Главная // Актуальные документы // ГОСТ (Государственный стандарт)СПРАВКА
Источник публикации
М.: Стандартинформ, 2016
Примечание к документу
Текст данного документа приведен с учетом
поправки, опубликованной в "ИУС", N 2, 2019.
Документ
введен в действие с 1 сентября 2016 года.
Название документа
"ГОСТ 33597-2015. Межгосударственный стандарт. Тормозные системы железнодорожного подвижного состава. Методы испытаний"
(введен в действие Приказом Росстандарта от 17.11.2015 N 1844-ст)
"ГОСТ 33597-2015. Межгосударственный стандарт. Тормозные системы железнодорожного подвижного состава. Методы испытаний"
(введен в действие Приказом Росстандарта от 17.11.2015 N 1844-ст)
по техническому регулированию
и метрологии
от 17 ноября 2015 г. N 1844-ст
МЕЖГОСУДАРСТВЕННЫЙ СТАНДАРТ
ТОРМОЗНЫЕ СИСТЕМЫ ЖЕЛЕЗНОДОРОЖНОГО ПОДВИЖНОГО СОСТАВА
МЕТОДЫ ИСПЫТАНИЙ
Braking systems of railway rolling stock.
Inspection procedures
ГОСТ 33597-2015
Дата введения
1 сентября 2016 года
Цели, основные принципы и основной порядок проведения работ по межгосударственной стандартизации установлены
ГОСТ 1.0-92 "Межгосударственная система стандартизации. Основные положения" и
ГОСТ 1.2-2009 "Межгосударственная система стандартизации. Стандарты межгосударственные, правила, рекомендации по межгосударственной стандартизации. Правила разработки, принятия, применения, обновления и отмены"
1 РАЗРАБОТАН Открытым акционерным обществом "Научно-исследовательский институт железнодорожного транспорта" (ОАО "ВНИИЖТ")
2 ВНЕСЕН Межгосударственным техническим комитетом по стандартизации МТК 524 "Железнодорожный транспорт"
3 ПРИНЯТ Межгосударственным советом по стандартизации, метрологии и сертификации (протокол от 27 октября 2015 г. N 81-П)
За принятие проголосовали:
Краткое наименование страны по МК (ИСО 3166) 004-97 | Код страны по МК (ИСО 3166) 004-97 | Сокращенное наименование национального органа по стандартизации |
Армения | AM | Минэкономики Республики Армения |
Беларусь | BY | Госстандарт Республики Беларусь |
Казахстан | KZ | Госстандарт Республики Казахстан |
Киргизия | KG | Кыргызстандарт |
Россия | RU | Росстандарт |
Таджикистан | TJ | Таджикстандарт |
Узбекистан | UZ | Узстандарт |
4
Приказом Федерального агентства по техническому регулированию и метрологии от 17 ноября 2015 г. N 1844-ст межгосударственный стандарт ГОСТ 33597-2015 введен в действие в качестве национального стандарта Российской Федерации с 1 сентября 2016 г.
6 ВВЕДЕН ВПЕРВЫЕ
Информация об изменениях к настоящему стандарту публикуется в ежегодном информационном указателе "Национальные стандарты" (по состоянию на 1 января текущего года), а текст изменений и поправок - в ежемесячном информационном указателе "Национальные стандарты". В случае пересмотра (замены) или отмены настоящего стандарта соответствующее уведомление будет опубликовано в ежемесячном информационном указателе "Национальные стандарты". Соответствующая информация, уведомление и тексты размещаются также в информационной системе общего пользования - на официальном сайте Федерального агентства по техническому регулированию и метрологии в сети Интернет
Настоящий стандарт устанавливает методы контроля тормозных систем локомотивов, моторвагонного подвижного состава, пассажирских и грузовых вагонов локомотивной тяги, а также другого подвижного состава, предназначенного для осуществления перевозок и функционирования инфраструктуры железнодорожного транспорта (далее - железнодорожный подвижной состав).
В настоящем стандарте использованы нормативные ссылки на следующие межгосударственные стандарты:
ГОСТ 166-89 (ИСО 3599-76) Штангенциркули. Технические условия
ГОСТ 427-75 Линейки измерительные металлические. Технические условия
ГОСТ 2405-88 Манометры, вакуумметры, мановакуумметры, напоромеры, тягомеры и тягонапоромеры. Общие технические условия
ГОСТ 15150-69 Машины, приборы и другие технические изделия. Исполнения для различных климатических районов. Категории, условия эксплуатации, хранения и транспортирования в части воздействия климатических факторов внешней среды
ГОСТ 32880-2014 Тормоз стояночный железнодорожного подвижного состава. Технические условия
ГОСТ 33223-2015 Тормозные системы железнодорожного подвижного состава. Устройства автоматического регулирования давления в силовом пневматическом органе. Требования безопасности
Примечание - При пользовании настоящим стандартом целесообразно проверить действие ссылочных стандартов в информационной системе общего пользования - на официальном сайте Федерального агентства по техническому регулированию и метрологии в сети Интернет или по ежегодному информационному указателю "Национальные стандарты", который опубликован по состоянию на 1 января текущего года, и по выпускам ежемесячного информационного указателя "Национальные стандарты" за текущий год. Если ссылочный стандарт заменен (изменен), то при пользовании настоящим стандартом следует руководствоваться заменяющим (измененным) стандартом. Если ссылочный стандарт отменен без замены, то положение, в котором дана ссылка на него, применяется в части, не затрагивающей эту ссылку.
В настоящем стандарте применены следующие термины с соответствующими определениями:
3.1 автоматический тормоз: Тормоз, приводимый в действие при нарушении целостности тормозной магистрали, петли безопасности и (или) при открытии крана экстренного торможения (стоп-крана).
3.2 вагон-лаборатория: Технический вагон пассажирского типа, предназначенный для размещения испытательного оборудования и средств измерений (оборудование для измерения тормозного пути, скорости начала торможения) при проведении ходовых тормозных испытаний единицы железнодорожного подвижного состава.
3.3 ведущий локомотив: Локомотив, предназначенный для тяги опытного сцепа.
3.4 вспомогательный тормоз: Пневматический тормоз ведущего локомотива, приводимый в действие без разрядки тормозной магистрали.
3.5 гидравлический тормоз: Устройство, в котором сила торможения создается при преобразовании кинетической энергии подвижного состава в тепловую энергию рабочей жидкости в гидротрансформаторе.
3.6 дотормаживание: Автоматический процесс замещения электрического (гидравлического) торможения электропневматическим или пневматическим при малых скоростях движения.
3.7 заданная скорость: Скорость движения опытного сцепа при контроле тормозного пути.
3.8 единица железнодорожного подвижного состава: Отдельный объект железнодорожного подвижного состава, к которому относят локомотивы, моторвагонный подвижной состав, пассажирские и грузовые вагоны локомотивной тяги, а также другой подвижной состав, предназначенный для осуществления перевозок и функционирования инфраструктуры железных дорог.
3.9 исполнительный механизм тормозной системы: Часть пневматического или рельсового тормоза, предназначенная для непосредственного выполнения работы по созданию тормозной силы.
3.10 конструкционная скорость: Наибольшая скорость движения, заявленная в технической документации на единицу железнодорожного подвижного состава.
3.11 кран экстренного торможения (стоп-кран): Устройство или комплекс устройств, служащие для выпуска воздуха из тормозной магистрали железнодорожного подвижного состава и приведения в действие автоматических тормозов в случае необходимости экстренной остановки.
3.12 магниторельсовый тормоз: Рельсовый тормоз, создающий тормозное усилие путем трения электромагнитного притяжения тормозного башмака к рельсу.
3.13 метод бросания: Метод определения тормозного пути, при котором экстренные торможения выполняют путем принудительной отцепки испытываемой единицы железнодорожного подвижного состава от опытного сцепа при его движении с заданной скоростью.
3.14 метод непосредственного торможения: Метод определения тормозного пути самоходных единиц железнодорожного подвижного состава, при котором набор заданной скорости и экстренное торможение производят без использования опытного сцепа.
3.15 метод последовательных торможений: Метод определения тормозного пути, при котором последовательно осуществляют экстренные торможения опытного сцепа с испытываемой единицей железнодорожного подвижного состава и без нее.
3.16 опытный сцеп: Поезд, составленный из ведущего локомотива, вагона-лаборатории, испытываемой единицы железнодорожного подвижного состава и предназначенный для проведения ходовых тормозных испытаний.
Примечание - Допускается составлять опытный сцеп без вагона-лаборатории. При этом функции вагона-лаборатории (принудительной отцепки и фиксирования момента начала торможения) должны быть возложены на ведущий локомотив.
3.17 орган управления тормозами: Краны машиниста, контроллеры управления тормозами, стоп-краны.
3.18 петля безопасности: Электрический канал управления тормозной системой поезда (электрическая цепь), при разрыве которого (снятие напряжения) происходит экстренное торможение.
3.19 пневматический тормоз: Тормоз единицы железнодорожного подвижного состава с пневматическим управлением и пневматическим исполнительным механизмом.
3.20 раствор: Жидкость, наносимая на поверхность рельсов для снижения коэффициента сцепления.
3.21 расчетная сила нажатия тормозных колодок на ось: Показатель, характеризующий тормозную эффективность единицы подвижного состава и используемый для расчета обеспеченности железнодорожного подвижного состава в эксплуатации.
Примечание - Расчетная сила нажатия должна быть приведена к чугунным тормозным колодкам.
3.22 рельсовый тормоз: Вид исполнительного тормозного механизма, в котором сила торможения создается в результате непосредственного контакта тормозного башмака, размещенного на единице железнодорожного подвижного состава, с рельсом.
3.23 стационарные тормозные испытания: Тормозные испытания, проводимые в статическом состоянии единицы железнодорожного подвижного состава.
3.24 тормозные испытания: Испытания по проверке требований безопасности, предъявляемых к тормозным системам единиц железнодорожного подвижного состава.
3.25 тормозной путь: Расстояние, проходимое единицей железнодорожного подвижного состава или поездом при выполнении экстренного торможения за время от момента воздействия на органы управления тормозами до полной остановки.
3.26 тормозной цилиндр: Силовой орган тормозной системы, предназначенный для преобразования энергии рабочего тела в механическую энергию поршня, воздействующего на фрикционные элементы.
3.27 фрикционный элемент: Изнашиваемый элемент фрикционной пары, к которым относят тормозные колодки, накладки, башмаки рельсовых тормозов и т.д.
3.28 фрикционная пара: Узел исполнительного механизма тормоза, предназначенный для преобразования кинетической энергии в тепловую в результате взаимодействия фрикционных элементов и контртел.
3.29 ходовые тормозные испытания: Тормозные испытания, проводимые при движении единицы железнодорожного подвижного состава.
3.30 экстренное торможение: Торможение, при котором реализуется максимальная тормозная сила.
3.31 электрический тормоз: Устройство, в котором сила торможения создается при преобразовании кинетической энергии поезда в электрическую энергию путем перевода тяговых электродвигателей в режим генератора.
4.1 Испытания тормозных систем проводят на соответствие требованиям настоящего стандарта на виды железнодорожного подвижного состава по показателям, приведенным в
таблице 1.
Таблица 1
Контролируемые показатели
Показатель | Структурный элемент | Структурный элемент стандарта, соответствующий виду железнодорожного подвижного состава |
Вагоны пассажирские локомотивной тяги | Вагоны грузовые | Электровозы | Тепловозы | Электропоезда | Дизель-поезда |
Эффективность | Тормозной путь | | + | + | + (7.15) | + (4.6.4) | + | + (7.2) |
Стояночный тормоз | | + | + | + (7.12) | + (4.6.6) | + | + (7.13) |
Действительные силы нажатия тормозных колодок (накладок) | | - | + | - | - | - | - |
Расчетное нажатие на ось в пересчете на чугунные колодки | | - | + | - | - | - | - |
Время нарастания силы тормозного нажатия до максимального значения при выполнении экстренного торможения | | - | + | + (7.20) | + (4.6.2) | + | + (7.14) |
Время отпуска тормоза после ступени торможения | | - | + | - | - | - | - |
Время опускания башмака магниторельсового тормоза на рельсы | | + | - | - | - | - | - |
Значения выхода штока тормозных цилиндров | | - | + | - | - | - | - |
Стабильность работы | Изменение силы тормозного нажатия при использовании новых фрикционных элементов и с максимально допускаемым износом | | + | + | - | - | - | - |
Зазор между тормозными колодками и поверхностью катания колес (между накладками и диском) и действие автоматического регулятора | | + | + | - | - | - | - |
Герметичность пневматической сети | | + | + | + (7.18) | + (4.6.3) | - | - |
Неравномерность износа фрикционных элементов | | - | + | - | - | - | - |
Производительность системы питания сжатым воздухом | | - | - | - | + (4.6.8) | + | + (7.6) |
Отсутствие самопроизвольного отпуска | | - | + | - | - | - | - |
Бесперебойное электропитание систем торможения и противоюзных устройств | | - | - | - | - | + | + (7.20) |
Действие противоюзной защиты | Определение коэффициента эффективности использования сцепления | | - | - | - | - | + | + (7.3) |
Определению длины тормозного пути при работе противоюзной защиты | | + | - | + (7.25) | + | - | - |
Определение величины относительного скольжения колесных пар при фрикционном торможении | | + | - | + (7.27) | + | + | + (7.3) |
Автоматическое отключение противоюзной защиты при одиночном отказе цепей ее управления | | + | - | + (7.26) | + | + | + (7.3) |
Системы замещения | Работа системы автоматического замещения электрического (гидравлического) тормоза другим видом тормоза | | - | - | + (7.3, 7.14, 7.28) | + (4.6.1) | + | + (7.21) |
Работа автоматического замещения электропневматического тормоза пневматическим на моторвагонном подвижном составе | | - | - | - | - | + | + (7.21) |
Блокировки | Блокировка работы стоп-крана | | - | - | - | - | + | + (7.12) |
Блокирование управления пневматическими тормозами в кабине машиниста | | - | - | + (7.16) | + (4.6.14) | + | + (7.15) |
Недопустимость приведения в движение локомотивов и моторвагонного подвижного состава при блокировании органов управления и давлении в тормозной магистрали менее 0,44 МПа (4,4 кгс/см2) | | - | - | + (7.17) | + (4.2.4) | + | + (7.15) |
Системы диагностирования | Проверка работы сигнализации наличия сжатого воздуха в тормозных цилиндрах тележек железнодорожного подвижного состава на пульте управления в кабине машиниста | | - | - | + (7.21) | + (4.8.1) | + | + (7.19) |
Проверка работы сигнализации минимального давления сжатого воздуха в главных резервуарах на пульте управления в кабине машиниста | | - | - | + (7.22) | - | - | - |
Защита главных резервуаров от превышения давления сжатого воздуха | | - | - | + (7.22, 7.24) | + (4.6.12) | + | + (7.10) |
Работа датчика состояния тормозной магистрали грузового поезда (для локомотивов) | | - | - | + (7.23) | + (4.8.6) | - | - |
Безопасность пассажиров и инфраструктуры | Отсутствие юза колесных пар порожних грузовых вагонов | | - | + | - | - | - | - |
Размещение органов управления аварийным экстренным торможением (стоп-кранов) | | + | - | - | - | + | + (7.11) |
Наличие предохранительных (страховочных) устройств элементов конструкции тормоза | | + | + | + (11.1.3) | + (4.1.23) | + | + (5.1.8) |
Наличие предупреждающих знаков и надписей | - | + | - | - | - | - |
Отсутствие касания элементов тормоза и ходовой части железнодорожного подвижного состава, не предусмотренного конструкцией | | + | + | + (6.22) | + (4.5.13) | + | + (5.1.4) |
Климатическое исполнение | | + | + | + (4.4) | + (4.1.10) | + | + (4.7) |
Недопущение выхода за габарит | + | + | + (4.3) | + (4.1.1) | + | + (4.5) |
Примечание - Знак "+" означает, что проверка показателя обязательна, знак "-" - необязательна. В скобках приведены ссылки на структурные элементы национальных и межгосударственных стандартов, в которых приведены технические требования на тормозные системы железнодорожного подвижного состава (см. 4.2). |
4.2 Тормозные системы пассажирских вагонов локомотивной тяги, электровозов, электропоездов испытывают на соответствие требованиям национальных стандартов <*>.
--------------------------------
Тормозные системы магистральных тепловозов испытывают на соответствие требованиям
ГОСТ 31187, дизель-поездов -
ГОСТ 31666.
5.1.1 Испытания тормозных систем проводят в составе единицы железнодорожного подвижного состава.
5.1.2 Все испытания проводят при нормальных значениях климатических факторов внешней среды по ГОСТ 15150
(пункт 3.15).
5.1.3 Контроль линейных размеров, кроме тормозного пути, проводят штангенциркулем по
ГОСТ 166 или линейкой по
ГОСТ 427 с пределом измерений до 300 мм.
Допускается применение линеек, изготовленных и поверенных (откалиброванных) предприятием-изготовителем, аккредитованным в национальной системе аккредитации на право поверки (калибровки) средств измерений.
5.1.4 Контроль давления сжатого воздуха проводят манометрами по
ГОСТ 2405 или другими средствами измерений с пределами измерений до 1,6 МПа (16 кгс/см
2) класса точности не ниже 0,6.
5.1.5 Контроль времени при испытаниях по
5.2.5 -
5.2.7 проводят средствами измерений с относительной погрешностью не более +/- 0,1%.
5.1.6 При проведении многократных измерений за результат принимают среднее значение.
5.1.7 Испытания по
5.3.1,
5.3.2,
5.3.4,
5.5.1,
5.5.2 проводят при использовании всех типов фрикционных элементов, предусмотренных конструкцией тормозной системы единицы железнодорожного подвижного состава.
Допускается проводить испытания на одном типе фрикционных элементов с последующим пересчетом на другие типы фрикционных элементов.
5.1.8 Единицу железнодорожного подвижного состава считают выдержавшей испытания, если по всем показателям
таблицы 1 получен положительный результат.
При получении отрицательного результата испытаний хотя бы по одному показателю единицу железнодорожного подвижного состава бракуют.
Повторные испытания допускается проводить только по тем пунктам
таблицы 1, по которым был получен отрицательный результат.
5.2 Методы испытаний тормозов на эффективность
5.2.1 Испытания по определению тормозного пути
5.2.1.1 К проведению испытаний по определению длины тормозного пути допускают технически исправные единицы железнодорожного подвижного состава, которые прошли испытания по
5.2.3 и
5.2.5.
Испытания проводят:
- для единицы железнодорожного подвижного состава с однорежимным тормозом - при максимальной допустимой загрузке;
- для локомотивов - в экипированном состоянии;
- для грузовых, пассажирских вагонов и моторвагонного подвижного состава, оборудованных устройством регулирования тормозной силы, - в порожнем состоянии и с максимальной расчетной загрузкой.
5.2.1.2 Испытания единиц железнодорожного подвижного состава проводят в опытном сцепе с ведущим локомотивом и вагоном-лабораторией. Допускается проводить испытания без использования вагона-лаборатории, если ее функции выполняет ведущий локомотив.
Длину тормозного пути допускается определять тремя способами:
1) методом бросания, при котором непосредственно определяют расстояние (тормозной путь), пройденное единицей железнодорожного подвижного состава от момента срабатывания тормоза до полной остановки;
2) методом последовательных торможений, при котором тормозной путь единицы железнодорожного подвижного состава определяют расчетным способом по результатам измерений тормозных путей опытного сцепа с испытываемой единицей железнодорожного подвижного состава и без нее;
3) методом непосредственных торможений, при котором функции ведущего локомотива и вагона-лаборатории должны быть возложены на испытываемую единицу железнодорожного подвижного состава.
При использовании метода бросания допускается отключать автоматический тормоз ведущего локомотива и вагона-лаборатории, а также устройства, автоматически отключающие тягу ведущего локомотива при разрыве тормозной магистрали. В этом случае при выполнении остановочного торможения опытного сцепа применяют электрический или вспомогательный тормоз ведущего локомотива.
При испытаниях железнодорожного состава, представляющего собой неразъединимый сцеп, состоящий из нескольких вагонов, допускается применять метод бросания.
При проведении испытаний загрузка единиц железнодорожного подвижного состава должна быть не меньше 90% от максимальной расчетной загрузки.
При использовании метода последовательных торможений должны быть соблюдены следующие условия:
- расчетные тормозные пути опытного сцепа и испытываемой единицы железнодорожного подвижного состава (на основании расчета) не должны отличаться более чем на 20%;
- масса испытываемой единицы железнодорожного подвижного состава должна быть не менее 50% от массы опытного сцепа.
Метод последовательных торможений допускается применять только при подтверждении соответствия несамоходных комплексов специального подвижного состава.
5.2.1.3 Длина участка железнодорожного пути, отведенного для испытаний, должна составлять не менее полуторакратного расстояния, необходимого для разгона опытного сцепа до конструкционной скорости испытываемой единицы железнодорожного подвижного состава и его торможения до полной остановки. Дистанцию тормозного пути опытного сцепа принимают равной двукратной длине расчетного тормозного пути испытываемой единицы железнодорожного подвижного состава с конструкционной скорости.
Радиус кривых на участке железнодорожного пути должен быть не менее 900 м; допускается наличие подъемов и спусков с уклоном не более

, при этом средний уклон
ic на длине тормозного пути не должен превышать

.
Значение среднего уклона определяют по формуле

, (1)
где Sn - длина участка железнодорожного пути с постоянным профилем, входящая в измеренный тормозной путь, м;
Sc - суммарная длина участков железнодорожного пути, составляющая общий измеренный тормозной путь, м;
in - уклон пути каждого из участков пути с постоянным профилем, входящих в измеренный тормозной путь (имеет отрицательное значение для спуска и положительное для подъема),

.
5.2.1.4 Испытания проводят при отсутствии атмосферных осадков и видимости не менее расчетного тормозного пути единицы железнодорожного подвижного состава. Рабочая поверхность рельсов и поверхность катания колес единицы железнодорожного подвижного состава должны быть без видимых загрязнений.
Отсутствие атмосферных осадков, дальность видимости, состояние рабочей поверхности рельсов и катания колес определяют визуально.
При испытаниях в момент выполнения торможений на ведущем локомотиве опытного сцепа (для метода бросания) или на испытываемой единице железнодорожного подвижного состава (для метода непосредственных торможений) должна применяться система подачи песка.
В случае срабатывания противоюзного устройства (при наличии) в процессе испытаний опыт является недействительным.
5.2.1.5 Значения заданной скорости начала торможения (или принудительной отцепки) выбирают из диапазона от 11,1 м/с (40 км/ч) до конструкционной скорости. Заданная скорость непосредственно перед торможением должна быть постоянной с допускаемым отклонением +/- 5%.
На каждом значении заданной скорости проводят не менее трех опытов.
5.2.1.6 Средства измерения скорости движения и тормозного пути должны отвечать следующим требованиям:
- верхний предел измерения скорости должен быть не менее чем в 1,2 раза больше конструкционной скорости испытываемой единицы железнодорожного подвижного состава;
- абсолютная погрешность измерения скорости движения... | не более +/- 0,55 м/с; |
- относительная погрешность измерения тормозного пути... | не более +/- 1%. |
5.2.1.7 Отклонение значения давления сжатого воздуха в тормозных цилиндрах единицы железнодорожного подвижного состава, зарегистрированное в разных опытах, должно быть не более +/- 0,01 МПа (+/- 0,1 кгс/см2).
5.2.1.8 Тормозной путь с заданной скорости на горизонтальном участке SТ0, м, вычисляют по формуле

, (2)
где SТн - измеренный тормозной путь, м;
V0 - заданная скорость начала торможения, м/с;
VН - фактическая скорость торможения, м/с;
g - ускорение свободного падения, м/с2;
i - средний уклон пути на участке торможения (минус - спуск, плюс - подъем),


- безразмерный коэффициент, учитывающий инерцию вращающихся масс.
Коэффициент

следует принимать в соответствии с данными, приведенными в конструкторской документации. При отсутствии данных о коэффициенте

следует принимать:
- 0,18 - для электровозов;
- 0,115 - для грузовых тепловозов;
- 0,075 - для пассажирских тепловозов;
- 0,067 - для электропоездов;
- 0,095 - для дизель-поездов;
- 0,042 - для пассажирских вагонов;
- 0,084 - для порожних грузовых вагонов;
- 0,028 - для груженых грузовых вагонов.
Тормозной путь SД0, м, приведенный к максимально допустимой массе единицы подвижного состава и к минимально допустимому давлению в тормозных цилиндрах для соответствующего режима торможения, определяют по формуле

, (3)
где P0 - давление в тормозном цилиндре, МПа;
Pmin - минимально допустимое давление для соответствующего режима торможения, МПа;
M0 - масса единицы подвижного состава во время испытаний, т;
Mmax - максимально допустимая масса единицы подвижного состава в соответствии с конструкторской документацией, т.
При использовании метода последовательных торможений по полученным в процессе испытаний и рассчитанным по
формулам (2) и
(3) тормозным путям опытного сцепа с испытываемой единицей железнодорожного подвижного состава и без нее в соответствии с
формулой (11) подбирают значения расчетных тормозных коэффициентов

и

, при этом расчетный тормозной коэффициент испытываемой единицы

определяют по формуле

, (4)
где

- расчетный коэффициент силы нажатия тормозных колодок опытного сцепа;

- расчетный коэффициент силы нажатия тормозных колодок испытываемой единицы подвижного состава;
Q1 - вес опытного сцепа, кН;
Q2 - вес испытываемой единицы подвижного состава, кН.
Тормозной путь испытываемой единицы железнодорожного подвижного состава определяют по
формуле (11) путем подстановки в нее полученного тормозного коэффициента испытываемой единицы

.
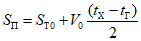
5.2.1.9 Для грузовых и пассажирских вагонов тормозной путь поезда SП, м, определяют с помощью следующей формулы
SП = tПV0 + SД0, (5)
где tП - время подготовки тормозов к действию, с.
Время подготовки тормозов к действию следует принимать:
- 7 с - для грузовых вагонов;
- 4 с - для пассажирских вагонов;
- 2 с - для вагонов с электропневматическим тормозом.
5.2.1.10 Для моторвагонного подвижного состава пересчет тормозного пути отдельного объекта (вагона или неразъединимого сцепа) SТ0 на тормозной путь при максимальной составности (с максимально допустимым числом вагонов) SП, м, производят по формуле

, (6)
| | ИС МЕГАНОРМ: примечание. В официальном тексте документа, видимо, допущена опечатка: имеется в виду пункт 5.2.5.4, а не 5.2.4.5. | |
где
tХ и
tГ - время наполнения тормозных цилиндров головного и хвостового вагонов в соответствии с
5.2.4.5, с.
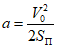
Полученные результаты SП и V0 характеризуют тормозную эффективность объекта и позволяют рассчитать среднее замедление a, м/с2, по формуле

. (7)
Для объекта, имеющего систему, регулирующую тормозную силу в зависимости от загрузки пассажиров, определяют зависимость давления сжатого воздуха в тормозных цилиндрах объекта при экстренном торможении от загрузки вагонов (с шагом не более 5 т). Используя данную зависимость, находят загрузку объекта, при которой его среднее замедление минимально. Расчетное среднее замедление aР, м/с2, определяют из выражения

, (8)
где aj - минимальное замедление j объекта, м/с2;
Qj - масса j-го объекта, при котором достигается aj, кг
Тормозной путь моторвагонного подвижного состава, имеющего систему, регулирующую тормозную силу в зависимости от загрузки пассажиров, SПрег, м, находят по формуле

(9)
и сравнивают его с нормативным значением.
5.2.2 Проверка параметров работы стояночного тормоза
Проверку параметров работы стояночного тормоза проводят в соответствии с ГОСТ 32880
(пункт 8.2.2).
5.2.3 Определение действительной силы нажатия тормозных колодок (накладок)
Для определения действительной силы нажатия тормозных колодок (накладок) используют силоизмерители.
Силоизмерители должны соответствовать следующим требованиям:
- порог чувствительности ..................................................... | не более 0,5 кН; |
- верхний диапазон измерения силы .................................. | не менее 45 кН; |
- основная относительная погрешность измерений .......... | не более +/- 1%. |
Перед проведением испытаний силоизмерители следует установить на место фрикционных элементов, после чего необходимо выставить требуемый зазор между элементами фрикционной пары (колодкой и колесом или накладкой и диском). На каждую тормозную ось необходимо установить не менее одного силоизмерителя. После чего производят зарядку пневматической сети тормоза.
Проверку действительного тормозного нажатия проводят на всех тележках.
При испытании колодочного тормоза установка силоизмерителей допускается с одной стороны тележки, при этом с другой стороны в тормозные башмаки должны быть установлены равные по толщине фрикционные элементы. В случае если исполнительные элементы тормоза допускают эксплуатацию с различной толщиной фрикционных элементов, проверку действия тормоза проводят с максимально допускаемой разницей по толщине фрикционных элементов. При испытаниях дискового тормоза установка силоизмерителей допускается с одной стороны диска в один тормозной башмак.
Измерения осуществляют при выполнении экстренного торможения на всех режимах работы воздухораспределителя, предусмотренных конструкторской документацией. Для каждого режима работы воздухораспределителя проводят не менее трех измерений. Сравнению подлежат данные, полученные на одном режиме воздухораспределителя.
5.2.4 Определение расчетного нажатия на ось в пересчете на чугунные колодки
5.2.4.1 Определяют значение тормозного пути вагона по
5.2.1.
5.2.4.2 Значение расчетной силы нажатия чугунных колодок на ось единицы железнодорожного подвижного состава KР, кН, определяют по формуле

, (10)
где

- расчетный тормозной коэффициент нажатия, кН/т;
m - количество тормозных осей на единице железнодорожного подвижного состава.
Допускается производить расчет силы нажатия чугунных колодок на ось единицы железнодорожного подвижного состава в других единицах измерения.
Значение расчетного тормозного коэффициента

подбирают из
уравнения (11) методом итерации или методом половинчатого деления

(11)
где Vваг - скорость вагона, км/ч;
Vваг(0) - начальная скорость торможения, км/ч;

- расчетный коэффициент трения чугунных тормозных колодок;
wох - основное удельное сопротивление движению единицы железнодорожного подвижного состава при холостом ходе, Н/т.
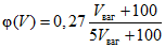
Расчетный коэффициент трения для чугунных тормозных колодок определяют по формуле

. (12)
Значение основного удельного сопротивления движению wох следует принимать в соответствии с технической документацией на единицу железнодорожного подвижного состава.
Пример подбора расчетного тормозного коэффициента

методом половинчатого деления.
Пример - В результате испытаний определен действительный тормозной путь SД0 грузового вагона с конструкционной скоростью 90 км/ч, который составляет 820 м. Значение расчетной силы нажатия на ось будет определено методом половинчатого деления. Вычисление расчетной силы нажатия производят с точностью до 0,2 кН. При первом шаге расчетов определяют длины тормозных путей при трех значениях:
- при нулевом значении;
- при значении, заведомо превышающем максимальную величину расчетной силы нажатия на ось (для данного вагона примем 200 кН);
- среднем значении (100 кН).
Для значения 0 кН тормозной путь равен 19919 м, для 100 кН - 685 м, для 200 кН - 348 м. По результатам расчета видно, что сила, при которой реализуется опытный тормозной путь, лежит между 0 кН и 100 кН.
Далее диапазон от 0 кН до 100 кН необходимо разделить пополам (50 кН) и для данного значения рассчитать тормозной путь. Путь составит 1329 м. Видно, что теперь сила, которой соответствует искомый тормозной путь, лежит между 50 кН и 100 кН.
Вышеприведенным способом производим подбор расчетной тормозной силы с точностью до 0,2 кН.
Ниже приведен последний шаг итерации:
- для силы 82,8 кН тормозной путь составит 822 м, для силы 83,2 кН - 818 м, для среднего между ними значения силы 83 кН - 820 м.
Таким образом, искомое значение расчетной силы нажатия на ось в пересчете на чугунные колодки KР, при котором реализуется опытный тормозной путь вагона, составляет 83 кН (8,5 тс).
5.2.5 Испытания для проверки времени нарастания силы тормозного нажатия до максимального значения при выполнении экстренного торможения
5.2.5.1 Перед проведением испытаний на место фрикционных элементов на каждую тормозную ось устанавливают не менее одного силоизмерителя по
5.2.3, после чего устанавливают требуемый зазор между рабочими поверхностями фрикционной пары. После чего осуществляют зарядку пневматической сети тормоза.
5.2.5.2 Тормоз испытываемой единицы железнодорожного подвижного состава приводят в действие путем применения экстренного торможения от органа управления тормозами.
При испытаниях пассажирских и грузовых вагонов торможение осуществляют от испытательной установки.
При испытаниях моторвагонного подвижного состава и локомотивов испытания проводят при использовании пневматического и электропневматического тормозов. Для локомотивов, пассажирских вагонов и моторвагонного подвижного состава время нарастания силы тормозного нажатия контролируют также при:
- открытии концевого крана на тормозной магистрали;
- срыве стоп-крана (при его наличии);
- нажатии кнопки аварийного торможения (при наличии);
- включении электропневматического клапана автостопа (при наличии).
Время нарастания силы тормозного нажатия измеряют с момента подачи управляющего сигнала до момента достижения 95% от максимального значения тормозного нажатия.
Для тепловозов проверяют относительное увеличение времени наполнения тормозного цилиндра при экстренном торможении, вызванном различными управляющими воздействиями.
5.2.5.3 Проверку времени нарастания тормозной силы допускается проводить без измерения силы тормозного нажатия, по времени наполнения тормозных цилиндров от момента постановки органа управления тормозами в положение экстренного торможения до достижения в них давления сжатого воздуха 95% от максимального значения.
5.2.5.4 Для нерасцепляемой группы моторвагонного подвижного состава испытания по
5.2.5.3 проводят для головного и хвостового вагонов при максимальной составности (максимально допустимом числе вагонов).
При применении в конструкции моторвагонного подвижного состава электрических петель безопасности испытания по
5.2.5.3 проводят для головного вагона и вагона, расположенного в середине состава, в том числе и для электропоезда, работающего по системе многих единиц.
Время наполнения тормозных цилиндров от каждой системы управления тормозами определяют как половину суммы времени наполнения головного и хвостового вагонов. Для всех систем управления тормозами выбирается наибольшее время, которое сравнивается с нормируемым значением.
5.2.6 Испытания для определения времени отпуска после ступени торможения
5.2.6.1 Перед проведением испытаний в тормозной цилиндр устанавливают манометр, после чего производят зарядку тормозной системы единицы железнодорожного подвижного состава сжатым воздухом давлением от 0,53 до 0,55 МПа (от 5,3 до 5,5 кгс/см2) в течение 6 мин.
5.2.6.2 Тормоз испытываемой единицы железнодорожного подвижного состава приводят в действие путем снижения давления в тормозной магистрали вагона на значение от 0,05 до 0,06 МПа темпом не менее 0,015 МПа/с. Визуально контролируют приведение тормоза в действие.
Через 300 с после начала торможения производят повышение давления в тормозной магистрали до номинального.
Время отпуска тормоза измеряют с момента повышения давления в тормозной магистрали до полного снижения давления в тормозном цилиндре.
5.2.7 Испытания для определения времени опускания башмака магниторельсового тормоза на рельсы
5.2.7.1 Испытания проводят в статическом состоянии единицы железнодорожного подвижного состава. Для проведения испытаний схему работы магниторельсового тормоза изменяют с целью обеспечения возможности его приведения в действие при нулевой скорости.
5.2.7.2 Перед проведением испытаний от установки для испытаний тормоза или локомотива производят зарядку пневматической сети единицы железнодорожного подвижного состава до зарядного давления. После чего осуществляют экстренное торможение до полного выпуска сжатого воздуха из тормозной магистрали. При этом фиксируют время опускания башмаков магниторельсового тормоза от момента перевода ручки крана машиниста в положение экстренного торможения до их касания поверхности рельса.
5.2.7.3 Через 60 с после опускания башмаков магниторельсового тормоза на рельсы производят зарядку тормозной магистрали железнодорожного подвижного состава до зарядного давления. При этом контролируют время от начала зарядки тормозной магистрали единицы железнодорожного подвижного состава до начала подъема башмаков магниторельсового тормоза и время от начала подъема магнитов магниторельсового тормоза с рельсов до возвращения их в исходное (нерабочее) положение.
5.2.8 Испытания для определения значения выхода штока тормозного цилиндра
5.2.8.1 Перед проведением испытаний устанавливают зазор между тормозными колодками и поверхностью катания колес в диапазоне:
- от 5 до 8 мм для колодочного тормоза двухосных тележек;
- от 5 до 12 мм для колодочного тормоза трехосных тележек;
- от 3 до 6 мм для дискового тормоза (суммарный для одного диска).
Значение зазора определяют по результатам измерений на всех тормозных колодках (накладках) с верхней и нижней части. За результат принимают среднюю величину.
Осуществляют зарядку пневматической сети тормоза сжатым воздухом давлением от 0,50 до 0,55 МПа (от 5,0 до 5,5 кгс/см2) в течение не менее 6 мин и выполняют экстренное торможение. Выход штока тормозного цилиндра должен соответствовать нормативному значению.
5.2.8.2 Тормоз испытываемой единицы железнодорожного подвижного состава приводят в действие путем снижения давления в тормозной магистрали вагона на значение от 0,15 до 0,17 МПа темпом не менее 0,015 МПа/с.
Значение выхода штока определяют как разницу значения линейного перемещения поршня между отпущенным и заторможенным положениями.
5.3 Методы испытаний тормозов на стабильность работы
5.3.1 Испытания для определения изменения силы тормозного нажатия при использовании новых и полностью изношенных фрикционных элементов проводят при следующих показателях работы тормоза:
- при установке новых фрикционных элементов и имитации их полного износа (с обязательной регулировкой тормозной рычажной передачи);
- при минимальном и максимальном зазорах между тормозными колодками (накладками) и поверхностью катания колес (дисков), контролируемых по
5.2.3;
- при срабатывании и несрабатывании регулирующих устройств (автоматических регуляторов выхода штока тормозных цилиндров).
Метод определения силы тормозного нажатия по
5.2.3.
Из общего ряда данных, полученных на одном режиме работы воздухораспределителя при различных показателях работы тормоза, выбирают минимальное и максимальное значения силы нажатия тормозных колодок (накладок) на одной оси.
Изменение силы тормозного нажатия при действии тормоза,

, %, определяют по формуле

, (13)
где Kmax - максимальное значение силы тормозного нажатия на одной оси, кН;
Kmin - минимальное значение силы тормозного нажатия на одной оси, кН.
Расчет следует проводить для каждой оси.
5.3.2 Испытания по определению зазора между рабочими поверхностями фрикционных пар проводят после испытаний по
5.2.1 с приработанными фрикционными элементами.
При испытаниях проверяют следующие показатели:
- работоспособность автоматического регулятора зазора между рабочими поверхностями фрикционных пар (при наличии);
- расстояние между тормозными колодками и поверхностью катания колес (тормозными накладками и дисками).
Средства измерений по
5.1.3.
Испытания проводят в следующей последовательности:
- воздействуя на авторегулятор, увеличивают зазор между рабочими поверхностями фрикционных пар на расстояние, составляющее от 50% до 70% от максимального допускаемого значения (от 5 до 8 мм для колодочных тормозов и от 3 до 6 мм для дисковых тормозов);
- осуществляют зарядку пневматической сети тормоза и выполняют серию из нескольких (не менее двух) циклов экстренного торможения и отпуска;
- контролируют срабатывание автоматического регулятора и отвод фрикционных элементов от поверхности катания колес или дисков;
- измеряют расстояние между рабочими поверхностями фрикционных пар со стороны верхнего и нижнего торцов фрикционного элемента, которое должно соответствовать нормативному значению (от 5 до 8 мм для колодочных тормозов и от 3 до 6 мм для дисковых тормозов).
За результат измерений принимают среднее значение. Схема выполнения измерений приведена на
рисунке 1.
Рисунок 1 - Схема выполнения измерения зазора между колодкой
и поверхностью катания колеса
При проведении приемо-сдаточных испытаний единиц железнодорожного подвижного состава допускается контролировать зазор между элементами фрикционных пар по значению выхода штока тормозных цилиндров по
5.2.8.
5.3.3 Испытания на наличие утечек сжатого воздуха в пневматической сети
5.3.3.1 При испытаниях пневматической сети тормозных цилиндров на утечки сжатого воздуха воздухораспределитель испытуемой единицы следует включить на режим, характеризуемый наибольшим давлением в тормозном цилиндре в соответствии с конструкторской документацией. После полной зарядки пневматической сети тормоза до рабочего зарядного давления необходимо произвести экстренное торможение до полного выпуска сжатого воздуха из тормозной магистрали. После приведения тормоза в действие контролируют значение снижения давления сжатого воздуха из тормозных цилиндров

за время в соответствии с нормативным значением для испытываемой единицы железнодорожного подвижного состава.
При испытаниях локомотива рукоятка крана вспомогательного тормоза в процессе проверки должна находиться в отпускном положении. При наличии на локомотиве реле давления, питающего сжатым воздухом тормозные цилиндры соответствующей тележки, после экстренного торможения следует отключить его от питательного резервуара и выполнить измерение значения снижения давления в них за 1 мин.
5.3.3.2 При испытаниях сети магистрального трубопровода на утечки сжатого воздуха пассажирских и грузовых вагонов локомотивной тяги производят ее зарядку давлением 0,6 МПа (6 кгс/см
2). После зарядки пневматической сети источник питания сжатого воздуха отключают и измеряют значение снижения давления сжатого воздуха из сети магистрального трубопровода

за время в соответствии с нормативным значением для испытываемой единицы железнодорожного подвижного состава.
5.3.4 Измерение неравномерности износа фрикционных элементов проводят по верхнему и нижнему торцам каждой тормозной колодки (накладки). При этом разница по толщине не должна превышать 50% от большего значения. Определение неравномерности износа фрикционных элементов проводят при эксплуатационных испытаниях. Пробег единицы железнодорожного подвижного состава с момента установки новых фрикционных элементов до момента проведения измерения неравномерности износа фрикционных элементов должен составлять не менее 100 тыс. км.
При этом испытываемая единица железнодорожного подвижного состава должна совершать не меньше одного торможения за 50 км пробега.
5.3.5 Проверку производительности системы питания сжатым воздухом проводят на моторвагонном подвижном составе в статическом состоянии.
Производят экстренное торможение и измеряют давление сжатого воздуха в любом произвольно выбранном тормозном цилиндре головного вагона.
При достижении нижнего допускаемого предела давления в главных резервуарах (давления, при котором автоматически происходит возобновление работы компрессорных установок) включают потребителей сжатого воздуха (тифон, свисток, тестовая программа проверки противоюзной защиты и др.) в наиболее неблагоприятной комбинации, определенной в технической документации.
Через 3 мин производят измерение давления в главных резервуарах.
Результат испытаний считают положительным, если измеренное давление сжатого воздуха в главных резервуарах не опустится ниже значения 500 кПа при работающих компрессорных установках.
5.3.6 Для проведения испытаний на отсутствие самопроизвольного отпуска производят зарядку тормозной системы единицы железнодорожного подвижного состава сжатым воздухом давлением от 0,53 до 0,55 МПа (от 5,3 до 5,5 кгс/см
2) в течение 6 мин.
Тормоз испытываемой единицы железнодорожного подвижного состава приводят в действие путем снижения давления в тормозной магистрали вагона на значение от 0,06 до 0,07 МПа темпом не менее 0,015 МПа/с. Контролируют наличие давления в тормозном цилиндре. В течение 300 с после начала торможения снижение давления в тормозном цилиндре должно быть не более чем на 0,02 МПа (0,2 кгс/см2).
5.3.7 При проверке обеспечения бесперебойного электропитания систем электропневматического тормоза и противоюзных устройств производят зарядку тормозной магистрали до зарядного давления и выполняют торможение с помощью электропневматического тормоза без выпуска воздуха из тормозной магистрали. Фиксируют конечное давление сжатого воздуха в любом произвольно выбранном тормозном цилиндре. Опускают токоприемники (останавливают дизельную установку дизель-поезда), после чего в течение 1 мин контролируют давление в тормозном цилиндре, запускают тестовую программу противоюзного устройства и приводят в действие рельсовый тормоз (при наличии).
Электропитание считается бесперебойным, если давление сжатого воздуха в тормозном цилиндре не изменилось и на единице подвижного состава пришел в действие рельсовый тормоз (при наличии) или запущена тестовая программа противоюзного устройства.
5.4 Методы испытания противоюзной защиты
5.4.1 Общие положения
5.4.1.1 Испытания проводят на выделенном участке железных дорог, соответствующем требованиям
5.2.1.3.
5.4.1.2 Требования к средствам контроля скорости и тормозного пути по
5.2.1.6.
5.4.1.3 Для снижения уровня сцепления применяют раствор, характеристики которого должны соответствовать следующим показателям:
- кинематическая вязкость при 50 °C ........................... | от 10 до 20 мм2/с; |
- плотность при 20 °C .................................................... | от 850 до 900 кг/м3. |
5.4.1.4 Измерение угловой скорости проводят колесными (осевыми) датчиками.
Допускается измерять угловую скорость косвенным методом путем пересчета линейной скорости поверхности катания колеса.
Для измерения линейной скорости поверхности катания колеса должны применяться средства измерения, которые должны отвечать следующим требованиям:
- минимальное значение определяемой скорости должно быть не более 0,1 м/с;
- абсолютная погрешность измерений должна составлять не более 7% от корня квадратного измеряемой скорости (м/с).
Устройства на подвижном составе, повышающие коэффициент сцепления (например, системы подачи песка) должны быть выключены.
5.4.1.5 Испытания моторвагонного подвижного состава проводят для моторных и немоторных осей вагонов.
5.4.2 Испытания по определению коэффициента эффективности использования сцепления
5.4.2.1 На участке длиной не менее 50 м пути на рельсы наносят раствор, снижающий сцепление колеса с рельсом (в соответствии с требованиями
5.4.1.3). Раствор равномерно распределяют меховым или поролоновым валиком, создавая пленку на рельсах.
Производят три экстренных торможения в диапазоне скоростей от 35 до 45 км/ч. Торможение производят после того, как испытуемая колесная пара наедет на смазанный участок. После каждого прохода или торможения раствор наносят заново. В процессе испытаний допускается разнесение смазки на путь до и после участка испытаний.
В процессе торможений регистрируют скорость движения объекта, частоту вращения колесных пар и давление сжатого воздуха во всех тормозных цилиндрах.
При проведении каждого опытного торможения необходимо получить не менее двух вхождений в юз. При этом после остановки единицы железнодорожного подвижного состава значение давления в тормозных цилиндрах должно составлять не менее 85% от максимального, полученного при испытаниях.
5.4.2.2 По результатам испытаний определяют относительное увеличение тормозного пути. Положительным результатом испытаний является выполнение условия

, (14)
где S0 - тормозной путь, полученный по результатам испытаний, м;
S - минимально возможный тормозной путь при условии полной реализации коэффициента сцепления, м.
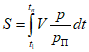
Опытный тормозной путь единицы подвижного состава S0, м, определяют при обработке данных, полученных при испытаниях, по формуле

. (15)
Минимально возможный тормозной путь S, м, при условии полной реализации коэффициента сцепления для каждой колесной пары определяют после испытаний по формуле

, (16)
где V - скорость движения, м/с;
pП - потенциально возможное давление сжатого воздуха в тормозном цилиндре до вхождения в юз, МПа (кгс/см2);
p - текущее давление сжатого воздуха в тормозном цилиндре, МПа (кгс/см2);
t1 - нижний предел интегрирования, соответствующий моменту первого входа в юз, с;
tn - верхний предел интегрирования, соответствующий моменту последнего входа в юз, с.
Изменение потенциального давления pП, МПа, в диапазоне времени от момента входа в юз в i-й раз до момента входа в юз в (i + 1)-й раз определяют по формуле

, (17)
где pвх(i) - текущее давление сжатого воздуха в тормозном цилиндре в момент входа в юз в i-й раз, МПа (кгс/см2);
tвх(i) - время входа в юз в i-й раз, с;
t - текущее время, с.
Моментом входа в юз принимают момент, когда при торможении линейная скорость поверхности катания колеса становится меньше скорости движения единицы железнодорожного подвижного состава более чем на 2%, т.е. выполняется условие

, (18)
где

- угловая скорость вращения колес, рад/с;
V - линейная скорость движения единицы железнодорожного подвижного состава, м/с;
R - средний радиус колеса по кругу катания, оцениваемый как среднее значение

при свободном выбеге единицы железнодорожного подвижного состава, м.
Пример результатов испытаний приведен на
рисунке 2.
Рисунок 2 - Результаты испытаний по
5.4.2
Для оценки и сравнения с нормативным значением выбирается максимальное значение относительного увеличения тормозного пути из проведенных опытов.
Допускается применение других методов расчета, если они позволяют получать аналогичные результаты.
5.4.3 Испытания по определению длины тормозного пути при работе противоюзной защиты
5.4.3.1 Испытания проводят для локомотивов и пассажирских вагонов на кольцевом участке пути
Испытания локомотивов проводят при выключенных компрессорах и минимально допустимом давлении в питательных резервуарах.
Предварительно определяют тормозной путь с использованием метода при экстренном торможении со скорости 100 км/ч (для локомотивов) и со скоростей 80, 100 и 120 км/ч для пассажирских вагонов.
На участке пути длиной до 25 м на рельсы наносят раствор, снижающий сцепление колеса с рельсом (в соответствии с требованиями
пункта 5.4.1.3). Раствор равномерно распределяют меховым или поролоновым валиком, создавая пленку на рельсах. Раствор разносят вдоль пути пятью проходами испытываемого объекта в сторону предполагаемых торможений. После каждого прохода и перед каждым торможением раствор наносят заново.
Движение опытного поезда на выделенном участке допускается только в прямом направлении без осаживания. Перед каждым опытом в течение времени от 20 до 30 с на расстоянии от 1 до 2 км до участка проведения опытов для полной очистки поверхностей колес и колодок необходимо осуществлять торможение опытного поезда с эффективностью от 20 до 40% от максимальной без остановки (с обязательным применением песка).
Производят три экстренных торможения:
- для локомотива со скорости 100 км/ч;
- для пассажирских вагонов со скоростей 80, 100 и 120 км/ч.
Скорость единицы подвижного состава непосредственно перед торможением должна быть постоянной с допускаемым отклонением +/- 5% от заданной. Торможение производят заблаговременно до начала смазанного участка.
Испытываемая единица железнодорожного подвижного состава должна наезжать на смазанный участок с максимальным давлением в тормозных цилиндрах.
Смазанный участок должен быть не меньше фактического тормозного пути.
В процессе испытаний регистрируют скорость движения единицы железнодорожного подвижного состава, частоту вращения колесных пар и давление во всех тормозных цилиндрах.
5.4.3.2 Увеличение тормозного пути локомотива X, %, при работающей противоюзной системе определяют по формуле

, (19)
где Sлок - тормозной путь, полученный по результатам испытаний на сухих рельсах, м;
Sлок(0) - тормозной путь, полученный по результатам испытаний на рельсах с нанесенным раствором, м.
Для оценки выбирают максимальное из трех испытаний значение тормозного пути при работающей противоюзной системе.
Для оценки тормозного пути пассажирского вагона на участке с пониженным сцеплением выбирают максимальный тормозной путь при каждой номинальной скорости начала торможения из не менее чем трех опытов.
5.4.4 Испытания для определения величины относительного скольжения колесных пар при фрикционном торможении
5.4.4.1 Не менее чем на 7 м пути на рельсы наносят раствор по
5.4.1.3, который равномерно распределяют меховым или поролоновым валиком, создавая пленку на рельсах.
На 20 м пути перед смазанным участком рельсы должны быть чистыми. Единица железнодорожного подвижного состава должна въехать на смазанный участок на скорости от 35 до 45 км/ч в режиме экстренного торможения, при этом давление в тормозных цилиндрах должно быть максимально допустимым для установленного при проверке режима включения тормоза.
5.4.4.2 Относительное скольжение колесной пары при торможении

, %, определяют по формуле

. (20)
Для оценки и сравнения с нормативным значением выбирают максимальное значение относительного скольжения, полученного при испытаниях из трех опытов.
5.4.5 Испытания для проверки автоматического отключения противоюзной защиты при одиночном отказе ее цепей управления
5.4.5.1 На рельсы наносят раствор по
5.4.1.3.
Отключают тормоза на одной из тележек испытываемой единицы железнодорожного подвижного состава и имитируют неисправность всех осевых датчиков вращения, отключая цепь сигнала.
Единица железнодорожного подвижного состава должна въехать на смазанный участок на скорости от 35 до 45 км/ч в режиме экстренного торможения, при этом давление в тормозных цилиндрах должно быть максимально допустимым для установленного при проверке режима включения тормоза.
При проведении каждого опытного торможения необходимо получить вхождение в юз.
На тележке, противоюзное устройство которой работает в штатном режиме, должно быть зафиксировано падение давления в тормозных цилиндрах.
На тележке, в противоюзное устройство которой внесена неисправность, при наезде на участок с пониженным сцеплением на выпускные и сбрасывающие клапаны не должны подаваться сигналы о сбрасывании давления в тормозных цилиндрах.
Опыт проводят не менее двух раз.
5.4.5.2 После завершения испытаний восстанавливают все цепи осевых датчиков.
5.5 Методы испытаний систем замещения тормоза
5.5.1 Проверка работы системы автоматического замещения электрического (гидравлического) тормоза другим видом тормоза
5.5.1.1 Требования к условиям проведения испытаний по
5.2.1.3.
5.5.1.2 Требования к средствам измерения скорости движения и тормозного пути по
5.2.1.6.
5.5.1.3 Торможения выполняют электрическим (гидравлическим) тормозом при различных значениях тормозной силы электрического (гидравлического) тормоза при скорости движения на (50 +/- 10) км/ч больше скорости, при которой происходит дотормаживание.
Во время электрического (гидравлического) торможения на единице железнодорожного подвижного состава производят отключение электрического (гидравлического) тормоза. На моторвагонном подвижном составе тормозную эффективность фрикционного тормоза проверяют только при имитации отказов, отключающих электрический (гидравлический) тормоз одновременно на всех моторных вагонах.
Осуществляют несколько серий (для локомотивов не более 2, для моторвагонного подвижного состава не менее 5) электрического (гидравлического) торможения с различной тормозной эффективностью. При торможении при скорости движения на (20 +/- 5) км/ч большей минимальной скорости применения электрического (гидравлического) тормоза (дотормаживания) последовательно имитируют выходы из строя электрического (гидравлического) тормоза от нескольких наиболее вероятных случаев отказа электрооборудования (гидрооборудования). С помощью регистрирующих приборов контролируют процесс автоматического замещения электрического (гидравлического) торможения фрикционным. Для моторвагонного подвижного состава тормозная эффективность фрикционного тормоза должна быть не ниже электрического (гидравлического) тормоза, что контролируют по длине тормозных путей по
5.2.1.
Производят электрическое торможение при скорости начала торможения на (20 +/- 5) км/ч большей минимальной скорости применения электрического (гидравлического) тормоза (дотормаживания). Регистрируют процесс автоматического замещения электрического торможения на фрикционное на малых скоростях движения при дотормаживании.
Для моторвагонного подвижного состава при применении электрического (гидравлического) тормоза в экстренном или аварийном торможении в случае включения замещения на любой скорости, включая конструкционную скорость, тормозные пути не должны превышать нормативных значений.
Результат испытаний считают положительным, если выполнены все ниже перечисленные требования:
- при отказе электрического (гидравлического) тормоза происходит процесс автоматического замещения электрического торможения на фрикционное;
- процесс электрического (гидравлического) торможения на малых скоростях автоматически прекращается, и система производит замещение (дотормаживание) пневматическим тормозом;
- для моторвагонного подвижного состава при замещении и дотормаживании суммарная сила электрического (гидравлического) торможения заменяется не меньшей силой пневматического торможения.
5.5.2 Проверка работы автоматического замещения электропневматического тормоза пневматическим на моторвагонном подвижном составе
Испытания проводят во время стоянки единицы моторвагонного подвижного состава.
Все токоприемники опускают (при их наличии) или отключают дизельную установку. Включают питание всех потребителей низковольтных цепей от аккумуляторной батареи.
Производят торможение электропневматическим тормозом. Проверяют напряжение в цепях электропневматического тормоза. Значение напряжения должно составлять не менее 90% от номинального.
Производят измерение давления сжатого воздуха в любом произвольно выбранном тормозном цилиндре головного вагона.
Производят имитацию выхода из строя электропневматического тормоза (например, путем разрыва цепей).
Вторично производят измерение давления сжатого воздуха в тормозном цилиндре головного вагона.
Результат испытаний считается положительным, если при имитации выхода из строя электропневматического тормоза пневматический тормоз приходит в действие. Давление сжатого воздуха в тормозном цилиндре в режиме замещения не должно снижаться менее чем на 30% от первоначального давления и в конце замещения быть не меньше, чем давление, заданное электропневматическим тормозом.
5.6 Методы испытаний систем блокирования органов управления тормозом
5.6.1 Испытания для проверки работы блокировки работы стоп-крана
Испытание единицы моторвагонного подвижного состава следует проводить в движении. Требования к условиям проведения испытаний по
5.2.1.3.
При скорости менее 15 км/ч фиксировать повышение давления в тормозных цилиндрах, а при скорости более 15 км/ч - отсутствие торможения и сигнализации машинисту о срыве стоп-крана.
Проверяют автоматическое полное служебное или экстренное торможение при отсутствии шунтирования машинистом пассажирского стоп-крана в течение 7 с.
5.6.2 Испытания для проверки блокирования управления пневматическими тормозами в кабине машиниста
Перед проведением испытаний необходимо выполнить действия по смене пульта управления пневматическими тормозами - перевести один из пультов в положение "неактивен" (при наличии двух кабин - одну из них перевести в режим "неактивная"). Провести проверку приведения в действие тормозов железнодорожного подвижного состава. На другом пульте управления (в кабине машиниста) единицы железнодорожного подвижного состава необходимо выполнить действия для перевода пульта (кабины) в режим "активная". Проверить блокировку управления пневматическими и электропневматическими тормозами (за исключением экстренного и аварийного пневматического торможения) с "неактивного" пульта (кабины машиниста). Положительный результат достигается, если давление сжатого воздуха в тормозной магистрали и в тормозных цилиндрах не меняет своего значения при включении и выключении торможения.
Аналогичные действия следует проводить в каждой кабине машиниста.
5.6.3 Испытания для проверки недопустимости приведения в движение локомотивов и моторвагонного подвижного состава при блокировании органов управления и давлении в тормозной магистрали менее 0,44 МПа (4,4 кгс/см
2)
Испытание следует проводить на стоянке при отсутствии давления в тормозных цилиндрах.
Перед проведением испытаний поочередно выполняют одно из следующих действий:
- блокируют органы управления пневматическими тормозами;
- снижают давление сжатого воздуха в тормозной магистрали до нуля, после чего поднимают до значения менее 0,44 МПа (4,4 кгс/см2), при этом воздух в тормозных цилиндрах должен отсутствовать.
При каждом из указанных действий при включении режима тяги подвижной состав не должен приходить в движение.
Аналогичные действия следует проводить в каждой кабине машиниста.
5.7 Методы испытаний цепей диагностики тормозов
5.7.1 Испытания для проверки работы сигнализации о наличии сжатого воздуха в тормозных цилиндрах каждой тележки железнодорожного подвижного состава на пульте управления в кабине машиниста
В процессе торможения следует проверять включение индикаторов, сигнализирующих о наличии воздуха в тормозных цилиндрах на пульте управления. Испытания проводят на моторвагонном подвижном составе и локомотивах.
После отпуска тормоза следует проверять выключение индикаторов.
На моторвагонном подвижном составе в процессе торможения электропневматическим тормозом без разрядки тормозной магистрали при одновременно перекрытых двух встречных концевых кранах тормозной магистрали проверяют включение индикации "сигнализация отпуска хвостового вагона".
На моторвагонном подвижном составе в процессе торможения пневматическим тормозом при одновременно перекрытых двух встречных концевых кранах тормозной магистрали проверяют отсутствие индикации "сигнализация отпуска хвостового вагона" на пульте управления.
5.7.2 Испытания для проверки работы сигнализации о минимальном давлении в главных резервуарах на пульте управления в кабине машиниста
Перед проведением испытаний проводят зарядку главных резервуаров до верхнего предела давления и отключают их от компрессоров. Для естественного падения давления сжатого воздуха в главных резервуарах включают потребители сжатого воздуха. При снижении давления ниже 0,55 МПа (5,5 кгс/см2) на пассажирских локомотивах и ниже 0,6 МПа (6 кгс/см2) на грузовых локомотивах и моторвагонном подвижном составе контролируют включение сигнализации о минимальном давлении в главных резервуарах на пульте управления в кабине машиниста.
5.7.3 Испытания по проверке защиты главных резервуаров от превышения давления сжатого воздуха
Испытания проводят в статическом состоянии на локомотивах и моторвагонном подвижном составе.
Проводят зарядку главных резервуаров до давления, при котором происходит автоматическое отключение компрессорной установки. Фиксируют значение этого давления.
Для дальнейшего повышения давления в главных резервуарах отключают регулятор давления компрессорной установки. Включают компрессорную установку и повышают давление воздуха в главных резервуарах до начала срабатывания (открытия) предохранительного клапана. Фиксируют значение давления в главных резервуарах в момент открытия клапана.
После открытия клапана и при работающей компрессорной установке давление в главных резервуарах не должно повышаться.
В случае достижения давления в главных резервуарах, превышающего на 0,13 МПа (1,3 кгс/см2) значения, при котором происходит автоматическое отключение компрессорной установки, компрессорную установку необходимо выключить, давление в главных резервуарах понизить.
Результат испытаний считают положительным, если срабатывание предохранительных клапанов (сброс давления из главных резервуаров) происходит при давлении, превышающем верхний предел установленного рабочего давления компрессорных установок, не больше чем на 0,1 МПа (1 кгс/см2).
5.7.4 Испытания по проверке работы датчика состояния тормозной магистрали грузового поезда
5.7.4.1 Испытания проводят в статическом положении локомотива, оборудованном датчиком состояния тормозной магистрали.
5.7.4.2 Перед проведением испытаний производят зарядку пневматической сети локомотива до зарядного давления. Снижают давление в тормозной магистрали на 0,02 - 0,03 МПа (0,2 - 0,3 кгс/см2). После чего на пульте управления проверяют включение сигнализатора. При этом работа сигнализатора должна быть непрерывной. После указанных действий локомотив не должен приходить в движение.
5.7.4.3 Снижают давление в тормозной магистрали на 0,05 - 0,06 МПа (0,5 - 0,6 кгс/см2). На пульте управления проверяют отключение сигнализатора. После данного снижения локомотив не должен приходить в движение.
5.7.4.4 Производят отпуск тормоза с завышением давления в уравнительном резервуаре до 0,6 - 0,65 МПа (6 - 6,5 кгс/см2). В процессе перехода с завышенного на нормальное зарядное давление сигнализатор не должен включаться.
Аналогичные действия следует проводить в каждой кабине машиниста.
5.8 Методы контроля требований безопасности пассажиров и инфраструктуры
5.8.1 Проверку отсутствия юза колесных проводят при проведении испытаний по
5.2.1 для порожних вагонов и для вагонов с промежуточной загрузкой, если она допускается конструкторской документацией.
При этом давление сжатого воздуха в тормозных цилиндрах должно быть максимально допустимым.
После выполнения торможений на поверхности катания колес должны отсутствовать ползуны и навары.
Допускается проверку отсутствия юза колесных пар проводить расчетным методом.
5.8.2 Проверку размещения органов управления аварийным экстренным торможением (стоп-кранов) проводят на пассажирских вагонах и моторвагонном подвижном составе в салонах и в каждом тамбуре визуальным способом.
5.8.3 Проверку наличия предохранительных (страховочных) устройств элементов в конструкции тормоза и наличия предупреждающих знаков и надписей проводят методом визуального осмотра.
5.8.4 Проверку отсутствия касания элементов тормоза и ходовой части железнодорожного подвижного состава, не предусмотренного конструкцией, проводят методом визуального осмотра в состоянии торможения и отпуска.
5.8.5 При экспертизе конструкторской документации проверяют следующие показатели:
- климатическое исполнение;
- недопущение выхода за габарит подвижного состава элементов тормозной системы.
(справочное)
АЛГОРИТМ РАСЧЕТА ТОРМОЗНОГО КОЭФФИЦИЕНТА МЕТОДОМ ИТЕРАЦИИ
ДЛЯ ОПРЕДЕЛЕННОГО ОПЫТНОГО ТОРМОЗНОГО ПУТИ
Рисунок А.1