Главная // Актуальные документы // ГОСТ (Государственный стандарт)СПРАВКА
Источник публикации
М.: Стандартинформ, 2017
Примечание к документу
Документ
введен в действие с 1 января 2018 года.
Название документа
"ГОСТ 34093-2017. Межгосударственный стандарт. Вагоны пассажирские локомотивной тяги. Требования к прочности и динамическим качествам"
(введен в действие Приказом Росстандарта от 13.06.2017 N 537-ст)
"ГОСТ 34093-2017. Межгосударственный стандарт. Вагоны пассажирские локомотивной тяги. Требования к прочности и динамическим качествам"
(введен в действие Приказом Росстандарта от 13.06.2017 N 537-ст)
агентства по техническому
регулированию и метрологии
от 13 июня 2017 г. N 537-ст
МЕЖГОСУДАРСТВЕННЫЙ СТАНДАРТ
ВАГОНЫ ПАССАЖИРСКИЕ ЛОКОМОТИВНОЙ ТЯГИ
ТРЕБОВАНИЯ
К ПРОЧНОСТИ И ДИНАМИЧЕСКИМ КАЧЕСТВАМ
Passenger cars on locomotive traction. Requirements
for structural strength and dynamic qualities
ГОСТ 34093-2017
Дата введения
1 января 2018 года
Цели, основные принципы и основной порядок проведения работ по межгосударственной стандартизации установлены в
ГОСТ 1.0-2015 "Межгосударственная система стандартизации. Основные положения" и
ГОСТ 1.2-2015 "Межгосударственная система стандартизации. Стандарты межгосударственные, правила и рекомендации по межгосударственной стандартизации. Порядок разработки, принятия, обновления и отмены"
1 РАЗРАБОТАН Закрытым акционерным обществом Научной организацией "Тверской институт вагоностроения" (ЗАО НО "ТИВ")
2 ВНЕСЕН Межгосударственным техническим комитетом по стандартизации МТК 524 "Железнодорожный транспорт"
3 ПРИНЯТ Межгосударственным советом по стандартизации, метрологии и сертификации (протокол от 20 апреля 2017 г. N 98-П)
За принятие проголосовали:
Краткое наименование страны по МК (ИСО 3166) 004-97 | Код страны по МК (ИСО 3166) 004-97 | Сокращенное наименование национального органа по стандартизации |
Армения | AM | Минэкономики Республики Армения |
Беларусь | BY | Госстандарт Республики Беларусь |
Казахстан | KZ | Госстандарт Республики Казахстан |
Киргизия | KG | Кыргызстандарт |
Россия | RU | Росстандарт |
Украина | UA | Минэкономразвития Украины |
4
Приказом Федерального агентства по техническому регулированию и метрологии от 13 июня 2017 г. N 537-ст межгосударственный стандарт ГОСТ 34093-2017 введен в действие в качестве национального стандарта Российской Федерации с 1 января 2018 г.
5 ВВЕДЕН ВПЕРВЫЕ
Настоящий стандарт может быть применен на добровольной основе для соблюдения требований Технического
регламента Таможенного союза ТР ТС 001/2011 "О безопасности железнодорожного подвижного состава"
Информация об изменениях к настоящему стандарту публикуется в ежегодном информационном указателе "Национальные стандарты" (по состоянию на 1 января текущего года), а текст изменений и поправок - в ежемесячном информационном указателе "Национальные стандарты". В случае пересмотра (замены) или отмены настоящего стандарта соответствующее уведомление будет опубликовано в ежемесячном информационном указателе "Национальные стандарты". Соответствующая информация, уведомление и тексты размещаются также в информационной системе общего пользования - на официальном сайте Федерального агентства по техническому регулированию и метрологии в сети Интернет (www.gost.ru)
Настоящий стандарт распространяется на пассажирские вагоны локомотивной тяги (далее - вагоны), предназначенные для эксплуатации на железнодорожных путях колеи 1520 мм с конструкционной скоростью до 200 км/ч включительно. Применяется при разработке и постановке на производство вновь проектируемых вагонов, а также при модернизации вагонов существующего парка.
Настоящий стандарт устанавливает требования к прочности и динамическим качествам при выполнении расчетов и оценке результатов испытаний вагона в целом, а также несущих конструкций кузова, ходовых частей, установленного на них оборудования и элементов его крепления.
В настоящем стандарте использованы нормативные ссылки на следующие межгосударственные стандарты:
ГОСТ 8.417-2002 Государственная система обеспечения единства измерений. Единицы величин
ГОСТ 25.101-83 Расчеты и испытания на прочность. Методы схематизации случайных процессов нагружения элементов машин и конструкций и статистического представления результатов
ГОСТ 25.502-79 Расчеты и испытания на прочность в машиностроении. Методы механических испытаний металлов. Методы испытания на усталость
ГОСТ 25.504-82 Расчеты и испытания на прочность. Методы расчета характеристик сопротивления усталости
ГОСТ 1452-2011 Пружины цилиндрические винтовые тележек и ударно-тяговых приборов подвижного состава железных дорог. Технические условия
ГОСТ 3475-81 Устройство автосцепное подвижного состава железных дорог колеи 1520 (1524) мм. Установочные размеры
ГОСТ 9238-2013 Габариты железнодорожного подвижного состава и приближения строений
ГОСТ 13521-68 Стекла оконные пассажирских вагонов, электропоездов и дизель-поездов. Основные размеры и технические требования
ГОСТ 30630.0.0-99 Методы испытаний на стойкость к внешним воздействующим факторам машин, приборов и других технических изделий. Общие требования
ГОСТ 31317.2-2006 (ИСО 10326-2:2001) Вибрация. Лабораторный метод оценки вибрации сидений транспортных средств. Часть 2. Сиденья железнодорожного транспорта
ГОСТ 32208-2013 Пружины рессорного подвешивания железнодорожного подвижного состава. Методы испытаний на циклическую долговечность
ГОСТ 32280-2013 Стекло и изделия из него. Методы определения механических свойств. Определение стойкости к статической нагрузке
ГОСТ 32410-2013 Крэш-системы аварийные железнодорожного подвижного состава для пассажирских перевозок. Технические требования и методы контроля
Примечание - При пользовании настоящим стандартом целесообразно проверить действие ссылочных стандартов в информационной системе общего пользования - на официальном сайте Федерального агентства по техническому регулированию и метрологии в сети Интернет или по ежегодному информационному указателю "Национальные стандарты", который опубликован по состоянию на 1 января текущего года, и по выпускам ежемесячного информационного указателя "Национальные стандарты" за текущий год. Если ссылочный стандарт заменен (изменен), то при пользовании настоящим стандартом следует руководствоваться заменяющим (измененным) стандартом. Если ссылочный стандарт отменен без замены, то положение, в котором дана ссылка на него, применяется в части, не затрагивающей эту ссылку.
3. Термины, определения, обозначения и сокращения
3.1 Термины и определения
В настоящем стандарте применены следующие термины с соответствующими определениями:
3.1.1 "черный ящик": Система, внутреннее устройство и механизм работы которой очень сложны или неизвестны;
3.1.2 тара вагона: Собственная масса вагона в порожнем состоянии;
Примечание - Для пассажирских вагонов в тару включают массу воды, топлива и других предметов экипировки.
3.1.3 брутто вагона: Собственная масса вагона, включая полезную нагрузку;
Примечание - Для пассажирского вагона полезная нагрузка включает в себя массу пассажиров с багажом, которая определяется населенностью вагона и условной массой одного пассажира [
1, п. 2.2.2].
3.1.4 односторонняя спектральная плотность: Спектральная плотность, в которой ординаты удвоены, что позволяет вычислять дисперсию процесса только при положительных значениях частот:
3.1.5 коэффициент форсирования: Масштабный коэффициент, с помощью которого устанавливаются уровни возмущающих факторов по отношению к нормативным (расчетным) при проведении испытаний (конструкционная скорость, уровни нагружений и деформаций и т.д.).
3.1.6 принцип однородной точности: Требование, заключающееся в том, что степень точности результатов вычислений должна отвечать степени точности исходных данных, причем под точностью данных следует понимать не только точность задания параметров задачи, но и степень адекватности расчетной модели изучаемому реальному процессу.
3.1.7 кузов вагона: Все несущие элементы, расположенные выше ходовой части, включая все компоненты, которые закреплены на этих элементах и непосредственно участвуют в обеспечении прочности, жесткости и устойчивости кузова.
Примечание - Механические узлы оборудования и другие монтируемые узлы не рассматриваются как часть кузова вагона, но элементы их крепления считаются частью кузова вагона.
3.1.8 необрессоренные части тележки: Составные части тележки, расположенные ниже рессорного подвешивания.
Примечание - Не несущие механические узлы не относятся к необрессоренным частям, но элементы их крепления считаются частью необрессоренных узлов.
3.1.9 обрессоренные части тележки (вагона): Составные части несущей конструкции вагонной тележки, расположенные выше рессорного подвешивания или между ступенями рессорного подвешивания и кузова.
Примечание - Не несущие механические узлы оборудования не относятся к обрессоренным частям, но элементы их крепления считаются частью обрессоренных частей.
3.1.10 скрещение поездов: Встреча двух поездов противоположного направления на станции, разъезде или перегоне (на двухпутном или многопутном участке).
3.1.11 парциальная частота: Частота колебаний сложной системы, если все степени свободы, кроме одной, устранены.
3.2 Обозначения и сокращения
В настоящем стандарте применены следующие обозначения и сокращения:
E - модуль упругости материала;
G - модуль сдвига материала;

- коэффициент Пуассона материала;
J - момент инерции поперечного сечения элемента;
F - площадь поперечного сечения элемента;
g = 9,80665 м/с2 - ускорение свободного падения;
kд - коэффициент динамики;

- математическое ожидание коэффициента динамики;
W - момент сопротивления сечения элемента;
P, N - действующие силы на объект;
Q - вес объекта;

- скорость движения;
fст - статический прогиб подвешивания;
C - линейная жесткость упругих опор;

- угловая жесткость упругих опор;

- предел пропорциональности материала;

- предел текучести материала;

- предел прочности материала;
D - диаметр цилиндрической винтовой пружины по средней линии;
d - диаметр прутка цилиндрической пружины;
h0 - высота цилиндрической пружины по средней линии в свободном состоянии;
n - число рабочих витков цилиндрических пружин;
МКЭ - метод конечных элементов;
КЭ - конечный элемент;
НДС - напряженно-деформированное состояние;
СИ - международная система единиц (система СИ);
ц.т. - центр тяжести объекта.
4.1 В стандарте не рассматриваются требования к устройствам, являющимся отдельными объектами стандартизации.
4.2 Требования, правила и ограничения настоящего стандарта учитывают опыт проектирования, расчетов и испытаний для конструкций, имеющих положительный опыт эксплуатации.
4.3 Требования и ограничения, приведенные в стандарте, являются минимальными и могут быть ужесточены в конкретном техническом задании.
4.4 Проверка прочности и динамических качеств включает в себя:
а) проверку соответствия геометрических и весовых параметров эмпирическим требованиям безопасности;
б) расчетно-теоретические числовые оценки на математических моделях различной степени сложности;
в) экспериментальные методы, предполагающие получение оценок на основе непосредственных измерений (ходовые, вибрационные, ударные испытания) или опосредованно (стендовые испытания). Проведение экспериментальных исследований и обработка их результатов регламентируется отдельными стандартами, руководящими документами и методическими материалами;
г) расчетно-экспериментальные методы оценки, когда в математическую модель включаются "черные ящики", для которых связи вход-выход получены экспериментально (динамические модели с поглощающими аппаратами, жертвенными элементами крэш-систем).
Примечание - Элементы конструкции кузова и тележки не должны рассчитываться и подвергаться в эксперименте разрушающим воздействиям, не свойственным им в эксплуатации, если иное не предусмотрено техническим заданием.
4.5 Если экспериментальное описание связей вход-выход для "черных ящиков" охватывает не менее 80% возможного диапазона этих связей, разработка математического описания "черного ящика" не является обязательной.
4.6 Оценка прочности и динамических качеств элементов пассажирских вагонов производится на основании критериев, предельно допустимые значения которых дифференцируются в зависимости от режимов нагружения и степени ответственности элементов [
1, раздел 10].
4.7 Все расчеты по настоящему стандарту должны быть представлены в единицах измерения СИ, предусмотренных
ГОСТ 8.417. Вычисления (при расчетах или обработке эксперимента) могут проводиться в любой удобной системе единиц. Количество приводимых знаков в численных результатах должно соответствовать принципу однородной точности.
5. Эмпирические требования безопасности
5.1 Нагрузка от массы брутто вагона
5.1.1 Расчетная вертикальная статическая нагрузка от колесной пары на рельсы Qк, кН (Тс) не должна превышать:

(5.1)
Примечание - Допускается по согласованию с владельцем инфраструктуры для специальных и двухэтажных вагонов Qк более 176,6 кН, но не более 250 кН.
5.1.2 Вес пассажира с багажом принимают равным 100 кг. Расчетную населенность вагона дальнего следования определяют по наибольшему числу мест, предусмотренных при эксплуатации вагона.
Для вагонов межобластного сообщения максимальную расчетную населенность определяют по проектному числу мест для сидения и плотности стоящих пассажиров из расчета 7 человек (со средним весом 70 кг) на 1 м2 свободной площади пола, включая тамбуры и проходы. При этом исключают площадь у края диванов шириной 200 мм.
При определении максимальной населенности второго этажа двухэтажного вагона плотность стоящих пассажиров принимают из расчета 4 человека на 1 м2 свободной площади пола.
Примечание - В отдельных случаях максимальный перевозимый вес груза и пассажиров может быть установлен в техническом задании.
5.2 Дуги крыши рассчитывают на действие двух вертикальных сил по 1 кН каждая, которые приложены на расстоянии 0,5 м друг от друга. При расчете используют однопролетную статически определимую схему.
5.3 Момент сопротивления дуги крыши, приходящийся на 1 м
2 горизонтальной проекции площади участков крыши между расчетной и соседними дугами, должен быть не менее 5,9 см
3.
5.4 Момент сопротивления стоек боковой стены должен быть не менее 10 см
3 на погонный метр. Погонный момент сопротивления рассчитывают для участка, расположенного между серединами двух окон.
5.5 Моменты сопротивления по
5.3 и
5.4 вычисляют относительно центральных осей сечений, параллельных продольной оси кузова. При этом учитывают редуцированную обшивку по
8.3.1 -
8.3.4.
5.6 Сумма моментов сопротивления всех стоек концевой части вагона, включая и стойки тамбурной перегородки, должна быть не менее 1000 см
3. В торцевой стене вагона должны быть поставлены две главные стойки с моментом сопротивления не менее 350 см
3 каждая. Моменты сопротивления вычисляют относительно центральных осей стоек, параллельных поперечной оси вагона.
5.7 Ограничения моментов сопротивления по
5.3,
5.4,
5.6 относятся к стали Ст.3 и при выборе иного материала их пересчитывают пропорционально пределу текучести (для материалов с ярко выраженной площадкой текучести) или прочности (для материалов без ярко выраженной площадки текучести).
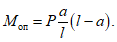
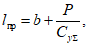
5.8 Верхние и нижние сечения каждой из главных стоек по прочности на срез, их опорные конструкции по прочности на изгиб, должны быть равноценны прочности опасного сечения стойки на изгиб при нагружении ее поперечной сосредоточенной силой P, приложенной на высоте a = 0,5 м (a отсчитывают от верхней плоскости буферного бруса). Величину этой силы определяют по схеме двухопорной, шарнирно-опертой балки, длиной l при условии образования пластического шарнира:

(5.2)
где

- предел текучести материала стойки;
[W] - минимально допустимый момент сопротивления стойки;

,
Wпл = |
Sр| + |
Sсж|, |
Sр|, |
Sсж| - абсолютные значения статических моментов площади растянутой и сжатой частей сечения стойки относительно оси, делящей эту площадь пополам.
Найденную силу P используют для нахождения размеров опорных конструкций стоек из условия образования там пластического шарнира

(5.3)
5.9 Высота гофров (при их наличии) должна быть не менее 7 толщин образующей гофры обшивки.
5.10 Наименьший шаг заклепок должен быть не менее 3 диаметров заклепки, а для болтов - не менее 3,5 их диаметров.
5.11 Подбор номинальных размеров элементов, находящихся в подвижном контакте, производят из условия непревышения средними напряжениями смятия (под брутто) величин:
а) для пятников и подпятников 6,5 МПа;
б) для скользунов 2,5 МПа;
в) на рабочих поверхностях фрикционных демпферов 3,5 МПа;
г) в шарнирных соединениях рычажных передач 80 МПа.
5.12 Расчетное смещение центра тяжести под тарой кузова должно быть не более 4% от базы вагона в продольном и не более 2% от расстояния между кругами катания колес в поперечном направлении.
Примечание - Для почтовых и багажных вагонов допускается смещение ц.т. вдоль продольной оси до 10% и поперек оси до 5%. При этом нагрузка от оси на рельс наиболее нагруженной тележки не должна превосходить допускаемую.
5.13 Поколесное взвешивание производят под тарой вагона на пути, удовлетворяющем требованиям
ГОСТ 9238, путем проведения трехкратных замеров нагрузки от колес на рельсы и окончательные результаты вычисляют, как среднее арифметическое замеров <1>. Относительные разности замеров

определяют по формуле:

(5.4)
--------------------------------
<1> В Российской Федерации при обработке результатов поколесного взвешивания применяют ГОСТ Р 55049-2012 Железнодорожный подвижной состав. Методы контроля показателя развески.
При этом должны быть проверены показатели:

- по колесам одной колесной пары не более 5 (8)%;

- по колесным парам в одной тележке не более 5%;

- по сторонам вагона не более 4 (8)%;

- по тележкам вагона не более 8 (16)%.
Примечание - В скобках - значения

для почтовых, багажных, почтово-багажных, двухэтажных и специальных вагонов.
6. Требования к расчетным силам (нагрузкам)
и режимам нагружения
6.1 Нагрузки, действующие на вагон и отдельные его элементы, приводят к силам, которые задаются в правой системе координат, где:
- ось x направлена вдоль вагона в направлении его движения, ей соответствует продольная сила Px;
- ось z направлена вертикально вверх, ей соответствует вертикальная сила Pz;
- ось y направлена так, что система координат xyz является правой, ей соответствует боковая сила Py.
Кроме Px, Py, Pz рассматривают системы самоуравновешенных сил.
6.2 При вычислении вертикальной статической нагрузки каждый элемент нагружают весом вышележащих частей, имеющих с ним вертикальную связь, а также своим собственным весом. Исключением является вес пружин, который следует распределить пополам между телами, соединяемыми этими пружинами.
6.3 При расчетных оценках прочности вертикальные и поперечные горизонтальные нагрузки рассматривают как квазистатические, увеличенные на динамическую добавку, полученную умножением веса элемента Q на коэффициент динамики:
Pдi =
kдiQ,
i = в, г. (6.1)
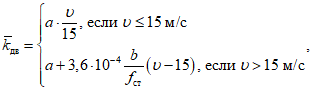
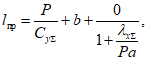
6.3.1 Коэффициенты вертикальной динамики (kдв) вычисляют по формуле:

(6.2)
6.3.2 Математическое ожидание коэффициента вертикальной динамики

вычисляют по формуле:

(6.3)
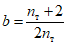
где

,
nт - число осей в тележке,
fст - статический прогиб подвешивания, [м],
6.3.3 Динамическую нагрузку на раму тележки с учетом добавки от веса кузова
Qк и веса надрессорного бруса
Qб определяют по формуле:
Pp = kдвkQk + kдвбQб, (6.4)
где
kдвk определяют по
(6.2),
(6.3) при
a = 0,05, а
kдвбQб - при
a = 0,10.
Приведенный коэффициент вертикальной динамики определяют по формуле:

(6.5)
6.3.4 Для шкворневых узлов рамы и шкворневых стоек результаты, полученные по
(6.2), корректируют:

(6.6)
где, при отсутствии опытных данных принимают

.
6.3.5 При расчете Pд учет пружин сводится к добавлению 1/3 их веса к весу верхнего тела.
6.3.6 Математическое ожидание коэффициента горизонтальной динамики

вычисляют по формуле:
| | ИС МЕГАНОРМ: примечание. Обозначения даны в соответствии с официальным текстом документа. | |
где

(м/с) - скорость движения, а
kдг вычисляется по
формуле (6.1).
Рамную силу от колесной пары на раму тележки определяют по формуле:
где P0 - от оси на рельс.
6.3.7 Боковые силы, действующие на кузов и тележку, принимают равными 10% от веса брутто. При этом считают, что их уравновешивание происходит за счет разности вертикальных реакций кузова на скользунах. При определении этих реакций допускается использовать твердотельную схему кузова и тележек в геометрически нелинейной постановке, считая, что в контактах скользун-скользун (сс) и колесо-рельс (кр) расположены упругие опоры большой жесткости. При этом достаточно считать
Cсс = Cкр = 100 МН/м.
Примечание - В технических требованиях могут быть оговорены другие условия движения в кривых.
6.3.8 Допускается вместо учета боковых сил по
6.3.7 при расчете кузова учитывать их наличие путем увеличения вертикальной нагрузки брутто на 12,5%.
6.4 Кузов пассажирского вагона рассчитывают для трех режимов его нагружения продольными, поперечными и вертикальными нагрузками
(таблица 6.1):
I - трогание с места, экстренное торможение, соударение. Характер продольных сил - повторно-ударный, 120 - 150 раз за срок службы;
II - движение при включении вагона в состав грузового поезда. Характер продольных сил - повторно статический;
III - движение с конструкционной скоростью и с применением служебных торможений. Характер продольных сил - повторно-ударный и вибрационный - до 300000 раз за срок службы.
Таблица 6.1
Режимы нагружения для кузова
Параметры | Режим |
I | II | III |
Px, МН | -2,5 | +1,5 | +/- 1,0 |
Py, МН | не учитывается | |
Pz статич, МН | брутто | тара | брутто |
 , м/с | не учитывается | 15 | конструкционная |
Примечание - Необходимость реализации II режима определяется техническим заданием на проектирование. |
Продольную силу Px прикладывают к передним или задним упорам на уровне оси сцепного устройства. Для I режима учитывают нецентральность продольного взаимодействия путем введения разности высот сцепного устройства равной 0,1 м, если иное не предусмотрено техническим заданием.
Примечание - Если конструкция имеет крэш-систему, то допускается прикладывать продольную нагрузку либо перед, либо позади участков, предназначенных для поглощения энергии столкновения.
6.5 Конструкция и крепления пятника (подпятника) должны быть рассчитаны на срез и смятие от действия продольной нагрузки Px, равной восьмикратному весу тележки. При этом напряжения не должны превышать допускаемых по I режиму.
6.6 Жестко закрепленное на кузове оборудование и элементы его крепления должны быть рассчитаны на силы инерции, которые считаются приложенными к ц.т. оборудования. Формулы для вычисления этих сил приведены в таблице 6.2.
Таблица 6.2
Силы, действующие на жестко закрепленное оборудование
Силы | Режим |
I | III |
Px | 5Qnв | 1,5Qnв |
Py | 0,5Q | 0,4Q |
Pz | | |
Q - вес оборудования, включая элементы его крепления;
Px - расчетная продольная сила;
Qк - вес кузова;
hк - расстояние от ц.т. кузова до оси автосцепки;
2l - база вагона;
xс - продольное расстояние от ц.т. кузова до ц.т. подвешенного оборудования;

- учитывает высоту расположения оборудования;
zc - расстояние от уровня рамы вагона до ц.т. подвешенного оборудования;
h - расстояние от уровня рамы вагона до конька крыши;
Примечание - при наличии экспериментальных данных об изменении продольных сил инерции по высоте следует использовать экспериментальные данные.

- учитывает расположение оборудования в поперечном сечении вагона;
y - поперечное расстояние от середины кузова до ц.т. оборудования;
2b - ширина кузова по раме.
Значения
Pi (
i =
x,
y,
z), приведенные в
таблице 6.2, принимают, если иные величины не указаны в техническом задании на проектирование.
6.7 Расчетные динамические силы для элементов, закрепленных на обрессоренных частях рамы тележки, и имеющие вес Q (включая вес элементов крепления), считают приложенными к ц.т. оборудования и вычисляют по формулам:
PxI = 5Q; PyI = 0,5Q; PzI = 2Q; PxIII = 3,5Q; PyIII = Q;
6.8 Расчетные динамические силы для элементов оборудования и его крепления на неподрессоренных частях тележки вычисляют по эмпирической формуле:

(6.8)
где

;

;
mнк - масса необрессоренных частей тележки, приходящаяся на одно колесо в кг;

- скорость движения, м/с.
Если элемент связан и с подрессоренной и с неподрессоренной частями тележки, то величины
Px,y,z, найденные по
(6.8), уменьшают вдвое (но считают, как и прежде, приложенными в ц.т. оборудования).
6.9 Если вагонное оборудование закреплено на амортизирующем устройстве, то силы инерции, заданные в
6.6 -
6.8, могут быть снижены на основании проведения специального динамического расчета и/или экспериментальной проверки. При удовлетворении условиям прочности для нагрузок, указанных в
6.6 -
6.8, расчетно-экспериментальное исследование не требуется.
6.10 Силы, действующие в тормозной системе, определяют, исходя из экстремальных условий ее работы.
6.11 При статическом (квазистатическом) расчете демпферы (гидравлические и/или фрикционные) в силовую расчетную схему не включают.
6.12 Ремонтные нагрузки определяют, исходя из условий подъема груженого кузова под места для домкратов на каждом конце вагона или подъеме под концевую балку по середине, а также при подъеме экипированного порожнего кузова по диагонали под места для домкратов. Ремонтные нагрузки могут изменяться и дополняться в зависимости от схем перемещения кузова по эксплуатационным документам. Расчет на ремонтные нагрузки должен подтвердить отсутствие остаточных деформаций и потери устойчивости несущих элементов (должны выполняться требования I режима). Указанные расчеты проводят только в том случае, если это прямо указано в техническом задании на проектирование.
6.13 При использовании в кузове предварительного натяжения во все режимы добавляют расчетные напряжения от него.
6.14 При расчете нижних полок принимают возможность сидения 3 пассажиров весом 1 кН каждый. Для верхних полок, кронштейнов и элементов их крепления расчетную силу принимают равной 1,5 кН, приложенной наиболее невыгодным способом. Для багажной полки принимают расчетную погонную нагрузку 1,5 кН/м.
6.14.1 Для крепления кресел и диванов необходимо предусматривать конструкцию, исключающую местное разрушение элементов пола (например - фанерной плиты) в зонах болтовых соединений опор кресел и диванов и пола вагона при нагрузках, приведенных в
таблице 6.2.
6.15 Ветровую нагрузку, действующую на кузов и тележку с интенсивностью 0,5 кН/м
2 на площадь вертикальной проекции кузова и тележек, учитывают только при расчетах на устойчивость от опрокидывания. Прикладывают ветровую нагрузку в центрах площадей боковой проекции кузова и тележек.
Примечание - При наличии обоснования допускается снижение ветровой нагрузки, но не более, чем на 30% (например, для плавно скругленной крыши, высотой более 1 м).
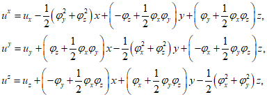
6.16 Нагрузки, действующие на тележки, не определяются полностью внешними силами, приложенными к вагону. Для определения внешних сил находят реакции между кузовом и тележками, колесными парами и рельсами. При действии боковых нагрузок следует учитывать изменение геометрии взаимного расположения масс. При этом учет изменчивости геометрии достаточно учитывать, задаваясь перемещениями в виде:

(6.9)
где
ux,
uy,
uz - поступательные,

,

,

- вращательные перемещения в лагранжевой системе координат.
6.16.1 Основное сочетание нагрузок включает в себя:
а) наибольшую вертикальную статическую нагрузку, допускаемую колесными парами;
б) вертикальную динамическую нагрузку при конструкционной скорости, определяемую по
формулам (6.1) -
(6.5);
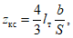
в) кососимметричную нагрузку, возникающую при наезде на кососимметричную неровность. Эти усилия учитывают только в тех случаях, если конструкция рамы тележки такова, что она может воспринимать кососимметричные усилия. Величину этих усилий определяют по деформируемой расчетной схеме рамы тележки, буксовым рессорным комплектам которой в "шахматном" порядке сообщены вертикальные перемещения zкс, определяемые по эмпирической формуле:

(см), (6.10)
где 2lт - база тележки в м;
2b - поперечное расстояние между центрами буксовых пружин;
2S - расстояние между кругами катания колес.
Расчет по
формуле 6.10 допускается заменить силовым расчетом "в запас" на кососимметрическую нагрузку:
где Cб - жесткость буксовых пружин одной буксы.
Примечание - Если результаты расчета рамы тележки с применением формулы (6.11) удовлетворяют требованиям прочности, то расчет по
формуле (6.10), не производят.
г) центробежные силы, действующие на кузов и приложенные в его ц.т. и центробежные силы обрессоренных частей тележки, принимают в соответствии с
6.3.7.
При определении реакций между упруго связанными элементами тележки и реакций кузова на скользунах в предварительных расчетах расстояние от ц.т. кузова до уровня осей колесной пары принимают равным 1,65 м (для двухэтажных вагонов 2,6 м), а ц.т. тележки - на уровне осей колесных пар. При определении реакций необходимо учитывать деформации упругих элементов подвешивания, взаимные перемещения его кинематических элементов и опорных устройств по
формулам (6.9), фактическую развеску вагона, наличие зазоров.
Примечание - При определении ц.т. двухэтажного вагона принимается наихудший вариант: первый этаж вагона без пассажиров, а второй населен полностью (однако, вертикальная нагрузка брутто вычисляется для полностью заселенного вагона, если иное не предусмотрено техническим заданием).
д) горизонтальные силы трения на скользунах при вписывании в кривую при коэффициенте трения между ними

;
е) усилия, передающиеся на раму от сил трения между колесами и рельсами при вписывании в кривую, при коэффициенте трения

;
ж) усилия, передающиеся на раму от сил инерции при торможении;
и) усилия от сил тормозной системы при торможении.
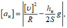
6.16.2 Кроме основного сочетания нагрузок, прочность рамы проверяют по трем дополнительным режимам нагружения, в криволинейных участках пути радиусом
R = 250 м:
а) одновременное действие силы тяжести, умноженной на (1 +
kдв). Коэффициент вертикальной динамики определяют по
(6.2),
(6.3) исходя из допустимой скорости

, зависящей от допустимой величины непогашенного ускорения [
aн]:

(6.12)
где hH - возвышение наружного рельса;
2S - расстояние между кругами катания колес;
б) дополнительной вертикальной силы Pz, приложенной к опорным скользунам:

(6.13)
где N - продольная расчетная сила;
ha - расстояние от ц.т. загруженного кузова до оси сцепного устройства;
L - база вагона;
Qк - брутто кузова;
Qбр - брутто вагона;
в) горизонтальной силы Py, приложенной поперек оси пути на уровне плоскости рамы:

(6.14)
где Qкп - вес колесной пары с буксами;
nт - число осей в тележке;
PN - боковая сила взаимодействия между вагонами в кривых:
1) при действии растягивающих сил:

(6.15)
где H - горизонтальная поперечная сила, действующая на пятник;
Lс - длина вагона по осям сцепления.
2) при действии сжимающих сил:

(6.16)
где Lас - расстояние между опорными плитами сцепного устройства: Lас = Lс - 2a;
a - длина корпуса сцепного устройства (для корпуса автосцепки по
ГОСТ 3475 принимают
a = 1 м);

- возможное боковое перемещение шкворневого сечения кузова вагона за счет зазоров колесной пары в рельсовой колее и зазоров в буксах и пятниках (обычно

);
Nкр - критическая сила сжатия состава, приводящая к перекосу кузова вагона:

(6.17)
где

- суммарная горизонтальная жесткость всех рессор тележки, вычисляемая в соответствии с рекомендациями
раздела 11;
г) направленная вдоль оси пути сила Px инерции массы тележки.
Параметры и определяющие формулы для дополнительных режимов приведены в таблице 6.3.
Таблица 6.3
Параметры дополнительных режимов
Режим | N, МН |  , м/с, для Кдв | Ускорения для Px, g | Величина PN |
Iд | 1,5 | 15 | 3 | |
| 1,0 | | 1,2 | |
| -1,0 | 1,2 | |
6.17 В отдельных случаях в техническом задании могут быть предусмотрены дополнительные специфические требования к нагрузкам.
6.17.1 Для почтовых, багажных и специальных вагонов учитывают силы, возникающие при работе машин и механизмов, установленных на вагоне или предусмотренных техническим заданием для погрузки и выгрузки вагона.
6.17.2 Вагоны, предназначенные для перевозки на паромах, проверяют на прочность по двум режимам, в которых, помимо силы тяжести, учитывают силы инерции от ускорений:
а) продольный (килевой) крен до 10°:
ax = 0,2g; az = 1g;
б) боковой крен до 30°:
ay = 1g; az = 0,5g.
На указанные нагрузки рассчитывают сами вагоны, а также приспособления для закрепления их на паромах. Оценка НДС при этом производится, исходя из требований I режима.
6.17.3 Вагоны, предназначенные для эксплуатации на международных линиях, рассчитывают на силы взаимодействия с подвижным составом, оборудованным буферами. Величины сил и допускаемых напряжений устанавливаются в техническом задании.
7. Оцениваемые параметры для статических
и динамических расчетов
7.1 Несущую способность вагонных конструкций оценивают расчетным путем применительно к сочетаниям нагрузок, перечисленным в
разделе 6.
7.2 Расчеты напряжений и деформаций производят в упругой области, если не оговорено иное (например, для жертвенных элементов крэш-систем).
7.3 Оценку несущей способности элементов конструкций выполняют по критериям, которые наиболее характерны для условий работы данного элемента.
7.3.1 Оценку элементов кузовов производят по допускаемым напряжениям и запасам устойчивости тонкостенных элементов.
7.3.2 Оценку элементов ходовых частей и отдельных элементов рам вагонов производят по допускаемым напряжениям и коэффициентам запаса сопротивления усталости.
7.3.3 Оценку пружин рессорного подвешивания производят по допускаемым напряжениям, по допускаемым деформациям и коэффициентам запаса сопротивления усталости.
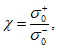
7.4 В случае сложного НДС для изотропных материалов прочность оценивают по эквивалентным напряжениям

.
7.4.1 В случае материалов одинаково сопротивляющихся растяжению-сжатию:

(7.1)

(7.2)
где

,
i = 1, 2, 3 - главные напряжения;

,

,
i,
j =
x,
y,
z - напряжения в исходных осях.
7.4.2 Для материалов, неодинаково сопротивляющихся растяжению

- сжатию

, используют критерий Мора:

(7.3)
где

7.5 Прочность конструкций из анизотропных материалов (древесина, полимеры) подтверждают путем сравнения напряжений, действующих вдоль осей анизотропии с допускаемыми.
7.6 Допускаемые напряжения дифференцируют по условиям работы элементов конструкции, используемым материалам, режимам нагружения. При использовании материалов, допускаемые напряжения для которых отсутствуют в отраслевой нормативной литературе и методических материалах, их устанавливают:
1) для I и II режимов - исходя из пределов прочности, текучести, статических и ударных разрушающих нагрузок.
2) для III режима - исходя из пределов выносливости, чувствительности к концентрации напряжений.
7.7 Экспериментальные исследования несущей способности следует проводить для получения оценок тех же параметров, что и при расчетах.
7.7.1 При первичных испытаниях новой конструкции задают коэффициенты форсирования, устанавливаемые техническим заданием.
7.7.2 При повторных испытаниях объекта коэффициент форсирования принимают равным единице, если иное не предусмотрено техническим заданием.
7.7.3 При экспериментальной проверке устойчивости тонкостенных элементов, а также ресурсных испытаний на выносливость, достаточно подтверждения устойчивости и выносливости при действии расчетных нагрузок (возможно с коэффициентом форсирования), если иное не предусмотрено техническим заданием.
7.8 Ходовые качества пассажирского вагона оценивают по допускаемым значениям:
а) коэффициентов вертикальной и горизонтальной динамики элементов вагона;
б) вертикальных и горизонтальных ускорений кузова;
в) показателей плавности хода в вертикальной и горизонтальной плоскостях;
г) значениям виброскоростей и/или виброускорений внутри кузова;
д) коэффициентов запаса устойчивости вагона против схода с рельсов;
е) коэффициентов поперечной устойчивости от опрокидывания;
ж) низшей частоты изгибных колебаний;
и) воздействия вагона на путь;
к) для вагонов, оборудованных системой наклона кузова в кривых, необходимо проверять динамическое вписывание в габарит по
ГОСТ 9238.
Определение перечисленных показателей ходовых качеств производится преимущественно теоретико-экспериментальными методами, т.е. методами, основанными на статистическом оценивании результатов натурных и стендовых (для низшей частоты изгибных колебаний) испытаний. Более подробно эти вопросы изложены в
разделе 15.
8. Правила расчета на прочности кузова и его узлов
8.1 При расчете на прочность величины нагрузок выбирают в соответствии с требованиями
раздела 6.
Расчетные схемы выбираются различными на разных этапах проектирования, что определяется наличным объемом информации на различных этапах. В связи с этим выделяются следующие типы расчетов:
а) предварительные - применяются при выполнении предпроектных работ;
б) приближенные - применяются в процессе проектирования на разных его этапах. Проверяются выбранные параметры конструкции и возможности их компоновки и, при необходимости, проводится корректировка параметров;
в) уточненные - включают полный комплекс расчетов. По его результатам допускается корректировка отдельных конструктивных параметров.
8.2 При выполнении предварительных расчетов допускается расчетную схему кузова принимать в виде балки ступенчато-переменной жесткости, лежащей на двух опорах. Геометрические характеристики поперечных сечений при этом принимают по оконным или дверным вырезам. Ступени образуются в переходных зонах продольных балок переменного сечения и в зонах между оконными и дверными вырезами. Вертикальную нагрузку принимают равномерно распределенной. Продольную нагрузку прикладывают эксцентрично по отношению к нейтральной оси поперечного сечения кузова на уровне оси сцепного устройства. Напряжения по режимам нагружения определяют только для средних поперечных сечений кузова. Данный расчет применяют для подбора параметров поперечного сечения кузова на основе вариантного анализа.
8.3 Приближенные расчеты в процессе проектирования выполняют по расчетным схемам в виде плоских или пространственных стержневых систем. Вертикальную нагрузку при этом прикладывают в соответствии с ее действительным распределением. Вес простенков распределяют поровну между верхним и нижним поясами. Раскрытие статической неопределимости производят с учетом всех компонент НДС для стержневых систем. При определении напряжений учитывают коэффициент концентрации напряжений

в углах оконных и дверных проемов, который вычисляют по эмпирической формуле:

(8.1)
где r - радиус закругления;
b - ширина простенка.
8.3.1 При определении геометрических параметров поперечных сечений (площади, моменты инерции и моменты сопротивления) стержней следует учитывать в полной мере элементы набора (каркаса) и часть сечения примыкающей к ним листовой обшивки.
8.3.2 При толщине стальной обшивки

и алюминиевой

принимают, что ширина каждой из примыкающих полос обшивки, работающих совместно с элементом набора, не превышает

.
8.3.3 При толщине стальной обшивки

и алюминиевой

учитываемую ширину полос принимают равной

.
8.3.4 При толщине стальной обшивки

и алюминиевой

учитывают ширину полос обшивки

.
8.3.5 Площадь среза криволинейных элементов дополнительно редуцируют с учетом коэффициента формы сечения для соответствующей оси.
8.3.6 На основании приближенных расчетов могут быть определены геометрические параметры всех основных несущих элементов.
8.4 При выполнении уточненных расчетов несущую металлоконструкцию кузова рассматривают как единую пространственную систему, состоящую из совокупности типовых элементов (стержней, пластин, оболочек). Определение НДС рекомендуется выполнять с помощью компьютерного моделирования на основе МКЭ. Обшивку кузова моделируют треугольными и четырехугольными КЭ (пластинами и оболочками), элементы набора - КЭ в виде стержней. Для уточнения НДС крупногабаритные элементы рамы следует моделировать пластинчатыми и оболочечными элементами. При моделировании гофрированных элементов обшивки допускается использование конструктивно-ортотропных элементов.
8.5 Полученные напряжения по режимам нагружения не должны превышать допускаемых, значения которых приведены в нормативных документах [
1, раздел 10] и национальных стандартах <1>.
8.6 После определения усилий и напряжений в основном материале кузова и его узлов следует произвести оценку прочности разъемных и неразъемных соединений на основании апробированных методик, изложенных в нормативных документах [
1, раздел 4] и национальных стандартах <1>.
--------------------------------
<1> В Российской Федерации допускаемые напряжения приведены в ГОСТ Р 55182-2012 Вагоны пассажирские локомотивной тяги. Общие технические требования (
приложение А, обязательное).
9. Требования к устойчивости элементов кузова
и правила их оценки
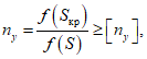
9.1 Сжатые стержневые несущие элементы, гофры, стрингеры и пластинчатые элементы обшивки, находящиеся в плоском НДС, проверяют на устойчивость путем сравнения расчетного значения коэффициента запаса устойчивости с допускаемыми значениями [nу]:

(9.1)
где S - параметры внешней нагрузки;
f - функция НДС, полученная из расчетов на прочность в соответствии с положениями
раздела 9;
Sкр - критические значения параметров внешней нагрузки, полученные из решения задачи устойчивости.
9.2 Критические значения параметров внешней нагрузки получают из решения задач устойчивости в предположении пропорционального роста параметров внешней нагрузки (простое нагружение).
9.2.1 Критические напряжения сжатия однопролетного стержня длиной
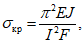
l с шарнирным опиранием по концам определяют по формуле:

(9.2)
где EJ - изгибная жесткость относительно оси, перпендикулярной плоскости возможной потери устойчивости;
F - площадь поперечного сечения стержня.
9.2.2 Критические напряжения для элементов продольного набора (стрингеры, гофры) определяют по схеме в виде многопролетного стержня на упруго-смещающихся и упруго-поворачивающихся опорах с учетом действительного распределения напряжений по пролетам, полученным в соответствии с положениями
раздела 8.
Примечание - Если имеется начальная погибь, то ее разрешается не учитывать, если ее величина (замеренная по вершинам гофров) не превышает 2,5 мм на погонный метр длины.
9.2.3 При определении критических напряжений по
9.2.1 и
9.2.2 в состав сечения может включаться редуцированная часть плоской обшивки.
9.2.4 При оценке критических напряжений для плоских элементов, нагруженных в одном направлении обшивки, разрешается пользоваться справочными данными. Для прямоугольных шарнирно опертых пластин с размерами
a x
b, сжимаемыми равномерно распределенными усилиями вдоль стороны
b, расчет производят по формуле:

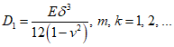
(9.3)
где D1 - цилиндрическая жесткость пластины;

- толщина.
При этом

при подстановке в
(9.1) должны сравниваться со средними напряжениями:

(9.4)
где

- действующие напряжения, полученные при прочностном расчете в соответствии с
разделом 8.
Примечание - Формулой, аналогичной
(9.4), следует пользоваться и при оценке запаса устойчивости.
Для тонких шарнирно-опертых пластин, подвергнутых сжатию и изгибу, при линейном изменении интенсивности напряжений по ширине сечения
b в соответствии с
рисунком 9.1 по закону
где

,
критические напряжения определяют по формуле:

(9.5)
9.2.5 В случае комбинированного нагружения плоской панели обшивки общий коэффициент запаса устойчивости оценивают по формуле суммирования опасностей:

(9.6)
где
nуi - коэффициенты запаса устойчивости, подсчитанные по
формуле (9.1) для отдельных видов нагружений по методике
9.2.4. При этом считают, что требования по устойчивости выполнены, если
nу, вычисленный по
формуле (9.6), больше 0,9.
Рисунок 9.1 - Пластина под действием сжатия и изгиба
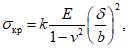
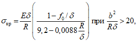
9.2.6 Для гладких цилиндрических панелей, шарнирно-опертых по всем четырем кромкам и сжатых вдоль образующих, критические напряжения определяют по формуле:

(9.7)

(9.8)
где b - расстояние между стрингерами;
R - радиус кривизны панели;

- толщина панели;
f0 - амплитуда начальной погиби.
9.2.7 Для плоских подкрепленных (гофрированных) панелей, а также подкрепленных цилиндрических панелей при определении критических напряжений допускается использование конструктивно-ортотропных моделей. При этом коэффициент
nу определяют по отношению к среднему напряжению, вычисляемому по
формуле (9.4).
9.2.8 В ответственных случаях для плоских подкрепленных (гофрированных) панелей, а также подкрепленных цилиндрических панелей для уточненного определения значения
nу и при использовании МКЭ выделяют проверяемый на устойчивость фрагмент расчетной схемы, и, загрузив его найденными усилиями от расчетных нагрузок, проводят расчет на устойчивость (в том числе с помощью МКЭ).
Примечание - Запрещается пользоваться данной рекомендацией, если рассматривается неподкрепленная цилиндрическая панель.
9.2.9 Если полученные по
9.2.1 -
9.2.8 значения

превышают предел пропорциональности, то производят пересчет этих значений с учетом текучести по формуле:

(9.9)
где
Таблица 9.1
| Отношение z = a/b |
0,20 | 0,22 | 0,24 | 0,26 | 0,28 | 0,30 | 0,35 | 0,40 | 0,50 | 0,60 | 0,70 | 0,80 | 0,90 | 1,00 | 1,50 | 2,00 |
2,0 | 49,6 | 43,8 | 39,4 | 35,9 | 33,1 | 30,8 | 26,6 | 23,9 | 20,9 | 19,8 | 19,6 | 20,1 | 21,0 | 20,9 | 19,8 | 19,6 |
1,9 | 47,9 | 42,2 | 37,8 | 34,4 | 31,6 | 29,3 | 25,1 | 22,4 | 19,4 | 18,0 | 17,6 | 17,8 | 18,4 | 19,3 | 17,7 | 17,7 |
1,8 | 46,3 | 40,7 | 36,3 | 32,9 | 30,1 | 27,9 | 23,7 | 21,0 | 17,9 | 16,4 | 15,9 | 15,8 | 16,1 | 16,8 | 15,8 | 16,0 |
1,7 | 44,7 | 39,2 | 34,9 | 31,5 | 28,7 | 26,5 | 22,4 | 19,7 | 16,5 | 15,0 | 14,2 | 14,0 | 14,1 | 14,5 | 14,1 | 14,4 |
1,6 | 43,1 | 37,7 | 33,5 | 30,1 | 27,4 | 25,2 | 21,1 | 18,4 | 15,3 | 13,6 | 12,8 | 12,4 | 12,4 | 12,6 | 12,6 | 12,6 |
1,5 | 41,6 | 36,3 | 32,1 | 28,8 | 26,1 | 24,0 | 19,9 | 17,3 | 14,1 | 12,4 | 11,5 | 11,1 | 11,0 | 11,1 | 11,2 | 11,1 |
1,4 | 40,1 | 34,9 | 30,8 | 27,5 | 24,9 | 22,8 | 18,8 | 16,2 | 13,0 | 11,3 | 10,4 | 9,9 | 9,7 | 9,8 | 10,1 | 9,8 |
1,3 | 38,7 | 33,5 | 29,5 | 26,3 | 23,7 | 21,6 | 17,7 | 15,1 | 12,0 | 10,3 | 9,4 | 8,9 | 8,7 | 8,7 | 9,1 | 8,7 |
1,2 | 37,3 | 32,2 | 28,3 | 25,1 | 22,6 | 20,5 | 16,7 | 14,2 | 11,1 | 9,4 | 8,5 | 8,0 | 7,8 | 7,8 | 8,2 | 7,8 |
1,1 | 35,9 | 30,9 | 27,1 | 24,0 | 21,5 | 19,5 | 15,8 | 13,3 | 10,3 | 8,7 | 7,8 | 7,3 | 7,0 | 7,0 | 7,5 | 7,0 |
1,0 | 34,6 | 29,7 | 25,9 | 22,9 | 20,5 | 18,5 | 14,8 | 12,4 | 9,5 | 8,0 | 7,1 | 6,6 | 6,4 | 6,4 | 6,8 | 6,4 |
0,9 | 33,3 | 28,5 | 24,7 | 21,8 | 19,4 | 17,5 | 14,0 | 11,6 | 8,8 | 7,4 | 6,5 | 6,1 | 5,9 | 5,8 | 6,3 | 5,8 |
0,8 | 32,0 | 27,3 | 23,6 | 20,8 | 18,5 | 16,6 | 13,2 | 10,9 | 8,2 | 6,8 | 6,0 | 5,6 | 5,4 | 5,4 | 5,8 | 5,4 |
0,7 | 30,7 | 26,4 | 22,6 | 19,8 | 17,5 | 15,7 | 12,4 | 10,2 | 7,7 | 6,3 | 5,6 | 5,2 | 5,0 | 5,0 | 5,4 | 5,0 |
0,6 | 29,4 | 24,9 | 21,5 | 18,8 | 16,6 | 14,9 | 11,7 | 9,6 | 7,2 | 5,9 | 5,2 | 4,9 | 4,7 | 4,6 | 5,0 | 4,6 |
0,5 | 28,2 | 23,8 | 20,5 | 17,9 | 15,8 | 14,1 | 11,0 | 9,0 | 6,7 | 5,5 | 4,9 | 4,5 | 4,4 | 4,3 | 4,7 | 4,3 |
0,4 | 26,9 | 22,7 | 19,5 | 17,0 | 15,0 | 13,3 | 10,4 | 8,5 | 6,3 | 5,2 | 4,6 | 4,3 | 4,1 | 4,1 | 4,3 | 4,1 |
0,3 | 25,7 | 21,6 | 18,5 | 16,1 | 14,2 | 12,6 | 9,9 | 8,1 | 6,0 | 4,9 | 4,3 | 4,0 | 3,9 | 3,8 | 4,1 | 3,8 |
0,2 | 24,5 | 20,6 | 17,6 | 15,3 | 13,5 | 12,0 | 9,3 | 7,6 | 5,7 | 4,6 | 4,1 | 3,8 | 3,6 | 3,6 | 3,9 | 3,6 |
0,1 | 23,3 | 19,6 | 16,7 | 14,5 | 12,0 | 11,4 | 8,9 | 7,2 | 5,4 | 4,4 | 3,9 | 3,6 | 3,5 | 3,4 | 3,7 | 3,4 |
Примечание - Допускается интерполяция по  . Интерполяция по z при z > 1 запрещена. |
9.2.10 При проведении расчетов на устойчивость используют поперечные сечения брутто.
9.3 Минимально допустимые значения коэффициентов запаса устойчивости и правила их оценки (за исключением случаев, предусмотренных в
9.2.5) приведены в таблице 9.2.
Таблица 9.2
Значения [nу]
Элементы | Режимы | Правило оценки |
I | II | III |
Стрингеры, гофры, обвязки, балочки пола | 1,10 | 1,5 | 1,5 | |
Листы плоской обшивки | 1,05 | 1,2 | 1,5 | |
Крыша в целом | 1,05 | 1,2 | 1,5 | |
Средняя часть крыши | 1,00 | 1,0 | 1,0 | |
Скат крыши | 1,50 | 1,5 | 1,5 | |
9.4 Для облегченных конструкций в случаях, когда не требуется применение лакокрасочных покрытий, допускается местная потеря устойчивости листов несущей обшивки при действии нагрузок по I режиму. При этом закритические напряжения в обшивке должны быть ниже предела текучести (упругости материала) и не вызывать остаточных деформаций обшивки.
10. Правила расчета на прочность узлов внутреннего
оборудования кузова и элементов его крепления.
Требования к прочности
10.1 Постоянно установленное и жестко закрепленное оборудование должно быть работоспособным в условиях нагружения инерционными нагрузками, определенными в соответствии с
6.6.
10.2 При выполнении условий 10.1 элементы крепления оборудования рассчитывают на одновременное действие собственного веса, продольных (
Px), боковых (
Py) и вертикальных (
Pz) сил инерции, действующих при движении вагона для I и III режимов нагружения, устанавливаемых в соответствии с
6.6.
Инерционные нагрузки считают приложенными в центре тяжести оборудования за исключением случая, предусмотренного в
10.2.2.
10.2.1 Величины статических вертикальных нагрузок при расчете кресел и диванов (с учетом массы их конструкции) принимают:
- для одноместных кресел 1,5 кН;
- для двухместных кресел 2,5 кН;
- для диванов 3,0 кН.
10.2.2 При расчете кресел и диванов следует считать, что 50% продольной силы приложено в плоскости сиденья и 50% - к спинке кресла (дивана) на высоте 400 мм от плоскости сиденья (в его ненагруженном состоянии).
10.2.3 Динамическую прочность конструкции крепления пассажирских кресел и диванов проверяют на действие нагрузок от собственного веса и веса сидящих на них пассажиров, а также трех вариантов инерционных нагрузок (приложенных в ц.т.):
1) вертикальное ускорение 3g;
2) вертикальное ускорение 1g и продольное +/- 4g;
3) вертикальное ускорение 1g и боковое +/- 1g.
При этом массу пассажира принимают равной 70 кг и считают жестко соединенной с несущими элементами конструкции, расположенной в ц.т. на высоте 660 мм от пола.
Наибольшие эквивалентные напряжения в элементах крепления для перечисленных вариантов нагружения не должны превышать

.
10.2.4 Прочность конструкций крепления кресел/диванов дополнительно проверяют по критерию не превышения эквивалентными напряжениями значений

при совместном действии вертикальных сил тяжести от вертикального ускорения 1
g и инерционных сил от продольных ускорений +/- 5
g.
Примечание - Допускается вместо ускорения +/- 5
g использовать среднее значение продольного ускорения из расчета по сценариям аварийных столкновений
ГОСТ 32410 (и выбора сценария, соответствующего максимальному ускорению).
10.2.5 При подтверждении требований
10.2.1 -
10.2.4 расчетным путем следует использовать квазистатическую линейную модель.
10.3 Из восьми возможных вариантов сочетания знаков для инерционных нагрузок
Px,
Py,
Pz по
10.2 для каждого из узлов крепления (если их несколько) выбирают наихудшую комбинацию.
10.4 При определении усилий, действующих на элементы крепления (скобы, крюки, кронштейны и т.д.), само оборудование рассматривают как абсолютно твердое тело, а каждый элемент крепления рассматривают как упруго деформируемый, обладающий тремя линейными и тремя угловыми жесткостями. Более точным является описание с помощью матрицы жесткости (податливости) шестого порядка.
10.4.1 Определение линейных и угловых жесткостей (матриц жесткости) следует производить, рассматривая изолированный элемент крепления, нагружаемый поочередно единичными силами и моментами.
10.4.2 Для болтовых и заклепочных соединений после определения усилий, действующих на элементы крепления (для наиболее неблагоприятного сочетания сил инерции по
10.3), их, в случае необходимости, распределяют между отдельными болтами (заклепками), исходя из условий совместности деформаций. Коэффициент неравномерности распределения усилий (отклонение усилия, приходящегося на болт или заклепку от среднего значения) предварительно принимают:
- для болтов 1,2;
- для заклепок 1,1.
10.5 При передаче поперечных нагрузок болты рассчитывают на усилие затяжки, принимая коэффициент трения между соединяемыми деталями равным 0,15 и коэффициент запаса по затяжке не менее 2. При передаче одновременно и продольного усилия коэффициент запаса по затяжке принимают не менее 2,5.
10.6 Расчет сварных швов, болтовых и заклепочных соединений, входящих в элементы крепления, производят по допускаемым напряжениям. Допускаемые напряжения для режимов нагружения по
6.6 приведены в отраслевых нормативных документах [
1, раздел 10] и национальных стандартах <1>.
--------------------------------
<1> В Российской Федерации допускаемые напряжения приведены в ГОСТ Р 55182-2012 Вагоны пассажирские локомотивной тяги. Общие технические требования (
приложение А, обязательное).
10.7 Если в креплении вагонного оборудования используются специальные амортизирующие устройства, то для этих элементов необходимо производить определение парциальных частот. При этом следует руководствоваться указаниями
10.4,
10.4.1. Полученные частоты должны быть больше эффективной частоты
fэ колебаний кузова вагона не менее чем в 1,5 раза. Под эффективной частотой для кузова понимают низшую частоту изгибных колебаний кузова в вертикальной плоскости. Для предварительных расчетов принимают
fэ = 10 Гц.
10.8 При наличии устройств по
10.7 для уточнения динамических сил, действующих на амортизируемый объект и элементы его крепления, может производиться динамический расчет для уточнения сил, действующих на объект и элементы его крепления. При выполнении требований
10.1 и
10.6 проведение таких расчетов не является обязательным.
10.9 При экспериментальных оценках прочности следует руководствоваться указаниями ГОСТ 30630.0.0,
раздел 6.
11. Правила расчета на прочность узлов
крепления подвагонного оборудования
11.1 Узлы крепления подвагонного оборудования пассажирского вагона рассчитывают на действие сил, определяемых в соответствии с требованиями
6.6 -
6.9.
11.2 Расчет нагрузок, действующих на узлы крепления подвагонного оборудования следует производить в соответствии с требованиями
раздела 10.
11.3 Для определения парциальных частот оборудования следует руководствоваться положениями
10.7. В случае отсутствия экспериментальных данных следует принимать эффективную частоту колебаний
fэ = 8 Гц.
11.4 Расчет крепления подвагонного оборудования производят по допускаемым напряжениям, а для элементов с высоким уровнем вибрационных воздействий (жестко закрепленных на раме тележки) также на сопротивление усталости.
11.5 Предохранительные устройства, предназначенные для исключения падения подвесного оборудования на путь, если техническими требованиями не предусмотрено иное, рассчитывают на вертикальные силы, равные двукратному весу предохраняемого оборудования. Эквивалентные напряжения в конструкции предохранительного устройства и элементах его крепления не должны превышать

.
11.6 В случае невозможности размещения на вагоне предохранительного устройства для конкретного элемента оборудования прочность узлов крепления этого элемента следует рассчитывать по допускаемым напряжениям, уровень которых должен быть снижен не менее чем в 1,6 раза.
12. Правила расчета на прочность ходовых частей тележки
12.1 Для предварительных и приближенных расчетов расчетную схему рамы тележки принимают в виде пространственной статически неопределимой стержневой системы, а расчетную схему надрессорного бруса - в виде балки с переменными по длине сечениями. При этом необходимо учитывать все шесть компонент НДС схемы.
12.2 Уточненный расчет выполняют по расчетным схемам, отражающим действительное исполнение и характер работы основных элементов рассчитываемого объекта. Определение всех компонент НДС рекомендуется выполнять с помощью компьютерного моделирования МКЭ.
12.3 При разработке расчетных схем МКЭ относительно тонкостенные несущие элементы следует моделировать треугольными и четырехугольными пластинчатыми и/или оболочечными элементами. Для массивных узлов (кронштейны, упорные и опорные узлы) следует применять объемные элементы.
12.4 Для исследования совместной работы рамы и надрессорного бруса моделируют их связь (пружины) с помощью одномерных упругих элементов с жесткостными характеристиками, соответствующими реальным жесткостям пружин.
12.5 Расчетные нагрузки по режимам нагружения следует принимать по
6.16.1,
6.16.2.
12.5.1 Суммарные расчетные напряжения для основного эксплуатационного режима определяют для наиболее неблагоприятного сочетания знаков напряжений для расчетных усилий по
6.16.1. По найденным сочетаниям вычисляют эквивалентные напряжения, которые не должны превышать допускаемых по III режиму.
12.5.2 Суммарные эквивалентные напряжения, найденные для режима Iд, не должны превышать допускаемых по I режиму.
12.5.3 Суммарные эквивалентные напряжения, найденные для режимов

и

, не должны превосходить допускаемых по III режиму, увеличенных на 20%.
12.6 Элементы рамы тележки должны быть проверены на сопротивление усталости при действии основного сочетания нагрузок по
6.16.1 в соответствии с положениями
раздела 14.
13. Правила расчета цилиндрических пружин с круглым
поперечным сечением витка
Цилиндрические пружины рессорного подвешивания проверяют по допускаемым деформациям, напряжениям и на усталостную прочность (долговечность).
13.1 При угле наклона витка a <= 14° линейные
C и угловые

жесткости пружин вычисляют по формулам:

(13.1)
Примечание - Значение Cy относится к случаю, если пружина ориентирована так, что сила Py, приложенная в начальном сечении рабочих витков, направлена по касательной к осевой линии пружины. При этом значение Cx следует снижать на (15 - 30)%. При повороте пружины на 90° значения Cx, Cy меняются местами.

(13.2)

(13.3)

(13.4)
где

- момент инерции поперечного сечения витка;

- угол наклона витка в свободном состоянии;

- индекс пружины.
Примечание - Не рекомендуются пружины, у которых дробная часть числа рабочих витков близка или равна 0,25 и 0,75.
13.2
Формулы (13.1),
(13.3) используют для предварительных расчетов для жесткостей
Cx,
Cy,

,

. Более точно деформационное поведение пружины определяют, используя уравнения пространственного винтового бруса, жесткостные параметры пружины описываются квадратной матрицей жесткости шестого порядка. Алгоритм построения матрицы жесткости и пример расчета приведены в
приложении А.
13.3 Статический прогиб пружин или комплектов пружин подвешивания определяют по формуле:

(13.5)
где Qст - вес брутто, приходящийся на пружину (комплекта);
Cz - жесткость пружины (комплекта).
13.3.1 Для одиночной цилиндрической винтовой пружины жесткость
Cz при определении
fст определяют по
формуле (13.2).
13.3.2 Для комплекта цилиндрических винтовых пружин с одинаковой высотой в свободном состоянии вертикальную жесткость отдельных пружин определяют по
формуле (13.2), а жесткость комплекта по формуле:

(13.6)
13.3.3 Если комплект состоит из пружин, имеющих разную высоту в свободном состоянии, то статический прогиб вычисляют по формуле:

(13.7)
h01 - высота по средней линии в свободном состоянии самой высокой пружины, а суммирование распространяется на все сжимаемые пружины.
Примечание - Под самой высокой пружиной понимается пружина с максимальной габаритной высотой в свободном состоянии.
13.3.4 Общую жесткость комплекта, состоящего из ряда последовательно соединенных пружин, вычисляют по формуле:

(13.8)
13.4 Высоту цилиндрической пружины по средней линии при полном расчетном сжатии определяют по формуле:

(13.9)
где

.
13.4.1 Высоту комплекта пружин при полном расчетном сжатии определяют по формуле:

(13.10)
13.4.2 Если пружины имеют ограничители прогиба, замыкание которых происходит при высоте
Hзам, которая превышает значения
Hсж по
формулам (13.9),
(13.10), то следует принимать:
Hсж = Hзам.
13.4.3 Наибольший полный расчетный прогиб определяется по формуле:
fр = h0 - Hсж, (13.11)
где для комплекта пружин с разной высотой в свободном состоянии
h0 =
h01 и
h01 определяется в соответствии с
13.3.3.
13.5 Для наибольшего полного расчетного прогиба должно быть выполнено соотношение:
fр = Kрfст, (13.12)
где коэффициент конструктивного запаса прогиба должен быть:
а) Kр >= 1,6 для буксовой ступени подвешивания;
б) Kр >= 1,5 для центральной ступени подвешивания.
Примечание - Ограничения а), б) должны выполняться и в случае применения нелинейного подвешивания.
13.5.1 Коэффициент конструктивного запаса прогиба для кузовов со смещенным центром тяжести определяют для обеих тележек, исходя из равномерного нагружения каждого комплекта в данной тележке и номинальных размеров пружин.
13.5.2 Допускается обоснованное снижение величины Kр, определенное по 13.5.1 в случае применения специальных устройств, смягчающих (исключающих) возможные удары при смыкании витков.
13.6 Для обеспечения устойчивости пружин подвешивания с круглым поперечным сечением витка выполняют проверку соотношения:

(13.13)
где Kу определяется из решения задачи устойчивости для пружины. В предварительных расчетах следует принимать:
а) Kу = 3,5 - при обычном опирании на жесткое основание;
б) Kу = 1,75 - при шарнирном опирании опорных витков.
13.7 Наибольшую вертикальную расчетную силу Pр определяют:

(13.14)
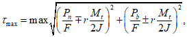
13.8 Цилиндрическую винтовую пружину проверяют на прочность по допускаемым напряжениям кручения

от действия наибольшей вертикальной расчетной силы, вычисляемой по формулам (13.14), и от действия горизонтальной поперечной силы (вычисляемой с учетом выбора зазоров между поперечными упорами бруса и рамы для центрального подвешивания). Расчеты на эти нагрузки следует вести по схеме в виде пространственного винтового бруса. Рекомендуемый алгоритм расчета приведен в
Приложении Б. Найденные максимальные касательные напряжения не должны превышать допускаемых, приведенных в отраслевых нормативных документах [
1, раздел 10] и национальных стандартах <1>.
Примечание - Следует иметь в виду, что обычно

в отраслевых нормативах задаются для коэффициента
Kр = 1,6 и при его уменьшении должны также пропорционально уменьшаться.
--------------------------------
<1> В Российской Федерации допускаемые напряжения приведены в ГОСТ Р 55182-2012 Вагоны пассажирские локомотивной тяги. Общие технические требования (
приложение А, обязательное).
13.9 Коэффициент запаса сопротивления усталости пружин оценивают по формуле:

(13.15)
где

- максимальные напряжения только от вертикальной нагрузки на пружину брутто;

- предельная амплитуда касательных напряжений при числе циклов нагружений
N = 6·10
6, определяемая по эмпирической формуле:

(13.16)
где Kd - коэффициент влияния действительных размеров сечения, вычисляемый по эмпирической формуле:

(13.17)
где диаметр прутка d задается в см;

- коэффициент влияния состояния поверхности и глубины обезуглероженного слоя.
Значения коэффициента

принимают, исходя из применяемой технологии обработки поверхности прутка и глубины обезуглероженного слоя:
1,0 - для пружин, изготовленных из механически необработанного прутка;
1,2 - при удалении поверхностного слоя толщиной не более 1 мм на сторону и глубины обезуглероженного слоя, предельно допускаемой по
ГОСТ 1452;
1,3 - при удалении поверхностного слоя толщиной не менее 1,5 мм на сторону и глубины обезуглероженного слоя не более половины, допускаемой по
ГОСТ 1452;
1,4 - при удалении поверхностного слоя толщиной не менее 1,5 мм на сторону и полном отсутствии обезуглероженного слоя.
Kv - коэффициент влияния поверхностного упрочнения пружины, который принимают равным:
1,0 - при отсутствии упрочнения пружины наклепом;
1,15 - при упрочнении пружины наклепом.
Эксплуатационное значение динамической добавки к амплитуде

при отсутствии экспериментальных данных определяют по формуле:

(13.18)
где kd - расчетный коэффициент динамики, принимаемый равным:
а) kd = 0,3 - для буксовой ступени подвешивания;
б) kd = 0,2 - 0,25 - для центральной ступени подвешивания.
13.9.1 Циклическую долговечность пружин подтверждают испытаниями на циклическую долговечность по
ГОСТ 32208.
13.9.2 При испытаниях на циклическую долговечность скорость нагружения не должна превышать критического значения, определяемого по формуле:

(13.19)

- плотность материала пружины.
14. Правила расчета на сопротивление усталости
основных узлов кузова и тележки
14.1 Сопротивление усталости оценивают для деталей вагонов, работающих в условиях интенсивного вибрационного нагружения по формуле:

(14.1)
где

- амплитуда установившегося режима, эквивалентного по повреждающему действию эксплуатационному режиму;

- предел выносливости для натурной детали при установившемся режиме нагружения и базовом числе циклов
N0 = 10
7;
[n] - допускаемое значение коэффициента запаса сопротивления усталости, принимаемое в зависимости от условий расчета:
а) при использовании надежных экспериментальных данных о режимах эксплуатационной нагруженности и прочностных характеристик детали с учетом вероятностного рассеивания [n] >= 1,2 - 1,4;
б) при наличии приближенных данных о прочности детали или режимах ее нагруженности [n] >= 1,5 - 1,8;
в) при использовании приближенных данных о прочности детали и режимах ее нагруженности [n] >= 1,8 - 2,2.
Примечание - Для более ответственных деталей (шкворневые и хребтовая балка, рамы тележек, надрессорные балки) рекомендуется принимать большие значения [n].
14.2 Предел выносливости натурной детали определяют по формуле:

(14.2)
где

- предел выносливости гладкого стандартного образца, определяемый по справочным данным или эксперименту по
ГОСТ 25.502;

- общий коэффициент снижения усталостной прочности, определяемый по справочным данным [
1, таблица 3.3], отраслевым стандартам <1> и др. или по результатам испытаний подобных деталей.
--------------------------------
<1> В Российской Федерации подобные данные содержатся, например, в ГОСТ Р 53337-2011 Специальный подвижной состав. Требования к прочности несущих конструкций и динамическим качествам.
14.2.1 При отсутствии экспериментальных данных величину

вычисляют по эмпирической формуле:

(14.3)
где

- предел прочности стали данной марки в [МПа].
Значение

определяют по формуле:

(14.4)
14.2.2 Если по результатам испытаний на сопротивление усталости натурных деталей при асимметричном цикле с амплитудой

и средним напряжением цикла

получено значение показателя
m кривой усталости Велера и количестве циклов до разрушения
NP, то

из
формулы (14.1) определяют по формуле:

(14.5)
Примечание - Использование формулы (14.5) допускается, если выборочный коэффициент линейной корреляции
r между логарифмами амплитуд

и числом циклов lg
N удовлетворяет статистике:
имеющей распределение Стьюдента с
k =
nи - 2 степенями свободы (
nи - число испытанных образцов), где

- значение квантили
t уровня

(обычно назначают

).
14.2.3 Для углеродистой и низколегированной сталей показатель m кривой усталости Велера приближенно определяют по формуле:

(14.6)
либо по методике ГОСТ 25.504, либо по справочным данным [
1, таблица 3.4].
14.3 При наличии статистических данных амплитуду установившегося эквивалентного режима определяют по формуле:

(14.7)
где Tр - расчетный срок службы при непрерывной работе, секунд;
fэ - эффективная частота динамических напряжений;

- доля времени, приходящаяся на движение со скоростями

;

- число разрядов скоростей движения;

(14.8)
где

-
j-й уровень амплитуд динамических напряжений для движения в
i-м интервале скоростей;

- частость появления амплитуд напряжений
j-го уровня в
i-м интервале скоростей.
14.3.1 Расчетный срок службы определяют по формуле:
где Lс - проектный среднесуточный пробег вагона, км;

- средняя скорость движения, м/с, определяемая по формуле:

(14.9)
где

- средняя скорость интервала

, принимаемая по таблицам 14.1,
14.2;
Tк - календарный срок службы вагона (узла), лет;
Kвр - коэффициент, учитывающий время нахождения вагона в рабочем парке. При расчетах следует принимать Kвр = 0,85.
Таблица 14.1
Рекомендуемые значения pvi по интервалам скоростей движения

для вагонов с конструкционной скоростью 45 м/с (160 км/ч)
| pvi | | pvi | | pvi |
0 - 12,5 | 0,02 | 22,5 - 25,0 | 0,12 | 35,0 - 37,5 | 0,04 |
12,5 - 15,0 | 0,05 | 25,0 - 27,5 | 0,15 | 37,5 - 40,0 | 0,03 |
15,0 - 17,5 | 0,07 | 27,5 - 30,0 | 0,13 | 40,0 - 42,5 | 0,02 |
17,5 - 20,0 | 0,10 | 30,0 - 32,5 | 0,10 | 42,5 - 45,0 | 0,01 |
20,0 - 22,5 | 0,11 | 32,5 - 35,0 | 0,05 | | |
|
Таблица 14.2
Рекомендуемые значения
pvi по интервалам скоростей движения

для вагонов с конструкционной скоростью 55 м/с (200 км/ч)
| pvi | | pvi | | pvi |
0 - 12,5 | 0,01 | 25,0 - 27,5 | 0,09 | 40,0 - 42,5 | 0,05 |
12,5 - 15,0 | 0,02 | 27,5 - 30,0 | 0,11 | 42,5 - 45,0 | 0,03 |
15,0 - 17,5 | 0,03 | 30,0 - 32,5 | 0,13 | 45,0 - 47,5 | 0,02 |
17,5 - 20,0 | 0,05 | 32,5 - 35,0 | 0,12 | 47,5 - 50,0 | 0,02 |
20,0 - 22,5 | 0,06 | 35,0 - 37,5 | 0,10 | 50,0 - 52,5 | 0,01 |
22,5 - 25,0 | 0,07 | 37,5 - 40,0 | 0,07 | 52,5 - 55,0 | 0,01 |
|
14.3.2 Эффективную частоту динамических напряжений определяют по формуле:

(14.10)
где

- центрированные моменты распределения порядка
i. При наличии спектральной плотности
S(
f) можно пользоваться формулой

(14.11)
14.3.3 При приближенных расчетах fэ вычисляют по формуле:

(14.12)
где

14.3.4 При построении гистограмм для нахождения

из
формулы (14.8) необходимо использовать методы схематизации случайных процессов, изложенные в ГОСТ 25.101.
14.4 При пользовании
формулой (14.8) учитывают амплитуды действующих напряжений величиной не менее 10 МПа для сталей и не менее 3 МПа для алюминиевых сплавов, но не более 75% от значения предела текучести (условного предела текучести) материала.
14.5 При отсутствии статистических данных по амплитудам в
формуле (14.1) при проверке сопротивления усталости проектируемого узла используют величину расчетной амплитуды

, которую вычисляют для динамических нагрузок, предусмотренных при III режиме эксплуатации:

(14.13)
где

- расчетные напряжения от нормативных динамических нагрузок.
14.5.1 При вычислениях по
формуле (14.13) для элементов кузова
n = 3, а напряжения суммируются в соответствии с
таблицей 6.1 от вертикальной динамической, боковой динамической и продольной динамической. При определении напряжений для шкворневых узлов и шкворневых стоек должны быть учтены требования
6.3.4.
14.5.2 При вычислениях по
формуле (14.13) для элементов тележки
n = 4, а напряжения суммируют по
6.16.1 от: (1) вертикальной динамической нагрузки, (2) боковых горизонтальных сил, (3) вертикальной кососимметричной нагрузки и (4) сил инерции при торможении, исходя из замедления 0,2
g, при этом для надрессорного бруса следует учитывать указания
6.3.3.
14.5.3 Более точно

для рамы тележки определяют по формуле, учитывающей разную частость процессов:

(14.14)
где

- относительные напряжения в соответствии с нумерацией
14.5.2,

- относительное время существования напряжении

,
где Cy, Cz - жесткости всех пружин буксового подвешивания одной тележки в поперечном и вертикальном направлениях.
При отсутствии данных по

принимают

,
i = 2, 3, 4.
14.6 Рекомендуется при определении коэффициентов запаса сопротивления усталости расчетным путем (и при экспериментальном, если предварительно проводится расчет) проверять те зоны конструкции, в которых велик коэффициент жесткости напряженного состояния Kж:
где

,

- главные напряжения.
15. Требования к динамическим качествам вагона
и правила их оценки
15.1 Для обеспечения надлежащих ходовых качеств пассажирского вагона следует обеспечивать следующие величины статического прогиба fст:
а) при конструкционных скоростях до 45 м/с (160 км/ч) не менее 200 мм под брутто;
б) при конструкционных скоростях до 55 м/с (200 км/ч) не менее 240 мм под брутто;
в) для почтовых, багажных и специальных вагонов не менее 130 мм при скоростях до 120 км/ч и не менее 145 мм при скоростях до 160 км/ч.
15.1.1 Статические прогибы подвешивания под тарой и под брутто должны обеспечивать автоматическую сцепляемость вагонов.
15.1.2 Статический прогиб буксовой ступени подвешивания следует назначать в пределах (15 - 40)% от полного статического прогиба. Допускается отклонение от указанного разбиения прогибов на 20% в меньшую или большую сторону при соответствующем теоретическом обосновании с обязательным экспериментальным подтверждением.
15.1.3 Дополнительно распределение статических прогибов по ступеням подвешивания проверяют по условию ограничения валкости кузова под тарой и под брутто:
где fб - прогиб буксового подвешивания;
2b1 - поперечное расстояние между осями пружин центрального подвешивания;
2b2 - поперечное расстояние между осями пружин буксового подвешивания;
| | ИС МЕГАНОРМ: примечание. В официальном тексте документа, видимо, допущена опечатка: пункт 6.16 г отсутствует. Возможно, имеется в виду пункт 6.16.1 г. | |
hц - высота ц.т. кузова от оси колесной пары, назначаемая в соответствии с указаниями
6.16 г;

- расстояние от метацентра до ц.т. кузова: величина

должна быть не менее 1,5 м.
15.1.4 В случае использования подвешивания с нелинейными характеристиками приведенную жесткость Cпр под статической нагрузкой определяют по формуле:

(15.2)
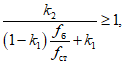
Из условия невозникновения параметрических резонансов должно выполняться условие: при P = (0,7 - 1,3)Pст изменение C должно быть не более 15%:

(15.3)
15.2 Горизонтальное подрессоривание кузова определяется длиной приведенного маятника lпр центрального подвешивания, которое должно быть не менее:
а) для пассажирских вагонов 400 мм;
б) для почтовых, багажных и специальных 300 мм.
Примечание - В случае нарушения ограничений следует применять более точные теоретические оценки для
lпр с учетом рекомендаций
раздела 13 и/или экспериментальную проверку выполнения ограничений
таблицы 15.1.
15.2.1 В случае, если горизонтальное подрессоривание обеспечивается за счет упругих свойств элементов вертикального подвешивания при их деформировании поперечными боковыми силами
lпр определяют по формуле:

(15.4)
где P - вертикальная статическая нагрузка, приходящаяся на тележку;

- суммарная горизонтальная жесткость всех комплектов центрального подвешивания тележки, вычисляемая в соответствии с указаниями
раздела 13.
15.2.2 В случае шарнирно-сочлененной люльки с вертикальными подвесками
(рисунок 15.1) lпр вычисляют по формуле:

0 =
l - H, (15.5)
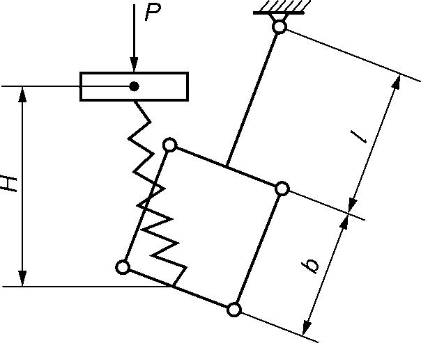
где b - длина серьги;
l - длина подвески;
H - высота пружин под вертикальной статической нагрузкой;

- суммарная угловая жесткость вычисляется в соответствии с
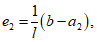
13.1.
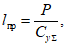
Рисунок 15.1 - Схема шарнирно-сочлененной люльки
с вертикальными подвесками
15.2.3 Приведенную длину однозвенной люлечной подвески
(рисунок 15.2) определяют по формуле:

(15.6)
где b - длина серьги.
Рисунок 15.2 - Схема однозвенной люлечной подвески
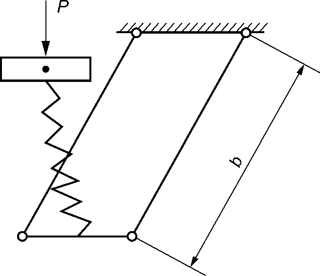
15.2.4 Приведенную длину в случае люльки с наклонными подвесками
(рисунок 15.3) определяют по формуле:

(15.7)
где hц - высота от ц.т. кузова до оси нижнего люлечного бруса;

- угол наклона подвески к вертикали.
| | ИС МЕГАНОРМ: примечание. В официальном тексте документа, видимо, допущена опечатка: пункт 16.1.3 отсутствует. Возможно, имеется в виду 15.1.3. | |
Примечание - Из условия обеспечения

по
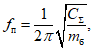
16.1.3 вытекает требование

.
Рисунок 15.3 - Схема люльки с наклонными подвесками
15.2.5 Для уточнения значений
lпр по
15.2.1 -
15.2.4 следует пользоваться полной расчетной схемой вагона в виде системы твердых тел, соединенных между собой упругими (при необходимости - нелинейно-упругими) связями. Демпфирование при этом учитывать не следует. Перемещения твердых тел следует принимать в виде, представленном в
6.16.
15.3 В центральном рессорном подвешивании вагонов с пружинами следует применять исключительно гидравлические демпферы.
15.3.1 Для гашения вертикальных колебаний потребный коэффициент сопротивления одного демпфера необходимо выбирать по формуле:
kz = 0,2 - 0,3;

(15.8)
где nz - число гасителей вертикальных колебаний на тележку;
Cz - вертикальная жесткость центрального подвешивания тележки;
fст - статический прогиб под брутто.
15.3.2 Для гашения горизонтальных колебаний коэффициент сопротивления одного демпфера необходимо выбирать по формуле:
ky = 0,3 - 0,4;

(15.9)
ny - число гасителей горизонтальных колебаний на тележку.
15.3.3 Допускается совместное гашение вертикальных и горизонтальных колебаний с помощью наклонных демпферов. При этом угол наклона демпферов к горизонту
<1> 
вычисляют по формуле:

(15.10)
где

,

определяют по
формулам (15.8),
(15.9), а коэффициент сопротивления наклонного демпфера

вычисляют по формуле:

(15.11)
--------------------------------
<1> Ограничение
(15.10) означает, что не все демпферы могут использоваться для совместного гашения. В Российской Федерации, согласно ГОСТ Р 55184-2012, для совместного гашения могут применяться гидравлические демпферы типов Ц и ЦВ.
15.3.4 В случае наклонных гасителей для выполнения требования
15.3.3 коэффициенты
kz,
ky в
формулах (15.8) и
(15.9) должны быть связаны неравенством:

(15.12)
15.4 Для гашения колебаний галопирования рамы тележки должны быть предусмотрены буксовые гасители колебаний. Отсутствие буксовых гасителей должно обосновываться в каждом отдельном случае расчетным путем с обязательным экспериментальным подтверждением во время ходовых испытаний.
15.4.1 Коэффициент сопротивления гидравлического гасителя буксовой ступени подвешивания определяют по формуле:

(15.13)
где Joy - массовый момент инерции рамы тележки;
Cz - жесткость рессорного комплекта буксы на одну буксу;
2lт - база тележки.
15.4.2 При использовании фрикционных гасителей сила трения должна составлять (3 - 4)% расчетной статистической нагрузки на рессорный комплект под брутто.
15.5 Допускается выход за ограничения, перечисленные в
15.3.1,
15.3.2,
15.4.1 до 20% в меньшую или большую сторону при соответствующем теоретическом и/или экспериментальным подтверждением ходовых качеств.
Примечание - При теоретическом подтверждении ходовых качеств необходимо учитывать, по крайней мере, изгибную жесткость кузова в вертикальной плоскости.
15.6 Коэффициенты вертикальной
kдв и горизонтальной
kдг динамики, вертикальные
az горизонтальные (поперечные)
ay ускорения и рамные силы
Hр могут предварительно определяться по формулам, приведенным в
разделе 6, а также на основании компьютерного моделирования. Окончательные выводы о приемлемости перечисленных динамических показателей должны быть сделаны на основании результатов динамических ходовых испытаний. Предельно допустимые значения для них приведены в таблице 15.1.
Таблица 15.1
Предельно допустимые значения коэффициентов
динамики и ускорений
Элемент вагона | Показатели |
[kдв] | [kдг] | [Hр]/P0 |  <*> |  <*> |
кузов | 0,25 | - | - | 0,25 | 0,15 |
обрессоренные части тележки | 0,40 | 0,20 | 0,30 | 0,40 | 0,20 |
<*> j = a/g Примечание - P0 - статическая нагрузка от оси на рельс. |
15.7 Показатели плавности хода в вертикальной Wв и горизонтальной Wг (поперечной) плоскостях определяют по методу Шперлинга. Их рекомендуемые и предельные значения приведены в таблице 15.2.
Таблица 15.2
Рекомендуемые и максимально допустимые показатели Wв и Wг
Конструкционная скорость, км/ч | Wв, Wг |
рекомендуемый | максимально допустимый |
160 | 2,8 (3,5) | 3,25 (3,75) |
161 - 200 | 2,7 | 3 |
Примечание - В скобках указаны значения для почтовых, багажных и других специальных вагонов. |
Определение показателей
Wв и
Wг расчетно-экспериментальным и расчетным путем следует проводить в соответствии с
приложением В.
15.8 Оценку уровня вибраций по значениям виброскоростей и/или виброускорений отдельных зон и узлов пассажирских вагонов производят для вертикального и горизонтального направлений интегрально по всему спектру частот (до 80 Гц) и раздельно по третьоктавным полосам. Указанные оценки следует производить исключительно экспериментальным путем. Количество зон и узлов, а также видов замеров (виброскорости, виброускорения) должно задаваться в техническом задании. Технология замеров и правила их обработки изложены в национальных нормах <1>.
Примечание - При превышении до 20% допустимых уровней виброускорений (виброскоростей) в отдельных третьоктавных полосах со среднегеометрической частотой более 16 Гц результаты признаются удовлетворительными при выполнении интегрального критерия.
--------------------------------
<1> В Российской Федерации действует ОСТ 24.050.28-81 Вагоны пассажирские. Методы измерения и оценки вибраций.
15.9 Оценку устойчивости против схода с рельс производят для набегающего и ненабегающего колес по формуле:
i = 1, 2, [
kус] = 2, (15.14)
где


- угол наклона образующей гребня колеса к горизонтальной оси (для колес с профилем по
ГОСТ 10791 
).
Вертикальную составляющую силы реакции набегающего колеса на головку рельса находят по формуле:
Pв1 = 2Qш(e2k1 - k2) + H1 + qкпe2. (15.15)
Вертикальную составляющую силы реакции ненабегающего колеса находят по формуле:
Pв2 = 2Qш(e1k1 + k2)+ H1 + qкпe1, (15.16)
где Qш - вес обрессоренных частей вагона, действующих на шейку оси:
где Q - вес вагона;
qкп - вес необрессоренных частей, приходящийся на одну колесную пару;
n - число осей вагона;
где l - расстояние между точками контакта колес с рельсами (l = 1,555 м);
2b - расстояние между серединами шеек оси;
a1 - расстояние от точки контакта колеса с рельсом до середины шейки оси со стороны набегающего колеса (a1 = 0,217 м).
где a2 - расстояние от точки контакта колеса с рельсом до середины шейки оси со стороны ненабегающего колеса (a2 = 0,264 м),
r - радиус колеса.
Коэффициенты k1 и k2 определяют по формулам:
где

вычисляют по
формуле (6.3) для обрессоренных частей тележки. Горизонтальную составляющую силы реакции набегающего колеса на головку рельса определяет по формуле:
Pб = Hр + 0,25Pв2.
Примечание - Расчет по
формуле (15.14) производится для вагона под тарой и под брутто.
15.10 Оценку поперечной устойчивости вагона от опрокидывания в кривых от действия боковых сил производят по формуле:

[
kn] = 1,4, (15.17)
где Pст - статическая вертикальная сила давления колеса на рельс;
Pд - динамическая вертикальная сила давления колеса на рельс.
Величину
Pд, возникающую из-за действия центробежной и ветровой нагрузок, следует определять по твердотельной схеме вагона. Для учета геометрической изменяемости схемы достаточно использовать упрощенные
формулы (6.9). При этом для центробежной силы следует исходить из непогашенного ускорения по
6.16.2, а ветровую нагрузку задавать в соответствии с
6.15.
15.11 Для обеспечения требований комфорта низшая частота изгибных колебаний кузова в вертикальной плоскости должна быть ограничена снизу.
15.11.1 При вибрационных стендовых испытаниях оборудованного кузова под массой брутто mб низшая изгибная частота в вертикальной плоскости должна быть не менее fб = 8 Гц.
Примечание - в случае испытаний необорудованного металлического кузова массой
mн переход от полученной для него частоты
fн к частоте
fб проводится по формуле

.
Значение kнб уточняют на основании экспериментальных данных.
15.11.2 Для предварительных расчетов низшую собственную частоту изгибных колебаний определяют по формуле:

(15.18)
где L - длина кузова по концевым стенам;
J - момент инерции среднего сечения кузова, определяемый с учетом редуцирования, проводимого с учетом требований
8.3.1 -
8.3.4;

- погонная масса кузова брутто.
15.11.3 Для уточненных расчетов частоты изгибных колебаний кузова в вертикальной плоскости следует использовать расчетную схему в виде плоской (пространственной) свободной балки с кусочно-постоянными по длине массово-геометрическими характеристиками, ступенчатой осевой линией и с учетом сосредоточенных масс. При этом должны учитываться все компоненты НДС балочной схемы и масса брутто. Рассчитанная таким образом частота должна быть не менее 9 Гц.
15.12 Допустимое воздействие на путь оценивают по критериям, определяемым соответствующим стандартом <1>.
--------------------------------
<1> В Российской Федерации используется
ГОСТ Р 55050-2012 Железнодорожный подвижной состав. Нормы допустимого воздействия на железнодорожный путь и методы испытаний.
15.12.1 Расчетной проверке подлежат величины следующих показателей:
а) динамические напряжения растяжения в кромке подошвы рельса;
б) осредненные напряжения смятия в деревянных шпалах (или прокладках на железобетонных шпалах);
в) напряжения сжатия в балласте под шпалой в подрельсовой зоне;
г) напряжения сжатия на основной площадке земляного полотна в подрельсовой зоне.
Оценку перечисленных напряжений следует производить в соответствии с национальными нормами <1>;
д) динамическая погонная нагрузка на железнодорожный путь от тележки проверяется по формулам, учитывающим часть линии влияния весовой нагрузки <2>.
--------------------------------
<1> В Российской Федерации применяется методика оценки воздействия подвижного состава на путь по условиям обеспечения его надежности N ЦПТ 52/12. Утверждена заместителем министра МПС РФ В.Т. Семеновым 16 июля 2002 г.
<2> В Российской Федерации используется
ГОСТ Р 55050-2012 Железнодорожный подвижной состав. Нормы допустимого воздействия на железнодорожный путь и методы испытаний.
15.12.2 Остальные показатели воздействия подвижного состава на путь определяют экспериментальным и экспериментально-расчетным путем.
15.13 При наличии плавающего пола его парциальную частоту, которая должна быть в пределах (20 - 40) Гц, определяют по формуле:
где

- суммарная жесткость всех амортизаторов;
mб - масса пола с полезной нагрузкой.
15.14 Для сидений мягкой мебели рекомендуется подбирать наполнитель таким образом, чтобы эквивалентный коэффициент вязкого трения

(на занятую площадь сиденья) примерно соответствовал величине, находимой по формуле:
где mп - масса пассажира (70 кг);
fп - средний прогиб сиденья (40 - 80 мм).
Экспериментальная оценка вибраций должна проводиться в соответствии с
ГОСТ 31317.2.
15.15 При возможности возникновения ситуации скрещения поездов на скоростях, превышающих 120 км/ч, следует производить проверку на изгибную прочность оконных стекол вагона от положительного и отрицательного скачков давления. Положительный скачок давления

вычисляют по эмпирической формуле:

(15.19)
где

- скорость движения, м/с;

- расстояние между осями соседних путей, м.
Отрицательный скачок давления вычисляют по формуле:

(15.20)
При этом расчетную схему принимают в виде прямоугольной шарнирно-опертой пластины с размерами по ГОСТ 13521, равномерно нагруженной нагрузкой

по
формулам (15.19),
(15.20). Вследствие кратковременности действия указанной нагрузки можно принимать, что

, где

- максимальное вычисленное напряжение. При этом для ламинированного/обычного стекла

, для закаленного стекла

. Модули Юнга стекол зависят от их сорта и колеблются в пределах
E = (3 - 10)·10
4 МПа, коэффициент Пуассона
(ГОСТ 32280).
(рекомендуемое)
АЛГОРИТМ ВЫЧИСЛЕНИЯ МАТРИЦЫ ЖЕСТКОСТИ ЦИЛИНДРИЧЕСКОЙ
ВИНТОВОЙ ПРУЖИНЫ И ПРИМЕР РАСЧЕТА
А.1 Используемые системы координат и силы, действующие на пружину, показаны на рисунке А1.
Рисунок А.1 - Расчетная схема пружины
А.2 Для векторов перемещений

(А.1)
соответствующие им реакции:

(А.2)
определяются по формулам:

(А.3)
А.3 Матрицу жесткости C из формулы (А.3) вычисляют по формуле:

(А.4)
(знак (*) означает транспонирование), где интегральные матрицы K вычисляются следующим образом:
где

- угол между радиусом, проведенным из начала системы координат (
xн,
yн,
zн) к центру начального сечения рабочей части витка пружины и положительным направлением оси
xн, а

вычисляется по формуле:

(А.6)
Матрицы жесткости поперечных сечений витка пружины вычисляют по формулам:
H
м = Э*G
мЭ, H
р = Э*G
рЭ, (А.7)
где Gм, Gр - диагональные матрицы жесткости поперечного сечения в локальных подвижных осях:

(А.8)
где

,

,
Kср - коэффициент формы сечения для среза:
Матрицу проектирования Э в
(А.7) вычисляют по формуле:

(А.9)
где направляющие косинусы локальных подвижных осей в глобальной системе координат для текущего угла

вычисляются так:

(А.10)
где

- угол наклона витка в ненагруженной пружине:

(А.11)
Квадратная матрица третьего порядка L задает координаты средней линии сечения для текущего значения угла

:

(А.12)
где x, y, z - координаты средней линии сечения в глобальной системе координат xн, yн, zн:
где R = D/2 - радиус пружины по средней линии.
Параметр кривизны

из
(А.5) определяют по формуле:

(А.14)
А.4 Вычисление интегралов
(А.5) рекомендуется выполнять по формуле Симпсона.
А.5 На
рисунке А.2 приведен пример расчета пружины по рекомендуемой методике и сравнение диагональных элементов с элементарными вычислениями по
формулам (13.1) -
(13.4).
Программа вычисляет 3 x 3 блоки Cij 12 x 12 матрицы жесткости C цилиндрической пружины, полученных с помощью теоремы Кастильяно в случае пренебрежения конечностью кривизны пространственной оси (стержень малой кривизны). В этом случае матрица C имеет следующий вид (x - знак транспонирования):
Рисунок А.2 - Матрица жесткости цилиндрической пружины
(рекомендуемое)
АЛГОРИТМ ВЫЧИСЛЕНИЯ КАСАТЕЛЬНЫХ НАПРЯЖЕНИЙ
ДЛЯ ЦИЛИНДРИЧЕСКОЙ ВИНТОВОЙ ПРУЖИНЫ
При нагружении пружины вертикальной силой Pz и поперечной горизонтальной силой Py максимальные касательные напряжения в поперечном сечении прутка вычисляют по формуле:

(Б.1)
где знаки

и

выбираются таким образом, чтобы каждая круглая скобка имела максимальный модуль,
r =
d/2 - радиус прутка, а значения
F и
J - как в
приложении А.
Проекции внешних сил на направление нормали Pn и бинормали Pb вычисляются по формулам:

(Б.2)
Крутящий момент Mt определяют по формуле:

(Б.3)
Значения
Pn,
Pb и
Mt подставляют в
(Б.1) и производят поиск максимального значения

при изменении угла

от

до

, определяемого по
формуле (А.6).
(обязательное)
ОПРЕДЕЛЕНИЯ ПОКАЗАТЕЛЕЙ ПЛАВНОСТИ ХОДА
В.1 Показатели плавности хода по методу Шперлинга определяют на основании математической обработки величины виброускорений, полученных во время ходовых испытаний, по формуле:

(В.1)
где Tj - время реализации с номером j;

- общее время замеров;
Wj - показатель плавности хода для реализации с номером j:

(В.2)
где


- среднее квадратичное значение виброускорений, полученное на выходе физиологического фильтра
q(f), вычисляемое по формуле:

(В.3)
где физиологический фильтр имеет вид:

(В.4)
и интегрирование производится в пределах:
fн = 0,5 Гц, fк = 20,0 Гц,
Sj(f) - функция спектральной плотности виброускорений, м2/с4 Гц-1 на реализации с номером j;
k - коэффициент, указывающий на метод оценки функции спектральной плотности:
В.2 Рекомендуется проводить расчетную оценку
W методом компьютерного моделирования на основании
формул (В.1) -
(В.3) путем вычисления спектральной плотности ускорений
Sj(
f) для одиночного вагона. Компьютерная модель вагона должна удовлетворять при этом следующим минимальным требованиям:
а) учитывают изгибные жесткости кузова в вертикальной и горизонтальной плоскости;
б) тележка моделируется системой твердых тел, связанных упруго-диссипативными связями.
В.3 При моделировании в частотной области необходимо использовать выражения для спектральной плотности перемещений, приведенные в В.3.1 -
В.3.6.
В.3.1 Односторонняя спектральная плотность вертикальных неровностей для частот
f <= 10 Гц вычисляют по формуле:

(В.5)
где

- скорость, м/с;

(В.6)
di и ki выбирают в зависимости от скорости следующим образом:
- если

, то берутся
d1,
k1;
- если

, то берутся
d2,
k2;
- если

, то берутся
d3,
k3.
Значения aj, bj, cj, fi, di, ki представлены в таблице В.1.
Таблица В.1
Параметр | | |
a1 | 0,00300000 | 0,00260000 |
c1 | 13,50000000 | 15,84615000 |
b1 | 365,14350000 | 87,27579000 |
a2 | 0,00340000 | 0,00240000 |
c2 | 23,29412000 | 33,58333000 |
b2 | 567,95640000 | 221,25630000 |
a3 | 0,01280000 | 0,00240000 |
c3 | 9,08593800 | 50,66667000 |
b3 | 43,64535000 | 30,20765000 |
a4 | 0,00680000 | 0,00340000 |
c4 | 23,61765000 | 47,14706000 |
b4 | 43,90722500 | 23,61299000 |
f1 | 0,02975815 | 0,02471139 |
d1 | 0,01490000 | 0,00130000 |
k1 | 2,77160000 | 3,24820000 |
f2 | 0,13039810 | 0,08706433 |
d2 | 1,15250000 | 1,99390000 |
k2 | 1,53440000 | 1,26590000 |
d3 | 0,00530000 | 0,00820000 |
k3 | 4,17630000 | 3,51640000 |
В.3.2 Одностороннюю спектральную плотность вертикальных неровностей для частот
f >= 10 Гц вычисляют по эмпирической формуле:

(В.7)
где P - нагрузка от оси на рельс, кН.
В.3.3 Одностороннюю спектральную плотность горизонтальных неровностей вычисляют по
формулам (В.5),
(В.6), причем коэффициенты
d и
k не зависят от частоты
f.
d = 0,0674; k = 2,177.
Значения коэффициентов
ai,
bi,
ci 
для
формулы (В.6) представлены в таблице В.2.
Таблица В.2
Значения коэффициентов ai, bi, ci
Параметр | i |
1 | 2 | 3 | 4 |
ai | 0,005400 | 0,006400 | 0,006600 | 0,006200 |
bi | 22,045190 | 22,303120 | 3,077398 | 1,910965 |
ci | 7,592593 | 12,500000 | 18,181820 | 25,806450 |
В.3.4 Соотношения, представленные в
В.3.1 -
В.3.3 допускается использовать при моделировании в качестве траекторий буксовых узлов.
В.3.5 При моделировании взаимодействия колесо-рельс эквивалентные упруго-диссипативные характеристики пути (винклерово основание)
Cп (жесткость) и

(демпфирование) вычисляют по эмпирическим формулам:

(В.8)
В.3.6
Формулами (В.7), (В.8) следует пользоваться для летних условий. Для зимних условий
G(
f) в
формуле (В.7) следует умножить на 1,5, а
Cп и

в формуле (В.8) - на 1,4.
В.3.7 При частотном моделировании необходимо учитывать кинематическое запаздывание.
В.3.8 Для моделирования во временной области можно использовать экспериментальные данные по неровностям, имея при этом в виду, что для получения состоятельной оценки по
формуле (В.1) общая длина участков с записями неровностей должна быть не менее 50 км.
В.3.9 Допускается при расчетах во временной области генерировать реализации стационарного нормального случайного процесса со статистическими характеристиками, определяемыми по спектральным плотностям, заданным в
В.3.1 -
В.3.3. При этом необходимо учитывать национальные нормы <1>. Правильность выбора параметров генерации следует проводить путем сравнения спектральных плотностей сгенерированного и исходного процессов.
--------------------------------
<1> В Российской Федерации действует РД 32.68-96 Расчетные неровности железнодорожного пути для использования при исследованиях и проектировании пассажирских и грузовых вагонов. - М.: ВНИИЖТ, 1996. Введен в действие указанием МПС 1997.01.01.
В.3.10 При разработке математических моделей по
В.3,
В.3.1,
В.3.2 учитывают параметры внутреннего демпфирования, полученные ранее для близкой модели-аналога, при этом исследуемая модель должна быть идентичной по структуре, связям, обобщенным координатам, включая число обобщенных координат, с моделью-аналогом.
При отсутствии достоверных экспериментальных данных по внутреннему (конструкционному) демпфированию следует использовать справочные данные, относящиеся к материалу, из которого изготовлен кузов.
В.3.11 При моделировании изгибных колебаний рекомендуется учитывать излучение энергии в окружающую среду за счет сопротивления воздуха. Потерю энергии на единицу площади, переданной от конструкции к окружающей среде, вычисляют по формуле:

(В.9)
где

- круговая частота колебаний;

- плотность воздуха (1,23 кг/м
3);
c - скорость звука (330 м/с);
a - амплитуда колебаний.
Формула (В.9) соответствует вязкому трению и ее следует использовать при моделировании.
В.3.11.1 Использование
формулы (В.9) при описании изгибных колебаний кузова в виде стержня Бернулли-Эйлера приводит к уравнению:

(В.10)
где и = иz(иy) - изгибные перемещения в вертикальной (горизонтальной) плоскости;

- погонная масса;
EJ - изгибная жесткость относительно соответствующей центральной оси;
F(t) - внешняя динамическая сила;
где h - характерный размер:
При учете внутреннего трения по
В.3.10 в
уравнении (В.10) изгибную жесткость
EJ при моделировании в частотной области следует заменить линейным оператором:
где

- круговая частота;

- постоянная, которую при отсутствии экспериментальных и справочных данных следует принимать равной 3·10
-4.
В.3.11.2 В случае изгибных колебаний жестких (кирхгофовых) пластин уравнение с учетом
(В.9) имеет вид:

(В.11)
где

- оператор Лапласа;
w - изгибные перемещения пластины;
| | ИС МЕГАНОРМ: примечание. В официальном тексте документа, видимо, допущена опечатка: формула (10.3) отсутствует. Возможно, имеется в виду формула (9.3). | |

- масса пластины на единицу площади;
q(t) - внешняя динамическая, распределенная по площади, нагрузка.
| Нормы для расчета и проектирования новых и модернизируемых вагонов железных дорог МПС колеи 1520 мм (несамоходных). ВНИИВ-ВНИИЖТ, 1983. Утверждены МПС СССР 1 ноября 1983 г., Министерством тяжелого и транспортного машиностроения 11 июля 1983 г. |