Главная // Актуальные документы // ГОСТ (Государственный стандарт)СПРАВКА
Источник публикации
М.: Стандартинформ, 2019
Примечание к документу
Документ включен в
Перечень стандартов, содержащих правила и методы исследований (испытаний) измерений, в том числе правила отбора образцов, необходимые для применения и исполнения требований технического
регламента Таможенного союза "О безопасности железнодорожного подвижного состава" и осуществления оценки соответствия объектов технического регулирования (
Решение Комиссии Таможенного союза от 15.07.2011 N 710).
Документ
введен в действие с 01.06.2014.
Название документа
"ГОСТ 32208-2013. Межгосударственный стандарт. Пружины рессорного подвешивания железнодорожного подвижного состава. Метод испытаний на циклическую долговечность"
(введен в действие Приказом Росстандарта от 08.11.2013 N 1474-ст)
"ГОСТ 32208-2013. Межгосударственный стандарт. Пружины рессорного подвешивания железнодорожного подвижного состава. Метод испытаний на циклическую долговечность"
(введен в действие Приказом Росстандарта от 08.11.2013 N 1474-ст)
по техническому регулированию
и метрологии
от 8 ноября 2013 г. N 1474-ст
МЕЖГОСУДАРСТВЕННЫЙ СТАНДАРТ
ПРУЖИНЫ РЕССОРНОГО ПОДВЕШИВАНИЯ
ЖЕЛЕЗНОДОРОЖНОГО ПОДВИЖНОГО СОСТАВА
МЕТОД ИСПЫТАНИЙ НА ЦИКЛИЧЕСКУЮ ДОЛГОВЕЧНОСТЬ
Springs of spring suspension of the railway
rolling stock. Method of fatigue life tests
ГОСТ 32208-2013
Дата введения
1 июня 2014 года
Цели, основные принципы и общие правила проведения работ по межгосударственной стандартизации установлены
ГОСТ 1.0 "Межгосударственная система стандартизации. Основные положения" и
ГОСТ 1.2 "Межгосударственная система стандартизации. Стандарты межгосударственные, правила и рекомендации по межгосударственной стандартизации. Правила разработки, принятия, обновления и отмены"
1 РАЗРАБОТАН Федеральным государственным унитарным предприятием "Всероссийский научно-исследовательский институт стандартизации и сертификации в машиностроении" (ВНИИНМАШ)
2 ВНЕСЕН Федеральным агентством по техническому регулированию и метрологии
3 ПРИНЯТ Межгосударственным советом по стандартизации, метрологии и сертификации (протокол от 27 июня 2013 г. N 57-П)
За принятие проголосовали:
Краткое наименование страны по МК (ИСО 3166) 004-97 | Код страны по МК (ИСО 3166) 004-97 | Сокращенное наименование национального органа по стандартизации |
Азербайджан | AZ | Азстандарт |
Армения | AM | Минэкономики Республики Армения |
Беларусь | BY | Госстандарт Республики Беларусь |
Киргизия | KG | Кыргызстандарт |
Молдова | MD | Молдова-Стандарт |
Россия | RU | Росстандарт |
Узбекистан | UZ | Узстандарт |
4
Приказом Федерального агентства по техническому регулированию и метрологии от 8 ноября 2013 г. N 1474-ст межгосударственный стандарт ГОСТ 32208-2013 введен в действие в качестве национального стандарта Российской Федерации с 1 июня 2014 г.
6 Настоящий стандарт подготовлен на основе применения ГОСТ Р 54326-2011 <1>
--------------------------------
<1>
Приказом Федерального агентства по техническому регулированию и метрологии от 8 ноября 2013 г. N 1474-ст ГОСТ 54326-2011 отменен с 1 июня 2014 г.
7 ВВЕДЕН ВПЕРВЫЕ
8 ПЕРЕИЗДАНИЕ. Август 2019 г.
Информация о введении в действие (прекращении действия) настоящего стандарта и изменений к нему на территории указанных выше государств публикуется в указателях национальных стандартов, издаваемых в этих государствах, а также в сети Интернет на сайтах соответствующих национальных органов по стандартизации.
В случае пересмотра, изменения или отмены настоящего стандарта соответствующая информация будет опубликована на официальном интернет-сайте Межгосударственного совета по стандартизации, метрологии и сертификации в каталоге "Межгосударственные стандарты"
Настоящий стандарт устанавливает метод испытаний на циклическую долговечность пружин.
Требования настоящего стандарта распространяются на цилиндрические винтовые пружины сжатия (далее - пружины) из стали круглого сечения, работающие при продольных и комбинированных (продольных и поперечных) нагрузках в рессорном подвешивании железнодорожного подвижного состава.
В настоящем стандарте использованы нормативные ссылки на следующие межгосударственные стандарты:
ГОСТ 8.050 Государственная система обеспечения единства измерений. Нормальные условия выполнения линейных и угловых измерений
ГОСТ 8.051 Государственная система обеспечения единства измерений. Погрешности, допускаемые при измерении линейных размеров до 500 мм
ГОСТ 12.2.003 Система стандартов безопасности труда. Оборудование производственное. Общие требования безопасности
ГОСТ 25.507 Расчеты и испытания на прочность в машиностроении. Методы испытаний на усталость при эксплуатационных режимах нагружения. Общие требования
ГОСТ 1452 Пружины цилиндрические винтовые тележек и ударно-тяговых приборов подвижного состава железных дорог. Технические условия
ГОСТ 23207 Сопротивление усталости. Основные термины, определения и обозначения
ГОСТ 25346 Основные нормы взаимозаменяемости. Единая система допусков и посадок. Общие положения, ряды допусков и основных отклонений
ГОСТ 31539 Цикл жизненный железнодорожного подвижного состава. Термины и определения
Примечание - При пользовании настоящим стандартом целесообразно проверить действие ссылочных стандартов и классификаторов на официальном интернет-сайте Межгосударственного совета по стандартизации, метрологии и сертификации (www.easc.by) или по указателям национальных стандартов, издаваемым в государствах, указанных в
предисловии, или на официальных сайтах соответствующих национальных органов по стандартизации. Если на документ дана недатированная ссылка, то следует использовать документ, действующий на текущий момент, с учетом всех внесенных в него изменений. Если заменен ссылочный документ, на который дана датированная ссылка, то следует использовать указанную версию этого документа. Если после принятия настоящего стандарта в ссылочный документ, на который дана датированная ссылка, внесено изменение, затрагивающее положение, на которое дана ссылка, то это положение применяется без учета данного изменения. Если ссылочный документ отменен без замены, то положение, в котором дана ссылка на него, применяется в части, не затрагивающей эту ссылку.
3 Термины, определения и обозначения
В настоящем стандарте применены термины и определения по
ГОСТ 1452, ГОСТ 23207,
ГОСТ 25346 и
ГОСТ 31539, а также следующий термин с соответствующим определением:
3.1 тарирование: Испытание пружин статическими нагрузками с целью построения зависимости величины деформации от нагрузки.
3.2 В настоящем стандарте применены следующие обозначения:
d - диаметр прутка пружины, мм;
D - средний диаметр пружины, мм;
D1 - наружный диаметр пружины, мм;
D2 - внутренний диаметр пружины, мм;
l1 - высота пружины под расчетной статической нагрузкой от массы надрессорного строения единицы железнодорожного подвижного состава, мм;
lпр - минимальная высота, соответствующая максимальной продольной (осевой) деформации (прогибу) пружины под пробной нагрузкой, мм;
n - число рабочих витков пружины;
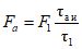
F1 - расчетная статическая нагрузка на пружину, кН;
Fпр - пробная нагрузка, кН;
Fа - амплитуда нагрузки при циклических испытаниях, кН;
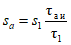
s1 - продольная деформация (прогиб) пружины под расчетной статической нагрузкой F1, мм;
sа - амплитуда деформации цикла при испытаниях пружины, мм;

- касательное напряжение кручения на внутренней поверхности витка пружины, возникающее при приложении силы
F1, МПа;

- амплитуда напряжений цикла при испытаниях на базе 0,5·10
6 циклов нагружения, МПа;

- предельная амплитуда напряжений цикла при испытаниях на базе 6·10
6 циклов нагружения, МПа;

- текущее значение амплитуд напряжений цикла при испытаниях на базе 6·10
6 циклов, МПа;

- амплитуда напряжений (модальное значение) от динамической нагрузки в эксплуатации;
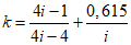
i - индекс пружины;
k - коэффициент, учитывающий кривизну витка;
Kd - коэффициент влияния действительных размеров поперечного сечения прутка на сопротивление усталости при числе циклов нагружения Nк;
Kd и - коэффициент влияния действительных размеров поперечного сечения прутка на сопротивление усталости при числе циклов нагружения N;

- коэффициент влияния состояния поверхности прутка и глубины обезуглероженного слоя на сопротивление усталости;
Kv - коэффициент влияния поверхностного упрочнения пружины на сопротивление усталости;
kд - расчетный коэффициент динамики пружины;
nа - коэффициент запаса прочности по усталости;
Nк - контрольное число циклов нагружения (деформаций); Nк = 0,5·106. Применяется при периодических и сертификационных испытаниях;
N - число циклов нагружения (деформаций); N = 6·106 с построением кривой усталости. Применяется при приемочных и типовых испытаниях.
4 Требования безопасности
4.1 Оборудование и организация рабочих мест при испытаниях пружин должны соответствовать требованиям
ГОСТ 12.2.003, а сигнальные цвета и знаки безопасности, информирующие и обращающие внимание обслуживающего персонала на потенциальную или действительную опасность, - национальным стандартам и нормативным документам <1>.
--------------------------------
<1> В Российской Федерации действует
ГОСТ Р 12.4.026-2001 "Система стандартов безопасности труда. Цвета сигнальные, знаки безопасности и разметка сигнальная. Назначение и правила применения. Общие технические требования и характеристики. Методы испытаний".
4.2 Освещенность помещения при испытаниях должна быть не менее 400 лк.
4.3 Зона размещения пружин на испытательной установке для циклических испытаний должна быть оборудована ограждением, защищающим от осколков в случае их образования при изломе пружины.
5.1 Сущность метода заключается в нагружении продольной циклической нагрузкой пружин, предварительно сжатых расчетной статической нагрузкой, до достижения определенного числа циклов напряжений (деформаций) или излома пружины (база испытаний Nк или N).
5.2 Параметры цикла нагружения (амплитуды напряжения или деформации) рассчитывают, исходя из действительных размеров пружин (d, D), статической нагрузки, действующей на них, а также технологии обработки прутков и упрочнения поверхности готовых пружин.
6 Требования к условиям проведения испытаний
Перед измерениями размеров, перед статическими и циклическими испытаниями пружины должны быть размещены в помещении с температурой от 15 °C до 30 °C в течение четырех часов. Измерения размеров пружин проводят при одинаковой температуре пружины и измерительных средств. Отклонения размеров пружины от номинальных не должны превышать установленных в конструкторской документации на допуски при условии, что измерения проводят при нормальных условиях проведения линейных и угловых измерений в соответствии с
ГОСТ 8.050, а погрешности измерений не превышают значений, установленных в
ГОСТ 8.051.
7 Требования к испытательной установке
7.1 Определение деформаций (прогибов) пружин под статическими нагрузками проводят на испытательной установке (прессе), конструкция которой(го) должна обеспечивать продольное сжатие пружины статической нагрузкой в диапазоне от нуля до пробной нагрузки Fпр с пределами допускаемой относительной погрешности не более +/- 2%.
Примечание - Величина пробной нагрузки, являющаяся показателем стабильности режимов термообработки, должна быть указана в чертеже. Минимальную высоту полностью сжатой пружины с учетом неравномерности шага lпр, мм, вычисляют по формуле
lпр = (n + 1,1)d. (1)
7.2 Циклическое нагружение пружин осуществляют на испытательной установке, обеспечивающей:
- осевое циклическое нагружение одной или более пружин одновременно по асимметричному знакопостоянному циклу напряжений, приведенному в
приложении А;
- режимы испытаний по статическим деформациям s1 (до 150 мм) или нагрузкам F1 (до 70 кН) с относительной погрешностью не более +/- 2% и амплитуды деформации sа (до 75 мм) или нагрузки Fа (до 35 кН) с относительной погрешностью не более 5%;
- частоту циклов нагружения в соответствии с
9.3;
- автоматический подсчет и индикацию числа циклов при помощи счетного устройства с числом декад не менее семи и сохранением текущего значения числа циклов для электронного исполнения устройства при отключении его питания.
Испытательная установка должна быть аттестована в установленном порядке <1>.
--------------------------------
<1> На территории Российской Федерации в соответствии с законодательством Российской Федерации об обеспечении единства измерений.
8.1 Пружина, подлежащая испытанию, должна быть принята службой технического контроля предприятия-изготовителя в установленном порядке.
8.2 Измерение геометрических размеров, определение деформаций (прогибов) пружины под статическими нагрузками (тарирование) должно быть проведено до ее испытаний на циклическую долговечность.
Нагружение продольной статической нагрузкой проводят ступенчато до величины пробной нагрузки Fпр. Число ступеней нагружения должно быть не менее пяти. При каждом значении нагрузки проводят измерение высоты пружины. Данные заносят в таблицу и для каждой нагрузки вычисляют соответствующую деформацию пружины. Строят график зависимости деформации пружины от нагрузки s = f(F) и по этому графику определяют значение фактической деформации s1 под статической нагрузкой F1.
8.3 Напряжение t1, МПа, вычисляют, учитывая действительные размеры диаметра прутка, среднего диаметра пружины, по формуле

. (2)
8.4 Значения D, мм, i и k вычисляют с учетом действительных размеров пружины d, D1 или D2 по формулам:
или

, (5)

. (6)
8.5 Амплитуду напряжения цикла

, МПа, на базе
Nк = 0,5·10
6 в случае проведения периодических и сертификационных испытаний вычисляют на основании диаграммы, приведенной в
приложении Б, по формуле

. (7)
d, мм | Kd и | Kd |
11 | 1,146 | 1,139 |
12 | 1,137 | 1,130 |
13 | 1,128 | 1,121 |
14 | 1,120 | 1,112 |
15 | 1,112 | 1,104 |
16 | 1,105 | 1,097 |
17 | 1,098 | 1,090 |
18 | 1,091 | 1,083 |
19 | 1,085 | 1,077 |
20 | 1,079 | 1,071 |
21 | 1,073 | 1,065 |
22 | 1,067 | 1,060 |
23 | 1,062 | 1,055 |
24 | 1,057 | 1,050 |
25 | 1,052 | 1,045 |
26 | 1,047 | 1,040 |
27 | 1,042 | 1,035 |
28 | 1,038 | 1,030 |
29 | 1,034 | 1,026 |
30 | 1,030 | 1,022 |
31 | 1,026 | 1,018 |
32 | 1,022 | 1,014 |
33 | 1,018 | 1,010 |
34 | 1,014 | 1,007 |
35 | 1,011 | 1,003 |
36 | 1,007 | 1,000 |
37 | 1,004 | 0,996 |
38 | 1,000 | 0,993 |
39 | 0,997 | 0,989 |
40 | 0,993 | 0,986 |
41 | 0,990 | 0,982 |
42 | 0,986 | 0,979 |
43 | 0,983 | 0,975 |
44 | 0,979 | 0,972 |
45 | 0,976 | 0,968 |
46 | 0,972 | 0,965 |
47 | 0,969 | 0,961 |
48 | 0,966 | 0,958 |
49 | 0,963 | 0,955 |
50 | 0,960 | 0,952 |
51 | 0,958 | 0,950 |
52 | 0,956 | 0,948 |
Значения коэффициента

принимают, исходя из применяемой технологии обработки поверхности прутка и глубины обезуглероженного слоя:
- 1,0 - для пружин, изготовленных из механически необработанного прутка;
- 1,2 - при удалении поверхностного слоя толщиной не более 1 мм на сторону и глубины обезуглероженного слоя, предельно допускаемой по
ГОСТ 1452;
- 1,3 - при удалении поверхностного слоя толщиной не менее 1,5 мм на сторону и глубины обезуглероженного слоя не более половины, допускаемой по
ГОСТ 1452;
- 1,4 - при удалении поверхностного слоя толщиной не менее 1,5 мм на сторону и полном отсутствии обезуглероженного слоя.
8.6 Амплитуду напряжений цикла

, МПа, допускается задавать по:
- амплитуде деформаций цикла sа, мм, вычисляемой по формуле

; (8)
- по амплитуде циклической нагрузки Fа, кН, вычисляемой по формуле

. (9)
Примеры расчета режимов нагружения по параметру амплитуды деформации цикла
sа при испытаниях буксовых пружин рессорного подвешивания тепловоза и пружин тележки грузового вагона приведены в
приложениях В и
Г.
8.7 Предельную амплитуду напряжения цикла

, МПа, на базе
N = 6·10
6 с построением кривой усталости вычисляют на основании диаграммы, приведенной в
приложении Д, по формуле

. (10)
Коэффициент Kv принимают равным:
- 1,0 - при отсутствии упрочнения пружины наклепом;
- 1,15 - при упрочнении пружины наклепом.
8.8 Циклические испытания пружин проводят с построением кривой усталости (Велера) по параметру среднего напряжения цикла

по ГОСТ 25.507 с использованием значения

, рассчитанного по
формуле (10).
9 Порядок проведения испытаний
9.1 Пружину устанавливают на испытательную установку и сжимают статической нагрузкой до высоты L1, полученной в результате тарирования пружины.
9.2 На испытательной установке задают рассчитанную по
8.5 (8.7) амплитуду напряжений цикла

(по величине амплитуды деформаций
sа или амплитуды нагрузки
Fа, рассчитанным по
8.6). С начала испытаний должен проводиться подсчет общего числа циклов нагружения.
9.3 Частота циклов нагружения должна быть в пределах от 2 до 17 Гц.
9.4 После достижения контрольного числа циклов нагружения
Nк при периодических испытаниях пружин без их разрушения испытание прекращают, а стабильность качества изготовления и возможность продолжения выпуска пружин считают подтвержденными. Допускается испытания продолжить до разрушения пружины с целью проведения оценки характера излома, металлографического анализа и разработки мероприятий по результатам испытания. Характеристики изломов пружин приведены в
приложении Е.
Число испытуемых пружин на базе Nк должно быть равно двум.
9.5 Приемочные испытания пружин на базе N = 6·106 проводят методом Велера с построением кривой усталости, соответствующей зависимости

, (11)
где m - показатель степени наклона кривой усталости.
Испытания методом Велера проводят в следующем порядке:
- наклонную ветвь кривой усталости определяют по результатам испытаний трех - пяти пружин на двух-трех уровнях напряжений

, получая при этом соответствующее значение долговечности
Ni. Значения

выбирают в интервале от 10% до 50% выше расчетного значения

;
- предельную амплитуду напряжений цикла уточняют по результатам испытаний пяти - семи пружин на уровнях напряжений выше и ниже (примерно на 10 МПа) предполагаемого расчетного [по
формуле (9)] значения

. За фактическое значение

принимают значение

, полученное путем статистической обработки результатов испытаний.
Без применения статистической обработки за фактическое значение

принимают максимальную амплитуду напряжений, при которой пружина выдержала установленное число циклов нагружения
N.
Число пружин для испытаний должно быть не менее 15.
9.6 Допускается прерывать испытания пружин на время не более двух суток.
10 Правила обработки и оценки результатов
10.1 Исходные данные и результаты испытания каждой пружины фиксируют в протоколе испытаний.
10.2 Пружины, прошедшие контрольное число циклов по
8.5 (8.7) без разрушения, считаются выдержавшими испытания.
10.3 Кривые усталости по
8.7 строят в полулогарифмических координатах

; lg
N.
10.4 Полученное в результате испытаний по
8.8 фактическое значение

сравнивают с рассчитанным по
формуле (10). Полученное фактическое значение

не должно быть меньше его расчетного значения.
10.5 Заключение о соответствии пружин по показателю циклической долговечности делают с учетом коэффициента запаса прочности по усталости, который определяется с учетом эксплуатационной нагруженности пружин по формуле

. (12)
При отсутствии экспериментальных данных определяется из соотношения

, (13)
где kд = 0,3 - для пружин буксовой ступени подвешивания локомотивов;
kд = 0,2...0,25 - для пружин кузовной ступени подвешивания локомотивов и центральной ступени подвешивания вагонов;
kд = 0,35 - для буксовой ступени подвешивания вагонов и тяжелонагруженных путевых машин.
Примечание - Кривая усталости может быть использована для расчета долговечности (срока службы) пружин с учетом нагруженности их в эксплуатации.
11 Оформление результатов испытаний
По результатам испытаний составляют протокол, содержащий:
- обозначение пружины, наименование предприятия-изготовителя, сортамент проката и марку стали прутка, вид термообработки;
- вид испытаний;
- условия проведения испытаний;
- основные технические характеристики испытательной машины, ее заводской и (или) инвентарный номера, номер свидетельства аттестации и дату его выдачи;
- тип, марку средств измерения, основные технические характеристики, заводской и (или) инвентарный номера, номер свидетельства и дату последней поверки или калибровки;
- параметры нагружения F1, s1, sа, частоту циклов нагружения;
- число циклов до разрушения пружины или до конца испытания;
- даты начала и окончания испытания;
- заключение о соответствии пружин по показателю циклической долговечности;
- подписи исполнителей и ответственных за испытания, а в случае испытаний с целью сертификации - подпись руководителя испытательного центра (лаборатории).
(справочное)
ПАРАМЕТРЫ ЦИКЛА НАПРЯЖЕНИЙ (НАГРУЗОК, ПРОГИБОВ)
Рисунок А.1
(справочное)
ДИАГРАММА АМПЛИТУД ИСПЫТАТЕЛЬНЫХ НАПРЯЖЕНИЙ ПРИ ИСПЫТАНИЯХ
ПРУЖИН (ПРИ Nк = 0,5·106) ИЗ КАТАНОГО ПРУТКА ДИАМЕТРОМ
D = 38 ММ, УПРОЧНЕННЫХ ДРОБЬЮ
1 - 5 - ограничение по пределам текучести для пружин
из сталей: 1 - 55С2, 60С2; 2 - 60С2А; 3 - 60С2ХА;
4 - 60С2ХФА; 5 - 65С2ВА
Рисунок Б.1
(справочное)
ВЫБОР РЕЖИМА ИСПЫТАНИЙ НА ПРИМЕРЕ БУКСОВЫХ ПРУЖИН ГРУЗОВОГО
ТЕПЛОВОЗА 2ТЭ25А ПРИ Nк = 0,5·106
Размеры пружины, измеренные в соответствии с
8.1:
d = 42 мм;
D1 = 278 мм.
В соответствии с чертежом статическая нагрузка на пружину F1 = 45,5 кН.
D = D1 - d = 278 - 42 = 236 мм; (В.1)

; (В.2)

. (В.3)
По результатам тарировки пружины определяют прогиб S1 = 60 мм.

. (В.4)
По
таблице 1 определяют значение
Kd: для
d = 42 мм
Kd = 0,979.
Пружины изготовлены из прутка с механически обработанной поверхностью, следовательно, принимают

.

. (В.5)
По
формуле (8) рассчитывают амплитуду деформаций (прогибов)
sа

. (В.6)
(справочное)
ВЫБОР РЕЖИМА ИСПЫТАНИЙ НА ПРИМЕРЕ НАРУЖНОЙ ПРУЖИНЫ ТЕЛЕЖКИ
МОДЕЛИ 18-194 ГРУЗОВОГО ВАГОНА ПРИ Nк = 0,5·106
Размеры пружины, измеренные в соответствии с
8.1:
d = 27 мм;
D1 = 198 мм.
В соответствии с чертежом статическая нагрузка на пружину F1 = 18,27 кН.
D = D1 - d = 198 - 27 = 171 мм; (Г.1)

; (Г.2)

. (Г.3)
По результатам тарировки пружины определяют прогиб под статической нагрузкой S1 = 75,5 мм.

. (Г.4)
По
таблице определяют
Kd: для
d = 27 мм
Kd = 1,042.
Пружины изготовлены из прутка с механически обработанной поверхностью, следовательно, принимают

.

. (Г.5)
По
формуле (8) рассчитывают амплитуду деформаций (прогибов)
sа

. (Г.6)
(справочное)
ДИАГРАММА ПРЕДЕЛЬНЫХ АМПЛИТУД НАПРЯЖЕНИЙ ЦИКЛА НА БАЗЕ
ИСПЫТАНИЙ 6·106 ЦИКЛОВ ДЛЯ ПРУЖИН ИЗ КАТАНОГО ПРУТКА
ДИАМЕТРОМ D = 36 ММ, НЕ УПРОЧНЕННЫХ ДРОБЬЮ
1 - 5 - ограничение по пределам текучести для пружин
из сталей: 1 - 55С2, 60С2; 2 - 60С2А; 3 - 60С2ХА;
4 - 60С2ХФА; 5 - 65С2ВА
Рисунок Д.1
(справочное)
При изломе пружин определяют:
- усталостный излом - начало разрушения с внутренней стороны рабочего витка под углом примерно 45° к оси прутка без видимых дефектов в месте зарождения трещины;
- излом первого рабочего витка от контактного давления между ним и опорным витком - при некачественном изготовлении оттянутых концов пружины. Высокое контактное давление между витками возникает при малом зазоре между рабочим витком и концом опорного витка, увеличенной толщине конца опорного витка, острых или волнистых выступах на поверхности опорного витка, обращенной к рабочему витку;
- излом опорного витка происходит из-за изогнутости его в вертикальной плоскости выше допускаемой и прижогов от шлифовального круга на опорной поверхности;
- начало разрушения от дефектов металлургического и технологического происхождения - при неудовлетворительном качестве прутков или нарушениях режимов термообработки.
УДК 625.2.012.8:006.354 | |
Ключевые слова: железнодорожный подвижной состав, пружины рессорного подвешивания, метод испытаний, цикличная долговечность |