Главная // Актуальные документы // ГОСТ (Государственный стандарт)СПРАВКА
Источник публикации
В данном виде документ опубликован не был.
Первоначальный текст документа опубликован в издании
М.: Стандартинформ, 2016.
Информацию о публикации документов, создающих данную редакцию, см. в справке к этим документам.
Примечание к документу
Отдельные положения данного документа включены в
Перечень международных и региональных (межгосударственных) стандартов, а в случае их отсутствия - национальных (государственных) стандартов, содержащих правила и методы исследований (испытаний) и измерений, в том числе правила отбора образцов, необходимые для применения и исполнения требований технического
регламента Таможенного союза "О безопасности железнодорожного подвижного состава" (ТР ТС 001/2011) и осуществления оценки соответствия объектов технического регулирования (
Решение Коллегии Евразийской экономической комиссии от 29.03.2022 N 48).
Изменение N 1 введено в действие на территории Российской Федерации
Приказом Росстандарта от 30.05.2022 N 414-ст с 01.09.2022.
Название документа
"ГОСТ 33788-2016. Межгосударственный стандарт. Вагоны грузовые и пассажирские. Методы испытаний на прочность и динамические качества"
(введен в действие Приказом Росстандарта от 19.07.2016 N 856-ст)
(ред. от 30.05.2022)
"ГОСТ 33788-2016. Межгосударственный стандарт. Вагоны грузовые и пассажирские. Методы испытаний на прочность и динамические качества"
(введен в действие Приказом Росстандарта от 19.07.2016 N 856-ст)
(ред. от 30.05.2022)
агентства по техническому
регулированию и метрологии
от 19 июля 2016 г. N 856-ст
МЕЖГОСУДАРСТВЕННЫЙ СТАНДАРТ
ВАГОНЫ ГРУЗОВЫЕ И ПАССАЖИРСКИЕ
МЕТОДЫ ИСПЫТАНИЙ НА ПРОЧНОСТЬ И ДИНАМИЧЕСКИЕ КАЧЕСТВА
Freight and passenger railcars. Methods of testing
structural strength and dynamic performance
ГОСТ 33788-2016
| | Список изменяющих документов Приказом Росстандарта от 30.05.2022 N 414-ст) | |
ОКП 31 8446
Дата введения
1 мая 2017 года
Цели, основные принципы и общие правила проведения работ по межгосударственной стандартизации установлены
ГОСТ 1.0 "Межгосударственная система стандартизации. Основные положения" и
ГОСТ 1.2 "Межгосударственная система стандартизации. Стандарты межгосударственные, правила и рекомендации по межгосударственной стандартизации. Правила разработки, принятия, обновления и отмены"
(в ред.
Изменения N 1, введенного в действие Приказом Росстандарта от 30.05.2022 N 414-ст)
1 РАЗРАБОТАН Открытым акционерным обществом "Научно-исследовательский институт железнодорожного транспорта" (ОАО "ВНИИЖТ")
2 ВНЕСЕН Межгосударственным техническим комитетом по стандартизации МТК 524 "Железнодорожный транспорт"
3 ПРИНЯТ Евразийским советом по стандартизации, метрологии и сертификации по результатам голосования (протокол от 25 мая 2016 г. N 88-П)
За принятие проголосовали:
Краткое наименование страны по МК (ИСО 3166) 004-97 | Код страны по МК (ИСО 3166) 004-97 | Сокращенное наименование национального органа по стандартизации |
Армения | AM | Минэкономики Республики Армения |
Беларусь | BY | Госстандарт Республики Беларусь |
Казахстан | KZ | Госстандарт Республики Казахстан |
Киргизия | KG | Кыргызстандарт |
Россия | RU | Росстандарт |
Таджикистан | TJ | Таджикстандарт |
4
Приказом Федерального агентства по техническому регулированию и метрологии от 19 июля 2016 года N 856-ст межгосударственный стандарт ГОСТ 33788-2016 введен в действие в качестве национального стандарта Российской Федерации с 1 мая 2017 г.
5 ВВЕДЕН ВПЕРВЫЕ
6 Межгосударственный совет по стандартизации, метрологии и сертификации не несет ответственности за патентную чистоту настоящего стандарта. Патентообладатель может заявить о своих правах и направить в национальный орган по стандартизации своего государства аргументированное предложение о внесении в настоящий стандарт поправки для указания информации о наличии в стандарте объектов патентного права и патентообладателе
(п. 6 введен
Изменением N 1, введенным в действие Приказом Росстандарта от 30.05.2022 N 414-ст)
Настоящий стандарт может быть применен на добровольной основе для соблюдения требований технического
регламента "О безопасности железнодорожного подвижного состава"
Информация о введении в действие (прекращении действия) настоящего стандарта и изменений к нему на территории указанных выше государств публикуется в указателях национальных стандартов, издаваемых в этих государствах, а также в сети Интернет на сайтах соответствующих национальных органов по стандартизации.
В случае пересмотра, изменения или отмены настоящего стандарта соответствующая информация будет опубликована на официальном интернет-сайте Межгосударственного совета по стандартизации, метрологии и сертификации в каталоге "Межгосударственные стандарты
(в ред.
Изменения N 1, введенного в действие Приказом Росстандарта от 30.05.2022 N 414-ст)
(раздел 1 в ред.
Изменения N 1, введенного в действие Приказом Росстандарта от 30.05.2022 N 414-ст)
Настоящий стандарт устанавливает методы испытаний на прочность и динамические качества грузовых и пассажирских вагонов локомотивной тяги (далее - вагоны) железных дорог общего и необщего пользования колеи 1520 мм.
В настоящем стандарте использованы нормативные ссылки на следующие межгосударственные стандарты:
ГОСТ 8.051 Государственная система обеспечения единства измерений. Погрешности, допускаемые при измерении линейных размеров до 500 мм
(в ред.
Изменения N 1, введенного в действие Приказом Росстандарта от 30.05.2022 N 414-ст)
ГОСТ 25.101-83 Расчеты и испытания на прочность. Методы схематизации случайных процессов нагружения элементов машин и конструкций и статистического представления результатов
ГОСТ 4835 Колесные пары железнодорожных вагонов. Технические условия
(в ред.
Изменения N 1, введенного в действие Приказом Росстандарта от 30.05.2022 N 414-ст)
ГОСТ 10791 Колеса цельнокатаные. Технические условия
(в ред.
Изменения N 1, введенного в действие Приказом Росстандарта от 30.05.2022 N 414-ст)
ГОСТ 22235 Вагоны грузовые магистральных железных дорог колеи 1520 мм. Общие требования по обеспечению сохранности при производстве погрузочно-разгрузочных и маневровых работ
(в ред.
Изменения N 1, введенного в действие Приказом Росстандарта от 30.05.2022 N 414-ст)
ГОСТ 33200 Оси колесных пар железнодорожного подвижного состава. Общие технические условия
(в ред.
Изменения N 1, введенного в действие Приказом Росстандарта от 30.05.2022 N 414-ст)
ГОСТ 32400 Рама боковая и балка надрессорная литые тележек железнодорожных грузовых вагонов. Технические условия
(в ред.
Изменения N 1, введенного в действие Приказом Росстандарта от 30.05.2022 N 414-ст)
ГОСТ 33211-2014 Вагоны грузовые. Требования к прочности и динамическим качествам
ГОСТ 33274 Железнодорожный подвижной состав. Устройства, предохраняющие падение деталей на путь. Методы контроля показателей прочности
(в ред.
Изменения N 1, введенного в действие Приказом Росстандарта от 30.05.2022 N 414-ст)
ГОСТ 34093-2017 Вагоны пассажирские локомотивной тяги. Требования к прочности и динамическим качествам
(ссылка введена
Изменением N 1, введенным в действие Приказом Росстандарта от 30.05.2022 N 414-ст)
ГОСТ 34759 Железнодорожный подвижной состав. Нормы допустимого воздействия на железнодорожный путь и методы испытаний
(ссылка введена
Изменением N 1, введенным в действие Приказом Росстандарта от 30.05.2022 N 414-ст)
Примечание - При пользовании настоящим стандартом целесообразно проверить действие ссылочных стандартов и классификаторов на официальном интернет-сайте Межгосударственного совета по стандартизации, метрологии и сертификации (www.easc.by) или по указателям национальных стандартов, издаваемых в государствах, указанных в предисловии, или на официальных сайтах соответствующих национальных органов по стандартизации. Если на документ дана недатированная ссылка, то следует использовать документ, действующий на текущий момент, с учетом всех внесенных в него изменений. Если заменен ссылочный документ, на который дана датированная ссылка, то следует использовать указанную версию этого документа. Если после принятия настоящего стандарта в ссылочный документ, на который дана датированная ссылка, внесено изменение, затрагивающее положение, на которое дана ссылка, то это положение применяется без учета данного изменения. Если ссылочный документ отменен без замены, то положение, в котором дана ссылка на него, применяется в части, не затрагивающей эту ссылку.
(примечание в ред.
Изменения N 1, введенного в действие Приказом Росстандарта от 30.05.2022 N 414-ст)
В настоящем стандарте применены следующие термины с соответствующими определениями:
3.1 испытания при погрузке и разгрузке: Испытания на прочность, при которых определяют напряжения и деформации в конструкции вагона и ее составных частях при проведении погрузочно-разгрузочных работ.
3.2 испытания на сопротивление усталости: Испытания, в ходе которых определяют количественные характеристики сопротивления многоцикловой усталости деталей, составных частей или несущей конструкции вагона.
3.3 испытания на ресурс при соударении: Испытания, в ходе которых определяют появление и развитие повреждений и остаточных деформаций (циклическую долговечность) несущей конструкции вагона и/или работоспособность оборудования вагона (функциональную долговечность) при многократном действии ударных сил через автосцепное устройство.
3.4 испытания на прочность при соударении: Испытания, в ходе которых определяют динамические напряжения и деформации в несущей конструкции вагона и ее составных частях при действии ударных сил через автосцепное устройство.
3.5 конструкционная скорость железнодорожного подвижного состава: Наибольшая скорость движения, заявленная в технической документации.
3.6 статические испытания на прочность: Испытания, в ходе которых определяют напряжения и деформации в несущей конструкции вагона и ее составных частях при статическом действии нормативных сил.
3.7 ходовые прочностные испытания: Испытания, в ходе которых определяют динамические напряжения в составных частях или несущей конструкции вагона при его движении по железнодорожному пути.
3.8 ходовые динамические испытания: Испытания, в ходе которых определяют показатели динамических качеств вагона при его движении по железнодорожному пути.
3.9 |
общее напряжение: Механическое напряжение, вызываемое внешней нагрузкой в несущей конструкции с учетом ее основной геометрии. Примечание - Общее напряжение определяют с учетом упругого деформирования материала с применением методов тензометрии. В общем напряжении не учитывают концентрацию, связанную с геометрическими концентраторами напряжений. |
3.10 |
местное напряжение: Механическое напряжение, вызываемое внешней нагрузкой в несущей конструкции с учетом ее макрогеометрии и геометрических концентраторов напряжений. Примечание - Местное напряжение определяют с учетом упругого деформирования материала с применением методов тензометрии. В местном напряжении не учитывают концентрацию, связанную с наличием сварных швов, дефектов сварных швов, поверхностных дефектов литых несущих конструкций, контактом между телами. |
3.11 |
несущая способность: Способность выдерживать воздействующие на деталь эксплуатационные нагрузки с сохранением этой способности без разрушения на всех этапах жизненного цикла до момента окончания гаммапроцентного ресурса. Примечание - Под потерей несущей способности при испытаниях на сопротивление усталости понимают состояние, при котором дальнейшее поддержание установленного режима работы применяемого оборудования становится невозможным или небезопасным. Под потерей несущей способности при испытаниях на несущую способность понимают рост деформации (прогиба) детали при уменьшении действующей на нее статической силы. |
3.12 |
продольное направление: Направление в плоскости пути вдоль его оси. |
3.13 |
боковое направление: Перпендикулярное продольному направление в плоскости пути. |
3.14 |
вертикальное направление: Направление, перпендикулярное к плоскости пути. |
3.15 нормативные силы: Силы, установленные в нормативной и конструкторской документации для оценки прочности несущей конструкции вагона и ее составных частей при испытаниях и расчетах. 3.16 |
грузовые вагоны: Вагоны, предназначенные для перевозки грузов, такие как крытые вагоны, полувагоны, платформы, вагоны-цистерны, вагоны бункерного типа, изотермические вагоны, зерновозы, транспортеры, контейнеровозы, специальные вагоны грузового типа. |
(в ред. Изменения N 1, введенного в действие Приказом Росстандарта от 30.05.2022 N 414-ст) |
3.17 |
пассажирские вагоны: Вагоны, предназначенные для перевозки пассажиров и/или багажа, почтовых отправлений, такие как почтовые, багажные, вагоны-рестораны, служебно-технические, служебные, клубы, санитарные, испытательные и измерительные лаборатории, специальные вагоны пассажирского типа. |
(п. 3.17 в ред. Изменения N 1, введенного в действие Приказом Росстандарта от 30.05.2022 N 414-ст) |
3.18 |
подвесное оборудование вагона (тележки): Оборудование, закрепленное на несущей конструкции кузова вагона (на несущей конструкции тележки) посредством разъемного или неразъемного соединения. |
3.19 |
составная часть железнодорожного подвижного состава: Деталь, сборочная единица, комплекс или их комплект, входящие в конструкцию железнодорожного подвижного состава и обеспечивающие его безопасную эксплуатацию, безопасность обслуживающего персонала и/или пассажиров. |
(в ред. Изменения N 1, введенного в действие Приказом Росстандарта от 30.05.2022 N 414-ст) |
3.20 |
несущая конструкция кузова вагона: Составные части вагона, которые передают силы, возникающие при движении вагона в составе поезда и маневрах, воспринимают силы от действия на вагон груза, подвесного оборудования, тормозной системы вагона, установленных механизмов, служат опорой на ходовые части. |
Примечание - К несущей конструкции кузова вагона в том числе относят хребтовую, боковые, шкворневые, поперечные, лобовые балки, пятник, стойки, поперечный пояс, верхнюю обвязку, котел вагона-цистерны. |
(примечание введено Изменением N 1, введенным в действие Приказом Росстандарта от 30.05.2022 N 414-ст) |
3.21 |
несущая конструкция тележки: Составные части тележки, которые воспринимают силы от действия на тележку кузова вагона, тормозной системы вагона и передают их на подшипники колесных пар. |
Примечание - Несущая конструкция вагона состоит из несущей конструкции кузова вагона и несущей конструкции тележки. 3.22 |
деталь: Изделие, изготовленное из однородного по наименованию и марке материала без применения сборочных операций. |
(п. 3.22 в ред. Изменения N 1, введенного в действие Приказом Росстандарта от 30.05.2022 N 414-ст) |
3.23 |
максимальная расчетная масса вагона: Масса вагона брутто при максимальной расчетной статической осевой нагрузке. |
3.24 несущая конструкция вагона: Совокупность составных частей вагона, воспринимающих нагрузки, возникающие при движении вагона в составе поезда или маневрах, а также от действия груза, подвесного оборудования, тормозной системы и иных установленных на вагон механизмов.
(п. 3.24 введен
Изменением N 1, введенным в действие Приказом Росстандарта от 30.05.2022 N 414-ст)
4 Виды и основные задачи испытаний
4.1 Устанавливают испытания следующих видов:
- статические на прочность;
- на прочность при соударении;
- ходовые прочностные;
- ходовые динамические;
- на сопротивление усталости.
Примечание - Испытания на сопротивление усталости могут быть ускоренные в полном объеме (далее - полные испытания на сопротивление усталости) и ускоренные в сокращенном объеме (далее - сокращенные испытания на сопротивление усталости);
- на несущую способность;
- вибрационные;
- на ресурс при соударении.
Примечание - Испытания на ресурс при соударении могут быть испытаниями на циклическую долговечность или испытаниями на функциональную долговечность;
- на прочность крепления подвесного оборудования;
- на прочность при проведении погрузочно-разгрузочных работ.
Необходимые виды испытаний указывают в стандартах и конструкторской документации.
4.2 Основными задачами испытаний являются:
- статических на прочность: определение и оценка напряжений и деформаций в несущей конструкции вагона и ее составных частях при приложении статических нормативных сил;
- на прочность при соударении: определение и оценка динамических напряжений и деформаций в несущей конструкции вагона и ее составных частях при приложении нормативных ударных сил через автосцепное устройство;
- ходовых прочностных испытаний: определение и оценка по коэффициенту запаса сопротивления усталости эквивалентной приведенной амплитуды динамических напряжений, возникающих при движении в несущей конструкции вагона и ее составных частях;
- ходовых динамических испытаний: определение и оценка показателей динамических качеств вагона при его движении со скоростями вплоть до конструкционной по железнодорожному пути;
- полных испытаний на сопротивление усталости: определение предела выносливости составных частей несущей конструкции вагона и его оценка по коэффициенту запаса сопротивления усталости;
- сокращенных испытаний на сопротивление усталости:
1) достижение несущей конструкцией вагона или ее составными частями (за исключением боковых рам и надрессорных балок по
ГОСТ 32400) заданного числа циклов нагружения без появления усталостной трещины;
2) достижение боковыми рамами и надрессорными балками по
ГОСТ 32400 заданного числа циклов нагружения без разрушения (потери несущей способности);
(перечисление в ред.
Изменения N 1, введенного в действие Приказом Росстандарта от 30.05.2022 N 414-ст)
- на несущую способность: достижение деталью заданного значения статически приложенной силы без разрушения или потери несущей способности;
- вибрационных испытаний: определение и оценка частоты первой формы вертикальных изгибных колебаний несущей конструкции кузова пассажирского вагона;
- на ресурс при соударении (циклическая долговечность): определение и оценка на соответствие эксплуатационной документации повреждений и остаточной деформации несущей конструкции вагона и ее составных частей при многократном приложении ударных сил через автосцепное устройство;
- на ресурс при соударении (функциональная долговечность): определение и оценка на соответствие эксплуатационной документации функциональной работоспособности оборудования вагона при многократном приложении ударных сил через автосцепное устройство;
- на прочность крепления подвесного оборудования: определение и оценка динамических напряжений и деформаций в конструкции крепления подвесного оборудования при приложении ударных сил к вагону через автосцепное устройство;
- на прочность при проведении погрузочно-разгрузочных работ: определение и оценка статических и динамических напряжений и деформаций в несущей конструкции вагона и ее составных частях при приложении нормативных сил, возникающих при погрузке и разгрузке.
5.1 Статическим испытаниям на прочность подвергают несущую конструкцию вагона или ее составные части, если это предусмотрено стандартами или конструкторской документацией.
5.2 Испытаниям на прочность при соударении, ходовым прочностным и ходовым динамическим испытаниям, испытаниям на ресурс при соударении подвергают полностью оборудованные вагоны. Пассажирские и изотермические вагоны должны быть экипированы. Пассажирские вагоны перед проведением ходовых динамических и ходовых прочностных испытаний должны быть подвергнуты обкатке с пробегом не менее 1000 км.
5.3 Испытаниям на сопротивление усталости и несущую способность подвергают боковые рамы и надрессорные балки по
ГОСТ 32400. Испытаниям на сопротивление усталости могут быть подвергнуты несущие конструкции вагона и их составные части, если это предусмотрено стандартами или конструкторской документацией.
5.4 Вибрационным испытаниям подвергают кузова пассажирских вагонов.
5.5 Испытаниям на прочность крепления подвесного оборудования и испытаниям на прочность при погрузке и разгрузке подвергают грузовые и пассажирские вагоны, если это предусмотрено стандартами или конструкторской документацией.
6.1 Средства измерения, применяемые при испытаниях, должны обеспечивать характеристики, указанные в таблице 1.
Таблица 1
Характеристики применяемых средств измерения
Измеряемая величина | Диапазон измерения | Погрешность измерения | |
Относительная деформация | - | Относительная погрешность не более +/- 1% | |
Перемещение | Превышение наибольшего значения на 10% | Относительная погрешность не более +/- 5% | Не менее 200 Гц |
Ускорение (при испытаниях на соударение) | От 0,01 до 40,00 Гц Не менее 50 м/с2 | Относительная погрешность не более +/- 3% | Не менее 200 Гц |
Ускорение (при ходовых динамических испытаниях) | От 0,01 до 40,00 Гц Не менее 10 м/с2 | Относительная погрешность не более +/- 3% | Не менее 200 Гц |
Давление | До 2,5 МПа включ. | Класс точности не ниже 2,5 | - |
Более 2,5 МПа | Класс точности не ниже 1,5 |
Сила | Превышение наибольшего значения на 10% | Относительная погрешность не более +/- 2% | |
Масса | Превышение максимального значения на 10% | Относительная погрешность не более +/- 1% | - |
Расстояние | До 500 мм включ. | | - |
Более 500 мм | +/- 1 мм, не более |
(позиция в ред. Изменения N 1, введенного в действие Приказом Росстандарта от 30.05.2022 N 414-ст) |
Скорость (при испытаниях на соударение) | От 3 до 15 км/ч | +/- 0,1 км/ч, не более | - |
Скорость (при ходовых испытаниях) | От 3 км/ч до конструкционной скорости вагона | Абсолютная погрешность не более +/- 0,55 м/с | - |
(в ред. Изменения N 1, введенного в действие Приказом Росстандарта от 30.05.2022 N 414-ст) |
Число циклов | Не менее 107 | +/- 1,5%, не более | - |
<1> Частотный состав входного сигнала должен лежать в диапазоне от 0 до не менее 200 Гц. <2> При измерении динамических процессов. |
При испытаниях применяют тензорезисторы с базой от 10 до 20 мм. При специальных исследованиях концентрации напряжений в отдельных зонах конструкции должны применяться тензорезисторы с меньшей базой.
(абзац введен
Изменением N 1, введенным в действие Приказом Росстандарта от 30.05.2022 N 414-ст)
6.2 Оборудование для статических испытаний на прочность и испытаний на несущую способность должно обеспечивать статическое приложение и восприятие сил с запасом не менее 10% относительно наибольшего значения, создание режимов (размещение груза, подъем на домкратах), установленных для объекта испытаний стандартами, конструкторской и эксплуатационной документацией.
При приложении сил к грузовому вагону через автосцепные устройства разность уровней осей автосцепок должна составлять не более 0,05 м. При приложении сил к пассажирскому вагону через автосцепные устройства разность уровней осей автосцепок должна составлять не более 0,02 м.
Устройства, применяемые для подъема вагона, должны обеспечивать соответствие требованиям эксплуатационной документации.
6.3 При испытаниях грузового вагона на прочность при соударении, на ресурс при соударении применяют вагон-боек и подпор, которые должны обеспечивать силу удара в автосцепку в диапазоне от 0 до 3,5 МН при скорости вагона-бойка перед соударением от 3 до 15 км/ч. Для пассажирского вагона при испытаниях на прочность при соударении, на ресурс при соударении применяют вагон-боек и подпор, которые должны обеспечивать силу удара в автосцепку в диапазоне от 0 до 2,5 МН при скорости вагона-бойка перед соударением от 3 до 15 км/ч.
Разность уровней осей автосцепок вагона-бойка и испытуемого грузового вагона, подпора и испытуемого вагона должна составлять не более 0,05 м. Разность уровней осей автосцепок вагона-бойка и испытуемого пассажирского вагона, подпора и испытуемого вагона должна составлять не более 0,02 м.
Для измерения силы, действующей на вагон, применяют тензорезисторы, установленные на корпусе автосцепки. Возможная схема установки тензорезисторов приведена в
приложении А. Определение масштаба измерения силы для грузового вагона производят в диапазоне от 0 до 3,5 МН статически с применением средств измерения силы с характеристиками, указанными в
таблице 1.
(в ред.
Изменения N 1, введенного в действие Приказом Росстандарта от 30.05.2022 N 414-ст)
Для измерения силы, действующей на пассажирский вагон, допускается применять тензорезисторы, установленные на хребтовой балке рамы. Определение масштаба измерения силы производят в диапазоне от 0 до 2,5 МН статически с применением средств измерения силы с характеристиками, указанными в
таблице 1.
6.4 Ходовые прочностные и динамические испытания проводят на путях специализированных испытательных полигонов или на путях железных дорог общего пользования со следующими характеристиками:
- звеньевой или бесстыковый путь;
- рельсы типа Р65 согласно требованиям национальных стандартов
<1> государств, принявших настоящий стандарт;
--------------------------------
<1> В Российской Федерации действует
ГОСТ Р 51685-2013 "Рельсы железнодорожные. Общие технические условия".
- эпюра шпал не менее 1840 шт. на 1 км;
- прямой участок протяженностью не менее 8000 м;
- участок пути, состоящий из прямой, переходной кривой и круговой кривой проектного (среднего) радиуса в диапазоне от 300 до 400 м включительно;
- участок пути, состоящий из прямой, переходной кривой и круговой кривой проектного (среднего) радиуса в диапазоне от 600 до 800 м включительно;
(в ред.
Изменения N 1, введенного в действие Приказом Росстандарта от 30.05.2022 N 414-ст)
- участок пути, состоящий из прямой, переходной кривой и круговой кривой проектного (среднего) радиуса в диапазоне от 950 м и более для вагонов с конструкционной скоростью более 160 км/ч;
- протяженность участка постоянного радиуса в кривых не менее 200 м;
- возвышение наружного рельса хотя бы в одной из кривых должно обеспечивать движение вагона с конструкционной скоростью или с непогашенным ускорением 0,7 м/с12, если иное непогашенное ускорение не предусмотрено эксплуатационной документацией на вагон;
- устройство переходных кривых должно соответствовать нормативным документам
<1> государств, принявших настоящий стандарт;
- для вагонов с конструкционной скоростью 160 км/ч и менее участок пути, включающий в себя стрелочный перевод на боковой путь с рельсами типа Р65 согласно требованиям национальных стандартов
<2> государств, приведенных в предисловии, с крестовиной марки 1/11 или 1/9 согласно нормативным документам
<1> государств, принявших настоящий стандарт;
- для вагонов с конструкционной скоростью более 160 км/ч участок пути, включающий в себя стрелочный перевод на боковой путь с рельсами типа Р65 согласно требованиям национальных стандартов
<2> государств, приведенных в предисловии, с крестовиной марки 1/18 или 1/11 согласно нормативным документам
<1> государств, принявших настоящий стандарт;
- для грузовых вагонов параметры отступлений рельсовых нитей должны соответствовать требованиям ГОСТ 33211-2014
(таблица 7);
(в ред.
Изменения N 1, введенного в действие Приказом Росстандарта от 30.05.2022 N 414-ст)
- для пассажирских вагонов параметры отступлений рельсовых нитей не должны снижать скорости движения в соответствии с нормативным документом <1>.
(перечисление в ред.
Изменения N 1, введенного в действие Приказом Росстандарта от 30.05.2022 N 414-ст)
--------------------------------
<1> В Российской Федерации применяют "
Правила технической эксплуатации железных дорог Российской Федерации", утвержденные приказом Минтранса России от 21 декабря 2010 г. N 286.
<2> В Российской Федерации действует
ГОСТ Р 51685-2013 "Рельсы железнодорожные. Общие технические условия".
<3> Сноска исключена с 01.09.2022. -
Изменение N 1, введенное в действие Приказом Росстандарта от 30.05.2022 N 414-ст.
Для измерения сил, действующих на тележку от колесной пары и кузова вагона (рамной силы, коэффициента динамической добавки обрессоренных и необрессоренных частей), применяют тензорезисторы, установленные на раме тележки, боковой раме и надрессорной балке. Возможные схемы установки тензорезисторов приведены в
приложении Б. Определение масштаба измерения силы и коэффициентов динамической добавки производят статически с применением средств измерения силы с характеристиками, указанными в
таблице 1.
(в ред.
Изменения N 1, введенного в действие Приказом Росстандарта от 30.05.2022 N 414-ст)
Масштаб измерения рамной силы определяют приложением к боковой раме (в зоне проема для установки колесной пары) силы, возрастающей от нуля до 0,2P0 с шагом не более 10 кН, где P0 - максимальная расчетная статическая осевая нагрузка. Масштаб измерения вертикальной силы, действующей на тележку со стороны кузова, определяют при контрольных (тарировочных) подъемах кузова вагона до полного обезгруживания тележки.
Для измерения динамических сил, действующих на составные части тележки или кузова вагона, а также вертикальной и боковой силы, действующей от колес колесной пары на рельсы, применяют тензорезисторы. Определение масштаба измерения проводят статически с применением средств измерения силы с характеристиками, указанными в
таблице 1.
(в ред.
Изменения N 1, введенного в действие Приказом Росстандарта от 30.05.2022 N 414-ст)
6.5 При испытаниях на сопротивление усталости применяют испытательное оборудование, обеспечивающее приложение динамических сил, со следующими характеристиками:
- отклонение максимальной силы цикла от заданной не должно превышать +/- 2% номинального значения;
- частота приложения силы - не более 20 Гц.
Испытательное оборудование должно быть оснащено счетчиком числа циклов, устройством для контроля режима приложения силы.
6.6 При вибрационных испытаниях применяют испытательное оборудование, обеспечивающее приложение к конструкции динамической силы с возможностью регулировки частоты.
(в ред.
Изменения N 1, введенного в действие Приказом Росстандарта от 30.05.2022 N 414-ст)
6.7 Весовое устройство, применяемое для определения силы тяжести вагона, должно обеспечивать проведение статического взвешивания с погрешностью не более +/- 500 Н. Массу грузового вагона определяют с погрешностью не более +/- 50 кг. Массу пассажирского вагона определяют с погрешностью не более +/- 100 кг.
6.8 При испытаниях на прочность крепления подвесного оборудования применяют подпор, оборудованный автосцепным устройством, который должен обеспечивать восприятие силы удара порожнего испытуемого вагона при его скорости перед соударением от 3 до 15 км/ч. Разность уровней осей автосцепок подпора и испытуемого грузового вагона должна составлять не более 0,05 м, подпора и пассажирского вагона - не более 0,02 м.
Для проведения испытаний на прочность крепления подвесного оборудования допускается применять вагон-боек и подпор, создающие и воспринимающие силу удара при скорости вагона-бойка перед соударением от 3 до 15 км/ч.
6.9 При испытаниях на прочность при проведении погрузочно-разгрузочных работ применяют устройства и приспособления, предусмотренные эксплуатационной документацией на вагон и соответствующие
ГОСТ 22235.
7 Условия проведения испытаний
7.1 При проведении испытаний в закрытых помещениях освещенность должна быть не менее 50 лк.
7.2 Испытания на открытом воздухе, требующие выполнения работ под вагоном или на не огражденных и не освещенных междупутьях, следует проводить в светлое время суток.
7.3 Средства измерения и испытательное оборудование размещают в условиях, обеспечивающих их эксплуатацию в пределах паспортных данных.
8 Методы проведения испытаний
8.1 Статические испытания на прочность
8.1.1 Общие и местные напряжения, действующие в несущей конструкции вагона, измеряют методами тензометрии.
Измерение напряжений производят в наиболее нагруженных зонах несущей конструкции вагона, обоснованных расчетами в соответствии с требованиями
ГОСТ 33211 для грузового вагона или
ГОСТ 34093 для пассажирского вагона, указанными в конструкторской документации. Рекомендуется устанавливать тензорезисторы по направлению действия главных напряжений, при неизвестном направлении действия главных напряжений рекомендуется устанавливать два ортогональных тензорезистора и один под углом 45° к ним.
(в ред.
Изменения N 1, введенного в действие Приказом Росстандарта от 30.05.2022 N 414-ст)
При определении местных напряжений в зонах сварных швов тензорезисторы устанавливают перпендикулярно к границе сварного шва (или по направлению наибольшего главного напряжения, если оно лежит в углах от минус 60° до 60° к перпендикуляру к границе сварного шва) на расстоянии от 1,0 до 1,5t от нее, где t - толщина листа. В литых конструкциях местные напряжения измеряют на расстоянии от 1,0 до 1,5t от локальных концентраторов напряжений с характерным размером менее t, где t - толщина стенки.
(в ред.
Изменения N 1, введенного в действие Приказом Росстандарта от 30.05.2022 N 414-ст)
Справочные схемы расположения сечений и установки тензорезисторов на несущих конструкциях кузовов вагонов и тележек типовых конструкций приведены в
приложениях В,
Г,
Д,
Е,
Ж,
И,
К.
8.1.2 Визуально контролируют отсутствие остаточных деформаций и повреждений несущей конструкции. Рекомендуется контролировать отсутствие остаточных относительных деформаций по показаниям тензорезисторов.
(в ред.
Изменения N 1, введенного в действие Приказом Росстандарта от 30.05.2022 N 414-ст)
8.1.3 Несущую конструкцию кузова грузового вагона подвергают действию:
а) статических сил согласно режимам Iв и Iг по ГОСТ 33211-2014
(пункт 4.1);
б) сил, возникающих при текущем ремонте по ГОСТ 33211-2014
(пункт 4.2).
Для учета сил тяжести в режимах Iв и Iг по ГОСТ 33211-2014
(пункт 4.1) допускается использовать результаты измерений при загрузке грузом или другим способом.
(п. 8.1.3 в ред.
Изменения N 1, введенного в действие Приказом Росстандарта от 30.05.2022 N 414-ст)
8.1.4 Котлы вагонов-цистерн испытывают при действии расчетного давления по требованиям ГОСТ 33211-2014
(пункт 4.3.1) методом гидравлических испытаний. Измерение внутреннего давления проводят в верхней части котла двумя манометрами с одинаковым классом точности и ценой деления.
(в ред.
Изменения N 1, введенного в действие Приказом Росстандарта от 30.05.2022 N 414-ст)
8.1.5 Угловые стойки полувагонов при наличии торцевых дверей испытывают при действии сил, указанных в ГОСТ 33211-2014
(пункт 4.3.3).
(в ред.
Изменения N 1, введенного в действие Приказом Росстандарта от 30.05.2022 N 414-ст)
8.1.6 Грузовые вагоны и элементы их конструкции, подверженные воздействию и нагрузкам от обслуживающего персонала, испытывают на прочность при действии сил:
а) возникающих при нахождении обслуживающего персонала по ГОСТ 33211-2014
(пункт 4.3.9), методом размещения груза, имеющего необходимые массу и размеры;
б) действующих на подножки и лестницы по ГОСТ 33211-2014
(пункт 4.3.10), если они предусмотрены конструкцией вагона;
в) действующих на поручни по ГОСТ 33211-2014
(пункт 4.3.11), если они предусмотрены конструкцией вагона.
(п. 8.1.6 в ред.
Изменения N 1, введенного в действие Приказом Росстандарта от 30.05.2022 N 414-ст)
8.1.7 Грузовые и пассажирские (почтовые и багажные) вагоны, предусматривающие использование колесных средств погрузки, торцевые борта платформ и кронштейны для их опоры испытывают на прочность при действии сил по ГОСТ 33211-2014 (
пункты 4.3.6,
4.3.7) и ГОСТ 34093-2017
(пункт 6.17.1) методом размещения груза, имеющего необходимый вес и размеры.
(п. 8.1.7 в ред.
Изменения N 1, введенного в действие Приказом Росстандарта от 30.05.2022 N 414-ст)
8.1.8 Предохранительные устройства грузовых вагонов и тележек грузовых вагонов, предназначенные для предотвращения падения на путь оборудования, испытывают на прочность при действии сил по ГОСТ 33211-2014
(пункт 4.3.14) методом размещения груза, имеющего необходимый вес и размеры. Для предохранительных устройств пассажирских вагонов прочность оценивают методом, указанным в
ГОСТ 33274.
(в ред.
Изменения N 1, введенного в действие Приказом Росстандарта от 30.05.2022 N 414-ст)
8.1.9 Пассажирские вагоны подвергают действию сил:
а) сил растяжения и сжатия, действующих через автосцепку по ГОСТ 34093-2017
(пункт 6.4);
(в ред.
Изменения N 1, введенного в действие Приказом Росстандарта от 30.05.2022 N 414-ст)
б) сил, возникающих при поднятии вагона на домкратах по ГОСТ 34093-2017
(пункт 6.12).
(в ред.
Изменения N 1, введенного в действие Приказом Росстандарта от 30.05.2022 N 414-ст)
8.1.10 Несущие конструкции тележек грузовых вагонов подвергают действию:
(в ред.
Изменения N 1, введенного в действие Приказом Росстандарта от 30.05.2022 N 414-ст)
а) статических сил согласно режимам I а, I б и I в ГОСТ 33211-2014
(пункт 4.4);
(в ред.
Изменения N 1, введенного в действие Приказом Росстандарта от 30.05.2022 N 414-ст)
б) силы, действующей на площадку или прилив для размещения бокового скользуна ГОСТ 33211-2014
(пункт 4.5.1).
(в ред.
Изменения N 1, введенного в действие Приказом Росстандарта от 30.05.2022 N 414-ст)
8.1.11 Несущие конструкции тележек пассажирских вагонов локомотивной тяги подвергают действию сил согласно требованиям национальных стандартов
<1> государств, принявших настоящий стандарт.
--------------------------------
<1> В Российской Федерации действует ГОСТ Р 55821-2013 "Тележки пассажирских вагонов локомотивной тяги. Технические условия"
(пункт 5.2.1).
8.1.12 Силу тяжести, действующую на составную часть вагона от опертых на нее масс (кузова, груза и т.п.), контролируют методом статического взвешивания.
8.1.13 Давление силы тяжести насыпного или скатывающегося груза не контролируют при применении для загрузки грузового вагона при испытаниях предусмотренного эксплуатационной документацией на вагон груза, обеспечивающего наибольшее расчетное значение давления.
(в ред.
Изменения N 1, введенного в действие Приказом Росстандарта от 30.05.2022 N 414-ст)
Допускается применять другой насыпной или скатывающийся груз при условии отличия действующего на боковую стену относительно уровня пола вагона момента от давления силы тяжести не более чем на +/- 5%.
При испытании боковых стоек кузова полувагона допускается заменять действующее давление от силы тяжести насыпного или скатывающегося груза сосредоточенной силой, обеспечивающей отличие изгибающего момента в основании стойки не более чем на +/- 5%.
8.1.14 Испытания при действии сил, возникающих при текущем ремонте по ГОСТ 33211-2014
(пункт 4.2), проводят методом подъема кузова вагона домкратами до появления зазора между кузовом вагона и тележкой, установленного в эксплуатационной документации или необходимого для выполнения ремонтных операций.
(п. 8.1.14 в ред.
Изменения N 1, введенного в действие Приказом Росстандарта от 30.05.2022 N 414-ст)
8.1.15 Напряжения в конструкции определяют от действия каждой из сил в отдельности. Допускается прикладывать силы одновременно. Рекомендуется повторять приложение силы не менее трех раз.
8.2 Испытания на прочность при соударении
8.2.1 При испытаниях на прочность при соударении определяют напряжения в несущей конструкции кузова вагона согласно
8.1.1 и отсутствие остаточных деформаций согласно
8.1.2. Напряжения в конструкции определяют от действия каждой из сил по 8.2.2 в отдельности.
8.2.2 Несущую конструкцию кузова грузового вагона поочередно подвергают действию сил согласно ГОСТ 33211-2014
(пункт 4.1):
(в ред.
Изменения N 1, введенного в действие Приказом Росстандарта от 30.05.2022 N 414-ст)
а) силу тяжести прикладывают статически по
8.1.12;
б) давление силы тяжести насыпного или скатывающегося груза для грузовых вагонов прикладывают статически по
8.1.13;
в) давление жидкого груза для грузовых вагонов прикладывают статически по
8.1.4;
г) продольную силу, вертикальную составляющую силы инерции прикладывают по
8.2.4 -
8.2.6.
8.2.3 Несущие конструкции пассажирских вагонов и тележек пассажирских вагонов подвергают действию продольной силы и вертикальной составляющей силы инерции по
8.2.4 -
8.2.6 и согласно требованиям национальных стандартов
<1> государств, принявших настоящий стандарт.
--------------------------------
<1> В Российской Федерации действует ГОСТ Р 55821-2013 "Тележки пассажирских вагонов локомотивной тяги. Технические условия"
(пункт 5.2.1).
8.2.4 Испытаниям подвергают вагон, масса которого не отличается от максимальной расчетной массы более чем на +/- 3%.
8.2.5 Испытуемый вагон размещают между вагоном-бойком и подпором и со стороны вагона-бойка оборудуют автосцепкой с установленными тензорезисторами. Испытания проводят методом накатывания вагона-бойка на испытуемый вагон с измерением продольной силы в автосцепке и скорости движения вагона-бойка перед соударением.
Допускается проводить испытания методом накатывания испытуемого вагона на подпор с измерением продольной силы в автосцепке и скорости движения испытуемого вагона перед соударением. В этом случае испытуемый вагон оборудуют автосцепкой с установленными тензорезисторами со стороны подпора.
8.2.6 Соударения грузовых вагонов проводят со скоростями, указанными в таблице 2.
Таблица 2
Число соударений грузового вагона в каждом
интервале скоростей
Диапазон скорости соударения, км/ч | Количество соударений |
От 3 до 6 вкл. | 7 |
Св. 6 " 10 " | 7 |
" 10 " 15 " | 3 |
Соударения пассажирских вагонов проводят при силе, действующей в автосцепку, указанной в таблице 3. При этом скорость соударения не должна превысить 15 км/ч.
Таблица 3
Число соударений пассажирского вагона в каждом
интервале силы
Диапазон силы в автосцепке, МН | Количество соударений |
От 0,25 до 1,10 вкл. | 10 |
Св. 1,10 " 2,00 " | 10 |
" 2,00 " 2,50 " | 3 |
При соударениях вагонов наибольшая продольная сила в автосцепке должна лежать в диапазоне +/- 15% от нормативного значения силы, указанного в ГОСТ 33211-2014
[пункт 4.1.1, перечисление а)].
(в ред.
Изменения N 1, введенного в действие Приказом Росстандарта от 30.05.2022 N 414-ст)
8.3 Ходовые прочностные и ходовые динамические испытания
8.3.1 При ходовых прочностных испытаниях определяют напряжения в несущих конструкциях вагона по
8.1.1 и скорость движения испытуемого вагона.
Дополнительно при ходовых прочностных испытаниях возможно определение динамических сил, действующих на составные части несущей конструкции вагона, с использованием схем установки тензорезисторов, обоснованных расчетами и указанных в программе и методике испытаний.
8.3.2 При ходовых динамических испытаниях определяют:
- боковую (рамную) силу, действующую на раму тележки от буксового узла колесной пары;
- коэффициент динамической добавки обрессоренных частей;
- коэффициент динамической добавки необрессоренных частей;
- вертикальное ускорение обрессоренных частей;
- боковое ускорение обрессоренных частей;
- вертикальную силу, действующую от колеса на головку рельса;
- боковую силу, действующую от колеса на головку рельса;
- деформацию (динамический прогиб) рессорного подвешивания в вертикальном направлении;
- скорость движения испытуемого вагона.
Допускается не определять вертикальную и боковую силу, действующую от колеса на головку рельса.
Показатели определяют для первой по ходу движения вагона колесной пары и тележки. Для вагонов сочлененного типа показатели также определяют для первой по ходу движения колесной пары общей тележки, на которую опираются две соседние секции.
8.3.3 Ходовым прочностным испытаниям подвергают вагон, масса которого не отличается от максимальной расчетной массы более чем на +/- 3%.
Ходовым динамическим испытаниям подвергают порожний вагон и вагон, масса которого не отличается от максимальной расчетной массы более чем на +/- 3%. Для вагонов-платформ, предназначенных для перевозки контейнеров, рекомендуется дополнительно проводить испытания в состоянии загрузки порожними контейнерами.
Схемы размещения груза при испытаниях обосновывают расчетами и указывают в программе и методике испытаний.
8.3.4 На прямом участке пути регистрацию измеряемых процессов проводят, начиная со скорости движения 20 км/ч с шагом от 10 до 20 км/ч до скорости, не превышающей конструкционную скорость вагона.
(в ред.
Изменения N 1, введенного в действие Приказом Росстандарта от 30.05.2022 N 414-ст)
При движении по кривым регистрацию измеряемых процессов проводят со скоростями движения от 10 км/ч до скорости, соответствующей непогашенному ускорению 0,7 м/с2 или до значения непогашенного ускорения, предусмотренного эксплуатационной документацией, с шагом от 10 до 20 км/ч.
При движении на боковой путь по стрелочному переводу с крестовиной марки 1/11 или 1/9 регистрацию измеряемых процессов проводят со скоростями движения от 10 до 40 км/ч, с шагом не более 10 км/ч.
(в ред.
Изменения N 1, введенного в действие Приказом Росстандарта от 30.05.2022 N 414-ст)
При движении на боковой путь по стрелочному переводу с крестовиной марки 1/18 регистрацию измеряемых процессов проводят со скоростями движения от 10 до 80 км/ч, с шагом не более 10 км/ч.
В случае расчетного или экспериментального обнаружения резонансных явлений рекомендуется уменьшить диапазон изменения шага скорости.
8.3.5 Суммарная продолжительность регистрации измеряемых процессов для прямого участка пути в каждом интервале скоростей движения при каждом режиме загрузки должна составить не менее 180 с. Для участка пути, состоящего из прямой, переходной кривой и круговой кривой, а также для участка пути со стрелочным переводом на боковой путь, в каждом интервале скоростей движения при каждом режиме загрузки должна быть выполнена регистрация измеряемых процессов не менее чем при трех проходах.
8.3.6 Устойчивость вагонов от опрокидывания определяют расчетными методами: по ГОСТ 33211-2014
(пункт 7.4) для грузового вагона, по ГОСТ 34093-2017
(пункт 15.10) для пассажирского вагона.
(п. 8.3.6 в ред.
Изменения N 1, введенного в действие Приказом Росстандарта от 30.05.2022 N 414-ст)
8.3.7 Воздействие вагона на железнодорожный путь определяют и оценивают методами по
ГОСТ 34759.
(в ред.
Изменения N 1, введенного в действие Приказом Росстандарта от 30.05.2022 N 414-ст)
--------------------------------
<1> Сноска исключена с 01.09.2022. -
Изменение N 1, введенное в действие Приказом Росстандарта от 30.05.2022 N 414-ст.
8.4 Испытания на сопротивление усталости
8.4.1 При испытаниях на сопротивление усталости определяют число циклов до появления первой, а также последующих трещин длиной от 10 до 50 мм, определяемых визуально, и число циклов до разрушения или потери несущей способности составной части с указанием трещины, по которой это произошло. Полученные при испытаниях значения числа циклов округляют в меньшую сторону с точностью до тысячи циклов.
Если при испытаниях достигнуто базовое число циклов
N0 без появления трещины (для боковых рам и надрессорных балок по
ГОСТ 32400 без разрушения или потери несущей способности), то число циклов принимают равным 1,1·
N0.
(в ред.
Изменения N 1, введенного в действие Приказом Росстандарта от 30.05.2022 N 414-ст)
При испытаниях на сопротивление усталости составных частей несущей конструкции вагона, изготовленных из стали, базовое число циклов принимают равным N0 = 107.
(абзац введен
Изменением N 1, введенным в действие Приказом Росстандарта от 30.05.2022 N 414-ст)
8.4.2 Надрессорную балку в зонах опорных поверхностей для рессорного подвешивания через приспособление устанавливают на две цилиндрические опоры, допускающие поворот вокруг продольного направления. С одной стороны рекомендуется применять сферическую опору, допускающую поворот вокруг продольного и бокового направления. Расстояние между цилиндрическими опорами должно соответствовать расстоянию между осями рессорного подвешивания, указанному в конструкторской документации. Приспособления в зонах опорных поверхностей для рессорного подвешивания должны обеспечивать равномерное распределение сил реакции по местам опирания на упругие элементы. Силу прикладывают к опорной поверхности подпятника надрессорной балки. Возможная схема установки надрессорной балки приведена в
приложении Л.
(в ред.
Изменения N 1, введенного в действие Приказом Росстандарта от 30.05.2022 N 414-ст)
Для контроля действующей динамической силы рекомендуется применять тензорезисторы, установленные на нижнем поясе надрессорной балки в среднем сечении.
8.4.3 Боковую раму тележки грузового вагона в зонах проемов для установки колесных пар через переходники устанавливают на две цилиндрические опоры, допускающие поворот вокруг бокового направления. Если конструкторской документацией на тележку предусмотрена установка боковой рамы на цилиндрическую (с образующей в продольном направлении) поверхность адаптера, то с одной стороны рекомендуется применять сферическую опору, допускающую поворот вокруг продольного и бокового направления. Расстояние между цилиндрическими опорами должно соответствовать базе тележки, указанной в конструкторской документации. Силу прикладывают на опорную поверхность боковой рамы для установки рессорного подвешивания. Рекомендуемая схема установки боковой рамы приведена в
приложении Л.
(в ред.
Изменения N 1, введенного в действие Приказом Росстандарта от 30.05.2022 N 414-ст)
Для контроля действующей динамической силы рекомендуется применять тензорезисторы, установленные на нижнем поясе боковой рамы в среднем сечении.
8.4.4 Схемы приложения сил к составным частям несущей конструкции вагона обосновывают расчетом и указывают в конструкторской документации.
Для определения действующих амплитуд динамических напряжений применяют тензорезисторы, установленные в соответствии с
8.1.1.
8.4.5 При полных испытаниях на сопротивление усталости каждую составную часть испытывают при асимметричной циклически изменяющейся силе нагружения на нескольких уровнях постоянной амплитуды силы. Составные части несущей конструкции вагона (за исключением боковых рам и надрессорных балок по
ГОСТ 32400) испытывают до получения трещины или достижения базового числа циклов
N0 без обнаружения трещины. После обнаружения трещины рекомендуется продолжить испытания до разрушения или потери несущей способности. Среднее значение силы рекомендуется принимать близким к действующей на составную часть силе тяжести вагона с максимальной расчетной массой. Критерием завершения испытаний боковых рам и надрессорных балок по
ГОСТ 32400 является разрушение (или потеря несущей способности) или достижение базового числа циклов
N0 без разрушения или потери несущей способности.
(в ред.
Изменения N 1, введенного в действие Приказом Росстандарта от 30.05.2022 N 414-ст)
Амплитуды силы устанавливают таким образом, чтобы обеспечить получение трещины (для боковых рам и надрессорных балок по
ГОСТ 32400 разрушения или потери несущей способности) до достижения базового числа циклов не менее чем на четырех разных уровнях. При достижении на одном из уровней базового числа циклов оставшиеся составные части испытывают на более высоких уровнях амплитуды. При полных испытаниях боковых рам и надрессорных балок по
ГОСТ 32400 допускается испытать три образца на режиме, принятом для сокращенных испытаний.
(в ред.
Изменения N 1, введенного в действие Приказом Росстандарта от 30.05.2022 N 414-ст)
Рекомендуемые значения средней силы для боковой рамы и надрессорной балки тележки грузового вагона приведены в таблице 4, рекомендуемые амплитуды силы - в
таблице 5.
(в ред.
Изменения N 1, введенного в действие Приказом Росстандарта от 30.05.2022 N 414-ст)
Таблица 4
Рекомендуемые средние значения силы для испытаний боковой
рамы и надрессорной балки
В килоньютонах (тс)
Наименование детали | Среднее значение силы при максимальной расчетной статической осевой нагрузке |
196,0 (20,0), 230,5 (23,5) | 245,0 (25,0), 265,0 (27,0), 294,0 (30,0) |
Надрессорная балка | 461,0 (47,0) |
Боковая рама | 363,0 (37,0) | 392,0 (40,0) |
Таблица 5
Рекомендуемые амплитуды силы для испытаний боковой рамы
и надрессорной балки
Наименование составной части | Амплитуда силы для уровня с номером |
| | 2 | 3 | 4 | 5 | 6 | 7 |
Надрессорная балка | 353 ---- 36 | 343 ---- 35 | 323 ---- 33 | 314 ---- 32 | 304 ---- 31 | 284 ---- 29 | 274 ---- 28 | 245 ---- 25 |
Боковая рама | 294 ---- 30 | 265 ---- 27 | 245 ---- 25 | 225 ---- 23 | 206 ---- 21 | 186 ---- 19 | 176 ---- 18 | 157 ---- 16 |
<1> Для проведения сокращенных испытаний составной части с максимальной расчетной статической осевой нагрузкой более 230,5 кН (23,5 тс). <2> Для проведения сокращенных испытаний составной части с максимальной расчетной статической осевой нагрузкой не более 230,5 кН (23,5 тс). Примечание - В числителе - кН, в знаменателе - тс. |
8.4.6 При сокращенных испытаниях на сопротивление усталости каждую составную часть испытывают при асимметричном цикле нагружения с одной постоянной амплитудой силы. Сокращенным испытаниям на сопротивление усталости подвергают не менее трех образцов.
Составные части несущей конструкции вагона (за исключением боковых рам и надрессорных балок по
ГОСТ 32400) испытывают до получения трещины или достижения заданного числа циклов без появления усталостной трещины. После обнаружения трещины рекомендуется продолжить испытания до разрушения или потери несущей способности.
Критерием завершения испытаний боковых рам и надрессорных балок по
ГОСТ 32400 является потеря несущей способности (или разрушение) или достижение без потери несущей способности (или разрушения) базового числа циклов нагружения.
Для боковых рам и надрессорных балок по
ГОСТ 32400 с максимальной расчетной статической осевой нагрузкой 230,5 кН (23,5 тс) и 245,0 кН (25 тс) при отсутствии потери несущей способности (или разрушения) после достижения контрольного числа циклов нагружения [N], определенного в соответствии с ГОСТ 32400-2013
(подпункт 4.1.1.4), допускается завершить испытания:
- при достижении 4,0·106 циклов нагружения, если [N] меньше 4,0·106 циклов нагружения;
- при достижении [N], если [N] больше 4,0·106 циклов нагружения.
При этом за результат испытаний принимают фактическое достигнутое число циклов нагружения образца, а в протоколе сокращенных испытаний на сопротивление усталости приводят сведения об отсутствии потери несущей способности или разрушения образца.
При сокращенных испытаниях на сопротивление усталости составных частей несущей конструкции вагона (за исключением боковых рам и надрессорных балок по
ГОСТ 32400) амплитуду силы устанавливают таким образом, чтобы обеспечить получение трещины до достижения базового числа циклов. Рекомендуется среднее значение силы принимать близким к действующей на составную часть силе тяжести вагона с максимальной расчетной массой. Для боковых рам и надрессорных балок по
ГОСТ 32400 рекомендуемые средние значения силы приведены в
таблице 4, рекомендуемые амплитуды силы - в
таблице 5.
(п. 8.4.6 в ред.
Изменения N 1, введенного в действие Приказом Росстандарта от 30.05.2022 N 414-ст)
8.4.7 Визуальный контроль испытываемых составных частей (за исключением боковых рам и надрессорных балок по
ГОСТ 32400) и действующей динамической силы проводят не реже чем через 20 000 циклов, при испытаниях на сопротивление усталости боковых рам и надрессорных балок - не реже чем через 36 000 циклов.
(п. 8.4.7 в ред.
Изменения N 1, введенного в действие Приказом Росстандарта от 30.05.2022 N 414-ст)
8.4.8 При разрушении в ходе испытаний боковых рам или надрессорных балок по
ГОСТ 32400 изучают зоны их разрушения: фиксируют расположение зон разрушений, наличие литейных дефектов, измеряют фактические толщины стенок элементов деталей, описывают зоны и очаги зарождения усталостной трещины.
(п. 8.4.8 введен
Изменением N 1, введенным в действие Приказом Росстандарта от 30.05.2022 N 414-ст)
8.5 Испытания на несущую способность
8.5.1 При испытаниях на несущую способность визуально определяют отсутствие разрушения или потери несущей способности составной части при статическом приложении вертикальной силы.
8.5.2 Установка надрессорной балки и боковой рамы, приложение сил должны соответствовать
8.4.2 и
8.4.3.
8.5.3 Испытания проводят при возрастании силы со скоростью не более 50 кН/с. При превышении величины приложенной силы не менее чем на 5% значения, указанного в ГОСТ 32400-2013
(подпункт 4.1.1.1), допускается не доводить испытания до потери несущей способности или разрушения. При этом результатом испытаний считают наибольшую величину приложенной силы, а в протоколе испытаний приводят сведения об отсутствии разрушения или потери несущей способности.
(п. 8.5.3 в ред.
Изменения N 1, введенного в действие Приказом Росстандарта от 30.05.2022 N 414-ст)
8.6 Вибрационные испытания
8.6.1 При вибрационных испытаниях по
8.1.1 к раме кузова в вертикальном направлении прикладывают периодическую возмущающую силу с изменением частоты от 1 до 25 Гц с шагом от 1 до 2 Гц. Измеряют возмущающую силу и частоту ее приложения.
Допускается возбуждение колебаний кузова вагона выполнять вибрационным или ударным способом, с использованием вибраторов, с реализацией удара по кузову (например, по типу испытаний на соударение, выполняемого с подпором объекта испытаний), сбросом вагона с клиньев.
(абзац введен
Изменением N 1, введенным в действие Приказом Росстандарта от 30.05.2022 N 414-ст)
8.6.2 Определяют вертикальные перемещения в контрольных точках, расположенных вдоль основных несущих составных частей рамы кузова. В контрольных точках допускается определять ускорение в вертикальном направлении или напряжения.
8.6.3 На каждом уровне частоты периодическую силу необходимо выдерживать в течение промежутка времени, в котором длительность записи установившегося процесса обеспечивает число экстремумов процесса в соответствии с ГОСТ 25.101-83 (пункт 1.4).
(п. 8.6.3 в ред.
Изменения N 1, введенного в действие Приказом Росстандарта от 30.05.2022 N 414-ст)
8.7 Испытания на ресурс при соударении
8.7.1 При испытаниях на ресурс при соударении (циклическая долговечность) визуально определяют появление и развитие повреждений и остаточных деформаций несущей конструкции кузова вагона и подвесного оборудования вагона. При визуальном обнаружении остаточных деформаций проводят измерение размеров на соответствие требованиям конструкторской и эксплуатационной документации.
При испытаниях на ресурс при соударении (функциональная долговечность) определяют работоспособность оборудования вагона на соответствие требованиям эксплуатационной документации.
При испытаниях на ресурс при соударении допускается замена поврежденных упоров автосцепного устройства и элементов их крепления.
(абзац введен
Изменением N 1, введенным в действие Приказом Росстандарта от 30.05.2022 N 414-ст)
8.7.2 Испытаниям подвергают вагон, масса которого не отличается от максимальной расчетной массы более чем на +/- 3%.
8.7.3 Испытуемый вагон размещают между вагоном-бойком и подпором и оборудуют автосцепкой с установленными тензорезисторами со стороны вагона-бойка. Испытания проводят методом накатывания вагона-бойка на испытуемый вагон с измерением продольной силы в автосцепке со стороны вагона-бойка и скорости движения вагона-бойка перед соударением, с последующим накатыванием испытуемого вагона (возможно в сцепе с вагоном-бойком) на подпор. В случае, если при расчете по формуле
(9.28) коэффициент
Kуд, учитывающий несимметричность напряженного состояния конструкции вагона по его длине при соударениях и равную вероятность приложения ударных сил к автосцепкам с обоих концов вагона, принят равным 1, необходимо не реже чем через каждые 500 ударов изменять направление приложения продольной силы к вагону путем разворота испытуемого вагона (с перестановкой автосцепки, оборудованной тензорезисторами).
(в ред.
Изменения N 1, введенного в действие Приказом Росстандарта от 30.05.2022 N 414-ст)
Допускается производить испытания методом накатывания вагона-бойка на испытуемый вагон в сцепе с подпором с измерением продольной силы в автосцепке со стороны вагона-бойка и скорости движения вагона-бойка перед соударением. В этом случае необходимо изменять направление приложения продольной силы к вагону для предупреждения перемещения груза, непредусмотренного эксплуатационной документацией, но не реже чем через каждые 500 ударов.
8.7.4 Скорость движения вагона-бойка перед соударением не должна превышать 15 км/ч. При этом продольная сила в автосцепке не должна превысить более чем на 10% силу, указанную в ГОСТ 33211-2014
[пункт 4.1.1, перечисление а)].
(в ред.
Изменения N 1, введенного в действие Приказом Росстандарта от 30.05.2022 N 414-ст)
8.7.5 Соударения повторяют до накопления суммарного повреждения
Du(
n) не менее расчетного повреждения
Dрасч, соответствующего расчетному ресурсу несущей конструкции вагона или ее составной части. Суммарное накопленное повреждение
Du(
n) определяют в процессе испытаний по формуле
(9.26), расчетное повреждение
Dрасч - по формуле
(9.27).
Визуальный контроль повреждений и (или) контроль работоспособности оборудования проводят в процессе испытаний периодически, не реже чем при накоплении суммарного повреждения, соответствующего одному году расчетного ресурса вагона.
(п. 8.7.5 в ред.
Изменения N 1, введенного в действие Приказом Росстандарта от 30.05.2022 N 414-ст)
8.8 Испытания на прочность крепления подвесного оборудования
8.8.1 При испытаниях определяют напряжения согласно
8.1.1 и отсутствие остаточных деформаций согласно
8.1.2 в составных частях несущей конструкции вагона, на которых закреплено подвесное оборудование. Схемы установки тензорезисторов приводят в программе и методике испытаний.
8.8.2 Составные части несущей конструкции вагона, на которых закреплено подвесное оборудование, подвергают действию сил по ГОСТ 33211-2014
(пункт 4.3.16).
(в ред.
Изменения N 1, введенного в действие Приказом Росстандарта от 30.05.2022 N 414-ст)
8.8.3 Испытаниям подвергают порожний вагон. При условии реализации требуемых значений ускорений, действующих на подвесное оборудование, допускается испытывать вагон, масса которого не отличается от максимальной расчетной массы более чем на +/- 3%.
(п. 8.8.3 в ред.
Изменения N 1, введенного в действие Приказом Росстандарта от 30.05.2022 N 414-ст)
8.8.4 Испытания проводят методом накатывания испытуемого вагона на подпор с измерением скорости движения испытуемого вагона перед соударением, ускорения в продольном и вертикальном направлении, действующего на подвесное оборудование.
Допускается проводить испытания методом накатывания вагона-бойка на свободно стоящий испытуемый вагон либо, при условии реализации требуемых значений ускорений, методом накатывания вагона-бойка на испытуемый вагон, стоящий в сцепе с вагонами подпора.
(в ред.
Изменения N 1, введенного в действие Приказом Росстандарта от 30.05.2022 N 414-ст)
8.8.5 Соударения грузовых вагонов проводят со скоростями, указанными в
таблице 2, соударения пассажирских вагонов - при силе, действующей в автосцепку, указанной в
таблице 3. При этом ускорение в продольном и вертикальном направлениях для грузового вагона должно быть не менее указанного в ГОСТ 33211-2014
(пункт 4.3.16), для пассажирского вагона - не менее значений, при которых реализуются силы инерции оборудования в соответствии с ГОСТ 34093-2017 (
пункты 6.6 -
6.8).
(в ред.
Изменения N 1, введенного в действие Приказом Росстандарта от 30.05.2022 N 414-ст)
8.9 Испытания на прочность при проведении погрузочно-разгрузочных работ
8.9.1 При испытаниях на прочность при проведении погрузочно-разгрузочных работ определяют напряжения в несущей конструкции кузова вагона и ее составных частях, подвергающихся приложению сил, согласно
8.1.1 и/или отсутствие остаточных деформаций согласно
8.1.2. Дополнительно проверяют работоспособность запорных и разгрузочных устройств и механизмов.
8.9.2 Режимы испытаний приводят в программе и методике испытаний в соответствии с эксплуатационной документацией и
ГОСТ 22235. Рекомендуется повторять создание режимов при испытаниях не менее двух раз.
8.9.3 Полувагоны испытывают при действии сил:
(в ред.
Изменения N 1, введенного в действие Приказом Росстандарта от 30.05.2022 N 414-ст)
а) на несущую конструкцию при разгрузке на вагоноопрокидывателе по ГОСТ 33211-2014
(пункт 4.3.5);
(в ред.
Изменения N 1, введенного в действие Приказом Росстандарта от 30.05.2022 N 414-ст)
б) на крышки люков и составные части вагона, обеспечивающие их крепление и запор по ГОСТ 33211-2014
(пункт 4.3.17).
(в ред.
Изменения N 1, введенного в действие Приказом Росстандарта от 30.05.2022 N 414-ст)
8.9.4 Вагоны-цистерны и вагоны-хопперы испытывают в режиме свободного гравитационного слива жидкого или высыпания насыпного груза, если это предусмотрено эксплуатационной документацией. Рекомендуется контролировать напряжения, действующие в оболочке котла вагона-цистерны или в стенках вагона-хоппера.
(в ред.
Изменения N 1, введенного в действие Приказом Росстандарта от 30.05.2022 N 414-ст)
8.9.5 Вагоны-цистерны и вагоны-хопперы испытывают в режиме принудительного передавливания груза сжатым воздухом, инертным газом или жидкостью, если это предусмотрено эксплуатационной документацией.
8.9.6 Вагоны-самосвалы испытывают в предусмотренных эксплуатационной документацией режимах подъема (наклона) кузова.
9 Обработка результатов испытаний
9.1 Статические испытания на прочность
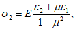
9.1.1 Для одиночных тензорезисторов при измеренной относительной деформации

соответствующее напряжение
, Па, определяют по формуле:

(9.1)
где E - модуль Юнга материала, Па.
Для установленных по направлению главных относительных деформаций

,

тензорезисторов соответствующие главные напряжения
, 
, Па, определяют по формулам:

(9.2)

(9.3)
где E - модуль Юнга материала, Па;

- коэффициент Пуассона материала.
Для установленных по ортогональным направлениям
x,
y и под углом 45° к ним тензорезисторов, измеряющих относительные деформации,

,

,
, соответствующие главные относительные деформации

,

определяют по формулам:

(9.4)

(9.5)

(9.6)
Эквивалентное напряжение

, Па, определяют по формуле:

(9.7)
9.1.2 Напряжения от действия каждой из сил в отдельности суммируют согласно сочетаниям одновременно действующих сил в режимах, указанных в
ГОСТ 33211 для грузового вагона и в
ГОСТ 34093 для пассажирского вагона. Допускается при отличии значения приложенной силы при испытаниях от нормативного в пределах +/- 15% при совпадении схем приложения использовать для относительной деформации коэффициент масштабирования, равный отношению значения нормативной силы к значению силы при испытаниях.
(в ред.
Изменения N 1, введенного в действие Приказом Росстандарта от 30.05.2022 N 414-ст)
9.2 Испытания на прочность при соударении
9.2.1 Для получения мгновенных значений напряжения при действии продольной силы в автосцепку вагона и вертикальной составляющей силы инерции по перечислению
г) 8.2.2 методом наименьших квадратов находят линейные зависимости между силой, действующей на автосцепку, и максимальными и минимальными значениями напряжений в контрольной зоне при соударении.
(п. 9.2.1 в ред.
Изменения N 1, введенного в действие Приказом Росстандарта от 30.05.2022 N 414-ст)
9.2.2 По полученным в соответствии с
9.2.1 зависимостям определяют максимальное и минимальное значения напряжения для нормированной продольной силы по ГОСТ 33211-2014
[пункт 4.1.1, перечисление а)].
(п. 9.2.2 в ред.
Изменения N 1, введенного в действие Приказом Росстандарта от 30.05.2022 N 414-ст)
9.2.3 Для силы, действующей в автосцепку грузового вагона в режиме I б в соответствии с ГОСТ 33211-2014
[пункта 4.1.1, перечисление б)], принимают значение напряжения по полученной по
9.2.2 зависимости с обратным знаком.
(в ред.
Изменения N 1, введенного в действие Приказом Росстандарта от 30.05.2022 N 414-ст)
9.2.4 Для определения значения напряжения, соответствующего ГОСТ 33211-2014
(подраздел 4.1), значение по
9.2.2 складывают со значением напряжения, полученным при статических испытаниях на прочность при действии сил по
8.2.2 перечисления а) -
в).
(в ред.
Изменения N 1, введенного в действие Приказом Росстандарта от 30.05.2022 N 414-ст)
9.2.5 Для грузового вагона для определения значения напряжения, соответствующего режиму I б по ГОСТ 33211-2014
(подраздел 4.1), значение по
9.2.3 складывают со значением напряжения, полученным при статических испытаниях на прочность при действии сил по
8.2.2 перечисления а) -
в).
(в ред.
Изменения N 1, введенного в действие Приказом Росстандарта от 30.05.2022 N 414-ст)
9.2.6 Для грузового вагона результаты испытаний по
9.2.2 и
9.2.3 совместно с результатами ходовых прочностных испытаний используют для определения запаса сопротивления усталости по требованиям ГОСТ 33211-2014 (
пункты 4.6.1,
4.6.2) с учетом влияния асимметрии цикла согласно ГОСТ 25.101-83 (подраздел 3.4).
(в ред.
Изменения N 1, введенного в действие Приказом Росстандарта от 30.05.2022 N 414-ст)
9.3 Ходовые прочностные испытания
9.3.1 При обработке результатов ходовых прочностных испытаний используют главное напряжение. Для получения мгновенных значений напряжения используют методы обработки по
9.1.1. При обработке временных зависимостей сил и напряжений учитывают частоты в диапазоне от 0,1 до 20,0 Гц. Амплитуды напряжения определяют методом полных циклов или методом "дождя" по ГОСТ 25.101-83 (пункт 3.3.3). Амплитуды менее 10 МПа для сталей и менее 3 МПа для алюминиевых сплавов допускается не учитывать.
(в ред.
Изменения N 1, введенного в действие Приказом Росстандарта от 30.05.2022 N 414-ст)
9.3.2 Для каждого участка пути по
6.4 и диапазона скорости движения по
8.3.4 строят диаграмму плотности распределения амплитуд напряжения и определяют среднюю частоту изменения напряжения
fэ,l,k, Гц, по формуле:

(9.8)
где g(f) - нормированная спектральная плотность процесса, 1/Гц:

(9.9)
S(f) - спектральная плотность процесса, Па2/Гц;
D - дисперсия процесса, Па2;
l - номер участка;
k - номер уровня значения скорости движения.
9.3.3 Результаты испытаний используют для определения приведенной эквивалентной амплитуды динамического напряжения и коэффициента запаса сопротивления усталости согласно ГОСТ 33211-2014 (
пункты 6.3.2 -
6.3.6) для грузового вагона и ГОСТ 34093-2017
(раздел 14) для пассажирского вагона.
(п. 9.3.3 в ред.
Изменения N 1, введенного в действие Приказом Росстандарта от 30.05.2022 N 414-ст)
9.4 Ходовые динамические испытания
9.4.1 Результаты ходовых динамических испытаний систематизируют в зависимости от режима загрузки по
8.3.3, участка пути по
6.4 и диапазона скорости движения по
8.3.4.
9.4.2 При обработке временных зависимостей боковой силы, действующей от буксового узла на раму тележки, коэффициента динамической добавки обрессоренных и необрессоренных частей, деформации (динамического прогиба) рессорного подвешивания в вертикальном направлении, вертикальной и боковой силы, действующей от колеса на рельс, учитывают частоты в диапазоне от 0 до 20 Гц. При обработке временных зависимостей вертикального и бокового ускорения учитывают частоты в диапазоне от 0,01 до 20,00 Гц.
(в ред.
Изменения N 1, введенного в действие Приказом Росстандарта от 30.05.2022 N 414-ст)
9.4.3 Мгновенное значение рамной силы определяют суммированием боковых сил, действующих от каждого из буксовых узлов одной колесной пары.
9.4.4 Максимальные значения показателей динамических качеств (рамной силы, коэффициента динамической добавки обрессоренных и необрессоренных частей, вертикального и бокового ускорения), деформации (динамического прогиба) рессорного подвешивания в вертикальном направлении принимают равными 99,85% для распределений вероятностей, построенных по текущим значениям.
(в ред.
Изменения N 1, введенного в действие Приказом Росстандарта от 30.05.2022 N 414-ст)
9.4.5 Показатель плавности хода для пассажирского вагона определяют по ГОСТ 34093-2017
(приложение В).
(в ред.
Изменения N 1, введенного в действие Приказом Росстандарта от 30.05.2022 N 414-ст)
9.4.6 При измерении вертикальной и боковой сил, действующих от колеса на рельс, мгновенное значение коэффициента запаса устойчивости от схода колеса с рельса определяют по формуле:

(9.10)
где

- угол наклона образующей гребня колеса к горизонтали, градус, для колес без износа по
ГОСТ 10791 принимают

;

- коэффициент трения между гребнем колеса и рельсом, принимают 0,30;
PВ - вертикальная сила, действующая от колеса на рельс (положительное направление вниз), Н;
Pб - боковая сила, действующая от колеса на рельс, Н;
- скользящее среднее от
PВ с шириной окна 2 м;
- скользящее среднее от
Pб с шириной окна 2 м.
Коэффициент запаса устойчивости от схода колеса с рельса оценивают для случая действия боковой силы в направлении вползания гребня колеса на головку рельса.
Допускается определять мгновенное значение коэффициента запаса устойчивости от схода колеса с рельса по формуле:

(9.11)
где

- угол наклона образующей гребня колеса к горизонтали, градус, для колес без износа по
ГОСТ 10791 принимают

;

- коэффициент трения между гребнем колеса и рельсом, принимают 0,30;
Qш - вертикальная статическая сила, действующая на шейку оси колесной пары при данном режиме загрузки вагона, Н;
q - сила тяжести массы неподрессоренных частей, приходящихся на колесную пару, Н;
2
b - расстояние между серединами шеек оси колесной пары, м, принимают по номинальному значению по
ГОСТ 33200;
(в ред.
Изменения N 1, введенного в действие Приказом Росстандарта от 30.05.2022 N 414-ст)

,

- расчетные расстояния от точек контакта колес с рельсами до середины соответствующих (набегающей и ненабегающей) шеек оси колесной пары, м, для колесных пар по
ГОСТ 4835 принимают 0,25 и 0,22 м соответственно;
l - расстояние между кругами катания колес колесной пары с рельсами, м, для колесных пар по
ГОСТ 4835 принимают по номинальному значению
l = 1,58 м;
r - радиус круга катания колеса, м, для колес по
ГОСТ 10791 принимают по номинальному значению
r = 0,4785 м;
(в ред.
Изменения N 1, введенного в действие Приказом Росстандарта от 30.05.2022 N 414-ст)

,

- коэффициент динамической добавки необрессоренных частей для набегающего и ненабегающего колес соответственно, коэффициенты принимают положительными в случае обезгрузки колес;
Hр - рамная сила (принимается положительной в случае направления в сторону набегающего колеса), Н.
9.4.7 Минимальное значение коэффициента запаса устойчивости от схода колеса с рельса принимают равным 0,15% левой односторонней квантили вариационного ряда, соответствующего значениям
Kус по формуле
(9.10).
(п. 9.4.7 в ред.
Изменения N 1, введенного в действие Приказом Росстандарта от 30.05.2022 N 414-ст)
9.5 Испытания на сопротивление усталости
9.5.1 При обработке результатов испытаний используют главное напряжение. Для боковой рамы и надрессорной балки обработку результатов испытаний проводят по действующей силе. Для получения мгновенных значений напряжения используют методы обработки по
9.1.1. Амплитуды напряжения определяют методом полных циклов или методом "дождя" по ГОСТ 25.101-83 (пункт 3.3.3).
(в ред.
Изменения N 1, введенного в действие Приказом Росстандарта от 30.05.2022 N 414-ст)
Допускается дополнять результаты измерения напряжения результатами расчета напряжения, действующего в месте образования трещины.
9.5.2 Ниже приведен метод обработки результатов испытаний для боковой рамы и надрессорной балки по
ГОСТ 32400. Обработка результатов испытаний составных частей несущей конструкции вагона по амплитудам напряжения проводится аналогично. Расчеты проводят с точностью до шести значащих цифр.
При обработке результатов испытаний боковых рам и надрессорных балок по
ГОСТ 32400 необходимо использовать число циклов до разрушения или потери несущей способности; результатов испытаний составных частей несущей конструкции вагона (за исключением боковых рам и надрессорных балок по
ГОСТ 32400) - число циклов до появления трещины.
(в ред.
Изменения N 1, введенного в действие Приказом Росстандарта от 30.05.2022 N 414-ст)
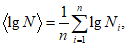
Средние значения логарифмов амплитуд переменной силы

, Н, и чисел циклов

до разрушения или потери несущей способности определяют по формулам:
(в ред.
Изменения N 1, введенного в действие Приказом Росстандарта от 30.05.2022 N 414-ст)

(9.12)

(9.13)
где n - число испытанных образцов;
- амплитуда переменной силы уровня
i;
Ni - число циклов до разрушения или потери несущей способности при испытаниях боковых рам или надрессорных балок с амплитудой переменной силы уровня
i (для составных частей несущей конструкции вагона, за исключением боковых рам и надрессорных балок по
ГОСТ 32400, принимается число циклов до появления трещины);
(в ред.
Изменения N 1, введенного в действие Приказом Росстандарта от 30.05.2022 N 414-ст)
i - порядковый номер уровня переменной силы.
Средние квадратичные отклонения логарифмов амплитуд переменной силы

и чисел циклов

определяют по формулам:

(9.14)

(9.15)
Коэффициент линейной корреляции

вычисляют по формуле:

(9.16)
Коэффициент линейной корреляции должен быть не менее значений, указанных в таблице 6. Если полученный коэффициент корреляции меньше, то допускается выявить и исключить из рассмотрения недостоверный результат испытаний, а затем выполнить повторную статистическую обработку результатов испытаний. Если коэффициент линейной корреляции вновь меньше значений, указанных в таблице 6, то рекомендуется провести дополнительные испытания образцов в режимах с наибольшим разбросом результатов.
(в ред.
Изменения N 1, введенного в действие Приказом Росстандарта от 30.05.2022 N 414-ст)
Таблица 6
Минимальные значения коэффициента корреляции
Число степеней свободы <*> | Коэффициент корреляции |
6 | 0,707 |
7 | 0,666 |
8 | 0,632 |
9 | 0,602 |
10 | 0,576 |
11 | 0,553 |
12 | 0,532 |
<*> ( п - 2), где п - число испытанных образцов. |
Показатель степени в уравнении кривой усталости m определяют по формуле:
(в ред.
Изменения N 1, введенного в действие Приказом Росстандарта от 30.05.2022 N 414-ст)

(9.17)
Если при статистической обработке результатов полных испытаний получен показатель степени кривой усталости m > 0, что свидетельствует о нарушении физического смысла кривой усталости (с увеличением амплитуды цикла увеличивается циклическая долговечность), допускается выявить и исключить из рассмотрения недостоверный результат испытаний, а затем выполнить повторную статистическую обработку результатов испытаний.
(абзац введен
Изменением N 1, введенным в действие Приказом Росстандарта от 30.05.2022 N 414-ст)
Расчетные значения предела выносливости и коэффициента запаса сопротивления усталости признают достоверными при получении показателя степени кривой усталости
m < 0 и коэффициента линейной корреляции не менее значения в соответствии с
таблицей 6.
(абзац введен
Изменением N 1, введенным в действие Приказом Росстандарта от 30.05.2022 N 414-ст)
По полученным статистическим характеристикам вычисляют среднее значение логарифма предела выносливости

при базовом числе циклов
N0 по формуле:
(в ред.
Изменения N 1, введенного в действие Приказом Росстандарта от 30.05.2022 N 414-ст)

(9.18)
Логарифм предела выносливости

, а по нему предел выносливости
, Н, при базовом числе циклов
N0 = 10
7 и односторонней доверительной вероятности

определяют по формуле:

(9.19)
где

- квантиль нормального распределения для доверительной вероятности
, 
для

;

- мера индивидуального рассеивания частных величин пределов выносливости относительно линии регрессии;

- основная ошибка средней величины предела выносливости;

- основная ошибка меры индивидуального рассеивания предела выносливости.
9.5.3 Результаты определения предела выносливости по амплитуде напряжения используют для определения коэффициента запаса сопротивления усталости согласно требованиям ГОСТ 33211-2014 (
пункт 6.3.2 -
6.3.4).
(в ред.
Изменения N 1, введенного в действие Приказом Росстандарта от 30.05.2022 N 414-ст)
9.5.4 Результаты определения предела выносливости по амплитуде силы используют для определения коэффициента запаса сопротивления усталости

боковой рамы и надрессорной балки согласно требованиям
ГОСТ 32400:

(9.20)
- приведенную амплитуду вертикальной силы, Н, действующей на деталь, вычисляют по формуле:

(9.21)
Приказом Росстандарта от 30.05.2022 N 414-ст)
Pст - действующая на деталь сила тяжести вагона с максимальной расчетной массой, Н;
Kи - коэффициент использования грузоподъемности вагона, равный 1 при 100% груженом пробеге вагона;
(абзац введен
Изменением N 1, введенным в действие Приказом Росстандарта от 30.05.2022 N 414-ст)
Kд,э - эквивалентный коэффициент динамической добавки:

(9.22)
m - показатель степени в уравнении кривой усталости, принимают по результатам испытаний;
(в ред.
Изменения N 1, введенного в действие Приказом Росстандарта от 30.05.2022 N 414-ст)
k - счетчик номеров уровней значения скорости движения

(9.23)
Росстандарта от 30.05.2022 N 414-ст)
pv,k - вероятность реализации значения скорости
Vk, принимают согласно ГОСТ 33211-2014
(пункт 4.6.2);
(в ред.
Изменения N 1, введенного в действие Приказом Росстандарта от 30.05.2022 N 414-ст)
Tр - расчетный ресурс, с, боковой рамы или надрессорной балки;
fэ - средняя частота изменения силы, Гц:

(9.24)

- коэффициент, равный 1,7 для надрессорной балки и 2,0 для боковой рамы;
g - ускорение свободного падения, равное 9,81 м/с2;
f1 - расчетный статический прогиб рессорного подвешивания вагона с максимальной расчетной массой, м;
коэффициент A принимают 0,10 для надрессорной балки и 0,15 для боковой рамы, B = 3,6·10-4 м/(м/с), V0 = 15 м/с;

- корректирующая добавка, Н, вычисляемая по формуле:

(9.25)

- коэффициент чувствительности к асимметрии цикла, принимают
;
Pm - средняя сила, действующая на деталь при испытаниях, Н.
9.5.5 По результатам сокращенных испытаний на сопротивление усталости боковых рам и надрессорных балок по
ГОСТ 32400 определение статистических характеристик показателей сопротивления усталости не выполняют. Результаты испытаний считают положительными, если все испытанные детали выдержали до разрушения (потери несущей способности) не менее числа циклов, определенного в соответствии с ГОСТ 32400-2013
(подпункт 4.1.1.4).
(п. 9.5.5 введен
Изменением N 1, введенным в действие Приказом Росстандарта от 30.05.2022 N 414-ст)
9.6 Испытания на несущую способность
Результаты испытаний на несущую способность не требуют обработки.
9.7 Вибрационные испытания
9.7.1 Амплитуды перемещения (ускорения или напряжения) определяют методом полных циклов или методом "дождя" по ГОСТ 25.101-83 (пункт 3.3.3).
(в ред.
Изменения N 1, введенного в действие Приказом Росстандарта от 30.05.2022 N 414-ст)
9.7.2 По результатам испытаний строят зависимость максимальной амплитуды динамических процессов от частоты действующей динамической силы. Частоту первой формы вертикальных изгибных колебаний определяют по наличию экстремума на зависимости.
9.8 Испытания на ресурс при соударении
9.8.1 В процессе испытаний после каждого соударения определяют суммарное накопленное повреждение Du(n) по формуле:

(9.26)
где i - порядковый номер соударения;
n - число соударений;
F1,i, F2,i - максимальные силы, Н, действующие в автосцепке со стороны вагона-бойка при соударении вагона-бойка с испытуемым вагоном и при соударении сцепа из вагона-бойка и испытуемого вагона с вагонами подпора соответственно;
(в ред.
Изменения N 1, введенного в действие Приказом Росстандарта от 30.05.2022 N 414-ст)
m - показатель степени, принимают m = 4.
9.8.2 Суммарное накопленное повреждение при испытаниях сравнивают с расчетным повреждением Dрасч:

(9.27)
где
Fk - среднее значение силы, Н, принимают по
таблице 7;
pk - вероятность силы, принимают по
таблице 7;
m - показатель степени, принимают m = 4;
Nрасч - расчетное число действия сил соударения
Nрасч =
NудTрKуд(1 -
KП), (9.28)
Tр - расчетный ресурс несущей конструкции вагона или испытуемой составной части в годах;
KП - коэффициент порожнего пробега вагона, заданный в конструкторской документации или эксплуатационных документах, рекомендуется принимать KП = 0;
Kуд - коэффициент, учитывающий несимметричность напряженного состояния конструкции вагона по его длине при соударениях и равную вероятность приложения ударных сил к автосцепкам с обоих концов вагона; при определении циклической долговечности элементов консольной части вагона принимают равным 0,6, при определении функциональной долговечности - равным 1,0;
Nуд - расчетное число соударений за один год эксплуатации вагона, принимают по таблице 7.
Таблица 7
Распределение ударных сил
Интервал силы, МН | Среднее значение силы, МН | Для циклической долговечности | Для функциональной долговечности |
Число сил за год | Вероятность | Число сил за год | Вероятность |
Для грузовых вагонов |
От 0,1 до 0,4 вкл. | 0,25 | 2540 | 0,126000 | 2540 | 0,1320 |
Св. 0,4 " 0,8 " | 0,60 | 5760 | 0,285000 | 5760 | 0,3000 |
" 0,8 " 1,2 " | 1,00 | 5660 | 0,280000 | 5660 | 0,2940 |
" 1,2 " 1,6 " | 1,40 | 3700 | 0,183000 | 3700 | 0,1930 |
" 1,6 " 2,0 " | 1,80 | 1554 | 0,077000 | 1554 | 0,0810 |
" 2,0 " 2,4 " | 2,20 | 725 | 0,036000 | - | - |
" 2,4 " 2,8 " | 2,60 | 202 | 0,010200 | - | - |
" 2,8 " 3,2 " | 3,00 | 48 | 0,002400 | - | - |
" 3,2 " 3,6 " | 3,40 | 6 | 0,000300 | - | - |
" 3,6 " 4,0 " | 3,80 | 2 | 0,000100 | - | - |
Итого | | 20197 | 1,000000 | 19214 | 1,0000 |
Окончание таблицы 7
Интервал силы, МН | Среднее значение силы, МН | Для циклической долговечности | Для функциональной долговечности |
Число сил за год | Вероятность | Число сил за год | Вероятность |
Для пассажирских вагонов |
От 0,0 до 0,1 вкл. | 0,06 | 20124 | 0,746000 | 20124 | 0,7460 |
Св. 0,1 " 0,3 " | 0,20 | 6084 | 0,225000 | 6084 | 0,2250 |
" 0,3 " 0,5 " | 0,40 | 345 | 0,012500 | 345 | 0,0128 |
" 0,5 " 0,7 " | 0,60 | 279 | 0,010300 | 279 | 0,0104 |
" 0,7 " 0,9 " | 0,80 | 103 | 0,003800 | 103 | 0,0039 |
" 0,9 " 1,1 " | 1,00 | 50 | 0,001860 | 35 | 0,0014 |
" 1,1 " 1,3 " | 1,20 | 10 | 0,000370 | 12 | 0,0004 |
" 1,3 " 1,5 " | 1,40 | 2 | 0,000070 | 3 | 0,0001 |
" 1,5 " 1,7 " | 1,60 | 3 | 0,000060 | - | - |
" 1,7 " 1,9 " | 1,80 | 0,000030 | - | - |
" 1,9 " 2,1 " | 2,00 | 0,000007 | - | - |
" 2,1 " 2,3 " | 2,20 | 0,000002 | - | - |
" 2,3 " 2,5 " | 2,40 | 0,000001 | - | - |
Итого | | 27000 | 1,000000 | 26985 | 1,0000 |
9.8.3 Критерием завершения испытаний является:
Du(n) >= Dрасч. (9.29)
9.9 Испытания на прочность крепления подвесного оборудования
9.9.1 Для получения мгновенных значений напряжения в составных частях несущей конструкции вагона, на которых закреплено подвесное оборудование, при действии продольной силы в автосцепку используют методы обработки по
9.1.1. При обработке временных зависимостей напряжения и продольного и вертикального ускорения учитывают частоты в диапазоне от 0,1 до 20,0 Гц. Максимальные и минимальные значения напряжений и ускорений определяют по
9.2.1 и
9.2.2.
(в ред.
Изменения N 1, введенного в действие Приказом Росстандарта от 30.05.2022 N 414-ст)
9.9.2 Используя метод наименьших квадратов для нахождения линейных зависимостей строят зависимости максимальных и минимальных значений напряжения по
9.9.1 от максимального по модулю ускорения в продольном и вертикальном направлении. По полученным зависимостям в контрольных зонах определяют напряжения, соответствующие ускорению:
- не менее нормативного значения в соответствии с ГОСТ 33211-2014
(пункт 4.3.16) для грузового вагона;
- не менее значений, при которых реализуются силы инерции оборудования в соответствии с ГОСТ 34093-2017 (
пункты 6.6 -
6.8) для пассажирского вагона.
(п. 9.9.2 в ред.
Изменения N 1, введенного в действие Приказом Росстандарта от 30.05.2022 N 414-ст)
9.10 Испытания на прочность при погрузке и разгрузке
Для получения статических или мгновенных значений напряжения используют методы обработки по
9.1.1. При обработке временных зависимостей напряжения учитывают частоты в диапазоне от 0,1 до 20,0 Гц. Максимальные и минимальные значения напряжений определяют по
9.2.1 и
9.2.2.
(в ред.
Изменения N 1, введенного в действие Приказом Росстандарта от 30.05.2022 N 414-ст)
10 Оформление результатов испытаний
10.1 Результаты испытаний оформляют протоколом, в котором должны быть приведены следующие сведения:
- наименование организации - исполнителя испытаний;
- сведения об объекте испытаний (маркировка, завод-изготовитель, дата выпуска, данные о техническом состоянии);
- сведения о средствах испытания (наименования, типы, характеристики, номера и срок действия свидетельств о поверке использованных средств измерения, номера и срок действия аттестатов использованного оборудования);
- сведения об условиях проведения испытаний (дата, место проведения, условия испытаний);
- места установки первичных преобразователей сигнала;
- сведения о порядке проведения испытаний;
- результаты испытаний (таблицы, графики, диаграммы);
- заключение о результатах испытаний (оценка, выводы).
10.2 В протоколе испытаний на сопротивление усталости данные должны быть приведены в форме таблицы 8, построена кривая усталости в логарифмических координатах.
(в ред.
Изменения N 1, введенного в действие Приказом Росстандарта от 30.05.2022 N 414-ст)
Таблица 8
Результаты испытаний на сопротивление усталости
Номер составной части | Силы | Число циклов | Место и характеристика зоны разрушения |
средняя | амплитуда | до появления трещины | до потери несущей способности |
| | | | | |
| | | | | |
10.3 В протоколе испытаний приводят описание зон разрушения по
8.4.8 при достижении разрушения образцов при испытаниях на сопротивление усталости боковых рам или надрессорных балок по
ГОСТ 32400.
(п. 10.3 введен
Изменением N 1, введенным в действие Приказом Росстандарта от 30.05.2022 N 414-ст)
11 Требования безопасности и охрана труда
11.1.1 При подготовке и проведении всех видов испытаний необходимо соблюдать требования действующих на железнодорожном транспорте инструкций по охране труда при эксплуатации и техническом обслуживании железнодорожного подвижного состава, а также инструкций по правилам проведения работ на стендовых установках и требования, изложенные в настоящем разделе.
11.1.2 Все работы по подготовке и проведению испытаний необходимо проводить под непосредственным контролем руководителя испытаний, который перед началом испытаний или отдельных этапов работ обязан провести инструктаж участников испытаний по технике безопасности и охране труда с регистрацией (под расписку) в специальном журнале.
11.1.3 Применяемое для испытаний оборудование, вспомогательные средства, инструмент и приборы должны быть в технически исправном состоянии и иметь маркировку согласно инструкции по их эксплуатации.
11.1.4 Не допускается находиться в (на) испытуемом вагоне во время движения вагона (поезда) при проведении всех видов испытаний без разрешения руководителя испытаний.
Находиться под испытуемым вагоном, на его крыше и на расстоянии ближе 3 м от него при подготовке и проведении испытаний можно только с разрешения руководителя испытаний.
Во время испытаний на соударение, а также испытаний при погрузке и разгрузке не допускается находиться на расстоянии менее 10 м от испытуемого вагона всем лицам, кроме тех, кому это специально разрешено руководителем испытаний.
11.1.5 Не допускаются к проведению испытаний лица моложе 18 лет.
11.1.6 Испытатели на время подготовки и проведения испытаний должны быть обеспечены соответствующей спецодеждой, средствами защиты и связи.
При проведении работ на железнодорожных путях (в том числе деповских или заводских), междупутьях и обочинах путей, на станциях и перегонах испытатели обязаны работать в жилетах оранжевого цвета, надеваемых поверх верхней одежды.
11.2 Дополнительные требования при проведении стендовых испытаний на статическую прочность и сопротивление усталости
11.2.1 В помещении, в котором проводят испытания, необходимо поддерживать температуру воздуха в пределах от 10 до 25 °C.
11.2.2 После сборки и подготовки испытательных приспособлений проводят обязательное опробование соответствующей схемы нагружения сначала статической, а затем динамической (если предусмотрена) силой. Силу повышают постепенно, ступенями до установленного уровня.
11.3 Дополнительные требования при проведении испытаний на соударение и ходовых испытаний
11.3.1 Испытания вагона или связанные с ними работы на железнодорожных путях, требующие выполнения работ под вагоном или на неогражденных и неосвещенных междупутьях, допускается проводить только в светлое время суток.
11.3.2 При остановке поезда выход испытателей из вагона-лаборатории без разрешения руководителя испытаний запрещен.
11.3.3 Установленные приборы, приспособления и кабели должны быть надежно закреплены, не допускается нарушение габарита подвижного состава и нарушение взаимодействия составных частей испытуемого вагона, предусмотренного конструкторской и эксплуатационной документацией.
11.3.4 При проведении ходовых испытаний и испытаний на соударение переход к более высоким скоростям движения (накатывания вагона-бойка или испытуемого вагона) допускается только после предварительного анализа результатов измерений, проведенных на меньшей скорости. При ходовых испытаниях рекомендуется контролировать рамную силу и коэффициент запаса устойчивости от схода колеса с рельса. Особую осторожность необходимо проявлять при переходе к максимальным скоростям, а также при воспроизведении максимальных испытательных сил.
11.3.5 В процессе ходовых испытаний необходимо систематически контролировать техническое состояние (исправность) составных частей испытуемого вагона, особенно ходовых частей и тормоза.
11.3.6 Испытуемый пассажирский вагон при проведении ходовых испытаний на путях общего пользования должен быть отделен вагонами прикрытия от конца состава и локомотива.
(справочное)
УСТАНОВКИ И СОЕДИНЕНИЯ ТЕНЗОРЕЗИСТОРОВ НА АВТОСЦЕПКЕ
ДЛЯ ИЗМЕРЕНИЯ ПРОДОЛЬНЫХ СИЛ
А1, А2, А3, А4 - активные датчики;
К1, К2, К3, К4 - компенсационные датчики;
<*> - размеры для справок
Рисунок А.1 - Схема установки и соединения тензорезисторов
на корпусе автосцепки для измерения продольной силы
(справочное)
УСТАНОВКИ ПРИБОРОВ И ТЕНЗОРЕЗИСТОРОВ ПРИ ХОДОВЫХ
ДИНАМИЧЕСКИХ ИСПЫТАНИЯХ
Рисунок Б.1 - Схема установки датчика перемещения
для измерения вертикальной деформации (динамического прогиба)
рессорного подвешивания тележки
К2, К02 - компенсационные тензорезисторы
Рисунок Б.2 - Схема установки и соединения тензорезисторов
для определения коэффициента динамической добавки
обрессоренных частей в сечениях надрессорной
балки тележки грузового вагона
К1, К2 - компенсационные тензорезисторы
Рисунок Б.3 - Схема установки и соединения тензорезисторов
для измерения горизонтальной силы (сечения с индексом "Г")
и коэффициента динамической добавки необрессоренных частей
(сечения с индексом "В") на боковой раме двухосной
тележки грузового вагона
Примечание - При конструктивных отличиях боковой рамы от представленных на рисунках допускается изменение схемы установки и соединения тензорезисторов с обоснованием точности измерения сил этими схемами.
Рисунок Б.4 - Схема установки и соединения тензорезисторов
для измерения горизонтальной силы (сечения с индексом "Г")
и коэффициента динамической добавки необрессоренных частей
(сечения с индексом "В") на боковой раме трехосной
тележки грузового вагона
Примечание - При конструктивных отличиях боковой рамы от представленных на рисунках допускается изменение схемы установки и соединения тензорезисторов с обоснованием точности измерения сил этими схемами.
Рисунок Б.5 - Схема установки и соединения тензорезисторов
для измерения горизонтальной силы (сечения с индексом "Г")
и коэффициента динамической добавки обрессоренных частей
(сечения с индексом "В") на раме тележки пассажирского вагона
(справочное)
УСТАНОВКИ ТЕНЗОРЕЗИСТОРОВ В СЕЧЕНИЯХ ПРОФИЛЕЙ
НЕСУЩЕЙ КОНСТРУКЦИИ ВАГОНА
Рисунок В.1 - Схема установки тензорезисторов
в сечениях профилей несущей конструкции вагона
(справочное)
РАСПОЛОЖЕНИЯ СЕЧЕНИЙ И УСТАНОВКИ ТЕНЗОРЕЗИСТОРОВ НА КУЗОВЕ
ПАССАЖИРСКОГО ВАГОНА
Рисунок Г.1 - Схема установки тензорезисторов
на кузове пассажирского вагона
Рисунок Г.2 - Схема установки тензорезисторов
на раме пассажирского вагона, лист 1
Рисунок Г.2 - Схема установки тензорезисторов
на раме пассажирского вагона, лист 2
(справочное)
РАСПОЛОЖЕНИЯ СЕЧЕНИЙ И УСТАНОВКИ ТЕНЗОРЕЗИСТОРОВ НА БОКОВОЙ
РАМЕ И НАДРЕССОРНОЙ БАЛКЕ
Рисунок Д.1 - Схема установки тензорезисторов
на боковой раме
Рисунок Д.2 - Схема установки тензорезисторов
на надрессорной балке
(справочное)
РАСПОЛОЖЕНИЯ СЕЧЕНИЙ И УСТАНОВКИ ТЕНЗОРЕЗИСТОРОВ В СЕЧЕНИЯХ
НА РАМЕ ТЕЛЕЖКИ ПАССАЖИРСКОГО ВАГОНА
Рисунок Е.1 - Схема установки тензорезисторов
на раме тележки пассажирского вагона
Рисунок Е.2 - Схема установки тензорезисторов
на раме безлюлечной тележки пассажирского вагона
(справочное)
РАСПОЛОЖЕНИЯ СЕЧЕНИЙ И УСТАНОВКИ ТЕНЗОРЕЗИСТОРОВ
НА РАМЕ ВАГОНА-ЦИСТЕРНЫ
Рисунок Ж.1 - Схема установки тензорезисторов
на раме вагона-цистерны
(справочное)
РАСПОЛОЖЕНИЯ СЕЧЕНИЙ И УСТАНОВКИ ТЕНЗОРЕЗИСТОРОВ
НА КРЫТОМ ВАГОНЕ
Рисунок И.1 - Схема установки тензорезисторов
на раме крытого вагона
(справочное)
РАСПОЛОЖЕНИЯ СЕЧЕНИЙ И УСТАНОВКИ
ТЕНЗОРЕЗИСТОРОВ НА ПОЛУВАГОНЕ
Рисунок К.1 - Схема установки тензорезисторов
на раме полувагона
(справочное)
УСТАНОВКИ НАДРЕССОРНОЙ БАЛКИ И БОКОВОЙ РАМЫ ПРИ ИСПЫТАНИЯХ
НА СОПРОТИВЛЕНИЕ УСТАЛОСТИ
1 - надрессорная балка; 2 - плита; 3 - цилиндр;
4 - опорная тумба; 5 - стол
Рисунок Л.1 - Схема установки надрессорной балки
при испытаниях на сопротивление усталости
1 - боковая рама; 2 - верхняя опорная плита; 3 - цилиндр;
4 - нижняя опорная плита; 5 - стол; 6 - П-образное
приспособление; 7 - сегменты
Рисунок Л.2 - Схема установки боковой рамы при испытаниях
на сопротивление усталости
Исключено с 01.09.2022. -
Изменение N 1, введенное в действие Приказом Росстандарта от 30.05.2022 N 414-ст.
УДК 629.14-412:625.2.012.2:006.354 | | | ОКП 31 8446 |
Ключевые слова: вагоны грузовые, вагоны пассажирские, методы испытаний на прочность, динамические качества, при погрузке и разгрузке, на сопротивление усталости, на ресурс при соударении, на прочность при соударении, ходовых прочностных, ходовых динамических, вибрационных, на несущую способность, на прочность крепления подвесного оборудования |