Главная // Актуальные документы // ГОСТ (Государственный стандарт)
СПРАВКА
Источник публикации
М.: Стандартинформ, 2018
Примечание к документу
Текст данного документа приведен с учетом поправки, введенной в действие с 23.08.2021, опубликованной в "ИУС", N 1, 2022; поправки, опубликованной в "ИУС", N 12, 2023.

Документ введен в действие с 01.07.2018.

Взамен ГОСТ 7176-85.
Название документа
"ГОСТ 7176-2017. Межгосударственный стандарт. Картофель продовольственный. Технические условия"
(введен в действие Приказом Росстандарта от 28.11.2017 N 1843-ст)

"ГОСТ 7176-2017. Межгосударственный стандарт. Картофель продовольственный. Технические условия"
(введен в действие Приказом Росстандарта от 28.11.2017 N 1843-ст)


Содержание


Введен в действие
Приказом Федерального
агентства по техническому
регулированию и метрологии
от 28 ноября 2017 г. N 1843-ст
МЕЖГОСУДАРСТВЕННЫЙ СТАНДАРТ
КАРТОФЕЛЬ ПРОДОВОЛЬСТВЕННЫЙ
ТЕХНИЧЕСКИЕ УСЛОВИЯ
Food potatoes. Specifications
(UNECE STANDARD FFV-52:2011,
Concerning the marketing and commercial quality
control of early and ware potatoes, MOD)
ГОСТ 7176-2017
Группа С43
МКС 67.080.20
ОКПД 01.13.51.120
01.13.51.110
Дата введения
1 июля 2018 года
Предисловие
Цели, основные принципы и основной порядок проведения работ по межгосударственной стандартизации установлены в ГОСТ 1.0-2015 "Межгосударственная система стандартизации. Основные положения" и ГОСТ 1.2-2015 "Межгосударственная система стандартизации. Стандарты межгосударственные, правила и рекомендации по межгосударственной стандартизации. Правила разработки, принятия, обновления и отмены"
Сведения о стандарте
1 ПОДГОТОВЛЕН Автономной некоммерческой организацией "Научно-исследовательский центр "Кубаньагростандарт" (АНО "НИЦ "Кубаньагростандарт") на основе русской версии стандарта, указанного в пункте 5
2 ВНЕСЕН Федеральным агентством по техническому регулированию и метрологии
3 ПРИНЯТ Межгосударственным советом по стандартизации, метрологии и сертификации (протокол от 25 сентября 2017 г. N 103-П)
За принятие проголосовали:
Краткое наименование страны по МК (ИСО 3166) 004-97
Код страны по МК (ИСО 3166) 004-97
Сокращенное наименование национального органа по стандартизации
Азербайджан
AZ
Азстандарт
Армения
AM
Минэкономики Республики Армения
Беларусь
BY
Госстандарт Республики Беларусь
Казахстан
KZ
Госстандарт Республики Казахстан
Киргизия
KG
Кыргызстандарт
Россия
RU
Росстандарт
Таджикистан
TJ
Таджикстандарт
4 Приказом Федерального агентства по техническому регулированию и метрологии от 28 ноября 2017 г. N 1843-ст межгосударственный стандарт ГОСТ 7176-2017 введен в действие в качестве национального стандарта Российской Федерации с 1 июля 2018 г.
5 Настоящий стандарт модифицирован по отношению к стандарту UNECE STANDARD FFV-52:2011, касающемуся сбыта и контроля товарного качества раннего и позднего продовольственного картофеля ("Concerning the marketing and commercial quality control of early and ware potatoes", MOD), путем внесения изменений в содержание разделов 2, 3, отдельных структурных элементов и слов в разделах 1, 3 - 5, выделенных в тексте курсивом. Настоящий стандарт дополнен разделами 6, 7 и библиографией.
Стандарт UNECE STANDARD FFV-52:2011 принят на 67-й сессии Рабочей группы по сельскохозяйственным стандартам качества европейской экономической комиссии ООН [United Nations Economic Commission for Europe (ENECE)].
Наименование настоящего стандарта изменено относительно наименования указанного стандарта UNECE STANDARD FFV-52:2011 для приведения в соответствие с ГОСТ 1.5 (подраздел 3.6).
Официальные экземпляры стандарта UNECE STANDARD FFV-52:2011, на основе которого подготовлен настоящий стандарт, доступны на сайте UNECE http://www.unece.org/trade/agr/standard/fresh/ffv-standardse.html.
Сопоставление структуры настоящего стандарта со структурой примененного в нем стандарта UNECE STANDARD FFV-52:2011 приведено в дополнительном приложении ДА.
Сведения о соответствии ссылочных межгосударственных стандартов международным стандартам приведены в дополнительном приложении ДБ.
Настоящий стандарт подготовлен на основе применения ГОСТ Р 51808-2013 (ЕЭК ООН FFV-52:2010) <*>
--------------------------------
<*> Приказом Федерального агентства по техническому регулированию и метрологии от 28 ноября 2017 г. N 1843-ст ГОСТ Р 51808-2013 (ЕЭК ООН FFV-52:2010) отменен с 1 июля 2018 г.
6 ВЗАМЕН ГОСТ 7176-85
Информация об изменениях к настоящему стандарту публикуется в ежегодном информационном указателе "Национальные стандарты" (по состоянию на 1 января текущего года), а текст изменений и поправок - в ежемесячном информационном указателе "Национальные стандарты". В случае пересмотра (замены) или отмены настоящего стандарта соответствующее уведомление будет опубликовано в ежемесячном информационном указателе "Национальные стандарты". Соответствующая информация, уведомление и тексты размещаются также в информационной системе общего пользования - на официальном сайте Федерального агентства по техническому регулированию и метрологии в сети Интернет (www.gost.ru)
1. Область применения
Настоящий стандарт распространяется на клубни картофеля продовольственного ранних и поздних сроков созревания ботанических сортов (Solanum tuberosum L.) и его гибридов, поставляемые и реализуемые в свежем виде для потребления (далее - продовольственный картофель).
Требования, обеспечивающие безопасность продовольственного картофеля для жизни и здоровья людей, изложены в 4.3, к качеству продукции - в 4.2, к маркировке - в 4.6.
2. Нормативные ссылки
В настоящем стандарте использованы нормативные ссылки на следующие межгосударственные стандарты:
ГОСТ 8.579-2002 Государственная система обеспечения единства измерений. Требования к количеству фасованных товаров в упаковках любого вида при их производстве, расфасовке, продаже и импорте
ГОСТ 7194-81 Картофель свежий. Правила приемки и методы определения качества
ГОСТ 9142-2014 Ящики из гофрированного картона. Общие технические условия
ГОСТ 10131-93 Ящики из древесины и древесных материалов для продукции пищевых отраслей промышленности, сельского хозяйства и спичек
ГОСТ 14192-96 <*> Маркировка грузов
--------------------------------
<*> В Российской Федерации действует ГОСТ Р 51474-99 "Упаковка. Маркировка, указывающая на способ обращения с грузами".
ГОСТ 17812-72 Ящики дощатые многооборотные для овощей и фруктов. Технические условия
ГОСТ 20463-75 Ящики деревянные проволокоармированные для овощей и фруктов. Технические условия
ГОСТ 21133-87 Поддоны ящичные специализированные для картофеля, овощей, фруктов и бахчевых культур. Технические условия
ГОСТ 23493-79 Картофель. Термины и определения
ГОСТ 26927-86 Сырье и продукты пищевые. Методы определения ртути
ГОСТ 26929-94 Сырье и продукты пищевые. Подготовка проб. Минерализация для определения содержания токсичных элементов
ГОСТ 26930-86 Сырье и продукты пищевые. Метод определения мышьяка
ГОСТ 26932-86 Сырье и продукты пищевые. Методы определения свинца
ГОСТ 26933-86 Сырье и продукты пищевые. Методы определения кадмия
ГОСТ 27519-87 (ИСО 1956/1:82) Фрукты и овощи. Морфологическая и структуральная терминология. Часть 1
ГОСТ 28372-93 (ИСО 2165-74) Картофель свежий продовольственный. Руководство по хранению
ГОСТ 29329-92 Весы для статического взвешивания. Общие технические требования
ГОСТ 30090-93 Мешки и мешочные ткани. Общие технические условия
ГОСТ 30349-96 Плоды, овощи и продукты их переработки. Методы определения остаточных количеств хлорорганических пестицидов
ГОСТ 30538-97 Продукты пищевые. Методика определения токсичных элементов атомно-эмиссионным методом
ГОСТ 30710-2001 Плоды, овощи и продукты их переработки. Методы определения остаточных количеств фосфорорганических пестицидов
ГОСТ 31628-2012 Продукты пищевые и продовольственное сырье. Инверсионно-вольтамперометрический метод определения массовой концентрации мышьяка
ГОСТ 32161-2013 Продукты пищевые. Метод определения содержания цезия Cs-137
ГОСТ 32163-2013 Продукты пищевые. Метод определения содержания стронция Sr-90
ГОСТ 32164-2013 Продукты пищевые. Метод отбора проб для определения стронция Sr-90 и цезия Cs-137
ГОСТ 33824-2016 Продукты пищевые и продовольственное сырье. Инверсионно-вольтамперометрический метод определения содержания токсичных элементов (кадмия, свинца, меди и цинка)
Примечание - При пользовании настоящим стандартом целесообразно проверить действие ссылочных стандартов на территории государства по соответствующему указателю стандартов, составленному по состоянию на 1 января текущего года, и по соответствующим информационным указателям, опубликованным в текущем году. Если ссылочный стандарт заменен (изменен), то при пользовании настоящим стандартом следует руководствоваться заменяющим (измененным) стандартом. Если ссылочный стандарт отменен без замены, то положение, в котором дана ссылка на него, применяется в части, не затрагивающей эту ссылку.
3. Термины и определения
В настоящем стандарте применены термины по ГОСТ 23493, ГОСТ 27519, а также следующие термины с соответствующими определениями:
3.1 картофель ранний: Картофель, собранный до окончания срока его созревания, поступающий в продажу сразу после сбора, кожура которого легко удаляется трением.
Примечание - Картофель ранний получают из сверхранних и ранних ботанических сортов и/или собирают в начале сезона в стране происхождения.
3.2 картофель поздний: Картофель, собранный после окончания срока его созревания, предназначенный для длительного хранения.
3.3 картофель с удлиненной формой клубней: Картофель ботанического сорта, который в перечне сортов страны, где этот сорт был выведен, указан как картофель, имеющий удлиненную или удлиненно-овальную форму клубней, у которых длина превышает ширину (наибольший поперечный диаметр) в 1,5 раза и более.
3.4 излишняя внешняя влажность: Влага на клубнях продовольственного картофеля, вызванная промыванием картофеля или от дождя.
Примечание - Конденсат на доставленных из холодильников или холодильных транспортных средств клубнях продовольственного картофеля, вызванный разницей температур, не считают излишней внешней влажностью.
4. Технические требования
4.1 Продовольственный картофель должен соответствовать требованиям настоящего стандарта, быть подготовлен и упакован в потребительскую и/или транспортную упаковку или не упакован (уложен навалом в транспортном средстве) по технологической инструкции с соблюдением требований, установленных нормативными правовыми актами государства, принявшего настоящий стандарт <*>.
--------------------------------
<*> Для государств - участников Евразийского экономического союза - по [1], [2], [3].
4.2 Качество продовольственного картофеля должно соответствовать характеристикам и нормам, указанным в таблице 1.
Таблица 1
Характеристика и норма для картофеля
раннего
позднего
Внешний вид
Клубни целые, чистые, свежие, здоровые, покрытые кожурой, типичной для ботанического сорта <*> формы и окраски, не проросшие, не увядшие, без повреждений сельскохозяственными вредителями, без излишней внешней влажности, не позеленевшие, без коричневых пятен, вызванных воздействием тепла.
Допускаются клубни с пятнами бледно-зеленого цвета общей площадью не более 2 см2, которые могут быть удалены при обычной очистке.
Допускаются клубни с механическими повреждениями (порезы, вырывы, трещины, вмятины) глубиной не более 4 мм и длиной не более 10 мм.
Допускаются клубни, пораженные паршой, ооспорозом на площади не более 1/4 поверхности клубня, в том числе наличие пятен глубокой обыкновенной картофельной парши и порошистой парши глубиной не более 2 мм.
Допускаются клубни, пораженные проволочником (при наличии не более одного хода)
Клубни, покрытые кожурой.
Допускаются клубни с неокрепшей кожурой и ее частичное отсутствие
Клубни, полностью покрытые плотной кожурой
Вид внутренней части клубня
Типичная для ботанического сорта окраска. Пятна ржавой (железистой) пятнистости, внутренние пустоты, черная сердцевина и другие внутренние дефекты не допускаются
Типичная для ботанического сорта окраска. Пятна ржавой (железистой) пятнистости, внутренние пустоты, черная сердцевина и другие внутренние дефекты не допускаются
Запах и вкус
Свойственный данному ботаническому сорту, без постороннего запаха и/или привкуса
Массовая доля клубней с механическими повреждениями (порезы, вырывы, трещины, вмятины) глубиной более 4 мм и длиной более 10 мм; повреждения сельскохозяйственными вредителями (проволочником более одного хода) в совокупности, %, не более
2,0
Массовая доля клубней с израстаниями, наростами, позеленевших на площади более 2 см2, но не более 1/4 поверхности клубня, в совокупности, %, не более
2,0
Массовая доля клубней, пораженных паршой или ооспорозом при поражении более 1/4 поверхности клубня, %, не более
Не допускается
2,0
Массовая доля посторонней примеси, %, не более
1,0
2,0
в том числе земли, прилипшей к клубням
Не допускается
1,0
Наличие клубней, позеленевших на площади более 1/4 поверхности, поврежденных грызунами, подмороженных, запаренных, с признаками "удушья", клубней раздавленных, половинок и частей клубня, пораженных мокрой, сухой, кольцевой, пуговичной гнилями и фитофторой
Не допускается
Массовая доля клубней, не соответствующих требованиям, %, не более
в том числе:
4,0
6,0
- серые, синие или черные пятна под кожурой, глубиной не более 5 мм
4,0
6,0
- пораженные ржавой (железистой) пятнистостью
Не допускаются
2,0
<*> Сортовая чистота должна быть не менее 90%.
4.3 Содержание в продовольственном картофеле радионуклидов, токсичных элементов, пестицидов, нитратов, яиц гельминтов и цист кишечных патогенных простейших, микробиологические показатели безопасности (патогенные) не должны превышать норм, установленных нормативными правовыми актами государств, принявших настоящий стандарт <*>.
--------------------------------
<*> Для государств - участников Евразийского экономического союза - по [1].
4.4 Калибровка
4.4.1 Клубни продовольственного картофеля калибруют по размеру, определяемому прохождением через квадратные отверстия.
4.4.2 Размер клубней должен соответствовать нормам, указанным в таблице 2.
4.4.3 Требования к калибровке продовольственного картофеля не являются обязательными. Однако в потребительских упаковочных единицах массой продовольственного картофеля не более 5 кг разница между размерами самого мелкого и самого крупного клубня не должна быть более 30 мм.
Таблица 2
Наименование показателя
Значение показателя
Наименьший размер квадратных отверстий, через которые не должны проходить клубни, мм:
- для раннего картофеля
28,0 x 28,0
- для позднего картофеля
35,0 x 35,0
- для картофеля удлиненной формы <*>
30,0 x 30,0
Наибольший размер квадратных отверстий, через которые должны проходить клубни, мм:
- для раннего картофеля
80,0 x 80,0
- для позднего картофеля
80,0 x 80,0
- для картофеля удлиненной формы <*>
75,0 x 75,0
Массовая доля клубней, не соответствующих требованиям по калибровке <**>, %, не более
10,0
<*> Требования к размеру клубней не распространяются на картофель ботанических сортов удлиненной формы, с неправильной формой клубня (например, Stella, Ratte или Pink Fir Apple).
<**> Допускается наличие клубней, размеры которых превышают максимальный размер, при условии, что разница между самым мелким и самым крупным клубнями не превышает 30 мм.
4.5 Упаковка
4.5.1 Упаковка продовольственного картофеля - по нормативным правовым актам государства, принявшего настоящий стандарт <*>.
--------------------------------
<*> Для государств - участников Евразийского экономического союза - по [2].
4.5.2 Продовольственный картофель упаковывают произвольной массой нетто в потребительскую упаковку из полимерных и комбинированных материалов или других материалов, использование которых в контакте с продуктом данного вида обеспечивает вентиляцию и сохранение его качества и безопасности.
По согласованию с потребителем допускается не упаковывать продовольственный картофель в потребительскую упаковку.
4.5.3 Продовольственный картофель упаковывают непосредственно в ящики по ГОСТ 9142, ГОСТ 10131, ГОСТ 17812, ГОСТ 20463, ящичные поддоны по ГОСТ 21133, тканевые мешки по ГОСТ 30090 или в другую упаковку, обеспечивающую качество и безопасность продукта при транспортировании. Ранний картофель при перевозке железнодорожным и водным транспортом упаковывают в жесткую тару.
4.5.4 Материалы, используемые для упаковки, а также чернила, краска, клей, бумага, применяемые для нанесения текста или наклеивания этикеток, должны обеспечивать при контакте с клубнями сохранение их качества и безопасности.
4.5.5 Содержимое каждой упаковочной единицы (или партии продукции, поставляемой навалом в контейнерах) должно быть однородным и состоять только из раннего или позднего продовольственного картофеля одного ботанического сорта, происхождения, окраски кожуры и окраски внутренней части клубней и размера (в случае калибровки).
Видимая часть содержимого упаковочной единицы должна соответствовать содержимому всей упаковочной единицы.
4.5.6 Масса нетто продукта в потребительской упаковочной единице должна соответствовать номинальной, указанной в маркировке на потребительской упаковке, с учетом допустимых отклонений.
Отрицательное отклонение массы нетто продовольственного картофеля от номинальной массы нетто каждой упаковочной единицы должно соответствовать требованиям ГОСТ 8.579.
Отклонение массы нетто продовольственного картофеля в одной упаковочной единице от номинальной массы нетто в сторону увеличения не регламентируют по [4].
4.6 Маркировка
4.6.1 Маркировка потребительской и транспортной упаковочной единицы продовольственного картофеля - по нормативным правовым актам государства, принявшего настоящий стандарт <**>.
--------------------------------
<**> Для государств - участников Евразийского экономического союза - по [3].
4.6.2 Информация, наносимая на потребительскую упаковочную единицу продовольственного картофеля, должна содержать:
- наименование продукта с указанием "Ранний" или "Поздний" в соответствующих случаях;
- наименование и место нахождения изготовителя или фамилию, имя, отчество индивидуального предпринимателя-изготовителя, наименование и место нахождения уполномоченного изготовителем лица, наименование и место нахождения организации-импортера или фамилию, имя, отчество индивидуального предпринимателя-импортера;
- товарный знак изготовителя (при наличии);
- массу нетто;
- ботанический сорт;
- страну происхождения и при необходимости района производства или его национального, регионального или местного наименования;
- размер клубней, выраженный наименьшим диаметром и словами "и более";
- дату сбора и дату упаковывания;
- срок годности;
- условия хранения;
- сведения о применении генно-модифицированных организмов: в случае, если продукция содержит более 0,9% генно-модифицированных организмов, в маркировке приводят информацию об их наличии (например, "генно-модифицированный продукт");
- обозначение настоящего стандарта;
- информацию о подтверждении соответствия.
Дополнительно могут быть указаны:
- окраска внутренней части клубней (например, желтого или белого цвета);
- окраска кожуры;
- форма клубней (округло-овальная или удлиненная);
- кулинарные свойства (например, рассыпчатый или твердый).
4.6.3 При поставке продовольственного картофеля навалом в контейнерах информация о продукции, указанная в 4.6.2, указывается в товаросопроводительном документе, помещенном на видном месте внутри транспортного средства.
4.6.4 Маркировка транспортной упаковки - по ГОСТ 14192 с нанесением манипуляционных знаков: "Скоропортящийся груз", "Ограничение температуры".
5. Правила приемки
5.1 Продовольственный картофель принимают партиями. Под партией понимают любое количество продовольственного картофеля одного ботанического сорта, одинаково упакованное или неупакованное (поставляемое навалом в контейнерах), поступившее в одном транспортном средстве из одной страны и сопровождаемое товаросопроводительной документацией, обеспечивающей прослеживаемость продукции.
Сопроводительный документ должен содержать следующую информацию:
- номер документа и дату его выдачи;
- наименование и адрес отправителя;
- наименование и адрес получателя;
- наименование продукта с указанием "ранний" или "поздний";
- ботанический сорт;
- количество упаковочных единиц;
- массу нетто продукта в упаковочной единице;
- дату сбора, дату упаковывания и дату отгрузки;
- срок годности;
- условия хранения;
- номер и вид транспортного средства;
- обозначение настоящего стандарта;
- информацию о подтверждении соответствия.
5.2 Порядок и периодичность контроля
5.2.1 Контроль показателей качества, массы продукта в упаковочной единице, качества упаковки и маркировки проводят для каждой партии продукции.
5.2.2 Для определения качества продовольственного картофеля, правильности упаковывания и маркирования, а также массы нетто продукта в упаковочной единице на соответствие требованиям настоящего стандарта проводят отбор проб по ГОСТ 7194.
5.2.3 После проверки отобранные упаковочные единицы присоединяют к партии продовольственного картофеля.
5.2.4 Качество продовольственного картофеля в поврежденных упаковочных единицах проверяют отдельно и результаты распространяют только на продовольственный картофель, находящийся в этих упаковочных единицах.
5.2.5 Контроль за содержанием токсичных элементов, радионуклидов, пестицидов, нитратов, яиц гельминтов и цист кишечных патогенных простейших, микробиологическими показателями проводят в соответствии с порядком, установленным изготовителем продукции согласно нормативным правовым актам государства, принявшего настоящий стандарт <*>.
--------------------------------
<*> Для государств - участников Евразийского экономического союза - по [1].
5.2.6 Результаты проверки распространяют на всю партию.
5.2.7 При получении неудовлетворительных результатов определения хотя бы по одному из показателей по нему проводят повторное определение удвоенного объема выборки, взятого из той же партии. Результаты повторного определения являются окончательными, их распространяют на всю партию.
6. Методы контроля
6.1 Качество упаковки и маркировки упаковочных единиц, отобранных по 5.2.2, оценивают на соответствие требованиям настоящего стандарта визуально.
6.2 Порядок проведения контроля
6.2.1 Средства измерений:
- весы для статического взвешивания по ГОСТ 29329 среднего класса точности наибольшим пределом взвешивания 25 кг, ценой поверочного деления e = 50 г и пределом допускаемой погрешности +/- 0,5e;
- весы по ГОСТ 29329, среднего класса точности наибольшим пределом взвешивания не более 3 кг и ценой поверочного деления e <= 2 г.
Допускается применение других средств измерений с метрологическими характеристиками не ниже указанных.
6.2.2 Проверке по качеству подлежит весь продовольственный картофель, отобранный по 5.2.2, представляющий собой объединенную пробу.
6.2.3 Для определения средней массы нетто продукта в упаковочной единице взвешивают без выбора 10 упаковочных единиц из числа отобранных в выборку по 5.2.2, определяют массу брутто и нетто продукции с точностью до второго десятичного знака. Вычисления средней массы нетто продовольственного картофеля в упаковочной единице проводят до первого десятичного знака с последующим округлением и записью результата в целых числах.
6.2.4 Внешний вид, запах и вкус, вид внутренней части клубня, наличие клубней, пораженных паршой или ооспорозом, клубней с механическим повреждениями (порезы, вырывы, трещины, вмятины), поврежденных сельскохозяйственными вредителями (проволочником), с израстаниями, наростами, позеленевших, клубней раздавленных, половинок и частей, гнилых, подмороженных, запаренных, с признаками "удушья", пораженных сухой или мокрой гнилью, фитофторой оценивают органолептически.
6.2.5 Для определения вида внутренней части клубня разрезают не менее 50 клубней картофеля из объединенной пробы и осматривают мякоть на продольном разрезе. При обнаружении хотя бы одной из болезней (фитофтороз, железистая пятнистость) дополнительно разрезают клубни в количестве не менее 10% от объединенной пробы.
6.2.6 Наличие земли, прилипшей к клубням, определяют по ГОСТ 7194.
6.2.7 Размер клубней определяют пропусканием через средства калибровки с размерами квадратных отверстий, указанными в таблице 2.
6.2.8 Продовольственный картофель в объединенной пробе, отобранной по 5.2.2, взвешивают, определяют общую массу продовольственного картофеля в объединенной пробе, m, рассортировывают на фракции по показателям, установленным в таблицах 1, 2.
6.2.9 Взвешивают каждую фракцию продовольственного картофеля mi. Результат взвешивания фракций записывают с точностью до второго десятичного знака.
6.2.10 По результатам взвешиваний по 6.2.9 определяют в процентах массовую долю продовольственного картофеля с отклонениями от значений показателей, установленных в таблицах 1, 2.
6.3 Обработка результатов
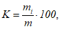
6.3.1 Массовую долю каждой фракции продовольственного картофеля с отклонениями по качеству и размерам K, %, от общей массы клубней в объединенной пробе вычисляют по формуле
(1)
где mi - масса фракции продовольственного картофеля с отклонениями по качеству и размерам, кг;
m - общая масса продовольственного картофеля в объединенной пробе, кг.
6.3.2 Вычисления проводят с точностью до второго десятичного знака с последующим округлением до первого десятичного знака.
Полученные результаты сравнивают со значениями, указанными в таблицах 1, 2. Результаты распространяют на всю партию.
6.4 Подготовка проб и минерализация проб для определения содержания токсичных элементов - по ГОСТ 26929, радионуклидов - по ГОСТ 32164.
6.5 Определение токсичных элементов - по ГОСТ 26927, ГОСТ 26930, ГОСТ 26932, ГОСТ 26933, ГОСТ 30538, ГОСТ 31628, ГОСТ 33824.
6.6 Определение хлорорганических пестицидов - по ГОСТ 30349, фосфорорганических пестицидов - по ГОСТ 30710.
6.7 Определение радионуклидов - по ГОСТ 32161, ГОСТ 32163.
6.8 Определение нитратов, наличия яиц гельминтов и цист кишечных патогенных простейших, микробиологических показателей - по нормативным документам государства, принявшего настоящий стандарт.
6.9 Определение наличия генетически модифицированных организмов - по нормативным документам государства, принявшего настоящий стандарт <*>.
--------------------------------
<*> В Российской Федерации действуют ГОСТ Р 52173-2003 "Сырье и продукты пищевые. Метод идентификации генетически модифицированных источников (ГМИ) растительного происхождения", ГОСТ Р 52174-2003 "Биологическая безопасность. Сырье и продукты пищевые. Метод идентификации генетически модифицированных источников (ГМИ) растительного происхождения с применением биологического микрочипа" (с изменением N 2).
7. Транспортирование и хранение
7.1 Продовольственный картофель транспортируют в чистых, сухих, без постороннего запаха, не зараженных сельскохозяйственными вредителями транспортных средствах в соответствии с условиями транспортирования, установленными изготовителем, в случае их отсутствия - в соответствии с условиями хранения продовольственного картофеля, установленного изготовителем.
7.2 Продовольственный картофель хранят в чистых, сухих, не зараженных сельскохозяйственными вредителями, без постороннего запаха хорошо вентилируемых охлаждаемых помещениях или холодильных камерах - по ГОСТ 28372 в соответствии с установленными правилами, в условиях, обеспечивающих его сохранность.
7.3 Срок годности и условия хранения продовольственного картофеля устанавливает изготовитель согласно нормативным документам, действующим на территории государства, принявшего настоящий стандарт.
Приложение ДА
(справочное)
СОПОСТАВЛЕНИЕ СТРУКТУРЫ НАСТОЯЩЕГО СТАНДАРТА СО СТРУКТУРОЙ
ПРИМЕНЕННОГО В НЕМ СТАНДАРТА UNECE STANDARD FFV-52:2011
Таблица ДА.1
Структура настоящего стандарта
Структура стандарта UNECE STANDARD FFV-52:2011
1 Область применения
1 Определение продукта
2 Нормативные ссылки
II Положения, касающиеся качества
3 Термины и определения
III Положения, касающиеся калибровки
4 Технические требования (пункты 4.1 - 4.4), а также
4.5 Упаковка
4.6 Маркировка
IV Положения, касающиеся допусков
5 Правила приемки
V Положения, касающиеся товарного вида
6 Методы контроля
-
7 Транспортирование и хранение
-
Приложение ДА (справочное) Сопоставление структуры настоящего стандарта со структурой стандарта UNECE STANDARD FFV-52:2011
-
Приложение ДБ (справочное) Сведения о соответствии ссылочных межгосударственных стандартов международным стандартам
-
-
Примечание - В настоящий стандарт дополнительно внесены разделы 6, 7, а также дополнительные приложения ДА, ДБ в соответствии с требованиями к оформлению межгосударственного стандарта, модифицированного по отношению к стандарту UNECE STANDARD FFV, и библиография.
Приложение ДБ
(справочное)
СВЕДЕНИЯ О СООТВЕТСТВИИ ССЫЛОЧНЫХ МЕЖГОСУДАРСТВЕННЫХ
СТАНДАРТОВ МЕЖДУНАРОДНЫМ СТАНДАРТАМ
Таблица ДБ.1
Обозначение ссылочного межгосударственного стандарта
Степень соответствия
Обозначение и наименование соответствующего международного стандарта
ГОСТ 27519-87 (ИСО 1956/1:82)
MOD
ISO 1956/1:82 <*> "Фрукты и овощи. Морфологическая и структуральная терминология. Часть 1"
ГОСТ 28372-93 (ИСО 2165:74)
MOD
ISO 2165:74 <*> "Картофель свежий продовольственный. Руководство по хранению"
ИС МЕГАНОРМ: примечание.
Текст дан в соответствии с официальным текстом документа.
Примечание - В настоящей таблице использовано следующее условное обозначение степени соответствия стандартов:
- IDT - модифицированные стандарты.
--------------------------------
<*> ISO 1956/1:82 и ISO 2165:74 были рассмотрены и затем подтверждены в 2014 г.
БИБЛИОГРАФИЯ
[1]
Технический регламент Таможенного союза "О безопасности пищевой продукции"
[2]
Технический регламент Таможенного союза "О безопасности упаковки"
[3]
Технический регламент Таможенного союза "Пищевая продукция в части ее маркировки"
ИС МЕГАНОРМ: примечание.
В официальном тексте документа, видимо, допущена опечатка: Директива от 20.01.1976 имеет номер 76/211/ЕЭС, а не 76/211/ЕС.
[4]
Директива Совета Европейских сообществ от 20 января 1976 г. (76/211/ЕС) "О сближении законодательств государств-членов относительно предварительной фасовки некоторых продуктов по массе или по объему в единице фасованной продукции"