Главная // Актуальные документы // ГОСТ (Государственный стандарт)СПРАВКА
Источник публикации
М.: ФГБУ "Институт стандартизации", 2023
Примечание к документу
Документ
вводится в действие с 20.06.2025 с правом досрочного применения.
Название документа
"ГОСТ 35003-2023. Межгосударственный стандарт. Вагоны рефрижераторные автономные. Общие технические условия"
(введен в действие Приказом Росстандарта от 10.10.2023 N 1087-ст)
"ГОСТ 35003-2023. Межгосударственный стандарт. Вагоны рефрижераторные автономные. Общие технические условия"
(введен в действие Приказом Росстандарта от 10.10.2023 N 1087-ст)
Приказом Федерального
агентства по техническому
регулированию и метрологии
от 10 октября 2023 г. N 1087-ст
МЕЖГОСУДАРСТВЕННЫЙ СТАНДАРТ
ВАГОНЫ РЕФРИЖЕРАТОРНЫЕ АВТОНОМНЫЕ
ОБЩИЕ ТЕХНИЧЕСКИЕ УСЛОВИЯ
Refrigerated autonomous wagons. General specifications
ГОСТ 35003-2023
Дата введения
20 июня 2025 года
с правом досрочного применения
Цели, основные принципы и общие правила проведения работ по межгосударственной стандартизации установлены
ГОСТ 1.0 "Межгосударственная система стандартизации. Основные положения" и
ГОСТ 1.2 "Межгосударственная система стандартизации. Стандарты межгосударственные, правила и рекомендации по межгосударственной стандартизации. Правила разработки, принятия, обновления и отмены"
1 РАЗРАБОТАН Обществом с ограниченной ответственностью "Уральское конструкторское бюро вагоностроения" (ООО "УКБВ")
2 ВНЕСЕН Межгосударственным техническим комитетом по стандартизации МТК 524 "Железнодорожный транспорт"
3 ПРИНЯТ Межгосударственным советом по стандартизации, метрологии и сертификации (протокол от 25 сентября 2023 г. N 165-П)
За принятие проголосовали:
Краткое наименование страны по МК (ИСО 3166) 004-97 | Код страны по МК (ИСО 3166) 004-97 | Сокращенное наименование национального органа по стандартизации |
Армения | AM | ЗАО "Национальный орган по стандартизации и метрологии" Республики Армения |
Киргизия | KG | Кыргызстандарт |
Россия | RU | Росстандарт |
Таджикистан | TJ | Таджикстандарт |
Узбекистан | UZ | Узстандарт |
4 Приказом Федерального агентства по техническому регулированию и метрологии от 10 октября 2023 г. N 1087-ст межгосударственный стандарт ГОСТ 35003-2023 введен в действие в качестве национального стандарта Российской Федерации с 20 июня 2025 г. с правом досрочного применения
5 ВВЕДЕН ВПЕРВЫЕ
6 Федеральное агентство по техническому регулированию и метрологии не несет ответственности за патентную чистоту настоящего стандарта. Патентообладатель может заявить о своих правах и направить в Федеральное агентство по техническому регулированию и метрологии аргументированное предложение о внесении в настоящий стандарт поправки для указания информации о наличии в стандарте объектов патентного права и о патентообладателе
Информация о введении в действие (прекращении действия) настоящего стандарта и изменений к нему на территории указанных выше государств публикуется в указателях национальных стандартов, издаваемых в этих государствах, а также в сети Интернет на сайтах соответствующих национальных органов по стандартизации.
В случае пересмотра, изменения или отмены настоящего стандарта соответствующая информация будет опубликована на официальном интернет-сайте Межгосударственного совета по стандартизации, метрологии и сертификации в каталоге "Межгосударственные стандарты"
Настоящий стандарт распространяется на автономные рефрижераторные вагоны (АРВ), предназначенные для перевозки грузов, в т.ч. скоропортящихся (штучных, тарно-штучных, пакетированных, перевозимых навалом, в ящиках, на паллетах), требующих применения мер защиты (охлаждения, отопления) от воздействия на них высоких или низких температур наружного воздуха, по железнодорожным путям общего и необщего пользования шириной колеи 1520 мм и оборудованные тележками по
ГОСТ 9246 или
ГОСТ 34763.1.
В настоящем стандарте использованы нормативные ссылки на следующие межгосударственные стандарты:
ГОСТ 2.601 <*> Единая система конструкторской документации. Эксплуатационные документы
--------------------------------
ГОСТ 2.602 Единая система конструкторской документации. Ремонтные документы
<**>
--------------------------------
<**> В Российской Федерации действует
ГОСТ Р 70488-2022 "Система разработки и постановки продукции на производство. Железнодорожный подвижной состав. Порядок разработки ремонтных документов и подготовки ремонта".
ГОСТ 8.051 Государственная система обеспечения единства измерений. Погрешности, допускаемые при измерении линейных размеров до 500 мм
ГОСТ 9.014 Единая система защиты от коррозии и старения. Временная противокоррозионная защита изделий. Общие требования
ГОСТ 9.307 Единая система защиты от коррозии и старения. Покрытия цинковые горячие. Общие требования и методы контроля
ГОСТ 9.402 Единая система защиты от коррозии и старения. Покрытия лакокрасочные. Подготовка металлических поверхностей к окрашиванию
ГОСТ 12.1.004 Система стандартов безопасности труда. Пожарная безопасность. Общие требования
ГОСТ 12.1.019 Система стандартов безопасности труда. Электробезопасность. Общие требования и номенклатура видов защиты
ГОСТ 12.1.030 Система стандартов безопасности труда. Электробезопасность. Защитное заземление. Зануление
ГОСТ 12.1.044 (ИСО 4589-84) Система стандартов безопасности труда. Пожаровзрывоопасность веществ и материалов. Номенклатура показателей и методы их определения
ГОСТ 12.2.007.0 Система стандартов безопасности труда. Изделия электротехнические. Общие требования безопасности
ГОСТ 12.2.007.3 Система стандартов безопасности труда. Электротехнические устройства на напряжение свыше 1000 В. Требования безопасности
ГОСТ 12.2.233 (ISO 5149:1993) Система стандартов безопасности труда. Системы холодильные холодопроизводительностью свыше 3,0 кВт. Требования безопасности
ГОСТ 12.4.026 Система стандартов безопасности труда. Цвета сигнальные, знаки безопасности и разметка сигнальная. Назначение и правила применения. Общие технические требования и характеристики. Методы испытаний
ГОСТ 15.309 Система разработки и постановки продукции на производство. Испытания и приемка выпускаемой продукции. Основные положения
ГОСТ 15.902 Система разработки и постановки продукции на производство. Железнодорожный подвижной состав. Порядок разработки и постановки на производство
--------------------------------
<*> В Российской Федерации действует
ГОСТ Р 27.102-2021 "Надежность в технике. Надежность объекта. Термины и определения".
ГОСТ 27.301 Надежность в технике. Расчет надежности. Основные положения
ГОСТ 380 Сталь углеродистая обыкновенного качества. Марки
ГОСТ 535 Прокат сортовой и фасонный из стали углеродистой обыкновенного качества. Общие технические условия
ГОСТ 977 Отливки стальные. Общие технические условия
ГОСТ 1050 Металлопродукция из нелегированных конструкционных качественных и специальных сталей. Общие технические условия
ГОСТ 2768 Ацетон технический. Технические условия
ГОСТ 3191 Вагоны железных дорог колеи 1520 мм. Детали из древесины и древесных материалов. Общие технические условия
ГОСТ 5582 Прокат тонколистовой коррозионно-стойкий, жаростойкий и жаропрочный. Технические условия
ГОСТ 5949 Металлопродукция из сталей нержавеющих и сплавов на железоникелевой основе коррозионно-стойких, жаростойких и жаропрочных. Технические условия
ГОСТ 6996 Сварные соединения. Методы определения механических свойств
ГОСТ 7062 Поковки из углеродистой и легированной стали, изготовляемые ковкой на прессах. Припуски и допуски
ГОСТ 7350 Сталь толстолистовая коррозионно-стойкая, жаростойкая и жаропрочная. Технические условия
ГОСТ 7409-2018 Вагоны грузовые. Требования к лакокрасочным покрытиям и противокоррозионной защите и методы их контроля
ГОСТ 7502 Рулетки измерительные металлические. Технические условия
ГОСТ 7505 Поковки стальные штампованные. Допуски, припуски и кузнечные напуски
ГОСТ 7829 Поковки из углеродистой и легированной стали, изготовляемые ковкой на молотах. Припуски и допуски
ГОСТ 8026 Линейки поверочные. Технические условия
ГОСТ 8479 Поковки из конструкционной углеродистой и легированной стали. Общие технические условия
ГОСТ 9238 Габариты железнодорожного подвижного состава и приближения строений
ГОСТ 9246-2013 Тележки двухосные трехэлементные грузовых вагонов железных дорог колеи 1520 мм. Общие технические условия
ГОСТ 9454 Металлы. Метод испытания на ударный изгиб при пониженных, комнатной и повышенных температурах
ГОСТ 9941 Трубы бесшовные холодно- и теплодеформированные из коррозионно-стойкой стали. Технические условия
ГОСТ 10054 Шкурка шлифовальная бумажная водостойкая. Технические условия
ГОСТ 14255 (МЭК 144-63) Аппараты электрические на напряжение до 1000 В. Оболочки. Степени защиты
ГОСТ 14637 (ИСО 4995-78) Прокат толстолистовой из углеродистой стали обыкновенного качества. Технические условия
ГОСТ 14918 Прокат листовой горячеоцинкованный. Технические условия
ГОСТ 15150-69 Машины, приборы и другие технические изделия. Исполнения для различных климатических районов. Категории, условия эксплуатации, хранения и транспортирования в части воздействия климатических факторов внешней среды
ГОСТ 15543.1 Изделия электротехнические и другие технические изделия. Общие требования в части стойкости к климатическим внешним воздействующим факторам
ГОСТ 16523 Прокат тонколистовой из углеродистой стали качественной и обыкновенного качества общего назначения. Технические условия
ГОСТ 17066 Прокат тонколистовой из стали повышенной прочности. Технические условия
ГОСТ 18321-73 Статистический контроль качества. Методы случайного отбора выборок штучной продукции
<*>
--------------------------------
<*> В Российской Федерации действует
ГОСТ Р 50779.12-2021 "Статистические методы. Статистический контроль качества. Методы случайного отбора выборок штучной продукции".
ГОСТ 19281 Прокат повышенной прочности. Общие технические условия
ГОСТ 21130 Изделия электротехнические. Зажимы заземляющие и знаки заземления. Конструкция и размеры
ГОСТ 21753 Система "человек-машина". Рычаги управления. Общие эргономические требования
ГОСТ 22235-2010 Вагоны грузовые магистральных железных дорог колеи 1520 мм. Общие требования по обеспечению сохранности при производстве погрузочно-разгрузочных и маневровых работ
ГОСТ 22613 Система "человек-машина". Выключатели и переключатели поворотные. Общие эргономические требования
ГОСТ 22614 Система "человек-машина". Выключатели и переключатели клавишные и кнопочные. Общие эргономические требования
ГОСТ 22615 Система "человек-машина". Выключатели и переключатели типа "Тумблер". Общие эргономические требования
ГОСТ 22703 Детали литые сцепных и автосцепных устройств железнодорожного подвижного состава. Общие технические условия
ГОСТ 23846 Вагоны рефрижераторные магистральных железных дорог колеи 1520 (1524) мм. Покрытия лакокрасочные. Технические условия
ГОСТ 24297 Верификация закупленной продукции. Организация проведения и методы контроля
ГОСТ 24393 Техника холодильная. Термины и определения
ГОСТ 27174-86 (МЭК 623-83) Аккумуляторы и батареи аккумуляторные щелочные никель-кадмиевые негерметичные емкостью до 150 А·ч. Общие технические условия
ГОСТ 29273 (ИСО 581-90) Свариваемость. Определение
ГОСТ 29329 Весы для статического взвешивания. Общие технические требования
<**>
--------------------------------
<**> В Российской Федерации действует
ГОСТ Р 53228-2008 "Весы неавтоматического действия. Часть 1. Метрологические и технические требования. Испытания".
ГОСТ 30244 Материалы строительные. Методы испытаний на горючесть
ГОСТ 30631 Общие требования к машинам, приборам и другим техническим изделиям в части стойкости к механическим внешним воздействующим факторам при эксплуатации
ГОСТ 31380 Глобальные навигационные спутниковые системы. Аппаратура потребителей. Классификация
ГОСТ 31967 Двигатели внутреннего сгорания поршневые. Выбросы вредных веществ с отработавшими газами. Нормы и методы определения
ГОСТ 32203 (ISO 3095:2005) Железнодорожный подвижной состав. Акустика. Измерение внешнего шума
ГОСТ 32700 Железнодорожный подвижной состав. Методы контроля сцепляемости
ГОСТ 32880 Тормоз стояночный железнодорожного подвижного состава. Технические условия
ГОСТ 32894 Продукция железнодорожного назначения. Инспекторский контроль. Общие положения
ГОСТ 32913 Аппараты поглощающие сцепных и автосцепных устройств железнодорожного подвижного состава. Технические требования и правила приемки
ГОСТ 32968 Оборудование холодильное. Агенты холодильные. Требования по применению и извлечению
ГОСТ 33211-2014 Вагоны грузовые. Требования к прочности и динамическим качествам
ГОСТ 33322 (IEC 61991:2000) Железнодорожный подвижной состав. Требования к защите от поражения электрическим током
ГОСТ 33326-2015 Кабели и провода для подвижного состава железнодорожного транспорта. Общие технические условия
ГОСТ 33434-2015 Устройство сцепное и автосцепное железнодорожного подвижного состава. Технические требования и правила приемки
ГОСТ 33435 Устройства управления, контроля и безопасности железнодорожного подвижного состава. Требования безопасности и методы контроля
ГОСТ 33436.3-1-2015 (IEC 62236-3-1:2008) Совместимость технических средств электромагнитная. Системы и оборудование железнодорожного транспорта. Часть 3-1. Железнодорожный подвижной состав. Требования и методы испытаний
ГОСТ 33597 Тормозные системы железнодорожного подвижного состава. Методы испытаний
ГОСТ 33788-2016 Вагоны грузовые и пассажирские. Методы испытаний на прочность и динамические качества
ГОСТ 33798.1-2016 (IEC 60077-1:1999) Электрооборудование железнодорожного подвижного состава. Часть 1. Общие условия эксплуатации и технические условия
ГОСТ 33976 Соединения сварные в стальных конструкциях железнодорожного подвижного состава. Требования к проектированию, выполнению и контролю качества
ГОСТ 34434 Тормозные системы грузовых железнодорожных вагонов. Технические требования и правила расчета
ГОСТ 34468 Пятники грузовых вагонов железных дорог колеи 1520 мм. Общие технические условия
ГОСТ 34624 Железнодорожный подвижной состав. Методы контроля показателей функционирования систем пожарной сигнализации и пожаротушения
ГОСТ 34632-2020 Вагоны грузовые. Метод эксплуатационных испытаний на надежность
ГОСТ 34759 Железнодорожный подвижной состав. Нормы допустимого воздействия на железнодорожный путь и методы испытаний
ГОСТ 34763.1-2021 Тележки трех- и четырехосные грузовых вагонов железных дорог. Общие технические требования
ГОСТ OIML R 76-1 Государственная система обеспечения единства измерений. Весы неавтоматического действия. Часть 1. Метрологические и технические требования. Испытания
Примечание - При пользовании настоящим стандартом целесообразно проверить действие ссылочных стандартов и классификаторов на официальном интернет-сайте Межгосударственного совета по стандартизации, метрологии и сертификации (www.easc.by) или по указателям национальных стандартов, издаваемым в государствах, указанных в предисловии, или на официальных сайтах соответствующих национальных органов по стандартизации. Если на документ дана недатированная ссылка, то следует использовать документ, действующий на текущий момент, с учетом всех внесенных в него изменений. Если заменен ссылочный документ, на который дана датированная ссылка, то следует использовать указанную версию этого документа. Если после принятия настоящего стандарта в ссылочный документ, на который дана датированная ссылка, внесено изменение, затрагивающее положение, на которое дана ссылка, то это положение применяется без учета данного изменения. Если ссылочный документ отменен без замены, то положение, в котором дана ссылка на него, применяется в части, не затрагивающей эту ссылку.
В настоящем стандарте применены термины по
ГОСТ 27.002,
ГОСТ 24393,
ГОСТ 29273, а также следующие термины с соответствующими определениями:
3.1 автономный рефрижераторный вагон; АРВ: Изотермический вагон с индивидуальным автоматизированным холодильно-отопительным (термическим) и энергетическим оборудованием, обеспечивающим в грузовом отделении (помещении) АРВ в автономном режиме поддержание температуры воздуха в заданных пределах в течение заданного промежутка времени, принудительную циркуляцию воздуха и вентиляцию, который предназначен для перевозки грузов, в т.ч. скоропортящихся, в различных климатических условиях.
3.2 кузов АРВ: Конструкция, предназначенная для размещения перевозимого груза и необходимого оборудования.
3.3 машинное отделение: Отделение кузова АРВ, в котором размещено входящее в состав АРВ холодильно-отопительное (термическое) оборудование, обеспечивающее в грузовом отделении поддержание температуры воздуха в заданных пределах, вентилирование и принудительную циркуляцию воздуха, или энергетическое оборудование, обеспечивающее работу термического оборудования в автономном режиме.
3.4
заказчик: Предприятие (организация, объединение или другой субъект хозяйственной деятельности), по заявке или контракту с которым производится создание и (или) поставка продукции (в том числе научно-технической). |
--------------------------------
3.5
расход топлива: Количество топлива, расходуемого двигателем в единицу времени при заданных мощности и окружающих условиях. |
3.6 вагон-аналог [аналогичная продукция]: Вагон, расчетные параметры которого отличаются не более чем на 5% от соответствующих параметров рассматриваемого АРВ, что обеспечивает необходимую идентичность технических характеристик данных вагонов, при этом эти вагоны оборудованы тележками одного типа с боковыми скользунами одного типа.
Примечание - Под расчетными параметрами понимаются: длина по осям сцепления вагона, база вагона, осевая нагрузка, высота центра тяжести вагона, база тележки, параметры жесткости и демпфирования рессорного подвешивания тележки и боковых скользунов с упругими элементами, необрессоренная масса тележки.
3.7 владелец инфраструктуры: Государственная организация, юридическое лицо или индивидуальный предприниматель, имеющие инфраструктуру железнодорожного транспорта на праве собственности или ином праве.
3.8
изготовитель: Предприятие (организация, объединение), осуществляющее выпуск продукции. |
3.9 сторонняя проводящая часть: Проводящая часть, не являющаяся частью электроустановки.
3.10 искрогаситель: Устройство, устанавливаемое на выхлопную систему двигателя внутреннего сгорания и обеспечивающее улавливание и тушение искр в продуктах горения, образующихся при его работе.
3.11
открытая проводящая часть: Доступная прикосновению проводящая часть электроустановки, нормально не находящаяся под напряжением, но которая может оказаться под напряжением при повреждении основной изоляции. |
3.12 пандус: Устройство, обеспечивающее заезд погрузчика или проход обслуживающего персонала в грузовое отделение АРВ с поверхности земли или погрузочно-выгрузочных платформ и площадок.
3.13 воздуховод: Технологический канал, предназначенный для перемещения воздуха.
4.1 АРВ должен ограничивать теплообмен между внутренней и наружной поверхностями грузового отделения таким образом, чтобы общий коэффициент теплопередачи (коэффициент К) не превышал 0,40 Вт/м
2·К.
АРВ должен быть оборудован термическим оборудованием, позволяющим выбрать и обеспечить поддержание температуры в грузовом отделении АРВ в диапазоне от минус 20 °C до плюс 12 °C включительно. По требованию заказчика АРВ может обеспечивать поддержание температуры в грузовом отделении сверх установленных границ.
По требованию заказчика АРВ, предназначенный для перевозки скоропортящихся грузов в международном сообщении, должен соответствовать нормам
Соглашения [1] или нормативным документам государств, проголосовавших за принятие настоящего стандарта.
4.2 АРВ в зависимости от конструкционных, эксплуатационных характеристик вагона различают:
а) по количеству теплоизолированных отсеков грузового отделения:
1) с одним отсеком,
2) двумя и более отсеками;
б) по расположению термического и энергетического оборудования:
1) в машинном отделении,
2) установленного в различных частях снаружи кузова, на крыше или на стенах кузова, в том числе в пространстве под вагоном;
в) по варианту исполнения термического и энергетического оборудования:
1) автономное (отдельно расположенное),
2) заключенное в одном кожухе;
г) по типу подачи воздуха в грузовое отделение от холодильно-отопительного оборудования:
1) с верхней подачей воздуха,
2) нижней подачей воздуха,
3) комбинированной подачей воздуха.
Примечания
1 Под верхней понимается система подачи воздуха из теплообменника испарителя термического оборудования в специально оборудованное пространство под крышей вагона, которое может представлять собой пространство, ограниченное воздуховодом, ложным потолком или другими конструкциями, обеспечивающими доставку воздуха до установленных границ с целью его нормальной циркуляции в грузовом отделении АРВ.
2 Под нижней понимается система подачи воздуха из теплообменника испарителя термического оборудования в специально оборудованное пространство в полу или на уровне пола вагона, которое может представлять собой пространство, ограниченное напольными решетками, специальными элементами с продольными каналами (T-образный профиль), воздуховодами или другими конструкциями, обеспечивающими доставку воздуха до установленных границ с целью его нормальной циркуляции в грузовом отделении АРВ.
3 Под комбинированной понимаются независимые системы подачи воздуха для нескольких отсеков грузового отделения, обеспечивающие необходимое направление потока воздуха;
д) по продолжительности работы в автономном режиме, сут (с учетом простоя в пути следования):
1) до 10 включ.,
2) св. 10 до 20 включ.,
3) св. 20.
Примечание - Для АРВ, оборудованных энергетическим оборудованием, работающим на горючем топливе, под продолжительностью работы в автономном режиме принимают расчетную автономность АРВ, сут, которая определяется запасом топлива и техническими характеристиками энергетического оборудования в непрерывном режиме и с соблюдением технических параметров до полной остановки, определяемую по
формуле (1).
5.1.1 Технические условия и руководства по эксплуатации на АРВ должны включать следующие параметры, размеры и сведения:
а) грузоподъемность, т;
1) экипированного АРВ, т.
Примечание - К экипировочным материалам относятся топливо, масла, смазки, а также запасные части, специальный инструмент и приспособления (при наличии), применяемые при эксплуатации АРВ. Перечень комплектующих и материалов, относящихся к экипировке, устанавливают в конструкторской документации (КД) на конкретную модель АРВ,
2) неэкипированного АРВ, т;
в) количество осей, шт.;
г) максимальную расчетную статическую осевую нагрузку от колесной пары на рельсы, кН (тс);
д) максимальную статическую погонную нагрузку на путь от АРВ, кН/м;
е) номинальный внутренний объем грузового отделения, м3;
ж) длину по осям сцепления автосцепок, мм;
и) длину по концевым балкам рамы, мм;
к) максимальную ширину АРВ (или номинальное значение с указанием отклонений), мм;
л) расстояние от уровня головок рельсов до уровня пола, мм;
м) номинальную площадь пола грузового отделения, м2;
н) номинальную базу АРВ, мм;
п) номинальные внутренние размеры грузового отделения (длина, ширина, высота), мм.
Примечание - Внутренние размеры грузового отделения (помещения) должны измеряться от поверхности внутренней обшивки, реек, перегородок, каналов для воздуха в потолке и в полу и т.д. - там, где эти приспособления предусмотрены;
р) количество и тип дверей;
с) номинальные размеры в свету дверного проема (ширина, высота), мм;
т) максимальную высоту АРВ от уровня головок рельсов (или номинальное значение с указанием отклонений), мм;
у) расстояние от уровня головок рельсов до продольной оси автосцепки, мм;
х) конструкционную скорость, км/ч;
ц) расчетный диапазон температуры в грузовом помещении, °C;
ч) модель тележки;
ш) общий коэффициент теплопередачи грузового отделения кузова, Вт/м2·К;
щ) расчетный срок перевозки скоропортящихся грузов в АРВ, сут;
аа) номинальную вместимость топливного бака, л;
бб) установочную высоту скользунов постоянного контакта по
5.2.11;
вв) расчетное значение высоты центра тяжести порожнего АРВ от уровня головок рельсов, мм;
гг) допускаемое смещение общего центра тяжести груза в АРВ в продольном и поперечном направлениях, мм.
5.1.2 АРВ должны соответствовать климатическому исполнению УХЛ1 по
ГОСТ 15150 с обеспечением работоспособного состояния в диапазоне рабочих температур от минус 60 °C до плюс 50 °C.
Допускается по согласованию с владельцем инфраструктуры применение компонентов АРВ (системы энергообеспечения, охлаждения/нагрева и электронного управления) с обеспечением их работоспособного состояния в диапазоне температур, отличном от установленных исполнением УХЛ1 по
ГОСТ 15150.
Вид климатического исполнения должен быть указан в технических условиях на АРВ конкретной модели.
5.1.3 Составные части АРВ должны сохранять свои свойства в нормируемых пределах при повышении температуры при погрузочно-разгрузочных работах в соответствии с
ГОСТ 22235.
5.1.5 Конструкция АРВ должна исключать непредусмотренные касания составных частей между собой при проходе одиночного АРВ по горизонтальной кривой минимального радиуса в соответствии с ГОСТ 22235-2010
(подраздел 6.1).
Конструкция АРВ также должна исключать непредусмотренные касания составных частей тормозной рычажной передачи между собой и с другими составными частями АРВ при выполнении торможения.
5.1.6 Конструкция и оборудование АРВ должны обеспечивать сохранность груза и не вызывать повреждений АРВ при производстве погрузочно-разгрузочных и маневровых работ по
ГОСТ 22235.
- должны быть оборудованы глобальной навигационной спутниковой системой (ГЛОНАСС или GPS) либо иными устройствами навигации для позиционирования АРВ, а также устройствами дистанционного мониторинга контролируемых параметров воздушной среды грузового и машинного отделений и др.
Примечание - По согласованию с заказчиком и владельцем инфраструктуры допускается не оборудовать устройствами навигации и (или) дистанционного мониторинга оценки состояния АРВ;
- по требованию заказчика могут быть оборудованы устройствами, обеспечивающими автоматическую идентификацию бортового номера АРВ, его колесных пар, литых деталей тележек и других составных частей.
Место установки устройства, обеспечивающего автоматическую идентификацию бортового номера АРВ, должно быть установлено в КД.
5.1.8 АРВ по требованию заказчика допускается оборудовать устройствами механизации и автоматизации погрузочно-разгрузочных работ, а также устройствами управления, контроля и безопасности по
ГОСТ 33435.
5.1.9 Технические условия и руководства по эксплуатации на АРВ должны включать следующие показатели:
а) назначенный срок службы, лет;
б) норматив периодичности проведения капитального ремонта, лет;
в) нормативы периодичности проведения деповского ремонта по комбинированному критерию, тыс. км, лет:
1) первый после постройки,
2) после деповского ремонта,
3) после капитального ремонта;
г) нормативы периодичности проведения деповского ремонта по единичному критерию, лет:
1) первый после постройки,
2) после деповского ремонта в период до первого капитального ремонта,
3) после деповского ремонта в период после первого капитального ремонта,
4) после капитального ремонта.
5.1.10 Количество и состав оснащения АРВ системами энергообеспечения, охлаждения (нагрева), управления должны быть рассчитаны на поддержание температурного режима, соответствующего установленным нормативными документами температурным условиям хранения груза в течение всей продолжительности транспортирования (перевозки) этого груза.
5.2 Общие требования к конструкции
5.2.1 АРВ должны иметь кузов, включающий в себя раму, боковые и торцевые стены, крышу. Кузов должен быть разделен функционально на грузовое и машинное отделение по
5.3 в случае наличия машинного отделения.
5.2.2 АРВ должны быть оборудованы:
б) автосцепными устройствами по
ГОСТ 33434, с контуром зацепления автосцепки по
ГОСТ 21447, с оборудованием автосцепок нижним ограничителем вертикальных перемещений и расцепным приводом с блокировочной цепью и поглощающими аппаратами по
ГОСТ 32913;
в) стояночным тормозом по
ГОСТ 32880 с ручным приводом;
г) автоматическим пневматическим тормозом по
ГОСТ 34434;
д) пятниками или пятниковыми местами по
ГОСТ 34468;
е) для функционирования в автономном режиме АРВ должен быть оборудован, как минимум:
1) термическим оборудованием и энергетическим оборудованием с запуском от собственного источника питания (аккумуляторной батареи).
Примечание - По согласованию с заказчиком дополнительно допускается предусматривать возможность подключения к внешним источникам питания;
2) топливной емкостью (топливным баком) или емкостями (топливными баками), оснащенной(ыми) системой учета топлива, внутренним объемом, обеспечивающим требуемый режим автономной работы термического оборудования на время, необходимое для осуществления перевозки груза,
3) системой освещения машинного отделения (при наличии) АРВ,
4) системой освещения грузового отделения (по требованию заказчика) с возможностью подключения к внешним источникам питания (по требованию заказчика),
5) датчиками пожарной сигнализации и средствами пожаротушения в машинном отделении АРВ,
6) установкой для пожаротушения в машинном отделении, в котором установлен двигатель внутреннего сгорания.
5.2.3 Концевые балки рамы АРВ должны быть оборудованы кронштейнами для установки хвостовых сигнальных устройств с их расположением на стороне, противоположной расцепному рычагу автосцепного устройства.
5.2.4 На АРВ должны быть предусмотрены кронштейны для подтягивания АРВ.
5.2.5 В конструкции АРВ должны быть предусмотрены места установки домкратов для подъема кузова как в порожнем, так и в груженом состоянии.
В местах, предназначенных для установки домкратов, должны быть установлены планки с поверхностью или предусмотрена иная поверхность, препятствующая скольжению.
5.2.6 Грузовое и машинное отделения должны быть оборудованы подножками (или лестницами) с поручнями у каждого дверного проема с целью обеспечения доступа обслуживающего персонала. Допускается не оборудовать подножками грузовое отделение, оборудованное погрузочными пандусами.
АРВ должны быть оборудованы поручнями составителя поездов на концевых балках рамы, расположенными на стороне, противоположной расцепному рычагу автосцепки, и подножками с поручнями составителя поездов с их расположением на боковых сторонах вагона в консольных частях кузова со стороны расцепного рычага автосцепки.
Поручни, подножки и лестницы (при наличии) должны соответствовать требованиям, указанным в
приложении А.
5.2.7 Выбор оборудования осуществляется с учетом места размещения при эксплуатации в воздушной среде. Для оборудования, расположенного на открытом воздухе (силовых кабелей, электрооборудования и прочего оборудования), при необходимости, должны быть предусмотрены технические решения по защите от воздействия климатических факторов внешней среды, а также несанкционированного доступа к оборудованию и его изъятия.
5.2.8 По требованию заказчика АРВ могут быть оборудованы местами для хранения оборудования, необходимого для технического обслуживания и безопасной эксплуатации АРВ.
5.2.9 Расстояние от уровня головок рельсов до уровня оси автосцепки должно соответствовать ГОСТ 33434-2015
(пункт 5.1.9).
5.2.10 Разность расстояний от уровня головок рельсов до продольной оси автосцепки по обоим концам АРВ должна соответствовать ГОСТ 33434-2015
(пункт 5.1.10).
5.2.11 При оборудовании АРВ тележками с боковыми скользунами постоянного контакта установочная высота скользунов должна быть указана в КД на АРВ в соответствии с КД на тележку.
При оборудовании АРВ тележками с боковыми скользунами зазорного типа величина допустимых зазоров между рабочей поверхностью боковых скользунов и ответной поверхностью боковых опор кузова должна быть установлена в КД на АРВ.
Способы обеспечения установочных высот боковых скользунов постоянного контакта и зазоров для боковых скользунов зазорного типа - в соответствии с ГОСТ 9246-2013
(пункт 5.3.22) или ГОСТ 34763.1-2021
(пункт 5.3.18).
5.2.12 Уровень внешнего шума, создаваемый АРВ при движении, не должен превышать 80 дБ
А на расстоянии 50 м от железнодорожного пути.
5.2.13 Конструкция АРВ должна исключать накопление статического электричества. Электрическое сопротивление защитного заземления должно быть не более 0,1 Ом и соответствовать требованиям
ГОСТ 12.1.030.
5.2.14 Требования пожарной безопасности конструкции АРВ - по
ГОСТ 12.1.004, требования к пожаровзрывоопасности веществ и материалов - по
ГОСТ 12.1.044.
5.2.15 АРВ должны быть оборудованы специальными местами для размещения противопожарного инвентаря (огнетушителями, оборудованием, инструментом). Установкой для пожаротушения должно быть оборудовано машинное отделение, в котором установлен двигатель внутреннего сгорания.
5.2.16 Требования электробезопасности конструкции АРВ должны соответствовать
ГОСТ 12.1.019.
5.2.17 Металлические токоведущие корпусы, ограждения электрических аппаратов и машин, конструкции для крепления токоведущих частей, которые доступны для прикосновения и могут оказаться под напряжением выше 110 В постоянного тока или 50 В переменного тока, должны быть соединены с кузовом АРВ при помощи заземляющих электрических соединений.
При необходимости устанавливают заземляющие соединения от кузова АРВ до деталей тележек (при наличии разделения электропроводимости деталями из диэлектрических материалов между кузовом АРВ и тележками).
Все металлические нетоковедущие части электрооборудования, которые могут оказаться под напряжением переменного тока вследствие нарушения изоляции, должны быть заземлены в соответствии с требованиями нормативных документов государств, проголосовавших за принятие настоящего стандарта
<*>, и
ГОСТ 12.2.007.0.
--------------------------------
<*> В Российской Федерации применяют главы и разделы
Правил устройства электроустановок (издание шестое) (утверждены Главтехуправлением, Госэнергонадзором Минэнерго СССР 5 октября 1979 г.) и
Правил устройства электроустановок (издание седьмое) (утверждены приказом Министерства энергетики Российской Федерации от 8 июля 2002 г. N 204).
Конструкция и маркировка заземляющих элементов должны соответствовать требованиям
ГОСТ 21130.
5.2.18 Конструкция АРВ и расположение оборудования должны обеспечивать безопасность обслуживающего персонала, а также доступ к оборудованию при эксплуатации и осмотре, ремонте, монтаже и демонтаже.
5.2.19 Конструкция АРВ должна обеспечивать возможность обслуживания электрооборудования в процессе эксплуатации без выхода на крышу.
5.2.20 Конструкция АРВ должна исключать падение составных частей на железнодорожный путь в эксплуатации. Составные части АРВ, разъединение или излом которых может вызвать их падение на железнодорожный путь или выход из габарита подвижного состава (нижнее очертание), должны иметь предохранительные устройства, препятствующие этому.
5.2.21 Наконечники и головки рукавов тормозной магистрали, толкатель выпускного клапана воздухораспределителя, концевые краны, разобщительный кран, трехходовой кран, рукоятки поводков ручного отпуска тормоза, штурвал стояночного тормоза, сигнальный отросток замка автосцепки, торцевая часть кронштейнов для установки поездных сигналов должны быть окрашены в красный цвет.
5.2.22 Переходная площадка (при наличии) должна иметь поверхность, препятствующую скольжению, и обеспечивать сток попадающей на нее жидкости.
Переходная площадка должна иметь ограждение высотой не менее 1000 мм и должна быть оборудована подножками и поручнями для подъема на нее. При высоте ограждения более 1200 мм в его конструкции должна быть предусмотрена промежуточная горизонтальная тетива.
При креплении болтами поручней, подножек и другого оборудования должно быть исключено самопроизвольное отвинчивание гаек и болтов.
5.2.23 Конструкция АРВ должна обеспечивать защиту электроприводов (кожух, корпус) и электропроводов (кабель-канал, ниши, обшивка) от механических повреждений.
5.2.24 Внутренние части АРВ, требующие осмотра, настройки и технического обслуживания, и, при необходимости, наружное оборудование допускается оснащать дополнительным освещением. Уровни искусственной освещенности - в соответствии с требованиями нормативных документов государств, проголосовавших за принятие настоящего стандарта
<**>.
--------------------------------
<**> В Российской Федерации - по
СП 52.13330.2016 "СНиП 23-05-95* Естественное и искусственное освещение" и
ГОСТ Р 56852-2016 "Освещение искусственное производственных помещений объектов железнодорожного транспорта. Нормы и методы контроля".
5.3 Требования к конструкции кузова
5.3.1 Кузов АРВ должен иметь теплоизолированное грузовое отделение, термическое и энергетическое оборудование, расположенное в соответствии с
перечислением б) 4.2.
Примечание - Расположение термического и энергетического оборудования определяет разработчик исходя из конструкции вагона и требований заказчика.
В зависимости от конструктивного исполнения АРВ и требуемой холодопроизводительности и теплопроизводительности термического оборудования допускается исполнение кузова с одним или двумя машинными отделениями. При этом грузовое и машинное отделения должны быть разделены теплоизолирующей перегородкой.
5.3.2 Грузовое отделение должно состоять из теплоизолирующих элементов: боковых стен, включая двери, торцевых стенок, пола и крыши и иметь внешнюю и внутреннюю обшивки. Между внешней и внутренней обшивками должен находиться теплоизоляционный материал.
5.3.3 В машинном отделении преимущественно должны быть расположены оборудование, приборы и пульты управления, обеспечивающие заданный режим работы АРВ.
Машинное отделение должно быть выполнено в едином кузове и при этом может иметь только внешнюю обшивку, без теплоизоляции.
5.3.4 При наличии машинное отделение должно быть достаточных размеров, чтобы все части оборудования были доступными и имели достаточное свободное пространство для обеспечения надлежащего ухода и обслуживания в эксплуатации.
5.3.5 Машинное отделение должно иметь систему пассивной (естественной) и (или) принудительной вентиляции, которая через вентиляционные отверстия должна обеспечивать отвод паров хладагента и излишнего тепла. При необходимости, вентиляционные отверстия могут перекрываться защитными решетками и (или) жалюзи. При этом крыша машинного отделения выполнена с применением внешней обшивки АРВ или иного материала, обеспечивающего соблюдение требований настоящего стандарта.
5.3.6 Стены, двери, пол и крыша грузового отделения должны обладать теплоизоляционными свойствами и ограничивать теплообмен между внутренней и наружной поверхностью грузового отделения.
Толщина теплоизоляционного материала грузового отделения кузова АРВ должна обеспечивать общий коэффициент теплопередачи (коэффициент К) по
4.1.
5.3.7 Теплоизоляционный материал ограждений грузового отделения (боковых и торцевых стен, пола, крыши, дверей) должен иметь по возможности равномерную толщину. Допускаются местные утоньшения в местах элементов жесткости профиля обшивки (гофр, выштамповок и т.п.) и других конструктивных элементов грузового отделения. Изоляция крыши может быть увеличена для компенсации повышения температуры внешней обшивки за счет воздействия на АРВ солнечного излучения.
5.3.8 Конструкция внутренней обшивки стен грузового отделения АРВ должна не допускать попадание под нее промывочной воды при очистке и дезинфекции и быть устойчивой к воздействию пара, моющих и дезинфицирующих средств.
5.3.9 В грузовом отделении должна быть предусмотрена система для подачи воздуха, поступающего от холодильно-отопительного (термического) оборудования в соответствии с типом подачи воздуха, установленным в
перечислении г) 4.2, его циркуляции и равномерного распределения по всему объему грузового отделения.
Примечание - По согласованию с заказчиком допускается не оборудовать грузовое отделение системой для подачи воздуха, поступающего от термического оборудования в соответствии с типом подачи воздуха, установленным в
перечислении г) 4.2, при условии обеспечения заданного температурного режима по всему объему грузового отделения.
Допускается оборудовать грузовое отделение дополнительными вентиляторами-циркуляторами.
Внутренняя поверхность торцевых стен должна быть оборудована обрешеткой или иметь такую собственную конструкцию, например гофры или фальш-стены, отделяющие груз от стенок грузового отделения, чтобы обеспечивалось прохождение воздуха.
5.3.10 Конструкция пола грузового отделения АРВ должна обеспечивать свободное движение воздушных потоков под штабелем груза и доступ при промывке и обработке грузового отделения.
По требованию заказчика пол грузового отделения АРВ оборудуется напольными решетками. Крепления напольных решеток должны исключать их несанкционированное изъятие.
5.3.11 Конструкция пола должна обеспечивать отвод талой и промывочной вод.
5.3.12 В конструкции АРВ должна быть предусмотрена возможность монтажа и демонтажа оборудования (системы воздуховодов, термического оборудования, элементов освещения, энергетического оборудования и т.п.) грузового и машинного отделений без повреждения теплоизолирующих элементов кузова.
5.3.13 Грузовое отделение оборудуют теплоизолирующими дверями, расположенными с обеих боковых сторон грузового отделения. По согласованию с заказчиком дополнительно допускается оборудовать грузовое отделение распашными воротами на торцевой стене.
Двери оборудуются запорами с замками и устройствами для пломбировки.
5.3.14 Закрытие дверей должно быть плотным. Места прилегания теплоизолирующих дверей и ворот (при наличии) к проемам должны быть оборудованы уплотнителями, которые при закрытом положении дверей будут максимально препятствовать проникновению наружного воздуха в грузовое отделение.
5.3.15 Дверные проемы грузового отделения с внутренней стороны, по требованию заказчика, допускается оборудовать завесами для снижения тепловых потерь при выполнении погрузочно-разгрузочных операций. Завесы не должны препятствовать проведению погрузочно-разгрузочных работ.
Примечание - Под завесой понимают большое полотнище из вертикальных полос материала, служащее для загораживания (завешивания) дверного проема, или приспособление, предназначенное для снижения тепловых потерь, обеспечивающее экранирование защищаемой воздушной зоны от наружного воздуха при погрузочно-разгрузочных работах.
5.3.16 Над дверным проемом грузового отделения и в элементах крепления к кузову направляющих перемещения двери грузового отделения должен быть предусмотрен конструктивный элемент для отвода воды от дверного проема.
5.3.17 Двери и распашные ворота (при наличии) грузового отделения АРВ должны иметь несъемные приспособления для облегчения их открывания усилием одного человека из закрытого положения, а также их свободного перемещения.
Правила открывания и закрывания дверей и распашных ворот (при наличии) грузового отделения должны быть указаны в руководстве по эксплуатации АРВ.
Двери АРВ сдвижной или раздвижной конструкции должны иметь упоры амортизирующего типа, ограничивающие перемещение при полном открывании, или конструктивное исполнение дверей должно обеспечивать ограничение перемещения при полном открывании.
5.3.18 Машинное отделение должно иметь как минимум одну служебную дверь, и (или) распашные ворота, или съемное ограждение.
5.3.19 Служебная дверь (при наличии) должна открываться внутрь машинного отделения, оборудоваться замком и устройством пломбировки.
Допускается при согласовании с владельцем инфраструктуры открывание служебной двери наружу, при условии исключения возможности ее самопроизвольного открытия.
5.3.20 При наличии служебной двери в машинном отделении распашные ворота (при наличии) должны закрываться изнутри машинного отделения замковым механизмом, исключающим самопроизвольное открывание и несанкционированное проникновение.
При отсутствии служебной двери в машинном отделении распашные ворота должны быть оборудованы замковым механизмом для запирания ворот и исключения несанкционированного проникновения в машинное отделение, а также устройством для пломбирования.
5.3.21 Распашные ворота на торцевой стене (при наличии) при открывании должны распахиваться наружу, на угол не менее 90° относительно плоскости прилегания створок.
5.3.22 Распашные ворота (при наличии), на каждой створке с обеих сторон, должны иметь рукояти или поручни для открывания ворот с наружной стороны и для закрывания ворот изнутри. Створки ворот должны иметь фиксаторы их удержания в крайнем открытом положении.
При отсутствии служебной двери в машинном отделении распашные ворота допускается не оборудовать рукоятями или поручнями для закрывания ворот изнутри.
5.3.23 Места расположения и способы крепления оборудования следует проектировать таким образом, чтобы обеспечивались прочность закрепления и сохранность оборудования в эксплуатации при использовании АРВ по назначению.
5.3.24 Сварные стальные соединения кузова должны соответствовать требованиям
ГОСТ 33976.
5.4 Требования к системам энергообеспечения, охлаждения (нагрева), управления
5.4.1 Требования к термическому оборудованию
5.4.1.1 Холодильная установка должна:
- быть оборудована компрессором герметичного или полугерметичного исполнения;
- обеспечивать непрерывную работу;
- иметь производительность, обеспечивающую поддержание минимальной температуры во внутреннем объеме грузового отделения при максимальной наружной температуре при работе не менее 18 ч в сутки;
- быть полностью автоматизированной, включая оттаивание;
- иметь предохранительные устройства от чрезмерного давления;
- иметь защитные от замерзания элементы автоматического регулирования и управления;
- быть оборудована ручным управлением, расположенным в легкодоступном месте.
5.4.1.2 Отопительная установка должна отвечать требованиям, которые предъявляются к холодильной установке в части работоспособности и безопасности.
5.4.1.3 В конструкции с исполнением термического и энергетического оборудования, заключенного в одном кожухе, должна быть предусмотрена возможность его перемещения подъемно-транспортными средствами, а также его монтажа по месту установки.
5.4.1.4 Термическое оборудование должно соответствовать требованиям пожарной безопасности, взрывобезопасности, электробезопасности по
5.2.14,
5.2.16 и другим требованиям безопасности, установленным в эксплуатационных документах. Холодильное оборудование должно соответствовать безопасной эксплуатации сосудов, работающих под давлением
<*>.
--------------------------------
<*> В Российской Федерации эти требования установлены в
Правилах промышленной безопасности при использовании оборудования, работающего под избыточным давлением (утверждены приказом Федеральной службы по экологическому, технологическому и атомному надзору от 15 декабря 2020 г. N 536).
5.4.2 Требования к электрооборудованию
5.4.2.1 Электрооборудование должно обеспечивать работоспособность приводов и систем АРВ с учетом требований
ГОСТ 33798.1-2016 в части требований пунктов:
8.1.12 ("Электрическая прочность изоляции");
8.2.1.5 ("Электропитание от генератора, синхронного генератора или преобразователя тока с независимым приводом");
8.2.1.6 ("Электропитание от аккумуляторной батареи");
8.2.2 ("Превышение температуры");
8.2.4 ("Функционирование после неработоспособного состояния");
8.2.7 ("Диэлектрические свойства");
8.2.8 ("Коммутационное перенапряжение").
5.4.2.2 Питание электрических цепей управления, освещения (при наличии), системы безопасности, зарядки аккумуляторных батарей, датчиков контроля параметров силовой установки и т.д. должно быть осуществлено постоянным током.
5.4.2.3 Электрооборудование АРВ должно иметь заземление в соответствии с
5.2.17.
5.4.2.4 Все цепи электропитания должны иметь защиту от перегрузок и короткого замыкания.
Все разъемы цепей электропитания должны обеспечивать однозначность подключения и иметь соответствующую маркировку.
5.4.2.5 Токоведущие части электроустановки должны быть закрыты для незащищенного контакта с человеком, а доступные открытые и сторонние проводящие части не должны находиться под опасным для человека напряжением.
5.4.3 Требования к проводам и кабелям
5.4.3.1 Параметры, характеристики и свойства проводов и кабелей должны быть не ниже, чем предусмотрено
ГОСТ 33326.
5.4.3.2 Показатели пожарной опасности проводов и кабелей не должны уступать установленным в ГОСТ 33326-2015 (
пункты 6.3.1,
6.3.2,
6.3.4).
5.4.3.3 Требования к проводам и кабелям по стойкости к климатическим факторам внешней среды должны быть не ниже требований
ГОСТ 15543.1.
5.4.3.4 Провода для подсоединения к подвижным токоприемникам должны быть стойкими к изгибам с одновременным закручиванием при температуре минус 60 °C, к вибрации и многократным ударам по
ГОСТ 30631 для группы механического исполнения М25.
5.4.4 Если в качестве привода для энергетического оборудования использован двигатель внутреннего сгорания, должны быть выполнены следующие условия:
- двигатель должен работать на топливе с температурой вспышки не ниже 30 °C;
- при минимальном уровне топлива в баке двигатель должен автоматически отключаться, без повторного пуска;
- двигатель должен свободно запускаться при температуре минус 10 °C без использования предпускового подогревателя;
- при наличии машинного отделения отвод отработавших газов должен производиться за пределы кузова (машинного отделения);
- конструкция двигателя должна исключать свободный вылет искр через систему отвода отработавших газов. В случае отсутствия таких конструктивных особенностей АРВ должен быть оборудован искрогасителями на выходном патрубке или другими устройствами, обеспечивающими искрогашение при его работе.
5.4.5 Использование систем охлаждения и холодильных агентов с учетом категории помещений - в соответствии с
ГОСТ 32968 и
ГОСТ 12.2.233.
5.4.6 Розетки и вилки должны иметь степень защиты IP67 по
ГОСТ 14255.
5.4.7 Организация искусственного освещения в грузовом и машинном отделениях АРВ (при наличии) должна соответствовать требованиям нормативных документов государств, проголосовавших за принятие настоящего стандарта
<*>.
--------------------------------
<*> В Российской Федерации - по
СП 52.13330.2016 "Естественное и искусственное освещение" (утвержден приказом Министерства строительства и жилищно-коммунального хозяйства Российской Федерации от 7 ноября 2016 г. N 777/пр);
ГОСТ Р 56852-2016 "Освещение искусственное производственных помещений объектов железнодорожного транспорта. Нормы и методы контроля".
5.4.8 Оборудование АРВ не должно создавать электромагнитных помех, оказывающих влияние на работоспособность объектов инфраструктуры железнодорожного транспорта и эксплуатируемого на ней железнодорожного подвижного состава. Требования электромагнитной совместимости оборудования АРВ - по ГОСТ 33436.3-1-2015 (
пункт 4.1 и
раздел 6).
5.4.9 Требования к устройствам управления, контроля и безопасности
5.4.9.1 При наличии в АРВ систем управления, контроля и безопасности должны быть предусмотрены средства сигнализации и информирования, предупреждающие о нарушениях исправного состояния оборудования.
Устройства управления, контроля и безопасности должны соответствовать требованиям
ГОСТ 33435, при этом они должны быть изготовлены в виде функциональных блоков (модулей) с представлением информации на пульт управления.
5.4.9.2 Перечень устройств управления, контроля и безопасности, включая аппаратные и программные средства, устанавливают в КД на АРВ конкретного типа.
5.4.9.3 Допускается установка систем диагностики и дистанционного управления термического оборудования и энергообеспечения.
5.4.9.4 Глобальные навигационные спутниковые системы для наземных подвижных объектов (при наличии) должны соответствовать требованиям
ГОСТ 31380.
Устройства дистанционного мониторинга должны соответствовать нормативным документам государств, проголосовавших за принятие настоящего стандарта
<**>.
--------------------------------
<**> В Российской Федерации применяют
ГОСТ Р 56941-2016/EN 13486:2001 "Регистраторы температуры и термометры, используемые при транспортировании, хранении и распределении охлажденной, замороженной и глубокой/быстрой заморозки пищевой продукции и мороженого. Периодическая верификация".
5.4.10 Количество датчиков оценки состояния АРВ и их размещение должны обеспечивать необходимую точность измерений.
Датчики должны исключать возможность их механического повреждения или должны быть конструктивно защищены.
5.4.11 Изготовление, монтаж, наладка и испытания электрооборудования АРВ должны соответствовать требованиям нормативных документов государств, проголосовавших за принятие настоящего стандарта
<***> и
ГОСТ 12.1.004.
--------------------------------
<***> В Российской Федерации применяют действующие главы и разделы
Правил устройства электроустановок (издание шестое) (утверждены Главтехуправлением, Госэнергонадзором Минэнерго СССР 5 октября 1979 г.) и
Правил устройства электроустановок (издание седьмое) (утверждены приказом Министерства энергетики Российской Федерации от 8 июля 2002 г. N 204).
5.4.12 АРВ должен быть оборудован аккумулятором (батареей) в соответствии с
ГОСТ 27174 или соответствовать требованиям нормативных документов государств, проголосовавших за принятие настоящего стандарта.
5.4.13 С целью обеспечения пожарной безопасности двигатель должен соответствовать следующим требованиям:
- температура нагрева поверхности выпускной системы или ее защитных кожухов должна составлять не более 80% наименьшей температуры самовоспламенения применяемого топлива;
- температура отработавших газов, измеренная на верхнем контуре габарита очертания АРВ по
ГОСТ 9238 в месте выхода отработавших газов, должна быть не выше 400 °C.
5.4.14 Для предотвращения аварийной ситуации электрооборудование АРВ должно иметь устройства (элементы) для отключения (размыкания) электрических цепей, а термическое и энергетическое оборудование - устройства для оперативного отключения, расположенные в доступном месте.
5.4.15 Электрооборудование АРВ должно соответствовать требованиям безопасности конструкции электротехнических устройств по
ГОСТ 12.2.007.3.
5.4.16 Конструкция оборудования и его отдельных частей должна исключать возможность их падения, опрокидывания и самопроизвольного смещения при всех предусмотренных условиях эксплуатации и монтажа (демонтажа).
5.5 Требования к вспомогательному и специальному оборудованию
5.5.1 Конструкция топливного бака и охлаждающего устройства двигателя энергетического оборудования должна обеспечивать возможность очистки и дозаправки (при необходимости) без необходимости нахождения обслуживающего персонала на крыше АРВ.
Топливный бак должен иметь указатель уровня топлива, а его конструкция - обеспечивать возможность проверки уровня топлива в баке.
5.5.2 Конструкция топливного бака должна иметь возможность дозаправки через заправочную горловину.
5.5.3 Вместимость топливного бака должна обеспечивать расчетную автономность АРВ в соответствии со сроком, установленным в
перечислении д) 4.2.
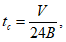
Расчетную автономность АРВ tc, сут, вычисляют по формуле

(1)
где V - объем топливного бака, л;
24 - количество часов в сутках;
B - средний расход топлива при работе энергетической установки, л/ч (принимают по данным производителя с учетом температуры наружного воздуха и при непрерывном режиме работы).
5.5.4 Топливный бак и емкости для хранения горюче-смазочных материалов не должны устанавливаться на крыше и в грузовом отделении АРВ.
5.5.5 Для оборудования, расположенного на открытом воздухе (силовых кабелей, устройств питания от внешнего источника и другого оборудования), при необходимости, должны быть предусмотрены конструктивные решения по
5.2.7.
5.5.6 Все движущиеся, вращающиеся и нагревающиеся части оборудования, к которым возможен доступ работников, должны быть ограждены (теплоизолированы) или расположены таким образом, чтобы исключалась возможность травмирования работников.
5.5.7 В машинном отделении, содержащем энергетическую установку, в легкодоступном месте должно быть предусмотрено устройство для крепления огнетушителя. Конструкция устройства должна обеспечивать снятие (и установку) огнетушителя без применения инструмента.
5.5.8 Конструкцией энергетического оборудования может быть предусмотрена возможность его оснащения предпусковым подогревателем для обеспечения запуска двигателя без подведения внешних источников энергии. По согласованию с заказчиком допускается не оснащать предпусковым подогревателем энергетическое оборудование в случае обеспечения его конструкцией необходимого диапазона температур запуска двигателя.
5.6 Требования к материалам, комплектующим и покрытиям
5.6.1 Требования к материалам и комплектующим
5.6.1.1 Для изготовления элементов несущей конструкции кузова (балок, стоек, раскосов, обвязок, несущих панелей), каркасов крыши, рычагов и тяг тормозной рычажной передачи рекомендуется применять стальной прокат по
ГОСТ 19281.
5.6.1.3 Материалы, применяемые для внутренней обшивки грузового отделения АРВ, должны быть допущены для контакта с пищевыми продуктами, должны выдерживать применение механизированной мойки и быть стойкими к дезинфекции в течение назначенного срока эксплуатации АРВ, а также должны быть согласованы с соответствующими надзорными органами.
5.6.1.4 Для изготовления внутренней обшивки грузового помещения, непосредственно контактирующей с перевозимыми скоропортящимися грузами, следует применять прокат по
ГОСТ 5582,
ГОСТ 14918, прокат с цинковым или цинкалюмомагниевым покрытием, оцинкованную сталь или армированный пластик с учетом требований
5.6.1.3.
5.6.1.5 Допускается для изготовления узлов и деталей внутреннего оборудования грузового помещения применять другие марки стали с пределом текучести не ниже 215 Н/мм2, не имеющие склонности к межкристаллитной коррозии при сварке, а также алюминиевые сплавы с пределом текучести не ниже 165 Н/мм2, допущенные для контакта с пищевыми продуктами.
Допускается изготовление внутренней обшивки стен с применением других неметаллических материалов, допущенных для контакта с пищевыми продуктами с учетом требований
5.6.1.3.
5.6.1.6 Теплоизоляционный материал должен относиться к группе горючести Г1 - Г3 по
ГОСТ 30244. Допускается применение теплоизоляционного материала, относящегося к группе горючести Г4 с добавлением специальных антипиреновых добавок или, после обработки специальным огнезащитным составом для обеспечения соответствия, к группе горючести Г3 по
ГОСТ 30244.
Теплоизоляционный материал должен обладать биологической устойчивостью к воздействию микроорганизмов, гниению, образованию плесени и впитыванию запахов.
5.6.1.7 Уплотнители дверей грузового отделения должны быть изготовлены из материала, характеристики которого соответствуют климатическому исполнению по
5.1.2, а также не изменяются после воздействия температуры не выше 50 °C при промывочных операциях. Материалы, предназначенные для изготовления уплотнителей, должны оставаться устойчивыми как к воздействию температуры, так и к механическим воздействиям, которым они подвергаются.
5.6.1.8 Между металлическими элементами силового каркаса рамы, боковых и торцевых стен, крыши, пола и внутренней обшивкой грузового помещения должны быть установлены элементы из теплоизоляционных материалов, препятствующие прямой передаче наружной температуры (тепловой мостик) внутрь грузового помещения. Допускается применение деталей из композиционных материалов или древесины.
5.6.1.9 Стальные литые детали АРВ изготавливают по
ГОСТ 977, автосцепного устройства, кроме деталей поглощающего аппарата, - по
ГОСТ 22703. Требования к литым приварным деталям - по
ГОСТ 33976.
5.6.1.11 Детали из дерева должны быть изготовлены из хвойных или лиственных пород древесины по ГОСТ 3191.
5.6.1.12 Для предохранения от гниения детали из древесины должны быть поверхностно антисептированы по
ГОСТ 20022.6, а также обработаны огнезащитным составом (антипиренами) методом покрытия или глубокой пропитки.
5.6.1.13 Завесы (при наличии) должны быть изготовлены из влагостойкого нетоксичного материала.
5.6.1.14 Допускается для изготовления кузовов АРВ и их элементов применение иных, чем указано в
5.6.1.1,
5.6.1.2, материалов при условии выполнения других требований настоящего стандарта.
5.6.1.15 Крепежные детали (болты, гайки, заклепки, шайбы, шпильки, шплинты) должны быть установлены в КД на АРВ и обеспечивать прочность соединения.
Болты, гайки, шайбы и другие детали элементов креплений внутри грузового отделения должны быть изготовлены из коррозионно-стойких и нержавеющих материалов.
Допускается изготовление из оцинкованных железоуглеродистых сплавов. Толщина защитного металлического покрытия не должна быть менее 16 мкм.
Крепежные изделия должны соответствовать требованиям технической документации. Концы болтов (на которые не ставят шплинты) должны выходить из гайки не менее чем на две нитки и не более чем на величину диаметра болта, кроме тех болтов, длина которых необходима для регулирования размеров деталей и узлов АРВ по рабочим чертежам. Угол между разведенными концами шплинтов должен составлять не менее 90°.
5.6.1.16 Материалы, используемые при изготовлении АРВ, напрямую или опосредованно (например, через летучие газовые испарения) контактирующие с грузом, должны иметь санитарно-эпидемиологические заключения о безопасности их применения при перевозках пищевых грузов.
5.6.2 Тип смазки и необходимость ее применения указывают в КД на АРВ при условии выполнения изложенного в
5.1.2.
5.6.3 Требования к лакокрасочным покрытиям
5.6.3.1 Наружные и внутренние поверхности АРВ, кроме внутренних поверхностей грузового отделения и мест, специально предусмотренных в КД, должны иметь защитное покрытие. Допускается нанесение защитного лакокрасочного покрытия на внутренние поверхности грузового отделения при условии выполнения требований
5.6.1.3 и обеспечения достаточной прочности защитного покрытия от всех видов воздействий, возникающих при эксплуатации.
Допускается окраска наружных поверхностей кузовов вагонов в фирменном (корпоративном) стиле с соблюдением требований
положения [2].
5.6.3.2 Поверхности деталей и сборочных единиц, не доступные для окрашивания в собранном виде, окрашивают до сборки.
5.6.3.3 Подготовка металлических поверхностей к нанесению лакокрасочных покрытий - по
ГОСТ 9.402, требования к лакокрасочным покрытиям - по
ГОСТ 7409,
ГОСТ 23846 и КД.
5.7 Требования к прочности, динамическим качествам, сцепляемости и воздействию на путь и тормозным показателям
5.7.1 Конструкция АРВ должна обеспечивать соответствие требованиям
ГОСТ 33211 <*> следующих показателей:
а) напряжения при квазистатическом нагружении;
б) напряжения при соударениях;
в) напряжения при проведении погрузочно-разгрузочных работ;
г) коэффициент запаса сопротивления усталости;
д) коэффициент запаса устойчивости колеса от схода с рельсов;
е) коэффициент запаса устойчивости колеса от схода с рельсов при выжимании;
ж) коэффициент запаса устойчивости от опрокидывания;
и) отношение рамной силы к статической осевой нагрузке не хуже уровня оценки "Допустимый" по ГОСТ 33211-2014
(таблица 14);
к) коэффициент динамической добавки обрессоренных и необрессоренных частей не хуже уровня оценки "Допустимый" по ГОСТ 33211-2014
(таблица 14);
л) вертикальное и боковое ускорение обрессоренных частей не хуже уровня оценки "Допустимый" по ГОСТ 33211-2014
(таблица 14);
м) автоматическое сцепление и проход сцепленными вагонами кривых участков пути;
н) обеспечение прохода вагонов в сцепе сортировочной горки и аппарельного съезда парома,
при этом для АРВ, оборудованных тележками по
ГОСТ 34763.1, требования к показателям по
перечислениям д),
и),
к) (коэффициент запаса устойчивости колеса от схода с рельсов, отношение рамной силы к статической осевой нагрузке, коэффициенты динамической добавки) принимают по
ГОСТ 34763.1.
--------------------------------
<*> Рекомендуется дополнительно к соблюдению требований настоящего стандарта руководствоваться требованиями Норм для расчета и проектирования вагонов железных дорог МПС колеи 1520 мм (несамоходных), ГосНИИВ-ВНИИЖТ. - М., 1996 г.
Крепление термического и энергетического оборудования к кузову АРВ должно выдерживать без повреждений продольную инерционную нагрузку по
ГОСТ 33211 и нагрузки, возникающие при проведении погрузочно-разгрузочных работ.
5.7.2 Максимальная статическая погонная нагрузка от АРВ на железнодорожный путь должна соответствовать нормативным документам государств, проголосовавших за принятие настоящего стандарта
<**>, но не должна превышать 102,9 кН/м.
--------------------------------
5.7.3 Максимальная расчетная статическая осевая нагрузка не должна превышать допускаемую максимальную расчетную статическую осевую нагрузку для используемого типа тележки.
5.7.4 Динамическая погонная нагрузка от тележек АРВ на железнодорожный путь и предельно допустимые силы по воздействию АРВ на железнодорожный путь должны соответствовать требованиям
ГОСТ 34759.
5.7.5 Тормозная система АРВ должна обеспечивать тормозные пути в порожнем и груженом состояниях АРВ в соответствии с
ГОСТ 34434.
5.7.6 Ручной стояночный тормоз должен обеспечивать предотвращение самопроизвольного ухода АРВ, загруженного до максимальной грузоподъемности, с места стоянки в соответствии с
ГОСТ 32880.
5.8 Требования надежности
5.8.1 В технических условиях на конкретную модель АРВ должны быть указаны следующие значения показателя надежности:
- гамма-процентный ресурс от постройки до деповского ремонта, определенный при вероятности

не менее 95%;
- гамма-процентный ресурс между плановыми ремонтами, определенный при вероятности

не менее 95%;
- гамма-процентный ресурс от постройки до капитального ремонта, определенный при вероятности

не менее 90%.
Примечание - Значения показателя характеризуют наработку АРВ, в течение которой он не достигнет предельного состояния применительно к каждому из видов планового ремонта или списания по деградационным отказам, отказам конструктивного или производственного характера при вероятности

, выраженной в процентах.
5.8.2 Численные значения показателя надежности по
5.8.1 должны быть установлены с учетом
ГОСТ 27.301 на стадии проектирования АРВ на основе технических требований и (или) анализа показателей надежности вагонов других моделей, находящихся в эксплуатации.
5.9 Требования эргономики
Выключатели и переключатели поворотные должны соответствовать требованиям
ГОСТ 22613, клавишные и кнопочные -
ГОСТ 22614, выключатели и переключатели типа "Тумблер" -
ГОСТ 22615.
В систему регулирования электрооборудования должны входить легко управляемые переключатели с четкими обозначениями рабочего и нерабочего состояний системы, находящиеся на наружной поверхности.
Органы управления электрическим оборудованием должны быть удобно расположены, легки в обслуживании и должны иметь соответствующее ограждение от механических повреждений.
Усилие на штурвале стояночного тормоза не должно превышать расчетной силы от максимального момента, приложенного к оси штурвала, по
ГОСТ 32880.
Усилия, прилагаемые к рычагам управления механизмами АРВ, должны соответствовать
ГОСТ 21753.
Форма, размеры и расположение органов управления тормозами АРВ и сцепными устройствами, устанавливаемых на АРВ, должны быть унифицированными для применения на подвижном составе владельца инфраструктуры.
5.10 Требования к маркировке
5.10.1 АРВ должны иметь следующую маркировку:
- единый знак обращения
<*>;
- условный номер изготовителя по справочнику
[3], а также его наименование и (или) товарный знак;
- порядковый номер АРВ по системе нумерации изготовителя или сетевой номер (при наличии);
- дату изготовления (обозначается арабскими цифрами по форме ДД.ММ.ГГГГ);
- грузоподъемность АРВ, т;
- массу тары экипированного и неэкипированного АРВ, т;
- внутренний объем грузового отделения, м3.
Примечание - Количество знаков после запятой для грузоподъемности, массы тары и объема кузова устанавливают в технических условиях;
- конструкционную скорость, км/ч;
- код государства-собственника по классификатору
[4];
- надписи о датах (или датах и пробеге) последующих плановых ремонтов (даты обозначаются арабскими цифрами по форме ДД.ММ.ГГГГ);
- надпись "Авторежим" и надписи расчетной силы нажатия тормозных колодок на ось в пересчете на чугунные колодки, тс, и интервала необходимого давления воздуха в тормозных цилиндрах (кгс/см2 - без указания размерности или МПа - с указанием размерности) при полном служебном торможении порожнего АРВ и груженого АРВ;
- обозначение мест, предназначенных для домкрата;
--------------------------------
<*> Для вагонов, предназначенных для обращения на рынке государств - членов Евразийского экономического союза.
5.10.2 На кузове каждого АРВ должен быть установлен (нанесен) предупреждающий знак опасности поражения электрическим током.
5.10.3 На металлическую табличку, приваренную на наружной поверхности хребтовой или боковой балки АРВ, наносят:
- порядковый номер АРВ по системе нумерации изготовителя;
- условный номер изготовителя по справочнику
[3], а также его наименование или товарный знак;
- модель АРВ;
- марку материала хребтовой балки;
- дату изготовления (обозначается арабскими цифрами по форме ДД.ММ.ГГГГ).
Информация на табличку должна быть нанесена с высотой шрифта не менее 10 мм способом литья, давления, ударным или иным способом.
Металлическая табличка с нанесенной информацией должна сохраняться на АРВ в течение всего срока службы.
5.10.4 Единый знак обращения
<*> наносят на отдельную табличку или на элемент АРВ с расположением в непосредственной близости к металлической табличке по
5.10.3. Места расположения маркировки, указанной в
5.10.1, установленные
альбомом [5], должны соответствовать
альбому [5].
--------------------------------
<*> Для вагонов, предназначенных для обращения на рынке государств - членов Евразийского экономического союза.
5.10.5 Допускается наносить дополнительную маркировку, согласованную с заказчиком и железнодорожной администрацией (владельцем инфраструктуры), страны приписки АРВ с соблюдением требований положения
[5].
5.10.6 Места установки таблички, размеры и способ нанесения маркировки и дополнительных знаков и надписей указываются в КД.
Способ нанесения маркировки должен обеспечивать ее четкость и обеспечивать их читаемость без применения специальных средств увеличения.
5.10.7 Описание маркировки должно быть приведено и пояснено в руководстве по эксплуатации АРВ.
5.11 Требования к комплектности
5.11.1 В комплект поставки АРВ должны входить:
- АРВ;
- технический паспорт на АРВ по форме, установленной железнодорожной администрацией, с указанием массы тары экипированного вагона;
- копия документа об обязательном подтверждении соответствия АРВ или копия заменяющего его документа;
- копия руководства по эксплуатации по
ГОСТ 2.601.
5.11.2 Допускается по согласованию с заказчиком копии документов об обязательном подтверждении соответствия и руководства по эксплуатации прилагать в одном экземпляре на отправляемую заказчику партию АРВ.
5.11.3 Ремонтные документы разрабатывают в соответствии с
ГОСТ 2.602. Перечень передаваемых ремонтных документов, а также сроки их поставки устанавливают в договоре между владельцем ремонтных документов и заказчиком.
Примечание - В качестве заказчика может выступать покупатель или собственник подвижного состава, ремонтная организация или иные лица, заинтересованные в получении ремонтных документов.
5.11.4 Эксплуатационную документацию на составные части АРВ (тележки, автосцепное устройство, автоматический и стояночный тормоза, оборудование обеспечения функционирования в автономном режиме работы) предоставляют в количестве, согласованном с заказчиком.
5.11.5 В комплект поставки оборудования системы энергоснабжения, термического оборудования и системы управления, при необходимости, должен входить комплект запасных частей, специального инструмента и приспособлений для обеспечения их эксплуатации в соответствии с руководством по эксплуатации на данное оборудование.
5.11.6 По требованию заказчика АРВ поставляют с комплектом принципиальных схем электрооборудования.
5.12 Требования к консервации и упаковке
5.12.1 В случае длительного хранения АРВ рабочие механизмы и трущиеся места следует законсервировать в соответствии с требованиями
ГОСТ 9.014.
5.12.2 АРВ упаковке не подлежит.
6 Требования охраны труда и окружающей среды
6.1 Требования охраны труда
6.1.1 Знаки безопасности (запрещающие, предупреждающие, предписывающие) об электрической опасности должны соответствовать требованиям
ГОСТ 12.4.026.
Предупреждающие и запрещающие знаки и надписи должны быть нанесены в местах, обозримых обслуживающим персоналом.
6.1.2 Электрооборудование АРВ должно соответствовать требованиям безопасности по воздействию на человека по
ГОСТ 12.2.007.0.
6.1.3 Меры предосторожности против риска поражения электрическим током от оборудования или его возгорания при контакте - согласно
ГОСТ 33322.
6.1.4 Для предотвращения травмирования обслуживающего персонала выступающие детали конструкции АРВ и оборудования не должны иметь острых ребер, кромок и углов.
6.2 Требования охраны окружающей среды
6.2.1 Значения удельных средневзвешенных выбросов вредных веществ в отработавших газах двигателя не должны превышать значений по
ГОСТ 31967.
6.2.2 В холодильном оборудовании АРВ необходимо применять хладагенты категории В по
ГОСТ 32968. Требования по применению, извлечению и утилизации по
ГОСТ 32968 и других нормативных и технических документов в области промышленной и экологической безопасности и охраны труда государств, проголосовавших за принятие настоящего стандарта.
6.2.3 Составные части АРВ подлежат сортировке по материалам, переработке или сдаче в утилизацию в специализированные организации в соответствии с действующим законодательством.
7.1 Для контроля соответствия АРВ требованиям настоящего стандарта следует проводить приемо-сдаточные, периодические и типовые испытания в соответствии с
ГОСТ 15.309, приемочные и квалификационные испытания по
ГОСТ 15.902. Контролируемые показатели, объем испытаний и методы контроля АРВ приведены в
таблице 1, а также в
7.8 -
7.11.
Наименование показателя | Вид испытаний | Структурный элемент стандарта |
| | Приемо-сдаточные | Периодические | технических требований и охраны труда | методов контроля |
1 Масса тары АРВ (экипированного и неэкипированного) | - | - | + | - | | |
2 Максимальная расчетная статическая осевая нагрузка | + | - | - | - | | |
3 Длина по осям сцепления автосцепок | + | + | - | + | | |
4 Конструкционная скорость | + | - | - | - | | |
5 Наличие параметров, размеров и показателей в технических условиях и руководстве по эксплуатации | + | - | - | - | | |
6 База АРВ | + | + | - | + | | |
7 Вписывание в габарит | - | - | + | - | | |
8 Климатическое исполнение | + | + | - | - | | |
9 Сохранение работоспособного состояния при повышении температуры | + | - | - | - | | |
10 Отсутствие не предусмотренных конструкцией АРВ касаний составных частей | + | - | - | - | | |
11 Обеспечение безопасности работ, сохранности груза и отсутствия повреждений АРВ при погрузочно-разгрузочных и маневровых работах | + | - | - | - | | |
12 Наличие устройств автоматической идентификации бортового номера, колесных пар, литых деталей и других составных частей <2>; устройств навигации для глобального позиционирования и обеспечения возможности дистанционного мониторинга состояния АРВ <2> | - | - | + | - | | |
13 Наличие устройств механизации и автоматизации погрузочно-разгрузочных работ <2> | - | - | + | - | | |
14 Коэффициент запаса сопротивления усталости при заданном назначенном сроке службы вагона | + | - | - | - | | |
15 Наличие составных частей АРВ, установки тележек, тормозного оборудования | - | - | + | - | | |
16 Наличие систем и устройств для поддержания автономного режима работы АРВ и их расположение | - | - | + | - | | |
17 Наличие мест для установки домкратов, тяговых кронштейнов и кронштейнов для установки хвостовых сигнальных устройств | - | - | + | - | | |
18 Наличие и расположение подножек, поручней и помостов, переходной площадки | - | - | + | - | | |
19 Размеры подножек, поручней и помостов <2> | + | + | - | + | | |
20 Высота ограждения переходной площадки <2> | + | - | - | - | | |
21 Наличие завес, защитных устройств | - | - | + | - | | |
22 Расстояние от уровня головок рельсов до уровня оси автосцепки | - | - | + | - | | |
23 Установочная высота боковых скользунов постоянного контакта или зазоры между рабочей поверхностью боковых скользунов зазорного типа и ответной поверхностью боковых опор кузова | - | - | + | - | | |
24 Значение общего коэффициента теплопередачи грузового отделения (помещения) кузова АРВ (коэффициент К) | + | - | - | - | | |
25 Эффективность работы холодильно-отопительного (термического) оборудования АРВ | + | - | - | - | | |
26 Исполнение требований к конструкции внутренней обшивки грузового отделения | - | - | + | - | | |
27 Наличие напольных решеток и проверка работоспособности механизмов <2> | - | - | + | - | | |
28 Наличие дренажных устройств и их работоспособность | - | - | + | - | | |
29 Наличие дверей, упоров дверей, работоспособность механизмов дверей и их запорных устройств и ограничителей <2> | - | - | + | - | | |
30 Правильность установки элементов конструкций с теплоизоляционным материалом, мест их расположения и способов креплений к ним прочих элементов конструкций | - | - | + | - | | |
31 Выполнение требований к термическому оборудованию и аккумулятору (батарее) | + | - | - | - | | |
32 Выполнение требований к электрооборудованию | + | - | - | - | | |
33 Вместимость топливного бака: | | | | | | |
- способом налива; | + | - | - | - | | |
- расчетным методом | - | + | - | - | | |
34 Оценка электромагнитной совместимости электрооборудования | + | - | - | - | | |
35 Выполнение требований к системам управления, контроля и безопасности <2> | + | - | - | - | | |
36 Наличие вспомогательного и специального оборудования | - | - | + | - | | |
37 Подтверждение возможности заправки топливом | + | - | - | - | | |
38 Выполнение требований к материалам и комплектующим | + | + | - | + | | |
39 Наличие смазки | - | - | + | - | | |
40 Выполнение требований к покрытиям | - | - | + | - | | |
41 Показатели прочности АРВ | + | - | - | - | | |
42 Показатели динамических качеств АРВ | + | - | - | - | | |
43 Показатели сцепляемости АРВ | + | - | - | - | | |
44 Статическая погонная нагрузка | + | - | - | - | | |
45 Динамическая погонная нагрузка от тележек и предельно допустимые силы по воздействию АРВ на железнодорожный путь | + | - | - | - | | |
46 Выполнение требований по установленным значениям показателя надежности | - | - | - | + | | |
47 Требования эргономики | + | - | - | - | | |
48 Маркировка, знаки безопасности | - | - | + | - | | |
49 Наличие сведений в эксплуатационной документации | + | - | - | - | | |
50 Показатели безопасности электрооборудования | + | - | - | - | | |
51 Уровень внешнего шума | + | - | - | - | | |
52 Обеспечение требований стойкости, пожаровзрывобезопасности веществ и материалов | + | - | - | - | | |
53 Обеспечение требований пожарной безопасности | + | - | - | - | | |
| | ИС МЕГАНОРМ: примечание. Текст в шестой графе дан в соответствии с официальным текстом документа. | |
|
54 Обеспечение требований электробезопасности (ограждение, заземление, изоляция токоведущих частей, защитное отключение и др.) | + | - | - | - | | |
55 Обеспечение безопасности обслуживающего персонала и доступ к оборудованию | + | - | - | - | | |
56 Отсутствие острых кромок и углов | + | + | - | + | | |
57 Наличие устройств, предотвращающих падение составных частей АРВ на путь и выход их из габарита АРВ (нижнее очертание) | - | - | + | - | | |
58 Предотвращение падения составных частей АРВ на путь и их прочность | + | - | - | - | | |
59 Выполнение требований к поверхности подножек, ступеней лестниц, мест установки домкратов, переходной площадки <2> | - | - | + | - | | |
60 Предохранение крепления | - | - | + | - | | |
61 Наличие защитных устройств движущихся и нагревающихся частей оборудования | - | - | + | - | | |
62 Защита от механических воздействий электроприводов и электропроводов | - | - | + | - | | |
63 Безопасность работы термического оборудования | + | - | - | - | | |
64 Наличие искусственного освещения <2> | + | - | + | - | | |
65 Предотвращение загрязнения окружающей среды | + | - | - | - | | |
66 Комплектность поставки | - | - | - | + | | |
67 Выполнение требований к машинному отделению | + | - | - | - | | |
<1> Приведен рекомендуемый минимальный перечень контролируемых технических требований для приемочных и квалификационных испытаний. Окончательный перечень контролируемых технических требований указывают в программе испытаний (см. 7.7). <2> Испытание или проверку выполняют в том случае, если оборудование предусмотрено в конструкции АРВ (составной части АРВ) или требование распространено на данный АРВ (составную часть АРВ). Примечание - Знак "+" в данной таблице означает необходимость проведения испытания или проверки; знак "-" - отсутствие такой необходимости. |
7.2 Контроль качества сварных соединений по
5.3.24 выполняют при производственном контроле в течение всего производственного цикла, на всех этапах изготовления сварных конструкций по
8.28.
7.3 Приемо-сдаточным испытаниям следует подвергать каждый АРВ на соответствие требованиям стандарта и технических условий на АРВ конкретной модели.
7.4 Периодическим испытаниям подвергают один вновь изготовленный АРВ на соответствие требованиям настоящего стандарта. Периодические испытания проводят не реже, чем один раз в пять лет.
7.5 Типовым испытаниям подвергают АРВ после внесения в конструкцию или технологию их изготовления тех изменений, которые могут повлиять на технические характеристики, связанные с безопасностью для жизни, здоровья или имущества граждан, либо на эксплуатацию АРВ, в том числе на наиболее значимые потребительские свойства АРВ или соблюдение условий охраны труда или окружающей среды.
Типовые испытания проводят по утвержденной программе. Решение о проведении типовых испытаний принимает изготовитель по согласованию с держателем подлинника КД и заказчиком (при наличии).
7.6 Отбор образцов для периодических испытаний, а также для целей обязательного подтверждения соответствия
<*> проводят методом с применением случайных чисел или отбора "вслепую" в соответствии с ГОСТ 18321-73
<*> (
подразделы 3.2 и
3.4) из числа АРВ, прошедших приемо-сдаточные испытания.
--------------------------------
<*> Обязательное подтверждение соответствия вагонов требованиям технических регламентов Евразийского экономического союза, для обращения вагонов на рынке государств - членов Евразийского экономического союза.
--------------------------------
<*> В Российской Федерации - по
ГОСТ Р 50779.12-2021 "Статистические методы. Статистический контроль качества. Методы случайного отбора выборок штучной продукции".
7.7 Приемочные и квалификационные испытания АРВ проводят по утвержденным программам, разработанным в соответствии с
ГОСТ 15.902. Количество опытных образцов для приемочных испытаний и образцов для квалификационных испытаний - не менее одного.
Приемочным и квалификационным испытаниям подвергают АРВ, прошедший приемо-сдаточные испытания.
7.10 Выполнение требований к надежности по каждому установленному значению показателя по
5.8.1 проверяют в ходе периодических испытаний, к дате проведения которых зафиксировано достижение минимальным числом АРВ соответствующего вида ремонта или списания, и далее на каждых последующих периодических испытаниях. Значение минимального числа АРВ определяют по ГОСТ 34632-2020 (
пункты 5.3.1 и
5.3.2).
7.11 Все электрооборудование, вновь вводимое в эксплуатацию, должно быть подвергнуто приемочным, приемо-сдаточным испытаниям в соответствии с требованиями нормативных документов государств, проголосовавших за принятие настоящего стандарта
<**>.
Заключение о пригодности оборудования к эксплуатации дается на основании результатов всех испытаний и измерений, относящихся к данной единице оборудования.
Все измерения, испытания и опробования в соответствии с инструкциями заводов-изготовителей и правил электроустановок
<**>, проведенные персоналом монтажных наладочных организаций непосредственно перед вводом электрооборудования в эксплуатацию, должны быть оформлены соответствующими актами и/или протоколами.
--------------------------------
<**> В Российской Федерации применяют главы и разделы
Правил устройства электроустановок (издание шестое) (утверждены Главтехуправлением, Госэнергонадзором Минэнерго СССР 5 октября 1979 г.) и
Правил устройства электроустановок (издание седьмое) (утверждены приказом Министерства энергетики Российской Федерации от 8 июля 2002 г. N 204).
7.12 Контроль теплоизоляционных свойств АРВ, характеризуемых значением общего коэффициента теплопередачи грузового отделения АРВ (коэффициент К), и контроль эффективности работы его холодильно-отопительного (термического) оборудования (см.
4.1) должны проводиться в закрытом помещении. Испытания должны проводиться по программе и методике испытаний, утвержденным разработчиком и согласованным заказчиком АРВ и владельцем инфраструктуры, организациями, имеющими специализированные средства измерений и квалифицированный персонал.
По согласованию с заказчиком испытания должны проводиться на испытательных станциях в соответствии с
соглашением [1] в климатических камерах. Оформление результатов - в соответствии с требованиями, установленными
соглашением [1].
Испытания проводят при условии, что АРВ удовлетворяет требованиям по
8.20.
7.13 Результаты испытаний считают отрицательными, а АРВ - не выдержавшими испытания, если в ходе испытаний установлено несоответствие АРВ минимум одному требованию, заданному для испытаний данного вида. При несоответствии результатов испытаний какому-либо требованию принимают меры по устранению недостатков конструкции или технологии, после чего проводят повторные испытания по этому требованию до тех пор, пока не будут получены положительные результаты.
7.14 Результаты приемо-сдаточных, периодических и типовых испытаний оформляют по
ГОСТ 15.309, результаты приемочных и квалификационных испытаний - по
ГОСТ 15.902.
7.15 В случае принятия решения о проведении инспекторского контроля потребителем или изготовителем АРВ процедура проведения инспекторского контроля АРВ должна соответствовать установленной
ГОСТ 32894.
8.1 Условия проведения испытаний - по ГОСТ 33788-2016
(раздел 7).
8.2 Требования безопасности и охраны труда при подготовке и проведении испытаний - по ГОСТ 33788-2016
(раздел 11).
8.3 Средства измерений должны быть поверены и/или калиброваны, испытательное оборудование должно быть аттестовано в соответствии с действующим законодательством
<*>. Средства допускового контроля подлежат метрологическому обслуживанию в порядке, установленном их владельцем.
--------------------------------
<*> В Российской Федерации - в соответствии с Федеральным
законом от 26 июня 2008 г. N 102-ФЗ "Об обеспечении единства измерений" и
ГОСТ Р 8.568-2017 "Государственная система обеспечения единства измерений. Аттестация испытательного оборудования. Основные положения".
- не более +/- 50 кг при массе тары АРВ до 40 т включительно;
- не более +/- 60 кг при массе тары АРВ от 40 до 50 т включительно;
- не более +/- 75 кг при массе тары АРВ свыше 50 т.
Допускается массу тары экипированного АРВ определять путем прибавления массы топлива к взвешенной массе экипированного, но не заправленного топливом АРВ, при этом прибавляемую массу топлива определяют исходя из условия полной заправки топливного(ых) бака(ов) АРВ и наибольшей удельной массы топлива при температуре плюс (25 +/- 10) °C.
8.5 Выполнение требования по максимальной расчетной статической осевой нагрузке (см.
5.7.3) проверяют при анализе КД сравнением нагрузки, полученной от деления суммы максимальной массы тары АРВ и его грузоподъемности (пересчитанных в килоньютоны, кН) на число осей, с максимальной расчетной статической осевой нагрузкой по
ГОСТ 9246 или
ГОСТ 34763.1.
Значение, полученное для АРВ, не должно превышать максимальную расчетную статическую осевую нагрузку для выбранного типа тележки.
8.6 Проверку длины по осям сцепления автосцепок [см.
5.1.1, перечисление ж)] проводят путем установки АРВ на горизонтальном участке пути и измерения расстояния между нитями отвесов в состоянии покоя, приложенных к вертикальным осям сцепления автосцепок АРВ, находящихся на одинаковом расстоянии от головок рельсов. Расположение вертикальных осей сцепления автосцепок определяют по размерам контура зацепления по
ГОСТ 21447. Допускается применение шаблонов.
Измерения выполняют рулеткой не ниже 2-го класса точности по
ГОСТ 7502.
8.7 Конструкционную скорость [см.
5.1.1, перечисление т)] проверяют при ходовых динамических испытаниях по ГОСТ 33788-2016
(подраздел 8.3), при этом показатели динамических качеств АРВ, определяемые согласно ГОСТ 33788-2016
(подраздел 8.3), должны находиться в пределах допустимых значений.
8.9 Базу АРВ контролируют измерением расстояния [см.
5.1.1, перечисление л)] между образующими отверстий под шкворень в пятниках. Для измерения принимают образующие, расположенные на продольной оси АРВ в одинаковой стороне относительно центров отверстий. Измерения выполняют рулеткой не ниже 2-го класса точности по
ГОСТ 7502. Должно быть исключено провисание ленты рулетки.
Допускается выполнение измерений с использованием лазерного нивелира и дальномера, при этом погрешность дальномера должна быть не выше, чем погрешность рулетки 2-го класса точности.
Допускается проводить проверку базы АРВ на раме, расположенной пятниками вверх, при ее изготовлении.
8.11 Климатическое исполнение (см.
5.1.2 и
5.4.5) подтверждают:
- анализом сопроводительной документации на комплектующие изделия на их соответствие климатическому исполнению АРВ (с учетом его конструкции);
- проверкой показателя ударной вязкости сталей, из которых изготовлены элементы несущей конструкции рамы, кузова, каркасы дверей, рычаги и тяги тормозной рычажной передачи при температуре не выше минус 60 °C по сертификатам качества на материал или путем испытаний по
ГОСТ 9454,
ГОСТ 6996.
8.12 Сохранение работоспособного состояния составных частей АРВ при повышении температуры по
5.1.3, а также состояния обработки деталей из древесины антипиренами и антисептиками по
5.6.1.12 осуществляют путем анализа данных конструкторской и (или) сопроводительной документации на используемые в конструкции АРВ составные части.
8.13 Отсутствие не предусмотренных конструкцией АРВ касаний составных частей между собой при проходе горизонтальной кривой (см.
5.1.5) проверяют визуально при прохождении АРВ горизонтальной кривой в груженом состоянии со скоростью не более 5 км/ч. Количество проходов АРВ - не менее трех. Состояние железнодорожного пути, на котором проводят испытания, должно соответствовать требованиям действующего законодательства
<*>.
--------------------------------
<*> В Российской Федерации - в соответствии с
Правилами технической эксплуатации железных дорог Российской Федерации (утверждены приказом Минтранса России от 23 июня 2022 г.).
Допускается проведение проверки с использованием контрольных меток (маяков), устанавливаемых на составные части АРВ в местах, труднодоступных для наблюдения.
Допускается проведение проверки прохождения горизонтальной кривой путем поворота тележек АРВ относительно его кузова на углы, соответствующие углам их поворота в горизонтальной кривой по
5.1.5. Поворот обеих тележек выполняют на положительные и отрицательные углы не менее трех раз.
Отсутствие непредусмотренных конструкцией АРВ касаний составных частей при выполнении торможения (см.
5.1.5) проверяют визуально.
8.14 Обеспечение безопасности работ, сохранности груза и отсутствия повреждений АРВ при погрузочно-разгрузочных и маневровых работах (см.
5.1.6) проверяют при анализе конструкторской и эксплуатационной документации.
Высоту ограждения переходной площадки (см.
5.2.22) контролируют при анализе КД.
8.15 Визуальным методом контроля проверяют:
- наличие составных частей АРВ, установки тележек, тормозного оборудования (см.
5.2.1,
5.2.2,
5.2.8,
5.2.9,
5.3.1 -
5.3.3,
5.3.5,
5.3.10 -
5.3.12,
5.3.23,
5.4.10);
- наличие вспомогательного и специального оборудования (см.
5.4.4,
5.5.1 -
5.5.8);
- наличие и расположение (установки) систем и устройств для поддержания автономного режима работы АРВ (см.
5.2.2,
5.2.19,
5.3.13,
5.4.6);
- наличие устройств автоматической идентификации бортового номера, позиционирования и дистанционного мониторинга воздушной среды АРВ (см.
5.1.7);
- наличие устройств механизации и автоматизации погрузочно-разгрузочных работ (см.
5.1.8);
- наличие мест для установки домкратов, тяговых кронштейнов, кронштейнов для установки хвостовых сигнальных устройств (см.
5.2.3 -
5.2.5);
- наличие и расположение подножек, поручней и помостов (см.
5.2.6);
- наличие смазки (см.
5.6.2);
- отсутствие острых ребер, кромок и углов (см.
6.1.4);
- наличие устройств, предотвращающих падение составных частей АРВ на путь и их выход из габарита АРВ (нижнее очертание) (см.
5.2.20);
- выполнение требований к поверхности подножек, ступеней лестниц, переходной площадки, мест установки домкратов (см.
5.2.5,
5.2.6,
5.2.22);
- наличие предохранения отвинчивания резьбовых соединений (см.
5.2.23);
- наличие ограничителей перемещения дверей (см.
5.3.17);
- наличие защитных устройств движущихся и нагревающихся частей оборудования (см.
5.5.6);
- наличие защиты от механических воздействий электроприводов и электропроводов (см.
5.2.23);
- наличие искусственного освещения (см.
5.2.24).
8.16 Размеры подножек, поручней составителя поездов и прочих (см.
5.2.6), установочную высоту боковых скользунов постоянного контакта или зазоры между рабочей поверхностью боковых скользунов зазорного типа и ответной поверхностью боковых опор кузова по
5.2.11 определяют посредством измерений. Применяемые средства измерений для определения размеров не более 500 мм должны обеспечивать точность измерений по
ГОСТ 8.051. При определении размеров свыше 500 мм применяют средства измерений с допускаемой погрешностью не более 1/3 допуска размера.
8.17 Правильность установки и комплектность автосцепных устройств [см.
5.2.2, перечисление б)] проверяют визуальным методом контроля и измерениями на соответствие требованиям
ГОСТ 33434.
Расстояние от уровня головок рельсов до продольной оси автосцепки (см.
5.2.9) контролируют универсальными средствами измерений (путем установки на рельсы поверочной линейки по
ГОСТ 8026 и измерением высоты рулеткой 2-го класса точности по
ГОСТ 7502) или специализированными средствами измерений. Измерения выполняют для обеих автосцепок АРВ. Разность расстояний по
5.2.10 определяют по модулю разности соответствующих высот.
Железнодорожный путь в месте проведения контроля должен быть прямолинейным, без углов поворота вправо и влево. Ширина колеи должна быть в пределах (1520 +/- 2) мм, если внутри колеи уложены специальные контррельсы с расстоянием между их рабочими гранями 1433
+1 мм. В тех случаях, когда путь уложен без контррельсов, ширина колеи должна быть (1512 +/- 2) мм. Превышение высоты одного рельса над другим должно быть не более 1 мм. Допуск прямолинейности рельсов в горизонтальной и вертикальной плоскостях принимают согласно требованиям нормативных документов государств, проголосовавших за принятие настоящего стандарта
<*>.
--------------------------------
<*> В Российской Федерации - по
ГОСТ Р 51685-2022 "Рельсы железнодорожные. Общие технические условия".
8.18 Проверку теплоизоляционных свойств АРВ, характеризующихся значением общего коэффициента теплопередачи (коэффициент К), и проверку эффективности работы его холодильно-отопительного (термического) оборудования (см.
4.1) должны проводить на основании результатов теплотехнических испытаний. Испытания выполняют в закрытом помещении, требования к которым соответствуют требованиям для производственных помещений. В основе метода испытаний должны лежать методы, указанные в
соглашении [1], с разработкой комплекса мер по приближению условий проведения испытаний к требованиям
соглашения [1], с расчетом и включением в итоговые значения расширенной неопределенности измерений, а также с приведением итоговых значений к требованиям
соглашения [1].
По согласованию с заказчиком проверку общего коэффициента теплопередачи (коэффициент К) и проверку эффективности работы его холодильно-отопительного (термического) оборудования проводят на основании результатов теплотехнических испытаний в специализированной климатической камере на испытательных станциях в соответствии с соглашением
[1] (приложение 1, добавление 2).
8.19 Работоспособность запорных устройств дверей (см.
5.3.14,
5.3.20,
5.3.21) проверяют визуально при испытаниях путем открытия, закрытия и запирания дверей.
8.20 Проверку плотности прилегания уплотнителя двери грузового отделения по
5.3.14 проводит наблюдатель, находящийся внутри транспортного средства, которое помещается в ярко освещенную зону. Может применяться любой другой метод, дающий более точные результаты.
8.21 Проверку термического оборудования (см.
5.4.1) и аккумулятора (см.
5.4.12) осуществляют при входном контроле в соответствии с
ГОСТ 24297 по сопроводительной документации, а также при анализе КД.
8.23 Выполнение требований к электромагнитной совместимости (см.
5.4.8) проводят в соответствии с
ГОСТ 33436.3-1.
8.24 Проверка устройств управления, контроля и безопасности (при наличии) (см.
5.4.9) - по
ГОСТ 33435, КД.
8.25 Проверку топливной системы (см.
5.5.2) на обеспечение возможности заправки проводят способом, воспроизводящим процесс заправки на инфраструктуре железнодорожного транспорта.
8.26 Выполнение требований к материалам и комплектующим (см.
5.4.3,
5.6.1,
6.2.2) проверяют при входном контроле в соответствии с
ГОСТ 24297 по сопроводительной документации (при необходимости заводскими лабораторными испытаниями), а также при анализе КД.
8.27 Выполнение требований к покрытиям деталей, сборочных единиц и АРВ в целом (см.
5.2.21 и
5.6.3) проверяют визуально и по ГОСТ 7409-2018
(раздел 8).
8.28 Контроль качества сварных соединений (см.
5.3.24) проверяют в соответствии с
ГОСТ 33976.
8.29 Показатели прочности АРВ [см.
5.7.1, перечисления а) -
г)] проверяют при статических испытаниях, испытаниях при соударении, ходовых прочностных испытаниях и при проведении погрузочно-разгрузочных работ в соответствии с ГОСТ 33788-2016 (
подразделы 8.1 -
8.3,
8.8,
8.9). Испытания при соударении с использованием метода накатывания вагона-бойка на испытуемый АРВ осуществляют для свободно стоящего испытуемого АРВ.
Подтверждение коэффициента запаса сопротивления усталости при заданном назначенном сроке службы АРВ [см.
5.1.9,
5.7.1, перечисление г)] выполняют расчетным путем с учетом результатов ходовых прочностных испытаний.
8.32 Статическую погонную нагрузку (см.
5.7.2) рассчитывают как результат деления максимальной массы брутто АРВ на номинальную длину по осям сцепления автосцепок.
8.33 Соответствие динамической погонной нагрузки и предельно допустимых сил по воздействию АРВ на железнодорожный путь по
5.7.4 определяют в соответствии с
ГОСТ 34759.
8.34 Контроль требований эргономики по
5.9 проводят визуально при проверке функций работоспособности.
Усилия, прикладываемые к органам управления, измеряют при помощи контрольно-измерительных приборов.
Контроль рычагов осуществляют в контрольных приспособлениях при помощи индикаторов и/или предельных мерительных инструментов.
8.35 Измерение уровня внешнего шума (см.
5.2.12) выполняют по
ГОСТ 32203, при этом испытания проводят с использованием одного опытного образца вагона.
8.36 Стойкость и безопасность материалов и веществ (см.
5.2.14,
5.6.1) контролируют при анализе КД.
8.37 Подтверждение предотвращения падения составных частей АРВ на путь (см.
5.2.20) осуществляют проведением испытаний на соударение в соответствии с ГОСТ 33788-2016
(подраздел 8.2). Проверку на прочность устройств, предотвращающих падение на путь составных частей АРВ, проводят согласно ГОСТ 33788-2016
(пункт 8.1.8).
8.38 Вместимость топливного бака (см.
5.5.3) проверяют на соответствие значению, указанному в КД, расчетным методом и подтверждают способом налива (топлива, воды) мерной емкостью.
8.39 Значения удельных средневзвешенных выбросов вредных веществ в отработавших газах двигателя (см.
6.2.1) по
ГОСТ 31967.
8.40 Выполнение требований по установленным значениям показателя надежности (см.
5.8) контролируют по статистическим данным из эксплуатации. Метод обработки данных - по ГОСТ 34632-2020
(раздел 9).
8.42 Контроль крепежных соединений осуществляют визуально. Крепежные изделия должны соответствовать требованиям технической документации.
8.43 Для подтверждения соответствия требованиям по конструкционной скорости [см.
5.1.1, перечисление т)], коэффициенту запаса устойчивости колеса от схода с рельсов [см.
5.7.1, перечисление д)], отношению рамной силы к статической осевой нагрузке [см.
5.7.1, перечисление и)], по коэффициентам динамической добавки [см.
5.7.1, перечисление к)], ускорению обрессоренных частей [см.
5.7.1, перечисление л)], по динамической погонной нагрузке и предельно допустимым силам по воздействию на путь (см.
5.7.4) допускается использовать результаты испытаний вагона-аналога.
Для подтверждения соответствия требованиям по напряжениям при различных видах нагружения [см.
5.7.1, перечисления а -
в)], по предотвращению падения составных частей на путь (см.
5.2.20) допускается использовать результаты испытаний вагона-аналога в том случае, если он имеет одинаковую с рассматриваемым АРВ конструкцию и отличается только по своему назначению.
Для подтверждения соответствия требованиям по коэффициенту запаса сопротивления усталости [см.
5.7.1, перечисление г)] допускается использовать результаты испытаний вагона-аналога в том случае, если он имеет одинаковую с рассматриваемым АРВ конструкцию несущих элементов, а также и ненесущих элементов, влияющих на параметры сопротивления усталости. При этом допускаются отличия в конструкции несущих элементов рассматриваемого АРВ относительно вагона-аналога, если они направлены на повышение параметров сопротивления усталости (например, исключение сварного шва и т.п.), а также отличия в конструкции ненесущих элементов, не влияющих на параметры сопротивления усталости.
Для подтверждения соответствия требованию по тормозному пути (см.
5.7.5) допускается использовать результаты испытаний вагона-аналога в том случае, если он имеет одинаковую с рассматриваемым АРВ конструкцию тормозной системы и отличается от рассматриваемого АРВ только по параметрам массы тары и грузоподъемности:
- допускается отличие минимальной массы тары рассматриваемого АРВ от массы тары вагона-аналога только в большую сторону, но не более чем на 5%;
- допускается отличие максимальной массы брутто (сумма максимальной массы тары вагона и его грузоподъемности) рассматриваемого АРВ от массы брутто вагона-аналога только в меньшую сторону, но не более чем на 5%.
Примечания
1 Для подтверждения соответствия требованиям, указанным в
8.43, для одного проверяемого АРВ могут быть использованы результаты испытаний разных вагонов-аналогов.
2 При подтверждении соответствия требованию по тормозному пути для проверяемого АРВ могут быть использованы результаты испытаний вагонов-аналогов.
8.45 Выполнение требований к изготовлению внутренней обшивки стен грузового отделения АРВ (см.
5.3.8,
5.3.9) проверяют при анализе КД.
8.46 Методы проведения контроля показателей функционирования пожарной сигнализации (см.
5.2.2) - по
ГОСТ 34624.
8.47 Контроль электрического сопротивления защитного заземления (см.
5.2.13) проводят с помощью прибора, предназначенного для измерения сопротивления заземляющих проводников, защитных заземляющих проводников.
Электрическое сопротивление между всеми элементами АРВ от верхней обвязки кузова до рельсов (см.
6.1.3) проверяют на порожнем АРВ прямым измерением при присоединении микроомметра постоянного тока к металлической поверхности верхней обвязки кузова и расположенной около рельса боковой поверхности обода колеса АРВ. Измерения проводят с использованием четырехпроводной схемы подключения (схема Кельвина). Участки кузова и колес, применяемые для крепления электрических контактов, обезжиривают уайт-спиритом по
ГОСТ 3134 или ацетоном по
ГОСТ 2768, а при наличии на них следов ржавчины или краски предварительно зачищают шкуркой зернистостью не более 6 по
ГОСТ 10054.
| | ИС МЕГАНОРМ: примечание. В официальном тексте документа, видимо, допущена опечатка: пункт 5.4.17 отсутствует. | |
8.48 Контроль выполнения требований электробезопасности (см.
5.4.9.1,
5.4.14 - 5.4.17,
6.1.2,
6.1.3) проверяют при анализе конструкторской и сопроводительной документации, а также визуальным методом контроля на соответствие АРВ требованиям настоящего стандарта,
ГОСТ 12.1.019,
ГОСТ 12.2.007.0 и нормативных документов государств, проголосовавших за принятие настоящего стандарта
<*>.
--------------------------------
<*> В Российской Федерации применяют действующие главы и разделы
Правил устройства электроустановок (издание шестое) (утверждены Главтехуправлением, Госэнергонадзором Минэнерго СССР 5 октября 1979 г.) и
Правил устройства электроустановок (издание седьмое) (утверждены приказом Министерства энергетики Российской Федерации от 8 июля 2002 г. N 204).
8.49 Контроль комплектующих изделий и материалов следует проводить в процессе входного контроля по документам о качестве в соответствии с нормативной документацией, а также путем выборочных испытаний по типовым методикам для конкретных комплектующих и материалов и конкретных параметров, подвергающихся испытаниям на входном контроле.
8.50 Контроль выполнения требований к машинному отделению (см.
5.3.4) проверяют визуально на соответствие КД.
9 Транспортирование и хранение
9.1 АРВ следует транспортировать к месту эксплуатации по железной дороге как груз на своих осях.
Требования к консервации в соответствии с
5.12 и работе всех систем АРВ при транспортировании устанавливают в договоре на поставку.
9.2 Условия транспортирования и хранения в части воздействия климатических факторов должны соответствовать группе 7 (Ж1) по
ГОСТ 15150.
10 Указания по эксплуатации и ремонту
10.1 Эксплуатацию АРВ осуществляют в соответствии с эксплуатационными документами по
ГОСТ 2.601, ремонтными документами по
ГОСТ 2.602 как на АРВ в целом, так и на его составные части, и действующим законодательством
<*>.
--------------------------------
<*> В Российской Федерации - в соответствии с
Правилами технической эксплуатации железных дорог Российской Федерации (утверждены приказом Минтранса России от 23 июня 2022 г. N 250).
10.2 При эксплуатации АРВ следует выполнять общие требования по обеспечению сохранности, установленные
ГОСТ 22235.
10.3 Не допускается использовать для перемещения АРВ и выполнения маневров элементы АРВ, за исключением специально предназначенных.
10.4 Материалы и вещества (жидкости, горюче-смазочные материалы), применяемые в процессе эксплуатации, технического обслуживания и ремонта АРВ и его составных частей, не должны являться причиной возникновения опасных воздействий на окружающую среду.
10.5 В руководстве по эксплуатации АРВ должны быть приведены указания о допустимых способах транспортирования вагона при заклинивании колесной пары.
10.6 Не допускается в течение гарантийного срока замена в эксплуатации элементов (сборочных единиц) АРВ другими, отличающимися по конструкции или материалам от предусмотренных в чертежах, без согласования с изготовителем.
10.7 Списанные АРВ подлежат разборке. Составные части АРВ подлежат сортировке по материалам, переработке или утилизации.
Непригодные для дальнейшей эксплуатации и ремонта съемные комплектующие узлы АРВ подлежат утилизации.
10.8 Утилизация АРВ и их составных частей - в соответствии с эксплуатационными и ремонтными документами (см.
10.1).
11.1 Изготовитель гарантирует соответствие АРВ требованиям настоящего стандарта при соблюдении условий транспортирования и хранения (см.
раздел 9) и эксплуатации (см.
раздел 10).
11.2 Гарантийный срок должен быть не менее срока от изготовления до первого планового вида ремонта и не должен заканчиваться в межремонтный период. Гарантийный срок устанавливают в контракте на поставку АРВ.
11.3 По согласованию между изготовителем и потребителем в договоре на поставку допускается указывать отдельный гарантийный срок для специального оборудования АРВ.
(обязательное)
ТРЕБОВАНИЯ К ПОРУЧНЯМ, ПОДНОЖКАМ И ЛЕСТНИЦАМ
А.1 АРВ должны быть оборудованы подножками составителя, подножками у каждого дверного проема, поручнями у каждой подножки составителя, поручнями на каждой правой двери, поручнями на каждой концевой балке. Допускается не оборудовать поручнями составителя на концевой балке АРВ, когда вал стояночного тормоза может служить в качестве поручня (при расположении привода стояночного тормоза на концевой балке АРВ).
А.2 Поручень и подножка составителя должны быть расположены в консольной части рамы АРВ, поручень составителя на концевой балке должен быть размещен справа от автосцепки.
А.3 АРВ с переходной площадкой подножками и поручнями составителя на боковой стене не оборудуют.
А.4 Ширина подножек составителя по опорным поверхностям их ступеней должна быть не менее 350 мм, глубина нижней ступени - не менее 250 мм. Расстояние между ступенями в пределах от 250 до 350 мм, а разность расстояний между ступенями - не более 50 мм. Расстояние от опорной поверхности нижней ступени подножки составителя до уровня головок рельсов должно быть в пределах от 470 до 650 мм. Высота свободного пространства над опорной поверхностью нижней ступени подножки составителя по всей ее поверхности - не менее 250 мм.
Передняя (внешняя) кромка нижней ступени подножки составителя должна быть отогнута вниз, задняя (внутренняя) - вверх, образуя ограничитель.
Допускается увеличение расстояния от опорной поверхности нижней ступени подножки составителя до уровня головок рельсов до минимально возможного по условиям вписывания в габарит подвижного состава.
А.5 Опорные поверхности подножек, ступеней и настилов должны иметь поверхность, препятствующую скольжению ноги человека, а также обеспечивать сток попадающей на них жидкости.
А.6 Поручни составителя поездов должны быть изготовлены из проката круглого сечения номинальным диаметром от 16 до 30 мм и быть одного номинального размера на всей длине. Длина рабочей части поручня составителя поездов с боковой стороны АРВ должна быть не менее 700 мм, на концевой балке - не менее 500 мм. Зазор между рабочей частью поручня составителя поездов с боковой стороны АРВ и элементами конструкции АРВ - не менее 150 мм, а на концевой балке - не менее 65 мм. Расстояние от нижнего конца рабочей части поручня составителя поездов с боковой стороны АРВ до уровня головок рельсов не более 1500 мм, на концевой балке - не более 850 мм. Расстояние от начала ближней к хребтовой балке рабочей части поручня составителя поездов на концевой балке до продольной оси АРВ, проходящей через центры пятников, - не менее 500 мм.
Допускается уменьшение длины рабочей части поручня составителя поездов на боковой стороне АРВ до 550 мм (по согласованию с заказчиком).
Допускается уменьшение зазора между рабочей частью поручня составителя поездов с боковой стороны АРВ и элементами конструкции АРВ до величины, наибольшей по условиям вписывания в габарит подвижного состава или определяемой конструктивными особенностями АРВ, но не менее 65 мм.
Рабочая часть поручня составителя поездов с боковой стороны АРВ должна быть размещена в пространстве, ограниченном линиями продолжения тетивы подножки, вертикально или наклонно под углом не более 35° относительно вертикали со смещением верхней точки крепления к середине АРВ. Если конструктивные особенности АРВ не позволяют выполнить данное требование, то по согласованию с заказчиком допускается смещение поручня относительно вертикальной оси подножки не более чем на 480 мм.
А.7 Поручень составителя поездов на концевой балке рамы должен быть размещен горизонтально или наклонно под углом не более 15° к горизонтали со смещением ближней к автосцепке точки крепления поручня вниз относительно другой точки крепления.
А.8 Ширина подножек дверного проема - не менее 250 мм, глубина - не менее 50 мм. Расстояние между ступенями в пределах от 250 до 350 мм, а разность расстояний между ступенями - не более 50 мм. Расстояние от опорной поверхности нижней ступени подножки до уровня головок рельсов - от 470 до 650 мм.
Допускается увеличение расстояния от уровня головок рельсов до опорной поверхности нижней ступени подножки до минимально возможного по условиям вписывания в габарит подвижного состава.
А.9 Поручень на двери следует изготавливать из проката круглого сечения или трубы диаметром от 12 до 30 мм, длиной - не менее 220 мм. Зазор между рабочей частью поручня двери и элементами конструкции АРВ - не менее 50 мм. Расстояние от нижнего конца рабочей части поручня на двери до уровня головок рельсов должно быть не более 1500 мм.
А.10 Ширина лестниц должна быть не менее 350 мм. Расстояние между ступенями - от 300 до 350 мм. Ступени лестниц должны быть круглыми или плоскими. Круглые ступени должны быть изготовлены из проката круглого сечения номинальным диаметром от 16 до 30 мм. Ширина плоских ступеней должна быть от 30 до 50 мм. Расстояние от опорной поверхности нижней ступени лестницы до уровня головок рельсов - от 470 до 650 мм. Расстояние между ступенью лестницы и выполняющим роль ступени элементом конструкции АРВ - не более 350 мм. Расстояние между нижней ступенью лестницы и верхней ступенью сочетающейся с ней подножки - не более 350 мм.
Допускается увеличение расстояния от опорной поверхности нижней ступени лестницы до уровня головок рельсов до минимально возможного по условиям вписывания в габарит железнодорожного подвижного состава.
Лестницы полностью или частично могут быть образованы последовательно расположенными поручнями-ступенями, в том числе откидными, укрепленными на стене АРВ.
Зазор между ступенями лестницы и элементами конструкции АРВ должен быть не менее 60 мм.
Лестницы, расположенные под углом менее 70° к горизонтали, должны быть снабжены поручнями.
А.11 Лестницы, подножки (кроме подножек составителя поездов) и поручни должны крепиться к кузову вагона или его элементам заклепками диаметром не менее 12 мм или болтами диаметром не менее 16 мм; подножки составителя - заклепками диаметром не менее 12 мм.
А.12 Конструкция поручней, подножек, лестниц (включая откидные ступени), помостов и ограждений, а также их расположение не должны препятствовать проведению работ по техническому обслуживанию, ремонтных и погрузочно-разгрузочных работ.
| Соглашение о международных перевозках скоропортящихся пищевых продуктов и о специальных транспортных средствах, предназначенных для этих перевозок (СПС) (совершено в Женеве 1 сентября 1970 г., вступило в силу 21 ноября 1976 г.) |
| Положение об окраске собственных грузовых вагонов (утверждено Советом по железнодорожному транспорту государств - участников Содружества Независимых Государств, протокол от 6 - 7 мая 2014 г. N 60) |
| Справочник "Условные коды предприятий" СЖА 1001 17 (утвержден на 60-м заседании комиссии специалистов по информатизации железнодорожного транспорта государств - участников Содружества Независимых Государств от 4 - 6 апреля 2017 г.) |
| Классификатор "Железнодорожные администрации государств - участников Содружества Независимых Государств, Латвийской Республики, Литовской Республики, Эстонской Республики и сопредельных с ними государств" КЖА 1001 04 (утвержден на 33-м заседании Комиссии специалистов по информатизации железнодорожного транспорта от 20 - 21 сентября 2005 г.) |
| Знаки и надписи на вагонах грузового парка железных дорог колеи 1520 мм. Альбом-справочник 632-2011 ПКБ ЦВ (утвержден на 57-м заседании Совета по железнодорожному транспорту государств - участников Содружества от 16 - 17 октября 2012 г.) |
УДК 629.4:006.354 | |
Ключевые слова: вагон рефрижераторный автономный, теплоизоляция, холодильно-отопительное оборудование, энергетическое оборудование, общие технические условия |