Главная // Актуальные документы // ГОСТ (Государственный стандарт)СПРАВКА
Источник публикации
В данном виде документ опубликован не был.
Первоначальный текст документа опубликован в издании
М.: Издательство стандартов, 1973.
Информацию о публикации документов, создающих данную редакцию, см. в справке к этим документам.
Примечание к документу
С 1 июля 2003 года до вступления в силу технических регламентов акты федеральных органов исполнительной власти в сфере технического регулирования носят рекомендательный характер и подлежат обязательному исполнению только в части, соответствующей целям, указанным в
пункте 1 статьи 46 Федерального закона от 27.12.2002 N 184-ФЗ.
Изменение N 1 введено в действие Постановлением Госстандарта СССР от 02.09.1981 N 4121 с 1 декабря 1981 года.
Название документа
"ГОСТ 8.050-73 (СТ СЭВ 1155-78). Государственный стандарт Союза ССР. Государственная система обеспечения единства измерений. Нормальные условия выполнения линейных и угловых измерений"
(введен в действие Постановлением Госстандарта СССР от 21.02.1973 N 425)
(ред. от 02.09.1981)
"ГОСТ 8.050-73 (СТ СЭВ 1155-78). Государственный стандарт Союза ССР. Государственная система обеспечения единства измерений. Нормальные условия выполнения линейных и угловых измерений"
(введен в действие Постановлением Госстандарта СССР от 21.02.1973 N 425)
(ред. от 02.09.1981)
Постановлением
Государственного комитета стандартов
Совета Министров СССР
от 21 февраля 1973 г. N 425
ГОСУДАРСТВЕННЫЙ СТАНДАРТ СОЮЗА ССР
ГОСУДАРСТВЕННАЯ СИСТЕМА ОБЕСПЕЧЕНИЯ ЕДИНСТВА ИЗМЕРЕНИЙ
НОРМАЛЬНЫЕ УСЛОВИЯ ВЫПОЛНЕНИЯ ЛИНЕЙНЫХ И УГЛОВЫХ ИЗМЕРЕНИЙ
State system for ensuring the uniformity of measurements.
Reference conditions for linear and angular measurements
ГОСТ 8.050-73
(СТ СЭВ 1155-78)
| | Список изменяющих документов Постановлением Госстандарта СССР от 02.09.1981 N 4121) | |
Группа Т80
Постановлением Государственного комитета стандартов Совета Министров СССР от 21/II 1973 г. N 425 срок действия установлен
с 1 января 1975 года
до 1 января 1985 года
РАЗРАБОТАН И ВНЕСЕН Всесоюзным научно-исследовательским институтом метрологии им. Д.И. Менделеева (ВНИИМ)
Директор Арутюнов В.О.
Руководитель темы Цейтлин Я.М.
Исполнители: Цейтлин Я.М., Гофман И.А.
ПОДГОТОВЛЕН К УТВЕРЖДЕНИЮ
Управлением станкоинструментальной промышленности и межотраслевых производств Государственного комитета стандартов Совета Министров СССР
Начальник Управления Бергман В.П.
Ст. инженер Лепид Н.М.
Всесоюзным научно-исследовательским институтом Государственного комитета стандартов Совета Министров СССР (ВНИИГК)
Руководитель лаборатории Булатов С.Б.
Зав. лабораторией Эйдинов В.Я.
УТВЕРЖДЕН Государственным комитетом стандартов Совета Министров СССР 15 декабря 1972 г. (протокол N 192)
Зам. председателя отраслевой научно-технической комиссии Бергман В.П.
Члены комиссии: Доляков В.Г., Златкович Л.А., Климов Г.Н., Баранов Н.Н.
ВВЕДЕН В ДЕЙСТВИЕ Постановлением Государственного комитета стандартов Совета Министров СССР от 21 февраля 1973 г. N 425
Настоящий стандарт устанавливает требования к нормальным условиям выполнения измерений длин (линейных размеров) и углов (угловых размеров).
(в ред.
Изменения N 1, введенного в действие Постановлением Госстандарта СССР от 02.09.1981 N 4121)
Требования, установленные настоящим стандартом, рекомендуются для применения при проектировании, разработке и выполнении процессов измерения объектов, не имеющих внутренних источников тепла.
Нормальные условия должны обеспечиваться при измерениях для практического исключения дополнительных погрешностей.
Стандарт полностью соответствует СТ СЭВ 1155-78.
(абзац введен
Изменением N 1, введенным в действие Постановлением Госстандарта СССР от 02.09.1981 N 4121)
1. НОРМАЛЬНЫЕ ЗНАЧЕНИЯ ОСНОВНЫХ ВЛИЯЮЩИХ ВЕЛИЧИН
1.1. Температура окружающей среды 20 °C (по ГОСТ 9249-59).
1.2. Атмосферное давление 101325 Па (760 мм рт. ст.).
(в ред.
Изменения N 1, введенного в действие Постановлением Госстандарта СССР от 02.09.1981 N 4121)
1.3. Относительная влажность окружающего воздуха 58% (нормальное парциальное давление водяных паров 1333 Па).
(в ред.
Изменения N 1, введенного в действие Постановлением Госстандарта СССР от 02.09.1981 N 4121)
1.4. Ускорение свободного падения (ускорение силы тяжести) 9,8 м/с2.
1.5. Направление линии и плоскости измерения линейных размеров - горизонтальное (90° от направления силы тяжести).
(п. 1.5 в ред.
Изменения N 1, введенного в действие Постановлением Госстандарта СССР от 02.09.1981 N 4121)
1.6. Положение плоскости измерения углов - горизонтальное (90° от направления силы тяжести).
(в ред.
Изменения N 1, введенного в действие Постановлением Госстандарта СССР от 02.09.1981 N 4121)
1.7. Относительная скорость движения внешней среды равна нулю.
1.8. Значения внешних сил, кроме силы тяжести, атмосферного давления, действия магнитного поля Земли и сил сцепления элементов измерительной системы (установки), равны нулю.
Примечание. Результаты измерения для сопоставимости должны приводиться к нормальным значениям влияющих величин с погрешностью, не превышающей 35% допускаемой погрешности измерения. В обоснованных случаях допускается приведение результатов измерений к другим номинальным значениям влияющих величин, устанавливаемым в каждом отдельном случае в соответствующих государственных стандартах.
2. ТРЕБОВАНИЯ К НОРМАЛЬНЫМ УСЛОВИЯМ ВЫПОЛНЕНИЯ
ЛИНЕЙНЫХ И УГЛОВЫХ ИЗМЕРЕНИЙ
2.1. Пределы нормальной области значений влияющих величин устанавливаются в зависимости от допусков и диапазона измеряемых размеров (
табл. 1 и
2).
2.2. Нормальной областью значений влияющих величин при линейных измерениях является область, при обеспечении которой выход

действительного значения инструментальной погрешности (погрешности средства измерения) за предел допускаемой основной погрешности средства измерения не превышает значений, указанных в табл. 1.
Диапазоны размеров, мм | Ряды пределов допускаемых значений  , мкм |
| II | III | IV | V | VI | VII |
| | | | | | | | | | | | | |
Св. 1 до 3 | 0,2 | 0,02 | 0,3 | 0,03 | 0,5 | 0,06 | 0,8 | 0,10 | 1,2 | 0,15 | 2,0 | 0,2 | 3 | 0,3 |
" 3 " 6 | 0,25 | 0,03 | 0,4 | 0,05 | 0,6 | 0,07 | 1,0 | 0,10 | 1,5 | 0,20 | 2,5 | 0,3 | 4 | 0,5 |
" 6 " 10 | 0,25 | 0,03 | 0,4 | 0,05 | 0,6 | 0,07 | 1,0 | 0,10 | 1,5 | 0,20 | 2,5 | 0,3 | 4 | 0,5 |
" 10 " 18 | 0,30 | 0,03 | 0,5 | 0,06 | 0,8 | 0,10 | 1,2 | 0,15 | 2,0 | 0,25 | 3,0 | 0,3 | 5 | 0,6 |
" 18 " 30 | 0,40 | 0,05 | 0,6 | 0,07 | 1,0 | 0,10 | 1,5 | 0,20 | 2,5 | 0,30 | 4,0 | 0,5 | 6 | 0,7 |
" 30 " 50 | 0,40 | 0,05 | 0,6 | 0,07 | 1,0 | 0,10 | 1,5 | 0,20 | 2,5 | 0,30 | 4,0 | 0,5 | 7 | 0,8 |
" 50 " 80 | 0,50 | 0,07 | 0,8 | 0,10 | 1,2 | 1,15 | 2,0 | 0,25 | 3,0 | 0,35 | 5,0 | 0,6 | 8 | 0,9 |
" 80 " 120 | 0,60 | 0,07 | 1,0 | 0,10 | 1,5 | 0,20 | 2,5 | 0,30 | 4,0 | 0,50 | 6,0 | 0,7 | 10 | 1,1 |
" 120 " 180 | 0,80 | 0,10 | 1,2 | 0,15 | 2,0 | 0,25 | 3,5 | 0,40 | 5,0 | 0,60 | 8,0 | 0,9 | 12 | 1,3 |
" 180 " 260 | 1,20 | 0,15 | 2,0 | 0,25 | 3,0 | 0,35 | 4,5 | 0,50 | 7,0 | 0,80 | 10,0 | 1,2 | 14 | 1,5 |
" 260 " 360 | 2,00 | 0,25 | 3,0 | 0,35 | 4,0 | 0,50 | 6,0 | 0,70 | 8,0 | 0,90 | 12,0 | 1,4 | 16 | 1,8 |
" 360 " 500 | 2,50 | 0,30 | 4,0 | 0,50 | 6,0 | 0,70 | 8,0 | 0,90 | 10,0 | 1,20 | 15,0 | 1,8 | 20 | 2,3 |
Продолжение
Диапазоны размеров, мм | Ряды пределов допускаемых значений  , мкм |
| | | | | | |
| | | | | | | | | | | | | |
Св. 1 до 3 | 4 | 0,5 | 6 | 0,6 | 10 | 1,0 | 14 | 1,2 | 20 | 1,5 | 33 | 2,0 | 40 | 2,5 |
" 3 " 6 | 5 | 0,6 | 8 | 0,8 | 13 | 1,3 | 18 | 1,5 | 25 | 2,0 | 40 | 2,5 | 48 | 3,0 |
" 6 " 10 | 6 | 0,7 | 9 | 0,9 | 16 | 1,6 | 22 | 2,0 | 30 | 2,5 | 50 | 3,0 | 58 | 4,0 |
" 10 " 18 | 8 | 0,9 | 11 | 1,1 | 19 | 1,9 | 27 | 2,5 | 35 | 3,0 | 60 | 4,0 | 70 | 4,5 |
" 18 " 30 | 9 | 1,1 | 13 | 1,3 | 23 | 2,3 | 33 | 3,0 | 45 | 3,5 | 70 | 4,5 | 84 | 5,5 |
" 30 " 50 | 11 | 1,3 | 15 | 1,5 | 27 | 2,7 | 39 | 3,5 | 50 | 4,0 | 85 | 5,5 | 100 | 7,0 |
" 50 " 80 | 13 | 1,5 | 18 | 1,8 | 30 | 3,0 | 46 | 4,0 | 60 | 5,0 | 100 | 7,0 | 120 | 8,0 |
" 80 " 120 | 15 | 1,7 | 21 | 2,1 | 35 | 3,5 | 54 | 4,5 | 70 | 6,0 | 115 | 8,0 | 140 | 9,0 |
" 120 " 180 | 18 | 2,0 | 24 | 2,4 | 40 | 4,0 | 63 | 5,5 | 80 | 7,0 | 135 | 9,0 | 160 | 10,0 |
" 180 " 260 | 20 | 2,3 | 27 | 2,7 | 45 | 4,5 | 73 | 6,0 | 90 | 7,5 | 150 | 10,0 | 185 | 12,0 |
" 260 " 360 | 22 | 2,7 | 30 | 3,0 | 50 | 5,0 | 84 | 7,0 | 100 | 8,0 | 170 | 11,0 | 215 | 14,0 |
" 360 " 500 | 25 | 3,0 | 35 | 3,5 | 60 | 6,0 | 95 | 8,0 | 120 | 10,0 | 190 | 13,0 | 250 | 17,0 |
Примечание. Допуски измеряемых величин

в мкм, указанные в табл. 1, соответствуют:
IX,
X,
XI,
XII,
XIV рядов - допускам для классов точности соответственно 1, 2, 2а, 3, 3а по ОСТ НКМ 1011, ОСТ 1012, ОСТ НКМ 1016, ОСТ 1013, ОСТ НКМ 1017;
Таблица составлена при условии, что предел допускаемой погрешности измерений в процентах от

равен 35% для
I -
VIII рядов, 30% для
IX,
X, 25% для
XI,
XII и 20% для
XIII,
XIV рядов.
2.3. Нормальной областью значений влияющих величин при угловых измерениях является область, при обеспечении которой выход

действительного значения инструментальной погрешности (погрешности средства измерения) за предел допускаемой основной погрешности средства измерения не должен превышать значений, указанных в табл. 2.
Диапазоны длин меньшей стороны угла, мм | Ряды пределов допускаемых значений  для степеней точности по ГОСТ 8908-58 |
1 | 2 | 3 | 4 | 5 |
| | | | | | | | | |
До 3 | 80" | 9" | 2'00" | 13" | 3'00" | 20" | 5'00" | 33" | 8' | 53" |
Св. 3 до 5 | 60" | 7" | 1'40" | 10" | 2'30" | 17" | 4'00" | 27" | 6' | 40" |
" 5 " 8 | 50" | 6" | 80" | 9" | 2'00" | 13" | 3'00" | 20" | 5' | 33" |
" 8 " 12 | 40" | 4" | 60" | 7" | 1'40" | 10" | 2'30" | 17" | 4' | 27" |
" 12 " 20 | 30" | 3" | 50" | 6" | 80" | 9" | 2'00" | 13" | 3' | 20" |
" 20 " 32 | 24" | 3" | 40" | 4" | 60" | 7" | 1'40" | 10" | 2'30" | 17" |
" 32 " 50 | 20" | 2" | 30" | 3" | 50" | 6" | 80" | 9" | 2'00" | 13" |
" 50 " 80 | 16" | 2" | 24" | 3" | 40" | 4" | 60" | 7" | 1'40" | 10" |
" 80 " 120 | 12" | 1" | 20" | 2" | 30" | 3" | 50" | 6" | 80" | 9" |
" 120 " 200 | 10" | 1" | 16" | 2" | 24" | 3" | 40" | 4" | 60" | 7" |
" 200 " 320 | 8" | 1" | 12" | 1" | 20" | 2" | 30" | 3" | 50" | 6" |
" 320 " 500 | 6" | 1" | 10" | 1" | 16" | 2" | 24" | 3" | 40" | 4" |
Таблица составлена при условии, что предел допускаемой погрешности измерения равен 35% от

, где

- допуск на измеряемый угол.
2.4. При пределах допускаемой погрешности измерения, превышающих значения, указанные в
пп. 2.2 и
2.3 для соответствующих рядов, нормальные условия выбираются по более грубому ряду. При уменьшении допускаемой погрешности измерения нормальные условия должны выбираться по более точному ряду.
2.5. При допусках на размер изделия, не соответствующих значениям, указанным в
табл. 1 и
2, допускаемые значения

и

выбираются по ближайшему меньшему значению допуска для соответствующего диапазона размеров.
2.6. Нормальные условия определения основной погрешности средств измерения устанавливаются в стандартах на эти средства. Основную погрешность рабочих средств измерения следует определять при нормальных условиях, соответствующих нормальной области значений влияющих величин для рядов с допускаемой погрешностью измерения, равной пределу допускаемой основной погрешности поверяемого средства. Отклонения от указанного равенства не должны превышать значений

при линейных измерениях и

при угловых измерениях.
2.7. При выходе влияющих величин в процессе измерения за пределы нормальной области значений и невозможности (нецелесообразности) приведения результата измерения к нормальным условиям действительные значения влияющих величин фиксируются.
2.8. При обеспечении требований
п. 2.2 (2.3) и наличии аттестованной (стандартизованной) методики выполнения измерений допускается не вводить поправки на выход влияющих величин за пределы нормальной области значений и не фиксировать действительные значения влияющих величин. При этом случайная составляющая разности значений измеряемой величины и установленного уровня настройки средства измерения не должна превышать 25% от допуска на измеряемую величину.
2.9. Поддержание нормальных условий в рабочем пространстве должно обеспечиваться в течение всего процесса измерения.
Примечание. Размеры рабочего пространства устанавливаются при разработке методик выполнения измерений.
2.10. При измерениях должны соблюдаться действующие санитарные нормы и правила техники безопасности. Воздух, подаваемый в рабочее пространство, должен быть очищен от пыли, паров, масел, аэрозолей, токсичных и агрессивных газов.
3. НОРМАЛЬНЫЕ ПРЕДЕЛЫ ЗНАЧЕНИЙ ВЛИЯЮЩИХ ВЕЛИЧИН
3.1. Нормальные пределы значений влияющих величин при линейных измерениях
3.1.1. Пределы допускаемых отклонений от нормального направления линии измерения и нормированных параметров ориентации средств и объектов измерений:
+/- 1° - для I - III рядов;
+/- 2° - для IV - VIII рядов;
+/- 5° - для IX - XIV рядов.
3.1.2. Пределы допускаемого отклонения температуры объекта измерения и рабочего пространства от нормального значения в процессе измерения должны соответствовать указанным в табл. 3.
Таблица 3
Размеры, мм | Отклонение температуры, °C, для рядов |
I | II | III | IV - VIII | IX - XI | XII - XIV |
Св. 1 до 18 | +/- 0,5 | +/- 0,8 | +/- 1,0 | +/- 1,5 | +/- 3 | +/- 4 |
" 18 " 50 | +/- 0,2 | +/- 0,3 | +/- 0,5 | +/- 1,0 | +/- 2 | +/- 3 |
" 50 " 500 | +/- 0,1 | +/- 0,2 | +/- 0,3 | +/- 0,5 | +/- 1 | +/- 2 |
3.1.3. В рабочее пространство не рекомендуется помещать объекты измерения с отклонением температуры на поверхности от нормальной более чем 1,5; 2,5; 3,5, 5 °C соответственно для I - III; IV - VIII; IX - XI; XII - XIV рядов. При этом время выдержки в рабочем пространстве при температуре, указанной в
п. 3.1.2, до начала измерений должно быть не менее указанного в табл. 4.
Таблица 4
Масса объекта измерения, кг | Время выдержки, ч, для рядов |
I - III | IV - VIII | IX - XI | XII - XIV |
До 10 | 6 | 4 | 3 | 2 |
Св. 10 до 50 | 14 | 8 | 6 | 4 |
" 50 " 200 | 24 | 14 | 10 | 7 |
" 200 " 500 | 36 | 20 | 16 | 12 |
Примечание. При отклонениях температуры поверхности помещаемых в рабочее пространство объектов измерений, превышающих указанные в
п. 3.1.3 значения, время выдержки должно быть увеличено.
3.1.4. Средства измерения должны находиться в условиях, соответствующих требованиям
п. 3.1.2, не менее 24 ч до начала измерений.
3.1.5. Пределы допускаемой в процессе измерения нестационарной составляющей разности температур в любых двух точках и изменения температуры в любой точке рабочего пространства и находящихся в нем поверхностей объекта и средств измерений должны соответствовать указанным в
табл. 5.
В рабочем пространстве допускаются только плавные изменения температуры со скоростью не более 0,1 °C/мин. Отдельные колебания с периодом менее 0,5 мин не учитываются.
Допускаемые отклонения температуры от нормальной, °C | Допускаемые изменения температуры, °C | Допускаемая разность температур в двух точках, °C |
в течение 0,5 ч | в течение 12 ч |
| | | |
+/- 0,2 | | 0,2 | |
+/- 0,3 | | 0,2 | |
+/- 0,5 | | 0,5 | 0,2 |
+/- 0,8 | | 0,5 | 0,2 |
+/- 1,0 | | 0,5 | 0,2 |
+/- 1,5 | 0,2 | 1,0 | 0,2 |
+/- 2,0 | 0,2 | 2,0 | 0,2 |
+/- 3,0 | 0,5 | 3,0 | 0,5 |
+/- 4,0 | 0,5 | 3,0 | 0,5 |
--------------------------------
<*> Обеспечивается при расположении оператора вне рабочего пространства.
Примечание. Нормы, указанные в
табл. 5, распространяются на условия сравнения мер и объектов измерения с разностью коэффициентов линейного расширения не более 7·10
-6 К-1 при общей массе средств и объектов измерения не более 500 кг.
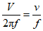
3.1.6. Частота возмущающих гармонических вибраций, действующих на средства и объект измерения, не должна превышать 30 Гц. Амплитуда возмущающих вибраций в миллиметрах при частоте более 1 Гц не должна превышать значений, определяемых зависимостью

,
где:
V - амплитуда скорости колебаний;
v - приведенная амплитуда скорости колебаний;
f - частота вибраций, Гц.
При частотах вибраций менее 1 Гц амплитуда вибраций не должна превышать значений A, указанных в табл. 6.
Таблица 6
Ряды | I - III | IV - X | XI - XIV |
v, мм/с | 0,01 | 0,03 | 0,05 |
A, мм | 0,01 | 0,03 | 0,05 |
При воздействии возмущающих вибраций с параметрами спектральных составляющих, выходящими за нормальные пределы, размах колебаний отсчетного индекса прибора и дополнительная погрешность средства измерения не должны превышать соответственно 0,2 деления шкалы и 0,2 допускаемой погрешности измерения.
3.1.7. Давление окружающего воздуха в рабочем пространстве не должно быть меньше атмосферного. Допускается превышение атмосферного давления не более чем на 3 кПа.
3.1.8. Количество твердых частиц пыли в 1 м
3 воздуха в рабочем пространстве не должно превышать значений, указанных в табл. 7.
Таблица 7
Ряды | Размер частиц пыли, мкм, не более | Количество частиц пыли в 1 м3 воздуха |
I - IV | 0,1 | 800 |
V - VIII | 0,3 | 500 |
IX - XI | 0,5 | 300 |
1,0 | 100 |
2,0 | 20 |
XII | 0,5 | 350 |
1,0 | 150 |
2,0 | 25 |
5,0 | 40 |
XIII, XIV | 1,0 | 200 |
2,0 | 40 |
5,0 | 50 |
Примечание. Количество частиц меньшего размера для соответствующего ряда не нормируется, а наличие частиц большего размера не допускается.
3.1.9. Пределы допускаемого отклонения влажности воздуха в рабочем пространстве от нормального +/- 20%.
При интерференционных линейных измерениях, соответствующих I - VI рядам, пределы допускаемого отклонения влажности воздуха в рабочем пространстве от нормального +/- 5%; нормальное содержание углекислого газа 0,03%.
Допускается не измерять действительное содержание углекислого газа и увеличивать пределы допускаемого отклонения влажности до +/- 10% при условии определения в процессе измерения показателя преломления воздуха с погрешностью

, не превышающей значений, указанных в табл. 8.
Таблица 8
Размеры, мм | Предел допускаемых погрешностей  для рядов |
I | II - IV | V | VI |
Св. 1 до 10 | 1·10-6 | 1·10-6 | 1·10-5 | 1·10-5 |
" 10 " 30 | 2·10-7 | 1·10-6 | 1·10-6 | 1·10-6 |
" 30 " 80 | 2·10-7 | 2·10-7 | 2·10-7 | - |
" 80 " 180 | 2·10-7 | 2·10-7 | - | - |
" 180 " 260 | 2·10-7 | 2·10-7 | - | - |
" 260 " 360 | 2·10-7 | - | - | - |
" 360 " 500 | 2·10-7 | - | - | - |
Примечание. Показатель преломления нормального воздуха
nн = 1,00027159 для первичной эталонной длины волны

и
nн = 1,00027259 - для вторичной эталонной длины волны

.
3.1.10. Наибольшая скорость движения воздуха в рабочем пространстве не должна превышать 0,1 м/с при измерениях, соответствующих I - VIII рядам, и 0,2 м/с при измерениях, соответствующих IX - XIV рядам.
3.1.11. Пределы освещенности рабочего пространства при общем освещении устанавливаются в соответствии с указанными в табл. 9.
Таблица 9
Вид отсчетного устройства | Освещенность, лк |
при люминесцентных лампах | при лампах накаливания |
Окулярное, экранное, шкала на светлом фоне, со световым указателем | 150 - 250 | 50 - 150 |
Шкала на светлом фоне со стрелкой | 300 - 500 | 150 - 300 |
Шкала на темном фоне | 500 - 750 | 300 - 500 |
3.1.12. Уровень шума в рабочем пространстве не должен превышать 45 дБ при измерениях, соответствующих I - VIII рядам, и 80 дБ - при измерениях, соответствующих IX - XIV рядам.
3.1.13. Напряженность магнитного поля не должна превышать 80 А/м, напряженность электростатического поля - 5 В/м.
3.1.14. Пределы допускаемой амплитуды колебаний магнитного поля в процессе измерения при наличии в средствах измерений неэкранированных электромагнитных преобразователей - 10 А/м.
3.1.15. Погрешность средства измерения, вызываемая контактными деформациями в месте соприкосновения измерительного наконечника с измеряемым объектом, не должна превышать 0,1 допускаемой погрешности измерения, что обеспечивается выбором материала и формы измерительных поверхностей, нормированием измерительного усилия и его колебания.
3.2. Нормальные пределы значений влияющих величин при угловых измерениях
3.2.1. Пределы допускаемых отклонений от нормального положения плоскости измерения углов и нормированных параметров ориентации средств и объектов измерений:
+/- 0,5° для 1, 2-й степеней точности;
+/- 1,5° для 3 - 5-й степеней точности.
3.2.2. Пределы допускаемого отклонения температуры объекта измерения и рабочего пространства в процессе измерения от нормального значения +/- 3,5 °C.
3.2.3. Пределы допускаемой в процессе измерения нестационарной составляющей разности температур в любых двух точках и изменения температуры в любой точке рабочего пространства поверхностей объекта и средств измерений должны соответствовать указанным в табл. 10.
Таблица 10
Допускаемая погрешность измерения | Допускаемые изменения температуры, °C | Допускаемая разность температур в двух точках, °C |
в течение 1 ч | в течение 12 ч |
Менее 0,2" | 0,2 | 1 | 0,5 |
От 0,2 до 5" | 0,5 | 2 | 1 |
Св. 5 до 10" | 1,0 | 3 | 2 |
В рабочем пространстве допускаются только плавные изменения температуры со скоростью не более 0,2 °C/мин. Отдельные импульсы продолжительностью менее 0,5 мин не учитываются.
3.2.4. Частота и амплитуда возмущающих вибраций должны соответствовать указанным в
п. 3.1.6 при
A = 0,01 мм,
v = 0,01 мм/с - для 1, 2-й степеней точности и
A = 0,03 мм,
v = 0,03 мм/с - для 3 - 5-й степеней точности.
3.2.5. Отклонение влажности воздуха в рабочем пространстве от нормального значения не должно превышать +/- 10% при измерениях, соответствующих 1 - 3-й степеням точности, и +/- 25% - при измерениях, соответствующих 4, 5-й степеням точности.
3.2.6. Уровень шума в рабочем пространстве не должен превышать 55 дБ при измерениях, соответствующих 1, 2-й степеням точности, и 80 дБ - при измерениях, соответствующих 3 - 5-й степеням точности.
3.2.7. Наибольшая скорость движения воздуха в рабочем пространстве не должна превышать 0,1 м/с при измерениях, соответствующих 1 - 3-й степеням точности, и 0,2 - при измерениях, соответствующих 4, 5-й степеням точности.
3.2.8. Нормальные пределы и требования к нормальной области значений остальных влияющих величин должны соответствовать требованиям
пп. 3.1.7,
3.1.8 (для углов 1, 2-й степеней точности по IX - XI рядам, для углов 3 - 5-й степеней точности по XII ряду),
пп. 3.1.11,
3.1.13,
3.1.14 и
3.1.15 настоящего стандарта.
к ГОСТ 8.050-73
Справочное
ОПРЕДЕЛЕНИЕ ВАЖНЕЙШИХ ПОНЯТИЙ, ВСТРЕЧАЮЩИХСЯ В СТАНДАРТЕ
1. Нормальные пределы значений влияющих величин - пределы нормальной области значений влияющих величин, устанавливаемые независимо от вида средства измерения, выбираемого с условием выполнения требований
п. 2.2 (2.3).
2. Рабочее пространство - часть пространства, окружающего средство и объект измерения, действием влияющих величин вне которой на результат измерения можно пренебречь.
к ГОСТ 8.050-73
Справочное
ТРЕБОВАНИЯ, ПРЕДЪЯВЛЯЕМЫЕ К ОБЪЕКТАМ ИЗМЕРЕНИЯ
1. Шероховатость поверхностей, размеры которых подлежат измерению, не должна быть грубее указанной в таблице.
| | ИС МЕГАНОРМ: примечание. Взамен ГОСТ 2789-59 Постановлением Госстандарта СССР от 23.04.1973 N 995 с 1 января 1975 года введен в действие ГОСТ 2789-73. | |
Классы чистоты поверхности по ГОСТ 2789-59 | Ряды по настоящему стандарту | Диапазон размеров, мм |
линейных измерений | угловых измерений | линейных | меньшей стороны угла |
| I | - | Св. 1 до 10 | - |
| I | - | Св. 10 до 80 | - |
II | - | " 1 " 18 | - |
III | - | " 1 " 3 | - |
| I | - | Св. 80 до 180 | - |
II | - | " 18 " 120 | - |
III | - | " 3 " 50 | - |
IV | - | " 1 " 10 | - |
| I | 1 | Св. 180 до 360 | До 5 |
II | 2 | " 120 " 260 | " 3 |
III | - | " 50 " 180 | - |
IV | - | " 10 " 80 | - |
V | - | " 1 " 18 | - |
VI | - | " 1 " 3 | - |
| I | 1 | Св. 360 до 500 | Св. 5 до 32 |
II | 2 | " 260 " 500 | " 3 " 12 |
III | 3 | " 180 " 360 | До 5 |
IV | - | " 80 " 180 | - |
V | - | " 30 " 120 | - |
VI | - | Св. 3 до 50 | - |
VII | - | " 1 " 10 | - |
VIII | - | " 1 " 3 | - |
| III | 1 | Св. 360 до 500 | Св. 32 до 120 |
IV | 2 | " 180 " 500 | " 12 " 50 |
V | 3 | " 120 " 360 | " 5 " 20 |
VI | 4 | " 50 " 180 | до 8 |
VII | 5 | " 10 " 80 | " 3 |
VIII | - | " 3 " 18 | - |
IX | - | " 1 " 6 | - |
| VI | 1 | Св. 180 до 500 | Св. 120 до 500 |
VII | 2 | " 80 " 360 | " 50 " 200 |
VIII | 3 | " 18 " 120 | " 20 " 80 |
IX | 4 | " 6 " 50 | " 8 " 32 |
X | 5 | " 1 " 10 | " 3 " 12 |
XI | - | " 1 " 3 | до 6 |
| VII | 2 | Св. 360 до 500 | Св. 200 до 500 |
VIII | 3 | " 120 " 500 | " 80 " 200 |
IX | 4 | " 50 " 360 | " 32 " 120 |
X | 5 | " 10 " 80 | " 12 " 50 |
XI | - | " 3 " 18 | " 5 " 20 |
XII | - | " 1 " 10 | до 8 |
| IX | 3 | Св. 360 до 500 | Св. 200 до 500 |
X | 4 | " 80 " 360 | " 120 " 320 |
XI | 5 | " 18 " 80 | " 50 " 120 |
XII | - | " 10 " 50 | " 20 " 50 |
XIII | - | " 1 " 10 | " 8 " 20 |
XIV | - | " 1 " 6 | до 3 |
2. Отклонения формы и расположения измеряемых поверхностей должны соответствовать требованиям ГОСТ 10356-63.
к ГОСТ 8.050-73
Справочное
ДОПУСКАЕМЫЕ ЗНАЧЕНИЯ

ДЛЯ ДОПУСКОВ ПО КВАЛИТЕТАМ ИСО
При назначении допусков по квалитетам ИСО выход

действительного значения инструментальной погрешности (погрешности средства измерения) в нормальных условиях за предел допускаемой основной погрешности средства измерения не должен превышать значений, указанных в таблице.
Размеры, мм | Ряды пределов допускаемых значений  , мкм для допусков по квалитетам ИСО |
V | VI | VII | VIII | IX |
| | | | | | | | | |
Св. 1 до 3 | 1,2 | 0,15 | 2,0 | 0,2 | 3 | 0,3 | 4 | 0,5 | 6 | 0,6 |
" 3 " 6 | 1,5 | 0,20 | 2,5 | 0,3 | 4 | 0,5 | 5 | 0,6 | 8 | 0,8 |
" 6 " 10 | 1,5 | 0,20 | 2,5 | 0,3 | 4 | 0,5 | 6 | 0,7 | 9 | 0,9 |
" 10 " 18 | 2,0 | 0,25 | 3,0 | 0,3 | 5 | 0,6 | 8 | 0,9 | 11 | 1,1 |
" 18 " 30 | 2,5 | 0,30 | 4,0 | 0,5 | 6 | 0,7 | 9 | 1,1 | 13 | 1,3 |
" 30 " 50 | 2,5 | 0,30 | 4,0 | 0,5 | 7 | 0,8 | 11 | 1,3 | 16 | 1,6 |
" 50 " 80 | 3,0 | 0,35 | 5,0 | 0,6 | 8 | 0,9 | 13 | 1,5 | 19 | 1,9 |
" 80 " 120 | 4,0 | 0,50 | 6,0 | 0,7 | 10 | 1,1 | 15 | 1,7 | 22 | 2,2 |
" 120 " 180 | 5,0 | 0,60 | 8,0 | 0,9 | 12 | 1,3 | 18 | 2,0 | 25 | 2,5 |
" 180 " 250 | 7,0 | 0,80 | 10,0 | 1,2 | 14 | 1,5 | 20 | 2,3 | 29 | 2,9 |
" 250 " 315 | 8,0 | 0,90 | 12,0 | 1,4 | 16 | 1,8 | 23 | 2,7 | 32 | 3,2 |
" 315 " 400 | 9,0 | 1,10 | 13,0 | 1,5 | 18 | 2,0 | 25 | 3,0 | 36 | 3,6 |
" 400 " 500 | 10,0 | 1,20 | 15,0 | 1,8 | 20 | 2,3 | 27 | 3,0 | 40 | 4,0 |
Продолжение
Размеры, мм | Ряды пределов допускаемых значений  , мкм, для допусков по квалитетам ИСО |
X | XI | XII | XIV |
| | | | | | | |
Св. 1 до 3 | 10 | 1,0 | 14 | 1,2 | 25 | 2,0 | 40 | 2,5 |
" 3 " 6 | 12 | 1,2 | 18 | 1,5 | 30 | 2,5 | 48 | 3,0 |
" 6 " 10 | 15 | 1,5 | 22 | 2,0 | 36 | 3,0 | 58 | 4,0 |
" 10 " 18 | 18 | 1,8 | 27 | 2,5 | 43 | 3,5 | 70 | 4,5 |
" 18 " 30 | 21 | 2,1 | 33 | 3,0 | 52 | 4,5 | 84 | 5,5 |
" 30 " 50 | 25 | 2,5 | 39 | 3,5 | 62 | 5,0 | 100 | 7,0 |
" 50 " 80 | 30 | 3,0 | 46 | 4,0 | 74 | 6,0 | 120 | 8,0 |
" 80 " 120 | 35 | 3,5 | 54 | 4,5 | 87 | 7,0 | 140 | 9,0 |
" 120 " 180 | 40 | 4,0 | 63 | 5,5 | 100 | 8,0 | 160 | 10,0 |
" 180 " 250 | 46 | 4,6 | 72 | 6,0 | 115 | 10,0 | 185 | 12,0 |
" 250 " 315 | 52 | 5,2 | 81 | 7,0 | 130 | 11,0 | 210 | 14,0 |
" 315 " 400 | 57 | 5,7 | 89 | 7,5 | 140 | 12,0 | 230 | 15,0 |
" 400 " 500 | 63 | 6,3 | 97 | 8,0 | 155 | 13,0 | 250 | 17,0 |