Главная // Актуальные документы // ГОСТ (Государственный стандарт)СПРАВКА
Источник публикации
В данном виде документ опубликован не был.
Первоначальный текст документа опубликован в издании
М.: Стандартинформ, 2020.
Информацию о публикации документов, создающих данную редакцию, см. в справке к этим документам.
Примечание к документу
Документ включен в
Перечень международных и региональных (межгосударственных) стандартов, а в случае их отсутствия - национальных (государственных) стандартов, в результате применения которых на добровольной основе обеспечивается соблюдение требований технического
регламента Таможенного союза "О безопасности железнодорожного подвижного состава" (ТР ТС 001/2011) и в
Перечень международных и региональных (межгосударственных) стандартов, а в случае их отсутствия - национальных (государственных) стандартов, содержащих правила и методы исследований (испытаний) и измерений, в том числе правила отбора образцов, необходимые для применения и исполнения требований технического
регламента Таможенного союза "О безопасности железнодорожного подвижного состава" (ТР ТС 001/2011) и осуществления оценки соответствия объектов технического регулирования (
Решение Коллегии Евразийской экономической комиссии от 29.03.2022 N 48).
Изменение N 1 введено в действие Приказом Росстандарта от 02.12.2022 N 1442-ст с 01.02.2023.
Название документа
"ГОСТ 33211-2014. Межгосударственный стандарт. Вагоны грузовые. Требования к прочности и динамическим качествам"
(введен в действие Приказом Росстандарта от 05.06.2015 N 565-ст)
(ред. от 02.12.2022)
"ГОСТ 33211-2014. Межгосударственный стандарт. Вагоны грузовые. Требования к прочности и динамическим качествам"
(введен в действие Приказом Росстандарта от 05.06.2015 N 565-ст)
(ред. от 02.12.2022)
по техническому регулированию
и метрологии
от 5 июня 2015 г. N 565-ст
МЕЖГОСУДАРСТВЕННЫЙ СТАНДАРТ
ВАГОНЫ ГРУЗОВЫЕ
ТРЕБОВАНИЯ К ПРОЧНОСТИ И ДИНАМИЧЕСКИМ КАЧЕСТВАМ
Freight wagons. Requirements to structural strength
and dynamic qualities
ГОСТ 33211-2014
| | Список изменяющих документов Приказом Росстандарта от 02.12.2022 N 1442-ст) | |
Дата введения
1 июля 2016 года
Цели, основные принципы и общие правила проведения работ по межгосударственной стандартизации установлены
ГОСТ 1.0 "Межгосударственная система стандартизации. Основные положения" и
ГОСТ 1.2 "Межгосударственная система стандартизации. Стандарты межгосударственные, правила и рекомендации по межгосударственной стандартизации. Правила разработки, принятия, обновления и отмены"
1 РАЗРАБОТАН Открытым акционерным обществом "Научно-исследовательский институт железнодорожного транспорта" (ОАО "ВНИИЖТ")
2 ВНЕСЕН Межгосударственным техническим комитетом МТК 524 "Железнодорожный транспорт"
3 ПРИНЯТ Межгосударственным советом по стандартизации, метрологии и сертификации по переписке (протокол от 22 декабря 2014 г. N 73-П)
За принятие проголосовали:
Краткое наименование страны по МК (ИСО 3166) 004-97 | Код страны по МК (ИСО 3166) 004-97 | Сокращенное наименование национального органа по стандартизации |
Азербайджан | AZ | Азстандарт |
Армения | AM | Минэкономики Республики Армения |
Беларусь | BY | Госстандарт Республики Беларусь |
Казахстан | KZ | Госстандарт Республики Казахстан |
Киргизия | KG | Кыргызстандарт |
Россия | RU | Росстандарт |
4
Приказом Федерального агентства по техническому регулированию и метрологии от 5 июня 2015 г. N 565-ст межгосударственный стандарт ГОСТ 33211-2014 введен в действие в качестве национального стандарта Российской Федерации с 1 июля 2016 г.
"Евразийский совет по стандартизации, метрологии и сертификации не несет ответственности за патентную чистоту настоящего стандарта. Патентообладатель может заявить о своих правах и направить в национальный орган по стандартизации своего государства аргументированное предложение о внесении в настоящий стандарт поправки для указания информации о наличии в стандарте объектов патентного права и патентообладателе"
(в ред.
Изменения N 1, введенного в действие Приказом Росстандарта от 02.12.2022 N 1442-ст)
5 ВВЕДЕН ВПЕРВЫЕ
6 ИЗДАНИЕ (май 2020 г.) с
Поправкой (ИУС 8-2017)
Информация о введении в действие (прекращении действия) настоящего стандарта и изменений к нему на территории указанных выше государств публикуется в указателях национальных стандартов, издаваемых в этих государствах, а также в сети Интернет на сайтах соответствующих национальных органов по стандартизации.
В случае пересмотра, изменения или отмены настоящего стандарта соответствующая информация будет опубликована на официальном интернет-сайте Межгосударственного совета по стандартизации, метрологии и сертификации в каталоге "Межгосударственные стандарты"
Настоящий стандарт распространяется на грузовые вагоны (далее - вагоны), предназначенные для обращения на железнодорожных путях общего и необщего пользования колеи 1520 мм, оборудованные автосцепными устройствами по
ГОСТ 3475 и тележками по
ГОСТ 9246 и
ГОСТ 34763.1.
(в ред.
Изменения N 1, введенного в действие Приказом Росстандарта от 02.12.2022 N 1442-ст)
Настоящий стандарт устанавливает требования к прочности и динамическим качествам при выполнении расчетов и оценке результатов испытаний по
ГОСТ 33788 для несущей конструкции кузова вагона, крепления подвесного оборудования вагона, несущей конструкции и крепления подвесного оборудования тележек, составных частей тормозной рычажной передачи, а также требования к автоматическому сцеплению вагонов и проходу сцепленными вагонами кривых участков пути.
В настоящем стандарте использованы нормативные ссылки на следующие межгосударственные стандарты:
ГОСТ 25.101-83 Расчеты и испытания на прочность. Методы схематизации случайных процессов нагружения элементов машин и конструкций и статистического представления результатов
ГОСТ 1452-2011 Пружины цилиндрические винтовые тележек и ударно-тяговых приборов подвижного состава железных дорог. Технические условия
(ссылка введена
Изменением N 1, введенным в действие Приказом Росстандарта от 02.12.2022 N 1442-ст)
ГОСТ 3475 Устройство автосцепное подвижного состава железных дорог колеи 1520 (1524) мм. Установочные размеры
ГОСТ 3565 Металлы. Метод испытания на кручение
(ссылка введена
Изменением N 1, введенным в действие Приказом Росстандарта от 02.12.2022 N 1442-ст)
ГОСТ 9246 Тележки двухосные трехэлементные грузовых вагонов железных дорог колеи 1520 мм. Общие технические условия
ГОСТ 10791 Колеса цельнокатаные. Технические условия
ГОСТ 14249-89 Сосуды и аппараты. Нормы и методы расчета на прочность
ГОСТ 19281 Прокат повышенной прочности. Общие технические условия
(ссылка введена
Изменением N 1, введенным в действие Приказом Росстандарта от 02.12.2022 N 1442-ст)
ГОСТ 22235-2010 Вагоны грузовые магистральных железных дорог колеи 1520 мм. Общие требования по обеспечению сохранности при производстве погрузочно-разгрузочных и маневровых работ
ГОСТ 26158-84 Сосуды и аппараты из цветных металлов. Нормы и методы расчета на прочность. Общие требования
(ссылка введена
Изменением N 1, введенным в действие Приказом Росстандарта от 02.12.2022 N 1442-ст)
ГОСТ 32208 Пружины рессорного подвешивания железнодорожного подвижного состава. Метод испытаний на циклическую долговечность
(ссылка введена
Изменением N 1, введенным в действие Приказом Росстандарта от 02.12.2022 N 1442-ст)
ГОСТ 32400 Рама боковая и балка надрессорная литые тележек железнодорожных грузовых вагонов. Технические условия
ГОСТ 32885 Автосцепка модели СА-3. Конструкция и размеры
ГОСТ 32913-2014 Аппараты поглощающие сцепных и автосцепных устройств железнодорожного подвижного состава. Технические требования и правила приемки
(в ред.
Изменения N 1, введенного в действие Приказом Росстандарта от 02.12.2022 N 1442-ст)
ГОСТ 33434-2015 Устройство сцепное и автосцепное железнодорожного подвижного состава. Технические требования и правила приемки
(ссылка введена
Изменением N 1, введенным в действие Приказом Росстандарта от 02.12.2022 N 1442-ст)
ГОСТ 33788-2016 Вагоны грузовые и пассажирские. Методы испытаний на прочность и динамические качества
(в ред.
Изменения N 1, введенного в действие Приказом Росстандарта от 02.12.2022 N 1442-ст)
ГОСТ 33976 Соединения сварные в стальных конструкциях железнодорожного подвижного состава. Требования к проектированию, выполнению и контролю качества
(ссылка введена
Изменением N 1, введенным в действие Приказом Росстандарта от 02.12.2022 N 1442-ст)
ГОСТ 34710 Упоры автосцепного устройства грузовых и пассажирских вагонов. Общие технические условия
(ссылка введена
Изменением N 1, введенным в действие Приказом Росстандарта от 02.12.2022 N 1442-ст)
ГОСТ 34759 Железнодорожный подвижной состав. Нормы допустимого воздействия на железнодорожный путь и методы испытаний
(ссылка введена
Изменением N 1, введенным в действие Приказом Росстандарта от 02.12.2022 N 1442-ст)
ГОСТ 34763.1 Тележки трех- и четырехосные грузовых вагонов железных дорог. Общие технические требования.
(ссылка введена
Изменением N 1, введенным в действие Приказом Росстандарта от 02.12.2022 N 1442-ст)
Примечание - При пользовании настоящим стандартом целесообразно проверить действие ссылочных стандартов и классификаторов на официальном интернет-сайте Межгосударственного совета по стандартизации, метрологии и сертификации (www.easc.by) или по указателям национальных стандартов, издаваемым в государствах, указанных в предисловии, или на официальных сайтах соответствующих национальных органов по стандартизации. Если на документ дана недатированная ссылка, то следует использовать документ, действующий на текущий момент, с учетом всех внесенных в него изменений. Если заменен ссылочный документ, на который дана датированная ссылка, то следует использовать указанную версию этого документа. Если после принятия настоящего стандарта в ссылочный документ, на который дана датированная ссылка, внесено изменение, затрагивающее положение, на которое дана ссылка, то это положение применяется без учета данного изменения. Если ссылочный документ отменен без замены, то положение, в котором дана ссылка на него, применяется в части, не затрагивающей эту ссылку.
В настоящем стандарте применены следующие термины с соответствующими определениями:
(в ред.
Изменения N 1, введенного в действие Приказом Росстандарта от 02.12.2022 N 1442-ст)
3.1 конструкционная скорость вагона: Максимальная скорость движения вагона, указанная в конструкторской документации на него.
Примечание - Вагон при движении со скоростями вплоть до конструкционной на прямом горизонтальном участке пути (с отступлениями
<1>, устраняемыми в плановом порядке) обеспечивает показатели прочности своих составных частей и показатели динамических качеств (с учетом изменения его массы от нетто до брутто) в соответствии с нормативами, установленными в настоящем стандарте.
(в ред.
Изменения N 1, введенного в действие Приказом Росстандарта от 02.12.2022 N 1442-ст)
--------------------------------
<1> Отступления от номинальных параметров и норм устройства рельсовой колеи при условии обеспечения безопасности движения поездов устанавливает владелец инфраструктуры.
(сноска в ред.
Изменения N 1, введенного в действие Приказом Росстандарта от 02.12.2022 N 1442-ст)
3.2 максимальная расчетная статическая осевая нагрузка: Максимальный вес вагона брутто, передаваемый на рельсы одной колесной парой.
3.3 максимальная расчетная масса вагона: Масса вагона брутто при максимальной расчетной статической осевой нагрузке.
3.4 продольное направление: Направление в плоскости пути вдоль его оси.
3.5 боковое направление: Перпендикулярное продольному направление в плоскости пути.
3.6 вертикальное направление: Направление, перпендикулярное к плоскости пути.
3.7 несущая конструкция кузова вагона: Составные части вагона, которые передают силы, возникающие при движении вагона в составе поезда и маневрах, воспринимают силы от действия на вагон груза, подвесного оборудования, тормозной системы вагона, установленных механизмов, служат опорой на ходовые части.
Примечание - К несущей конструкции кузова вагона в том числе относят хребтовую, боковые, шкворневые, поперечные, лобовые балки, пятник, стойки, поперечный пояс, верхнюю обвязку, котел вагона-цистерны.
3.8 опорный узел: Составная часть несущей конструкции вагона, которая включает в себя пятник и ответную поверхность к боковому скользуну тележки.
3.9 длина вагона по осям сцепления: Расстояние в продольном направлении между плоскостями зацепления автосцепки.
3.10 подвесное оборудование вагона (тележки): Оборудование, закрепленное на несущей конструкции кузова вагона (на несущей конструкции тележки) посредством разъемного или неразъемного соединения.
3.11 минимальная расчетная масса вагона: Номинальная масса порожнего вагона, указанная в конструкторской документации.
3.12 несущая конструкция тележки: Составные части тележки, которые воспринимают силы от действия на тележку кузова вагона, тормозной системы вагона и передают их на подшипники колесных пар.
Примечание - К несущей конструкции двухосной трехэлементной тележки относят надрессорную балку и боковую раму, буксу, адаптер, боковой скользун.
3.13 необрессоренные части тележки: Составные части несущей конструкции тележки, не имеющие опоры на рессорное подвешивание, а также колесные пары.
3.14 обрессоренные части вагона (тележки): Составные части несущей конструкции вагона (тележки), расположенные выше рессорного подвешивания.
3.15 база вагона: Номинальное расстояние в продольном направлении между центрами наружных пятников кузова вагона.
3.16 вагон сочлененного типа: Вагон, соседние секции которого опираются на одну общую тележку.
3.17 база секции вагона: Номинальное расстояние в продольном направлении между центрами пятников одной секции вагона сочлененного типа.
Примечание - База вагона сочлененного типа - расстояние в продольном направлении между центрами пятников крайних тележек.
3.18 устройство сочленения: Устройство, передающее силы между соседними секциями вагона сочлененного типа и обеспечивающее их опору на общую тележку.
3.19 коэффициент динамической добавки: Отношение амплитуды вертикальной динамической силы (напряжения от действия вертикальной динамической силы), действующей при движении вагона по рельсовому пути, к силе тяжести (напряжению от действия силы тяжести).
3.20 статический прогиб несущей конструкции вагона: Деформация несущей конструкции кузова вагона в вертикальном направлении под действием силы тяжести груза, отсчитываемая от горизонтальной плоскости, проходящей через центры пятников.
3.21 рамная сила: Боковая сила, действующая от несущей конструкции тележки на колесную пару.
3.22 общее напряжение: Механическое напряжение, вызываемое внешней нагрузкой в несущей конструкции с учетом ее основной геометрии.
Примечание - Общие напряжения определяют с учетом упругого деформирования материала аналитически или методом конечных элементов с применением трехмерных моделей из балочных конечных элементов либо измеряют с применением методов тензометрии. В общем напряжении не учитывают концентрацию, связанную с геометрическими концентраторами напряжений.
3.23 местное напряжение: Механическое напряжение, вызываемое внешней нагрузкой в несущей конструкции с учетом ее макрогеометрии и геометрических концентраторов напряжений.
Примечание - Местные напряжения определяют с учетом упругого деформирования материала методом конечных элементов с применением трехмерных моделей из объемных или оболочечных конечных элементов либо измеряют с применением методов тензометрии. В местном напряжении не учитывают концентрацию, связанную с наличием сварных швов, дефектов сварных швов, поверхностных дефектов литых несущих конструкций, контактом между телами.
3.24 зона влияния сосредоточенной нагрузки: Локальная зона в окрестности задания расчетной сосредоточенной (точечной) силы или реакции.
3.25 расчетный ресурс составной части несущей конструкции вагона: Ресурс составной части до достижения предельного состояния по сопротивлению усталости, установленный технической документацией.
Примечание - Для несущей конструкции кузова вагона расчетный ресурс, как правило, соответствует назначенному ресурсу (сроку службы) вагона. Для составных частей вагона, подлежащих замене при ремонте, расчетный ресурс соответствует наработке между видами планового ремонта.
3.26
расчетный статический прогиб: Статический прогиб упругих элементов рессорного подвешивания эквивалентный подвешиванию с линейной зависимостью силы от деформации (постоянной жесткостью) без учета сил трения. |
4 Режимы для определения прочности, устойчивости сжатых конструкций и сопротивления усталости
4.1 Прочность несущей конструкции кузова вагона определяют при действии сил в
режимах I а,
I б,
I в,
I г, указанных в таблице 1.
Режим I в применяют для определения устойчивости сжатых составных частей несущей конструкции кузова вагона расчетными методами.
Примечание -
Режиму I а соответствует сочетание сил, действующих на вагон при соударении при роспуске с сортировочной горки, осаживании состава вагонов,
режиму I б - при трогании состава.
Режимам I в и
I г соответствует сочетание сил, действующих на вагон при торможении и разгоне состава, двигающегося в кривом участке пути.
Таблица 1
Силы, действующие на вагон, для определения прочности
несущей конструкции кузова
Силы | Значение силы в режиме I |
| | | |
Продольные | | | | |
Вертикальные: | | | | |
- сила тяжести | | | | |
- составляющая силы инерции | | | - | - |
- кососимметричные силы | - | - | | |
Боковые | - | - | | |
Самоуравновешенные: | | | | |
| | | | |
- избыточное давление <2> | | | | |
<1> При перевозке насыпных и скатывающихся грузов. <2> При перевозке жидких грузов. |
При определении прочности расчетными методами учитывают симметричность несущей конструкции кузова вагона и указанные в эксплуатационной документации схемы размещения груза. При определении прочности методами испытаний допускается уменьшать количество схем размещения груза при испытаниях на основании определения прочности расчетными методами.
Действующие на несущую конструкцию кузова вагона вертикальные и боковые силы уравновешены реакциями в опорных узлах, зависящими от конструктивного устройства опорного узла.
4.1.1 Устанавливают следующие значения и схемы приложения продольных сил к кузову вагона:
а) сила 3,5 МН, направленная внутрь вагона, приложена к опорной поверхности заднего упора автосцепного устройства с одной стороны вагона и уравновешена продольными силами инерции по
4.1.2 масс кузова вагона, тележек, автосцепных устройств и груза.
Для вагонов с максимальной расчетной статической осевой нагрузкой не более 245 кН, не подлежащих роспуску с сортировочных горок или оборудованных поглощающими аппаратами класса Т2 или Т3 по ГОСТ 32913-2014
(пункт 4.3), принимают значение продольной силы 2,5 МН, если иное не предусмотрено конструкторской документацией;
(в ред.
Изменения N 1, введенного в действие Приказом Росстандарта от 02.12.2022 N 1442-ст)
--------------------------------
<1> Сноска исключена с 01.02.2023. -
Изменение N 1, введенное в действие Приказом Росстандарта от 02.12.2022 N 1442-ст.
б) сила 2,5 МН, направленная наружу вагона, приложена к опорной поверхности переднего упора автосцепного устройства с одной стороны вагона и уравновешена продольными силами инерции по
4.1.2 масс кузова вагона, тележек, автосцепных устройств и груза;
в) силы 2,5 МН, направленные внутрь вагона, приложены к опорным поверхностям задних упоров автосцепного устройства с двух сторон вагона;
г) силы 2,0 МН, направленные наружу вагона, приложены к опорным поверхностям передних упоров автосцепного устройства с двух сторон вагона.
При приложении продольных сил дополнительно учитывают действие вертикальной силы Pz, Н, приложенной к соответствующим упорам автосцепного устройства, определяемой по формуле

, (4.1)
e - разность уровней осей автосцепок, при определении прочности расчетными методами принимают e = 0,10 м, если иное не предусмотрено эксплуатационной документацией вагона; при определении прочности методами испытаний допускается разность уровней осей автосцепок не более 0,05 м;
a - расчетная длина корпуса автосцепки (для корпуса автосцепки по
ГОСТ 32885 принимают
a = 1,0 м при действии сил внутрь вагона; 0,9 м при действии сил наружу вагона); знак "+" обозначает действие силы вверх, знак "-" обозначает действие силы вниз.
Примечание - Указанная вертикальная сила по
формуле (4.1) возникает за счет трения между поверхностями поглощающего аппарата и поверхностями упоров автосцепного устройства.
4.1.2 Продольную силу инерции составной части вагона или груза
NИ, Н, имеющей массу
m, кг, определяют по формуле

, (4.2)
где
NУ - продольная сила, приложенная к вагону (по
4.1.1 а,
4.1.1 б), Н;
mваг - максимальная расчетная масса вагона, кг.
Продольную силу инерции при использовании расчетных методов прикладывают к центру масс составной части вагона. Допускается учитывать продольную силу инерции массы составной части вагона приложением распределенного по ее объему ускорения. Передачу продольных сил инерции груза, автосцепных устройств и тележек на кузов вагона определяют с учетом устройства их крепления и соединения.
Для вагонов, предназначенных для перевозки насыпных грузов (скатывающихся грузов), при использовании расчетных методов продольную силу инерции груза рекомендуется прикладывать:
а) равномерно распределенной, действующей с внутренней стороны торцевой стены, расположенной со стороны действия силы по перечислению
а) 4.1.1, со стороны противоположной действию силы по перечислению
б) 4.1.1, равной 0,35 от продольной силы инерции насыпного груза, определяемой по формуле
(4.2). Для скатывающегося груза продольную силу инерции распределяют по перечислению
б) 4.3.4;
(в ред.
Изменения N 1, введенного в действие Приказом Росстандарта от 02.12.2022 N 1442-ст)
б) равномерно распределенной, действующей с внутренней стороны боковых стен, равной произведению давления силы тяжести насыпного (скатывающегося) груза, определяемого по формулам
(4.8) и
(4.8а), и коэффициента трения груза о боковую стену;
(в ред.
Изменения N 1, введенного в действие Приказом Росстандарта от 02.12.2022 N 1442-ст)
в) равномерно распределенной, действующей с внутренней стороны пола, равной разности силы инерции груза и суммарной силы, приходящейся на торцевую и боковые стены.
(в ред.
Изменения N 1, введенного в действие Приказом Росстандарта от 02.12.2022 N 1442-ст)
Таблица 2
Характеристики насыпных грузов
Наименование груза | Насыпная плотность  , т/м 3 | Угол естественного откоса  , радианы | Угол трения по металлу  , радианы |
Железная руда | 2,50 | 0,70 | 0,50 |
Железорудные окатыши | 2,00 | 0,52 | 0,35 |
Агломерат железной руды | 1,80 | 0,52 | 0,40 |
Дробленые бокситы | 1,25 | 0,70 | 0,45 |
Порошкообразный глинозем | 1,05 | 0,50 | 0,45 |
Гранитный гравий | 1,80 | 0,52 | 0,45 |
Влажные песок, глина, грунт | 1,80 | 0,70 | 0,35 |
Известняк кусковой | 1,70 | 0,80 | 0,50 |
Гранитный щебень | 1,60 | 0,78 | 0,50 |
Известковый щебень | 1,40 | 0,78 | 0,50 |
Цемент | 1,30 | 0,61 | 0,50 |
Молотая сухая известь | 0,75 | 0,61 | 0,45 |
Мелкий глинозем | 0,60 | 0,37 | 0,40 |
Каменный уголь, штыб | 0,85 | 0,62 | 0,45 |
Кокс | 0,50 | 0,70 | 0,40 |
Сухой торф | 0,45 | 0,73 | 0,40 |
Апатит, апатитовый концентрат | 1,60 | 0,61 | 0,50 |
Фосфористая мука | 1,30 | 0,78 | 0,50 |
Двойной суперфосфат | 1,10 | 0,78 | 0,50 |
Сульфат калия | 1,10 | 0,70 | 0,45 |
Нитрофоска | 1,00 | 0,74 | 0,50 |
Хлористый калий | 0,95 | 0,82 | 0,50 |
Простой суперфосфат | 0,90 | 0,60 | 0,45 |
Сульфат аммония | 0,90 | 0,87 | 0,50 |
Аммиачная селитра | 0,80 | 0,78 | 0,45 |
Хлористый аммоний | 0,60 | 0,87 | 0,50 |
Товарное зерно | 0,75 | 0,44 | 0,30 |
Пищевая мука | 0,60 | 0,96 | 0,60 |
Сажа (технический углерод) | 0,50 | 0,70 | 0,45 |
Гранулированный полиэтилен | 0,50 | 0,44 | 0,30 |
Технологическая щепа | 0,40 | 0,61 | 0,45 |
Допускается при расчете определять действие продольной силы инерции насыпного груза на несущую конструкцию кузова методами моделирования динамики насыпного груза.
4.1.3 Действие силы тяжести на составную часть вагона учитывают при определении прочности расчетными методами приложением к объему ускорения свободного падения 9,81 м/с
2.
Действие на составную часть вагона силы тяжести от масс опертых на нее частей (кузова, груза и т.п.) определяют, исходя из максимальной расчетной статической осевой нагрузки при ускорении свободного падения 9,81 м/с2.
4.1.4 При использовании расчетных методов вертикальную составляющую силы инерции, действующую на составную часть вагона от опертых на нее частей или груза,
Pв, Н, определяют по формуле

, (4.3)
h - высота центра масс составной части вагона или груза от уровня оси автосцепки, м;
2l - расстояние в продольном направлении между опорами, м.
Вертикальную составляющую силы инерции складывают с силой тяжести в опорах, расположенных со стороны действия силы по
4.1.1 а и со стороны противоположной действию силы по
4.1.1 б, и вычитают из силы тяжести с противоположной стороны.
Для насыпных грузов к кузову вагона (не вертикальным стенкам) при расчете рекомендуется прикладывать распределенную по площади горизонтальной проекции вертикальную силу, изменяющуюся в продольном направлении по линейному закону с нулевым значением в центре горизонтальной проекции. Величину вертикальной силы определяют таким образом, чтобы с учетом действия продольных сил инерции кузова и груза по
4.1.2 создавался момент равный
NИh.
4.1.5 Боковую силу
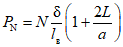
PN, Н, действующую на вагон через автосцепные устройства, определяют по формулам:
- для режима I в

; (4.4)
Приказом Росстандарта от 02.12.2022 N 1442-ст)
где H - боковая сила, действующая на пятник, Н.
(в ред.
Изменения N 1, введенного в действие Приказом Росстандарта от 02.12.2022 N 1442-ст)

, (4.5)
R - радиус кривой, принимают равным 250 м;
2lв - база вагона, м;
2L - расстояние между задними опорными поверхностями упоров автосцепных устройств, м;
2Lс - длина вагона по осям сцепления, м;

- расчетная длина корпуса автосцепки, м (для корпуса автосцепки по
ГОСТ 32885 принимают 1,0 м при действии сил внутрь вагона или 0,9 м при действии сил наружу вагона);

- возможное одностороннее боковое перемещение шкворневого сечения кузова вагона за счет зазоров колесной пары в рельсовой колее, зазоров между буксой (адаптером) колесной пары и проемом для колесной пары в боковой раме, зазоров между пятником и подпятником, упругих боковых деформаций рессорного подвешивания, м. Значение принимают средним вероятным в соответствии с конструкторской документацией, эксплуатационными и ремонтными документами.
В режиме I в боковые силы по
формуле (4.4) противоположных направлений приложены к задним опорным поверхностям упоров автосцепного устройства с двух сторон вагона.
В режиме I г боковые силы по
формуле (4.5) одного направления приложены к передним опорным поверхностям упоров автосцепного устройства с двух сторон вагона.
Для вагонов сочлененного типа боковую силу, действующую через автосцепное устройство, PN, Н, определяют по формулам:

; (4.6)

, (4.7)
R - радиус кривой, принимают равным 250 м;
lс - база секции вагона, оборудованной автосцепным устройством и устройством сочленения, м;
L - расстояние между задними для режима I в или передними для режима I г опорными поверхностями упоров автосцепного устройства и центром пятника устройства сочленения, м.
Для вагонов сочлененного типа в режиме I в боковые силы по
формуле (4.6), действующие наружу кривой, приложены к задним опорным поверхностям упоров автосцепного устройства с двух сторон вагона. В режиме I г боковые силы по
формуле (4.6), действующие внутрь кривой, приложены к передним опорным поверхностям упоров автосцепного устройства с двух сторон вагона.
4.1.6 Давление от силы тяжести насыпного (или скатывающегося, или жидкого) груза, действующее на стенки кузова,

, Па, для конструкций вагонов с учетом величины угла наклона стенки кузова к горизонту (угол наклона стенки к горизонту с наружной стороны кузова) определяют по формуле
(в ред.
Изменения N 1, введенного в действие Приказом Росстандарта от 02.12.2022 N 1442-ст)

(4.8)
где

- плотность груза, кг/м
3, которую принимают равной частному от деления грузоподъемности вагона на объем кузова, а для некоторых конкретных грузов - по
таблице 2;
g - ускорение свободного падения, равное 9,81 м/с2;
y - расстояние вниз от поверхности груза до уровня, на котором определяют давление, м;

- плоский угол наклона стенки кузова к горизонту, для жидкого груза принимают

;

- плоский угол наклона поверхности груза к горизонту, для жидкого груза принимают

;

- плоский угол трения груза о стенки кузова, который приведен в
таблице 2 для металлических стенок, для жидкого груза принимают

;

- угол естественного откоса груза, образуемый поверхностью свободно насыпанного груза с горизонтальной плоскостью, который принимают по
таблице 2. Для скатывающихся и жидких грузов принимают

.
При углах наклона стенки кузова к горизонту менее 90° следует прикладывать результирующую силу тяжести насыпного груза по двум составляющим:
- вертикальной, равной весу груза, приходящегося на стенку кузова;
- горизонтальной.
Горизонтальную составляющую результирующей силы тяжести насыпного груза,

, Н, определяют по формуле

, (4.8а)
где Fa - результирующая сила тяжести насыпного груза, приходящаяся на стенку кузова, Н, определяемая по формуле

, (4.8б)
где ha - высота загрузки груза, м;
la - длина стенки, на которую действует давление от силы тяжести насыпного груза, м;

- вертикальная составляющая результирующей силы тяжести насыпного груза, равная весу груза, приходящегося на стенку кузова, Н.
(абзац введен
Изменением N 1, введенным в действие Приказом Росстандарта от 02.12.2022 N 1442-ст)
При отсутствии данных для груза в
таблице 2 должны быть приняты значения входящих в
формулу (4.8) величин из
таблицы 2 для сходных типов грузов, обеспечивающие максимальное значение давления силы тяжести насыпного груза.
Боковая расчетная погонная сила для вагонов-платформ не должна быть менее 25 кН на 1 м длины секции бокового борта.
4.1.7 Для котлов вагонов-цистерн для перевозки жидких грузов при проверке на прочность принимают следующие значения расчетного давления:
а) сумма внутреннего избыточного давления насыщенных паров жидкости или сжиженного газа при температуре 50 °C (если иное не предусмотрено в конструкторской и эксплуатационной документации) и давления гидравлического удара. Давление гидравлического удара определяют как отношение силы инерции жидкого груза
NИ, определяемой по
формуле (4.2), к минимальной площади внутреннего поперечного сечения обечайки котла.
При расчете давление гидравлического удара принимают одинаковым по величине на протяжении всего котла и прикладывают с внутренней стороны котла к днищу и по всей длине обечайки котла. В случае действия продольной силы по
4.1.1 а давление действует на днище с той же стороны, в случае действия продольной силы по
4.1.1 б давление действует на днище со стороны, противоположной действию силы;
б) внутреннее избыточное давление насыщенных паров жидкости или сжиженного газа при температуре 50 °C (если иное не предусмотрено в конструкторской и эксплуатационной документации).
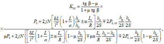
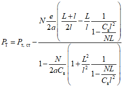
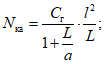
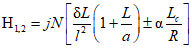
4.1.8 Кососимметричную силу PК, Н, приложенную к одному месту опоры кузова вагона, определяют по формуле

, (4.9а)
где z - вертикальное эквивалентное смещение в месте приложения кососимметричной силы, соответствующее вертикальному отводу одной рельсовой нити, равному 3,2 мм/м;

- минимальное значение динамического прогиба бокового скользуна постоянного контакта при его применении или зазора при применении боковых скользунов зазорного типа, предусмотренное конструкторской документацией, м;
2b - расстояние между продольными осями боковых скользунов надрессорной балки тележки, м;
2S - расстояние между кругами катания колес одной колесной пары, м (принимают 2S = 1,58 м);
CРК - жесткость рессорного комплекта, расположенного под одним концом надрессорной балки тележки, Н/м;
CК - жесткость кузова при кососимметричной нагрузке (на 1/4 кузова), Н/м.
(абзац введен
Изменением N 1, введенным в действие Приказом Росстандарта от 02.12.2022 N 1442-ст)
Действие вертикальной кососимметричной силы учитывают, если выполнено условие

, (4.9)
где 2lв - база вагона (база секции вагона для вагонов сочлененного типа), м;

- минимальное значение динамического прогиба бокового скользуна постоянного контакта при его применении или зазора при применении боковых скользунов зазорного типа, предусмотренное конструкторской документацией на тележку, м.
Примечание - Действию вертикальных кососимметричных сил соответствует движение вагона по переходным кривым с отводом возвышения наружного рельса равным 3,2 мм/м при условии замыкания боковых скользунов, расположенных по диагонали.
Вертикальную кососимметричную силу прикладывают вверх к ответным поверхностям боковых скользунов на кузове вагона, расположенным по диагонали вагона, таким образом, чтобы соответствующее перемещение составило

с каждой стороны вагона.
Допускается задавать вертикальное перемещение ответных поверхностей боковых скользунов на кузове вагона, расположенных по диагонали вагона, равное

.
4.2 Прочность несущей конструкции кузова вагона определяют при действии сил, возникающих при текущем ремонте:
а) действие силы тяжести по
4.1.3, уравновешенной четырьмя реакциями в зонах, предусмотренных для подъема вагона на домкратах;
б) действие силы тяжести по
4.1.3, уравновешенной четырьмя реакциями в концевых частях шкворневых балок;
в) действие силы тяжести по
4.1.3, уравновешенной двумя реакциями в концевых частях одной шкворневой балки и пятнике с противоположного конца вагона;
г) действие силы тяжести по
4.1.3 (без учета силы тяжести груза), уравновешенной реакциями в двух концевых частях шкворневых балок, расположенных по диагонали вагона;
д) действие силы тяжести по
4.1.3, уравновешенной двумя реакциями в концевой балке в зонах на расстоянии 0,79 м от оси пути и пятнике с противоположного конца вагона.
При наличии дополнительных схем подъема кузова вагона, предусмотренных эксплуатационными документами, для них должна быть определена прочность несущей конструкции.
4.3 Для составных частей несущей конструкции кузова вагона дополнительно проверяют прочность при действии сил, указанных в
4.3.1 -
4.3.25.
(в ред.
Изменения N 1, введенного в действие Приказом Росстандарта от 02.12.2022 N 1442-ст)
4.3.1 Котел вагона-цистерны, предназначенного для перевозки жидких грузов, проверяют на прочность при действии:
а) давлений в соответствии с требованиями правил перевозок
[1] (глава 6.20) в том случае, если вагон-цистерна предназначен для перевозки опасных грузов;
(в ред.
Изменения N 1, введенного в действие Приказом Росстандарта от 02.12.2022 N 1442-ст)
б) испытательного (пробного) давления, определяемого в соответствии с национальным законодательством
<1>.
(в ред.
Изменения N 1, введенного в действие Приказом Росстандарта от 02.12.2022 N 1442-ст)
--------------------------------
<1> В Российской Федерации применяют "
Правила промышленной безопасности при использовании оборудования, работающего под избыточным давлением" (утверждены приказом Ростехнадзора от 15 декабря 2020 г. N 536, зарегистрированы в Минюсте России 31 декабря 2020 г. N 61998).
(сноска в ред.
Изменения N 1, введенного в действие Приказом Росстандарта от 02.12.2022 N 1442-ст)
При определении прочности расчетными методами необходимо дополнительно учитывать давление от силы тяжести жидкого груза по
4.1.6.
При определении прочности расчетными методами необходимо учитывать минимальные толщины стенок котла, допустимые конструкторскими, технологическими и эксплуатационными документами.
Примечание - Учитывают допуск на толщину проката, утонение при изготовлении, коррозионный износ от действия перевозимого груза за расчетный ресурс вагона с учетом стойкости антикоррозионных покрытий.
4.3.2 Котел вагона-цистерны, предназначенного для перевозки жидких грузов, проверяют расчетными методами на устойчивость сжатых конструкций при действии:
- внешнего избыточного давления 40 кПа при отсутствии впускного предохранительного клапана;
- фактического внешнего избыточного давления срабатывания клапана, но не менее 21 кПа при наличии впускного предохранительного клапана.
При этом необходимо учитывать минимальные толщины стенок котла, допустимые конструкторскими, технологическими и эксплуатационными документами.
(п. 4.3.2 в ред.
Изменения N 1, введенного в действие Приказом Росстандарта от 02.12.2022 N 1442-ст)
4.3.3 Угловые стойки полувагона с торцевыми дверями проверяют на прочность при действии наружу на две из них с одной стороны вагона давления от силы тяжести по
4.1.6 для скатывающегося груза.
4.3.4 Торцевую стену (торцевые двери) полувагона проверяют расчетными методами на прочность при действии:
а) продольной силы, определенной по перечислению
а) 4.1.2, равномерно распределенной на нижнюю часть стены (двери) до высоты 600 мм по всей ширине, что соответствует перевозке тяжелых, уложенных штабелями грузов;
б) продольной силы, определенной по перечислению
а) 4.1.2, равномерно распределенной на всю поперечную площадь стены и дополнительный ограждающий щит, укрепленный над ней сверху с помощью четырех вертикальных стоек, имеющий контур габарита погрузки, что соответствует перевозке штабельных грузов с шапкой.
Примечание - Используется при определении расчетными методами прочности торцевой стены вагонов при перевозке леса.
(п. 4.3.4 в ред.
Изменения N 1, введенного в действие Приказом Росстандарта от 02.12.2022 N 1442-ст)
4.3.5 Несущую конструкцию кузова вагона, предназначенного для разгрузки на вагоноопрокидывателе, проверяют на прочность при одновременном действии:
- вертикальной силы равной силе тяжести вагона по
4.1.3, распределенной по верхней обвязке согласно ГОСТ 22235-2010
(пункт 5.3.2);
- давления силы тяжести насыпного груза по
4.1.6, с учетом направления ускорения свободного падения, возникающего при опрокидывании вагона.
При расчете допускается учитывать давление силы тяжести насыпного груза путем приложения к боковой стене, шарнирно опертой верхней обвязкой в зонах по ГОСТ 22235-2010
(пункт 5.3.2), равномерно распределенной силы равной 0,25
Qв, где
Qв - сила тяжести груза вагона с максимальной расчетной массой.
Силы уравновешены реакциями в опорных узлах, зависящими от конструктивного устройства опорного узла.
4.3.6 Несущую конструкцию кузова вагона, для погрузки которого эксплуатационными документами предусмотрено использование колесных погрузчиков и разгрузчиков, проверяют на прочность при действии в любом месте пола силы по ГОСТ 22235-2010 (
пункты 4.3.1,
5.4.1,
4.6.1).
4.3.7 Открытые торцевые борта платформ и кронштейны для их опоры проверяют на прочность при действии сил по ГОСТ 22235-2010
(пункт 4.4.1).
4.3.8 Вагоны, предназначенные для перевозки на паромах, проверяют расчетными методами на прочность при действии:
а) продольной силы, соответствующей действию на вагон и груз ускорения 1,96 м/с2, и вертикальной силы, соответствующей действию на вагон и груз ускорения 9,81 м/с2;
Примечание - Соответствует продольному (килевому) крену до 10°.
б) боковой силы, соответствующей действию на вагон и груз ускорения 4,91 м/с2, и вертикальной силы, соответствующей действию на вагон и груз ускорения 9,81 м/с2.
(в ред.
Изменения N 1, введенного в действие Приказом Росстандарта от 02.12.2022 N 1442-ст)
Примечание - Соответствует боковому крену до 30°.
Силы уравновешены реакциями в приспособлениях для закрепления вагона и груза. Допускается уточнять действующие силы в зависимости от характеристик парома.
4.3.9 Составные части вагона, предусматривающие возможность нахождения обслуживающего персонала, проверяют на прочность при действии двух вертикальных сил по 1,0 кН каждая, распределенных по площади 0,25 x 0,25 м2 и приложенных на расстоянии 0,5 м друг от друга в любой части.
4.3.10 Подножки и лестницы проверяют на прочность при одновременном действии двух вертикальных сил по 1,0 кН каждая, приложенных на расстоянии 0,3 м друг от друга, и продольной силы 1,0 кН, приложенной в плоскости подножки и ступени лестницы в тех же зонах.
4.3.11 Вертикальные и горизонтальные поручни проверяют на прочность при одновременном действии вертикальной и боковой сил по 1,0 кН каждая, приложенных к середине поручня.
4.3.12 Для крыш вагонов расчетными методами подтверждают прочность и устойчивость сжатых конструкций при действии давления максимальной снеговой нагрузки с полным нормативным значением согласно
[2] (раздел 5) <1>. Для крыш вагонов-хопперов, не оборудованных устройствами, предотвращающими возникновение вакуума внутри кузова при разгрузке, расчетными методами подтверждают устойчивость сжатых конструкций при действии внешнего избыточного давления 30 кПа.
(в ред.
Изменения N 1, введенного в действие Приказом Росстандарта от 02.12.2022 N 1442-ст)
--------------------------------
<1> В Российской Федерации действует
СП 20.13330.2016 "СНиП 2.01.07-85*. Нагрузки и воздействия".
(сноска введена
Изменением N 1, введенным в действие Приказом Росстандарта от 02.12.2022 N 1442-ст)
4.3.13 Силы для проверки прочности, действующие на вагон от применяемых механизмов при погрузке или выгрузке, от работы установленных на вагоне механизмов, определяют в конструкторской документации на вагон в соответствии с его условиями эксплуатации и
ГОСТ 22235.
4.3.14 Предохранительные устройства, предназначенные для предотвращения падения на путь оборудования вагона, проверяют на прочность при действии двукратной силы тяжести по
4.1.3 предохраняемого оборудования.
4.3.15 Составные части вагона, тормозную рычажную передачу и кронштейны ее крепления, воспринимающие действие сил в тормозной системе, проверяют расчетными методами на прочность при действии максимальной силы на штоке поршня тормозного цилиндра, определяемой без учета жесткости отпускной пружины и без учета потерь (при коэффициенте полезного действия равном единице), а кронштейны, рычаги и тяги стояночного тормоза - при действии момента силы (M = 100 Н·м), прикладываемого к штурвалу стояночного тормоза.
(в ред.
Изменения N 1, введенного в действие Приказом Росстандарта от 02.12.2022 N 1442-ст)
4.3.16 Составные части несущей конструкции кузова (тележки) вагона, на которых закреплено подвесное оборудование, проверяют на прочность при действии:
(в ред.
Изменения N 1, введенного в действие Приказом Росстандарта от 02.12.2022 N 1442-ст)
- продольного ускорения aп, м/с2, определяемого по формуле

, (4.10)
где
Nу - продольная сила по
4.1.1 а, приложенная к вагону, Н;
Примечание - Исключено с 01.02.2023. -
Изменение N 1, введенное в действие Приказом Росстандарта от 02.12.2022 N 1442-ст.
mт - минимальная расчетная масса вагона, кг;
- вертикального ускорения aв, м/с2, определяемого по формуле

, (4.11)
где
Nи определяют по
формуле (4.2) для кузова вагона с минимальной расчетной массой при
Nу по
4.1.1 а;
mк - масса кузова вагона с минимальной расчетной массой, кг;
g - ускорение свободного падения по
4.1.3;
hв - расстояние в вертикальном направлении от центра масс кузова вагона с минимальной расчетной массой до уровня оси автосцепки (для кузова) и расстояние от плоскости пятника до плоскости осей колесных пар (для тележки), м;
(в ред.
Изменения N 1, введенного в действие Приказом Росстандарта от 02.12.2022 N 1442-ст)
2lв - база вагона или база секции вагона для вагонов сочлененного типа (для кузова) и база тележки (для тележки), м;
(в ред.
Изменения N 1, введенного в действие Приказом Росстандарта от 02.12.2022 N 1442-ст)
x - расстояние в продольном направлении от среднего поперечного сечения кузова (тележки) до центра масс укрепленного на нем (на ней) подвесного оборудования, м.
(в ред.
Изменения N 1, введенного в действие Приказом Росстандарта от 02.12.2022 N 1442-ст)
Продольную и вертикальную силу от действия ускорения по
формулам (4.10) и
(4.11) при использовании расчетных методов прикладывают к центру масс подвесного оборудования. Допускается прикладывать силы инерции массы подвесного оборудования приложением распределенного по объему ускорения. Передачу сил от подвесного оборудования на кузов вагона определяют с учетом устройства их соединения.
Для проверки отсутствия резонанса величины собственных частот колебаний подвесного и навесного оборудования, определенные расчетным методом, должны превышать значения собственных частот колебаний несущей конструкции кузова не менее чем в 1,5 раза и составлять не менее 20 Гц.
(в ред.
Изменения N 1, введенного в действие Приказом Росстандарта от 02.12.2022 N 1442-ст)
4.3.17 Крышки люков полувагона и составные части вагона, обеспечивающие их крепление и запор, проверяют на прочность при следующих условиях:
а) при падении крышки люка на упоры при разгрузке полувагона, загруженного до максимальной расчетной статической осевой нагрузки;
б) при падении на закрытую крышку при погрузке вагона кускового груза общей массой 2000 кг (при массе отдельных кусков не более 100 кг) с высоты 3 м;
в) при падении в центр закрытой крышки груза массой 150 кг с высоты 3 м.
4.3.18 Кронштейны для подтягивания проверяют на прочность расчетными методами при продольной силе 100 кН, приложенной к середине кронштейна.
4.3.19 Устройства крепления грузов в полувагонах (если применяются) проверяют на прочность расчетными методами:
- увязочные и лесные скобы и кольца внутри кузова, расположенные в верхней и средней частях стен, - при приложенной силе 30 кН;
- увязочные и лесные скобы и кольца внутри кузова, расположенные в нижней части стен, - при приложенной силе 150 кН;
- увязочные скобы и кольца снаружи кузова, расположенные в верхней части стен, - при приложенной силе 30 кН.
4.3.20 Увязочные скобы, кольца и поворотные кронштейны, расположенные внутри кузова в крытых вагонах (если применяются), проверяют на прочность расчетными методами при приложенной силе, кН:
30 .............................................. | в верхней и средней части стен; |
50 .............................................. | в нижней части стен; |
80 .............................................. | на уровне пола. |
4.3.21 Устройства крепления грузов в вагонах-платформах (если применяются) проверяют на прочность расчетными методами при приложенной силе, кН:
30 .............................................. | увязочные скобы и кольца на боковых балках; |
100 ............................................ | анкеры в полу; |
150 ............................................ | лесные скобы. |
Рекомендуется определять силы, действующие на фитинговые упоры по
формуле (4.2) при массе контейнера, предусмотренной эксплуатационной документацией и международным
соглашением [3].
4.3.22 Вагоны, оборудованные буферами, проверяют на прочность при действии:
а) продольной силы 1,00 МН, направленной внутрь вагона и приложенной к контактной поверхности каждого из четырех буферов с двух сторон вагона;
б) продольной силы 1,00 МН, направленной внутрь вагона и приложенной к контактной поверхности каждого из двух буферов с одной стороны вагона, уравновешенной продольной силой, приложенной к опорной поверхности заднего упора автосцепного устройства;
в) продольной силы 1,00 МН, направленной внутрь вагона и приложенной к контактной поверхности двух буферов, расположенных по одну сторону от автосцепки с двух сторон вагона;
г) продольной силы 0,75 МН, направленной внутрь вагона и приложенной к контактной поверхности каждого из четырех буферов с двух сторон вагона на расстоянии 50 мм ниже центральной оси буфера.
4.3.23 Составные части автосцепного устройства, а также их крепление на вагоне проверяют на прочность при действии сил, указанных в ГОСТ 33434-2015 (
подразделы 5.8 и
5.9).
(в ред.
Изменения N 1, введенного в действие Приказом Росстандарта от 02.12.2022 N 1442-ст)
--------------------------------
<1> Сноска исключена с 01.02.2023. -
Изменение N 1, введенное в действие Приказом Росстандарта от 02.12.2022 N 1442-ст.
4.3.24 Фитинговые упоры вагонов-платформ, предназначенных для перевозки контейнеров, и их крепление на раме вагона-платформы дополнительно к
4.3.21 проверяют на прочность при воздействии сил, определяемых в соответствии с
приложением Ж.
(п. 4.3.24 введен
Изменением N 1, введенным в действие Приказом Росстандарта от 02.12.2022 N 1442-ст)
4.3.25 Конструкцию вагонов-платформ, предназначенных для перевозки колесной и гусеничной техники, проверяют на прочность при действии следующих нагрузок:
- веса груза, распределенного посередине платформы на длине 3 м, массой 45 т;
- веса груза, распределенного посередине боковых балок на длине 4,3 м, массой 60 т.
(п. 4.3.25 введен
Изменением N 1, введенным в действие Приказом Росстандарта от 02.12.2022 N 1442-ст)
4.4 Прочность несущей конструкции тележки определяют при действии сил, указанных в
таблице 3 для случая установки в вагоне двух тележек (для четырехосного вагона).
Таблица 3
Силы, действующие на тележку, для определения прочности
ее несущей конструкции
Силы | Значение силы в режиме I |
| | |
Продольные: | | | |
- сила инерции | | - | |
(в ред. Изменения N 1, введенного в действие Приказом Росстандарта от 02.12.2022 N 1442-ст) |
- сила при торможении | - | - | |
- сила от действия горочного вагонного замедлителя | - | | - |
Вертикальные: | | | |
- сила тяжести | | | |
- составляющая силы инерции | | - | |
Боковые | - | - | |
Примечание - Режиму I а соответствует сочетание сил, действующих на тележку при соударении вагона при роспуске с сортировочной горки, режиму I б - при проходе вагонного замедлителя при роспуске вагона с сортировочной горки, режиму I в - при торможении состава, двигающегося в кривом участке пути. |
Действующие на несущую конструкцию тележки вертикальные и боковые силы должны быть уравновешены реакциями в опорах тележки на подшипниковые узлы колесных пар, зависящими от конструктивного устройства опор.
Силы, действующие на составные части тележки, определяют из условия статического равновесия с учетом устройства их соединения. Пример расчета сил, действующих на боковую раму тележки, приведен в
приложении А.
Прочность пружин рессорного подвешивания определяют при действии сил, соответствующих режимам Iа и Iв
таблицы 3. Если пружины за счет конструктивных особенностей рессорного подвешивания не участвуют в передаче продольных сил, расчет проводят только под действием вертикальных и боковых сил. Расчет пружин рессорного подвешивания на прочность приведен в
приложении Е.
(абзац введен
Изменением N 1, введенным в действие Приказом Росстандарта от 02.12.2022 N 1442-ст)
4.4.1 Продольную силу инерции тележки определяют по
4.1.2 при продольной силе, действующей на вагон, по
4.1.1 а.
Продольная сила инерции тележки приложена к упорной поверхности подпятника и уравновешена продольными силами инерции по
4.1.2 масс составных частей тележки, приложенными в их центре масс. Допускается учитывать продольную силу инерции массы составной части тележки приложением распределенного по ее объему ускорения.
4.4.2 Силу тяжести кузова вагона, опирающегося на тележку, определяют по
4.1.3. Сила тяжести приложена к опорной поверхности подпятника тележки и рабочей поверхности бокового скользуна при использовании боковых скользунов постоянного контакта.
4.4.3 Вертикальную составляющую силы инерции, действующую на тележку, определяют по
формуле (4.3) для кузова вагона с максимальной расчетной массой с учетом высоты центра масс кузова вагона над центрами осей колесных пар равной 2,0 м и базы вагона равной 7,8 м. При этом в
формуле (4.2) учитывают продольную силу, действующую на вагон, по
4.1.1 а. Вертикальная составляющая силы инерции приложена к опорной поверхности подпятника тележки.
4.4.4 Продольную силу, действующую на тележку от горочного вагонного замедлителя, принимают равной 240 кН. Продольная сила приложена к упорной поверхности подпятника и уравновешена реакциями в ограничителях продольных перемещений одной колесной пары с одной стороны проема для их установки (наружной или внутренней).
Примечание - Сила соответствует действию горочного вагонного замедлителя на одну колесную пару тележки.
4.4.5 Боковую силу, действующую на тележку, определяют по
формуле (4.4) для базы вагона 7,8 м, расстояния между задними упорами автосцепных устройств 8,77 м, длины вагона по осям сцепления 12,02 м. Боковая сила приложена к упорной поверхности подпятника.
(в ред.
Изменения N 1, введенного в действие Приказом Росстандарта от 02.12.2022 N 1442-ст)
При расчете несущих элементов тележки на прочность боковая сила PN принимается равной боковой силе H, действующей на пятник.
(абзац введен
Изменением N 1, введенным в действие Приказом Росстандарта от 02.12.2022 N 1442-ст)
4.4.6 Исключен с 01.02.2023. -
Изменение N 1, введенное в действие Приказом Росстандарта от 02.12.2022 N 1442-ст.
4.4.7 Продольную силу, действующую при торможении на ограничители продольных перемещений колесной пары в проеме для их установки, принимают равной действительной силе нажатия тормозных колодок и определяют по
4.5.3. Продольные силы, действующие на тележку при торможении, самоуравновешенные.
Дополнительно должны быть учтены силы реакции, возникающие в кронштейнах подвеса тормозной рычажной передачи тележки.
4.5 Составные части несущей конструкции тележки дополнительно проверяют на прочность при действии сил, указанных в
4.5.1 -
4.5.3.
4.5.1 Площадку или прилив для размещения бокового скользуна на надрессорной балке тележки, несущие составные части бокового скользуна проверяют на прочность при действии вертикальной силы 370 кН и соответствующей продольной силы трения.
4.5.2 Составные части несущей конструкции тележки, на которых закреплено подвесное оборудование, проверяют расчетными методами на прочность при действии сил по
4.3.16 для минимальной расчетной массы вагона.
(в ред.
Изменения N 1, введенного в действие Приказом Росстандарта от 02.12.2022 N 1442-ст)
Для необрессоренных составных частей несущей конструкции тележки, на которых закреплено подвесное оборудование, дополнительно учитывают боковую силу инерции подвесного оборудования при ускорении 19,62 м/с2.
Силы прикладывают к центру масс подвесного оборудования. Передачу сил от подвесного оборудования на несущую конструкцию тележки определяют с учетом устройства их соединения.
4.5.3 Составные части тележки, тормозную рычажную передачу и кронштейны ее крепления, воспринимающие действие сил в тормозной системе вагона, проверяют расчетными методами на прочность при действии максимальной силы на штоке поршня тормозного цилиндра, определяемой без учета жесткости отпускной пружины и без учета потерь (при коэффициенте полезного действия равном единице), а кронштейны, рычаги и тяги стояночного тормоза - при действии момента силы (M = 100 Н·м), прикладываемого к штурвалу стояночного тормоза.
(в ред.
Изменения N 1, введенного в действие Приказом Росстандарта от 02.12.2022 N 1442-ст)
4.6 Сопротивление усталости несущей конструкции кузова вагона определяют при действии сил по
4.6.1,
4.6.2.
При определении сопротивления усталости расчетными методами учитывают симметричность несущей конструкции кузова вагона и указанные в эксплуатационной документации схемы размещения груза. При определении сопротивления усталости методами испытаний допускается уменьшать количество схем размещения груза при испытаниях на основании определения сопротивления усталости расчетными методами.
Для предварительной оценки сопротивления усталости несущей конструкции вагона рекомендуется применять расчетный режим, описанный в
приложении Д, а также проводить проверку отсутствия резонанса по результатам расчетного определения собственных частот колебаний несущей конструкции кузова в сравнении с характерными частотами колебаний на рессорном подвешивании.
4.6.1 Распределение продольных сил, действующих на несущую конструкцию кузова вагона через автосцепные устройства, приведено в
таблице 4; для вагона с максимальной расчетной статической осевой нагрузкой не более 245 кН, не подлежащего роспуску с сортировочных горок или оборудованного поглощающими аппаратами классов Т2 и Т3 по ГОСТ 32913-2014
(пункт 4.3), - в
таблице 5. При приложении сил через автосцепные устройства дополнительно учитывают действие вертикальной силы, приложенной к соответствующим упорам автосцепного устройства, определяемой по
формуле (4.1) для
e = 0,08 м.
(в ред.
Изменения N 1, введенного в действие Приказом Росстандарта от 02.12.2022 N 1442-ст)
--------------------------------
<1> Сноска исключена с 01.02.2023. -
Изменение N 1, введенное в действие Приказом Росстандарта от 02.12.2022 N 1442-ст.
Таблица 4
Распределение продольных сил, действующих на несущую
конструкцию кузова вагона через автосцепные устройства,
для определения сопротивления усталости
Среднее значение размаха силы в интервале, МН | Число приложений размаха силы за 1 год |
растягивающей | сжимающей |
0,3 | 2650 | 800 |
(в ред. Изменения N 1, введенного в действие Приказом Росстандарта от 02.12.2022 N 1442-ст) |
0,6 | 5700 | 2000 |
1,0 | 5120 | 2230 |
1,4 | 3050 | 1410 |
1,8 | 800 | 800 |
2,2 | 180 | 200 |
2,6 | 0 | 50 |
3,0 | 0 | 9 |
3,35 | 0 | 1 |
Общее число приложений силы | 17 500 | 7500 |
Примечание - К динамическим ударным силам относят 80% числа приложений сжимающих сил с размахом в каждом из диапазонов от 0,3 до 1,8 МН и 100% числа приложений сжимающих сил в диапазоне 2,2 МН и более. |
(примечание введено Изменением N 1, введенным в действие Приказом Росстандарта от 02.12.2022 N 1442-ст) |
(в ред.
Изменения N 1, введенного в действие Приказом Росстандарта от 02.12.2022 N 1442-ст)
Таблица 5
Распределение продольных сил, действующих на несущую
конструкцию кузова вагона через автосцепные устройства,
для определения сопротивления усталости для вагона
с максимальной расчетной статической осевой нагрузкой
не более 245 кН, не подлежащего роспуску с сортировочных
горок или оборудованного поглощающими аппаратами
классов Т2 и Т3
Среднее значение размаха силы в интервале, МН | Число приложений размаха силы за 1 год |
растягивающей | сжимающей |
0,2 | 2650 | 800 |
0,4 | 5700 | 2000 |
0,7 | 5120 | 2230 |
1,0 | 3050 | 1410 |
1,3 | 800 | 800 |
1,6 | 180 | 200 |
1,9 | 0 | 50 |
2,1 | 0 | 9 |
2,4 | 0 | 1 |
Общее число приложений силы | 17 500 | 7500 |
Примечание - К динамическим ударным силам относят 80% числа приложений сжимающих сил с размахом в каждом из диапазонов от 0,2 до 1,9 МН и 100% числа приложений сжимающих сил в диапазоне 2,1 МН и более. |
(примечание введено Изменением N 1, введенным в действие Приказом Росстандарта от 02.12.2022 N 1442-ст) |
(в ред.
Изменения N 1, введенного в действие Приказом Росстандарта от 02.12.2022 N 1442-ст)
Устанавливают следующие схемы приложения продольных сил к кузову вагона:
а) сжимающая сила, направленная внутрь вагона, приложена к опорной поверхности заднего упора автосцепного устройства с одной стороны вагона и уравновешена продольными силами инерции по
4.1.2 масс кузова вагона, тележек, автосцепных устройств и груза.
Одновременно с продольной силой, действующей на несущую конструкцию кузова вагона через автосцепные устройства, на кузов вагона действует вертикальная составляющая силы инерции по
4.1.4;
б) растягивающая сила, направленная наружу вагона, приложена к опорной поверхности переднего упора автосцепного устройства с одной стороны вагона и уравновешена продольными силами инерции по
4.1.2 масс кузова вагона, тележек, автосцепных устройств и груза.
Одновременно с продольной силой, действующей на несущую конструкцию кузова вагона через автосцепные устройства, на кузов вагона действует вертикальная составляющая силы инерции по
4.1.4;
в) силы, направленные внутрь вагона, приложены к опорным поверхностям задних упоров автосцепного устройства с двух сторон вагона;
г) силы, направленные наружу вагона, приложены к опорным поверхностям передних упоров автосцепного устройства с двух сторон вагона.
4.6.2 Динамические силы (динамические напряжения), действующие на несущую конструкцию кузова вагона при движении, и частоту их изменения определяют по
5.1 с учетом распределения скоростей движения, приведенного в
таблице 6.
Таблица 6
Распределение скоростей движения для определения
сопротивления усталости
Интервал скорости движения, м/с | Средняя скорость интервала, м/с | Доля времени на эксплуатацию в диапазоне скоростей для вагона с конструкционной скоростью, м/с (км/ч) |
44,4 (160) | 38,9 (140) | 33,3 (120) | 27,8 (100) | 25,0 (90) |
От 0,00 до 12,5 | 6,25 | 0,02 | 0,02 | 0,03 | 0,05 | 0,15 |
Св. 12,5 до 15,0 | 13,75 | 0,05 | 0,06 | 0,07 | 0,12 | 0,30 |
Св. 15,0 до 17,5 | 16,25 | 0,07 | 0,07 | 0,10 | 0,30 | 0,35 |
Св. 17,5 до 20,0 | 18,75 | 0,09 | 0,10 | 0,18 | 0,20 | 0,13 |
Св. 20,0 до 22,5 | 21,25 | 0,11 | 0,15 | 0,15 | 0,15 | 0,05 |
Св. 22,5 до 25,0 | 23,75 | 0,13 | 0,15 | 0,15 | 0,10 | 0,02 |
Св. 25,0 до 27,5 | 26,25 | 0,15 | 0,15 | 0,15 | 0,06 | - |
Св. 27,5 до 30,0 | 28,75 | 0,13 | 0,10 | 0,09 | 0,02 | - |
Св. 30,0 до 32,5 | 31,25 | 0,09 | 0,08 | 0,06 | - | - |
Св. 32,5 до 35,0 | 33,75 | 0,06 | 0,05 | 0,02 | - | - |
Св. 35,0 до 37,5 | 36,25 | 0,04 | 0,05 | - | - | - |
Св. 37,5 до 40,0 | 38,75 | 0,03 | 0,02 | - | - | - |
Св. 40,0 до 42,5 | 41,25 | 0,02 | - | - | - | - |
Св. 42,5 до 45,0 | 43,75 | 0,01 | - | - | - | - |
Св. 45,0 до 47,5 | 46,25 | - | - | - | - | - |
Св. 47,5 до 50,0 | 48,75 | - | - | - | - | - |
Св. 50,0 до 52,5 | 51,25 | - | - | - | - | - |
Св. 52,5 до 55,0 | 53,75 | - | - | - | - | - |
(в ред.
Изменения N 1, введенного в действие Приказом Росстандарта от 02.12.2022 N 1442-ст)
Допускается при использовании расчетных методов определять динамическую силу (динамические напряжения), действующие на несущую конструкцию кузова вагона при движении, умножением силы тяжести по
4.1.3 и давления силы тяжести груза по
4.1.6 при перевозке насыпных, скатывающихся и жидких грузов (или напряжения от их действия) на среднее вероятное значение коэффициента динамической добавки

, вычисляемое по формуле

(4.12)
где коэффициенты принимают:
A = 0,05, B = 3,6·10-4 м/(м/с), V0 = 15 м/с;
V - средняя скорость интервала движения вагона по
таблице 6, м/с;
b - коэффициент, учитывающий влияние числа осей n в тележке или группе тележек под одним концом вагона: b = (n + 2)/(2n);
f1 - расчетный статический прогиб рессорного подвешивания вагона с максимальной расчетной массой (при неравномерном распределении силы тяжести кузова вагона по тележкам принимают минимальное значение расчетного статического прогиба), м;
f2 - наибольший статический прогиб несущей конструкции вагона под действием силы тяжести груза, м.
Допускается при использовании расчетных методов определять частоту изменения fэ, Гц, коэффициента динамической добавки по формуле

, (4.13)
где a - коэффициент, равный 1,4 для кузова вагона;
g - ускорение свободного падения равное 9,81 м/с2;
4.7 Сопротивление усталости несущей конструкции тележки определяют при действии сил по
4.7.1,
4.7.2 для случая установки в вагоне двух тележек (для четырехосного вагона).
Для предварительной оценки сопротивления усталости несущей конструкции тележки рекомендуется применять расчетный режим, описанный в
приложении Д, а также проводить проверку отсутствия резонанса по результатам расчетного определения собственных частот колебаний несущей конструкции в сравнении с характерными частотами колебаний на рессорном подвешивании.
Циклическую долговечность пружин рессорного подвешивания подтверждают испытаниями на циклическую долговечность в соответствии с
ГОСТ 32208.
(абзац введен
Изменением N 1, введенным в действие Приказом Росстандарта от 02.12.2022 N 1442-ст)
4.7.1 Вертикальную составляющую силы инерции, действующую на тележку, определяют по
формуле (4.3) для кузова вагона с максимальной расчетной массой с учетом высоты центра масс кузова вагона над центрами осей колесных пар равной 2,0 м и базы вагона равной 7,8 м. При этом в
формуле (4.2) учитывают продольную силу, действующую на вагон, по
таблице 4. Вертикальная составляющая силы инерции приложена к опорной поверхности подпятника тележки.
Одновременно с вертикальной составляющей силы инерции действует продольная сила инерции тележки по
4.1.2 при продольной силе, действующей на вагон, по
таблице 4. Продольная сила инерции тележки приложена к упорной поверхности подпятника и уравновешена продольными силами инерции по
4.1.2 масс составных частей тележки, приложенными в их центре масс. Допускается учитывать продольную силу инерции массы составной части тележки приложением распределенного по ее объему ускорения.
4.7.2 Динамические силы (динамические напряжения), действующие на тележку при движении вагона, и их частоты определяют по
5.1 с учетом распределения скоростей движения, приведенного в
таблице 6, и с учетом наибольших износов деталей в рессорном подвешивании, допустимых эксплуатационными документами на тележку.
К динамическим силам, действующим на составные части тележки, относят:
- вертикальную динамическую силу, действующую на обрессоренные составные части несущей конструкции тележки;
- вертикальную динамическую силу, действующую на необрессоренные составные части несущей конструкции тележки;
- самоуравновешенные силы, возникающие в рессорном подвешивании при действии вертикальной динамической силы на обрессоренные составные части;
- рамные силы.
Допускается при использовании расчетных методов определять вертикальную динамическую силу, действующую на обрессоренные составные части несущей конструкции тележки при движении вагона, умножением половины силы тяжести кузова вагона с максимальной расчетной массой на коэффициент динамической добавки, определяемый по
формуле (4.12) при
f2 = 0 и коэффициенте
A = 0,10. Частоту вертикальной динамической силы, действующей на тележку при движении вагона, определяют по
формуле (4.13) при
f2 = 0 и коэффициенте
a = 1,7.
Допускается при использовании расчетных методов определять вертикальную динамическую силу, действующую на необрессоренные составные части несущей конструкции тележки при движении вагона, умножением силы тяжести опирающихся на них составных частей тележки и вагона с максимальной расчетной массой на коэффициент динамической добавки, определяемый по
формуле (4.12) при
f2 = 0 и коэффициенте
A = 0,15. Частоту вертикальной динамической силы, действующей на тележку при движении вагона, определяют по
формуле (4.13) при
f2 = 0 и коэффициенте
a = 2,0.
Допускается при использовании расчетных методов определять среднее вероятное значение рамной силы

, Н, по формуле

, (4.14)
Приказом Росстандарта от 02.12.2022 N 1442-ст)
где P0 - максимальная расчетная статическая осевая нагрузка, Н;

- коэффициент, принимают

;
V - средняя скорость интервала движения вагона по
таблице 6, м/с;
V1 - начальное значение скорости движения, принимают V1 = 5 м/с;
b - коэффициент, учитывающий влияние числа осей
n в тележке по
4.6.2.
(введено
Изменением N 1, введенным в действие Приказом Росстандарта от 02.12.2022 N 1442-ст)
Частоту рамной силы определяют по
формуле (4.13) при
f2 = 0 и коэффициенте
a = 2,0.
5 Режимы для определения показателей динамических качеств, динамических сил и устойчивости к выжиманию и опрокидыванию при движении
5.1 Показатели динамических качеств вагона и динамические силы (динамические напряжения), действующие на несущую конструкцию кузова вагона и тележки, определяют в соответствии с
5.1.1 -
5.1.8.
При определении показателей динамических качеств расчетными методами учитывают симметричность вагона и указанные в эксплуатационной документации схемы размещения груза. При определении показателей динамических качеств методами испытаний допускается уменьшать количество схем размещения груза при испытаниях на основании определения показателей динамических качеств расчетными методами.
5.1.1 На участках пути со следующими характеристиками:
а) прямой участок пути протяженностью не менее 1000 м;
б) участок пути, состоящий из прямой, переходной кривой и круговой кривой проектного (среднего) радиуса в диапазоне от 300 до 400 м включительно;
в) участок пути, состоящий из прямой, переходной кривой и круговой кривой проектного (среднего) радиуса в диапазоне от 600 до 800 м включительно;
г) участок пути, включающий в себя стрелочный перевод на боковой путь с рельсами типа Р65 согласно требованиям национальных стандартов
<1> государств, приведенных в
предисловии, с крестовиной марки 1/11 или 1/9 согласно нормативным документам
<2> государств, приведенных в
предисловии.
Кривые должны иметь протяженность участка постоянного радиуса не менее 200 м. Возвышение наружного рельса хотя бы в одной из кривых должно обеспечивать движение вагона с конструкционной скоростью и непогашенным ускорением 0,7 м/с2.
Устройство переходных кривых должно соответствовать нормативным документам
<2> государств, приведенных в
предисловии.
--------------------------------
<1> В Российской Федерации применяют
ГОСТ Р 51685-2013 "Рельсы железнодорожные. Общие технические условия".
(в ред.
Изменения N 1, введенного в действие Приказом Росстандарта от 02.12.2022 N 1442-ст)
<2> В Российской Федерации применяют
Правила технической эксплуатации железных дорог Российской Федерации, утвержденные Приказом Минтранса России от 23 июня 2022 г. N 250.
(в ред.
Изменения N 1, введенного в действие Приказом Росстандарта от 02.12.2022 N 1442-ст)
5.1.2 На прямом участке пути (см.
5.1.1 а) показатели динамических качеств определяют со скоростями движения от 20 км/ч до скорости, соответствующей конструкционной скорости вагона с шагом от 10 до 20 км/ч. При проведении расчетов рекомендуется рассматривать превышение конструкционной скорости в 1,1 раза.
При движении по кривым по
5.1.1 б и
5.1.1 в показатели динамических качеств определяют со скоростями движения от 10 км/ч до скорости, соответствующей непогашенному ускорению 0,7 м/с
2, с шагом от 10 до 20 км/ч.
При движении по стрелочному переводу на боковой путь по
5.1.1 г показатели динамических качеств определяют со скоростями движения от 10 до 40 км/ч, с шагом не более 10 км/ч.
5.1.3 На участках пути должны быть уложены рельсы типа Р65 согласно требованиям национальных стандартов
<1> государств, приведенных в
предисловии.
(в ред.
Изменения N 1, введенного в действие Приказом Росстандарта от 02.12.2022 N 1442-ст)
--------------------------------
<3> Исключено с 01.02.2023. -
Изменение N 1, введенное в действие Приказом Росстандарта от 02.12.2022 N 1442-ст.
Таблица 7
Характеристики неровностей рельсов для определения
показателей динамических качеств
В миллиметрах
Конструкционная скорость вагона, км/ч | Отступление, не более |
| по уровню | по перекосу | по просадке | Разность смежных стрел <2> |
до 20 м вкл. | Более 20 м - до 40 м вкл. |
От 90 до 140 включ. | 6/14 | 16 | 12 | 15 | 15 | 25 |
<1> В числителе для сужения колеи, в знаменателе - для уширения колеи. <2> Измеренных от середины хорды длиной 20 м при длине неровности пути. |
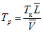
5.1.5 Показатели динамических качеств определяют расчетным методом для одиночного вагона. При определении показателей динамических качеств по результатам испытаний вагон включают в состав опытного поезда массой не более 1 тыс. т.
Динамические силы (динамические напряжения), действующие в несущей конструкции вагона и тележки, определяют для одиночного вагона. При этом должны быть учтены динамические силы (динамические напряжения) от действия продольных сил по
4.6.1.
Допускается определять динамические силы (динамические напряжения), действующие в несущей конструкции вагона и тележки, в составе поезда массой не менее 4 тыс. т. При этом силы по
4.6.1 не учитывают.
5.1.6 Коэффициент трения между колесом и рельсом при определении показателей динамических качеств расчетным методом принимают равным 0,25 на поверхности катания колеса, 0,30 на гребне. Испытания проводят при существующем естественном значении коэффициента трения между колесом и рельсом.
5.1.7 Профиль поверхности катания колеса при определении показателей динамических качеств рекомендуется принимать новым и с износом по кругу катания от 1,3 до 2,0 мм.
5.1.8 Для вагонов со статическим прогибом несущей конструкции более 25 мм при определении показателей динамических качеств расчетным методом учитывают изгибные колебания несущей конструкции кузова.
5.2 Устойчивость вагона от выжимания определяют расчетными методами для минимальной расчетной массы вагона в соответствии с
5.2.1 -
5.2.4.
Силы при определении устойчивости от выжимания принимают статическими, учитывают симметричность несущей конструкции кузова вагона.
Примечание - Устойчивость вагона от выжимания проверяют для случая сочетания большой боковой силы взаимодействия набегающего колеса с рельсом и малой вертикальной силы на это колесо, возникающего при экстренном торможении при прохождении составом кривого участка пути.
5.2.1 Вагон расположен на участке круговой кривой проектного (среднего) радиуса 250 м. Рассматривают случай круговой кривой с возвышением наружного рельса 0,15 м и без возвышения наружного рельса.
Для вагонов сочлененного типа дополнительно рассматривают прямой участок пути.
5.2.2 Боковые силы вычисляют по
формуле (4.4) для продольной силы, действующей на опорные поверхности задних упоров автосцепного устройства, 500 кН. Боковые силы противоположных направлений приложены к задним опорным поверхностям упоров автосцепного устройства с двух сторон вагона.
Для вагонов сочлененного типа для случая выжимания в кривом участке пути боковые силы, действующие наружу кривой, вычисляют по
формуле (4.6). Для случая выжимания на прямом участке пути боковые силы
PN, Н, вычисляют по формуле

, (5.1)
где N - продольная сила, действующая через автосцепные устройства, Н;
lв - база секции вагона, м;
L - расстояние между задней опорной поверхностью упора автосцепного устройства и центром подпятника средней тележки, м;
a - расчетная длина корпуса автосцепки (для корпуса автосцепки по
ГОСТ 32885 принимают 1,0 м), м;

- возможное одностороннее боковое перемещение шкворневого сечения кузова вагона за счет зазоров колесной пары в рельсовой колее, зазоров между буксой (адаптером) колесной пары и проемом для колесной пары в боковой раме, зазоров между пятником и подпятником, упругих боковых деформаций рессорного подвешивания, м. Значение принимают средним вероятным в соответствии с конструкторской документацией, эксплуатационными и ремонтными документами.
Для вагонов сочлененного типа боковые силы одного направления приложены к задним опорным поверхностям упоров автосцепного устройства с двух сторон вагона.
5.2.3 К опорным поверхностям задних упоров автосцепного устройства приложены вертикальные силы, определяемые по
формуле (4.1) для разности уровней осей автосцепок 0,08 м. Рассматривают случаи действия вертикальных сил вверх и вниз.
5.2.4 Коэффициент трения между колесом и рельсом принимают равным 0,25.
5.3 Устойчивость вагона от опрокидывания определяют расчетными методами для минимальной расчетной массы вагона и предусмотренных эксплуатационными документами схем размещения груза в соответствии с
5.3.1 -
5.3.3.
Силы при определении устойчивости от опрокидывания принимают статическими, учитывают симметричность несущей конструкции кузова вагона.
Примечание - Устойчивость вагона от опрокидывания наружу кривой проверяют для случая торможения вагона с наибольшей скорости движения в кривой при действии ветровой нагрузки наружу кривой. Устойчивость вагона от опрокидывания внутрь кривой проверяют для случая движения вагона с малой скоростью в режиме тяги поезда при действии ветровой нагрузки внутрь кривой.
5.3.1 При опрокидывании наружу кривой рассматривают следующие условия движения:
а) вагон расположен на участке круговой кривой среднего радиуса 650 м;
б) на вагон наружу кривой действует непогашенное ускорение 0,7 м/с
2;
в) боковые силы вычисляют по
формуле (4.5) для продольной силы, действующей на опорные поверхности задних упоров автосцепного устройства, равной 0,5 МН для минимальной расчетной массы вагона, 1,0 МН для максимальной расчетной статической осевой нагрузки вагона. Промежуточные значения продольной силы определяют линейной интерполяцией. Боковые силы приложены к задним опорным поверхностям упоров автосцепного устройства с двух сторон вагона и действуют перпендикулярно продольной оси вагона наружу кривой.
Для вагонов сочлененного типа боковые силы, действующие наружу кривой, вычисляют по
формуле (4.6);
г) к опорным поверхностям задних упоров автосцепного устройства приложены вертикальные силы, определяемые по
формуле (4.1) для разности уровней осей автосцепок 0,08 м. Рассматривают случаи действия вертикальных сил вверх и вниз;
д) удельное давление ветра, действующее наружу кривой, принимают равным 360 Па.
Допускается уменьшение нормативного давления ветра для вагонов обтекаемой формы умножением нормативного давления на аэродинамический коэффициент, определяемый по результатам расчета или испытаний на основе результатов продувок моделей вагонов в аэродинамических трубах. Для котлов вагонов-цистерн допускается уменьшение нормативного давления ветра на 10%.
5.3.2 При опрокидывании внутрь кривой рассматривают следующие условия движения:
а) вагон расположен на участке круговой кривой среднего радиуса 300 м;
б) на вагон внутрь кривой действует непогашенное ускорение 0,9 м/с
2;
в) боковые силы вычисляют по
формуле (4.5) для продольной силы, действующей на опорные поверхности передних упоров автосцепного устройства, равной 0,7 МН для минимальной расчетной массы вагона, 1,4 МН для максимальной расчетной статической осевой нагрузки вагона. Промежуточные значения продольной силы определяют линейной интерполяцией. Боковые силы приложены к передним опорным поверхностям упоров автосцепного устройства с двух сторон вагона и действуют перпендикулярно продольной оси вагона внутрь кривой.
Для вагонов сочлененного типа боковые силы, действующие внутрь кривой, вычисляют по
формуле (4.6);
г) к опорным поверхностям передних упоров автосцепного устройства приложены вертикальные силы, определяемые по
формуле (4.1) для разности уровней осей автосцепок 0,08 м. Рассматривают случаи действия вертикальных сил вверх и вниз;
д) удельное давление ветра, действующее внутрь кривой, принимают равным 360 Па.
Допускается уменьшение нормативного давления ветра для вагонов обтекаемой формы умножением нормативного давления на аэродинамический коэффициент, определяемый по результатам расчета или испытаний на основе результатов продувок моделей вагонов в аэродинамических трубах. Для котлов вагонов-цистерн допускается уменьшение нормативного давления ветра на 10%.
5.3.3 При определении динамической вертикальной силы давления колеса на рельс учитывают:
Боковые перемещения определяют с учетом наибольших зазоров между составными частями вагона, допустимыми конструкторской документацией и эксплуатационными документами.
6 Требования к прочности, устойчивости сжатых конструкций и сопротивлению усталости
6.1 Прочность несущих конструкций оценивают в соответствии с
6.1.1 -
6.1.6, прочность пружин рессорного подвешивания - по
6.1.7.
(в ред.
Изменения N 1, введенного в действие Приказом Росстандарта от 02.12.2022 N 1442-ст)
6.1.1 При оценке прочности определяют общие и местные напряжения в сварных и литых составных частях несущих конструкций.
В сварных конструкциях местные напряжения определяют на расстоянии от 1,0t до 1,5t от границы сварного шва, где t - толщина листа.
В литых конструкциях местные напряжения определяют на расстоянии от 1,0t до 1,5t от локальных концентраторов напряжений (канавок, выступов) с характерным размером менее t, где t - толщина стенки.
Местные напряжения, полученные расчетными методами в зонах влияния сосредоточенных нагрузок, не оценивают.
6.1.2 Для общих и местных напряжений определяют эквивалентное напряжение

, Па, по формуле

, (6.1)
где

,

,

- значения главных компонент поля напряжения, Па.
Допускается для материалов, прочность которых не оценивают по величине предела текучести или условного предела текучести, применять для определения эквивалентных напряжений специальные критерии.
Примечание - Специальные критерии применяют, например, для керамики, полимеров, композиционных материалов.
6.1.3 Для обеспечения прочности несущей конструкции напряжения не должны превышать допускаемого, определяемого по формулам:

, (6.2)

, (6.3)

, (6.4)

- напряжения среза (если выполнен дополнительный расчет на срез), Па;

- напряжения смятия (если выполнен дополнительный расчет на смятие), Па;
Rв - предел текучести материала или условный предел текучести материала, Па, при относительном остаточном удлинении 0,2% или при относительном остаточном удлинении 1% для аустенитных сталей;

,

,

- понижающие коэффициенты, определяемые по
таблице 8.
Допускаемые напряжения для сосудов и аппаратов из цветных металлов должны соответствовать ГОСТ 26158-84 (раздел 5).
(абзац введен
Изменением N 1, введенным в действие Приказом Росстандарта от 02.12.2022 N 1442-ст)
Примечание - Понижающие коэффициенты для болтов даны с учетом предварительной затяжки.
При определении прочности методом испытаний дополнительно визуально определяют отсутствие остаточных деформаций и повреждений несущей конструкции.
Таблица 8
Понижающие коэффициенты для оценки прочности
составных частей несущих конструкций вагона
Составная часть несущей конструкции | Понижающий коэффициент |
| | |
1 Хребтовая балка кузова (несущие боковые балки кузова), шкворневая балка, котлы <3> и опоры котлов вагонов-цистерн <4> | | | |
- прокат, штамповки, поковки | 0,90 | 0,55 | 1,20 |
- литые детали | 0,85 | 0,50 | 1,00 |
- металл сварного шва | 0,85 | 0,50 | - |
| 0,60 | | 1,20 |
2 Составные части кузова (за исключением перечисленных в показателе 1 таблицы 8) <4>, а также составные части тормозной рычажной передачи и кронштейнов ее крепления при действии момента силы, прикладываемого к штурвалу стояночного тормоза по 4.3.15 и 4.5.3 | | | |
(в ред. Изменения N 1, введенного в действие Приказом Росстандарта от 02.12.2022 N 1442-ст) |
- прокат, штамповки, поковки | 0,95 | 0,60 | 1,30 |
- литые детали | 0,90 | 0,55 | 1,20 |
- металл сварного шва | 0,90 | 0,60 | - |
| 0,65 | | 1,30 |
3 Составные части тележки <4> | | | |
- прокат, штамповки, поковки | 0,90 | 0,55 | 1,10 |
- литые детали | 0,85 | 0,50 | 1,00 |
- металл сварного шва | 0,80 | 0,50 | - |
| 0,55 | | 1,10 |
4 Составные части тормозной рычажной передачи и кронштейнов ее крепления <4> | | | |
- прокат, штамповки, поковки | 0,60 | 0,35 | 0,70 |
- литые детали | 0,55 | 0,30 | 0,70 |
- металл сварного шва | 0,50 | 0,35 | - |
| 0,50 | | 1,00 |
<1> Применяют для болтов повышенной точности. <2> Допускается в режимах Iа и Iб по 4.1 для составных частей кузова ( показатели 1 и 2 таблицы 8) принимать  для листового, фасонного, сортового проката, штамповок и поковок, литых деталей. Для металла сварного шва и болтов коэффициенты  ,  ,  допускается увеличивать на 10%. |
(в ред. Изменения N 1, введенного в действие Приказом Росстандарта от 02.12.2022 N 1442-ст) |
<3> Для котла вагона-цистерны, в котором продольные силы, действующие через автосцепные устройства, передаются через котел, коэффициенты  ,  ,  уменьшают на 5%. <4> Для составных частей вагонов, работающих при повышенных температурах, коэффициенты  ,  ,  умножают на: |
0,90 ................................. | для температуры от 51 °C до 100 °C включ.; |
0,85 ................................. | для температуры свыше 100 °C до 150 °C включ.; |
0,80 ................................. | для температуры свыше 150 °C до 200 °C включ.; |
0,75 ................................. | для температуры свыше 200 °C до 250 °C включ.; |
0,70 ................................. | для температуры свыше 250 °C до 300 °C включ. |
<5> При нахлесточном одностороннем соединении деталей, а также при соединении двух деталей через промежуточную деталь, коэффициенты  ,  ,  умножают на 0,90. Примечание - Напряжения, возникающие в конструкциях несущих элементов кузова, выполненных из сталей с соотношением предела текучести материала к пределу прочности менее 0,8, при испытаниях на соударение, проводимых согласно ГОСТ 33788-2016 (подраздел 8.2), не должны превышать величины допускаемых напряжений, равных 0,8 от предела прочности. |
(примечание введено Изменением N 1, введенным в действие Приказом Росстандарта от 02.12.2022 N 1442-ст) |
6.1.4 Для обеспечения прочности заклепочных соединений при применении расчетных методов проверки напряжения не должны превышать допускаемых, определяемых по формулам:

, (6.5)

, (6.6)
где

- напряжение среза (если выполнен расчет на срез), Па;

- напряжение смятия (если выполнен расчет на смятие), Па;

- временное сопротивление срезу заклепок, Па;

,

- понижающие коэффициенты, определяемые по
таблице 9.
При определении прочности методом испытаний визуально определяют отсутствие остаточных деформаций и повреждений заклепочных соединений.
Таблица 9
Понижающие коэффициенты для оценки прочности заклепочных
соединений в составных частях несущих конструкций вагона
Составная часть несущей конструкции | Понижающий коэффициент |
| |
1 Хребтовая балка кузова (несущие боковые балки кузова), шкворневая балка, котлы и опоры котлов вагонов-цистерн | 0,45 | 1,00 |
2 Составные части кузова (за исключением перечисленных в показателе 1 таблицы 9) и автосцепного устройства | 0,50 | 1,10 |
3 Составные части тележки | 0,40 | 0,95 |
4 Составные части тормозной рычажной передачи и кронштейнов ее крепления | 0,35 | 0,75 |
6.1.5 Прочность котлов вагонов-цистерн оценивают:
- при действии сил по
4.1 - в соответствии с понижающими коэффициентами, приведенными в
таблицах 8 и
9;
(в ред.
Изменения N 1, введенного в действие Приказом Росстандарта от 02.12.2022 N 1442-ст)
Для сосудов и аппаратов из цветных металлов допускаемые напряжения принимают в соответствии с
6.1.3 в части требований к изделиям данного типа.
(абзац введен
Изменением N 1, введенным в действие Приказом Росстандарта от 02.12.2022 N 1442-ст)
6.1.6 Для обеспечения прочности составных частей автосцепного устройства, а также их крепления на вагоне при действии сил по
4.3.23:
- для маятниковой подвески и центрирующей балочки напряжения по
6.1.2 не должны превышать предел прочности материала;
(в ред.
Изменения N 1, введенного в действие Приказом Росстандарта от 02.12.2022 N 1442-ст)
- для остальных составных частей автосцепного устройства напряжения по
6.1.2 не должны превышать 0,9
Rв, где
Rв - предел текучести материала или условный предел текучести материала при относительном остаточном удлинении 0,2% или при относительном остаточном удлинении 1% для аустенитных сталей.
6.1.7 Интенсивность касательных напряжений

, Па, возникающих в сечении витков пружин в режимах Iа и Iв
таблицы 3, определяют по формуле

, (6.6а)
где

- эквивалентные напряжения, Па, определяют по формуле
(6.1);

- допускаемые касательные напряжения, Па.
Примечание - При расчете пружин методом конечных элементов (МКЭ) интенсивность касательных напряжений может быть получена непосредственно в программном комплексе.
Для обеспечения прочности пружин интенсивность касательных напряжений, возникающих в сечении витков пружин в режимах Iа и Iв
таблицы 3, не должна превышать допускаемых касательных напряжений

, Па, определяемых по формуле

, (6.6б)
где Rв - предел текучести или условный предел текучести материала пружин при относительном остаточном удлинении 0,2%, Па.
При наличии результатов испытаний по определению механических характеристик материала пружин при кручении по
ГОСТ 3565 и положительных результатов статических испытаний пружин на сжатие по ГОСТ 1452-2011
(пункт 6.6) (отсутствие остаточной деформации) допускается принимать

, (6.6в)
где

- предел текучести материала пружин при кручении, определенный в результате испытаний по
ГОСТ 3565.
(п. 6.1.7 введен
Изменением N 1, введенным в действие Приказом Росстандарта от 02.12.2022 N 1442-ст)
6.2 Устойчивость сжатых конструкций оценивают расчетными методами в соответствии с
6.2.1,
6.2.2.
6.2.1 При расчете устойчивости рам вагонов необходимо учитывать начальные прогибы от действия силы тяжести.
6.2.2 Собственные значения (масштабные множители приложенных нагрузок), полученные в результате расчета на устойчивость, должны составить, не менее:
1,1 ............................................ | |
1,5 ............................................ | для котла вагона-цистерны при расчете по 4.3.2; |
1,1 ............................................ | для крыши вагона при расчете по 4.3.12; |
2,0 ............................................ | при расчете по 4.1 (режим I в) для вагона-цистерны, в котором продольные силы, действующие через автосцепные устройства, передаются через котел. |
1,1 ............................................ | для остальных элементов вагона при расчете на устойчивость при действии сжимающих сил, связанных с характерными особенностями эксплуатационных нагружений. |
(введено Изменением N 1, введенным в действие Приказом Росстандарта от 02.12.2022 N 1442-ст) |
6.3 Сопротивление усталости металлических несущих конструкций оценивают в соответствии с
6.3.1 -
6.3.8.
6.3.1 Сопротивление усталости оценивают в многоцикловой постановке, когда амплитуды действующих напряжений лежат в диапазоне не менее 10 МПа для сталей, не менее 3 МПа для алюминиевых сплавов и не более 75% от значения предела текучести (условного предела текучести) материала. Положения настоящего раздела применяют к сталям и алюминиевым сплавам, предел текучести (условный предел текучести) которых не превышает 960 МПа.
В случае, если амплитуды действующих напряжений превышают 75% от значения предела текучести (условного предела текучести) материала, оценку сопротивления усталости допускается проводить на основе совместного применения малоциклового и многоциклового подходов с учетом суммирования накопленного повреждения. При этом в случае совместного применения подходов в многоцикловой постановке должны учитываться продольные силы:
- до 1,5 МН включительно (см.
таблицу 5), если вагон оборудован поглощающими аппаратами по
ГОСТ 32913 класса Т2 и выше;
- до 1,8 МН включительно (см.
таблицу 4), если вагон оборудован поглощающими аппаратами по
ГОСТ 32913 класса Т1 и ниже.
Накопленные повреждения в малоцикловой постановке определяют в соответствии с нормативным документом
<1>, устанавливающим требования к расчетному методу определения величины накопленной эксплуатационной поврежденности стальных конструктивных элементов, подвергаемых малоцикловым усталостным воздействиям.
(введено
Изменением N 1, введенным в действие Приказом Росстандарта от 02.12.2022 N 1442-ст)
--------------------------------
<1> В Российской Федерации применяют
ГОСТ Р 57282-2016 "Расчеты и испытания на прочность. Определение поврежденности стали при малоцикловом нагружении. Общие требования.
(сноска введена
Изменением N 1, введенным в действие Приказом Росстандарта от 02.12.2022 N 1442-ст)
6.3.2 Сопротивление усталости составной части вагона оценивают по коэффициенту запаса n, определяемому по формуле

, (6.7)
где

- предел выносливости по амплитуде, Па, составной части при базовом числе циклов
N0 = 10
7;

- приведенная амплитуда динамического напряжения, Па, эквивалентная по повреждающему действию распределению амплитуд напряжений за расчетный ресурс составной части.
6.3.3 Предел выносливости по амплитуде

, Па, для сварных составных частей несущих конструкций определяют по
6.3.3.1 или
6.3.3.2.
6.3.3.1 Расчетным способом - по формуле

, (6.8)
где

- значение предела выносливости базового материала (листа, проката) при базовом числе циклов
N0 = 10
7 и односторонней доверительной вероятности 95% принимают

для стали и 23,5 МПа для алюминиевых сплавов;
(в ред.
Изменения N 1, введенного в действие Приказом Росстандарта от 02.12.2022 N 1442-ст)

- коэффициент снижения предела выносливости, определяемый для различных типов сварных соединений по
таблице 10.
Примечание - При назначении предела выносливости и коэффициентов снижения предела выносливости учтено действие остаточных напряжений и локальных концентраторов напряжений в сварных швах, наличие допустимых по
ГОСТ 33976 осевых или угловых смещений свариваемых кромок, несимметричность амплитуд напряжений (с коэффициентом асимметрии более 0).
(в ред.
Изменения N 1, введенного в действие Приказом Росстандарта от 02.12.2022 N 1442-ст)
--------------------------------
<1> Сноска исключена с 01.02.2023. -
Изменение N 1, введенное в действие Приказом Росстандарта от 02.12.2022 N 1442-ст.
Коэффициенты снижения предела выносливости
для различных сварных соединений
Приказом Росстандарта от 02.12.2022 N 1442-ст)
Эскиз составной части | (Обозначение) и описание | Коэффициент снижения предела выносливости |
St. <1> | Al. <2> |
| (111) Лист, прокатный профиль. Без острых кромок, заусенцев, зарубов | 1,00 |
(200) Стыковой сварной шов при поперечном к линии шва направлении наибольшего главного напряжения |
| (211) Двусторонний шов с полным проплавлением. Выпуклость шва удалена механической обработкой. 100% неразрушающий контроль | 1,77 | 1,78 |
| (212) Двусторонний шов с полным проплавлением. Механическая обработка поверхности до 0,1 толщины. 100% неразрушающий контроль | 2,20 | 2,22 |
| (213) Двусторонний шов с полным проплавлением. Без механической обработки поверхности. Без неразрушающего контроля | 2,48 | 2,50 |
| (214) Односторонний шов с полным проплавлением. На временной подкладке. Подкладка удалена. Визуальный контроль основания шва | 2,48 | 2,86 |
| (215) Односторонний шов с полным проплавлением. На остающейся подкладке | 2,79 | 3,20 |
| (216.1) Односторонний шов с полным проплавлением. 100% неразрушающий контроль основания шва | 2,79 | 2,86 |
| (216.2) Односторонний шов с полным проплавлением. Без неразрушающего контроля | 5,51 | 6,67 |
| (217) Двусторонний шов с неполным проплавлением | 5,51 | 6,67 |
Уклон Уклон | (221) Шов с полным проплавлением. Выпуклость шва удалена механической обработкой. 100% неразрушающий контроль | | |
Уклон 1:5 | 1,77 | 1,78 |
Уклон 1:3 | 1,98 | 2,00 |
Уклон 1:2 | 2,20 | 2,50 |
| (222) Шов с полным проплавлением. Сварка в горизонтальном положении. Сварка без подкладки. 100% неразрушающий контроль | | |
Уклон 1:5 | 2,20 | 2,50 |
Уклон 1:3 | 2,48 | 2,86 |
Уклон 1:2 | 2,75 | 3,20 |
Уклон Уклон | (223) Шов с полным проплавлением. Сварка без подкладки. 100% неразрушающий контроль | | |
Уклон 1:5 | 2,48 | 3,20 |
Уклон 1:3 | 2,79 | 3,64 |
Уклон 1:2 | 3,15 | 4,00 |
r >= b | (226) Шов с полным проплавлением. Выпуклость шва удалена механической обработкой. 100% неразрушающий контроль. Сварен до сборки основного сечения | 1,98 | 2,00 |
| (231) Соединение профильного проката. Выпуклость шва удалена механической обработкой. 100% неразрушающий контроль | 2,48 | 2,86 |
| (232.1) Сварка замкнутых профилей круглого сечения. Односторонний шов с полным проплавлением. 100% неразрушающий контроль | 2,79 | 2,86 |
| (232.2) Сварка замкнутых профилей круглого сечения. Односторонний шов с полным проплавлением. Без неразрушающего контроля | 5,51 | 6,67 |
| (234.1) Сварка замкнутых профилей коробчатого сечения. Односторонний шов с полным проплавлением. 100% неразрушающий контроль основания шва | 3,54 | 3,20 |
| (234.2) Сварка замкнутых профилей коробчатого сечения. Односторонний шов с полным проплавлением. Без неразрушающего контроля | 5,51 | 6,67 |
| (241) Двусторонний шов с полным проплавлением. Выпуклость шва удалена механической обработкой. 100% неразрушающий контроль торцов шва | 1,98 | 2,00 |
| (242) Двусторонний шов с полным проплавлением. Сварка в горизонтальном положении. Сварка без подкладки. 100% неразрушающий контроль торцов шва | 2,20 | 2,22 |
| (243) Двусторонний шов с полным проплавлением. Выпуклость шва удалена механической обработкой. Установка косынки в углах. 100% неразрушающий контроль торцов шва | 2,48 | 2,50 |
| (244) Двусторонний шов с полным проплавлением. Установка косынки в углах. 100% неразрушающий контроль торцов шва | 2,79 | 2,86 |
| (245) Двусторонний шов с полным проплавлением. Без косынок в углах. Без неразрушающего контроля | 3,96 | 4,00 |
(300) Сварной шов при продольном к линии шва направлении наибольшего главного напряжения |
| (311.1) Автоматическая сварка. Пустотелое сечение. Сварка без прерывания процесса | 1,59 | 1,60 |
| (311.2) Автоматическая сварка. Пустотелое сечение. Сварка с прерыванием процесса | 2,20 | 2,22 |
| (312.1) Шов с полным проплавлением. Выпуклость шва удалена механической обработкой. 100% неразрушающий контроль | 1,59 | 1,60 |
| (312.2) Шов с полным проплавлением. 100% неразрушающий контроль. Сварка без прерывания процесса | 1,77 | 1,78 |
| (313) Шов с полным проплавлением. 100% неразрушающий контроль. Сварка с прерыванием процесса | 2,20 | 2,22 |
| (321) Автоматическая сварка. Двусторонний шов с полным проплавлением (К-образная разделка кромок). Сварка без прерывания процесса. 100% неразрушающий контроль | 1,59 | 1,60 |
| (322) Автоматическая сварка. Двусторонний шов. Сварка без прерывания процесса | 1,77 | 1,78 |
| (323) Ручная сварка. Двусторонний угловой или стыковой сварной шов. Сварка без прерывания процесса | 2,20 | 2,22 |
| (325) Двусторонний угловой или стыковой сварной шов. Размер отверстия не более 40% от высоты сечения.  - напряжение вдоль направления шва;  - напряжение поперек направления шва в зоне отверстия | St.: Al.: |
| (326) Ручная сварка. Односторонний угловой или стыковой сварной шов. Сварка без прерывания процесса | 2,48 | 2,50 |
(400) Крестовые и Т-образные соединения |
| (411) Двусторонние швы с полным проплавлением (К-образная разделка кромок). Наружная поверхность шва механически обработана. | | |
Смещение кромок e <= 0,15t. | 2,48 | 2,86 |
Без смещения кромок | 2,20 | 2,50 |
| (412) Двусторонние швы с полным проплавлением (К-образная разделка кромок). Наружная поверхность шва механически не обработана. | | |
Смещение кромок e <= 0,15t. | 2,79 | 3,20 |
Без смещения кромок | 2,48 | 2,86 |
| (413) Двусторонние швы с неполным проплавлением (угловые или с К-образной разделкой кромок). | | |
Смещение кромок e <= 0,15t. | 3,15 | 3,64 |
Без смещения кромок | 2,79 | 3,20 |
| (415) Односторонние швы с полным проплавлением (с V-образной разделкой кромок). Смещение кромок e <= 0,15t. | | |
Неразрушающий (в том числе визуальный) контроль полного проплавления. | 2,79 | 3,20 |
Без контроля полного проплавления | 5,51 | 6,67 |
| (416) Односторонние швы с неполным проплавлением (без разделки кромок). | | |
Смещение кромок e <= 0,15t. | 5,51 | 6,67 |
(500) Присоединение ненесущих составных частей |
| (511.1) Толщина присоединенной пластины не более толщины основной пластины. Двусторонние швы с полным проплавлением (К-образная разделка кромок или угловые швы). Наружная поверхность шва механически обработана | 1,98 | 2,22 |
| (511.2) Толщина присоединенной пластины не более толщины основной пластины. Двусторонние угловые швы. Наружная поверхность шва механически не обработана | 2,48 | 2,86 |
| (512.1) Толщина поперечного ребра не более толщины основной стенки. Двусторонние швы с полным проплавлением (К-образная разделка кромок или угловые швы). Наружная поверхность шва механически обработана | 1,98 | 2,22 |
| (512.2) Толщина поперечного ребра не более толщины основной стенки. Двусторонние угловые швы. Наружная поверхность шва механически не обработана | 2,48 | 2,86 |
| (513) Прямоугольные или круглые накладки. Приварка по периметру. | | |
L <= 50 мм | 2,48 | 2,86 |
50 < L <= 150 мм | 2,79 | 3,20 |
150 < L <= 300 мм | 3,15 | 4,00 |
L > 300 мм | 3,96 | 4,44 |
| (514) Ребро жесткости. Односторонний шов с полным или неполным проплавлением | 2,79 | 3,20 |
| (521) Продольное ребро. Угловой сварной шов по периметру | | |
l <= 50 мм | 2,48 | 2,86 |
50 < l <= 150 мм | 2,79 | 3,20 |
150 < l <= 300 мм | 3,15 | 4,00 |
l > 300 мм | 3,96 | 4,44 |
| (522) Продольное ребро с радиусным переходом. Угловой сварной шов по периметру. Наружная поверхность шва механически обработана. c < 2t, c <= 25 мм, где t - толщина ребра; r > 150 мм, где r - радиус скругления ребра | 2,20 | 2,50 |
| (523) Продольное ребро с радиусным переходом или скруглением. Угловой сварной шов по периметру. c < 2t, c <= 25 мм, где t - толщина ребра; | | |
r > 0,5h | 2,79 | 3,20 |
r <= 0,5 h или  , где r - радиус скругления ребра; h - высота сечения;  - угол наклона ребра к горизонтали | 3,15 | 4,00 |
| (525) Продольная косынка длиной l, приваренная встык к полке. | | |
l <= 150 мм | 3,96 | 4,44 |
150 < l <= 300 мм | 4,41 | 5,00 |
l > 300 мм | 4,96 | 5,71 |
| (526) Продольная косынка, приваренная встык к полке шириной w. Поверхность сварного шва механически обработана до образования округления радиусом r. | | |
r > 150 мм или r/w > 1/3 | 2,20 | 2,22 |
1/6 < r/w <= 1/3 | 2,79 | 2,86 |
r/w <= 1/6 | 3,96 | 3,64 |
(600) Нахлесточные соединения |
| (611) Соединение через накладки лобовыми угловыми сварными швами. Для корня сварного шва | 4,41 | 5,00 |
| (612) Фланговые угловые швы. Длина сварного шва не менее 40 катетов | 3,96 | 4,44 |
| (613) Продольная косынка с радиусным переходом или скосом. c < 2t, c <= 25 мм, где t - толщина косынки;  , где  - угол наклона косынки к горизонтали. Приварена угловыми швами к нагруженному элементу: | | |
- листу, полосе | 3,15 | 3,64 |
- угловому сечению | 3,96 | 4,44 |
| (614) Соединение лобовыми угловыми сварными швами. Для корня сварного шва | 5,51 | 6,67 |
(700) Усиления (накладки) |
| (711) Накладка толщиной tD на двутавровое сечение с толщиной верхней полки t. Угловые сварные швы. | | |
tD <= 0,8t | 3,54 | 4,00 |
0,8t < tD <= 1,5t | 3,96 | 4,44 |
tD > 1,5t | 4,41 | 5,00 |
| (712) Накладка толщиной tD на балку толщиной t. Угловые сварные швы. Концы сварного шва механически обработаны. | | |
tD <= 0,8t | 2,79 | 2,86 |
0,8t < tD <= 1,5t | 3,15 | 3,20 |
tD > 1,5t | 3,54 | 3,64 |
| Накладка на полое сечение. Толщина стенок не более 25 мм | 3,96 | 4,00 |
<1> Сталь и стальные сплавы. <2> Алюминиевые сплавы. Примечание - Для случаев поверхностной обработки сварных швов (если она не учтена в описании) коэффициент снижения предела выносливости умножают на дополнительный коэффициент: а) 0,75 для механической обработки поверхности шва; б) 0,75 для оплавления поверхности шва; в) 0,75 для дробеструйной обработки поверхности шва для материала с пределом текучести не более 355 МПа; г) 0,65 для дробеструйной обработки поверхности шва для материала с пределом текучести более 355 МПа. Для случая работы сварных соединений в условиях повышенных температур коэффициент снижения предела выносливости умножают на отношение модуля Юнга материала при повышенной температуре к модулю Юнга материала при температуре 20 °C. |
6.3.3.2 Методом испытаний - в соответствии с
ГОСТ 33788.
(в ред.
Изменения N 1, введенного в действие Приказом Росстандарта от 02.12.2022 N 1442-ст)
6.3.3.3 При наличии достоверных данных по пределу выносливости стального гладкого стандартного образца для конкретно применяемой при проектировании марки стали

, значение

допускается умножать на коэффициент отношения пределов выносливости, определяемый по формуле

, (6.8а)
где

- значение предела выносливости стального гладкого стандартного образца конкретного материала, применяемого при проектировании, полученное в результате стандартных испытаний на сопротивление усталости;

- значение предела выносливости стального гладкого стандартного образца базового материала, равное 200 МПа, соответствующее стали 295 класса прочности по
ГОСТ 19281.
(пп. 6.3.3.3 введен
Изменением N 1, введенным в действие Приказом Росстандарта от 02.12.2022 N 1442-ст)
6.3.4 Пределы выносливости по амплитуде для литых стальных несущих конструкций определяют по
формуле (6.8) при значении предела выносливости базового материала

= 58 МПа и коэффициентах снижения предела выносливости, определяемых для различных зон литых деталей по
таблице 11, или по результатам испытаний в соответствии с
ГОСТ 33788.
(в ред.
Изменения N 1, введенного в действие Приказом Росстандарта от 02.12.2022 N 1442-ст)
--------------------------------
<1> Сноска исключена с 01.02.2023. -
Изменение N 1, введенное в действие Приказом Росстандарта от 02.12.2022 N 1442-ст.
Таблица 11
Коэффициенты снижения предела выносливости для различных зон
литой детали
Описание зоны | Коэффициент снижения предела выносливости |
Поверхностные дефекты не допускаются. Не допускается исправление дефектов сваркой. Допускается исправление поверхностных дефектов зачисткой (без острых кромок, заусенцев, зарубов). 100% неразрушающий контроль | 1,00 |
Поверхностные дефекты не допускаются. Допускается исправление дефектов сваркой с последующей термической обработкой. 100% неразрушающий контроль | 1,16 |
Поверхностные дефекты не допускаются. Допускается исправление дефектов сваркой. Без неразрушающего контроля | 1,43 |
Допускаются поверхностные дефекты | 1,60 |
Примечание - Для боковых рам и надрессорных балок размеры допустимых без исправления литейных дефектов определены ГОСТ 32400. |
6.3.5 Приведенную амплитуду динамического напряжения определяют для сварных конструкций по компоненте местного напряжения, перпендикулярной границе сварного шва (или по наибольшему главному напряжению, если его направление лежит в углах от минус 60° до 60° к перпендикуляру к границе сварного шва).
Приведенную амплитуду динамического напряжения для литых конструкций и общего напряжения в сварных конструкциях определяют по наибольшему главному напряжению.
6.3.6 Приведенную амплитуду динамического напряжения, эквивалентную по повреждающему действию распределению амплитуд напряжений за расчетный ресурс составной части

, Па, определяют по формуле

, (6.9)
где

- предел выносливости по амплитуде (точка перелома кривой выносливости для больших и малых амплитуд напряжения), Па, при базовом числе циклов
N0 = 10
7;
m1 - показатель степени первой ветви кривой выносливости, для сварных соединений принимают
m1 = 3 или определяют при испытаниях по ГОСТ 33788-2016
(пункт 9.5). Для литых деталей принимают
m1 = 4 или определяют при испытаниях по ГОСТ 33788-2016
(пункт 9.5).
(в ред.
Изменения N 1, введенного в действие Приказом Росстандарта от 02.12.2022 N 1442-ст)
--------------------------------
<1> Сноска исключена с 01.02.2023. -
Изменение N 1, введенное в действие Приказом Росстандарта от 02.12.2022 N 1442-ст.
m2 - показатель степени второй ветви кривой выносливости, для сварных соединений принимают
m2 = 5. Для основного металла и литых деталей принимают
m2 = 9. Допускается в
формуле (6.9) принимать
m1 =
m2 = 5 для сварных соединений и
m1 =
m2 = 9 для основного металла и литых деталей;
(в ред.
Изменения N 1, введенного в действие Приказом Росстандарта от 02.12.2022 N 1442-ст)

- амплитуда динамического напряжения, Па,

;
ni - количество циклов амплитуд динамического напряжения

;

- амплитуда динамического напряжения, Па,

;
nj - количество циклов амплитуд динамического напряжения

.
Количество циклов
nk амплитуд динамического напряжения для случая действия сил по
4.6.1 и
4.7.1 определяют по формуле
nk = TkM1,k, (6.10)
где k - счетчик номеров уровней значения силы;
M1,k - количество приложений силы уровня k в год;
Tk - расчетный ресурс составной части несущей конструкции вагона, выраженный в годах.
Количество циклов
nk амплитуд динамического напряжения для случая действия сил по
4.6.2 и
4.7.2 определяют по формуле
nk = Tppуч.lpv,l,kfэ,l,k, (6.11)
где l - счетчик номеров участков;
pуч.l - вероятность реализации участка пути, принимают 0,65 для прямых участков пути по
5.1.1 а, 0,20 для кривых больших радиусов по
5.1.1 в, 0,15 для кривых малых радиусов по
5.1.1 б;
k - счетчик номеров уровней значения скорости движения;
pv,l,k - вероятность реализации значения скорости уровня k на участке пути с номером l;
fэ,l,k - частота изменения динамического напряжения при движении со скоростью уровня k на участке пути с номером l, Гц;
Tр - расчетное время действия динамических напряжений в составной части несущей конструкции вагона, с, определяемое по формуле

, (6.12)
где Tк - расчетный ресурс, выраженный в сутках;

- расчетный среднесуточный пробег, м/сут;

- средняя техническая скорость движения вагона, м/с, принимают по
таблице 12.
Таблица 12
Средняя техническая скорость движения для различных значений
конструкционной скорости вагона
В километрах в час
Конструкционная скорость | Средняя техническая скорость |
200 | 112 |
160 | 92 |
140 | 89 |
120 | 81 |
100 | 69 |
90 | 61 |
При заданном в конструкторской документации или эксплуатационных документах коэффициенте порожнего пробега вагона KП допускается умножать значение расчетного ресурса на (1 - KП).
(Поправка, ИУС 8-2017)
6.3.7 Амплитуду динамического напряжения при действии сил по
4.6.1 определяют методом экстремумов в соответствии с
ГОСТ 25.101-83 (пункт 3.2.1), при действии сил по
4.6.2 - методом полных циклов или методом "дождя" по
ГОСТ 25.101-83 (пункт 3.3.3).
6.3.8 Коэффициент запаса сопротивления усталости несущей конструкции должен соответствовать
таблице 13.
Таблица 13
Допустимые коэффициенты запаса сопротивления усталости
несущей конструкции
Вариант | Метод определения предела выносливости по амплитуде | Метод определения приведенной амплитуды | Коэффициент запаса сопротивления усталости несущей конструкции, не менее |
кузова вагона | тележки, сцепных устройств |
А | | | 1,15 | 1,30 |
Б | | | 1,20 | 1,40 |
В | | | 1,50 | 1,80 |
7 Требования к показателям динамических качеств и устойчивости к выжиманию и опрокидыванию при движении
7.1 Требования к показателям динамических качеств вагона принимают в соответствии с
7.1.1 -
7.1.8.
7.1.1 Динамические качества вагона оценивают по следующим показателям:
- максимальное отношение рамной силы к статической осевой нагрузке;
- максимальный коэффициент динамической добавки обрессоренных частей;
- максимальный коэффициент динамической добавки необрессоренных частей;
- минимальный коэффициент запаса устойчивости от схода колеса с рельса.
Дополнительно оценивают:
- максимальное вертикальное ускорение обрессоренных частей;
- максимальное боковое ускорение обрессоренных частей.
7.1.2 При обработке временных зависимостей рамной силы, коэффициента динамической добавки обрессоренных и необрессоренных частей, вертикального и бокового ускорения учитывают частоты по ГОСТ 33788-2016
(пункт 9.4.2).
(в ред.
Изменения N 1, введенного в действие Приказом Росстандарта от 02.12.2022 N 1442-ст)
7.1.3 Максимальные значения показателей динамических качеств определяют с вероятностью 0,9985.
7.1.4 Коэффициент динамической добавки обрессоренных частей определяют по отношению вертикальной динамической силы, действующей от кузова вагона на тележку, к силе тяжести, действующей от кузова вагона на тележку.
7.1.5 Коэффициент динамической добавки необрессоренных частей определяют по отношению вертикальной динамической силы, действующей от тележки на шейку оси колесной пары, к силе тяжести, действующей от тележки на шейку оси колесной пары.
7.1.6 Вертикальное и боковое ускорение обрессоренных частей определяют на кузове вагона в зоне пятника.
7.1.7 Мгновенное значение коэффициента запаса устойчивости от схода колеса с рельса Kус определяют по формуле

, (7.1)
где

- угол наклона образующей гребня колеса к горизонтали, для колес без износа по
ГОСТ 10791 принимают

;

- коэффициент трения между гребнем колеса и рельсом, принимают по
5.1.6 для определения показателей динамических качеств и по
5.2.4 для расчета устойчивости от выжимания;
Pв - вертикальная сила, Н, действующая от колеса на рельс в диапазоне частот от 0 Гц до 20 Гц (положительное направление вниз);
Pб - боковая сила, Н, действующая от колеса на рельс в диапазоне частот от 0 Гц до 20 Гц;
< > - оператор, который обозначает определение скользящего среднего с шириной окна 2 м.
Коэффициент запаса устойчивости от схода колеса с рельса оценивают для случая действия боковой силы в направлении вползания гребня колеса на головку рельса. Минимальное значение коэффициента запаса устойчивости от схода колеса с рельса определяют с вероятностью 0,0015.
Допускается определять коэффициент запаса устойчивости от схода колеса с рельса по результатам измерения рамной силы и коэффициента динамической добавки необрессоренных частей методом по ГОСТ 33788-2016
(подраздел 8.3).
(в ред.
Изменения N 1, введенного в действие Приказом Росстандарта от 02.12.2022 N 1442-ст)
--------------------------------
<1> Сноска исключена с 01.02.2023. -
Изменение N 1, введенное в действие Приказом Росстандарта от 02.12.2022 N 1442-ст.
(Поправка, ИУС 8-2017)
7.1.8 Уровни оценки и допустимые значения показателей динамических качеств приведены в
таблице 14.
Таблица 14
Уровни оценки и допустимые значения показателей
динамических качеств
Показатель | Уровень оценки | Допустимое значение |
для вагона с минимальной расчетной массой <1> | для вагона с максимальной статической осевой нагрузкой |
1 Максимальное отношение рамной силы к статической осевой нагрузке, не более | Отлично | 0,25 | 0,20 |
Хорошо | 0,30 | 0,25 |
Удовлетворительно | 0,38 | 0,30 |
Допустимый | 0,40 | 0,38 |
2 Максимальный коэффициент динамической добавки обрессоренных частей, не более | Отлично | 0,50 | 0,20 |
Хорошо | 0,60 | 0,35 |
Удовлетворительно | 0,70 | 0,40 |
Допустимый | 0,75 | 0,65 |
3 Максимальный коэффициент динамической добавки необрессоренных частей, не более | Отлично | 0,60 | 0,50 |
Хорошо | 0,75 | 0,70 |
Удовлетворительно | 0,85 | 0,80 |
Допустимый | 0,98 | 0,90 |
4 Минимальный коэффициент запаса устойчивости от схода колеса с рельса, не менее | Допустимый | 1,30 |
5 Максимальное вертикальное ускорение обрессоренных частей, в долях от ускорения свободного падения, не более | Отлично | 0,50 | 0,20 |
Хорошо | 0,60 | 0,35 |
Удовлетворительно | 0,70 | 0,45 |
Допустимый | 0,75 | 0,65 |
6 Максимальное боковое ускорение обрессоренных частей, в долях от ускорения свободного падения, не более | Отлично | 0,20 | 0,10 |
Хорошо | 0,25 | 0,15 |
Удовлетворительно | 0,40 | 0,30 |
Допустимый | 0,55 | 0,45 |
<1> Значения распространяются на вагоны с максимальной статической осевой нагрузкой не более 125 кН. |
7.2 Динамические силы, действующие на несущие конструкции, и динамические напряжения определяют в соответствии с
7.2.1,
7.2.2.
7.2.1 При обработке временных зависимостей сил и напряжений учитывают частоты в диапазоне от 0,1 до 20 Гц.
7.2.2 Частоту изменения силы (напряжения)
fэ, Гц, определяют по формуле

, (7.2)
где g(f) - нормированная спектральная плотность процесса.
7.3 Устойчивость от выжимания оценивают по коэффициенту запаса устойчивости от схода колеса с рельса, определяемому по
формуле (7.1) для случая статического действия сил на вагон. Коэффициент запаса устойчивости от схода колеса с рельса должен составить не менее 1,2.
Пример метода расчета коэффициента запаса устойчивости от схода колеса с рельсов при выжимании приведен в
приложении Б.
7.4 Устойчивость вагона от опрокидывания оценивают по коэффициенту запаса устойчивости от опрокидывания, определяемому по формуле

, (7.3)
где
Pст - статическая вертикальная сила, действующая от колеса на рельс, с учетом силы тяжести вагона и сил по
5.3.1 г или
5.3.2 г;
При проверке опрокидывания наружу кривой коэффициент запаса устойчивости от опрокидывания должен составить не менее 1,3; при проверке опрокидывания внутрь кривой - не менее 1,15.
Пример метода расчета коэффициента запаса устойчивости от опрокидывания приведен в
приложении В.
8 Требования к автоматическому сцеплению вагонов и проходу сцепленными вагонами кривых участков пути
8.1 Требования к автоматическому сцеплению вагонов и проходу сцепленными вагонами кривых участков пути принимают в соответствии с
8.2 -
8.5 с учетом радиусов кривых по ГОСТ 22235-2010
(пункт 6.1).
(в ред.
Изменения N 1, введенного в действие Приказом Росстандарта от 02.12.2022 N 1442-ст)
8.2 Обеспечение автоматического сцепления вагонов в круговой кривой и на участке сопряжения прямой и кривой без переходного радиуса проверяют по условию

, (8.1)
где B - эффективная ширина захвата автосцепки, м;
n - длина консоли от центра пятника до оси сцепления у рассматриваемого конца вагона, м;
2l - база вагона, м;
2lт - база тележки, м;
R - радиус расчетной кривой, м;

- дополнительное возможное боковое перемещение центров зацепления автосцепок, указанное в
таблице 15.
Таблица 15
Дополнительное возможное боковое перемещение центров
зацепления автосцепок
В метрах
Количество и тип тележек под вагоном (секцией сочлененного вагона) | |
Две двухосные трехэлементные тележки или две четырехосные тележки <1> | 0,026 |
Две трехосные тележки с нежесткой рамой | 0,013 |
Две тележки с жесткой рамой и люлечным подвешиванием | 0,010 |
<1> Четырехосная тележка состоит из двух двухосных трехэлементных тележек, объединенных соединительной балкой. |
Для автосцепки с контуром зацепления по
ГОСТ 21447 эффективную ширину захвата
B, м, определяют по формуле

, (8.2)
где
B' - полная ширина захвата при параллельных осях автосцепок. Для автосцепки модели СА-3 по
ГОСТ 32885 принимают: без направляющего крыла -
B' = 0,175 м; с направляющим крылом -
B' = 0,2 м;

- угол захвата, принимают

;

- угол между осью вагона и касательной к оси пути в кривой в плоскости сцепления, определяемый по формуле

, (8.3)
где

принимают равной 57,3°.
8.3 Обеспечение неавтоматического сцепления вагона, относящегося к основным типам по ГОСТ 22235-2010
(пункт 6.1), проверяют на участке сопряжения прямой и кривой радиусом 90 м без переходного радиуса по условию

, (8.4)
где
X - боковое отклонение корпуса автосцепки по оси сцепления от боковой силы 250 Н, остальные обозначения приведены в
формуле (8.1).
8.4 Обеспечение прохода вагоном в сцепе участков пути и их сопряжения с прямой проверяют для трех случаев:
а) сцеп из двух проверяемых вагонов в S-образной кривой;
б) сцеп из проверяемого и эталонного вагона в S-образной кривой;
в) сцеп из проверяемого и эталонного вагона на участке сопряжения прямой и кривой без переходного радиуса.
За эталонный вагон принимают четырехосный полувагон с базой 8,65 м, длиной консоли до оси сцепления 2,635 м, на тележках типа 2 по
ГОСТ 9246 с базой 1,85 м.
Обеспечение прохода сцепом вагонов участков пути проверяют по значению углов бокового отклонения продольной оси автосцепки от оси вагона (см.
рисунок 8.1), которые определяют для каждого вагона в сцепе по формулам:

, (8.5)

, (8.6)
где

и

- угол между осью автосцепок и продольной осью первого и второго вагонов соответственно, градусы;

и

- угол, градусы, между общей касательной к оси пути (в точке сопряжения кривых с различной кривизной) и продольной осью первого и второго вагонов соответственно;

- угол, градусы, между общей касательной к оси пути (в точке сопряжения кривых с различной кривизной) и продольной осью автосцепок первого и второго вагонов.
Рисунок 8.1 - Расчетная схема прохода сцепом вагонов кривых
Углы и линейные боковые отклонения при расположении вагонов на S-образной кривой определяют по формулам:

, (8.7)

, (8.8)

, (8.9)

, (8.10)

, (8.11)
где 2l и 2l' - база первого и второго вагонов соответственно, м;
nа и n'а - расстояние от центра пятника до центра шарнира хвостовика автосцепки, м;
a - длина корпуса автосцепки от центра шарнира хвостовика до оси зацепления, для автосцепки модели СА-3 по
ГОСТ 32885 принимают
a = 0,87 м;
2
lт и 2
l'т - база тележки первого и второго вагонов соответственно для вагона на двухосных тележках, м. Для четырехосной тележки

принимают равным сумме квадратов половины базы двухосной тележки и расстояния между центром подпятника соединительной балки и центром подпятника тележки. Для трехосной тележки

принимают равным сумме квадратов расстояний между центрами осей крайних и средней колесной пары;

- дополнительное взаимное отклонение шарниров автосцепок в боковом направлении, принимают по
таблице 16;
R и
R' - радиусы кривых согласно ГОСТ 22235-2010
(пункт 6.1), м. Для случая
8.4 в для вагона, расположенного на прямой, принимают радиус, равный бесконечности.
Таблица 16
Дополнительное взаимное отклонение шарниров автосцепок
в боковом направлении
В метрах
Количество и тип тележек под вагоном (секцией сочлененного вагона) | Дополнительное взаимное отклонение  |
на сопряжении прямой с кривой | на S-образной кривой |
в сцепе с эталонным вагоном | в сцепе с однотипным вагоном |
Две двухосные трехэлементные тележки или две четырехосные тележки <1> | 0,032 | 0,002 | 0,043 |
Две трехосные тележки с нежесткой рамой | 0,019 | -0,011 | 0,049 |
Две тележки с жесткой рамой и люлечным подвешиванием | -0,025 | -0,057 | -0,030 |
<1> Четырехосная тележка состоит из двух двухосных трехэлементных тележек, объединенных соединительной балкой. |
Проход сцепа по кривой обеспечен, если точка с координатами

находится внутри контура, образованного соответствующей ограничительной линией и осями координат, и не обеспечен при ее расположении снаружи этого контура.
Ограничительные контуры задают четырьмя линиями, описываемыми в системе координат

уравнениями

, (8.12)

, (8.13)

, (8.14)

, (8.15)
где

;

и

- максимальные плоские углы в плане боковых отклонений корпусов автосцепок первого и второго вагонов сцепа до упора их в края окон розеток при смещении шарниров хвостовиков в противоположную сторону до упора, градус;

и

- возможные боковые перемещения от центрального положения шарниров хвостовиков первого и второго вагонов сцепа, м;
a - длина корпуса автосцепки первого и второго вагонов сцепа от центра шарнира хвостовика до оси зацепления, м;
q и q' - расстояние вдоль оси первого и второго вагона от центра шарнира до точки упора боковой грани хвостовика в угол розетки, м;

и

- номинальный плоский угол бокового отклонения корпуса автосцепки до упора его в край окна розетки при центральном положении центра хвостовика - соответственно для первого и второго вагонов сцепа, градус.
Указанные параметры определяют по конструкторской документации на вагон.
Для автосцепки модели СА-3 по
ГОСТ 32885, установленной по
ГОСТ 3475, ограничительные контуры показаны на
рисунке 8.2. Условные обозначения ограничительных контуров для сцепов вагонов с упорами в различных сочетаниях, изготовленными с учетом требований
ГОСТ 33434 и
ГОСТ 34710, приведены в
таблице 17.
(в ред.
Изменения N 1, введенного в действие Приказом Росстандарта от 02.12.2022 N 1442-ст)
--------------------------------
<1> Сноска исключена с 01.02.2023. -
Изменение N 1, введенное в действие Приказом Росстандарта от 02.12.2022 N 1442-ст.
Рисунок 8.2 - Ограничительные контуры для автосцепки модели
Таблица 17
Условные обозначения ограничительных контуров на
рисунке 8.2
для сцепов вагонов с упорами в различных сочетаниях
Тип упора на первом вагоне | Тип упора на втором вагоне |
УП1 | УП2 | УП3 |
УП1 | | | |
УП2 | | | |
УП3 | | | |
8.5 Обеспечение прохода вагоном в сцепе по вертикальным кривым проверяют для случаев:
а) сортировочная горка с переломом профиля

, между плоскостями надвижной и спускной частей, сопряженными вертикальной кривой радиусом 250 м, при этом уклон надвижной и спускной частей составляет

;
(в ред.
Изменения N 1, введенного в действие Приказом Росстандарта от 02.12.2022 N 1442-ст)
б) аппарель съезда парома с переломом профиля

.
(в ред.
Изменения N 1, введенного в действие Приказом Росстандарта от 02.12.2022 N 1442-ст)
Обеспечение прохода вагоном в сцепе по сортировочной горке и аппарели съезда парома проверяют по условию

, (8.16)
где

- максимальное относительное вертикальное перемещение автосцепок при проходе сцепом вагонов переломов профиля, м;

- допускаемая по условиям отсутствия саморасцепа разность уровней продольных осей автосцепок, для автосцепки модели СА-3 по
ГОСТ 32885 принимают:

при использовании хотя бы на одном из вагонов центрирующего прибора с жесткой опорой хвостовика автосцепки,

при использовании на обоих вагонах центрирующего прибора с упругой опорой хвостовика автосцепки и наличии кронштейна (ограничителя вертикальных перемещений);

- начальная разность уровней осей автосцепок, принимают

, если иное не предусмотрено эксплуатационной документацией вагона.
Метод расчета относительного вертикального перемещения автосцепок при проходе сцепом вагонов переломов профиля приведен в
приложении Г.
9 Требования к воздействию вагона на железнодорожный путь
Вагон должен обеспечить показатели воздействия на железнодорожный путь, установленные по
ГОСТ 34759.
(в ред.
Изменения N 1, введенного в действие Приказом Росстандарта от 02.12.2022 N 1442-ст)
--------------------------------
<1> Сноска исключена с 01.02.2023. -
Изменение N 1, введенное в действие Приказом Росстандарта от 02.12.2022 N 1442-ст.
(справочное)
ПРИМЕР РАСЧЕТА СИЛ, ДЕЙСТВУЮЩИХ НА БОКОВУЮ РАМУ
ПРИ ПРОВЕРКЕ НА ПРОЧНОСТЬ
А.1 Схема сил, действующих на боковую раму при проверке на прочность и сопротивление усталости, показана на
рисунке А.1.
Рисунок А.1 - Схема сил, действующих на боковую раму
А.1.1 Сила Fz1 действует в вертикальном направлении на опорную поверхность боковой рамы для установки упругих элементов рессорного подвешивания.
А.1.2 Силы Fz2, Fz3 действуют в вертикальном направлении на опорные поверхности проемов для колесной пары в боковой раме с учетом возможной несимметрии приложения относительно оси боковой рамы, направленной вдоль продольной оси пути, допустимой конструкцией буксы или адаптера.
А.1.3 Силы Fz4, Fz5 действуют в вертикальном направлении на поверхности боковой рамы, взаимодействующие с фрикционными клиньями рессорного подвешивания при применении в тележке фрикционного гасителя колебаний.
А.1.4 Силы Fz6, Fz7 действуют в вертикальном направлении на кронштейны боковой рамы для установки тормозной рычажной передачи.
А.1.5 Сила Fy1 действует в боковом направлении на опорную поверхность боковой рамы для установки упругих элементов рессорного подвешивания.
А.1.6 Силы Fy2, Fy3 действуют в боковом направлении на поверхности боковой рамы, взаимодействующие с фрикционными клиньями рессорного подвешивания при применении в тележке фрикционного гасителя колебаний.
А.1.7 Силы Fy4, Fy5 действуют в боковом направлении на поверхности боковой рамы, взаимодействующие с фрикционными клиньями рессорного подвешивания при применении в тележке фрикционного гасителя колебаний или с надрессорной балкой, при ограничении перемещения надрессорной балки относительно боковой рамы в боковом направлении.
А.1.8 Силы Fy6, Fy7 действуют в боковом направлении на наружные упорные поверхности проемов для колесной пары в боковой раме, ограничивающие горизонтальные перемещения колесной пары.
А.1.9 Силы

,

действуют в боковом направлении на внутренние упорные поверхности проемов для колесной пары в боковой раме, ограничивающие горизонтальные боковые перемещения колесной пары.
А.1.10 Силы Fy8, Fy9 действуют в боковом направлении на опорные поверхности проемов для колесной пары в боковой раме.
А.1.11 Сила Fx1 действует в продольном направлении на опорную поверхность боковой рамы для установки упругих элементов рессорного подвешивания.
А.1.12 Силы Fx2, Fx3 действуют в продольном направлении на поверхности боковой рамы, взаимодействующие с фрикционными клиньями рессорного подвешивания при применении в тележке фрикционного гасителя колебаний.
А.1.13 Силы Fx4, Fx5 действуют в продольном направлении на наружные упорные поверхности проемов для колесной пары в боковой раме, ограничивающие горизонтальные продольные перемещения колесной пары.
А.1.14 Сила

действует в продольном направлении на внутреннюю упорную поверхность проема для колесной пары в боковой раме, ограничивающую горизонтальное продольное перемещение колесной пары.
Таблица А.1
Силы, действующие на боковую раму, для проверки прочности
Обозначение силы | Метод расчета |
Fz1 | Fz1 = P + PВ, где P = P0 - 0,5 ( PТ - PН - PП) - сила тяжести, действующая на боковую раму (по 4.4.2); P0 - максимальная расчетная статическая осевая нагрузка; PТ - сила тяжести тележки; PН - сила тяжести надрессорной балки; PП - сила тяжести рессорного подвешивания тележки; PВ = 0,5 N1( P/ P0) ( H/2 L) - динамическая сила (по 4.4.3); H - расчетное расстояние от центра тяжести кузова вагона до уровня подпятника тележки; 2L - база вагона, принимают 2L = 7,8 м; N1 - продольная сила удара по 4.1.1 а |
(в ред. Изменения N 1, введенного в действие Приказом Росстандарта от 02.12.2022 N 1442-ст) |
Fx2, Fx3 | Fx2 = Fкл, Fx3 = 0,5NТ + Fкл, где NТ - продольная сила инерции тележки по 4.4.1; Fкл - сила, действующая от вертикальной поверхности фрикционного клина непосредственно или через промежуточные детали на боковую раму при силе Fz1, действующей на рессорное подвешивание |
Fx4,  |  , где NКП - продольная сила инерции колесной пары по 4.4.1 |
Fz2, Fz3 | Силы реакции от действия Fz1, Fx2, Fx3, Fx4,  |
Примечание - Силы, не указанные в таблице, принимают равными нулю. Знак "-" обозначает направление действия силы, противоположное указанному на рисунке А.1. |
Таблица А.2
Силы, действующие на боковую раму, для проверки прочности
Обозначение силы | Метод расчета |
Вариант 1 | Вариант 2 |
Fz1 | Fz1 = P |
Fx4 | Fx4 = Q, где Q - половина силы по 4.4.4 | 0 |
| 0 | |
Fx2, Fx3 | Fx2 = Fкл, Fx3 = Fкл + Q, где Fкл - сила, действующая от вертикальной поверхности фрикционного клина непосредственно или через промежуточные детали на боковую раму при силе Fz1, действующей на рессорное подвешивание |
Fz2, Fz3 | Силы реакции от действия Fz1, Fx2, Fx3, Fx4,  |
Примечание - Силы, не указанные в таблице, принимают равными нулю. Знак "-" обозначает направление действия силы, противоположное указанному на рисунке А.1. |
Таблица А.3
Силы, действующие на боковую раму, для проверки прочности
Обозначение силы | Метод расчета |
Вариант 1 | Вариант 2 |
Fz1 | Fz1 = P + 0,5PВ |
(в ред. Изменения N 1, введенного в действие Приказом Росстандарта от 02.12.2022 N 1442-ст) |
FX4, FX5 | Fx4 = KТД + 0,5NКП, Fx5 = KТД - 0,5NКП, где NКП - продольная сила инерции колесной пары по 4.4.1; KТД - действительная сила нажатия тормозной колодки на колесо по 4.4.7 |
(в ред. Изменения N 1, введенного в действие Приказом Росстандарта от 02.12.2022 N 1442-ст) |
Fz6, Fz7 | Fz7 = -Fz6 - силы, действующие в кронштейнах подвеса тормозной рычажной передачи тележки, вызванные действием KТД |
Fx2, Fx3 | Fx2 = Fкл - Fx4, Fx3 = Fкл + Fx4, где Fкл - сила, действующая от вертикальной поверхности фрикционного клина непосредственно или через промежуточные детали на боковую раму при силе Fz1, действующей на рессорное подвешивание |
Fy1, Fy4, Fy5 | Fy1 + Fy4 + Fy5 = H,  , H = 0,5PN - боковая сила, действующая на боковую раму; PN - боковая сила, действующая на тележку по 4.4.5;  - сила, равная произведению половины боковой жесткости рессорного подвешивания тележки на номинальное значение перемещения надрессорной балки относительно боковой рамы в боковом направлении до ограничения |
 ,  | | 0 |
Fy6, Fy7, Fy8, Fy9 | 0 | Fy6 + Fy8 = Fy7 + Fy9 = 0,5H,  , где  - коэффициент трения между опорной поверхностью проема боковой рамы для установки колесной пары и буксой (адаптером) |
Fz2, Fz3 | Силы реакции от действия Fz1, Fz6, Fz7, Fy1, Fy4, Fy5, Fy6, Fy7, Fy8, Fy9,  ,  , Fx2, Fx3, Fx4, Fx5 |
(в ред. Изменения N 1, введенного в действие Приказом Росстандарта от 02.12.2022 N 1442-ст) |
Примечание - Силы, не указанные в таблице, принимают равными нулю. Знак "-" обозначает направление действия силы, противоположное указанному на рисунке А.1. |
(справочное)
ПРИМЕР МЕТОДА РАСЧЕТА КОЭФФИЦИЕНТА ЗАПАСА УСТОЙЧИВОСТИ
К СХОДУ КОЛЕСА С РЕЛЬСОВ ПРИ ВЫЖИМАНИИ
Коэффициент запаса устойчивости к сходу колеса с рельса
Kус по
формуле (7.1) на основе уравнений статики преобразуют к виду

(Б.1)
где

- угол наклона образующей гребня колеса к горизонтали, для колес без износа по
ГОСТ 10791 принимают

;

- коэффициент трения между гребнем колеса и рельсом, принимают по
5.2.4;
Pт - вертикальная сила, действующая от тележки на рельсы с учетом сил по
5.2.3, Н;
N - продольная сила по
5.2.2, Н;

- возможное одностороннее боковое перемещение под действием сил по
формуле (Б.7) шкворневого сечения кузова вагона за счет зазоров колесной пары в рельсовой колее, зазоров между буксой (адаптером) колесной пары и проемом для колесной пары в боковой раме, зазоров между пятником и подпятником, упругих боковых деформаций рессорного подвешивания, м. Значение принимают средним вероятным в соответствии с конструкторской документацией, эксплуатационными и ремонтными документами;
2l - база вагона, м;
2L - расстояние между задними опорными поверхностями упоров автосцепных устройств, м;
2Lс - длина вагона по осям сцепления, м;
a - расчетная длина корпуса автосцепки (для корпуса автосцепки по
ГОСТ 32885 принимают 1,0 м), м;
hп, hц, hа - высота опорной поверхности подпятника, центра тяжести вагона и уровня оси автосцепки над уровнем головок рельсов соответственно, м;
hр - возвышение наружного рельса в кривой, м;
2S - расстояние между кругами катания колес в колесной паре, принимают равным 1,580 м для прямой; равным 1,595 м для кривой радиусом 250 м, м;
R - радиус кривой по
5.2.1, м.
В
формуле (Б.1) верхние знаки "+" или "-" соответствуют установке I, когда набегающее колесо вкатывается на наружный рельс, нижние - установке II, когда набегающее колесо вкатывается на внутренний рельс.
Вертикальную силу
Pт, Н, действующую от тележки на рельсы с учетом сил по
5.2.3, определяют по формуле

, (Б.2)
где Pт.ст - вертикальная сила тяжести, действующая от тележки на рельсы, Н;
e - разность уровней осей автосцепок, принимают по
5.2.3, м;
Cв - приведенная вертикальная жесткость рессорного подвешивания одной тележки, Н/м.
Коэффициенты
j и

определяют по формулам:

(Б.3)

, (Б.4)
где Nка, Nкб - продольные критические силы, приводящие к относительному перекосу вагонов и осей автосцепок в плане, Н, определяют по формулам:

(Б.5)
Nкб = aCг, (Б.6)
Cг - приведенная боковая жесткость рессорного подвешивания одной тележки, Н/м. Если упругая боковая деформация рессорного подвешивания под действием сил по
формуле (Б.7) равна среднему вероятному боковому зазору в ограничителях подвешивания в соответствии с конструкторской документацией, эксплуатационными и ремонтными документами, то принимают

.
Боковую силу, Н, приложенную к пятникам тележек, определяют по формуле

. (Б.7)
(справочное)
ПРИМЕР МЕТОДА РАСЧЕТА КОЭФФИЦИЕНТА ЗАПАСА УСТОЙЧИВОСТИ
К ОПРОКИДЫВАНИЮ
Для вагона, опирающегося на две тележки, статическую вертикальную силу, действующую от колеса на рельс, Pст, Н, определяют по формуле

, (В.1)
где Gв - сила тяжести вагона, Н;

- вертикальная составляющая продольной силы, действующей на вагон через автосцепку, по
5.3.1 г или
5.3.2 г, Н;
nв - число осей вагона.
Динамическую вертикальную силу Pдин, Н, действующую от колеса на рельс, определяют по формуле

, (В.2)
где
Fк и
Fт - боковые силы, действующие соответственно на кузов и тележку, возникающие вследствие центробежного ускорения по
5.3.1 б или возвышения наружного рельса по
5.3.2 б, Н;
Fвк и
Fвт - силы давления ветра, действующие соответственно на кузов и тележку, равные произведению площади боковой поверхности на давление ветра по
5.3.1 д или
5.3.2 д, Н;
Gк и Gт - силы тяжести кузова и тележки соответственно, Н;
hк и hт - вертикальное расстояние от уровня головок рельсов до центра масс кузова и тележки соответственно, м;
hвк и hвт - вертикальное расстояние от уровня головок рельсов до геометрического центра боковой проекции кузова и тележки соответственно, м;
hа - вертикальное расстояние от уровня головок рельсов до продольной оси автосцепок, м;
2S - расстояние между кругами катания колес в колесной паре, м, принимают равным 1,580 м для кривой радиусом 650 м; равным 1,592 м для кривой радиусом 300 м, м;

и

- боковые перемещения центров тяжести кузова и тележки по
5.3.3, м.
В общем случае боковое перемещение центра тяжести кузова

, м, определяют по формуле

, (В.3)
а боковое перемещение центра масс тележки

, м, - по формуле

, (В.4)
где

- боковое одностороннее перемещение рамы (боковой рамы) тележки относительно букс (адаптеров) колесных пар, м;

- боковое одностороннее перемещение из центрального положения надрессорной балки относительно рамы (боковой рамы) тележки, м;

- боковое одностороннее перемещение из центрального положения пятника рамы кузова вагона относительно надрессорной балки, м;

- конструкционное отклонение центра тяжести кузова (с учетом схем размещения груза) от продольной оси, проходящей через центры пятников, м;

- боковое перемещение центра тяжести кузова при его боковом наклоне за счет деформации или выбора зазора в боковых скользунах, м;

- боковое перемещение центра тяжести кузова при его боковом наклоне за счет вертикальной деформации рессорного подвешивания с одной стороны вагона, м;

- боковое перемещение центра тяжести кузова при его боковом наклоне за счет бокового перемещения центра тяжести груза, обусловленного деформацией его собственного рессорного подвешивания, перемещениями в устройствах крепления, м.
(обязательное)
МЕТОД РАСЧЕТА ОТНОСИТЕЛЬНОГО ВЕРТИКАЛЬНОГО ПЕРЕМЕЩЕНИЯ
АВТОСЦЕПОК ПРИ ПРОХОДЕ СЦЕПОМ ВАГОНОВ ПЕРЕЛОМОВ ПРОФИЛЯ
Определение разности высот осей автосцепок сцепленных вагонов выполняют путем математического моделирования прохода сцепа вагонов по соответствующему участку пути. Расчетная схема приведена на
рисунке Г.1.
2L - длина вагона по осям сцепления автосцепок, м. Для вагона сочлененного типа принимают 2L - длина секции вагона от центра пятника над устройством сочленения до оси сцепления автосцепок;
2l - база вагона, м. Для вагона сочлененного типа принимают 2l - база секции вагона;
n = (2L - 2l)/2 - длина консоли вагона от пятника до оси сцепления автосцепок, м. Для вагона сочлененного типа принимают n = 2L - 2l;
2lт - база тележки вагона, м;
Hк - высота пути в точке замера X, м;
T - высота пути в точке контакта с колесной парой, м;
S - высота оси автосцепки, м
Рисунок Г.1 - Расчетная схема определения разности высот
осей автосцепок при проходе сцепа вагонов
по вертикальным кривым
Построение расчетной модели выполняют следующим образом.
Формируют массив данных, содержащий значения высот уровня головки рельсов Hк через каждый 1 м пути профиля на участке +/- 50 м от горба горки.
(в ред.
Изменения N 1, введенного в действие Приказом Росстандарта от 02.12.2022 N 1442-ст)
Высоту точек контактов колесных пар, м, определяют по формуле

(Г.1)
где x - горизонтальная координата колесной пары, м;
k - уклон пути на надвижной и спускной частях горки, принимают k = 0,0275;
R - радиус сопряжения надвижной и спускной частей, принимают R = 250 м;
Lг - расстояние от начала координат до горба горки, принимают Lг = 50 м;
t1 - координата сопряжения надвижной и радиусной части горки, принимают t1 = 43,128 м;
t2 - координата сопряжения спускной и радиусной части горки, принимают t2 = 56,872 м.
(в ред.
Изменения N 1, введенного в действие Приказом Росстандарта от 02.12.2022 N 1442-ст)
График высоты точек контактов колесных пар, построенный по формуле
(Г.1), представлен на рисунке Г.2.
(в ред.
Изменения N 1, введенного в действие Приказом Росстандарта от 02.12.2022 N 1442-ст)
Рисунок Г.2 - График высоты точек контактов колесных пар
Горизонтальные координаты точек контакта колесных пар, м, определяют по формулам
X2 = x + 2lТ, (Г.3)
X3 = x + 2l1, (Г.4)
X4 = x + 2l1 + 2lТ, (Г.5)
X5 = x + 2l1 + n1 + n2, (Г.6)
X6 = x + 2l1 + n1 + n2 + 2lТ, (Г.7)
X7 = x + 2l1 + n1 + n2 + 2l2, (Г.8)
X8 =
x + 2
l1 +
n1 +
n2 + 2
l2 + 2
lТ, (Г.9)
где 2lТ - база тележки, м;
2l1 - база первого вагона, м;
2l2 - база второго вагона, м;
n1 - длина консоли вагона от пятника до оси сцепления автосцепок первого вагона, м;
n2 - длина консоли вагона от пятника до оси сцепления автосцепок второго вагона, м.
(в ред.
Изменения N 1, введенного в действие Приказом Росстандарта от 02.12.2022 N 1442-ст)
Высоту точек контактов колесных пар
Ti, м, определяют, подставляя горизонтальные координаты колесных пар
Xi, м, рассчитанные по формулам
(Г.2) -
(Г.9), в формулу
(Г.1), где
i - порядковый номер колесной пары.
(в ред.
Изменения N 1, введенного в действие Приказом Росстандарта от 02.12.2022 N 1442-ст)
Высоту пятников тележек Pi, м, определяют по формуле
Pi = 0,5(T2i-1 + T2i), (Г.10)
где i - порядковый номер пятника, м.
(в ред.
Изменения N 1, введенного в действие Приказом Росстандарта от 02.12.2022 N 1442-ст)
Углы наклона оси хребтовой балки к горизонтали первого

и второго

вагонов определяют по формуле

; (Г.11)

, (Г.12)
где P1 - высота первого пятника (первый вагон), м;
P2 - высота второго пятника (первый вагон), м;
P3 - высота третьего пятника (второй вагон), м;
P4 - высота четвертого пятника (второй вагон), м.
(в ред.
Изменения N 1, введенного в действие Приказом Росстандарта от 02.12.2022 N 1442-ст)
Вертикальные координаты точек осей взаимодействующих автосцепок S2, S3, м, определяют по формулам:

; (Г.13)

. (Г.14)
(в ред.
Изменения N 1, введенного в действие Приказом Росстандарта от 02.12.2022 N 1442-ст)
Текущее значение разности высот автосцепок

, м, определяют по формуле

. (Г.14а).
(в ред.
Изменения N 1, введенного в действие Приказом Росстандарта от 02.12.2022 N 1442-ст)
По результатам выполнения в табличном редакторе расчетов данных параметров, выполненных с шагом, соответствующим расстоянию между точками замеров высоты головки рельсов, формируют двухмерный массив данных. Столбцы массива содержат следующие параметры:

,
X,
H,
i,
T1 и
T2,
T3 и
T4,
P1 и
P2,

,
S1,
S2,
A1,
A2,
T5,
T6,
T7,
T8,
P3,
P4,

,
A3,
A4,

,
S3,
S4,

. Каждая строка массива содержит исходные или расчетные значения этих параметров для всех значений горизонтальных координат горки с шагом

. По данным расчетной таблицы строят график

изменения разности высот автосцепок при прохождении горки и определяют по модулю ее максимальное значение.
Для моделирования прохода горки сцепом сочлененных вагонов перемещения концевых сцепок (по концам сочлененного вагона) рассчитывают по приведенным формулам. Шарнир в узле сочленения, расположенный над центральной тележкой, исключает относительные вертикальные перемещения. Для этого узла рассчитывают угол поворота шарнира в вертикальной плоскости при проходе переломов профиля горки по формуле

, (Г.15)
где

,

- плоские углы наклона двух соединенных шарниром секций.
Для сочлененных вагонов выполняют сравнение максимальных значений углов поворота шарнира в вертикальной плоскости при проходе сортировочной горки и углов, допускаемых конструкцией шарнира.
(Поправка, ИУС 8-2017)
(справочное)
РАСЧЕТНЫЙ РЕЖИМ ДЛЯ ПРЕДВАРИТЕЛЬНОЙ ОЦЕНКИ СОПРОТИВЛЕНИЯ
УСТАЛОСТИ НЕСУЩЕЙ КОНСТРУКЦИИ
Д.1 Предварительно сопротивление усталости несущей конструкции кузова вагона определяют расчетными методами при действии сил, указанных в
таблице Д.1. Учитывают симметричность несущей конструкции кузова вагона и указанные в эксплуатационной документации схемы размещения груза.
Действующие на несущую конструкцию кузова вагона вертикальные и боковые силы уравновешены реакциями в опорных узлах, зависящими от конструктивного устройства опорного узла.
Таблица Д.1
Силы, действующие на вагон, для предварительного расчета
сопротивления усталости несущей конструкции кузова
Силы | Значение силы в режиме III |
а | б | в | г |
Продольные | | | | |
Вертикальные: | | | | |
- сила тяжести | | | | |
- составляющая силы инерции | | | - | - |
- кососимметричные силы | | | | |
- динамическая сила | | | | |
Боковые | |
Самоуравновешенные: | | | | |
| | | | |
- избыточное давление <2> | | | | |
<1> При перевозке насыпных и скатывающихся грузов. <2> При перевозке жидких грузов. |
Д.1.1 Устанавливают следующие значения и схемы приложения продольных сил к кузову вагона:
а) сила 1,0 МН, направленная внутрь вагона, приложена к опорной поверхности заднего упора автосцепного устройства с одной стороны вагона и уравновешена продольными силами инерции по
4.1.2 масс кузова вагона, тележек, автосцепных устройств и груза;
б) сила 1,0 МН, направленная наружу вагона, приложена к опорной поверхности переднего упора автосцепного устройства с одной стороны вагона и уравновешена продольными силами инерции по
4.1.2 масс кузова вагона, тележек, автосцепных устройств и груза;
в) силы 1,0 МН, направленные внутрь вагона, приложены к опорным поверхностям задних упоров автосцепного устройства с двух сторон вагона;
г) силы 1,0 МН, направленные наружу вагона, приложены к опорным поверхностям передних упоров автосцепного устройства с двух сторон вагона.
При приложении продольных сил дополнительно учитывают действие вертикальной силы, приложенной к соответствующим упорам автосцепного устройства, определяемой по
формуле (4.1) при разности уровней осей автосцепок
e = 0,05 м.
Для вагонов, оборудованных буферами, дополнительно учитывают:
а) продольную силу 0,5 МН, направленную внутрь вагона и приложенную к контактной поверхности каждого из четырех буферов с двух сторон вагона;
б) продольную силу 0,5 МН, направленную внутрь вагона и приложенную к контактной поверхности каждого из двух буферов с одной стороны вагона, уравновешенной продольной силой, приложенной к опорной поверхности заднего упора автосцепного устройства;
в) продольную силу 0,4 МН, направленную внутрь вагона и приложенную к контактной поверхности двух буферов, расположенных по диагонали с двух сторон вагона.
Д.1.2 Вертикальную динамическую силу, действующую на несущую конструкцию кузова вагона, определяют умножением силы тяжести по
4.1.3 (или напряжений от ее действия) на наибольшее вероятное значение коэффициента динамической добавки
Kд, определяемое по формуле

, (Д.1)
где

- среднее вероятное значение коэффициента динамической добавки по
формуле (4.12) при конструкционной скорости вагона;

- параметр распределения, принимают для груженых вагонов

, для порожних вагонов

;
(в ред.
Изменения N 1, введенного в действие Приказом Росстандарта от 02.12.2022 N 1442-ст)

- расчетная односторонняя вероятность, принимают

;

- коэффициент, учитывающий влияние центробежной силы в кривых участках пути; принимают

для рамы вагона;

для шкворневых стоек боковых стен и шкворневых балок;

для остальных элементов вагона. При расчетной оценке показателей динамических качеств вагона по
7.1.8 следует принимать

.
(в ред.
Изменения N 1, введенного в действие Приказом Росстандарта от 02.12.2022 N 1442-ст)
Д.1.3 Боковую силу учитывают через действие на кузов вагона и груз бокового ускорения 0,74 м/с
2, а для изотермических вагонов - бокового ускорения 0,98 м/с
2.
Д.1.4 Давление груза
pa, Па, определяют по формуле

, (Д.2)
где

- давление от силы тяжести насыпного (или скатывающегося) груза, определяемое по
4.1.6, Па;
(в ред.
Изменения N 1, введенного в действие Приказом Росстандарта от 02.12.2022 N 1442-ст)
Kд - наибольшее вероятное значение коэффициента динамической добавки, определяемое по
формуле (Д.1).
Д.1.5 Для котлов вагонов-цистерн для перевозки жидких грузов учитывают действие избыточного давления продукта при температуре 50 °C и инерционного давления, возникающего при действии продольной силы по
Д.1.1 а и
Д.1.1 б.
Д.1.6 Для котлов вагонов-цистерн для перевозки жидких грузов учитывают действие избыточного давления продукта при температуре 50 °C.
Д.2 Предварительно сопротивление усталости несущей конструкции тележки определяют расчетными методами при действии сил, указанных в
таблице Д.2 для случая установки в вагоне двух тележек.
Действующие на несущую конструкцию тележки вертикальные и боковые силы должны быть уравновешены реакциями в опорах тележки на подшипниковые узлы колесных пар, зависящими от конструктивного устройства опор.
Силы, действующие на составные части тележки, определяют из условия статического равновесия с учетом устройства их соединения.
Таблица Д.2
Силы, действующие на тележку, для предварительного расчета
сопротивления усталости ее несущей конструкции
Силы | Значение силы в режиме III |
Продольные | |
- сила инерции | |
Вертикальные: | |
- сила тяжести | |
- динамическая сила | |
- кососимметричные силы | |
Боковые | |
<1> Учитывают для тележек с жесткой рамой. |
Д.2.1 Продольную силу инерции тележки определяют по
4.1.2 при продольной силе, действующей на вагон, по
Д.1.1 а.
Продольная сила инерции тележки приложена к упорной поверхности подпятника и уравновешена продольными силами инерции по
4.1.2 масс составных частей тележки, приложенными в их центре масс. Допускается учитывать продольную силу инерции массы составной части тележки приложением распределенного по ее объему ускорения.
Д.2.2 Вертикальную динамическую силу, действующую на несущую конструкцию тележки, определяют умножением силы тяжести по
4.1.3 (или напряжений от ее действия) на наибольшее вероятное значение коэффициента динамической добавки, определяемое по
формуле (Д.1), в которой

определяют по
4.7.2 при конструкционной скорости вагона.
Д.2.3 Боковую силу, действующую на несущую конструкцию тележки, определяют с учетом рамной силы
Hp, Н, по формуле

, (Д.3)
где

- среднее вероятное значение рамной силы по
формуле (4.14) при конструкционной скорости вагона, Н;

- расчетная односторонняя вероятность; принимают

.
Д.2.4 Кососимметричную силу
Pк, Н, определяют по формуле

, (Д.4)
где z - вертикальное перемещение одного колеса тележки при проходе односторонней просадки рельса с уклоном рельсовой нити 6,7 мм/м, z = 0,0067·2lТ, м;
2lТ - база тележки, м;
2b - расстояние между серединами шеек оси колесной пары, м;
2S - расстояние между кругами катания колесной пары, м;
CБ - жесткость первой ступени рессорного подвешивания (на один буксовый узел), Н/м;
CР - жесткость рамы тележки при кососимметричной нагрузке (на 1/4 рамы), Н/м.
(в ред.
Изменения N 1, введенного в действие Приказом Росстандарта от 02.12.2022 N 1442-ст)
Четыре вертикальные кососимметричные силы прикладывают в зоны опоры рамы тележки на первую ступень рессорного подвешивания, две расположенные по диагонали силы действуют вверх, а две другие - вниз.
Д.3 Напряжения, действующие в несущей конструкции кузова вагона и тележки при приложении сил по
Д.1 и
Д.2, оценивают по эквивалентным значениям, определяемым по
формуле (6.1), с понижающим коэффициентом от 0,50 до 0,65 к пределу текучести материала.
(рекомендуемое)
РАСЧЕТ ПРУЖИН РЕССОРНОГО ПОДВЕШИВАНИЯ НА ПРОЧНОСТЬ
Приказом Росстандарта от 02.12.2022 N 1442-ст)
Е.1 Цилиндрические пружины рессорного подвешивания трехэлементных тележек с клиновым гасителем колебаний проверяют на прочность методом конечных элементов при действии на рессорное подвешивание (один рессорный комплект) сил, указанных в таблице Е.1. Расчет пружин выполняют для номинальных размеров пружин, установленных конструкторской документацией, с учетом положения опорной поверхности фрикционного клина относительно опорной поверхности надрессорной балки (занижения/завышения), определенного при номинальных геометрических размерах деталей тележки.
Таблица Е.1
Силы, действующие на рессорное подвешивание
Силы | Обозначение | Значение силы в режиме I |
а | в |
Вертикальные: | | | |
- сила тяжести | | |
- составляющая силы инерции | | |
Боковые | | - | |
<2> С коэффициентом 0,25. |
Е.2 Для расчета прочности пружины вертикальную силу
Pв, Н, действующую на пружину, определяют пропорционально ее вертикальной жесткости и прогибу при действии вертикальной силы на рессорное подвешивание по
таблице Е.1, Н, по формулам:

, (Е.1)

, (Е.2)
где
К - количество участков вертикальной силовой характеристики рессорного подвешивания (см.
рисунок Е.1);

- вертикальная сила, необходимая для сжатия
i-го участка вертикальной силовой характеристики рессорного подвешивания, Н;

- суммарная вертикальная жесткость пружин
i-го участка вертикальной силовой характеристики рессорного подвешивания, Н/м;

- разность высот (в свободном состоянии) между самой высокой пружиной рессорного подвешивания и пружиной, для которой определяют вертикальную силу, м;

- вертикальная жесткость пружины, Н/м, определяют методом конечных элементов или по формуле

, (Е.3)
где G - модуль сдвига материала пружины, Па;
D - средний диаметр пружины, м;
d - диаметр прутка пружины, м;
n - число рабочих витков пружины;

- суммарная вертикальная сила, действующая на рессорное подвешивание, Н, принимают по
таблице Е.1;

- суммарная вертикальная сила, приводящая к смыканию витков первой из пружин рессорного подвешивания, Н, определяют по формуле

, (Е.4)
где m - количество типов пружин в составе рессорного подвешивания;

- вертикальная жесткость
j-го типа пружины, Н/м, определяют по формуле
(Е.3) или методом конечных элементов;

- разность высот (в свободном состоянии) между самой высокой пружиной рессорного подвешивания и пружиной
j-го типа, м;
zj - количество пружин j-го типа;

- полный статический прогиб рессорного подвешивания до смыкания первой из пружин рессорного подвешивания, м, определяют по формуле

, (Е.5)
где l0 j - высота пружины j-го типа в свободном состоянии, м;
lсм j - высота пружины j-го типа в сжатом состоянии с учетом неравномерности шага, м, определяют по формуле
lсм j = (n + 1,1)·d, (Е.6)
где n - число рабочих витков пружины;
d - диаметр прутка пружины, м.
1, 2...k - точки перелома вертикальной силовой
характеристики; I, II...K - участки вертикальной силовой
характеристики
Рисунок Е.1 - Кусочно-линейная вертикальная силовая
характеристика рессорного подвешивания
Е.3 Для расчета прочности пружины боковую силу, действующую на пружину в режиме Iв, определяют по Е.3.1 и
Е.3.2.
Е.3.1 Рессорное подвешивание проверяют на отсутствие замыкания боковых зазоров между боковой рамой и надрессорной балкой по условию

, (Е.7)
где

- боковая сила, действующая на рессорное подвешивание, Н, по
таблице Е.1;

- боковая сила, действующая на рессорное подвешивание и приводящая к замыканию боковых зазоров между боковой рамой и надрессорной балкой, Н, определяют по формуле

, (Е.8)
где

- суммарная горизонтальная жесткость пружин рессорного подвешивания, Н/м, определяют как сумму горизонтальных жесткостей отдельных пружин;

- номинальное значение бокового одностороннего перемещения из центрального положения надрессорной балки относительно боковой рамы тележки до ограничения, м (принимают в соответствии с конструкторской документацией, эксплуатационными и ремонтными документами).
Е.3.2 Для каждой отдельной пружины рессорного подвешивания определяют боковую силу пропорционально ее горизонтальной жесткости и прогибу при действии боковой силы на рессорное подвешивание, Н, по формуле

, (Е.9)
где

- горизонтальная жесткость пружины, Н/м, определяют методом конечных элементов по
Е.4;

- суммарная горизонтальная жесткость пружин рессорного подвешивания, Н/м, определяют как сумму горизонтальных жесткостей отдельных пружин;

- боковая сила, действующая на рессорное подвешивание, Н, принимают по
таблице Е.1 при выполнении условия
(Е.7); принимают

при невыполнении условия
(Е.7).
Е.4 Горизонтальную жесткость пружины рессорного подвешивания определяют методом конечных элементов. Расчетная схема для определения горизонтальной жесткости пружины с двумя опорными телами приведена на рисунке Е.2.
Ux, Uy, Uz - перемещение опорных тел вдоль осей x, y и z;

,

,

- угол поворота опорных тел относительно осей
x, y и z; Pгр - вертикальная сила, действующая на пружину;
Py - боковая сила, действующая на пружину и возвращающая ее
в исходное положение;

- отклонение пружины в боковом
направлении при действии на нее вертикальной силы;
H - высота пружины с учетом толщины нижнего и верхнего
опорных тел; 1 - верхнее опорное тело; 2 - пружина;
3 - нижнее опорное тело
Рисунок Е.2 - Расчетная схема для определения горизонтальной
жесткости пружины
Размеры опорных тел выбирают таким образом, чтобы толщина каждого из них была не менее диаметра прутка пружины, а остальные размеры - не менее наружного диаметра пружины.
Для описания граничных условий в расчетной схеме на
рисунке Е.2 принимают декартову систему координат, расположенную в основании нижнего опорного тела, центр которой совпадает с осевой линией пружины. Ось
z системы координат совпадает с осью пружины, ось
x принадлежит плоскости, образованной основанием нижнего опорного тела, а ось
y перпендикулярна осям
x и
z. Пружину ориентируют таким образом, чтобы окончание ее нижнего опорного витка при проекции на плоскость, образованную осями
x и
y, совпадало с осью
x.
В расчетной схеме на
рисунке Е.2 устанавливают следующие кинематические граничные условия:
- для нижнего опорного тела
Ux = Uy = Uz = 0; (Е.10)

; (Е.11)
- для верхнего опорного тела
Ux = 0 (первый расчетный случай)
или Uy = 0 (второй расчетный случай); (Е.12)

; (Е.13)
где Ux, Uy, Uz - перемещение опорных тел вдоль осей x, y и z;

,

,

- угол поворота опорных тел относительно осей
x,
y и
z.
Между опорными поверхностями витков пружины и опорными телами учитывают контактное взаимодействие с учетом коэффициента трения 0,3.
Модуль Юнга материала пружин E, Па, определяют по формуле

, (Е.14)
где

- коэффициент Пуассона материала пружин (принимают

).
Модуль Юнга материала опорных тел принимают на два порядка больше, чем для материала пружины.
Силовые граничные условия прикладывают к верхнему опорному телу в два этапа:
1) прикладывают к верхней поверхности верхнего опорного тела вертикальную силу
Pгр, Н, соответствующую вагону с максимальной расчетной массой и определяемую по
4.4.2. Пружина при приложении вертикальной силы деформируется в боковом направлении на величину

или

, м, в зависимости от расчетного случая для кинематических граничных условий
(Е.12);
2) прикладывают вдоль оси
y или
x к торцевой поверхности верхнего опорного тела, сжимающего деформированную при действии вертикальной силы
Pгр пружину, боковую силу
Py или
Px, Н, в зависимости от расчетного случая для кинематических граничных условий
(Е.12), которая не должна превышать силу, возвращающую пружину в исходное положение относительно вертикальной оси.
Горизонтальную жесткость пружины

, Н/м, рассчитывают по определенным значениям боковых сил
Py и
Px с учетом расчетных случаев кинематических граничных условий
(Е.12) по формуле

, (Е.15)
где
Py,
Px - боковая сила, действующая на пружину, приложенная вдоль оси
y и
x соответственно в зависимости от расчетного случая кинематических граничных условий
(Е.12) и возвращающая пружину в исходное положение относительно вертикальной оси, Н;

,

- боковое отклонение пружины вдоль оси
y и
x соответственно в зависимости от кинематических граничных условий
(Е.12) при действии на нее вертикальной силы
Pгр, м.
Е.5 Прочность пружины определяют методом конечных элементов при действии на нее сил по
Е.2 и
Е.3. Расчетная схема с граничными условиями для определения напряженно-деформированного состояния пружины приведена на
рисунке Е.3.
Для описания граничных условий в расчетной схеме на
рисунке Е.3 принимают декартову систему координат аналогично требованиям
Е.4.
В расчетной схеме на
рисунке Е.3 устанавливают следующие граничные условия:
- для нижнего опорного тела
Ux = Uy = Uz = 0; (Е.16)

; (Е.17)
Ux, Uy, Uz - перемещение опорных тел вдоль осей x, y и z;

,

,

- угол поворота опорных тел относительно осей
x, y и z; Pв, Pб - вертикальная и боковая силы, действующие
на пружину; H - высота пружины с учетом толщины нижнего
и верхнего опорных тел; 1 - верхнее опорное тело;
2 - пружина; 3 - нижнее опорное тело
Рисунок Е.3 - Расчетная схема с граничными условиями
для определения напряженно-деформированного
состояния пружины
- для верхнего опорного тела
Ux = 0; (Е.18)

, (Е.19)
где Ux, Uy, Uz - перемещение опорных тел вдоль осей x, y и z;

,

,

- угол поворота опорных тел относительно осей
x,
y и
z.
Между опорными поверхностями витков пружины и опорными телами учитывают контактное взаимодействие с учетом коэффициента трения 0,3.
При оценке прочности принимают требования к механическим характеристикам материала пружины и опорных тел аналогично
Е.4.
Силовые граничные условия прикладывают к верхнему опорному телу в два этапа:
1) прикладывают к верхней поверхности верхнего опорного тела вертикальную силу
Pв, Н, по
Е.2;
2) прикладывают вдоль оси
y к торцевой поверхности верхнего опорного тела, сжимающего деформированную при действии вертикальной силы
Pв пружину, боковую силу
Pб, Н, по
Е.3 в направлении, соответствующем направлению бокового отклонения пружины под действием вертикальной силы
Pв на первом этапе нагружения.
Оценку напряженно-деформированного состояния пружины проводят по
6.1.7.
(обязательное)
РЕЖИМЫ ПРОВЕРКИ И ТРЕБОВАНИЯ К ПРОЧНОСТИ ФИТИНГОВЫХ УПОРОВ
ВАГОНОВ-ПЛАТФОРМ ПРИ БОКОВОМ ОПРОКИДЫВАНИИ КОНТЕЙНЕРОВ
Приказом Росстандарта от 02.12.2022 N 1442-ст)
Ж.1 Фитинговые упоры вагонов-платформ, предназначенных для перевозки контейнеров, на которые оказывается силовое воздействие при боковом опрокидывании контейнера, а также крепления таких фитинговых упоров на раме вагона-платформы проверяют на прочность при совместном действии горизонтальной и вертикальной составляющих силы, приведенных в таблице Ж.1 или в
Ж.2,
Ж.3.
Типы контейнеров принимают в соответствии с конструкторской документацией.
Таблица Ж.1
Силы для определения прочности фитинговых упоров
вагонов-платформ, предназначенных для перевозки контейнеров
| Минимальная расчетная масса контейнера mк, кг | |
Горизонтальная составляющая N | Вертикальная составляющая G |
1EEE | 3800 | 64,2 | 42,8 |
1EE | 3700 | 57,5 | 38,4 |
1AAA | 3600 | 57,1 | 38,1 |
1AA | 3500 | 51,1 | 34,1 |
1A | 3200 | 48,1 | 32,1 |
1BBB | 2600 | 42,8 | 31,4 |
1BB | 2500 | 38,4 | 28,4 |
1B | 2500 | 36,1 | 26,7 |
1CC | 1800 | 28,6 | 19,0 |
1C | 1800 | 26,8 | 17,9 |
<1> В Российской Федерации - по ГОСТ Р 53350-2009 (ИСО 668:1995) "Контейнеры грузовые серии 1. Классификация, размеры и масса". <2> Расчетная нагрузка соответствует расчетной скорости ветра 40 м/с на высоте метеозамеров 10 м с учетом возможности движения вагона по мосту (насыпи) высотой 25 м. Полученные значения учитывают влияние возможных порывов ветра. Расчетная нагрузка получена для худшего, с точки зрения аэродинамики, сочетания параметров (специализированная вагон-платформа для перевозки контейнеров, не оборудованная настилом пола, с учетом возвышения наружного рельса в кривой). |
Ж.2 При перевозке на вагонах-платформах контейнеров с размерами, отсутствующими в таблице Ж.1, значения составляющих силы
N и
G, кН, следует определять по формулам:
- для горизонтальной составляющей

; (Ж.1)
- для вертикальной составляющей

, (Ж.2)
где A - коэффициент, равный 1,21 кН/м2;
B - коэффициент, равный 4,7 кН;
C - коэффициент, равный 0,77 кН/м2;
D - коэффициент, равный 5,0 кН;
Fбок - площадь боковой проекции контейнера, м2;
Fгор - площадь горизонтальной проекции контейнера, м2.
Ж.3 Допускается определять составляющие силы, действующей на контейнер, с помощью вычислительных методов газодинамики для следующих условий:
- модель вагона с установленным на ней контейнером располагается в кривом участке пути радиусом 650 м с возвышением наружного рельса 150 мм на насыпи (мосту) высотой 25 м;
- скорость ветра 40 м/с, направление ветра выбирают таким образом, чтобы он составлял угол

с направлением движения вагона (рисунок Ж.1), принимают

;
- рассматривают два случая: вагон не двигается, ветер действует с наружной стороны кривой [рисунок Ж.1а)]; вагон движется со скоростью, равной его конструкционной скорости, ветер действует с внутренней стороны кривой [рисунок Ж.1б)]. Из двух расчетных случаев выбирают случай с наибольшими составляющими силы.
Рисунок Ж.1 - Направление ветра
Ж.4 Схемы приложения сил приведены на рисунках Ж.2 или
Ж.3. Вариант, показанный на
рисунке Ж.3, применяют при испытаниях.

- распределенная по боковой поверхности контейнера
горизонтальная составляющая силы N, кН/м2;

- распределенная по нижней поверхности контейнера
вертикальная составляющая силы G, кН/м2; mк - минимальная
расчетная масса контейнера, кг; hр - возвышение наружного
рельса в кривой, м; 2s - расстояние между кругами катания
колес в кривой, м;

- угол наклона вагона в кривой, равный
5,36°; g - ускорение свободного падения, м/с2
Рисунок Ж.2 - Схема приложения распределенных сил
Pисп - испытательная сила, кН;

- угол наклона рамы вагона,
соответствующий углу наклона вагона в кривой, градусы;

- угол, определяющий направление линии действия
испытательной силы, градусы; AD - расстояние от нижней грани
контейнера до точки приложения сжимающей испытательной силы,
м; OE - расстояние от нижней грани контейнера до точки
приложения растягивающей испытательной силы, м
Рисунок Ж.3 - Схема приложения сосредоточенных сил
(применяют при испытаниях)
Ж.5 В случае, показанном на рисунке Ж.3, вагон располагают под углом

относительно продольной оси пути, принимают

. На боковую поверхность контейнера в точке
D или в точке
E прикладывают силу
Pисп, эквивалентную действию распределенной горизонтальной составляющей силы
N, кН, и распределенной вертикальной составляющей силы
G, кН, и действующую под углом

, градусы.
Ж.6 Значения силы
Pисп, кН, и угла приложения силы

, градусы, определяют с использованием значений составляющих силы
N,
G по
Ж.1 или
Ж.2 и
Ж.3 по формулам:

, (Ж.3)

, (Ж.4)
где

- угол наклона рамы вагона, соответствующий углу наклона вагона в кривой, градусы.
Ж.7 Координаты точек
D и
E (направления осей
y,
z показаны на
рисунке Ж.3) приложения испытательной силы определяют по формулам

, (Ж.5)
где zi - абсцисса точек D (i = 1) или E (i = 2), м;
yi - ордината точек D или E, м, принимают y1 = b, y2 = 0;

- угол наклона рамы вагона, соответствующий углу наклона вагона в кривой, градусы;
N,
G - составляющие силы по
Ж.1 или
Ж.2 и
Ж.3;
M - величина момента действующих на контейнер сил в кривой, Нм, определяют по формуле

, (Ж.6)
где b - ширина контейнера, м;
h - высота контейнера, м.
Ж.8 Допускается проводить испытания с порожним контейнером, имеющим

массу, чем масса, приведенная в
таблице Ж.1.
В этом случае значение силы Pисп определяют по формулам:

, (Ж.7)

, (Ж.8)
где mисп.к. - масса контейнера, применяемого в испытаниях, кг;
mк - масса контейнера по
таблице Ж.1, того же типа, что и контейнер, применяемый в испытаниях, кг;
N,
G - составляющие силы по
Ж.1 или
Ж.2 и
Ж.3;
b - ширина контейнера, м;
h - высота контейнера, м;

- угол наклона рамы вагона, соответствующий углу наклона вагона в кривой, градусы;
z2 - абсцисса точки E, м;

- угол, определяющий направление линии действия испытательной силы, градусы.
Ж.9 Оценку прочности фитинговых упоров расчетным методом проводят согласно
6.1.3,
таблица 8 (для составных частей кузова согласно показателю 2). При определении прочности методом испытаний дополнительно визуально определяют отсутствие остаточных деформаций, смятия и повреждения конструкции.
| Соглашение о международном железнодорожном грузовом сообщении (СМГС). Приложение 2. Правила перевозок опасных грузов. Организация сотрудничества железных дорог (ОСЖД). Действует с 1 ноября 1951 г. с изменениями и дополнениями на 1 июля 2021 г. |
(в ред. Изменения N 1, введенного в действие Приказом Росстандарта от 02.12.2022 N 1442-ст) |
| СНиП 2.01.07-85 Строительные нормы и правила. Нагрузки и воздействия. Утверждены Постановлением Государственного комитета СССР по делам строительства от 29 августа 1985 г. N 135 <1> |
(в ред. Изменения N 1, введенного в действие Приказом Росстандарта от 02.12.2022 N 1442-ст) |
| Соглашение о международном железнодорожном грузовом сообщении (СМГС). Приложение 14. Правила размещения и крепления грузов в вагонах и контейнерах. Организация сотрудничества железных дорог (ОСЖД). Действует с 1 ноября 1951 г. с изменениями и дополнениями на 1 июля 2011 г. |
<1> В Российской Федерации действует СП 20.13330.2016 "СНиП 2.01.07-85*. Нагрузки и воздействия" В Республике Беларусь действует СН 2.01.04-2019 "Воздействия на конструкции. Общие воздействия. Снеговые нагрузки". |
(сноска введена Изменением N 1, введенным в действие Приказом Росстандарта от 02.12.2022 N 1442-ст) |
УДК 625.24:006.354 | |
Ключевые слова: несущая конструкция, кузов, тележка, автосцепное устройство, прочность, сопротивление усталости, динамические качества |