неавтоматического действия. Часть 1. Метрологические и технические требования. Испытания".
ГОСТ 30178-96 <**>
Сырье и продукты пищевые. Атомно-абсорбционный метод определения токсичных элементов
--------------------------------
<**>
В Российской Федерации действует ГОСТ Р 51301-99 "Продукты пищевые и продовольственное сырье. Инверсионно-вольтамперометрические методы определения содержания токсичных элементов (кадмия, свинца, меди и цинка)".
ГОСТ 30349-96 Плоды, овощи и продукты их переработки. Методы определения остаточных количеств хлорорганических пестицидов
ГОСТ 30538-97 Продукты пищевые. Методика определения токсичных элементов атомно-эмиссионным методом
ГОСТ 30710-2001 Плоды, овощи и продукты их переработки. Методы определения остаточных количеств фосфорорганических пестицидов
ГОСТ 31628-2012 <***>
Продукты пищевые и продовольственное сырье. Инверсионно-вольтамперометрический метод определения массовой концентрации мышьяка
--------------------------------
<***>
В Российской Федерации действует ГОСТ Р 51766-2001 "Сырье и продукты пищевые. Атомно-абсорбционный метод определения мышьяка".
ГОСТ 32161-2013 Продукты пищевые. Метод определения содержания цезия Cs-137
ГОСТ 32163-2013 Продукты пищевые. Метод определения содержания стронция Sr-90
ГОСТ 32164-2013 Продукты пищевые. Метод отбора проб для определения стронция Sr-90 и цезия Cs-137
Примечание - При пользовании настоящим стандартом целесообразно проверить действие ссылочных стандартов в информационной системе общего пользования - на официальном сайте Федерального агентства по техническому регулированию и метрологии в сети Интернет или по ежегодному информационному указателю "Национальные стандарты", который опубликован по состоянию на 1 января текущего года, и по выпускам ежемесячного информационного указателя "Национальные стандарты" за текущий год. Если ссылочный стандарт заменен (изменен), то при пользовании настоящим стандартом следует руководствоваться заменяющим (измененным) стандартом. Если ссылочный стандарт отменен без замены, то положение, в котором дана ссылка на него, применяется в части, не затрагивающей эту ссылку.
В настоящем стандарте применены термины по ГОСТ ISO 1956-2, ГОСТ 27523, а также следующие термины с соответствующими определениями:
3.1 излишняя внешняя влажность: Влага на свежем овощном горохе от промывки, дождя, росы.
Примечание - Конденсат на горохе, вызванный разницей температур, не считают излишней внешней влажностью.
3.2 горох-манжту: Сахарный овощной горох (лопатки) совсем незрелый, в виде ярко-зеленых тонких плодов-бобов.
4.1 Свежий овощной горох в зависимости от качества подразделяют на два товарных сорта: первый и второй.
4.2 Свежий овощной горох в виде плодов-бобов в зависимости от вида потребления подразделяют:
- на лущильный горох (гладкозерный горох, морщинистый горох), который предназначен для потребления в виде незрелых семян (без створок плодов-бобов);
- горох-манжту и сахарный горох, предназначенные для потребления в виде незрелых плодов-бобов.
5.
Технические требования
5.1 Свежий овощной горох
должен соответствовать требованиям настоящего стандарта и быть подготовлен и упакован в потребительскую и/или транспортную тару по технологической инструкции с соблюдением требований, установленных нормативными правовыми актами государства, принявшего настоящий стандарт <*>
.
--------------------------------
<*>
Для государств - участников Таможенного союза - по [1].
5.2 Качество
свежего овощного гороха должно соответствовать характеристикам и нормам,
указанным в таблице 1.
Наименование показателя | Характеристика и норма для товарного сорта |
Лущильный горох | Горох-манжту, сахарный горох |
первого | второго | первого | второго |
Внешний вид | Плоды-бобы должны быть неповрежденными (у гороха-манжту и сахарного гороха кончики могут быть удалены); доброкачественными; чистыми; без твердых волокон или пленки (пергаментного слоя); без излишней внешней влажности. Плоды-бобы и семена гороха должны быть без затрагивающих мякоть повреждений, вызванных насекомыми-вредителями. Семена гороха должны быть свежими, доброкачественными |
| Горох должен соответствовать характерным признакам своего ботанического сорта. Плоды-бобы должны быть свежими и упругими; не иметь повреждений, вызванных градом и нагревом. Плоды-бобы должны быть с плодоножкой; хорошо заполненными, содержать не менее пяти семян гороха; семена должны быть хорошо сформировавшимися, молодыми, сочными и достаточно твердыми <*>, некрахмалистыми, неповрежденными, без трещин на кожице. Для лущильного гороха допускаются незначительные дефекты плода-боба: формы, окраски, оболочки; повреждения и побитость, которые не влияют на общий внешний вид, качество, сохраняемость и товарный вид продукта в упаковке | Плоды-бобы должны содержать не менее трех семян, горох может быть более зрелым по сравнению с продукцией первого сорта, но перезревшие семена не допускаются. Допускаются дефекты при условии, что горох сохраняет присущие ему характерные признаки качества, сохраняемость и товарный вид: у плодов-бобов - незначительные наружные дефекты, повреждения и ушибы, если они не прогрессируют и не затрагивают семян; незначительная утрата свежести (наличие увядших плодов-бобов не допускается); у семян - незначительные дефекты формы и окраски, они могут быть более твердыми <*>, незначительно поврежденными | Семена, если они присутствуют, должны быть небольшими и недоразвитыми, для второго сорта семена могут быть чуть более развитыми, чем для первого сорта |
Горох должен соответствовать характерным признакам своего ботанического сорта. Плоды-бобы должны быть свежими и упругими; не иметь повреждений, вызванных градом и нагревом. Допускаются незначительные дефекты плода-боба: формы, окраски, повреждения и побитость, которые не влияют на общий внешний вид, качество, сохраняемость и товарный вид продукта в упаковке | Допускаются незначительные дефекты плодов-бобов при условии, что горох сохраняет присущие ему характерные признаки качества, сохраняемость и товарный вид: формы (в том числе обусловленные формированием семян), окраски и оболочки, повреждения и побитость, незначительное усыхание, однако, наличие увядших и обесцвеченных плодов-бобов не допускается |
Степень развития, состояние гороха | Должны быть такими, чтобы горох мог выдерживать перевозку, погрузку и разгрузку, доставляться к месту назначения в удовлетворительном состоянии |
Запах и вкус | Свойственные данному ботаническому сорту, без постороннего запаха и/или привкуса |
Массовая доля гороха, не соответствующего требованиям товарного сорта, %, не более | 10,0 |
в т.ч. гороха, не отвечающего требованиям второго сорта | 1,0 | 10,0 | 1,0 | 10,0 |
Наличие насекомых-вредителей и продуктов их жизнедеятельности | Не допускается |
Наличие видимой минеральной и посторонней примесей (включая частицы цветков) | Не допускается |
Наличие гнилых и испорченных плодов-бобов и семян | Не допускается |
<*> При сжатии семян гороха двумя пальцами семена должны становиться плоскими, но не распадаться. |
5.3 Содержание токсичных элементов, нитратов, пестицидов, радионуклидов, яиц гельминтов и цист кишечных патогенных простейших, микробиологические показатели безопасности (патогенные) в свежем овощном горохе не должны превышать норм, установленных нормативными правовыми актами государства, принявшего настоящий стандарт <*>
.
--------------------------------
<*>
Для государств - участников Таможенного союза - по [1].
Калибровка свежего овощного гороха не обязательна.
5.5.1 Упаковка свежего овощного гороха согласно нормативным правовым актам государства, принявшего настоящий стандарт <**>.
--------------------------------
<**>
Для государств - участников Таможенного союза - по [2].
5.5.2 Свежий овощной горох упаковывают произвольной массой нетто в потребительскую тару деревянную, из полимерных и комбинированных материалов по ГОСТ 12301, в пакеты из пленки по ГОСТ 10354 или другую потребительскую тару, соответствующую по показателям безопасности требованиям [2].
Потребительскую упаковочную единицу помещают в целые и крепкие деревянные, полимерные, картонные ящики по ГОСТ 9142, ГОСТ 11354, ГОСТ 20463 или другие виды тары из других материалов, использование которых в контакте с продуктом данного вида обеспечивает сохранение его качества и безопасность.
Допускается не упаковывать свежий овощной горох в потребительскую тару по согласованию с потребителем.
5.5.3 Тара и материалы, применяемые для упаковки свежего овощного гороха, должны быть чистыми и сухими, не зараженными сельскохозяйственными вредителями, не должны иметь постороннего запаха, не должны вызывать внешнего или внутреннего повреждения продукта, тара должна быть цельной и крепкой. Для нанесения текста или наклеивания этикеток должны использоваться нетоксичные чернила и клей.
5.5.4 Содержимое каждой упаковочной единицы должно быть однородным и содержать свежий овощной горох одного и того же происхождения, ботанического и товарного сорта и качества, произведенные одним изготовителем. Видимая часть содержимого упаковочной единицы должна соответствовать содержимому всей упаковочной единицы.
5.5.5 Масса свежего овощного гороха в потребительской упаковочной единице должна соответствовать номинальной, указанной в маркировке.
Отрицательное отклонение массы нетто от номинальной массы каждой упаковочной единицы должно соответствовать требованиям ГОСТ 8.579 или нормативных правовых актов государства, принявшего настоящий стандарт.
Отклонение массы нетто одной упаковочной единицы от номинальной массы в сторону увеличения не регламентируют [3].
5.6.1 Маркировка упаковочных единиц со свежим овощным горохом согласно нормативным правовым актам государства, принявшего настоящий стандарт <*>.
--------------------------------
<*>
Для государств - участников Таможенного союза - по [4].
5.6.2 Информацию о продукции на языке страны-поставщика и языке страны-потребителя наносят на потребительскую и транспортную тару на ярлыки и листы-вкладыши несмываемой, нелипкой, непахнущей, нетоксичной краской, чернилами.
5.6.3 Маркировка потребительской упаковочной единицы со свежим овощным горохом с указанием:
- наименования продукта ("Лущильный горох", "Горох-манжту", "Сахарный горох" или эквивалентные наименования);
- наименования и местонахождения изготовителя [юридический адрес, включая страну, и, при несовпадении с юридическим адресом, адрес(а) производств(а)] и организации, уполномоченной изготовителем на принятие претензий от потребителей на территории государства (при наличии);
- товарного знака изготовителя (при наличии);
- массы нетто продукции в упаковочной единице;
- ботанического сорта (не обязательно);
- товарного сорта;
- даты сбора и даты упаковывания;
- условий хранения;
- сведений о применении генно-модифицированных организмов: в случае, если продукция содержит более 0,9% генно-модифицированных организмов, в маркировке приводят информацию об их наличии (например, "генно-модифицированные продукты");
- обозначения настоящего стандарта;
- информации о подтверждении соответствия.
5.6.4 Маркировка транспортной тары - по ГОСТ 14192 с нанесением манипуляционных знаков "Скоропортящийся груз", "Ограничение температуры".
6.1 Свежий овощной горох принимают партиями. Под партией понимают любое количество свежего овощного гороха одного и того же происхождения, ботанического и товарного сорта в упаковке одного вида и типоразмера, поступившее в одном транспортном средстве и сопровождаемое товаросопроводительной документацией, обеспечивающей прослеживаемость продукции.
Сопровождающий документ должен содержать следующую информацию:
- номер документа и дату его выдачи;
- наименование и адрес отправителя;
- наименование и адрес получателя;
- наименование продукта;
- ботанический сорт;
- товарный сорт;
- число упаковочных единиц;
- масса нетто продукции в упаковочной единице;
- даты сбора, упаковывания, отгрузки;
- условия хранения;
- номер и вид транспортного средства;
- обозначение настоящего стандарта;
- информация о подтверждении соответствия.
6.2 Для проверки качества свежего овощного гороха, правильности его упаковывания и маркирования, а также массы нетто продукции в упаковочной единице на соответствие требованиям настоящего стандарта, от партии свежего овощного гороха из разных мест отбирают выборку в соответствии с таблицей 2.
Таблица 2
Объем партии, количество упаковочных единиц, шт. | Объем выборки, количество отбираемых упаковочных единиц, шт. |
До 500 включ. | 15 |
Св. 500 до 1000 включ. | 20 |
Св. 1000 до 5000 включ. | 25 |
Св. 5000 до 10000 включ. | 30 |
Более 10000 | 30 и дополнительно на каждые 500 полных и неполных упаковочных единиц по одной упаковочной единице |
Примечание - При объеме партии менее 15 упаковочных единиц в выборку отбирают все упаковочные единицы. |
6.3 От каждой отобранной упаковочной единицы из разных мест отбирают точечные пробы общей массой не менее 10% свежего овощного гороха. Из точечных проб составляют объединенную пробу массой не более 10 кг, которую анализируют. Результаты проверки распространяют на всю партию.
6.4 Проверяют всю продукцию, содержащуюся в объединенной пробе, отобранной в соответствии с 6.3.
6.5 Результаты проверки распространяют на всю партию.
6.6 После проверки отобранные упаковочные единицы присоединяют к партии свежего овощного гороха.
6.7 Качество свежего овощного гороха в поврежденных упаковочных единицах проверяют отдельно и результаты распространяют только на продукцию, находящуюся в этих упаковочных единицах.
6.8 Контроль за содержанием в свежем овощном горохе токсичных элементов, пестицидов, радионуклидов, яиц гельминтов и цист кишечных патогенных простейших, определение микробиологических показателей безопасности (патогенных), проводят в соответствии с порядком, установленным изготовителем продукции согласно нормативным правовым актам государства, принявшего настоящий стандарт <*>.
--------------------------------
<*>
Для государств - участников Таможенного союза - по [1].
6.9 При получении неудовлетворительных результатов определения, хотя бы по одному из показателей, по нему проводят повторное определение удвоенного объема выборки, взятого из той же партии. Результаты повторного определения распространяют на всю партию.
7.1 Применяют следующие средства измерений:
- весы для статического взвешивания по ГОСТ 29329 среднего класса точности с наибольшим пределом взвешивания 25 кг, ценой поверочного деления e = 50 г и пределом допускаемой погрешности +/- 0,5 e.
Допускается применение других средств измерений с метрологическими характеристиками не ниже, чем у указанных средств измерений.
7.2 Отобранные в выборку упаковочные единицы фасованной продукции поочередно взвешивают, определяют массу нетто в килограммах. Для определения средней массы нетто упаковочной единицы фасованного гороха взвешивают без выбора десять упаковочных единиц.
Результаты взвешивания записывают с точностью до второго десятичного знака.
7.3 Общую массу свежего овощного гороха в объединенной пробе m, в килограммах, определяют суммированием значений, полученных по 7.2.
7.4 Качество упаковывания и маркирования всех отобранных по 6.2 упаковочных единиц свежего овощного гороха на соответствие требованиям настоящего стандарта оценивают визуально.
7.5 Проверке по качеству подлежит весь свежий овощной горох из объединенной пробы, составленной по 6.3.
7.6 Свежий овощной горох в объединенной пробе взвешивают, осматривают и рассортировывают на фракции по показателям, установленным в таблице 1. Взвешивают каждую фракцию mi отдельно с записью значения массы до второго десятичного знака.
7.7 Внешний вид, степень зрелости и состояние свежего овощного гороха, наличие минеральных и посторонних примесей, сельскохозяйственных вредителей и продуктов их жизнедеятельности, гнилых или испорченных плодов-бобов и семян, запах и вкус оценивают органолептически.
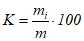
7.8 Массовую долю каждой фракции свежего овощного гороха с дефектами, поврежденных, гнилых и испорченных плодов-бобов и семян, с повреждениями насекомыми-вредителями, несвежих и с другими отклонениями по качеству в процентах от общей массы свежего овощного гороха в объединенной пробе K, %, вычисляют по формуле

,
(1)
где mi - масса фракции свежего овощного гороха с отклонениями по качеству, кг;
m - общая масса свежего овощного гороха в объединенной пробе, кг.
7.9 Вычисления проводят с точностью до второго десятичного знака. Полученные результаты сравнивают со значениями, указанными в таблице 1. Результаты распространяют на всю партию.
7.10 Подготовка и минерализация проб для определения содержания токсичных элементов - по ГОСТ 26929, радионуклидов - по ГОСТ 32164.
7.16 Определение яиц гельминтов и цист кишечных патогенных простейших, микробиологических показателей (патогенных) - методами, утвержденными нормативными правовыми актами, действующими на территории государства, принявшего настоящий стандарт.
7.18 Определение наличия генно-модифицированных организмов - по нормативным документам, действующим на территории государства, принявшего настоящий стандарт <*>.
--------------------------------
<*>
В Российской Федерации действуют ГОСТ Р 52173-2003 "Сырье и продукты пищевые. Метод идентификации генетически модифицированных источников (ГМИ) растительного происхождения", ГОСТ Р 52174-2003 "Биологическая безопасность. Сырье и продукты пищевые. Метод идентификации генетически модифицированных источников (ГМИ) растительного происхождения с применением биологического микрочипа" (с изменением 2).
8. Транспортирование и хранение
8.1 Свежий овощной горох транспортируют в чистых, сухих, без постороннего запаха транспортных средствах в соответствии с правилами перевозки скоропортящихся грузов, действующими на транспорте конкретных видов.
8.2 Свежий овощной горох хранят в чистых, сухих, без постороннего запаха помещениях в условиях, обеспечивающих его сохранность.
8.3 Условия хранения свежего овощного гороха устанавливает изготовитель согласно нормативным документам, действующим на территории государства, принявшего настоящий стандарт.
(справочное)
СОДЕРЖАНИЕ РАЗДЕЛА IV СТАНДАРТА UNECE STANDARD FFV-27:2010
В ЧАСТИ ИСКЛЮЧЕННОГО ТЕРМИНА "ПРОДУКЦИЯ,
ПОДВЕРЖЕННАЯ ДЕГРАДАЦИИ"
Таблица ДА.1
Раздел | Модификация |
| Заменено: |
Стандарт UNECE STANDARD FFV-27:2010 раздел IV | "IV. Положения, касающиеся допусков I) Первый сорт В общей сложности допускается наличие 10% по количеству или весу гороха, не соответствующего требованиям этого сорта, но соответствующего требованиям второго сорта. В пределах этого допуска не более 1% общего количества может составлять продукция, которая не удовлетворяет ни требованиям качества второго сорта, ни минимальным требования, или продукция, подверженная деградации. II) Второй сорт В общей сложности допускается наличие 10% по количеству или весу гороха, не удовлетворяющего ни требованиям этого сорта, ни минимальным требованиям. В пределах этого допуска не более 2% общего количества может составлять продукция, подверженная деградации" |
| на: |
| "Массовая доля гороха, не соответствующего требованиям товарного сорта, %, не более: для первого сорта и второго сорта 10,0%, в т.ч. гороха, не отвечающего требованиям второго сорта: для первого сорта 1,0%, для второго сорта 10,0%". |
Примечание - В настоящем стандарте по отношению к стандарту ЕЭК ООН FFV-27:2010 (раздел IV) исключено допускаемое содержание "продукции, подверженной деградации", в связи с отсутствием термина и определения такой категории ("продукция, подверженная деградации") в нормативных документах на плодоовощную продукцию в Российской Федерации. |
(справочное)
СОПОСТАВЛЕНИЕ СТРУКТУРЫ НАСТОЯЩЕГО СТАНДАРТА
СО СТРУКТУРОЙ СТАНДАРТА UNECE STANDARD FFV-27:2010
Таблица ДБ.1
Структура настоящего стандарта | Структура стандарта UNECE STANDARD FFV-27:2010 |
| I Определение продукта |
| II Положения, касающиеся качества A Минимальные требования B Требования к зрелости C Классификация |
| III Положения, касающиеся калибровки |
| IV Положения, касающиеся допусков A Допуски по качеству B Допуски по размерам |
а также: | V Положения, касающиеся товарного вида продукции A Однородность B Упаковка |
| VI Положения, касающиеся маркировки |
| - |
8 Транспортирование и хранение | - |
Приложение ДА (справочное) Содержание раздела IV стандарта UNECE STANDARD FFV-27:2010 в части исключенного термина "продукция, подверженная деградации" | - |
Приложение ДБ (справочное) Сопоставление структуры настоящего стандарта со структурой стандарта UNECE STANDARD FFV-27:2010 | - |
Приложение ДВ (справочное) Сведения о соответствии ссылочных межгосударственных стандартов международным стандартам | - |
| - |
Примечание - В настоящий стандарт внесены разделы 7, 8, а также дополнительные приложения ДА, ДБ и ДВ в соответствии с требованиями к оформлению межгосударственного стандарта, модифицированного со стандартом UNECE STANDARD FFV, и библиография. |
(справочное)
СВЕДЕНИЯ О СООТВЕТСТВИИ ССЫЛОЧНЫХ МЕЖГОСУДАРСТВЕННЫХ
СТАНДАРТОВ МЕЖДУНАРОДНЫМ СТАНДАРТАМ, ИСПОЛЬЗОВАННЫМ
В КАЧЕСТВЕ ССЫЛОЧНЫХ В ПРИМЕНЕННОМ МЕЖДУНАРОДНОМ СТАНДАРТЕ
Таблица ДВ.1
Обозначение ссылочного межгосударственного стандарта | Степень соответствия | Обозначение и наименование соответствующего международного стандарта |
| IDT | ISO 1956-2:1989 <*> "Фрукты и овощи. Морфологическая и структурная терминология. Часть 2" |
| IDT | ISO 1990/1-1982 "Овощи. Номенклатура. Первый список" |
Примечание - В настоящей таблице использовано следующее условное обозначение степени соответствия стандартов: - IDT - идентичные стандарты. |
--------------------------------
<*> ISO 1956-2:1989 был рассмотрен и затем подтвержден в 2011 году.
| Технический регламент Таможенного союза ТР ТС 021/2011 "О безопасности пищевой продукции", утвержденный решением Комиссии Таможенного союза от 9 декабря 2011 г., N 880 |
| Технический регламент Таможенного союза ТР ТС 005/2011 "О безопасности упаковки", утвержденный решением Комиссии Таможенного союза от 16 августа 2011 г., N 769 |
| Директива Совета Европейских сообществ от 20 января 1976 г. (76/211/ЕС) "О сближении законодательств государств-членов относительно предварительной фасовки некоторых продуктов по массе или по объему в единице фасованной продукции" |
| Технический регламент Таможенного союза ТР ТС 022/2011 "Пищевая продукция в части ее маркировки", утвержденный решением Комиссии Таможенного союза от 9 декабря 2011 г., N 881 |