Главная // Актуальные документы // ГОСТ (Государственный стандарт)СПРАВКА
Источник публикации
М.: Стандартинформ, 2020
Примечание к документу
Текст данного документа приведен с учетом
поправки, опубликованной в "ИУС", N 1, 2021;
поправки, введенной в действие с 23.08.2021, опубликованной в "ИУС", N 1, 2022.
Документ
введен в действие с 01.12.2020.
Название документа
"ГОСТ 14918-2020. Межгосударственный стандарт. Прокат листовой горячеоцинкованный. Технические условия"
(введен в действие Приказом Росстандарта от 30.06.2020 N 332-ст)
"ГОСТ 14918-2020. Межгосударственный стандарт. Прокат листовой горячеоцинкованный. Технические условия"
(введен в действие Приказом Росстандарта от 30.06.2020 N 332-ст)
агентства по техническому
регулированию и метрологии
от 30 июня 2020 г. N 332-ст
МЕЖГОСУДАРСТВЕННЫЙ СТАНДАРТ
ПРОКАТ ЛИСТОВОЙ ГОРЯЧЕОЦИНКОВАННЫЙ
ТЕХНИЧЕСКИЕ УСЛОВИЯ
Hot-dip zinc-coated steel sheet. Specifications
(ISO 3575:2016, NEQ)
(ISO 4998:2014, NEQ)
(ISO 16163:2012, NEQ)
(EN 10143:2006, NEQ)
(EN 10346:2015, NEQ)
ГОСТ 14918-2020
Дата введения
1 декабря 2020 года
Цели, основные принципы и общие правила проведения работ по межгосударственной стандартизации установлены
ГОСТ 1.0 "Межгосударственная система стандартизации. Основные положения" и
ГОСТ 1.2 "Межгосударственная система стандартизации. Стандарты межгосударственные, правила и рекомендации по межгосударственной стандартизации. Правила разработки, принятия, обновления и отмены"
1 ПОДГОТОВЛЕН Акционерным обществом "Уральский институт металлов" (АО "УИМ")
2 ВНЕСЕН Техническим комитетом по стандартизации ТК 367 "Чугун, прокат и металлоизделия"
3 ПРИНЯТ Межгосударственным советом по стандартизации, метрологии и сертификации (протокол от 30 июня 2020 г. N 131-П)
За принятие проголосовали:
Краткое наименование страны по МК (ИСО 3166) 004-97 | Код страны по МК (ИСО 3166) 004-97 | Сокращенное наименование национального органа по стандартизации |
Азербайджан | AZ | Азстандарт |
Армения | AM | ЗАО "Национальный орган по стандартизации и метрологии" Республики Армения |
Беларусь | BY | Госстандарт Республики Беларусь |
Киргизия | KG | Кыргызстандарт |
Россия | RU | Росстандарт |
Таджикистан | TJ | Таджикстандарт |
Узбекистан | UZ | Узстандарт |
4
Приказом Федерального агентства по техническому регулированию и метрологии от 30 июня 2020 г. N 332-ст межгосударственный стандарт ГОСТ 14918-2020 введен в действие в качестве национального стандарта Российской Федерации с 1 декабря 2020 г.
5 В настоящем стандарте учтены основные нормативные положения следующих международных и европейских стандартов:
- ISO 3575:2016 "Сталь углеродистая тонколистовая с покрытием, нанесенным непрерывным методом горячего цинкования, торгового качества и для вытяжки" ("Continuous hot-dip zinc-coated carbon steel sheet of commercial and drawing qualities", NEQ);
- ISO 4998:2014 "Сталь углеродистая тонколистовая конструкционная с горячим цинковым покрытием или покрытием из железоцинкового сплава, нанесенным непрерывным методом" ("Continuous hot-dip zinc-coated and zinc-iron alloy-coated carbon steel sheet of structural quality", NEQ);
- ISO 16163:2012 "Прокат стальной листовой с горячим покрытием, нанесенным непрерывным методом. Допуски на размеры и форму" ("Continuously hot-dipped coated steel sheet products - Dimensional and shape tolerances", NEQ);
- EN 10143:2006 "Листы и полосы стальные с горячим непрерывным металлическим покрытием. Допуски на размеры и форму" ("Continuously hot-dip coated steel sheet and strip. Tolerances on dimensions and shape", NEQ);
- EN 10346:2015 "Прокат плоский стальной для холодной штамповки с непрерывным покрытием, нанесенным методом погружения в расплав. Технические условия поставки" ("Continuously hot-dip coated steel flat products for cold forming. Technical delivery conditions", NEQ)
--------------------------------
<1>
Приказом Федерального агентства по техническому регулированию и метрологии от 30 июня 2020 г. N 332-ст
ГОСТ Р 52246-2016 отменен с 1 декабря 2020 г.
Информация о введении в действие (прекращении действия) настоящего стандарта и изменений к нему на территории указанных выше государств публикуется в указателях национальных стандартов, издаваемых в этих государствах, а также в сети Интернет на сайтах соответствующих национальных органов по стандартизации.
В случае пересмотра, изменения или отмены настоящего стандарта соответствующая информация будет опубликована на официальном интернет-сайте Межгосударственного совета по стандартизации, метрологии и сертификации в каталоге "Межгосударственные стандарты"
Настоящий стандарт распространяется на листовой прокат из низкоуглеродистой стали с цинковым, железоцинковым, цинкалюминиевым, цинкалюмомагниевым, алюмоцинковым покрытиями, нанесенными методом непрерывного погружения в расплав (далее - оцинкованный прокат). Оцинкованный прокат предназначен для изготовления профилированных, штампованных и сварных изделий, а также металлических изделий методами изгиба и соединением в замок.
Оцинкованный прокат может применяться в качестве основы для производства листового проката с полимерным покрытием по
ГОСТ 34180 и по
[1].
Антикоррозионная защита, получаемая за счет покрытия, пропорциональна массе или толщине покрытия.
Применение строительных конструкций из оцинкованного проката в зависимости от степени агрессивного воздействия газообразных сред при температурах от минус 50 °C до плюс 50 °C установлено в действующих нормативных документах по защите от коррозии <1>, ориентировочные данные о потере массы цинкового покрытия за год эксплуатации в атмосферах различной коррозионной активности приведены в
[2].
--------------------------------
<1> В Российской Федерации действует
СП 28.13330.2017 "СНиП 2.03.11-85 Защита строительных конструкций от коррозии".
В настоящем стандарте использованы нормативные ссылки на следующие стандарты:
ГОСТ 9.008 Единая система защиты от коррозии и старения. Покрытия металлические и неметаллические неорганические. Термины и определения
ГОСТ 166 (ИСО 3599-76) Штангенциркули. Технические условия
ГОСТ 503 Лента холоднокатаная из низкоуглеродистой стали. Технические условия
ГОСТ 1381 Уротропин технический. Технические условия
ГОСТ 1497 (ИСО 6892-84) Металлы. Методы испытаний на растяжение
ГОСТ 1770 (ИСО 1042-83, ИСО 4788-80) Посуда мерная лабораторная стеклянная. Цилиндры, мензурки, колбы, пробирки. Общие технические условия
ГОСТ 3118 Реактивы. Кислота соляная. Технические условия
ГОСТ 3560 Лента стальная упаковочная. Технические условия
ГОСТ 4765 Материалы лакокрасочные. Метод определения прочности при ударе
ГОСТ 6009 Лента стальная горячекатаная. Технические условия
ГОСТ 6709 Вода дистиллированная. Технические условия
ГОСТ 7564 Прокат. Общие правила отбора проб, заготовок и образцов для механических и технологических испытаний
ГОСТ 7566-2018 Металлопродукция. Правила приемки, маркировка, упаковка, транспортирование и хранение
ГОСТ 9045 Прокат тонколистовой холоднокатаный из низкоуглеродистой качественной стали для холодной штамповки. Технические условия
ГОСТ 10510 (ИСО 8490-86) Металлы. Метод испытания на выдавливание листов и лент по Эриксену
ГОСТ 11701 Металлы. Методы испытаний на растяжение тонких листов и лент
ГОСТ 14019 (ИСО 7438:1985) Материалы металлические. Метод испытания на изгиб
ГОСТ 15150 Машины, приборы и другие технические изделия. Исполнения для различных климатических районов. Категории, условия эксплуатации, хранения и транспортирования в части воздействия климатических факторов внешней среды
ГОСТ 15846-2002 Продукция, отправляемая в районы Крайнего Севера и приравненные к ним местности. Упаковка, маркировка, транспортирование и хранение
ГОСТ 16523 Прокат тонколистовой из углеродистой стали качественной и обыкновенного качества общего назначения. Технические условия
ГОСТ 18895 Сталь. Метод фотоэлектрического спектрального анализа <1>
--------------------------------
<1> В Российской Федерации действует
ГОСТ Р 54153-2010 "Сталь. Метод атомно-эмиссионного спектрального анализа".
ГОСТ 19903 Прокат листовой горячекатаный. Сортамент
ГОСТ 19904 Прокат листовой холоднокатаный. Сортамент
ГОСТ 21241 Пинцеты медицинские. Общие технические требования и методы испытаний
ГОСТ 22235 Вагоны грузовые магистральных железных дорог колеи 1520 мм. Общие требования по обеспечению сохранности при производстве погрузочно-разгрузочных и маневровых работ
ГОСТ 24104 Весы лабораторные. Общие технические требования <2>
--------------------------------
<2> В Российской Федерации действует
ГОСТ Р 53228-2008 "Весы неавтоматического действия. Часть 1. Метрологические и технические требования. Испытания".
ГОСТ 25336 Посуда и оборудование лабораторные стеклянные. Типы, основные параметры и размеры
ГОСТ 28498 Термометры жидкостные стеклянные. Общие технические требования. Методы испытаний
ГОСТ 30415 Сталь. Неразрушающий контроль механических свойств и микроструктуры металлопродукции магнитным методом
ГОСТ 34180 Прокат стальной тонколистовой холоднокатаный и холоднокатаный горячеоцинкованный с полимерным покрытием с непрерывных линий. Технические условия
Примечание - При пользовании настоящим стандартом целесообразно проверить действие ссылочных стандартов и классификаторов на официальном интернет-сайте Межгосударственного совета по стандартизации, метрологии и сертификации (www.easc.by) или по указателям национальных стандартов, издаваемым в государствах, указанных в предисловии, или на официальных сайтах соответствующих национальных органов по стандартизации. Если на документ дана недатированная ссылка, то следует использовать документ, действующий на текущий момент, с учетом всех внесенных в него изменений. Если заменен ссылочный документ, на который дана датированная ссылка, то следует использовать указанную версию этого документа. Если после принятия настоящего стандарта в ссылочный документ, на который дана датированная ссылка, внесено изменение, затрагивающее положение, на которое дана ссылка, то это положение применяется без учета данного изменения. Если ссылочный документ отменен без замены, то положение, в котором дана ссылка на него, применяется в части, не затрагивающей эту ссылку.
В настоящем стандарте применены термины по
ГОСТ 9.008, а также следующие термины с соответствующими определениями:
3.1 цинковое покрытие; Ц: Покрытие, полученное на поверхности проката при погружении его в расплав цинка.
3.2 железоцинковое покрытие; ЖЦ: Покрытие, полученное в результате специальной термической обработки проката с цинковым покрытием, при которой происходит диффузия железа из стальной основы в цинковое покрытие, характеризующееся серым цветом, отсутствием узоров кристаллизации и блеска.
3.3 цинкалюминиевое покрытие; ЦА: Покрытие, полученное на поверхности проката при погружении его в цинкалюминиевый расплав.
3.4 цинкалюмомагниевое покрытие; ЦАМ: Покрытие, полученное на поверхности проката при погружении его в цинкалюмомагниевый расплав.
3.5 алюмоцинковое покрытие; АЦ: Покрытие, полученное на поверхности проката при погружении его в алюмоцинковый расплав.
3.6 цинковое покрытие с нормальным узором кристаллизации; Н: Цинковое покрытие, полученное в результате свободной кристаллизации цинка на поверхности проката, характеризующееся блеском и наличием узора кристаллизации (кристаллы различных размеров и яркости).
3.7 цинковое покрытие с минимальным узором кристаллизации; М: Цинковое покрытие, полученное в результате регулируемой кристаллизации цинка на поверхности проката путем специальной обработки покрытия или применения специального состава расплава, характеризующееся минимальным узором кристаллизации или его отсутствием.
3.8 дрессированное покрытие: Покрытие, полученное в результате холодной прокатки проката в дрессировочной клети, характеризующейся заданной степенью шероховатости покрытия и пригодностью для окрашивания с непрерывных линий.
3.9 дифференцированное покрытие: Покрытие, имеющее разную массу на противоположных сторонах проката.
3.10 масса покрытия: Общая масса покрытия, нанесенного с двух сторон на один квадратный метр листового проката, выраженная в граммах.
3.11 промасливание: Способ консервации поверхности покрытия проката для защиты от коррозии при транспортировании и хранении; характеризуется массой масла, нанесенного с одной или двух сторон проката, выраженной в граммах на один квадратный метр поверхности.
3.12 пассивирование: Способ консервации (или антикоррозионной обработки) поверхности оцинкованного проката для его защиты от коррозии при транспортировании и хранении.
4.1 Оцинкованный прокат подразделяют по типу покрытия следующим образом:
- прокат с цинковым покрытием (Ц);
- прокат с железоцинковым покрытием (ЖЦ);
- прокат с цинкалюминиевым покрытием (ЦА);
- прокат с цинкалюмомагниевым покрытием (ЦАМ);
- прокат с алюмоцинковым покрытием (АЦ).
4.2 Оцинкованный прокат подразделяют по назначению на марки:
- 01 - для изготовления плоских изделий и плоских изделий методом изгиба, общего назначения;
- 02 - для изготовления посудо-хозяйственных изделий, изделий методом изгиба и соединением в замок, для изготовления штампованных изделий нормальной и глубокой вытяжки;
- 03 - для изготовления штампованных изделий весьма глубокой вытяжки и сложных профилей;
- 04 - для изготовления штампованных изделий сложной вытяжки;
- 05 - для изготовления штампованных изделий особо сложной вытяжки;
- 06 - для изготовления штампованных изделий весьма особо сложной вытяжки;
- 07 - для изготовления штампованных изделий сверхглубокой вытяжки;
- 220, 250, 280, 320, 350, 390, 420, 450 - для изготовления холодно профилированных изделий для строительства.
Соответствие марок оцинкованного проката, установленных настоящим стандартом, маркам, установленным другими нормативными документами, приведено в
приложении А.
4.3 Оцинкованный прокат по точности изготовления по толщине (Т), ширине (Ш), длине (Д), плоскостности (П) и серповидности (С) подразделяют на категории:
- нормальной точности - Б (БТ, БШ, БД, БП, БС);
- повышенной точности - А (АТ, АШ, АД, АП, АС);
- высокой точности - В (ВТ, ВШ, ВД, ВП, ВС).
4.4 Оцинкованный прокат по характеру кромки подразделяют следующим образом:
- прокат с необрезной кромкой - НО;
- прокат с обрезной кромкой - О <1>.
--------------------------------
<1> Изготовляют продольной резкой кромок оцинкованного проката.
4.5 Покрытия, нанесенные с двух сторон проката, подразделяют в зависимости от массы покрытия на классы:
- цинковое покрытие: 60, 80, 100, 120, 140, 150, 180, 200, 225, 275, 350, 450, 500, 600;
- железоцинковое покрытие: 60, 80, 100, 120, 140, 150, 180;
- цинкалюминиевое покрытие: 96, 130, 185, 200, 255, 300;
- цинкалюмомагниевое покрытие: 60, 70, 80, 90, 100, 120, 130, 140, 150, 160, 175, 190, 200, 250, 300, 430;
- алюмоцинковое покрытие: 40, 50, 60, 70, 80, 90, 100, 120, 130, 140, 150, 160, 180, 190, 200, 225, 250, 300, 350, 400.
4.6 Цинковое покрытие проката по узору кристаллизации цинка подразделяют на виды:
- с нормальным узором кристаллизации - Н;
- с минимальным узором кристаллизации - М.
4.7 Покрытия оцинкованного проката по качеству отделки поверхности подразделяют на группы:
- обычного качества (без обозначения группы отделки);
- улучшенного качества - У;
- высокого качества - В.
4.8 Оцинкованный прокат по способу консервации поверхности подразделяют следующим образом:
- пассивированный - ПС;
- промасленный - ПР;
- пассивированный и промасленный - ПП;
- без консервации - БК.
5 Основные параметры и размеры
5.1 Оцинкованный прокат изготовляют толщиной от 0,22 до 4,50 мм в рулонах шириной от 600 до 1800 мм, в листах шириной от 700 до 1800 мм. Толщина проката включает толщину покрытия.
5.2 Оцинкованную ленту изготовляют толщиной от 0,22 до 4,50 мм, шириной менее 600, но не менее 30 мм продольной резкой (роспуском) рулонов оцинкованного проката.
По требованию потребителя ленту изготовляют других размеров по ширине.
5.3 Внутренний диаметр рулонов должен быть:
- цинкованного проката - 500, 508, 600, 610, 750 мм;
- ленты - от 300 до 750 мм.
Предельное отклонение внутреннего диаметра рулонов +/- 20 мм.
Наружный диаметр рулонов и ленты не должен превышать 1850 мм. По согласованию сторон допускается увеличение наружного диаметра рулонов.
Внутренний диаметр рулона потребитель указывает в заказе. При отсутствии в заказе указаний величину внутреннего диаметра рулонов определяет изготовитель.
5.4 Предельные отклонения по толщине оцинкованного проката в зависимости от марок, категорий точности изготовления и номинальной ширины проката должны соответствовать значениям, указанным в таблицах 1 и
2.
Таблица 1
Предельные отклонения по толщине оцинкованного проката
марок 01 - 07
В миллиметрах
Номинальная толщина проката | Предельное отклонение по толщине при ширине проката |
нормальной точности (Б) | повышенной точности (А) | высокой точности (В) |
До 1200 включ. | Св. 1200 до 1500 включ. | Св. 1500 до 1800 включ. | До 1200 включ. | Св. 1200 до 1500 включ. | Св. 1500 до 1800 включ. | До 1200 включ. | Св. 1200 до 1500 включ. | Св. 1500 до 1800 включ. |
До 0,40 включ. | +/- 0,06 | +/- 0,07 | +/- 0,08 | +/- 0,05 | +/- 0,06 | +/- 0,07 | +/- 0,03 | +/- 0,04 | +/- 0,05 |
Св. 0,40 до 0,60 включ. | +/- 0,07 | +/- 0,08 | +/- 0,10 | +/- 0,06 | +/- 0,07 | +/- 0,08 | +/- 0,04 | +/- 0,05 | +/- 0,06 |
Св. 0,60 до 0,80 включ. | +/- 0,09 | +/- 0,10 | +/- 0,11 | +/- 0,07 | +/- 0,08 | +/- 0,09 | +/- 0,05 | +/- 0,06 | +/- 0,06 |
Св. 0,80 до 1,00 включ. | +/- 0,10 | +/- 0,11 | +/- 0,12 | +/- 0,08 | +/- 0,09 | +/- 0,10 | +/- 0,06 | +/- 0,07 | +/- 0,07 |
Св. 1,00 до 1,20 включ. | +/- 0,11 | +/- 0,12 | +/- 0,14 | +/- 0,09 | +/- 0,10 | +/- 0,11 | +/- 0,07 | +/- 0,08 | +/- 0,08 |
Св. 1,20 до 1,60 включ. | +/- 0,13 | +/- 0,14 | +/- 0,16 | +/- 0,11 | +/- 0,12 | +/- 0,12 | +/- 0,08 | +/- 0,09 | +/- 0,09 |
Св. 1,60 до 2,00 включ. | +/- 0,18 | +/- 0,20 | +/- 0,22 | +/- 0,13 | +/- 0,14 | +/- 0,14 | +/- 0,09 | +/- 0,10 | +/- 0,10 |
Св. 2,00 до 2,50 включ. | +/- 0,19 | +/- 0,22 | +/- 0,24 | +/- 0,15 | +/- 0,16 | +/- 0,16 | +/- 0,11 | +/- 0,11 | +/- 0,12 |
Св. 2,50 до 3,00 включ. | +/- 0,21 | +/- 0,23 | +/- 0,25 | +/- 0,17 | +/- 0,18 | +/- 0,18 | +/- 0,12 | +/- 0,12 | +/- 0,13 |
Св. 3,00 до 4,00 включ. | +/- 0,23 | +/- 0,25 | +/- 0,27 | +/- 0,19 | +/- 0,20 | +/- 0,21 | +/- 0,14 | +/- 0,14 | +/- 0,16 |
Св. 4,00 до 4,50 включ. | +/- 0,25 | +/- 0,27 | +/- 0,29 | +/- 0,21 | +/- 0,22 | +/- 0,24 | +/- 0,16 | +/- 0,16 | +/- 0,18 |
Примечание - По согласованию сторон допускается изготовление проката с несимметричным полем допусков. |
Таблица 2
Предельные отклонения по толщине оцинкованного проката
марок 220 - 450
В миллиметрах
Номинальная толщина проката | Предельное отклонение по толщине при ширине проката |
нормальной точности (Б) | повышенной точности (А) | высокой точности (В) |
До 1200 включ. | Св. 1200 до 1500 включ. | Св. 1500 до 1800 включ. | До 1200 включ. | Св. 1200 до 1500 включ. | Св. 1500 до 1800 включ. | До 1200 включ. | Св. 1200 до 1500 включ. | Св. 1500 до 1800 включ. |
До 0,40 включ. | +/- 0,06 | +/- 0,07 | +/- 0,08 | +/- 0,06 | +/- 0,07 | +/- 0,08 | +/- 0,04 | +/- 0,05 | +/- 0,06 |
Св. 0,40 до 0,60 включ. | +/- 0,07 | +/- 0,08 | +/- 0,10 | +/- 0,07 | +/- 0,08 | +/- 0,09 | +/- 0,05 | +/- 0,06 | +/- 0,07 |
Св. 0,60 до 0,80 включ. | +/- 0,09 | +/- 0,10 | +/- 0,11 | +/- 0,08 | +/- 0,09 | +/- 0,11 | +/- 0,06 | +/- 0,07 | +/- 0,07 |
Св. 0,80 до 1,00 включ. | +/- 0,10 | +/- 0,11 | +/- 0,12 | +/- 0,09 | +/- 0,11 | +/- 0,12 | +/- 0,07 | +/- 0,08 | +/- 0,08 |
Св. 1,00 до 1,20 включ. | +/- 0,11 | +/- 0,12 | +/- 0,14 | +/- 0,11 | +/- 0,12 | +/- 0,13 | +/- 0,08 | +/- 0,09 | +/- 0,09 |
Св. 1,20 до 1,60 включ. | +/- 0,13 | +/- 0,14 | +/- 0,16 | +/- 0,13 | +/- 0,14 | +/- 0,14 | +/- 0,09 | +/- 0,11 | +/- 0,11 |
Св. 1,60 до 2,00 включ. | +/- 0,18 | +/- 0,20 | +/- 0,22 | +/- 0,15 | +/- 0,17 | +/- 0,17 | +/- 0,11 | +/- 0,12 | +/- 0,12 |
Св. 2,00 до 2,50 включ. | +/- 0,19 | +/- 0,22 | +/- 0,24 | +/- 0,18 | +/- 0,19 | +/- 0,19 | +/- 0,13 | +/- 0,14 | +/- 0,14 |
Св. 2,50 до 3,00 включ. | +/- 0,21 | +/- 0,23 | +/- 0,25 | +/- 0,20 | +/- 0,21 | +/- 0,21 | +/- 0,14 | +/- 0,15 | +/- 0,15 |
Св. 3,00 до 4,00 включ. | +/- 0,23 | +/- 0,25 | +/- 0,27 | +/- 0,21 | +/- 0,22 | +/- 0,23 | +/- 0,16 | +/- 0,17 | +/- 0,17 |
Св. 4,00 до 4,50 включ. | +/- 0,25 | +/- 0,27 | +/- 0,29 | +/- 0,23 | +/- 0,24 | +/- 0,25 | +/- 0,18 | +/- 0,19 | +/- 0,19 |
Примечание - По согласованию сторон допускается изготовление проката с несимметричным полем допусков. |
Предельные отклонения по толщине ленты должны соответствовать значениям, указанным в
таблицах 1 и
2 для оцинкованного проката шириной до 1200 мм включительно.
5.4.1 По согласованию сторон оцинкованный прокат и ленту толщиной от 0,30 до 3,00 мм изготовляют с уменьшенными предельными отклонениями по толщине (УТ), указанными в таблице 3.
Таблица 3
Уменьшенные предельные отклонения по толщине
оцинкованного проката
В миллиметрах
Номинальная толщина проката | Предельные отклонения от номинальной толщины при ширине проката |
До 1000 включ. | Св. 1000 до 1300 включ. | Св. 1300 до 1500 включ. | Св. 1500 |
От 0,30 до 0,40 включ. | +/- 0,02 | +/- 0,02 | +/- 0,02 | - |
Св. 0,40 до 0,50 включ. | +/- 0,02 | +/- 0,02 | +/- 0,03 | +/- 0,04 |
Св. 0,50 до 0,65 включ. | +/- 0,03 | +/- 0,03 | +/- 0,03 | +/- 0,04 |
Св. 0,65 до 0,90 включ. | +/- 0,03 | +/- 0,03 | +/- 0,04 | +/- 0,05 |
Св. 0,90 до 1,20 включ. | +/- 0,04 | +/- 0,05 | +/- 0,05 | +/- 0,06 |
Св. 1,20 до 1,40 включ. | +/- 0,05 | +/- 0,05 | +/- 0,05 | +/- 0,06 |
Св. 1,40 до 1,50 включ. | +/- 0,05 | +/- 0,06 | +/- 0,06 | +/- 0,07 |
Св. 1,50 до 1,80 включ. | +/- 0,06 | +/- 0,06 | +/- 0,06 | +/- 0,07 |
Св. 1,80 до 2,00 включ. | +/- 0,06 | +/- 0,07 | +/- 0,07 | +/- 0,08 |
Св. 2,00 до 2,50 включ. | +/- 0,07 | +/- 0,08 | +/- 0,08 | +/- 0,09 |
Св. 2,50 до 3,00 включ. | +/- 0,08 | +/- 0,08 | - | - |
Примечание - По согласованию сторон допускается изготовление проката с несимметричным полем допусков. |
Предельные отклонения по толщине ленты должны соответствовать значениям, указанным в
таблице 3 для оцинкованного проката шириной до 1000 мм включительно.
5.5 Предельные отклонения по ширине оцинкованного проката с обрезной кромкой (О) в зависимости от категорий точности изготовления должны соответствовать значениям, указанным в таблице 4.
Таблица 4
Предельные отклонения по ширине проката с обрезной кромкой
В миллиметрах
Номинальная ширина проката | Предельные отклонения по ширине проката |
нормальной точности (Б) | повышенной точности (А) | высокой точности (В) |
не более |
Менее 600 | +1,5 | +1,0 | +0,6 |
От 600 до 1200 включ. | +7,0 | +5,0 | +2,0 |
Св. 1200 " 1500 " | +7,0 | +6,0 | +2,0 |
" 1500 " 1800 " | +10,0 | +7,0 | +3,0 |
Примечания 1 По согласованию сторон предельное отклонение по ширине ленты может быть установлено симметричным при соответствии полю допуска, указанному в настоящей таблице. 2 Для ленты шириной менее 30 мм предельные отклонения по ширине устанавливают по согласованию сторон. |
Предельные отклонения по ширине оцинкованного проката с необрезной кромкой (НО) не должны превышать:
- плюс 20 мм при толщине проката до 2,00 мм включительно;
- плюс 20 мм при толщине проката свыше 2,00 мм при ширине до 1000 мм включительно;
- плюс 30 мм при толщине проката свыше 2,00 мм при ширине свыше 1000 мм.
По согласованию сторон изготовляют рулоны с необрезной кромкой с уменьшенными предельными отклонениями по ширине.
5.6 Предельные отклонения по длине листов в зависимости от категории точности изготовления проката должны соответствовать значениям, указанным в таблице 5.
Таблица 5
Предельное отклонение по длине листов оцинкованного проката
В миллиметрах
Номинальная длина листов | Предельное отклонение по длине листов проката |
нормальной точности (Б) | повышенной точности (А) | высокой точности (В) |
не более |
До 2000 включ. | +20 | +6 | +3 |
Св. 2000 | +0,01l | +0,003l | +0,0015l |
Примечание - l - длина листа. |
5.7 Косина реза не должна выводить листы за номинальные размеры.
5.8 Отклонения от плоскостности листов на 1 м длины в зависимости от категории точности изготовления должны соответствовать значениям, указанным в таблице 6.
Таблица 6
Отклонение от плоскостности листов оцинкованного проката
В миллиметрах
Номинальная толщина листов | Номинальная ширина листов | Отклонение от плоскостности листов проката |
нормальной точности (Б) | повышенной точности (А) | высокой точности (В) |
не более |
До 0,70 включ. | От 700 до 1200 включ. | 15 | 12 | 5 |
Св. 1200 " 1500 " | 18 | 15 | 6 |
" 1500 " 1800 " | 22 | 19 | 8 |
Св. 0,70 до 1,20 включ. | От 700 до 1200 включ. | 13 | 10 | 4 |
Св. 1200 " 1500 " | 15 | 12 | 5 |
" 1500 " 1800 " | 20 | 17 | 7 |
Св. 1,20 до 4,50 включ. | От 700 до 1200 включ. | 10 | 8 | 3 |
Св. 1200 " 1500 " | 13 | 10 | 4 |
" 1500 " 1800 " | 19 | 15 | 6 |
Примечание - Для листов с покрытием классов 450 и более предельные отклонения от плоскостности устанавливают по категории точности изготовления Б. |
Предельные отклонения от плоскостности оцинкованного проката в рулонах устанавливают по согласованию сторон.
5.9 Серповидность оцинкованного проката при поставке в листах в зависимости от категории точности изготовления должна соответствовать значениям, указанным в таблице 7.
Таблица 7
Серповидность оцинкованного проката при поставке в листах
В миллиметрах
Вид проката | Длина проката | Серповидность проката |
нормальной точности (Б) | повышенной точности (А) | высокой точности (В) |
не более |
Листы | До 1000 включ. | 4 | 3 | 1 |
Св. 1000 до 2000 включ. | 8 | 6 | 2 |
Св. 2000 | 0,004·l | 0,003·l | 0,002·l |
Примечание - Для проката, изготовляемого в рулонах, может устанавливаться величина серповидности по согласованию изготовителя с потребителем. Определение величины серповидности рулона у изготовителя допускается не проводить. |
5.10 Телескопичность рулонов в зависимости от ширины и толщины проката не должна превышать норм, указанных в таблице 8.
Таблица 8
Телескопичность рулонов
В миллиметрах
Ширина рулонов | Телескопичность рулонов, не более, при толщине проката |
до 2,50 включ. | св. 2,50 |
Менее 600 | 15 | 15 |
От 600 до 1000 включ. | 40 | 30 |
Св. 1000 " 1800 " | 50 | 40 |
Примечания 1 По требованию потребителя телескопичность рулонов не должна превышать 50 мм для проката толщиной до 2,50 мм и шириной 1000 - 1800 мм. 2 По согласованию сторон допускается снижение телескопичности рулонов с толщиной проката до 2,50 мм. 3 Телескопичность рулонов ленты шириной менее 30 мм устанавливают по согласованию сторон. 4 Допускается проведение ступенчатой (циклической) смотки рулонов. Величину смещения витков устанавливают по согласованию между изготовителем и потребителем. |
5.10.1 Допускаются выступы отдельных витков рулона, не превышающие 10 мм, и загибы кромок на угол не более 90°.
5.11 Рулоны оцинкованного проката могут состоять из двух полос, соединенных сварным швом. По согласованию с потребителем допускается изготовление рулонов, состоящих из трех и более полос, соединенных сварным швом. Соединение сварным швом проката для окрашивания на непрерывных линиях (АПП) устанавливают по согласованию между изготовителем и потребителем.
Сварные швы должны быть идентифицированы. Способ идентификации устанавливают по согласованию между изготовителем и заказчиком.
5.12 Нормы промасливания на каждую сторону проката устанавливают по согласованию сторон.
5.13 При размещении заказа на оцинкованный прокат заказчик указывает изготовителю следующие обязательные сведения:
- общую массу поставки продукции, т;
- форму поставки проката (рулон, лента, лист);
- минимальную и максимальную массу грузового места, т;
- внутренний диаметр для рулонов и ленты, мм;
- номинальные размеры (толщину, ширину, длину - для листов);
- точность изготовления;
- характер кромки (О, НО) для рулонов и листов;
- марку проката;
- класс покрытия;
- тип покрытия;
- вид узора кристаллизации цинка и группу отделки поверхности;
- способ консервации поверхности.
При размещении заказа на оцинкованный прокат заказчик может указать изготовителю следующие дополнительные сведения:
- требования по поставке партии оцинкованного проката с различной точностью изготовления по толщине, ширине, длине, плоскостности и серповидности с соответствующим дополнением условного обозначения проката;
- химический состав исходного проката;
- дополнительный класс покрытия;
- требования к шероховатости поверхности покрытия улучшенного и высокого качества (параметры шероховатости поверхности покрытия устанавливают по согласованию сторон);
- марку и массу масла, наносимого на единицу площади поверхности проката;
- требования по маркировке;
- требования по упаковке.
Другие требования к оцинкованному прокату могут быть установлены по согласованию сторон.
Примечание - Покрытия класса 450 и более могут ограничивать способность оцинкованного проката к деформации и сварке, что следует учитывать при заказе.
5.14 Примеры условных обозначений оцинкованного проката приведены в
приложении Б.
6.1 Оцинкованный прокат изготовляют в соответствии с требованиями настоящего стандарта по технологическому регламенту, утвержденному в установленном порядке.
6.2 Рекомендуемый химический состав исходного проката по плавочному анализу ковшевой пробы стали приведен в таблице 9.
Таблица 9
Марка проката | Массовая доля элементов, %, не более |
углерода | марганца | фосфора | серы | титана |
01 | 0,15 | 0,60 | 0,050 | 0,050 | - |
02 | 0,12 | 0,60 | 0,040 | 0,040 | - |
03 | 0,12 | 0,50 | 0,030 | 0,030 | - |
| 0,10 | 0,45 | 0,030 | 0,030 | - |
| 0,08 | 0,45 | 0,030 | 0,030 | - |
| 0,02 | 0,25 | 0,020 | 0,020 | 0,30 |
| 0,02 | 0,25 | 0,020 | 0,020 | 0,30 |
220, 250 | 0,22 | 0,65 | 0,040 | 0,040 | - |
280, 320, 350 | 0,25 | 0,85 | 0,060 | 0,040 | - |
390, 420, 450 | 0,25 | 1,50 | 0,100 | 0,040 | - |
Примечания 1 Допускается использовать исходный прокат с другой массовой долей элементов при условии соблюдения норм по механическим свойствам. 2 Для проката марок 04, 05, 06 и 07 массовая доля алюминия рекомендуется в пределах 0,02% - 0,07%, а для остальных марок - не более 0,07%. 3 Для проката марок 06 и 07 титан может быть заменен ниобием. Допускается микролегирование ниобием и титаном одновременно. |
Химический состав проката сообщают потребителю по его требованию.
6.3 Качество поверхности исходного проката должно соответствовать требованиям к группам отделки холоднокатаного проката I и II по
ГОСТ 9045 или
ГОСТ 16523 и группе отделки горячекатаного проката III по
ГОСТ 16523.
6.4 Покрытие наносят на холоднокатаный или горячекатаный травленый прокат в рулонах путем погружения его в расплав, состав которого выбирает изготовитель.
В зависимости от условий обработки в расплаве на покрытиях образуются кристаллы различного размера и с различным блеском. Качество покрытия при этом не изменяется.
В цинковом расплаве суммарная массовая доля примесей должна быть не более 1%, остальное - цинк.
В цинкалюминиевом расплаве допускается незначительное содержание редкоземельных и других металлов, массовая доля алюминия должна быть приблизительно 5,00%, остальное - цинк.
В цинкалюмомагниевом расплаве суммарная массовая доля алюминия и магния должна быть от 0,70% до 14,50%, магния - не менее 0,20%, остальное - цинк.
В алюмоцинковом расплаве допускается содержание редкоземельных металлов, массовая доля алюминия должна быть от 25,00% до 60,00%, кремния - не более 3,00%, остальное - цинк.
6.5 Нормируемые показатели качества оцинкованного проката в зависимости от его марки приведены в таблице 10.
Таблица 10
Нормируемый показатель | Марка проката |
01 | 02 | 03 | 04 | 05, 06, 07 | 220, 250, 280, 320, 350, 390, 420, 450 |
Тип (группа отделки) покрытия | Ц (Н, Н-У, М, М-У, М-В) ЖЦ, ЖЦ-У, ЖЦ-В ЦА, ЦА-У, ЦА-В ЦАМ, ЦАМ-У, ЦАМ-В АЦ, АЦ-У, АЦ-В | + | + | + | + | + | + |
Класс покрытия типа | Ц | 60, 80, 100, 120, 140, 150, 180, 200, 225, 275, 350 | + | + | + | + | + | + |
450, 500, 600 | + | + | + | + | - | + |
ЖЦ | 60, 80, 100, 120, 140, 150, 180 | + | + | + | + | + | + |
ЦА | 60, 80, 95, 130, 185, 200, 255, 300 | + | + | + | + | + | + |
ЦАМ | 60, 70, 80, 90, 100,120, 130, 140, 150, 160, 175, 190, 200, 250, 300, 310, 350, 430 | + | + | + | + | + | + |
АЦ | 40, 50, 60, 70, 80, 90, 100, 120, 130, 140, 150, 160, 180, 190, 200, 225, 250, 300, 350, 400 | + | + | + | + | + | + |
Химический состав исходного проката | +/- | +/- | +/- | +/- | +/- | +/- |
Временное сопротивление | - | + | + | + | + | + |
Предел текучести | - | - | - | + | + | + |
Относительное удлинение | - | +/- | + | + | + | + |
Коэффициент пластической анизотропии | - | - | - | - | + | - |
Показатель деформационного упрочнения | - | - | - | - | + | - |
Глубина сферической лунки | - | - | +/- | +/- | +/- | - |
Прочность сцепления покрытия со стальной основой | + | + | + | + | + | + |
Примечания 1 Знак "+" означает, что прокат с данным видом и классом покрытия изготовляют или отмеченные этим знаком показатели нормируют. 2 Знак "-" означает, что прокат с данным видом и классом покрытия не изготовляют или отмеченные этим знаком показатели не нормируют и не контролируют. 3 Знак "+/-" означает, что отмеченные этим знаком показатели применяют по согласованию сторон или по требованию потребителя. |
6.6 Поверхность оцинкованного проката должна иметь сплошной слой покрытия. Не допускаются нарушения сплошности покрытия в виде растрескивания на мелких наплывах, расположенных на дефектах стальной основы, классификация и размеры которых предусмотрены
ГОСТ 9045 и
ГОСТ 16523. Допускаемые дефекты покрытия приведены в таблице 11.
Таблица 11
Допускаемые дефекты покрытия
Показатель покрытия | Общие допускаемые дефекты | Дефекты, допускаемые в зависимости от типа, вида и группы отделки покрытия |
Тип | Вид | Группа отделки |
Ц | Н | Обычного качества | Следы от перегибов полосы и роликов; царапины, потертости (темные точки и пятна), не нарушающие сплошность покрытия; светлые и матовые пятна; неравномерность окраски пассивной пленки | Наплывы, натеки, наслоения без растрескивания. Местная шероховатость покрытия (сыпь). Крупинки. Неравномерность кристаллизации покрытия |
ЖЦ, ЦА, ЦАМ, АЦ | - |
Ц | М | То же, что и для цинкового покрытия вида Н, а также узор кристаллизации на расстоянии не более 20 мм от кромок, темные вкрапления и лунки размером не более 5 мм в виде отдельных участков и полос, отдельные кристаллы цинка по всей поверхности |
Ц | Н | У | | Темные точки и дорожки (следы) от деформированных наплывов, натеков, наслоений, местной шероховатости покрытия (сыпи), крупинок без растрескивания; матовый и размытый узор кристаллизации покрытия |
ЖЦ, ЦА, ЦАМ, АЦ | - |
Ц | М | То же, что и для цинкового покрытия вида Н улучшенной отделки У, а также темные точки и дорожки (следы) от деформированных вкраплений, лунок, отдельных кристаллов; размытый узор кристаллизации на расстоянии не более 20 мм от кромок |
ЖЦ | - | В | Допустимые дефекты устанавливают после набора статистических данных |
Ц | М | Царапины длиной не более 25 мм, потертости и темные точки, не нарушающие сплошность покрытия; светлые и матовые пятна; неравномерность окраски пассивной пленки | Размытый узор кристаллизации покрытия на расстоянии не более 20 мм от кромок. Контролируемая поверхность (лицевая) должна обеспечивать нанесение качественного равномерного лакокрасочного покрытия. Прочие дефекты для лицевой стороны проката устанавливают по согласованию сторон. Обратная сторона проката должна соответствовать требованиям к качеству поверхности покрытий группы отделки У |
ЦА, ЦАМ, АЦ | - |
Примечания 1 Натеки образуются, как правило, в виде строчки на дефектах стальной основы, классификация которых установлена ГОСТ 16523, и имеют протяженность, соответствующую длине дефектов. 2 Размытый узор кристаллизации характеризуется нечеткостью (размытостью) границ кристаллов покрытия. 3 Прокат обычного качества отделки поверхности изготовляют дрессированным или не дрессированным по выбору изготовителя, прокат улучшенного качества У и высокого качества В отделки поверхности - дрессированным. 4 Для проката классов покрытия 450 и более допускаются разнотолщинность цинкового покрытия по кромке проката, а также рельефные линии, расположенные под углом к оси прокатки ("перо"). |
6.7 На оцинкованном прокате с необрезной кромкой не допускаются дефекты кромок глубиной, выводящей прокат за номинальный размер по ширине. На оцинкованном прокате с обрезной кромкой дефекты кромок не допускаются.
6.8 Масса цинкового, железоцинкового, цинкалюминиевого, цинкалюмомагниевого и алюмоцинкового покрытий, нанесенных с двух сторон на 1 м2 проката, в зависимости от класса покрытия должна соответствовать значениям, указанным в таблице 12.
Класс покрытия | Масса покрытия, нанесенного с двух сторон проката, г/м2, не менее | Толщина покрытия с одной стороны проката (справочная), мкм, не менее | Плотность покрытия, г/см3 (справочная) |
средняя по трем образцам | по одному образцу | средняя по трем образцам | по одному образцу |
Цинковое (Ц) и железоцинковое (ЖЦ) покрытия |
60 | 60 | 51 | 4,2 | 3,6 | 7,1 |
80 | 80 | 68 | 5,6 | 4,8 |
100 | 100 | 85 | 7,0 | 6,0 |
120 | 120 | 100 | 8,4 | 7,0 |
140 | 140 | 120 | 9,8 | 8,4 |
150 | 150 | 130 | 10,5 | 9,1 |
180 | 180 | 150 | 12,6 | 10,5 |
200 | 200 | 170 | 14,0 | 11,9 |
225 | 225 | 195 | 15,8 | 13,7 |
275 | 275 | 235 | 19,3 | 16,5 |
350 | 350 | 300 | 24,5 | 21,0 |
450 | 450 | 385 | 31,6 | 27,0 |
500 | 500 | 425 | 35,1 | 29,8 |
600 | 600 | 510 | 42,0 | 35,8 |
300 | 300 | 255 | 23,0 | 19,7 |
Цинкалюминиевое (ЦА) покрытие |
60 | 60 | 51 | 4,6 | 3,9 | 6,6 |
80 | 80 | 68 | 6,0 | 5,2 |
95 | 95 | 80 | 7,0 | 6,0 |
130 | 130 | 110 | 10,0 | 8,6 |
185 | 185 | 155 | 14,0 | 11,9 |
200 | 200 | 170 | 15,0 | 13,0 |
255 | 255 | 215 | 20,0 | 17,2 |
300 | 300 | 255 | 23,0 | 19,7 |
Цинкалюмомагниевое (ЦАМ) покрытие |
60 | 60 | 50 | 4,5 | 4,0 | 6,2 - 6,6 |
70 | 70 | 60 | 5,5 | 4,0 |
80 | 80 | 70 | 6,0 | 4,0 |
90 | 90 | 75 | 7,0 | 5,0 |
100 | 100 | 85 | 8,0 | 5,0 |
120 | 120 | 100 | 9,0 | 6,0 |
130 | 130 | 110 | 10,0 | 7,0 |
140 | 140 | 120 | 11,0 | 8,0 |
150 | 150 | 130 | 11,5 | 8,0 |
160 | 160 | 135 | 12,0 | 8,0 |
175 | 175 | 145 | 13,0 | 9,0 |
190 | 190 | 160 | 15,0 | 10,0 |
200 | 200 | 170 | 16,0 | 11,0 |
250 | 250 | 215 | 19,0 | 13,0 |
300 | 300 | 255 | 23,0 | 17,0 |
310 | 310 | 265 | 24,0 | 18,0 |
350 | 350 | 300 | 27,0 | 19,0 |
430 | 430 | 360 | 35,0 | 26,0 |
Алюмоцинковое (АЦ) покрытие |
40 | 40 | 34 | 4,7 | 4,0 | 3,5 - 5,0 |
50 | 50 | 43 | 5,8 | 4,9 |
60 | 60 | 51 | 7,0 | 5,9 |
70 | 70 | 60 | 8,1 | 6,9 |
80 | 80 | 68 | 9,3 | 7,9 |
90 | 90 | 77 | 10,5 | 8,9 |
100 | 100 | 85 | 11,6 | 9,9 |
120 | 120 | 102 | 14 | 12 |
130 | 130 | 111 | 15 | 13 |
140 | 140 | 119 | 16 | 14 |
150 | 150 | 128 | 18 | 15 |
160 | 160 | 136 | 19 | 16 |
180 | 180 | 153 | 21 | 18 |
190 | 190 | 162 | 22 | 19 |
200 | 200 | 170 | 24 | 20 |
225 | 225 | 191 | 26 | 22 |
250 | 250 | 213 | 29 | 25 |
300 | 300 | 255 | 35 | 30 |
350 | 350 | 298 | 41 | 35 |
400 | 400 | 340 | 47 | 40 |
Примечания 1 Масса покрытия на одной стороне проката при испытании каждого из трех образцов должна составлять не менее 40% массы покрытия, установленной для одного образца. 2 При ширине проката менее 450 мм массу покрытия у потребителя определяют по одному образцу. 3 Значения толщины цинкалюмомагниевого покрытия рассчитаны по средней величине плотности покрытия 6,4 г/см3, алюмоцинкового покрытия - 4,3 г/см3. |
Справочные значения толщины покрытий рассчитаны исходя из плотности цинкового и железоцинкового покрытий, равной 7,1 г/см
3, цинкалюминиевого покрытия - 6,6 г/см
3, алюмоцинкового покрытия - от 3,5 до 5,0 г/см
3, цинкалюмомагниевого покрытия - от 6,2 до 6,6 г/см
3 в зависимости от массовой доли алюминия и магния в покрытии в соответствии с
6.4.
6.8.1 Оцинкованный прокат с дифференцированным покрытием изготовляют по согласованию сторон. Средняя масса покрытия по трем образцам и масса покрытия по одному образцу с каждой стороны проката с дифференцированным покрытием должны составлять не менее 40% массы, установленной для соответствующих классов покрытия с двух сторон проката.
6.9 Прочность сцепления покрытия со стальной основой должна обеспечивать отсутствие отслоения покрытия с наружной стороны образца при изгибе на 180° до соприкосновения сторон образца или до параллельности сторон с применением прокладки в соответствии с таблицей 13.
Таблица 13
Класс покрытия | Толщина прокладки при испытании на изгиб на 180°, для проката марок |
01, 02, 03 | 04, 05, 06, 07 | 220 | 250 | 280 | 320, 350, 390, 420, 450 |
40, 50, 60, 70, 80, 90, 100, 120, 130, 140, 150, 160, 175, 180, 185, 190, 200, 225, 250, 255, 275 | 0 | 0 | 1а | 1а | 2а | 3а |
300, 350 | 1а | 1а | 1а | 1а | 2а | 3а |
400, 430, 450 | 2а | 2а | 1а | 1а | 2а | 3а |
500, 600 | 2а | - | 1а | 2а | 3а | 4а |
Примечание - 1а, 2а, 3а и 4а - толщина прокладки, равная соответственно одной, двум, трем и четырем номинальным толщинам оцинкованного проката; 0 - испытание без прокладки. |
Допускается сетка мелких трещин по всей длине изгиба и отслоение покрытия на расстоянии не более 6 мм от краев образца.
Прочность сцепления железоцинкового и цинкалюмомагниевого покрытий со стальной основой определяют по методике предприятия-изготовителя.
6.10 Свойства оцинкованного проката
6.10.1 Механические свойства, коэффициент пластической анизотропии и показатель деформационного упрочнения оцинкованного проката должны соответствовать нормам, указанным в таблице 14.
Таблица 14
Марка проката | Временное сопротивление  , Н/мм 2 | Предел текучести  , Н/мм 2 | Относительное удлинение  , %, для проката толщиной, мм | Коэффициент пластической анизотропии R90 | Показатель деформационного упрочнения n90 |
до 0,70 включ. | св. 0,70 до 1,50 включ. | св. 1,50 до 2,00 включ. | св. 2,00 |
не менее |
01 | - | - | - | - | - | - | - | - |
| 270 - 500 | - | 20 | 22 | 22 | 22 | - | - |
03 | 270 - 420 | - | 24 | 26 | 28 | 28 | - | - |
04 | 270 - 380 | Не более 260 | 28 | 30 | 32 | - | - | - |
| 260 - 350 | Не более 220 | 34 | 36 | 38 | - | 1,6 | 0,18 |
| 260 - 350 | Не более 180 | 35 | 37 | 39 | - | 1,9 | 0,21 |
| 260 - 350 | Не более 170 | 37 | 39 | 41 | - | 2,1 | 0,22 |
| Не менее 300 | Не менее 220 | 18 | 20 | 20 | 20 | - | - |
250 | Не менее 330 | Не менее 250 | 17 | 19 | 19 | 19 | - | - |
280 | Не менее 360 | Не менее 280 | 16 | 18 | 18 | 18 | - | - |
320 | Не менее 390 | Не менее 320 | 15 | 17 | 17 | 17 | - | - |
350 | Не менее 420 | Не менее 350 | 14 | 16 | 16 | 16 | - | - |
| Не менее 450 | Не менее 390 | 13 | 15 | 15 | 15 | - | - |
| Не менее 480 | Не менее 420 | 12 | 14 | 14 | 14 | - | - |
| Не менее 510 | Не менее 450 | 11 | 13 | 13 | 13 | - | - |
Примечания 1 Знак "-" означает, что показатель не нормируют и не контролируют. 2 Механические свойства проката марок 02 - 07 определяют поперек, а марок 220 - 450 - вдоль направления прокатки. Механические свойства ленты шириной менее 180 мм из проката марок 02 - 07 у потребителя определяют вдоль направления прокатки. 3 При расчете временного сопротивления и предела текучести толщину покрытия не учитывают. 4 При определении предела текучести в общем случае определяют условный предел текучести  , при наличии на диаграмме растяжения площадки текучести - физический (нижний) предел текучести  . 5 Для проката толщиной свыше 1,50 мм минимальное значение R90 снижают на 0,2, а минимальное значение n90 - на 0,01. 6 Для проката марки 05 с покрытиями ЖЦ, АЦ и ЦАМ нормы относительного удлинения снижают на 2 единицы, а коэффициента пластической анизотропии - на 0,2. 7 Для проката марок 06 и 07 с покрытиями ЖЦ, АЦ и ЦАМ нормы относительного удлинения снижают на 2 единицы, коэффициента пластической анизотропии - на 0,2, а показателя деформационного упрочнения - на 0,01. 8 Нормы коэффициента пластической анизотропии и показателя деформационного упрочнения проката марки 07 и относительного удлинения проката марок 390, 420 и 450 факультативны до 1 июля 2021 г. |
6.10.2 Оцинкованный прокат марок 03, 04, 05, 06 и 07 должен выдерживать испытание на выдавливание. Испытание проводят по требованию потребителя. Глубина сферической лунки при испытании на выдавливание должна соответствовать нормам, указанным в таблице 15.
Таблица 15
В миллиметрах
Толщина проката | Глубина сферической лунки, не менее, для проката марки |
03 | 04 | 05 | 06 | 07 |
0,40 | 8,2 | 8,3 | 8,5 | 8,8 | 9,0 |
0,50 | 8,5 | 8,7 | 8,9 | 9,2 | 9,4 |
0,60 | 8,9 | 9,1 | 9,3 | 9,5 | 9,7 |
0,70 | 9,2 | 9,5 | 9,7 | 9,9 | 10,0 |
0,80 | 9,5 | 9,9 | 10,1 | 10,2 | 10,3 |
0,90 | 9,9 | 10,1 | 10,4 | 10,5 | 10,6 |
1,00 | 10,1 | 10,3 | 10,6 | 10,7 | 10,8 |
1,10 | 10,3 | 10,5 | 10,8 | 10,9 | 11,0 |
1,20 | 10,5 | 10,7 | 11,0 | 11,1 | 11,2 |
1,30 | 10,7 | 10,9 | 11,2 | 11,3 | 11,4 |
1,40 | 10,8 | 11,0 | 11,3 | 11,4 | 11,5 |
1,50 | 11,0 | 11,1 | 11,4 | 11,5 | 11,6 |
1,60 | 11,3 | 11,2 | 11,5 | 11,6 | 11,7 |
1,70 | 11,4 | 11,4 | 11,6 | 11,7 | 11,8 |
1,80 | 11,5 | 11,5 | 11,7 | 11,8 | 11,9 |
1,90 | 11,6 | 11,6 | 11,8 | 11,9 | 12,0 |
2,00 | 11,7 | 11,7 | 11,9 | 12,0 | 12,1 |
Примечания 1 Нормы глубины сферической лунки для проката марки 07 являются факультативными до 1 июля 2021 г. 2 Для оцинкованной стали промежуточных толщин значения глубины сферической лунки должны соответствовать нормам, установленным для ближайшей меньшей толщины. |
6.10.3 Механические свойства оцинкованного проката с точки зрения его пригодности к последующей обработке давлением могут ухудшаться в результате естественного старения. В связи с этим потребителю рекомендуется переработать оцинкованный прокат как можно скорее после его получения.
6.10.4 Механические свойства, коэффициент пластической анизотропии, показатель деформационного упрочнения
(6.10.1) и результаты испытаний на выдавливание
(6.10.2) действительны:
- для проката марок 02, 03, 04, 220, 250, 280, 320, 350, 390, 420, 450 - в течение 1 мес с даты оформления документа о качестве;
- для проката марок 05, 06 и 07 - в течение 6 мес с даты оформления документа о качестве.
6.11 Для защиты поверхности оцинкованного проката от коррозии на период транспортирования и хранения проводят консервацию:
- пассивирование (ПС);
- промасливание (ПР);
- пассивирование и промасливание (ПП).
Марки и массу масла для промасливания, наносимого на поверхность проката, марки и тип пассивирующего раствора сообщают потребителю по его требованию.
Допускается по требованию заказчика поставка проката без консервации (БК). В этом случае на поверхности проката допускается наличие продуктов коррозии покрытия ("белой ржавчины").
При заказе оцинкованного проката в районы Крайнего Севера и приравненные к ним местности, установленные в соответствии с
приложением А ГОСТ 15846-2002, его консервация обязательна.
При отсутствии в заказе нормы промасливания изготовителю рекомендуется наносить на каждую поверхность проката масло массой не менее 1,0 г/м2 для способа консервации ПР и 0,8 г/м2 - для способа консервации ПП.
Примечания
1 Все виды защиты поверхности оцинкованного проката обеспечивают временную стойкость к коррозии во время транспортирования и хранения.
2 Пассивирование (ПС) уменьшает образование продуктов коррозии при транспортировании и хранении. Отдельные участки с изменением цвета пассивной пленки, обусловленные технологией обработки, являются допустимыми и не ухудшают качества проката.
3 Промасливание (ПР) уменьшает образование продуктов коррозии. При соблюдении требований к упаковке, транспортированию и хранению проката коррозия, как правило, не появляется в течение трех месяцев после изготовления продукции. Фактический срок действия защиты зависит от атмосферных условий и условий хранения. Исходно равномерная масляная пленка со временем становится неравномерной, на поверхности проката могут появиться не покрытые маслом участки. Следует учитывать, что при отсутствии пассивирования уровень промасливания менее 1,0 г/м2 не может эффективно защищать прокат от образования продуктов коррозии.
4 Пассивирование и промасливание (ПП) применяется, если требуется повышенная степень защиты против образования продуктов коррозии.
6.12 Упаковка и маркировка
6.12.1 Упаковка и маркировка оцинкованного проката - по
ГОСТ 7566. Условия поставки проката ВУ-3, ВУ-4, ВУ-5.
6.12.2 Листы формируют в пачки. Обвязка листов в пачки и количество обвязок пачек - по
6.4.2 ГОСТ 7566-2018. Упаковка пачек листов в пакеты - по
6.5.1 ГОСТ 7566-2018. Обвязка пакетов - по
6.5.4 ГОСТ 7566-2018.
У листов с дифференцированным покрытием сторона с более тонким покрытием должна быть обращена к низу пачки.
Пакеты должны быть закреплены на деревянные брусья или поддоны по
6.5.4.5 ГОСТ 7566-2018. Допускается закрепление пакетов на металлические поддоны.
6.12.3 Упаковка и обвязка рулонов (ленты) - по
6.4.3,
6.5.4 ГОСТ 7566-2018. Рулоны обертывают влагонепроницаемой бумагой, внешними и внутренними упаковочными металлическими листами, а торцевые поверхности закрывают металлическими торцевыми крышками или защитными кольцами с центральным отверстием для захвата грузоподъемными механизмами.
6.12.4 Пачки и рулоны проката должны быть прочно обвязаны.
Для обвязки применяют металлическую ленту толщиной 0,60 - 2,00 мм, шириной от 19 до 40 мм по
ГОСТ 3560,
ГОСТ 6009 или другим нормативным документам. Допускается использование высокопрочной ленты и ПЭТ-ленты в соответствии с
приложениями В,
Г и
Д ГОСТ 7566-2018.
6.12.5 Допускается соединение нескольких рулонов (ленты) в стопы по
6.5.4.10 ГОСТ 7566-2018.
6.12.6 Масса одного грузового места должна соответствовать установленной в заказе.
6.12.7 Маркировку наносят на ярлыки по
ГОСТ 7566.
Маркировка, наносимая на ярлык, должна содержать:
- наименование и (или) товарный знак предприятия-изготовителя;
- марку проката;
- тип покрытия;
- класс покрытия;
- вид узора кристаллизации цинка и группу отделки поверхности покрытия;
- номер партии;
- номер плавки;
- размер проката;
- массу нетто (фактическую) пачки, рулона проката и стопы рулонов.
Транспортная маркировка - по
ГОСТ 14192 с нанесением на пачки манипуляционного знака "Место строповки" (при необходимости).
7.1 Общие правила приемки - по
ГОСТ 7566. Оцинкованный прокат принимают партиями. Партия должна состоять из листов или рулонов одной марки, одной толщины, одной категории точности изготовления, одного характера кромки проката, одного типа, класса и вида покрытия, одного способа консервации поверхности. Партию сопровождают документом о качестве вида 3.1 в соответствии с
приложением Б ГОСТ 7566-2018, содержащим:
- товарный знак и/или наименование предприятия-изготовителя;
- наименование заказчика;
- номер заказа;
- дату оформления документа о качестве;
- номер вагона или транспортного средства;
- обозначение настоящего стандарта;
- наименование продукции;
- номинальные размеры проката;
- количество грузовых мест;
- массу каждого грузового места и общую массу;
- марку проката;
- класс покрытия;
- точность изготовления и характер кромки проката;
- вид узора кристаллизации цинка и группу отделки поверхности покрытия;
- способ консервации поверхности;
- результаты испытаний, в том числе факультативных показателей и показателей, контролируемых по требованию заказчика;
- номер плавки;
- номер партии;
- отметку, свидетельствующую о проведении специального контроля и о приемке проката по качеству, заверенную уполномоченным на предприятии-изготовителе лицом, его подписью и печатью.
Химический состав стали, марку и расход масла на промасливание сообщают потребителю по его требованию.
Допускается оформление документа о качестве в электронном виде с электронной цифровой подписью лица, уполномоченного предприятием-изготовителем.
7.2 От принимаемой партии оцинкованного проката отбирают:
- для контроля размеров и качества поверхности - один рулон или 2% листов;
- для контроля механических свойств, глубины сферической лунки, массы покрытия, прочности сцепления покрытия с основным металлом - один рулон или один лист.
7.3 При получении неудовлетворительных результатов проверки хотя бы по одному из показателей настоящего стандарта по этому показателю проводят повторную проверку в соответствии с
4.2.1 (схема 2) ГОСТ 7566-2018.
7.4 В случае порезки и/или последующей упаковки оцинкованного проката сервисными металлоцентрами, торговыми домами и другими посредниками предприятие-изготовитель не несет ответственности за соответствие размеров (кроме толщины проката), формы, предельных отклонений (кроме предельных отклонений по толщине) и качества поверхности порезанного оцинкованного проката требованиям настоящего стандарта.
8.1 Химический состав исходного проката по плавочному анализу ковшевой пробы стали определяют по
ГОСТ 18895. Допускается применение других методов, обеспечивающих необходимую точность измерения.
8.2 Внешний вид, качество поверхности оцинкованного проката в листах, рулонах и лентах проверяют визуально без применения увеличительных приборов.
8.3 Контроль отклонений формы оцинкованного проката проводят по
ГОСТ 26877, размеров оцинкованного проката - универсальными средствами измерений, указанными в ГОСТ 26877-2008,
приложение А.
Отклонение от плоскостности оцинкованного проката в рулонах контролируют по методике, согласованной с потребителем.
8.4 Для проведения контроля от каждого отобранного листа или рулона отбирают пробу по
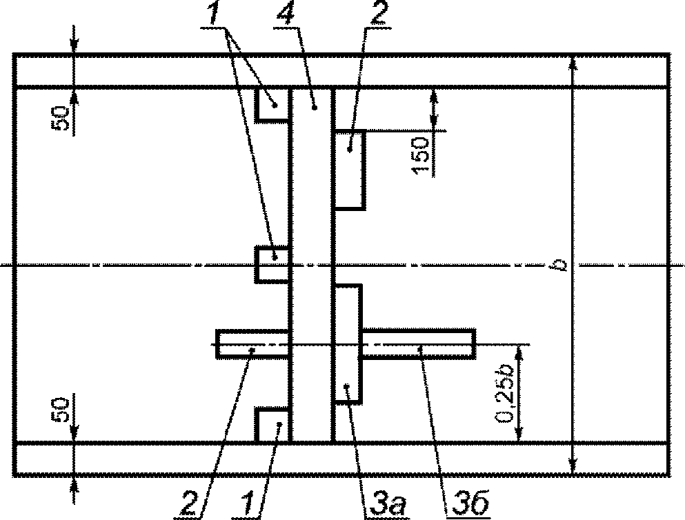
ГОСТ 7564. Из пробы вырезают заготовки и образцы в соответствии со схемой, приведенной на рисунке 1, и с
таблицей 16.
b - ширина проката; 1, 2, 4 - образцы; 3а, 3б - заготовки
Рисунок 1 - Схема вырезки заготовок и образцов
Таблица 16
Количество и размеры заготовок и образцов для испытаний
Номер | Количество | Размеры, мм | Назначение заготовок и образцов |
ширина | длина |
1 | 3 | 50 | 50 | Определение массы покрытия |
2 | 2 | 50 | 100 - 150 | Контроль прочности сцепления покрытия с основным металлом |
| 1 | 30 | 180 - 300 | Изготовление образцов для определения механических свойств при растяжении проката марок 02, 03, 04, 05, 06, 07 |
| Изготовление образцов для определения механических свойств при растяжении проката марок 220, 250, 280, 320, 350, 390, 420, 450 |
4 | 1 | 90 | - | Определение глубины сферической лунки |
Примечания 1 Образцы 1, 2 и заготовки 3а, 3б вырезают с предельными отклонениями размеров +/- 3 мм. 2 Допускается вырезать заготовки 3а и 3б размером, отличным от указанных в настоящей таблице, для вырубки из них образцов на вырубных прессах. 3 Контроль ленты у изготовителя осуществляют на образцах, вырезанных из рулона до его роспуска, у потребителя - на образцах, вырезанных из ленты в любом месте одного рулона от партии, из ленты шириной менее ширины образцов, заданной в настоящей таблице, - на образцах шириной, равной ширине ленты. Механические свойства при растяжении ленты шириной менее 180 мм из проката марок 02 - 07 у потребителя определяют на образцах, вырезанных вдоль направления прокатки. Глубину сферической лунки ленты шириной менее 270 мм у потребителя определяют на образцах, вырезанных вдоль направления прокатки. 4 Допускается применять для определения массы покрытия круглые образцы площадью не менее 2500 мм2. |
Допускается для определения массы и толщины покрытия применять другие методы (в том числе неразрушающие) с погрешностью измерения не более +/- 10%. При разногласиях в оценке применяют метод, установленный в
приложении В, с использованием раствора А.
Примечание - Толщину покрытия потребитель может оценивать по массе покрытия с использованием следующего соотношения: массе покрытия, нанесенного на единицу площади поверхности образца с двух сторон, равной 200 г/м2, соответствует расчетная толщина покрытия каждой стороны цинкового и железоцинкового покрытия 14 мкм, цинкалюминиевого - 15 мкм, цинкалюмомагниевого - 16 мкм, алюмоцинкового - 24 мкм.
8.6 Определение прочности сцепления цинкового и цинкалюминиевого покрытий со стальной основой проводят испытанием на изгиб на 180° по
ГОСТ 14019. Толщина прокладки должна быть равна диаметру оправки при предварительном изгибе. При испытании до соприкосновения сторон без прокладки диаметр оправки при предварительном изгибе должен быть равен двум толщинам образца.
Испытание на изгиб для проката марок 220 - 350 может быть заменено испытанием на приборе типа У-1А по
ГОСТ 4765 по согласованной методике.
Прочность сцепления железоцинкового и цинкалюмомагниевого покрытий со стальной основой определяют по методике предприятия-изготовителя.
8.7 Изготовление образцов и определение механических свойств оцинкованного проката испытанием на растяжение - по
ГОСТ 11701 и
ГОСТ 1497.
8.8 Определение коэффициента пластической анизотропии и показателя деформационного упрочнения - по
ГОСТ 11701.
Примечание - Допускается проводить определение коэффициента пластической анизотропии и показателя деформационного упрочнения по международным стандартам
[3] и
[4].
Значение коэффициента пластической анизотропии R90 и показателя деформационного упрочнения n90 определяют в диапазоне равномерной пластической деформации от 10% до 20%. Если конечное значение равномерной пластической деформации менее 20%, то верхней границей диапазона считают ее максимальное значение.
8.9 Определение глубины сферической лунки при испытании на выдавливание - по
ГОСТ 10510.
8.10 Для контроля качества оцинкованного проката допускается применять неразрушающие методы контроля по
ГОСТ 30415 и другим нормативным документам.
9 Транспортирование и хранение
9.1 Транспортирование оцинкованного проката (транспортное наименование - "сталь листовая оцинкованная") - по
ГОСТ 7566.
9.2 Транспортирование оцинкованного проката железнодорожным транспортом осуществляют в открытом подвижном составе в соответствии с правилами перевозки грузов, техническими условиями размещения и крепления грузов в вагонах и контейнерах, действующими на железнодорожном транспорте, и
ГОСТ 22235.
Транспортирование осуществляют повагонными отправками с максимальным использованием грузоподъемности вагонов.
По согласованию с отдельными потребителями отгрузка может выполняться в крытых вагонах. В остальных случаях выбор подвижного состава - по усмотрению изготовителя.
При транспортировании оцинкованного проката вероятность контакта влаги с его поверхностью должна быть минимизирована. Влага, в особенности конденсат, образовавшийся между листами, витками рулона или другими соприкасающимися частями продукции из оцинкованного проката, может привести к коррозии покрытия. Способы защиты поверхности при транспортировании и хранении приведены в
6.11.
9.3 Хранение оцинкованного проката на складах грузоотправителя и грузополучателя должно соответствовать условиям 3 (ЖЗ) по
ГОСТ 15150. Не допускается складирование рулонного оцинкованного проката толщиной до 0,40 мм включительно более чем в один ярус. Не допускается совместное хранение оцинкованного проката и химически активных веществ.
(справочное)
СООТВЕТСТВИЕ МАРОК ОЦИНКОВАННОГО ПРОКАТА, УСТАНОВЛЕННЫХ
EN 10346:2015, ISO 3575:2016 И ISO 4998:2014
Таблица А.1
Настоящий стандарт | | | | |
01 | ОН | - | 01 | - |
02 | ХШ (Н); ХШ (Г) | DX51D | - | - |
03 | ХШ (ВГ) | DX52D | 02 | - |
04 | - | DX53D | 03 | - |
05 | - | DX54D | 04 | - |
06 | - | DX56D | 05 | - |
07 | - | DX57D | - | - |
220 | ХП, ПК | S220GD | - | 220 |
250 | - | S250GD | - | 250 |
280 | - | S280GD | - | 280 |
320 | - | S320GD | - | 320 |
350 | - | S350GD | - | 350 |
- | - | - | - | 380 |
390 | - | S390GD | - | - |
420 | - | S420GD | - | - |
450 | - | S450GD | - | - |
- | - | S550GD | - | 550 |
(справочное)
ПРИМЕРЫ УСЛОВНЫХ ОБОЗНАЧЕНИЙ ОЦИНКОВАННОГО ПРОКАТА
Схема обозначения
Прокат X - X - X - X - X - X - X - X - ГОСТ 14918-2020
│ │ │ │ │ │ │ │
│ │ │ │ │ │ │ └─── Способ консервации
│ │ │ │ │ │ └─────── Группа отделки поверхности покрытия
│ │ │ │ │ └─────────── Вид узора кристаллизации
│ │ │ │ └─────────────── Тип и класс покрытия
│ │ │ └─────────────────── Характер кромки
│ │ └─────────────────────── Точность изготовления проката
│ └─────────────────────────── Размеры проката
└─────────────────────────────── Марка проката
Прокат марки 01 в листах толщиной 1,00 мм, шириной 1000 мм, длиной 2000 мм, нормальной точности изготовления категории Б, с необрезной кромкой НО, с цинковым покрытием Ц класса 275, с нормальным узором кристаллизации цинка вида Н, группы отделки поверхности покрытия обычного качества, промасленный ПР, по ГОСТ 14918-2020:
Прокат 01-1,00 x 1000 x 2000-Б-НО-Ц275-Н-ПР-ГОСТ 14918-2020
Прокат марки 02, в листах толщиной 0,40 мм, шириной 700 мм, длиной 1000 мм, нормальной точности изготовления категории Б, с обрезной кромкой О, с цинковым покрытием Ц класса 350, с нормальным узором кристаллизации цинка вида Н, группы отделки поверхности покрытия обычного качества, без консервации поверхности БК, по ГОСТ 14918-2020:
Прокат 02-0,40 x 700 x 1000-Б-О-Ц350-Н-БК-ГОСТ 14918-2020
Прокат марки 05, в листах толщиной 1,00 мм, шириной 1000 мм, длиной 2000 мм, нормальной точности изготовления категории Б, с точностью изготовления по толщине категории АТ (дополнительно), с необрезной кромкой НО, с цинковым покрытием Ц класса 180, с минимальным узором кристаллизации цинка вида М, группы отделки поверхности покрытия высокого качества В, промасленный ПР, по ГОСТ 14918-2020:
Прокат 05-1,00 x 1000 x 2000-Б(АТ)-НО-Ц180-М-В-ПР-ГОСТ 14918-2020
Прокат марки 05 в рулонах толщиной 0,80 мм, шириной 1500 мм, высокой точности изготовления категории В, с обрезной кромкой О, с железоцинковым покрытием ЖЦ класса 80, группы отделки поверхности покрытия улучшенного качествах пассивированный и промасленный ПП, по ГОСТ 14918-2020:
Прокат 05-0,80 x 1500-В-О-ЖЦ80-У-ПП-ГОСТ 14918-2020
Прокат марки 06 в рулонах толщиной 1,50 мм, шириной 1600 мм, высокой точности изготовления категории В, с обрезной кромкой О, с цинкалюмомагниевым покрытием ЦАМ класса 80, группы отделки поверхности покрытия улучшенного качества У, промасленный ПР, по ГОСТ 14918-2020:
Прокат 06-1,50 x 1600-В-О-ЦАМ80-У-ПР-ГОСТ 14918-2020
Прокат марки 250 в рулонах, толщиной 0,50 мм, шириной 1500 мм, высокой точности изготовления категории В, с уменьшенными предельными отклонениями по толщине УТ (дополнительно), с обрезной кромкой О, с цинковым покрытием Ц класса 200, с минимальным узором кристаллизации цинка вида М, группы отделки поверхности покрытия улучшенного качества У промасленный ПР, по ГОСТ 14918-2020:
Прокат 250-0,50 x 1500-В-В(УТ)-О-Ц200-М-У-ПР-ГОСТ 14918-2020
Прокат марки 280 в рулонах, толщиной 0,60 мм, шириной 1200 мм, повышенной точности изготовления категории А, с обрезной кромкой О, с дифференцированным цинковым покрытием Ц класса 275/200, с минимальным узором кристаллизации цинка вида М, группы отделки поверхности покрытия улучшенного качества X пассивированный ПС, по ГОСТ 14918-2020:
Прокат 280-0,60 x 1200-А-О-Ц275/200-М-У-ПС-ГОСТ 14918-2020
Прокат марки 320 в рулонах толщиной 0,50 мм, шириной 1200 мм, повышенной точности изготовления категории А, с обрезной кромкой О, с цинкалюминиевым покрытием ЦА класса 185, группы отделки поверхности покрытия высокого качества В, пассивированный и промасленный ПП, по ГОСТ 14918-2020:
Прокат 320-0,50 x 1200-А-О-ЦА185-В-ПП-ГОСТ 14918-2020
Прокат марки 320 в рулонах толщиной 0,50 мм, шириной 1200 мм, повышенной точности изготовления категории А, с обрезной кромкой О, с алюмоцинковым покрытием АЦ класса 180, группы отделки поверхности покрытия высокого качества В, пассивированный ПС, по ГОСТ 14918-2020:
Прокат 320-0,50 x 1200-А-О-АЦ180-В-ПС-ГОСТ 14918-2020
(обязательное)
МЕТОД ОПРЕДЕЛЕНИЯ МАССЫ ПОКРЫТИЯ
В.1 Сущность метода
Метод основан на определении массы покрытия взвешиванием образцов до и после растворения цинкового, железоцинкового, цинкалюминиевого, алюмоцинкового и цинкалюмомагниевого покрытий.
Определение массы покрытия проводят на трех образцах, отобранных в соответствии с
8.4 и
таблицей 16 при температуре окружающего воздуха в рабочем помещении (25 +/- 10) °C и относительной влажности воздуха не более 80%.
В.2 Аппаратура, реактивы, растворы
Весы лабораторные по
ГОСТ 24104 с допускаемой погрешностью не более +/- 0,01 г.
Штангенциркуль в соответствии с
ГОСТ 166 с ценой деления не более 0,1 мм.
Посуда мерная стеклянная в соответствии с
ГОСТ 1770.
Посуда стеклянная лабораторная в соответствии с
ГОСТ 25336.
Термометр технический стеклянный ртутный в соответствии с
ГОСТ 28498 с ценой деления не более 1 °C.
Пинцет медицинский длиной 200 мм в соответствии с
ГОСТ 21241.
Кислота соляная в соответствии с
ГОСТ 3118, разбавленная 1:1.
Гексаметилентетрамин (уротропин) в соответствии с
ГОСТ 1381 или другими нормативными документами
<1>.
Треххлористая сурьма в соответствии с нормативными документами
<2> или оксид сурьмы в соответствии с нормативными документами
<3>.
--------------------------------
<1> В Российской Федерации действуют ТУ 6-09-09-353-74 "Уротропин (гексаметилентетрамин) (CH
2)
6N
4. Технические условия".
<2> В Российской Федерации действуют ТУ 6-09-17-252-88 "Сурьма (III) хлорид (сурьма треххлористая) химически чистый, чистый".
<3> В Российской Федерации действуют ТУ 6-09-3267-84 "Сурьма (III) окись (сурьмы (III) оксид) химически чистый, чистый для анализа, чистый".
Вода дистиллированная в соответствии с
ГОСТ 6709.
Раствор А: 3,5 г гексаметилентетрамина (уротропина) растворяют в 1 дм3 соляной кислоты, разбавленной 1:1.
Раствор Б: 20 г окиси сурьмы (Sb2O3) или 32 г треххлористой сурьмы (SbCl3) растворяют в 1 дм3 концентрированной соляной кислоты.
Допускается применение других средств измерений, вспомогательного оборудования и материалов, обеспечивающих требуемую точность.
Штангенциркулем измеряют длину и ширину образцов, обезжиривают их (при необходимости) органическим растворителем, взвешивают погружают в раствор соляной кислоты с гексаметилентетрамином (раствор А), или с треххлористой сурьмой, или оксидом сурьмы (раствор Б) при температуре (25 +/- 10) °C и выдерживают до растворения покрытия (прекращения бурного газовыделения). Затем образцы вынимают из раствора пинцетом, тщательно промывают холодной водой, а затем горячей водой, высушивают фильтровальной бумагой и повторно взвешивают.
Раствор для растворения покрытия допускается применять неоднократно.
В.4 Вычисление массы покрытия
В.4.1 Массу покрытия, нанесенного на единицу площади поверхности образца с двух сторон, m, г/м2, вычисляют по формуле

(В.1)
где m1 - масса образца до растворения покрытия, г;
m2 - масса образца после растворения покрытия, г;
S - площадь покрытия с одной стороны образца, м2.
В.4.2 За массу покрытия по одному образцу принимают меньшее из значений, полученных для трех образцов.
В.4.3 Массу покрытия M, г/м2, по трем образцам вычисляют по формуле

(В.2)
где mI, mII, mIII - массы покрытий 1-го, 2-го и 3-го образцов, г/м2.
В.4.4 Массу покрытия М вычисляют с точностью до 0,1 г/м2. Результаты вычислений округляют до 1 г/м2.
Погрешность определения массы покрытия составляет +/- 10%.
В.4.5 Массу дифференцированного покрытия определяют для каждой из сторон. Для этого после обезжиривания (при необходимости) органическим растворителем и взвешивания покрытие одной из сторон образца защищают от растворения плотным слоем резинового клея или парафина и удаляют покрытие с противоположной стороны, как указано в
В.3. После удаления клея механическим путем без повреждения покрытия, а парафина - в горячей воде, высушивания фильтровальной бумагой и последующего взвешивания образца, удаляют покрытие с другой стороны образца и повторно взвешивают.
Допускается для защиты покрытия одной из сторон образца использовать кислотостойкие липкие ленты.
Массу покрытия, нанесенного на единицу площади поверхности образца с одной стороны (г/м
2), вычисляют по
формуле (В.1), где
S - площадь покрытия контролируемой стороны образца, м
2.
(справочное)
МЕТОД ОПРЕДЕЛЕНИЯ ТОЛЩИНЫ ПОКРЫТИЯ
Г.1 Сущность метода
Толщину покрытия (справочное значение) рассчитывают одним из двух способов: по
формуле (Г.1) или
(Г.2) исходя из массы покрытия, определяемой взвешиванием образцов до и после растворения цинкового, железоцинкового, цинкалюминиевого, алюмоцинкового и цинкалюмомагниевого покрытий в соответствии
приложением В.
Г.2 Расчет толщины покрытия с одной стороны проката
Г.2.1 Справочное значение толщины покрытия с одной стороны проката t, мкм, на каждом из образцов вычисляют по формуле

(Г.1)
где m1 - масса образца до растворения покрытия, г;
m2 - масса образца после растворения покрытия, г;
104 - множитель пересчета см в мкм;

- плотность покрытия в соответствии с указанной в
таблице 12, г/см
3;
S1 - площадь покрытия с одной стороны образца, см2,
или по формуле

(Г.2)
где m - масса покрытия, нанесенного на единицу площади поверхности образца с двух сторон, г/м2;

- плотность покрытия в соответствии с
таблицей 12, г/см
3.
Г.2.2 За толщину покрытия по одному образцу принимают меньшее из значений, полученных для трех образцов.
Г.2.3 Толщину покрытия T, мкм, по трем образцам вычисляют по формуле

(Г.3)
где tI, tII, tIII - толщина покрытия 1-го, 2-го и 3-го образцов, мкм.
Г.2.4 Толщину покрытия T вычисляют с точностью до 0,1 мкм. Результаты вычислений округляют до 0,1 мкм. Погрешность определения толщины покрытия составляет +/- 10%.
Г.2.5 Толщину дифференцированного покрытия вычисляют для каждой из сторон исходя из массы дифференцированного покрытия для одной стороны, определяемой в соответствии с
В.4.5 приложения В.
| EN 10169:2010+A1:2012 | Прокат стальной, плоский с непрерывными органическими покрытиями. Технические условия поставки Continuously organic coated (coil coated) steel flat products - Technical delivery conditions |
| ISO 12944-2:2017 | Материалы лакокрасочные. Защита стальных конструкций от коррозии при помощи лакокрасочных систем. Часть 2. Классификация сред Paints and varnishes - Corrosion protection of steel structures by protective paint systems - Part 2: Classification of environments |
| ISO 10113:2006 | Материалы металлические. Листы и полосы. Определение коэффициента пластической деформации Metallic materials - Sheet and strip - Determination of plastic strain ratio |
| ISO 10275:2007 | Материалы металлические. Листы и полосы. Определение коэффициента деформационного упрочнения при растяжении Metallic materials - Sheet and strip - Determination of tensile strain hardening exponent |
| EN 10346:2015 | Прокат листовой стальной для холодной штамповки с покрытием, нанесенным методом непрерывного погружения в расплав. Технические условия поставки Continuously hot-dip coated steel flat products for cold forming - Technical delivery conditions |
| ISO 3575:2016 | Сталь углеродистая тонколистовая с покрытием, нанесенным непрерывным методом горячего цинкования, торгового качества и для вытяжки Continuous hot-dip zinc-coated and zinc-iron alloy-coated carbon steel sheet of commercial and drawing qualities |
| ISO 4998:2014 | Сталь углеродистая тонколистовая конструкционная с покрытием цинка, нанесенным непрерывным методом горячего цинкования и с покрытием цинковожелезного сплава Continuous hot-dip zinc-coated and zinc-iron alloy-coated carbon steel sheet of structural quality |
УДК 669.14:669:585.5:006.354 | |
Ключевые слова: горячеоцинкованный прокат, цинковое, железоцинковое, цинкалюминиевое, цинкалюмомагниевое и алюмоцинковое покрытия, классификация, класс покрытия, размеры, технические требования, правила приемки, методы контроля, транспортирование, хранение, масса покрытия, толщина покрытия |