Главная // Актуальные документы // ГОСТ (Государственный стандарт)
СПРАВКА
Источник публикации
М.: Стандартинформ, 2007
Примечание к документу
Документ утратил силу с 1 июля 2019 года в связи с изданием Приказа Росстандарта от 13.09.2018 N 603-ст. Взамен введен в действие ГОСТ 9.401-2018.

Документ включен в Перечень документов в области стандартизации, в результате применения которых на добровольной основе обеспечивается соблюдение требований технического регламента "О безопасности машин и оборудования", утв. Постановлением Правительства РФ от 15.09.2009 N 753 (Приказ Росстандарта от 20.08.2010 N 3108).

С 1 июля 2003 года до вступления в силу технических регламентов акты федеральных органов исполнительной власти в сфере технического регулирования носят рекомендательный характер и подлежат обязательному исполнению только в части, соответствующей целям, указанным в пункте 1 статьи 46 Федерального закона от 27.12.2002 N 184-ФЗ.

Документ введен в действие с 1 июля 1992 года.

Взамен ГОСТ 9.074-77; ГОСТ 9.401-89, ГОСТ 9.404-81.
Название документа
"ГОСТ 9.401-91. Межгосударственный стандарт. Единая система защиты от коррозии и старения. Покрытия лакокрасочные. Общие требования и методы ускоренных испытаний на стойкость к воздействию климатических факторов"
(утв. Постановлением Госстандарта СССР от 29.03.1991 N 335)
(ред. от 01.03.2007)

"ГОСТ 9.401-91. Межгосударственный стандарт. Единая система защиты от коррозии и старения. Покрытия лакокрасочные. Общие требования и методы ускоренных испытаний на стойкость к воздействию климатических факторов"
(утв. Постановлением Госстандарта СССР от 29.03.1991 N 335)
(ред. от 01.03.2007)


Содержание


Утвержден и введен в действие
Постановлением Госстандарта СССР
от 29 марта 1991 г. N 335
МЕЖГОСУДАРСТВЕННЫЙ СТАНДАРТ
ЕДИНАЯ СИСТЕМА ЗАЩИТЫ ОТ КОРРОЗИИ И СТАРЕНИЯ
ПОКРЫТИЯ ЛАКОКРАСОЧНЫЕ
ОБЩИЕ ТРЕБОВАНИЯ И МЕТОДЫ УСКОРЕННЫХ ИСПЫТАНИЙ
НА СТОЙКОСТЬ К ВОЗДЕЙСТВИЮ КЛИМАТИЧЕСКИХ ФАКТОРОВ
Unified system of corrosion and ageing protection.
Paint coatings. General requirements and methods
of accelerated tests on resistance to the action
of climatic factors
ГОСТ 9.401-91
Список изменяющих документов
(в ред. Изменения N 1, утв. в декабре 1997 г.,
Изменения N 2, утв. в марте 2007 г.)
Группа Т95
МКС 25.220.60;
87.020
ОКСТУ 0009
Дата введения
1 июля 1992 года
ИНФОРМАЦИОННЫЕ ДАННЫЕ
1. Разработан и внесен Министерством химической и нефтеперерабатывающей промышленности СССР.
2. Утвержден и введен в действие Постановлением Государственного комитета СССР по управлению качеством продукции и стандартам от 29.03.1991 N 335.
Изменение N 1 принято Межгосударственным советом по стандартизации, метрологии и сертификации (Протокол N 11 от 25 апреля 1997 г.).
За принятие проголосовали:
Наименование государства
Наименование национального органа по стандартизации
Азербайджанская Республика
Азгосстандарт
Республика Армения
Армгосстандарт
Республика Белоруссия
Госстандарт Белоруссии
Республика Казахстан
Госстандарт Республики Казахстан
Киргизская Республика
Киргизстандарт
Республика Молдова
Молдовастандарт
Российская Федерация
Госстандарт России
Республика Таджикистан
Таджикский государственный центр по стандартизации, метрологии и сертификации
Туркменистан
Главная государственная инспекция Туркменистана
Украина
Госстандарт Украины
Изменение N 2 принято Межгосударственным советом по стандартизации, метрологии и сертификации (Протокол N 28 от 9 декабря 2005 г.).
За принятие изменения проголосовали национальные органы по стандартизации следующих государств: AM, BY, GE, KZ, KG, MD, RU, TJ, TM [коды альфа-2 по МК (ИСО 3166) 004].
3. Стандарт соответствует международным стандартам ИСО 7253-84 (в части условий и проведения испытаний); ИСО 3231-74 (в части проведения испытаний).
4. Взамен ГОСТ 9.074-77, ГОСТ 9.401-89, ГОСТ 9.404-81.
5. Ссылочные нормативно-технические документы
Обозначение НТД, на которую дана ссылка
Номер пункта, приложения
ГОСТ 6745-79
ГОСТ 10982-75
ГОСТ 22369-77
ГОСТ 23101-78
ГОСТ 23122-78
ГОСТ 23750-79
ГОСТ 24927-81
6. Издание (июль 2007 г.) с Изменениями N 1, 2, утвержденными в декабре 1997 г., марте 2007 г. (ИУС 2-98, ИУС 5-2007).
Настоящий стандарт устанавливает общие требования и методы ускоренных испытаний лакокрасочных покрытий (далее - покрытий) металлических и неметаллических поверхностей изделий, предназначенных для условий эксплуатации по ГОСТ 9.104 (кроме В5) и типов атмосферы по ГОСТ 15150.
Стандарт не распространяется на покрытия подводной части изделий судостроения.
(Измененная редакция, Изм. N 2).
1а. ОПРЕДЕЛЕНИЯ
В настоящем стандарте применяют следующие термины с соответствующими определениями:
1а.1. Покрытие - слой или несколько слоев материалов, искусственно полученных на окрашиваемой поверхности (ГОСТ 9.008).
1а.2. Система лакокрасочного покрытия - многослойное покрытие, в котором каждый слой выполняет определенную функцию (ГОСТ 9.072).
1а.3. Внешний слой покрытия - последний слой лакокрасочной системы (ГОСТ 28246).
1а.4. Первичный слой лакокрасочного покрытия - слой, наносимый непосредственно на окрашиваемую поверхность (ГОСТ 28246).
1а.5. Промежуточный слой лакокрасочного покрытия - слой, расположенный между первичным и внешним слоем (ГОСТ 28246).
1а.6. Сочетаемость слоев лакокрасочного покрытия - способность слоев лакокрасочных материалов образовывать покрытие (ГОСТ 9.072).
1а.7. Срок службы лакокрасочного покрытия - срок, в течение которого лакокрасочное покрытие сохраняет заданные свойства (ГОСТ 9.072).
1а.8. Предварительное испытание лакокрасочного покрытия - воздействие одного из основных факторов внешней среды в их экстремальном значении, оказывающих основное влияние на срок службы лакокрасочного покрытия в данных условиях эксплуатации.
1а.9. Ускоренное испытание лакокрасочного покрытия - комплексное воздействие факторов внешней среды (солнечной радиации, температуры, влаги, агрессивных газов), имитирующее данные климатические условия.
1а.10. Сохранность декоративных свойств лакокрасочного покрытия - способность лакокрасочного покрытия сохранять блеск, цвет, противостоять возникновению грязеудержания, меления под воздействием климатических внешних воздействующих факторов до определенного состояния, оцениваемого по ГОСТ 9.407.
1а.11. Сохранность защитных свойств лакокрасочного покрытия - способность лакокрасочного покрытия противостоять коррозионным разрушениям (растрескиванию, выветриванию, отслаиванию, растворению, сморщиванию, образованию пузырей, коррозии металла) под воздействием климатических внешних воздействующих факторов до определенного состояния, оцениваемого по ГОСТ 9.407.
Раздел 1а. (Введен дополнительно, Изм. N 2).
1. ОБЩИЕ ТРЕБОВАНИЯ
1.1. Подготовку поверхности изделий из черных и цветных металлов и сплавов - по ГОСТ 9.402.
1.2. Требования к поверхности древесины, ее влажности и необходимости антисептирования устанавливают в нормативно-технической документации на изделие.
1.3. Системы покрытий (число слоев или толщину покрытия, режимы сушки, сочетаемость грунтовок, эмалей и шпатлевок) устанавливают в НТД на окрашивание изделий в зависимости от условий эксплуатации и требований настоящего стандарта.
1.4. Перечень лакокрасочных материалов для различных условий эксплуатации приведен в Приложении 1а.
Перечень лакокрасочных материалов и их сочетаемость для окрашивания металлов приведен в Приложении 1.
Перечень лакокрасочных материалов и их сочетаемость для окрашивания неметаллов (древесины, древесных материалов, пластмассы, бетона, шифера, кирпича, асфальта, штукатурки) приведен в Приложении 2.
Перечень лакокрасочных материалов, допускаемых для окрашивания автомобилей, тракторов, железнодорожных вагонов общеклиматического исполнения, в том числе тропического и тропического морского климата, приведен в Приложении 3.
Перечень лакокрасочных материалов для маркировки изделий приведен в Приложении 3а.
Допускается применение других лакокрасочных материалов, не уступающих по техническим показателям и качеству материалам, приведенным в Приложениях.
(Измененная редакция, Изм. N 2).
1.5. Параметры методов окрашивания изделий - по ГОСТ 9.105 или по НТД на лакокрасочные материалы.
(Измененная редакция, Изм. N 1).
1.6. Для условий эксплуатации изделий в макроклиматических районах с тропическим, тропическим морским климатом, а также для изделий общеклиматического и всеклиматического исполнений, сушку лакокрасочного материала, имеющего горячий и естественный режимы сушки, проводят по режимам горячей сушки.
1.7. Покрытия, полученные на основе лакокрасочных материалов, приведенных в Приложениях 1а и 1, при соблюдении требований НТД на окрашивание, сушку, хранение и эксплуатацию изделий обеспечивают срок службы:
в условиях эксплуатации У1, У2, У3 по ГОСТ 9.104 не менее 2 лет с сохранностью защитных свойств не более балла 1 по ГОСТ 9.407 для всех классов покрытий по ГОСТ 9.032, декоративных свойств - не более балла 2 для высокоглянцевых, глянцевых покрытий I - III классов (с обработкой полировочным составом) и не более балла 3 для полуглянцевых, полуматовых, матовых и глубокоматовых покрытий I - III классов и всех видов покрытий IV - VII классов;
в условиях эксплуатации ХЛ1, УХЛ1, ХЛ2, УХЛ2, ХЛ3, УХЛ3 не менее 2 лет с сохранностью защитных свойств не более балла 1 для всех классов покрытий, не менее года с сохранностью декоративных свойств не более балла 2 для высокоглянцевых, глянцевых покрытий I - III классов (с обработкой полировочным составом) и не более балла 3 для полуглянцевых, полуматовых, матовых и глубокоматовых покрытий I - III классов и всех видов покрытий IV - VII классов;
в условиях эксплуатации В1, В2, В3, О1, О2, Т1, Т2, Т3 не менее года с сохранностью защитных свойств до балла 1 для всех классов покрытий, декоративных свойств не более балла 3 для высокоглянцевых, глянцевых покрытий I - III классов (с обработкой полировочным составом) и не более балла 4 для полуглянцевых, полуматовых, матовых и глубокоматовых покрытий I - III классов и всех видов покрытий IV - VII классов;
в условиях эксплуатации ОМ1, ОМ2, ОМ3 не менее года с сохранностью защитных свойств не более балла 2 и декоративных свойств не более балла 3 для всех классов покрытий.
(Измененная редакция, Изм. N 2).
1.8. Дополнительную защиту изделий с покрытиями на период транспортирования и хранения проводят в соответствии с требованиями НТД на изделие. Перечень консервационных составов, применяемых для дополнительной защиты покрытий, приведен в Приложении 5.
1.9. При транспортировании изделий без герметичной упаковки и дополнительной защиты на период более 3 мес покрытия должны отвечать требованиям, установленным для климатических условий эксплуатации района транспортирования.
1.10. Для определения срока службы покрытий, полученных на основе новых лакокрасочных материалов, проводят ускоренные испытания по настоящему стандарту или испытывают их в атмосферных условиях по ГОСТ 6992.
Ускоренные испытания проводят также при изменении рецептуры серийных лакокрасочных материалов и технологических процессов получения лакокрасочных материалов и покрытий.
1.11. Требования по проведению периодических ускоренных испытаний по настоящему стандарту должны устанавливаться в НТД на лакокрасочные материалы или покрытия изделий.
1.10, 1.11. (Измененная редакция, Изм. N 2).
1.12. (Исключен, Изм. N 2).
1.13. Для определения целесообразности проведения испытаний покрытий на воздействие климатических факторов проводят предварительные испытания по методам А, Б, В.
Покрытия, предназначенные для условий эксплуатации ХЛ1, УХЛ1, ХЛ2, УХЛ2, ХЛ3, УХЛ3, подвергают предварительным испытаниям по методу А; Т2, Т3 - по методу Б; Т1 - по методам Б и В; О2, В2, В3 - по методам А, Б; О1, В1 - по методам А, Б, В.
Испытания по методам А, Б, В проводят параллельно.
Покрытия, предназначенные для условий эксплуатации в макроклиматическом районе с умеренным климатом, предварительным испытаниям не подвергают.
1.14. После проведения предварительных испытаний покрытия должны соответствовать требованиям:
метод А - адгезия покрытия методом решетчатых надрезов не более балла 3 по ГОСТ 15140;
метод Б - величина распространения коррозии от надреза не более 2 мм;
метод В - декоративные свойства для высокоглянцевых, глянцевых покрытий I - III классов по ГОСТ 9.032 (с обработкой полировочным составом) не более балла 3, полуглянцевых, полуматовых, матовых, глубокоматовых покрытий I - III классов и всех видов покрытий IV - VII классов - не более балла 4 по ГОСТ 9.407.
1.15. Покрытия, выдержавшие предварительные испытания, подвергают испытаниям на комплексное воздействие климатических факторов внешней среды (ускоренные испытания). Выбор метода испытаний в зависимости от условий эксплуатации по ГОСТ 9.104 и типа атмосферы по ГОСТ 15150 проводят в соответствии с табл. 1а.
Таблица 1а
Обозначение условий эксплуатации по ГОСТ 9.104
Тип атмосферы по ГОСТ 15150
I
II
III
IV
Номер метода испытаний
У1
2
5
-
-
У2
12
15
-
-
У3
12
15
-
-
УХЛ4
1
1
-
-
ХЛ1
3
6
-
-
ХЛ2
13
16
-
-
ХЛ3
13
16
-
-
УХЛ4
1
1
-
-
УХЛ1
3
6
-
-
УХЛ2
13
16
-
-
УХЛ3
13
16
-
-
УХЛ4
1
1
-
-
Т1
4
7
9
11
Т2
14
17
19
21
Т3
14
17
19
21
О4
1
1
1
1
ОМ1
-
-
10
-
ОМ2
-
-
20
-
ОМ3
-
-
20
-
ОМ4
-
-
1
-
О1
-
-
-
8
О2
-
-
-
18
В3
-
-
-
18 и 20
О4
-
-
-
1
В1
-
-
8 и 10
8 и 10
В2
-
-
18 и 20
18 и 20
В3
-
-
18 и 20
18 и 20
В4
-
-
1
1
(Измененная редакция, Изм. N 2).
1.16. После ускоренных испытаний покрытия должны соответствовать требованиям, указанным в табл. 1.
Таблица 1
Обозначение условий эксплуатации по ГОСТ 9.104
Тип атмосферы по ГОСТ 15150
Номер метода испытаний
Количество циклов
Оценка покрытия по ГОСТ 9.407
Адгезия по ГОСТ 15140 (метод 2), балл, не более
Балльная, балл, не более
Количественная, не менее
по декоративным свойствам для классов покрытий по ГОСТ 9.032
по защитным свойствам
по декоративным свойствам для классов покрытий по ГОСТ 9.032
по защитным свойствам
I - III
IV - VII
I - III
IV - VII
У1
I
2
15
2
3
1
0,90
0,65
1,00
Не нормируется
ХЛ1, УХЛ1
3
15
2
3
1
0,90
0,65
1,00
3
Т1
4
20
3
4
1
0,65
0,40
1,00
Не нормируется
У2, У3
12
15
2
2
1
0,90
0,90
1,00
То же
ХЛ2, УХЛ2, ХЛ3, УХЛ3
13
15
2
3
1
0,90
0,65
1,00
3
Т2
14
20
2
4
1
0,90
0,40
1,00
Не нормируется
Т3
14
10
2
4
1
0,90
0,40
1,00
То же
У1
II
5
15
2
3
1
0,90
0,65
1,00
Не нормируется
ХЛ1, УХЛ1
6
15
2
3
1
0,90
0,65
1,00
3
Т1
7
20
3
4
1
0,65
0,40
1,00
Не нормируется
У2, У3
15
15
2
2
1
0,90
0,90
1,00
То же
ХЛ2, ХЛ3, УХЛ2, УХЛ3
16
15
2
3
1
0,90
0,65
1,00
3
Т2
17
20
2
4
1
0,90
0,40
1,00
Не нормируется
Т3
17
10
2
4
1
0,90
0,40
1,00
То же
ОМ1
III
10
4
3
3
3
0,65
0,65
0,80
Не нормируется
ОМ2
20
3
2
2
2
0,90
0,90
0,95
То же
ОМ3
20
2
2
2
2
0,90
0,90
0,95
"
Т1
9
20
3
4
1
0,65
0,40
1,00
"
Т2
19
20
2
4
1
0,90
0,40
1,00
"
Т3
19
10
2
4
1
0,90
0,40
1,00
"
Т1
IV
11
20
3
4
1
0,65
0,40
1,00
Не нормируется
Т2
21
20
2
4
1
0,90
0,40
1,00
То же
Т3
21
10
2
4
1
0,90
0,40
1,00
"
О1
8
20
3
4
1
0,65
0,40
1,00
3
О2
18
20
2
4
1
0,90
0,40
1,00
То же
В1
III - IV
8
20
3
4
1
0,65
0,40
1,00
3
и 10
4
3
3
3
0,65
0,65
0,80
Не нормируется
В2, В3
18
20
2
4
1
0,90
0,40
1,00
3
и 20
3
2
2
2
0,90
0,90
0,95
Не нормируется
УХЛ4,
О4, В4
I - IV
1
5
2
4
1
0,90
0,40
1,00
Не нормируется
Примечания. 1. Покрытия, предназначенные для эксплуатации в условиях В1, испытывают по методу 8 в течение 20 циклов и по методу 10 в течение 4 циклов; в условиях В2, В3 - по методу 18 в течение 20 циклов и по методу 20 в течение 3 циклов. Испытания проводят на параллельных образцах. Покрытия после испытания по методу 8 должны соответствовать требованиям, установленным для условий О1, после испытаний по методу 18 - для условий О2, по методу 10 - для условий ОМ1, по методу 20 - для условий ОМ2, ОМ3.
2. Покрытия, предназначенные для эксплуатации в условиях Т1, Т2 и Т3 в прибрежной территории в пределах непосредственного воздействия морской воды, испытывают по методам 11 и 21 соответственно.
3. Испытания проводят на параллельных образцах. В зависимости от условий эксплуатации и транспортирования изделий с покрытиями допускается проводить последовательные испытания на одних и тех же образцах.
4. Количественную оценку состояния покрытий после испытаний по методам 10 и 20 определяют в соответствии с Приложением 8.
1.17. Последовательность перемещения и продолжительность выдержки образцов при ускоренных испытаниях приведены в Приложении 9.
1.18. Покрытия, предназначенные для эксплуатации в условиях УХЛ4, О4, В4, должны дополнительно подвергаться санитарно-химическим исследованиям в соответствии с НТД.
1.19. Сроки службы покрытий в условиях эксплуатации У1, ХЛ1, УХЛ1 более срока, установленного в п. 1.7, определяют по Приложению 10.
1.20. Срок службы покрытий в условиях эксплуатации ОМ1, ОМ2 и ОМ3 определяют по Приложению 11.
1.21. Испытания покрытий на грибостойкость проводят по ГОСТ 9.050, нормы по грибостойкости устанавливают в НТД на изделие.
1.22. Покрытия, подвергающиеся в процессе эксплуатации воздействию климатических факторов в сочетании с воздействием особых сред по ГОСТ 9.032, дополнительно испытывают по ГОСТ 9.403 или по НТД, устанавливающей технические требования к покрытиям изделий.
1.23. Для установления срока службы покрытий с учетом условий транспортирования дополнительно проводят испытания, установленные для условий эксплуатации района транспортирования.
1.24. Обозначение установленных условий эксплуатации в соответствии с настоящим стандартом должно указываться в маркировке на конкретный вид продукции.
(Введен дополнительно, Изм. N 2).
2. МЕТОДЫ ИСПЫТАНИЙ
2.1. Отбор образцов
2.1.1. Образцами для испытаний являются окрашенные пластины размером 150 x 70 мм. Материал для пластин выбирают в соответствии с предполагаемым материалом изделий. Толщина неокрашенной пластины - 0,8 - 1,2 мм.
2.1.2. Допускается применять пластины из листовой стали по ГОСТ 16523 марок 08кп, 08пс (ГОСТ 1050), 08Ю (ГОСТ 9045) или другие материалы в соответствии с требованиями НТД на лакокрасочные материалы, а также детали и сборочные единицы, изготовленные с учетом формы, особенностей и размера изделий (со сварными швами, неразъемными соединениями и другие) минимальным размером 40 x 60 мм.
2.1.3. Для проведения испытаний изготовляют по одной и той же технологии не менее трех образцов и один контрольный.
Общее количество образцов устанавливают в зависимости от продолжительности испытаний, числа промежуточных съемов, количества образцов, снимаемых с испытаний.
Для испытаний по методам А и Б контрольный образец не изготовляют.
2.2. Аппаратура
2.2.1. Камера холода, отвечающая требованиям ГОСТ 20.57.406, или другая, обеспечивающая испытательный режим с отклонениями, не превышающими указанные в настоящем стандарте.
2.2.2. Камера соляного тумана, обеспечивающая непрерывное распыление раствора хлористого натрия с концентрацией конденсата (50 +/- 5) г/дм3 и pH 6,5 - 7,2 при температуре (35 +/- 2) °C.
Туман должен обладать такой скоростью оседания, чтобы средний объем раствора, собираемого за 16 ч с 80 см2 горизонтальной поверхности, составлял от 1,0 до 2,0 см3 за 1 ч. Измерение скорости оседания тумана следует проводить не менее чем в двух местах испытательного пространства.
В качестве коллектора для определения скорости оседания тумана применяют стеклянную воронку диаметром 100 мм, помещенную в мерный цилиндр.
2.2.3. Камера соляного тумана по ГОСТ 20.57.406 с воздействием коррозионно-активной среды по ГОСТ 24927, содержащей хлористый натрий и сернистый газ.
2.2.4. Камера влаги, отвечающая требованиям ГОСТ 20.57.406, или другая, обеспечивающая испытательный режим с отклонениями, не превышающими указанные в настоящем стандарте.
2.2.5. Аппарат искусственной погоды с ксеноновыми, электродуговыми, ртутно-кварцевыми или другими излучателями, в котором автоматически поддерживаются в течение заданного времени следующие условия:
температура (60 +/- 3) °C (в аппаратах открытого типа, например, ИП-1-3, температура не нормируется);
орошение дистиллированной водой в течение 3 мин через каждые 17 мин (режим 3-17) или орошение дистиллированной водой в течение 4 мин через каждые 16 мин (режим 4-16);
интегральная поверхностная плотность потока излучения на заданном расстоянии от излучателя до образца при непрерывном облучении ксеноновыми лампами - (1120 +/- 140) Вт/м2, электродуговыми и ртутно-кварцевыми лампами в аппаратах ИП-1-3 - (730 +/- 140) Вт/м2 при поверхностной плотности потока ультрафиолетового излучения (30 +/- 5) Вт/м2;
минимальное расстояние от образцов до источника излучения в аппарате ИП-1-3 для ртутно-кварцевых ламп - (200 +/- 30) мм, для электродуговых ламп - (130 +/- 30) мм.
Интегральную поверхностную плотность потока излучения контролируют универсальным пиранометром М-80.
2.2.6. Камера солнечной радиации, отвечающая требованиям ГОСТ 20.57.406.
2.2.7. Камера сернистого газа, в которой автоматически поддерживается температура (40 +/- 2) °C, относительная влажность (97 +/- 3)%, концентрация сернистого газа (5 +/- 1) мг/м3.
2.2.8. Термокамера, в которой автоматически поддерживается температура (60 +/- 2) °C.
2.2.9. Эксикаторы по ГОСТ 25336 с влагопоглотителем типа хлористого кальция.
2.2.10. Перечень аппаратуры для проведения испытаний приведен в Приложении 12.
Допускается применять другие типы аппаратуры, обеспечивающие режимы проведения испытания.
2.2.11. Соответствие методов ускоренных испытаний настоящего стандарта методам отмененных стандартов приведено в Приложении 13.
2.3. Подготовка к испытаниям
2.3.1. Подготовка поверхности пластин к испытаниям по пп. 1.1 и 1.2 и ГОСТ 8832.
(Измененная редакция, Изм. N 2).
2.3.2. Испытуемую систему покрытия наносят на лицевую, обратную стороны и кромки пластин.
Допускается наносить на обратную сторону и кромки пластин другие лакокрасочные материалы (например, шпатлевку ЭП-0010), которые обеспечивают защиту в течение всего срока испытаний. Сушку лакокрасочных материалов для защиты обратной стороны и кромок пластин проводят в естественных условиях.
2.3.3. Для испытания покрытий по методу А испытуемую систему покрытия наносят на одну сторону пластины.
2.3.4. Перед испытаниями образцы с покрытиями естественной сушки выдерживают не менее 7 сут, покрытия горячей сушки - не менее 1 сут при температуре 15 - 30 °C и относительной влажности воздуха не более 80% без прямого попадания света.
2.3.5. При подготовке образцов для испытаний по методу Б на лицевой стороне образца делают перпендикулярный или крестообразный надрез (по диагонали пластины), не доводя до края 20 мм. Расстояние между надрезами при перпендикулярном надрезе должно быть 20 мм.
Надрезы покрытия до металла шириной 0,5 мм делают резцом вручную за одно движение вдоль линейки. Для надрезов используют резцы с режущей частью из стали Р-18 по ГОСТ 23522 с углом заточки 36 - 38° и шириной режущей кромки 0,5 мм. При необходимости проводят заточку и замену резца.
2.3.6. Контрольные образцы хранят без доступа света при температуре 15 - 30 °C и относительной влажности воздуха не более 80% в течение всего срока испытаний.
2.3.7. Подготовку к испытаниям на стойкость в атмосферных условиях проводят по ГОСТ 6992.
2.4. Проведение испытаний
2.4.1. Определение стойкости покрытия к воздействию низкой температуры (метод А)
2.4.1.1. Отбор образцов - по п. 2.1; аппаратура - по п. 2.2.1; подготовка к испытаниям - по п. 2.3.
2.4.1.2. Проведение испытаний
Образцы помещают в камеру холода и выдерживают при температуре минус (60 +/- 3) °C в течение 2 ч, затем определяют адгезию методом решетчатых надрезов по ГОСТ 15140 в течение 20 - 25 с после извлечения из камеры.
2.4.1.3. Оценка результатов испытаний
Покрытие считают выдержавшим испытание, если два образца из трех соответствуют требованиям п. 1.14.
2.4.2. Определение стойкости покрытий к воздействию соляного тумана (распространение коррозии от надреза) (метод Б)
2.4.2.1. Отбор образцов - по п. 2.1; аппаратура по пп. 2.2.2 и 2.2.9; подготовка к испытаниям - по п. 2.3.
2.4.2.2. Проведение испытаний
Образцы помещают в камеру соляного тумана под углом 20° +/- 5° к вертикали испытуемой поверхностью вверх на расстоянии не менее 20 мм друг от друга, от стенок - не менее 100 мм, от дна камеры - не менее 200 мм и выдерживают при температуре (35 +/- 2) °C и концентрации хлористого натрия в непрерывно распыляемом растворе (50 +/- 5) г/дм3 не менее 240 ч, затем образцы извлекают из камеры и определяют величину распространения коррозии от надреза.
Не допускается расположение образцов друг над другом.
2.4.2.3. Продолжительность перерыва при испытании не должна быть более 48 ч.
2.4.2.4. При перерывах и после окончания испытаний образцы извлекают из камеры, промывают водой для удаления соляного раствора, просушивают фильтровальной бумагой и хранят в условиях, исключающих возникновение или дальнейшее развитие коррозии, например в эксикаторах с влагопоглотителями.
2.4.2.5. Оценка результатов испытаний
Покрытие после промывки водой и просушивания фильтровальной бумагой размягчают смесью ацетона с диметилформамидом в соотношении 1:1 и удаляют с образца, осторожно поднимая пленку покрытия лезвием, не повреждая зону, прилегающую к надрезу. Допускается применять смесь растворителей, используемых при нанесении покрытия, или смывки, не удаляющие коррозию, образующуюся в результате испытаний, и не вызывающие ее при смывании покрытия.
Значение распространения коррозии от надреза определяют по среднему значению двух линий, рассчитанному с учетом максимального поражения через каждые 10 мм линии надреза. Участок в области пересечения линий в радиусе 10 мм при крестообразном надрезе в расчет не принимают.
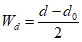
Значение распространения коррозии от надреза () в миллиметрах вычисляют по формуле
, (1)
где d - общая ширина распространения коррозии, мм (; - максимальная ширина распространения коррозии на каждом участке линии надреза длиной 10 мм; n - число участков линии надреза длиной 10 мм);
- ширина первоначального надреза, равная 0,5 мм.
2.4.2.6. Оценка результатов испытаний - по п. 2.4.1.3.
2.4.3. Определение стойкости к воздействию солнечного излучения (метод В)
2.4.3.1. Отбор образцов - по п. 2.1, аппаратура - по п. 2.2.5; подготовка к испытаниям - по п. 2.3.
2.4.3.2. Проведение испытаний
Образцы помещают в аппарат искусственной погоды и подвергают непрерывному облучению не менее 100 ч.
2.4.3.3. Продолжительность перерыва при испытании не более 48 ч, при этом образцы извлекают из камеры и хранят, как контрольные.
2.4.3.4. Осмотр образцов проводят после испытаний.
2.4.3.5. Оценка внешнего вида (декоративных свойств) - по ГОСТ 9.407. Оценку изменения блеска высокоглянцевых и полуглянцевых покрытий I - III классов по ГОСТ 9.032 проводят с обработкой полировочным составом.
2.4.3.6. Оценка результатов испытаний - по п. 2.4.1.3.
2.4.4. Определение стойкости покрытий к непродолжительному воздействию солнечного излучения и повышенной температуры и влажности (метод 1)
2.4.4.1. Отбор образцов - по п. 2.1; аппаратура - по пп. 2.2.4, 2.2.5; подготовка к испытаниям - по п. 2.3.
2.4.4.2. Проведение испытаний
Образцы помещают в камеру влаги и выдерживают при температуре (40 +/- 2) °C и относительной влажности воздуха (97 +/- 3)% в течение 1 ч, затем выключают обогрев и выдерживают в течение 2 ч. Из камеры влаги образцы переносят в аппарат искусственной погоды, работающий по режиму 3-17, и выдерживают в течение 2 ч. Образцы извлекают из аппарата искусственной погоды и выдерживают на воздухе при температуре 15 - 30 °C и относительной влажности воздуха не более 80% в течение 19 ч.
Цикл повторяют не менее 5 раз.
2.4.4.3. Продолжительность перерыва между циклами - по п. 2.4.3.3.
2.4.4.4. Продолжительность перемещения образцов из одного аппарата в другой не более 10 мин.
2.4.4.5. Осмотр образцов при испытании через 1, 2, 3, 5, 7, 10 циклов, затем через каждые 5 циклов.
2.4.4.6. Оценка внешнего вида - по ГОСТ 9.407.
При оценке не учитывают состояние покрытий на кромках и прилегающих к ним поверхностях на расстоянии 10 мм.
Обработка поверхности перед осмотром - по ГОСТ 6992.
2.4.4.7. При оценке результатов испытаний считают, что покрытие выдержало испытание, если два образца из трех соответствуют требованиям п. 1.16.
2.4.5. Определение стойкости покрытий к воздействию переменной температуры, повышенной влажности и солнечного излучения (методы 2 - 4)
2.4.5.1. Метод 2
2.4.5.1.1. Отбор образцов - по п. 2.1; аппаратура - по пп. 2.2.1, 2.2.4, 2.2.5; подготовка к испытаниям - по п. 2.3.
2.4.5.1.2. Проведение испытаний
Образцы помещают в камеру влаги и выдерживают при температуре (40 +/- 2) °C и относительной влажности воздуха (97 +/- 3)% в течение 6 ч, затем выключают обогрев и выдерживают в течение 2 ч. Из камеры влаги образцы переносят в камеру холода и выдерживают при температуре минус (45 +/- 3) °C в течение 3 ч. Из камеры холода образцы переносят в аппарат искусственной погоды, работающий по режиму 3-17, и выдерживают в течение 7 ч. Образцы извлекают из аппарата искусственной погоды и выдерживают на воздухе при температуре 15 - 30 °C и относительной влажности воздуха не более 80% в течение 6 ч.
Цикл повторяют не менее 15 раз.
2.4.5.1.3. Продолжительность перерыва при испытании между циклами не более 96 ч, при этом образцы извлекают из камеры и хранят, как контрольные.
2.4.5.1.4. Продолжительность перемещения образцов - по п. 2.4.4.4; осмотр образцов, оценка внешнего вида и оформление результатов испытаний - по пп. 2.4.4.5, 2.4.4.6; оценка результатов испытаний - по п. 2.4.4.7.
2.4.5.2. Метод 3
2.4.5.2.1. Отбор образцов - по п. 2.1; аппаратура - по пп. 2.2.1, 2.2.4, 2.2.5; подготовка к испытаниям - по п. 2.3.
2.4.5.2.2. Проведение испытаний
Образцы помещают в камеру влаги и выдерживают при температуре (40 +/- 2) °C и относительной влажности воздуха (97 +/- 3)% в течение 2 ч, затем выключают обогрев и выдерживают в течение 2 ч. Из камеры влаги образцы переносят в камеру холода и выдерживают при температуре минус (30 +/- 3) °C в течение 6 ч. Из камеры холода образцы переносят в аппарат искусственной погоды, работающий по режиму 3-17, и выдерживают в течение 5 ч, затем образцы переносят в камеру холода и выдерживают при температуре минус (60 +/- 3) °C в течение 3 ч. Образцы извлекают из камеры холода и выдерживают на воздухе при температуре 15 - 30 °C и относительной влажности воздуха не более 80% в течение 6 ч.
Цикл повторяют не менее 15 раз.
2.4.5.2.3. Продолжительность перерыва между циклами - по п. 2.4.5.1.3; продолжительность перемещения образцов - по п. 2.4.4.4; осмотр образцов, оценка внешнего вида и оформление результатов испытаний - по пп. 2.4.4.5 и 2.4.4.6.
2.4.5.2.4. Адгезию покрытий после испытаний определяют методом решетчатых надрезов по ГОСТ 15140 после выдержки образцов в течение 1 ч на воздухе при температуре 15 - 30 °C и относительной влажности воздуха не более 80%.
2.4.5.2.5. Оценка результатов испытаний - по п. 2.4.4.7.
2.4.5.3. Метод 4
2.4.5.3.1. Отбор образцов - по п. 2.1; аппаратура - по пп. 2.2.4, 2.2.5; подготовка к испытаниям - по п. 2.3.
2.4.5.3.2. Проведение испытаний
Образцы помещают в камеру влаги и выдерживают при температуре (55 +/- 2) °C и относительной влажности воздуха (97 +/- 3)% в течение 10 ч, затем выключают обогрев и выдерживают в течение 2 ч. Из камеры влаги образцы переносят в аппарат искусственной погоды, работающий по режиму 4-16, и выдерживают в течение 10 ч. Образцы извлекают из аппарата искусственной погоды и выдерживают на воздухе при температуре 15 - 30 °C и относительной влажности воздуха не более 80% в течение 2 ч.
Цикл повторяют не менее 20 раз.
2.4.5.3.3. Продолжительность перерыва между циклами - по п. 2.4.5.1.3; продолжительность перемещения образцов - по п. 2.4.4.4; осмотр образцов - по п. 2.4.4.5, оценка внешнего вида и оформление результатов испытаний - по пп. 2.4.4.5 и 2.4.4.6; оценка изменения блеска покрытий - по п. 2.4.3.5; оценка результатов испытаний - по п. 2.4.4.7.
2.4.6. Определение стойкости покрытий к воздействию переменной температуры, повышенной влажности, сернистого газа и солнечного излучения (методы 5 - 8)
2.4.6.1. Метод 5
2.4.6.1.1. Отбор образцов - по п. 2.1; аппаратура - по пп. 2.2.1, 2.2.4, 2.2.5, 2.2.7; подготовка к испытаниям - по п. 2.3.
2.4.6.1.2. Проведение испытаний
Образцы помещают в камеру влаги и выдерживают при температуре (40 +/- 2) °C и относительной влажности воздуха (97 +/- 3)% в течение 4 ч, затем выключают обогрев и выдерживают в течение 2 ч. Из камеры влаги образцы переносят в камеру сернистого газа и выдерживают при концентрации сернистого газа (5 +/- 1) мг/м3, температуре (40 +/- 2) °C и относительной влажности воздуха (97 +/- 3)% в течение 2 ч. Из камеры сернистого газа образцы переносят в камеру холода и выдерживают при температуре минус (45 +/- 3) °C в течение 3 ч. Из камеры холода образцы переносят в аппарат искусственной погоды, работающий по режиму 3-17, и выдерживают в течение 7 ч. Образцы извлекают из аппарата искусственной погоды и выдерживают при температуре 15 - 30 °C и относительной влажности воздуха не более 80% в течение 6 ч.
Цикл повторяют не менее 15 раз.
2.4.6.1.3. Продолжительность перерыва между циклами по п. 2.4.5.1.3; продолжительность перемещения образцов - по п. 2.4.4.4, осмотр образцов - по п. 2.4.4.5, оценка внешнего вида и оформление результатов испытаний - по п. 2.4.4.6; оценка результатов испытаний - по п. 2.4.4.7.
2.4.6.2. Метод 6
2.4.6.2.1. Отбор образцов - по п. 2.1; аппаратура - по пп. 2.2.1, 2.2.4, 2.2.5, 2.2.7; подготовка к испытаниям - по п. 2.3.
2.4.6.2.2. Проведение испытаний
Образцы помещают в камеру влаги и выдерживают при температуре (40 +/- 2) °C и относительной влажности воздуха (97 +/- 3)% в течение 2 ч. Из камеры влаги образцы переносят в камеру сернистого газа и выдерживают при концентрации сернистого газа (5 +/- 1) мг/м3, температуре (40 +/- 2) °C и относительной влажности воздуха (97 +/- 3)% в течение 2 ч. Из камеры сернистого газа образцы переносят в камеру холода и выдерживают при температуре минус (30 +/- 3) °C в течение 6 ч. Из камеры холода образцы переносят в аппарат искусственной погоды, работающий по режиму 3-17, и выдерживают в течение 5 ч, затем образцы переносят в камеру холода и выдерживают при температуре минус (60 +/- 3) °C в течение 3 ч. Образцы извлекают из камеры холода и выдерживают на воздухе при температуре 15 - 30 °C и относительной влажности воздуха не более 80% в течение 6 ч.
Цикл повторяют не менее 15 раз.
2.4.6.2.3. Продолжительность перерыва между циклами - по п. 2.4.5.1.3; продолжительность перемещения образцов - по п. 2.4.4.4; осмотр образцов - по п. 2.4.4.5, оценка внешнего вида и оформление результатов испытаний - по п. 2.4.4.6; определение адгезии по п. 2.4.5.2.4; оценка результатов испытаний - по п. 2.4.4.7.
2.4.6.3. Метод 7
2.4.6.3.1. Отбор образцов - по п. 2.1; аппаратура - по пп. 2.2.4, 2.2.5, 2.2.7; подготовка к испытаниям - по п. 2.3.
2.4.6.3.2. Проведение испытаний
Образцы помещают в камеру влаги и выдерживают при температуре (55 +/- 2) °C и относительной влажности воздуха (97 +/- 3)% в течение 8 ч, затем выключают обогрев и выдерживают в течение 2 ч. Из камеры влаги образцы переносят в камеру сернистого газа и выдерживают при концентрации сернистого газа (5 +/- 1) мг/м3, температуре (40 +/- 2) °C и относительной влажности воздуха (97 +/- 3)% в течение 2 ч. Из камеры сернистого газа образцы переносят в аппарат искусственной погоды, работающий по режиму 4-16, и выдерживают в течение 10 ч. Образцы извлекают из аппарата искусственной погоды и выдерживают на воздухе при температуре 15 - 30 °C и относительной влажности воздуха не более 80% в течение 2 ч.
Цикл повторяют не менее 20 раз.
2.4.6.3.3. Продолжительность перерыва между циклами - по п. 2.4.5.1.3; продолжительность перемещения образцов - по п. 2.4.4.4; осмотр образцов - по п. 2.4.4.5, оценка внешнего вида и оформление результатов испытаний - по п. 2.4.4.6; оценка изменения блеска покрытий - по п. 2.4.3.5; оценка результатов испытаний - по п. 2.4.4.7.
2.4.6.4. Метод 8
2.4.6.4.1. Отбор образцов - по п. 2.1; аппаратура - по пп. 2.2.1, 2.2.4, 2.2.5, 2.2.7; подготовка к испытаниям - по п. 2.3.
2.4.6.4.2. Проведение испытаний
Образцы помещают в камеру влаги и выдерживают при температуре (55 +/- 2) °C и относительной влажности воздуха (97 +/- 3)% в течение 7 ч, затем выключают обогрев и выдерживают в течение 2 ч. Из камеры влаги образцы переносят в камеру сернистого газа и выдерживают при концентрации сернистого газа (5 +/- 1) мг/м3, температуре (40 +/- 2) °C и относительной влажности воздуха (97 +/- 3)% в течение 2 ч. Из камеры сернистого газа образцы переносят в камеру холода и выдерживают при температуре минус (60 +/- 3) °C в течение 3 ч. Из камеры холода образцы переносят в аппарат искусственной погоды, работающий по режиму 4-16, и выдерживают в течение 10 ч. Образцы извлекают из аппарата искусственной погоды и выдерживают на воздухе при температуре 15 - 30 °C и относительной влажности воздуха не более 80% в течение 2 ч.
Цикл повторяют не менее 20 раз.
2.4.6.4.3. Продолжительность перерыва между циклами - по п. 2.4.5.1.3; продолжительность перемещения образцов - по п. 2.4.4.4; осмотр образцов - по п. 2.4.4.5; оценка внешнего вида и оформление результатов испытаний - по п. 2.4.4.6; оценка изменения блеска покрытий - по п. 2.4.3.5; определение адгезии - по п. 2.4.5.2.4; оценка результатов испытаний - по п. 2.4.4.7.
2.4.7. Определение стойкости покрытий к воздействию повышенной температуры, влажности, соляного тумана и солнечного излучения (метод 9)
2.4.7.1. Отбор образцов - по п. 2.1; аппаратура - по пп. 2.2.2, 2.2.4, 2.2.5; подготовка к испытаниям - по п. 2.3.
2.4.7.2. Проведение испытаний
Образцы помещают в камеру влаги и выдерживают при температуре (55 +/- 2) °C и относительной влажности воздуха (97 +/- 3)% в течение 5 ч. Из камеры влаги образцы переносят в камеру соляного тумана и располагают под углом 20° +/- 5° к вертикали испытуемой поверхностью вверх и выдерживают в течение 3 ч, затем переносят в камеру влаги и выдерживают при температуре (55 +/- 2) °C и относительной влажности воздуха (97 +/- 3)% в течение 5 ч. Из камеры влаги образцы переносят в аппарат искусственной погоды, работающий по режиму 4-16, и выдерживают в течение 10 ч. Образцы извлекают из аппарата искусственной погоды и выдерживают на воздухе при температуре 15 - 30 °C и относительной влажности воздуха не более 80% в течение 1 ч.
Цикл повторяют не менее 20 раз.
2.4.7.3. Продолжительность перерыва между циклами - по п. 2.4.5.1.3; продолжительность перемещения образцов - по пп. 2.4.4.4 и 2.4.4.5; осмотр образцов, оценка внешнего вида и оформление результатов испытаний - по п. 2.4.4.6; оценка изменения блеска покрытий - по п. 2.4.3.5; оценка результатов испытаний - по п. 2.4.4.7.
2.4.8. Определение стойкости покрытий к воздействию переменной температуры, повышенной влажности, соляного тумана, сернистого газа и солнечного излучения (методы 10 - 11)
2.4.8.1. Метод 10 (определение стойкости покрытий на надводном борту и надстройках судов неограниченного района плавания)
2.4.8.1.1. Отбор образцов - по п. 2.1; аппаратура - по пп. 2.2.1, 2.2.3, 2.2.4, 2.2.6; подготовка к испытаниям - по п. 2.3.
2.4.8.1.2. Проведение испытаний
Образцы помещают в камеру соляного тумана под углом 45° и выдерживают при воздействии соляного тумана с агрессивными добавками, получаемого распылением раствора с концентрацией хлористого натрия (50 +/- 5) г/дм3 и сернистокислого натрия с концентрацией (10 +/- 1) г/дм3, при температуре (35 +/- 2) °C в течение 4 ч. Из камеры соляного тумана образцы переносят в камеру солнечной радиации и выдерживают при воздействии излучения ксеноновых ламп с интегральной поверхностной плотностью потока излучения (1125 +/- 140) Вт/м2 и температуре (55 +/- 2) °C в течение 16 ч. Из камеры солнечной радиации образцы переносят в камеру влаги и выдерживают при температуре (55 +/- 2) °C и относительной влажности воздуха (95 +/- 3)% в течение 16 ч, затем в течение 1 ч температуру в камере понижают до (45 +/- 2) °C и выдерживают образцы при относительной влажности воздуха (97 +/- 3)% в течение 38 ч. Из камеры влаги образцы переносят в камеру соляного тумана и подвергают воздействию соляного тумана, получаемого при распылении раствора с концентрацией хлористого натрия (50 +/- 5) г/дм3 при температуре (35 +/- 2) °C в течение 4 ч. Из камеры соляного тумана образцы переносят в камеру влаги и выдерживают при температуре (60 +/- 2) °C и относительной влажности воздуха менее 50% в течение 2 ч, затем при относительной влажности воздуха (95 +/- 3)% и температуре (55 +/- 2) °C в течение 8 ч. Из камеры влаги образцы переносят в камеру холода и выдерживают при температуре минус (40 +/- 2) °C в течение 6 ч. Образцы извлекают из камеры холода и выдерживают на воздухе при температуре 15 - 30 °C и относительной влажности воздуха не более 80% в течение 2 ч.
Цикл повторяют не менее 4 раз.
Значение pH соляного раствора должно быть 6,8 - 7,2, значение pH корректируют раствором соляной кислоты.
Для каждого цикла распыления готовят свежий раствор. Концентрация сернистого газа в атмосфере испытательной камеры должна быть (40 +/- 10) мг/м3.
2.4.8.1.3. Продолжительность перерыва между циклами - по п. 2.4.5.1.3; продолжительность перемещения образцов - по п. 2.4.4.4; осмотр образцов после каждого цикла; оценка внешнего вида и оформление результатов испытаний - по п. 2.4.4.6; оценка результатов испытаний по п. 2.4.4.7.
Количественная оценка внешнего вида покрытий - по Приложению 8, определение срока службы - по Приложению 11.
2.4.8.2. Метод 11
2.4.8.2.1. Отбор образцов - по п. 2.1; аппаратура - по пп. 2.2.2, 2.2.4, 2.2.5, 2.2.7; подготовка к испытаниям - по п. 2.3.
2.4.8.2.2. Проведение испытаний
Образцы помещают в камеру влаги и выдерживают при температуре (55 +/- 2) °C и относительной влажности воздуха (97 +/- 3)% в течение 5 ч. Из камеры влаги образцы переносят в камеру соляного тумана, располагают под углом 20° +/- 5° к вертикали испытуемой поверхностью вверх и выдерживают в течение 3 ч, затем переносят вновь в камеру влаги и выдерживают при температуре (55 +/- 2) °C и относительной влажности воздуха (97 +/- 3)% в течение 3 ч. Из камеры влаги образцы переносят в камеру сернистого газа с концентрацией сернистого газа (5 +/- 1) мг/м3, относительной влажностью воздуха (97 +/- 3)% и выдерживают при температуре (40 +/- 2) °C в течение 2 ч. Из камеры сернистого газа образцы переносят в аппарат искусственной погоды, работающий по режиму 4-16, и выдерживают в течение 10 ч. Образцы извлекают из аппарата искусственной погоды и выдерживают на воздухе при температуре 15 - 30 °C и относительной влажности воздуха не более 80% в течение 1 ч.
Цикл повторяют не менее 20 раз.
2.4.8.2.3. Продолжительность перерыва между циклами - по п. 2.4.5.1.3; продолжительность перемещения образцов - по п. 2.4.4.4; осмотр образцов - по п. 2.4.4.5; оценка внешнего вида и оформление результатов испытаний - по п. 2.4.4.6; оценка изменения блеска покрытий - по п. 2.4.3.5; оценка результатов испытаний - по п. 2.4.4.7.
2.4.9. Определение стойкости к воздействию переменной температуры и повышенной влажности (методы 12 - 14)
2.4.9.1. Метод 12
2.4.9.1.1. Отбор образцов - по п. 2.1; аппаратура - по пп. 2.2.1, 2.2.4, 2.2.8; подготовка к испытаниям - по п. 2.3.
2.4.9.1.2. Проведение испытаний
Образцы помещают в камеру влаги и выдерживают при температуре (40 +/- 2) °C и относительной влажности воздуха (97 +/- 3)% в течение 6 ч, затем выключают обогрев и выдерживают в течение 2 ч. Из камеры влаги образцы переносят в камеру холода и выдерживают при температуре минус (45 +/- 3) °C в течение 3 ч. Из камеры холода образцы переносят в термокамеру и выдерживают при температуре (60 +/- 2) °C в течение 7 ч. Образцы извлекают из термокамеры и выдерживают на воздухе при температуре 15 - 30 °C и относительной влажности воздуха не более 80% в течение 6 ч.
Цикл повторяют не менее 15 раз.
2.4.9.1.3. Продолжительность перерыва между циклами - по п. 2.4.5.1.3; продолжительность перемещения образцов - по п. 2.4.4.4; осмотр образцов - по п. 2.4.4.5; оценка внешнего вида и оформление результатов испытаний - по п. 2.4.4.6; оценка результатов испытаний - по п. 2.4.4.7.
2.4.9.2. Метод 13
2.4.9.2.1. Отбор образцов - по п. 2.1; аппаратура - по пп. 2.2.1, 2.2.4, 2.2.8; подготовка к испытаниям - по п. 2.3.
2.4.9.2.2. Проведение испытаний
Образцы помещают в камеру влаги и выдерживают при температуре (40 +/- 2) °C и относительной влажности воздуха (97 +/- 3)% в течение 2 ч, затем выключают обогрев и выдерживают в течение 2 ч. Из камеры влаги образцы переносят в камеру холода и выдерживают при температуре минус (30 +/- 3) °C в течение 6 ч. Из камеры холода образцы переносят в термокамеру и выдерживают при температуре (60 +/- 2) °C в течение 5 ч. Из термокамеры образцы переносят в камеру холода и выдерживают при температуре минус (60 +/- 3) °C в течение 3 ч. Образцы извлекают из камеры холода и выдерживают на воздухе при температуре 15 - 30 °C и относительной влажности воздуха не более 80% в течение 6 ч.
Цикл повторяют не менее 15 раз.
2.4.9.2.3. Продолжительность перемещения образцов - по п. 2.4.4.4, продолжительность перерыва между циклами - по п. 2.4.5.1.3; осмотр образцов - по п. 2.4.4.5; оценка внешнего вида и оформление результатов испытаний - по п. 2.4.4.6; определение адгезии - по п. 2.4.5.2.4; оценка результатов испытаний - по п. 2.4.4.7.
2.4.9.3. Метод 14
2.4.9.3.1. Отбор образцов - по п. 2.1; аппаратура - по пп. 2.2.4, 2.2.8; подготовка к испытаниям - по п. 2.3.
2.4.9.3.2. Проведение испытаний
Образцы помещают в камеру влаги и выдерживают при температуре (55 +/- 2) °C и относительной влажности воздуха (97 +/- 3)% в течение 10 ч, затем выключают обогрев и выдерживают в течение 2 ч. Из камеры влаги образцы переносят в термокамеру и выдерживают при температуре (60 +/- 2) °C в течение 10 ч. Образцы извлекают из термокамеры и выдерживают на воздухе при температуре 15 - 30 °C и относительной влажности воздуха не более 80% в течение 2 ч.
Цикл повторяют для условий эксплуатации Т2 не менее 20 раз, для Т3 - не менее 10 раз.
2.4.9.3.3. Продолжительность перерыва между циклами - по п. 2.4.5.1.3; продолжительность перемещения образцов - по п. 2.4.4.4; осмотр образцов - по п. 2.4.4.5; оценка внешнего вида и оформление результатов испытаний - по п. 2.4.4.6; оценка изменения блеска покрытий - по п. 2.4.3.5; оценка результатов испытаний - по п. 2.4.4.7.
2.4.10. Определение стойкости покрытий к воздействию переменной температуры, повышенной влажности и сернистого газа (методы 15 - 18)
2.4.10.1. Метод 15
2.4.10.1.1. Отбор образцов - по п. 2.1; аппаратура - по пп. 2.2.1, 2.2.4, 2.2.7, 2.2.8; подготовка к испытаниям - по п. 2.3.
2.4.10.1.2. Проведение испытаний
Образцы помещают в камеру влаги и выдерживают при температуре (40 +/- 2) °C и относительной влажности воздуха (97 +/- 3)% в течение 4 ч, затем выключают обогрев и выдерживают в течение 2 ч. Из камеры влаги образцы переносят в камеру сернистого газа и выдерживают при концентрации сернистого газа (5 +/- 1) мг/м3, температуре (40 +/- 2) °C и относительной влажности воздуха (97 +/- 3)% в течение 2 ч. Из камеры сернистого газа образцы переносят в камеру холода и выдерживают при температуре минус (45 +/- 3) °C в течение 3 ч. Из камеры холода образцы переносят в термокамеру и выдерживают при температуре (60 +/- 2) °C в течение 7 ч, затем образцы извлекают из термокамеры и выдерживают на воздухе при температуре 15 - 30 °C и относительной влажности воздуха не более 80% в течение 6 ч.
Цикл повторяют не менее 15 раз.
2.4.10.1.3. Продолжительность перемещения образцов - по п. 2.4.4.4; продолжительность перерыва между циклами - по п. 2.4.5.1.3; осмотр образцов - по п. 2.4.4.5; оценка внешнего вида и оформление результатов испытаний - по п. 2.4.4.6; оценка результатов испытаний - по п. 2.4.4.7.
2.4.10.2. Метод 16
2.4.10.2.1. Отбор образцов - по п. 2.1; аппаратура по пп. 2.2.1, 2.2.4, 2.2.7, 2.2.8; подготовка к испытаниям - по п. 2.3.
2.4.10.2.2. Проведение испытаний
Образцы помещают в камеру влаги и выдерживают при температуре (40 +/- 2) °C и относительной влажности воздуха (97 +/- 3)% в течение 2 ч. Из камеры влаги образцы переносят в камеру сернистого газа и выдерживают при концентрации сернистого газа (5 +/- 1) мг/м3, температуре (40 +/- 2) °C и относительной влажности воздуха (97 +/- 3)% в течение 2 ч. Из камеры сернистого газа образцы переносят в камеру холода и выдерживают при температуре минус (30 +/- 3) °C в течение 6 ч. Из камеры холода образцы переносят в термокамеру и выдерживают при температуре (60 +/- 2) °C в течение 5 ч, затем образцы переносят в камеру холода и выдерживают при температуре минус (60 +/- 3) °C в течение 3 ч. Образцы извлекают из камеры холода и выдерживают на воздухе при температуре 15 - 30 °C и относительной влажности воздуха не более 80% в течение 6 ч.
Цикл повторяют не менее 15 раз.
2.4.10.2.3. Продолжительность перерыва между циклами - по п. 2.4.5.1.3; продолжительность перемещения образцов - по п. 2.4.4.4; осмотр образцов - по п. 2.4.4.5; оценка внешнего вида и оформление результатов испытаний - по п. 2.4.4.6; определение адгезии - по п. 2.4.5.2.4; оценка результатов испытаний - по п. 2.4.4.7.
2.4.10.3. Метод 17
2.4.10.3.1. Отбор образцов - по п. 2.1; аппаратура - по пп. 2.2.4, 2.2.7, 2.2.8; подготовка к испытаниям - по п. 2.3.
2.4.10.3.2. Проведение испытаний
Образцы помещают в камеру влаги и выдерживают при температуре (55 +/- 2) °C и относительной влажности воздуха (97 +/- 3)% в течение 8 ч, затем выключают обогрев и выдерживают в течение 2 ч. Из камеры влаги образцы переносят в камеру сернистого газа и выдерживают при концентрации сернистого газа (5 +/- 1) мг/м3, температуре (40 +/- 2) °C и относительной влажности воздуха (97 +/- 3)% в течение 2 ч. Из камеры сернистого газа образцы переносят в термокамеру и выдерживают при температуре (60 +/- 2) °C в течение 10 ч. Образцы извлекают из термокамеры и выдерживают на воздухе при температуре 15 - 30 °C и относительной влажности воздуха не более 80% в течение 2 ч.
Цикл повторяют для условий эксплуатации Т2 не менее 20 раз, для Т3 - не менее 10 раз.
2.4.10.3.3. Продолжительность перерыва между циклами - по п. 2.4.5.1.3; продолжительность перемещения образцов - по п. 2.4.4.4; осмотр образцов - по п. 2.4.4.5; оценка внешнего вида и оформление результатов испытаний - по п. 2.4.4.6; оценка изменения блеска покрытий - по п. 2.4.3.5; оценка результатов испытаний - по п. 2.4.4.7.
2.4.10.4. Метод 18
2.4.10.4.1. Отбор образцов - по п. 2.1; аппаратура - по пп. 2.2.1, 2.2.4, 2.2.7, 2.2.8; подготовка к испытаниям - по п. 2.3.
2.4.10.4.2. Проведение испытаний
Образцы помещают в камеру влаги и выдерживают при температуре (55 +/- 2) °C и относительной влажности воздуха (97 +/- 3)% в течение 7 ч, затем выключают обогрев и выдерживают в течение 1 ч. Из камеры влаги образцы переносят в камеру сернистого газа и выдерживают при концентрации сернистого газа (5 +/- 1) мг/м3, температуре (40 +/- 2) °C и относительной влажности воздуха (97 +/- 3)% в течение 2 ч. Из камеры сернистого газа образцы переносят в камеру холода и выдерживают при температуре минус (60 +/- 3) °C в течение 3 ч. Из камеры холода образцы переносят в термокамеру и выдерживают при температуре (60 +/- 2) °C в течение 10 ч. Образцы извлекают из термокамеры и выдерживают на воздухе при температуре 15 - 30 °C и относительной влажности воздуха не более 80% в течение 1 ч.
Цикл повторяют не менее 20 раз.
2.4.10.4.3. Продолжительность перерыва между циклами - по п. 2.4.5.1.3; продолжительность перемещения образцов - по п. 2.4.4.4; осмотр образцов - по п. 2.4.4.5; оценка внешнего вида и оформление результатов испытаний - по п. 2.4.4.6; оценка изменения блеска - по п. 2.4.3.5; определение адгезии - по п. 2.4.5.2.4; оценка результатов испытаний - по п. 2.4.4.7.
2.4.11. Определение стойкости покрытий к воздействию повышенной температуры, повышенной влажности и соляного тумана (метод 19)
2.4.11.1. Отбор образцов - по п. 2.1; аппаратура - по пп. 2.2.2, 2.2.4, 2.2.8; подготовка к испытаниям - по п. 2.3.
2.4.11.2. Проведение испытаний
Образцы помещают в камеру влаги и выдерживают при температуре (55 +/- 2) °C и относительной влажности воздуха (97 +/- 3)% в течение 5 ч. Из камеры влаги образцы переносят в камеру соляного тумана и располагают под углом 20° +/- 5° к вертикали испытуемой поверхностью вверх и выдерживают в течение 3 ч. Из камеры соляного тумана образцы переносят в камеру влаги и выдерживают при температуре (55 +/- 2) °C и относительной влажности воздуха (97 +/- 3)% в течение 5 ч. Из камеры влаги образцы переносят в термокамеру и выдерживают при температуре (60 +/- 2) °C в течение 10 ч. Образцы извлекают из термокамеры и выдерживают на воздухе при температуре 15 - 30 °C и относительной влажности воздуха не более 80% в течение 1 ч.
Цикл повторяют для условий эксплуатации Т2 не менее 20 раз, для Т3 - не менее 10 раз.
2.4.11.3. Продолжительность перерыва между циклами - по п. 2.4.5.1.3; продолжительность перемещения образцов - по п. 2.4.4.4; осмотр образцов - по п. 2.4.4.5; оценка внешнего вида и оформление результатов испытаний - по п. 2.4.4.6; оценка блеска покрытий - по п. 2.4.3.5; оценка результатов испытаний - по п. 2.4.4.7.
2.4.12. Определение стойкости покрытий к воздействию изменения температуры, повышенной влажности, соляного тумана и сернистого газа (методы 20 - 21)
2.4.12.1. Метод 20 (определение стойкости покрытий во внутренних помещениях судов)
2.4.12.1.1. Отбор образцов - по п. 2.1; аппаратура - по пп. 2.2.1, 2.2.3, 2.2.4; подготовка к испытаниям - по п. 2.3.
2.4.12.1.2. Проведение испытаний
Образцы помещают в камеру соляного тумана под углом 45° и выдерживают при воздействии соляного тумана с агрессивными добавками, получаемого распылением раствора с концентрацией хлористого натрия (10 +/- 1) г/дм3 и сернистокислого натрия с концентрацией (5 +/- 0,5) г/дм3, при температуре (35 +/- 2) °C в течение 2 ч. Из камеры соляного тумана образцы переносят в камеру влаги и выдерживают при температуре (60 +/- 2) °C и относительной влажности воздуха менее 50% в течение 12 ч, затем при относительной влажности воздуха (95 +/- 3)% и температуре (35 +/- 2) °C в течение 60 ч, затем в течение 1 ч температуру в камере понижают до (25 +/- 2) °C и выдерживают образцы при относительной влажности воздуха (97 +/- 3)% в течение 14 ч. Из камеры влаги образцы переносят в камеру холода и выдерживают при температуре минус (40 +/- 3) °C в течение 6 ч. Образцы извлекают из камеры холода и выдерживают на воздухе при температуре 15 - 30 °C и относительной влажности воздуха не более 80% в течение 2 ч.
Цикл повторяют для условий эксплуатации ОМ2 не менее 3 раз, для ОМ3 - не менее 2 раз.
Значение pH соляного раствора и периодичность его приготовления - по п. 2.4.8.1.2.
(Измененная редакция, Изм. N 2).
2.4.12.1.3. Продолжительность перерыва между циклами - по п. 2.4.5.1.3; продолжительность перемещения образцов - по п. 2.4.4.4; осмотр образцов после каждого цикла, оценка внешнего вида и оформление результатов испытаний - по п. 2.4.4.6; оценка результатов испытаний - по п. 2.4.4.7.
Количественная оценка внешнего вида покрытий - по Приложению 8, определение срока службы - по Приложению 11.
2.4.12.2. Метод 21
2.4.12.2.1. Отбор образцов - по п. 2.1; аппаратура - по пп. 2.2.2, 2.2.4, 2.2.7, 2.2.8; подготовка к испытаниям - по п. 2.3.
2.4.12.2.2. Проведение испытаний
Образцы помещают в камеру влаги и выдерживают при температуре (55 +/- 2) °C и относительной влажности воздуха (97 +/- 3)% в течение 5 ч. Из камеры влаги образцы переносят в камеру соляного тумана, располагают под углом (20 +/- 5) °C к вертикали испытуемой поверхностью вверх и выдерживают в течение 3 ч. Из камеры соляного тумана образцы переносят в камеру влаги и выдерживают при температуре (55 +/- 2) °C и относительной влажности воздуха (97 +/- 3)% в течение 3 ч. Из камеры влаги образцы переносят в камеру сернистого газа и выдерживают при концентрации сернистого газа (5 +/- 1) мг/м3 и относительной влажности воздуха (97 +/- 3)% и температуре (40 +/- 2) °C в течение 2 ч. Из камеры сернистого газа образцы переносят в термокамеру и выдерживают при температуре (60 +/- 2) °C в течение 10 ч. Образцы извлекают из термокамеры и выдерживают на воздухе при температуре 15 - 30 °C и относительной влажности воздуха не более 80% в течение 1 ч.
Цикл повторяют для условий эксплуатации Т2 не менее 20 раз, для Т3 - не менее 10 раз.
2.4.12.2.3. Продолжительность перерыва между циклами - по п. 2.4.5.1.3; продолжительность перемещения образцов - по п. 2.4.4.4; осмотр образцов - по п. 2.4.4.5; оценка внешнего вида и оформление результатов испытаний - по п. 2.4.4.6; оценка изменения блеска - по п. 2.4.3.5; оценка результатов испытаний - по п. 2.4.4.7.
3. ТРЕБОВАНИЯ БЕЗОПАСНОСТИ
3.1. Изготовление образцов покрытий и их испытания следует проводить в помещениях, отвечающих требованиям "Инструкции по санитарному содержанию помещений и оборудования производственных предприятий", утвержденной Главным санитарно-эпидемиологическим Управлением Министерства здравоохранения СССР, и "Санитарных правил организации технологических процессов и гигиенических требований к производственному оборудованию", утвержденных Министерством здравоохранения СССР.
3.2. Все работы по изготовлению образцов следует проводить в соответствии с требованиями ГОСТ 12.3.005 и "Санитарных правил при окрасочных работах с применением ручных распылителей", утвержденных Министерством здравоохранения СССР.
3.3. Метеорологические условия и содержание вредных веществ в рабочей зоне помещений должны соответствовать ГОСТ 12.1.005.
Концентрацию вредных веществ в воздухе рабочей зоны при нанесении покрытий и при испытании на стойкость к воздействию климатических факторов следует определять по методам, соответствующим требованиям ГОСТ 12.1.016.
3.4. Требования безопасности при проведении испытаний в аппаратах искусственной погоды должны соответствовать требованиям ГОСТ 9.045, в аппаратах сернистого газа, влаги и соляного тумана - по ГОСТ 9.308.
3.5. Пожарная безопасность при проведении испытаний должна соответствовать требованиям ГОСТ 12.1.004.
3.6. Электробезопасность при проведении испытаний должна соответствовать требованиям ГОСТ 12.1.019 и ГОСТ 12.1.038.
Приложение 1а
Рекомендуемое
ПЕРЕЧЕНЬ ЛАКОКРАСОЧНЫХ МАТЕРИАЛОВ
ДЛЯ РАЗЛИЧНЫХ УСЛОВИЙ ЭКСПЛУАТАЦИИ
Таблица 1
Перечень материалов внешнего слоя лакокрасочного покрытия
Марка материала
Обозначение условий эксплуатации по ГОСТ 9.104 и ГОСТ 9.032
Алкидно-акриловые
Лак АС-16
У1
Лак АС-82
У2, Т2
Лаки АС-176, АС-176 М
У1, Т2
Лак АС-528
У1, УХЛ1, ХЛ1
Лак АС-1105Т
О1
Эмаль АС-85
УХЛ4
Эмаль АС-131
У1, УХЛ1, ХЛ1
Эмаль АС-182 по ГОСТ 19024
В1
Эмаль АС-554
У1, УХЛ1, ХЛ1
Эмаль АС-555
У1, УХЛ1, ХЛ1
Эмаль АС-730
У1, УХЛ1, ХЛ1
Эмали АС-1101, АС-1101 "М"
У1, Т2
Эмаль АС-1115
О1
Эмали АС-1171 Г, АС-1171 ПМ, АС-1171 АПМ
У1, Т1
Эмаль "ЯрЛИ" АС-1280
В1, 4/1, 6/1, 6/2
Эмаль АС-1383
У1
Эмаль "ЯрЛИ" АС-5305
О1
Эмаль АС-5307
У1
Алкидно-уретановые
Лак АУ-271
УХЛ4
Лак КАУ-1
УХЛ4
Лак КАУ-25
УХЛ4
Эмаль АУ-1004 "ПФ-ФЕРРА-ЖД"
УХЛ1
Эмаль АУ-1518 "Универсал-люкс"
УХЛ1
Эмаль "Промос-ПС"
УХЛ1
Эмаль "Экспресс"
УХЛ1
Акрил-уретановые
Лак "ЯрЛИ" АК-1104
В1, 4/1, 4/2, 6/1, 6/2
Лак АК-1112
В1
Эмаль АК-1301
В1
Эмаль "ЯрЛИ" АК-1316
В1, 4/1, 4/2, 6/1, 6/2
Эмали "ЯрЛИ" АК-1349 ГЛ, "ЯрЛИ" АК-1349 ПМ, "ЯрЛИ" АК-1349 М
В1, 4/1, 4/2, 6/1, 6/2
Эмали "ЯрЛИ" АК-1379 ГЛ, "ЯрЛИ" АК-1379 М
В1, 4/1, 4/2, 6/1, 6/2
Эмаль АК-1388
О1, 4/1, 4/2, 6/1, 6/2
Эмаль АК-1511 "Разноцвет"
У1, УХЛ1, ХЛ1
Эмаль Гамма-УР-11
УХЛ1, О1, ОМ1, 6/1, 6/2, 7/1
Эмаль (АК-1521) <*>
В1, 7/1
--------------------------------
<*> Далее по всему тексту приложений обозначается как эмаль АК-1521.
Битумные
Лак БТ-577 по ГОСТ 5631
У2
Лак БТ-783 по ГОСТ 1347
У2
Эмаль БТ-177
У1, 8200 °C
Эмаль БТ-591
УХЛ4
Эмаль БТ-1141
У1
Глифталевые
Краска ГФ-57Ш
У1
Лак ГФ-95 по ГОСТ 8018
У2, 8130 °C, 9/1100 °C
Лак ГФ-95 по ГОСТ 8018 с алюминиевой пудрой по ГОСТ 5494
У1, Т2, 6/1220 °C, 8300 °C
Лак ГФ-166 по ГОСТ 5470
У2
Эмали ГФ-92ХС, ГФ-92ГС по ГОСТ 9151
У2, УХЛ2, 9/1130 °C
Эмаль ГФ-230ВЭ по ГОСТ 64
УХЛ4
Эмаль ГФ-820
В2, 6/1120 °C, 8300 °C
Эмаль ГФ-1147 "ВЭ"
У1
Эмаль ГФ-1151
У1
Эмаль ГФ-1426 по ГОСТ 6745
У1, Т2
Эмали ГФ-2136, ГФ-2136МЭ
У2, Т3, 6/1120 °C
Канифольные
Краска КФ-513
У1
Каучуковые
Эмаль КЧ-190
У2
Эмаль КЧ-767 <*>
-
--------------------------------
<*> Эмаль КЧ-767 применяют для временной защиты дюралюминиевых сплавов от воздействия травящей среды в процессе избирательного травления.
Кремнийорганические
Композиция антикоррозионная цинкнаполненная термостойкая (Грунтовка КО-0441) <**>
В1, 4, 5/4, 6, 7/4, 8350 °C
--------------------------------
<**> Далее по всему тексту приложений обозначаются как грунтовка КО-0441 и эмаль КО-885.
Эмаль КО-88 по ГОСТ 23101
У1, УХЛ1, ХЛ1, О2, 8500 °C
Эмали КО-174, КО-174М
У1
Эмали КО-811, КО-811К по ГОСТ 23122
О2, 8400 °C
Эмаль КО-813 по ГОСТ 11066
У1, УХЛ1, ХЛ1, О2, 8500 °C
Эмаль КО-814 по ГОСТ 11066
У1, УХЛ1, ХЛ1, О2, 8400 °C
Эмаль КО-822
У2, 8300 °C
Эмаль КО-828
У1, УХЛ1, ХЛ1, О2, 8400 °C
Эмаль КО-834
У1, УХЛ1, ХЛ1
Композиция антикоррозионная термостойкая (Эмаль КО-885) <**>
В1, 4, 6, 7/4, 8400 °C
Эмаль КО-935
О2, 9/1180 °C
Эмаль КО-976
О2, 9/1180 °C
Эмаль КО-1283Н
У1
Эмаль КО-8104 марка А
У1, 8400 °C
Эмаль КО-8104 марка Б
У1, 8600 °C
Карбамидные
Лак МЧ-0163
УХЛ4
Лак МЧ-52
У1
Лак МЧ-212
УХЛ4
Лак МЧ-223
УХЛ4
Лаки МЧ-236 "ПМ", МЧ-236 "М"
УХЛ4
Лак МЧ-270
У1
Лак МЧ-2151
УХЛ4
Эмаль МЧ-123
У1, УХЛ2, ХЛ2
Эмаль МЧ-145 по ГОСТ 23760
У1, УХЛ1, ХЛ1
Эмаль МЧ-173
У1
Эмаль МЧ-181
У1
Эмаль МЧ-240
У2
Эмаль МЧ-277
У2
Масляно- и алкидно-стирольные
Лак МС-25
УХЛ4
Эмаль МС-17
У2
Эмаль МС-160 по ГОСТ 12034
У1, Т1
Масляные
Краска МА-15
У1
Краска МА-25
УХЛ4
Эмаль МА-224
У2
Краска МА-514
У1, Т1
Меламинные
Лак МЛ-21
У1, Т1
Лак МЛ-92 по ГОСТ 15865
У2, Т2
Лак МЛ-133
У1
Лак МЛ-248
УХЛ4
Лак МЛ-2110
У2, Т3
Лак "Мелакс-1"
У1
Эмаль МЛ-12 по ГОСТ 9754
В1
Эмаль МЛ-12 "К"
В1
Эмаль МЛ-104
У1, Т2
Эмаль МЛ-133
У1
Эмаль МЛ-148
У1, Т1
Эмаль МЛ-152 по ГОСТ 18099
В1
Эмаль МЛ-158
У1, Т2
Эмали МЛ-165, МЛ-165ПМ по ГОСТ 12034
В1, 8130 °C
Эмаль МЛ-169
У1, Т1
Эмаль МЛ-197 по ГОСТ 23640
В1
Эмаль МЛ-197
У1
Эмаль МЛ-279ОП по ГОСТ 5971
В1
Эмаль МЛ-629
У1, 6/1150 °C, 6/2
Эмаль МЛ-867
У2, 8180 °C
Эмаль МЛ-1100
У1
Эмаль МЛ-1105
У1
Эмаль МЛ-1109
У1
Эмаль МЛ-1110 по ГОСТ 20481
В1
Эмаль МЛ-1110
У1
Эмаль МЛ-1111
О1
Эмаль МЛ-1111 М
У1
Эмаль МЛ-1120
О1
Эмаль МЛ-1156 по ГОСТ 5971
О1
Эмаль МЛ-1195
У1
Эмали МЛ-1202, МЛ-1202ПМ
У1
Эмаль МЛ-1203
У1
Эмаль МЛ-1214МЭ
У1, Т1
Эмаль МЛ-1225
О1
Эмаль МЛ-1300
В1
Эмаль МЛ-1500
В1
Эмаль "ЯрЛИ" МЛ-5257
О2, 6/2, 8125 °C
Эмаль "ЯрЛИ" МЛ-5265
О2, 6/2, 8155 °C
Нитроцеллюлозные
Лак НЦ-62
УХЛ4
Лак НЦ-134
УХЛ4
Лак НЦ-134 с алюминиевой пудрой по ГОСТ 5494
У2
Лак НЦ-218 по ГОСТ 4976
УХЛ4
Лаки НЦ-222, НЦ-223 по ГОСТ 4976
УХЛ4
Лаки НЦ-237 "ПМ", НЦ-237 "М"
УХЛ4
Лаки НЦ-243 по ГОСТ 4976, НЦ-243М
УХЛ4
Лак НЦ-269
УХЛ4
Лак НЦ-291Ц
УХЛ4
Лаки НЦ-2101, НЦ-2101 "В"
УХЛ4
Лак НЦ-2102
УХЛ4
Лак НЦ-2103
УХЛ4
Лак НЦ-2105
УХЛ4
Лак НЦ-2139
УХЛ4
Лак НЦ-2144
УХЛ4
Лак НЦ-2180
УХЛ4
Эмаль НЦ-1-085
У1
Эмали НЦ-11, НЦ-11А черные по ГОСТ 9198
У1, Т1
Эмаль НЦ-11 по ГОСТ 9198
У1, Т2
Эмаль НЦ-25 ГОСТ 5406
УХЛ4
Эмаль НЦ-132 по ГОСТ 6631
У1
Эмаль НЦ-143
У1, Т2
Эмаль НЦ-184 по ГОСТ 18335
У1
Эмали НЦ-216, НЦ-217
У2
Эмаль НЦ-221
У2
Эмаль НЦ-246
У2
Эмаль НЦ-256 по ГОСТ 25515
У2, Т3
Эмаль НЦ-257М
УХЛ4
Эмаль НЦ-271М
У2
Эмаль НЦ-273
У2
Эмаль НЦ-291Ц
УХЛ4
Эмаль НЦ-1125 по ГОСТ 7930
У1
Эмаль НЦ-1200
У1
Эмаль НЦ-1249
У1, Т2
Эмаль НЦ-2192
УХЛ4
Эмаль НЦ-5123 по ГОСТ 7462
У2, 6/1
Нитроуретановые
Лаки "Нитроуретановые"
УХЛ4
Органосиликатные
Композиция ОС-12-01
У1, Т2, ОМ2, 8300 °C
Композиция ОС-12-03
В1, 8300 °C
Композиция ОС-51-03
В1
Композиция ОС-56-22
У1, УХЛ1
Пентафталевые
Краска ТНПФ
У2
Лаки ПФ-157, ПФ-157Л
У1
Лаки ПФ-170, ПФ-171 по ГОСТ 15907
У1, УХЛ1, ХЛ1
Лаки ПФ-170, ПФ-171 по ГОСТ 15907 с алюминиевой пудрой по ГОСТ 5494
О1, 8300 °C
Лак ПФ-231
УХЛ4
Лак ПФ-283 по ГОСТ 5470
У2
Лак ПФ-283 М
УХЛ4
Лак "Ореол"
УХЛ4
Лак "Ореол для паркета"
УХЛ4
Состав "Кофадекс"
У1
Состав "Пентанил"
У1, УХЛ1, ХЛ1
Состав "Тэкотекс"
У1
Эмали ПФ-19, ПФ-19М
У1
Эмаль ПФ-101 ЛОКО "ОМЕГА"
У1
Эмаль ПФ-110
У1
Эмаль ПФ-113ВЭ "Стройлакс"
У1
Эмаль ПФ-115 черная по ГОСТ 6465
У1, УХЛ1, ХЛ1, Т2, В3
Эмаль ПФ-115 по ГОСТ 6465
У1, УХЛ1, ХЛ1, В3
Эмаль ПФ-115
У1
Эмали ПФ-115 (матовые)
У1
Эмаль ПФ-115 ВЭ
У1, УХЛ1
Эмаль ПФ-115 ЕЖТ
УХЛ1
Эмаль ПФ-115 "Кронос"
УХЛ1
Эмаль ПФ-115 М
У1, УХЛ1, ХЛ1, В3
Эмаль ПФ-115 СВ
УХЛ1
Эмаль ПФ-115 РАСЦВЕТ
У1
Эмаль ПФ-115 тиксотропная
У1
Эмаль ПФ-115 "Экстра"
У1, УХЛ1, ХЛ1, В3
Эмаль ПФ-120
У1, УХЛ1
Эмаль ПФ-122 "Гамма"
У1, УХЛ1
Эмаль ПФ-123
У1, УХЛ1, ХЛ1, В3
Эмаль ПФ-124 М
У1, УХЛ1, ХЛ1, В3
Эмаль ПФ-126
У1, УХЛ1, ХЛ1, В3
Эмаль ПФ-131
У1, УХЛ1, ХЛ1, В3
Эмаль ПФ-133 по ГОСТ 926
У1, УХЛ1, ХЛ1, В3
Эмаль ПФ-145
У1
Эмаль ПФ-163 по ГОСТ 5971
У1, Т2, В3
Эмаль ПФ-167
У1, ОМ1, 4
Эмаль ПФ-188 по ГОСТ 24784
В1
Эмаль ПФ-188 ЖТ
УХЛ1
Эмаль ПФ-218 по ГОСТ 21227
У2, УХЛ2, ХЛ2, ОМ3, О4
Эмаль ПФ-223 по ГОСТ 14923
У2, УХЛ2, ХЛ2, Т3
Эмаль ПФ-225
УХЛ4
Эмаль ПФ-241
У2
Эмаль ПФ-266
УХЛ4
Эмаль ПФ-266 "Люкс"
УХЛ4
Эмаль ПФ-268
УХЛ4
Эмаль ПФ-837
У1, Т2, 6/1120 °C, 8300 °C
Эмаль ПФ-910 <*>
-
--------------------------------
<*> Эмаль ПФ-910 применяют для окрашивания металлов, подлежащих электросварке.
Эмаль ПФ-1145
У1, ОМ1, 4, 6
Эмаль ПФ-1147 "ВЭ"
У1
Эмаль ПФ-1148 "ВЭ"
У1, УХЛ1
Эмаль ПФ-1189
У1
Эмаль ПФ-1217 "ВЭ"
У1, УХЛ1, ХЛ1
Эмаль ПФ-1234
У1
Эмаль ПФ-1246
У1, УХЛ1
Эмаль ПФ-1248
У1
Эмаль ПФ-1250ВС
У1, УХЛ1, ХЛ1, В3
Эмаль ПФ-1283
У1
Эмаль ПФ-1305 ЖД
УХЛ1
Эмаль "ЯрЛИ" ПФ-1315
В1, 4/1, 6/1, 6/2
Эмаль ПФ-1331
У1, УХЛ1, ХЛ1, В3
Эмаль "ЯрЛИ" ПФ-1387
УХЛ1, В2, 4/1, 6/1, 6/2
Эмаль ПФ-2135
УХЛ4
Эмаль ПФ-2140
УХЛ4
Эмаль ПФ-ВЕГА ЖД
УХЛ1
Эмаль ПФ-К "Кронос"
УХЛ1
Эмаль ПФ Крата-СТ
У1, УХЛ1
Эмаль ПФ-Обь ЖД
УХЛ1
Эмаль ПФ-ОД-15 ЖТ
УХЛ1
Эмаль ПФ-Сибатекс
УХЛ1
Эмаль ПФС "Стрела"
УХЛ1
Эмаль "ГАММА-стандарт"
У1, УХЛ1, ХЛ1, В3
Эмаль Дельта PRO-115
У1, УХЛ1, ХЛ1, 4/1
Эмаль "Интерьер"
У1, УХЛ1, ХЛ1
Эмаль "Кронос-ЖД"
УХЛ1
Эмаль "Кронос-Спринт"
УХЛ1
Эмали "Ореол", "Ореол" матовая
У1, УХЛ1, ХЛ1, В3
Эмаль "для пола Ореол"
УХЛ4
Эмаль "РАСЦВЕТ для пола"
УХЛ4
Эмаль Пентакрил-ЖД
УХЛ1
Эмаль Поликор-7
УХЛ1
Эмали "Престиж"
У1, УХЛ1, ХЛ1, В3
Перхлорвиниловые и поливинилхлоридные
Грунт-эмаль ХВ-0278
У1, УХЛ1, 6/1, 6/2, 7/4
Краски ХВ-161, ХВ-161 "Л"
У1
Краски ХВ-161 "Пигма", ХВ-161 "Пигма" люкс
У1
Лак ХВ-148
У1
Лак ХВ-784 по ГОСТ 7313
У1, УХЛ1, ХЛ1, В2, 4/2, 7/1, 7/2, 7/3, 7/4
Лак ХВ-5179
УХЛ2
Эмали ХВ-16, ХВ-16Р
В1, 7/1, 4/1
Эмаль ХВ-110 по ГОСТ 18374
О1
Эмаль ХВ-113 по ГОСТ 18374
О1
Эмаль ХВ-124 по ГОСТ 10144
В1, 7/1, 4/1
Эмаль ХВ-179
У1
Эмаль ХВ-238
У2, УХЛ2, ХЛ2, Т3, 6/1, 7/3
Эмаль ХВ-518
В1, 7/1
Эмаль ХВ-536
У1, УХЛ1, ХЛ1
Эмаль ХВ-553 "М"
У2
Эмаль ХВ-556
У2
Эмаль ХВ-714
У1, УХЛ1, ХЛ1, О2
Эмаль ХВ-774
У2, УХЛ1, ХЛ1, 7/1, 7/2, 7/3, 7/4
Эмаль ХВ-785 по ГОСТ 7313
У1, УХЛ1, ХЛ1, В2, 4/2, 7/1, 7/2, 7/3, 7/4
Эмаль ХВ-1120
У1, Т1, ОМ1, 4/1, 4/2, 7/1, 7/2, 7/3, 7/4
Эмаль ХВ-1121
У1
Эмаль ХВ-5169
У1, Т1, 5/3
Эмаль ХВ-5323
У1, УХЛ1, ХЛ1
Эмаль ХВ-7141
О1
Эмаль ХВ-БГО
У1, 7/1, 7/2, 7/3, 7/4
Эмаль Дельта PRO-116
В1, 4/1, 6
Эмаль Дельта PRO-720
У1, УХЛ1, ХЛ1, 4/1, 7/1, 7/2, 7/3, 7/4
Эмаль "Эвинал-21"
У1, ОМ1, 4
Эмаль "Эвинал-28"
У1, ОМ1, 4, 6
Эмаль "ЭнергоКор-2"
У1, УХЛ1, ХЛ1, 4/1, 7/1, 7/2, 7/3, 7/4
Полиакриловые
Композиция антикоррозионная цинкнаполненная , (Грунтовка АК-0440) <*>
О1, 6/1, 8150 °C
--------------------------------
<*> Далее по всему тексту приложений обозначается как грунтовка АК-0440.
Краска АК-111 по ГОСТ 28196
УХЛ4
Краска АК-124
О1
Краска АК-125
У1
Краска АК-511 для разметки дорог
У1
Краска АК-539 для разметки дорог
У1, УХЛ1
Краска АК-540
О1
Краска АК-585 для разметки дорог
У1
Краска АК-1108 фасадная
У1
Краска "Акра" фасадная
У1
Краска для разметки дорог
О1
Краска "Штольрефлекс Д1163"
О1
Композиция АКФ-1
УХЛ1
Лаки АК-113, АК-113Ф по ГОСТ 23832
У1, Т2
Лак АК-181
О1
Лак АК-1103
О1
Лак АК-1141
О1
Лак АК-5242
У1
Состав для разметки дорог АК-549
У1
Состав АК-1362 "Декор "Шуба ФС" ("Шуба ФС Р")
У1, 4/1
Эмаль АК-142
У1
Эмаль АК-192
У1, Т2
Эмаль АК-194
У1, Т2
Эмаль АК-1102
У1, Т2
Эмаль АК-1112 "Люкс-комплект"
О1
Эмаль АК-1239
О1
Эмаль "ЯрЛИ" АК-1340
У1, УХЛ1, 4/1
Эмаль АК-1341
У1
Эмаль АС-1383
У1, Т1
Эмаль (АК-1522) <*>
В1, 7/1, 8110 °C
--------------------------------
<*> Далее по всему тексту приложений обозначаются как эмаль АК-1522, эмаль АК-1523, грунтовка УР-0438, лак УР-797.
Эмаль АК-2130М
УХЛ4
Эмаль АК-5178М
У1
Поливинилацетальные
Эмаль ВЛ-515
В2, 4/1100 °C, 6/1150 °C, 6/2
Полистирольные
Композиция антикоррозионная (АК-1523) <*>
В1, 4, 8150 °C
Полиуретановые
Композиция антикоррозионная цинкнаполненная (Грунтовка УР-0438) <*>
В1, 4, 6, 7, 8150 °C
Грунт-эмаль УР-1513 "Уретан-Антикор"
У1, УХЛ1, ХЛ1
Композиция "Элакор-ПУ"-эмаль
УХЛ1
Композиция "Элакор-ПУ" "Стандарт"-эмаль
УХЛ1
Лак УРФ-1
У1, УХЛ1
Лак УР-145
УХЛ4
Лак УР-231, УР-231Л
В2, 9/1120 °C
Лак УР-268П
У2, Т3
Лак УР-293
УХЛ4
Лак (УР-797) <*>
В2, 6, 7, 8140 °C, 9/1
Лак УР-976
У2, 9/1130 °C
Лак УР-2197
УХЛ4
Лак УР-9130
УХЛ4, 9/1
Лак "Полиур"
УХЛ4
Эмаль УР-175
У1, Т1
Эмаль УРФ-1128
У1, УХЛ1, ХЛ1
Эмаль УР-1161
О1, 4/1, 4/2, 6/1, 6/2
Эмаль УР-1176
ОМ1, 4/2
Эмаль УР-1180
УХЛ1, Т1
Эмаль УР-1515 "Уретан-Антикор"
У1, УХЛ1, ХЛ1
Эмаль (УР-1519) <*>
В1, 6, 7, 8150 °C
--------------------------------
<*> Далее по всему тексту приложений обозначаются как эмали УР-1519, УР-1520, УР-1526.
Эмаль (УР-1520) <*>
В1, 4, 6, 7, 8150 °C
Эмаль УР-1524
О1, 4/1, 4/2, 6/1, 6/2, 7/1, 7/2, 7/3
Композиция антикоррозионная (Эмаль УР-1526) <*>
В1, 4, 6, 7, 8150 °C
Эмаль КПУ-1
О1
Эмаль КПУ-12
О1
Состав-консервант "Разноцвет"
У1, УХЛ1, ХЛ1
Полиэфирные насыщенные
Эмаль ПЛ-18
О1
Эмаль ПЛ-1348
О1
Эмаль ПЛ-1382
О1
Эмаль ПЭЦ-1140 базисная металлизированная
О1
Полиэфирные ненасыщенные
Лак ПЭ-232 по ГОСТ 23438
У2, Т2
Лак ПЭ-246
УХЛ4
Лак ПЭ-247
У2
Лаки ПЭ-250, ПЭ-250М
У2, Т2
Лак ПЭ-251
УХЛ4
Лак ПЭ-265
У2, Т2
Лаки ПЭ-284А, ПЭ-284Б
У2
Лак ПЭ-587
УХЛ4
Лак ПЭ-2136У
УХЛ4
Эмаль ПЭ-276
У2
Эмаль ПЭ-9114 ( 9114)
УХЛ1, Т1, ОМ1, 8180 °C
Полиэфирно-уретановые
Эмали "ЯрЛИ" УР-1368 Г, "ЯрЛИ" УР-1368 ПГ, "ЯрЛИ" УР-1368 М
В1, 4/1, 6/1, 6/2
Сополимеро-винилхлоридные
Краска ХС-11
У1
Лак ХС-76
У1, УХЛ1, ХЛ1, В2, 7/1, 7/2, 7/3
Лак ХС-724 по ГОСТ 23494
О2, 7/1, 7/2, 7/3, 7/4
Состав ХС-500
У1, О2, 7/1
Состав ХС-500 "Пигма"
У1, 7/1
Эмаль ХС-75У
У1, УХЛ1, ХЛ1, В2, 4/1, 6, 7/1, 7/2, 7/3, 7/4
Эмаль ХС-119 по ГОСТ 21824
О1, 6/1, 7/1
Эмали ХС-436С, ХС-436Т
У1, ОМ1, 4, 6/1
Эмаль ХС-510
ОМ1
Эмаль ХС-527
ОМ1, 4/2
Эмали ХС-558, ХС-558 "В"
У1, 5/4
Эмаль ХС-759 по ГОСТ 23494
У1, О2, 7/1, 7/3, 7/4
Эмаль ХС-5146
У1, УХЛ1, ХЛ1
Эмаль Дельта PRO-500
У1, УХЛ1, ХЛ1, 4/1, 7/1, 7/2, 7/3, 7/4
Эмаль СП-1266 С
УХЛ1
Фенольные
Краска ФЛ-59
У1, Т1
Краски жестепечатные
У1, Т1
Краски переплетные
У1
Эмаль ФЛ-254
7/1, 7/2, 7/3
Эмаль ФЛ-511
У1
Эмаль ФЛ-687
У2, Т2, 6/1150 °C, 6/2
Эмаль ФЛ-2128
УХЛ4
Эмаль ФЛ-5109
УХЛ4
Эмаль ФЛ-5233
УХЛ4
Фенолоалкидные
Эмаль ФА-5104
У1, 6/1, 6/2
Эмаль "ЯрЛИ" ФА-1393
УХЛ1, 4/1, 8200 °C
Фторопластовые
Эмаль ФП-545
О1
Эмаль ФП-566 <*>
-
--------------------------------
<*> Эмаль ФП-566 применяют для окрашивания металла по специальной технологии.
Эмаль "Винифтор" (ФП-1516) <**>
О1, 4, 6, 7/1, 7/2, 7/3
--------------------------------
<**> Далее по всему тексту приложений обозначается как эмаль ФП-1516, грунтовка ЭП-0439.
Хлорированные полиэтиленовые
Эмаль ХП-188 "Хапилен"
О1
Эмаль ХП-1267
О1
Эмаль ХП-1512 "Марион-Актикор"
У1, УХЛ1, ХЛ1, 7
Эмаль ХП-7120
О1, 4/1, 7/1, 7/2, 7/3, 7/4
Эмаль Дельта PRO-710
В1, 4/1, 7/1, 7/2, 7/3, 7/4
Эмаль "ЭнергоКор-4"
В1, 4/1, 7/1, 7/2, 7/3, 7/4
Эмаль "ЭнергоКор-7"
У1, УХЛ1, ХЛ1, 4/1
Эпоксидные
Грунтовка антикоррозионная цинкнаполненная (ЭП-0439) <**>
В1, 4, 6, 7, 8150 °C, 9/2
Грунт-эмаль ЭП-1-089 "Опал"
У2, УХЛ1, ХЛ1, 6/1, 7/4, 8100 °C
Грунт-эмаль ЭП-1112 "Корнет"
В1, 4, 6, 7/1, 7/3
Компаунд "Гамма"
УХЛ3, 6/1, 6/2, 7/1, 7/3, 7/4
Композиция "ГРЭМИРУСТ"
В1, 4/1, 4/2, 6/1, 7/1, 7/2, 7/4
Композиция ЭП-1-100 "Корника"
В1, 4/1, 4/2, 6/1, 6/2, 7/1, 7/2, 7/4, 9/1
Композиция ЭП-1-158
УХЛ4
Лак ЭП-730 по ГОСТ 20824
В2, 4/1, 7/1, 7/3, 7/4, 9155 °C
Лак ЭП-733
4/1, 7/2, 7/3, 8
Лак ЭП-2146
УХЛ4
Лак ЭП-9114
У2, Т2
Состав "Эпол-282"
УХЛ4
Эмаль ЭП-51 по ГОСТ 9640
В2
Эмаль ЭП-56
УХЛ4
Эмаль ЭП-91 по ГОСТ 15943
У2, Т2, ОМ2, 9/1180 °C
Эмаль ЭП-140 по ГОСТ 24709
В2, 7/1, 8250 °C, 9/1130 °C
Эмаль ЭП-148 по ГОСТ 10982
У2, О4
Эмаль ЭП-148 светло-голубая
У2, О4
Эмаль ЭП-191
У2
Эмаль ЭП-255 по ГОСТ 23599
У2, 4/1, 6/1, 6/2, 7/1
Эмаль ЭП-274
У2, Т2, 9/1155 °C
Эмаль ЭП-275 по ГОСТ 23599
У2, Т2, 4/1, 6/1, 6/2, 8200 °C
Эмаль ЭП-288 <*>
-
--------------------------------
<*> Эмаль ЭП-288 применяют для окрашивания полупроводниковых приборов из стали, ковара, никеля.
Эмаль ЭП-422
У2, УХЛ2, ХЛ2
Эмаль ЭП-439
В1, 4/1, 4/2, 5/1
Эмаль ЭП-525 по ГОСТ 22438
В2, 4/1100 °C, 4/2, 6/1, 6/2, 7/1, 7/2, 7/3, 7/4
Эмаль ЭП-525 "П"
О2
Эмаль ЭП-525 РБ
В2, 4/1100 °C, 6/1, 6/2, 7/1, 7/3
Эмаль ЭП-555 "Котолайн"
У1
Эмаль ЭП-567 по ГОСТ 22369
У2, Т2, 7/1
Эмаль ЭП-572
У1, Т1
Эмаль ЭП-575
У2
Эмаль ЭП-586
У2
Эмаль ЭП-711
У2, 7/1, 7/2, 7/3
Эмаль ЭП-715
У2
Эмаль ЭП-716
У2, Т2
Эмаль ЭП-773 по ГОСТ 23143
В2, 4/1, 6/1, 6/2, 7/1, 7/2, 7/3, 7/4, 9/1130 °C
Эмаль ЭП-773М марок А и Б
В2, 4/1, 5/1, 6/1, 6/2, 7/1, 7/2, 7/3, 7/4
Эмаль ЭП-793
У2, Т2
Эмаль ЭП-925
УХЛ2, 9/1
Эмаль ЭП-941Ш <**>
-
--------------------------------
<**> Эмаль ЭП-941Ш применяют для получения защитной маски при лужении и пайке плат, а также маркировке медицинских инструментов.
Эмаль ЭП-1143
У2, Т2
Эмаль ЭП-1155
У2, Т2, 4/1, 7/1, 7/4
Эмаль "ЯрЛИ" ЭП-1223
О2
Эмаль ЭП-1236
В1
Эмаль ЭП-1240
О2
Эмаль ЭП-1267
В1, 4, 6, 7/1, 7/3
Эмаль ЭП-1268
У1
Эмаль ЭП-1294, ЭП-1294М
В1
Эмаль ЭП-1299
У1, УХЛ1, ХЛ1, О2, В3
Эмаль "ЯрЛИ" ЭП-1302
В1, 4/1, 6, 7/4
Эмаль "ЯрЛИ" ЭП-1305
У1, УХЛ1, В2, 4/1, 6/1, 6/2
Эмаль ЭП-2114
О2
Эмаль ЭП-5155
У1
Эмаль ЭП-5261 Р
УХЛ4
Эмаль ЭП-5285
У1
Эмаль ЭП-5287
В1
Эмаль "ЯрЛИ" ЭП-5301
В1, 4/1, 6/1, 6/2
Эмаль "ЯрЛИ" ЭП-5308
У1, УХЛ1, В2, 4/1, 4/2, 6, 7/4
Эмаль ЭП-5327
У1
Эмаль "ЯрЛИ" ЭП-7126
В2, УХЛ2, 6, 7/1, 7/3, 7/4
Эмаль "Эпокур" ЭП-7142
В2
Эмаль ЭП-9111 ( 9111)
В1, 9155 °C
Эмаль Эпобен Б-ЭП-610
В1, 4/1, 4/2, 6/1, 6/2
Эмаль БЭП-5297 "Эповин"
4/1, 4/2, 6/1, 7
Эмаль Дельта PRO-510
В1, 4/1, 6/1, 6/2, 7/1, 7/2, 7/3, 7/4
Эмаль "Субкор" (ЭП-451) <***>
ОМ2, 4/1, 4/2
--------------------------------
<***> Далее по всему тексту приложений обозначается как эмаль ЭП-451.
Эмаль "Танкпейнт"
В1, 4/1, 4/2, 6
Эмали Эвикор-алюминиевая, Эвикор марок А, В, Т
УХЛ1, 4/1, 4/2, 6/2
Эмаль "Эмакоут-5311"
УХЛ1
Эмаль "ЭнергоКор-1"
В1, 4/1, 6/1, 6/2, 7/1, 7/2, 7/3, 7/4
Эмаль "ЭнергоКор-3"
В1, 4/1, 6/1, 7/3
Эмаль "ЭПИВИН"
УХЛ1
Эпоксистирольные
Эмаль ЭС-5299
У2, УХЛ2, ХЛ2, В3
Эпоксиэфирные
Эмали ЭФ-1118ПГ, ЭФ-1118ПМ, ЭФ-1118М по ГОСТ 5971
О2
Эмаль ЭФ-1219
У1, В2, ОМ1
Эмаль ЭФ-1242
У1, УХЛ1, О2
Эмали "ЯрЛИ" ЭП-1323 М, "ЯрЛИ" ЭП-1323 ПГ, "ЯрЛИ" ЭП-1323 Б
У1, О2, 4/1, 6/1, 6/2
Эмаль "ЯрЛИ" ЭП-1323 М ЖТ
УХЛ2
Эмаль ЭФ-1335 ( 1335)
У1
Этилсиликатные
Композиция антикоррозионная цинкнаполненная (Грунтовка ЭС-0422) <*>
В1, 4, 6, 7/4, 8150 °C
Композиция антикоррозионная (Эмаль ЭС-1524) <*>
В1, 4, 6, 7/4, 8150 °C
--------------------------------
<*> Далее по всему тексту приложений обозначаются как грунтовка ЭС-0422 и эмаль ЭС-1524.
Этрифталевые
Эмаль ЭТ-199
О1
Порошковые
Грунтовка П-ЭП-0130
У2, 7
Компаунд ПДФ-4
У2, Т2, 4, 6, 7, 8220 °C, 9/1220 °C
Компаунд ПДФ-10
У2, Т2, 4, 6, 7, 8220 °C, 9/1220 °C
Компаунд ЭП-49 А/1
У2, Т2, 4, 6, 8130 °C, 9/1130 °C
Компаунд ЭП-49 А/2
У2, Т2, 6, 8130 °C, 9/1130 °C
Компаунды ЭП-49 Д/1, ЭП-49С
У2
Компаунд ЭП-49 Д/2
У2
Композиция УП-2155
УХЛ4, 6, 8180 °C, 9/1180 °C
Композиция УП-2191 "А"
У2, Т2, 4, 6, 8125 °C, 9/1125 °C
Композиция УП-2191 "К"
У2, Т2
Краска ППК-101
Т1
Краска П-ПЛ-131
О2
Краска П-ПЛ-1010
У1
Краска П-ПЛ-1020
У1
Краска П-ПЛ-1030
У1
Краска П-ПЛ-1040
У1
Краска П-ПЛ-1050
У1
Лак П-ПЛ-1140
У1
Краска П-ПЛ-1104
У1
Краска П-ПЭ-1130У
О2, 4, 6, 8100 °C
Краска П-ЭП-45
О2, 4, 6, 7/1, 7/2, 7/3, 7/4, 8100 °C, 9/1100 °C
Краска П-ЭП-61
О2, 4, 6, 7, 8100 °C
Краски П-ЭП-91, П-ЭП-91-Н
О4
Краска П-ЭП-95
У2, Т2
Краска П-ЭП-134
О2, 4, 6, 7, 8100 °C
Краска П-ЭП-135
О4
Краски П-ЭП-177, П-ЭП-177(ОН)
О2, 4, 6, 7, 8120 °C, 9/1120 °C
Краски П-ЭП-219, П-ЭП-219(ОН)
О2, 4, 6, 7/1, 7/2, 7/3, 7/4, 8100 °C, 9/1100 °C
Краски П-ЭП-256, П-ЭП-256-У, П-ЭП-257, П-ЭП-258
О4
Краски П-ЭП-259, П-ЭП-259-Т, П-ЭП-259-ПГ, П-ЭП-259-ПМ, П-ЭП-259-М, П-ЭП-259-У
О4
Краска П-ЭП-534
В2, 4, 6, 7, 8120 °C, 9/1120 °C
Краска П-ЭП-585
У1, 4/1, 6/2
Краска П-ЭП-971
У2, Т2, 4, 6, 7, 8120 °C, 9/1120 °C
Краска П-ЭП-7120У
У2, 7
Краски "ПЭПЛАКС 1", "ПЭПЛАКС 2"
У2
Краски П-ЭП-ПЛ-102, П-ЭП-ПЛ-102Т
О2
Краска П-ЭП-ПЛ-104
О2
Краска П-ЭП-ПЛ-2060
У2
Краска П-ЭП-ПЛ-2070
У2
Краска П-ЭП-ПЛ-2080
У2
Краска П-ЭП-ПЛ-2090
У2
Краска П-ЭП-0305
О1
Краска ЭК-201
В2, 4/1
Краска ЭК-501
В2
Краска ЭК-801
В2, 4/1, 8150 °C
Краска ЭК-802
В2, 8150 °C
Краски ЭПК-202, ЭК-502
Т2
Краска ЭК-901
В2, 9/1
Краска "МЕДЛАК"
О4
Краска "ПАЙПЛАК"
О2, 4/1, 6/2, 7
Краска ОХТЭК-1
У1, УХЛ1, ХЛ1
Краска ОХТЭК-2
У2, УХЛ2, ХЛ2, 6/1
Краска ОХТЭК-3
О2, 4, 6, 880 °C
Краска ОХТЭК-трубная
В2, 4, 6, 7, 8100 °C
Краска "ТЕХНОЛАК"
У1, 6/2, 7, 9/1
Краска "УФОЛАК"
У1
Краска "ЭКОЛАК"
О4
Лак П-ПЛ-1140
У1
Лак П-ЭП-ПЛ-2100
У2
Фторопласт Ф-2М
У2, Т2, 4, 6, 7, 9/175 °C
Фторопласт Ф-3Б по ГОСТ 13744
У2, Т2, 4, 6, 7, 9/1125 °C
Фторопласт Ф-30-Б
У2, Т2, 4, 6, 7, 9/1170 °C
Фторопласт Ф-4МБП
У2, Т2, 4, 6, 7, 9/1250 °C
Фторопласт Ф-40-ДП
У2, Т2, 4, 6, 7, 9/1170 °C
Водоразбавляемые
Эмаль В-МА-1232
О1, В2
Эмаль В-МС-1252
У1
Эмаль В-МС-1279
У1
Эмаль В-ПЭ-1179
О1
Эмаль В-ФЛ-1199
О1
Краска В-ЭП-012
У1, 6, 7/3
Эмаль "ЯрЛИ" В-ЭФ-1372
У2, УХЛ1, 4/1, 6/1
Эмаль УР-1154 водоразбавляемая
У2
Краска "ГАММА-ВЭП"
У1, УХЛ2, 6/1, 6/2, 7/3, 7/4
Водоразбавляемые для электроосаждения
Грунт-эмаль В-МЧ-11
О1
Эмаль В-МС-278М, В-МС-278МК
У2, Т3
Эмаль В-ФЛ-1199Э
О2
Эмаль В-ЭП-2100
О2
Водно-дисперсионные
Грунт-краска ВД-АК-1-097
УХЛ4
Грунт-краска "Акрокор-1"
УХЛ1
Грунт-краска "Акрокор-2"
УХЛ1
Композиция ВАК-01
УХЛ1
Композиция ВАК-25
УХЛ1
Композиция ВАК ВД-АК-012ПК
УХЛ1
Композиция ВАК ВД-АК-014ПК
УХЛ1
Композиция ВАК ВД-АК-015ПК
УХЛ1
Композиция ВАК ВД-АК-016ПК
УХЛ1
Композиция ВАК ВД-АК-017ПК
УХЛ1
Композиция ВАК ВД-АК-018ПК
УХЛ1
Композиция ВАК ВД-АК-01110
У1
Композиция ВАК ВД-АК-125
УХЛ1
Композиция ВАК ВД-АК-125КО
УХЛ1
Композиция ВАК ВД-АК-125Ц
УХЛ1
Композиция ВАК ВД-АК-127
УХЛ1
Композиция ВАК ВД-АК-1401
У1
Композиция ВАК ВД-АК-1601
У1
Композиция ВАК ВД-АК-1602
У1
Композиция ВАК ВД-АК-2401
УХЛ4
Композиция ВАК ВД-АК-2402
УХЛ4
Композиция ВАК ВД-АК-2403
УХЛ4
Композиция ВАК ВД-АК-2404
УХЛ4
Композиция ВАК ВД-АК-2405
УХЛ4
Композиция ВАК ВД-АК-2501
УХЛ4
Композиция ВАК ВД-АК-2502
УХЛ4
Композиция ВАК ВД-АК-2503
УХЛ4
Композиция ВАК ВД-АК-2603
УХЛ4
Композиция ВАК ВД-АК-2606ГС
УХЛ4
Композиция ВАК ВД-ЖС-011
УХЛ1
Композиция ВАК ВД-ЖС-125
УХЛ1
Композиция ВАК ВД-КО-11
УХЛ1
Композиция ВАК ВД-КС-011
УХЛ1
Композиция ВАК ВД-КС-021ПК
УХЛ4
Композиция ВДМ-ДН ВД-АК-1411
У1
Композиция ВДМ-ДН ВД-АК-1611
У1
Краски ВД-КЧ-26, ВД-КЧ-26А по ГОСТ 28196
УХЛ4
Краска ВД-КЧ-101
У1
Краска ВД-КЧ-201
УХЛ4
Краска ВД-КЧ-227
УХЛ4
Краска ВД-ПФ-136
У1
Краска ВД-ПФ-180
У1
Краска ВД-ПФ-1321
У1
Краски ВД-АК-1-097, ВД-АК-1-097Ф
У1
Краска ВД-АК-2-097П
УХЛ4
Краски ВД-АК-101, ВД-АК-101Ш
У1
Краска ВД-АК-111 по ГОСТ 28196
У1
Краска ВД-АК-117
У1
Краска ВД-АК-122
УХЛ1
Краска ВД-АК-130 "Рельеф"
У1
Краска ВД-АК-133 "Гамма-Аква"
У1
Краска ВД-АК-134
У1
Краска ВД-АК-192
У1
Краска ВД-АК-192 "ЭнергоКор-5"
У1, УХЛ1, ХЛ1, 4/1
Краска ВД-АК-201
УХЛ4
Краски ВД-АК-224, ВД-АК-226
У2
Краски ВД-АК-228 "ОП" и "ОС"
УХЛ4
Краски "ЯрЛИ" ВД-АК-235, "ЯрЛИ" ВД-АК-236
У3, 4/1
Краска АКВАЛАЙН для влажных помещений ВД-АК-282
УХЛ4, 4/1
Краска ВД-АК-528 "Зебра"
У1
Краска ВД-АК-1111
У1, УХЛ1, ХЛ1, 4/1
Краска ВД-АК "Гамма-Элан"
УХЛ1, ОМ1, 6/1, 7/2
Краски "Полифан" ВД-АК-1ФО, "Полифан" ВД-КЧ-1ФО
У1, УХЛ1, 4
Краска ВД-ВА-27А
УХЛ4
Краска ВД-ВА-224
У2
Краски ВД-ВА-251, ВД-ВА-252
УХЛ4
Краска АКВАЛАЙН ВД-ВА-281
УХЛ4, 4/1
Краска ВД-ЭП-012
У1, 6, 7/3
Краска АКВАЛАЙН для потолков
УХЛ4
Краска "АкваКор"
УХЛ1, 4/1, 5/4
Краски "Аквест 4", "Аквест 7", "Аквест фасад"
У1
Краска "Акреал-Люкс"
У1
Краска "АКРЭМ-Металл"
УХЛ1, 6/1, 6/2
Краска "АКРЭМ-Уретал"
УХЛ1
Краски "Котакс"
У1
Краска "Котакс-Люкс"
У1
Краска "Кралат"
У1
Краска "МетаТэкс-А"
УХЛ1, 4/1, 6, 8250 °C, 7/4
Краска "МетаТэкс-М"
УХЛ1, 4/1, 6, 8250 °C, 7/4
Краска-грунтовка "УХРА-1503" (ВД-АК-1503) <*>
УХЛ1
--------------------------------
<*> Далее по всему тексту приложений обозначается как краска-грунтовка ВД-АК-1503.
Лак "ЯрЛИ" ВД-АК-1101
У2, 5/3
Лак "ЯрЛИ" ВД-АК-1102
УХЛ1, О4, 4/1
Лак "ЯрЛИ" ВД-АК-1106
У1
Лак "АКВОС"
УХЛ1, 4/1
Состав ВД-ПФ-114 "Диплакс"
У1
Состав огнезащитный "ЯрЛИ" ВД-АК-510 (ПИРО-АКВА)
У2, 5/3
Состав огнезащитный "ЯрЛИ" ВД-АК-511
У2, 5/3
Состав "Декор "Шуба ФС"
У1, 4/1
Состав "ТОНОТЕКС"
У1
Состав "ТЭКОТЕКС"
У1
Эмаль ВД-ПФ-1324
У1, 4, 6/1, 6/2
Эмаль "ЯрЛИ" ВД-АК-1308
У1, УХЛ1, 4/1
Эмаль ВД-АК-1309 ЖТ
УХЛ1
Эмаль ВД-АК-1314
У1, УХЛ1, 4/1
Эмаль ВД-АК-1364
У1, УХЛ1, О4, 4/1, 5/4
Эмаль ВД-АК-2150
УХЛ4
Эмаль "Акрилакс"
У1
Эмаль "Акрокор"
УХЛ1
Примечания. 1. Материалы, предназначенные для условий эксплуатации при категории размещения 1, могут применяться в условиях при категории размещения 2, 3; предназначенные для условий при категории размещения 2 - в условиях при категории размещения 3.
2. Материалы, предназначенные для эксплуатации при категории размещения 1, 2, 3, могут применяться в условиях при категории размещения 4 при наличии положительных результатов санитарно-химических исследований покрытий.
3. Лакокрасочные материалы, выпускаемые по техническим условиям, имеют зарегистрированные каталожные листы в соответствии с ГОСТ 2.114 <*>.
4. Для покрытий эмалями ЭП-1236, ЭП-1294, ЭП-1294М, ЭП-5287, В-МА-1232, в условиях Т1, О1, ОМ1, В1 допускается изменение декоративного вида до балла 5 по ГОСТ 9.407.
5. Для покрытий композициями "ГРЭМИРУСТ" и ЭП-1-100 "КОРНИКА" в условиях Т1, О1, ОМ1, В1 допускается изменение декоративных свойств до балла 4 по ГОСТ 9.407.
6. Эмали МЛ-165, МЛ-165 ПМ образуют покрытия стойкие до температуры 130 °C в условиях УХЛ4.
--------------------------------
<*> На территории Российской Федерации в части требований к разработке и оформлению ТУ на пищевые продукты действует ГОСТ Р 51740-2001 (здесь и далее).
Таблица 2
Перечень материалов первичного
и промежуточного слоев лакокрасочного покрытия
Марка материала
Обозначение условий эксплуатации по ГОСТ 9.104 и ГОСТ 9.032
Алкидно-акриловые
1. Грунтовка АС-071
У1
Акрил-уретановые
2. Грунтовка АК-0291
У1, УХЛ1, ХЛ1
3. Грунтовка "ЯрЛИ" АК-0293
В1, 4/1, 4/2, 6/1, 6/2
4. Грунтовка "ЯрЛИ" УР-0273 В
В1, 4/1, 4/2, 6/1, 6/2
Глифталевые
5. Грунтовка ГФ-017
В1
6. Грунт-шпатлевка ГФ-018
В1
7. Грунтовка ГФ-021 по ГОСТ 25129
У1, 6/1
8. Грунтовка ГФ-021 "Виктория"
О1, 6/1
9. Грунтовка ГФ-021 "Л"
У1, 6/1
10. Грунтовка ГФ-021 "Люкс"
У1, 6/1
11. Грунтовка ГФ-021 серая
У1
12. Грунтовка ГФ-031
У1, 7/1, 7/2, 7/3, 7/4
13. Грунтовка ГФ-032
У1, 6/1, 7/1, 7/2, 7/3, 7/4
14. Грунтовка ГФ-0119 по ГОСТ 23343
В1
15. Грунтовка ГФ-0163
У1, УХЛ1, 4/1, 6/1, 6/2, 7/1
16. Грунтовка ГФ-0308
УХЛ1
17. Грунтовка АГЗ-К антикоррозионная графитовая
УХЛ1
18. Грунтовка АГЗ-Х антикоррозионная графитовая химстойкая
УХЛ1
19. Эмаль ГФ-571
В1
Канифольные
20. Грунтовка КФ-030
У1
Кремнийорганические
21. Грунтовка КО-052
У1, УХЛ1, ХЛ1
Карбамидные
22. Шпатлевка МЧ-0054
УХЛ4
Каучуковые
23. Грунтовка "Гермокрон"
УХЛ2
24. Состав "Гермокрон-ЖД"
УХЛ2
Масляно- и алкидно-стирольные
25. Грунтовка МС-067
У1, 4/2
26. Шпатлевка МС-006
У1, Т1
Меламинные
27. Грунтовка МЛ-029
У1, 6/1, 6/2
28. Грунтовка МЛ-064
У1, Т1
Нитроцеллюлозные
29. Грунтовка НЦ-0135
УХЛ4
30. Грунтовка НЦ-0140
У1
31. Грунтовка НЦ-0205
УХЛ4
32. Грунтовка НЦ-0302
У1
33. Шпатлевка НЦ-008 по ГОСТ 10277
У1
Пентафталевые
34. Грунтовка КПФ-01
УХЛ1
35. Грунтовка ПФ-025
У1
36. Грунтовка ПФ-031
У1, УХЛ1, ХЛ1
37. Грунтовка ПФ-0244
В1
38. Грунтовка ПФ-0260
У1
39. Грунтовка "ЯрЛИ" ПФ-0294
В1, О2
40. Грунтовка "ПФ-ВЕГА-ЖД"
УХЛ2
41. Грунтовка "Кронос-Спринт"
УХЛ1
42. Грунтовка "Ореол"
У1
43. Грунтовка "Праймер Обь-ЖД"
УХЛ2
44. Состав деревозащитный ПФ-11
У1
45. Шпатлевка ПФ-002
У1, Т1
Полиакриловые
46. Грунтовка АК-069 по ГОСТ 25718
У1, Т1, 4/1, 4/2, 6/1, 6/2, 7/1
47. Грунтовка АК-070 по ГОСТ 25718
В1, 4/1, 4/2, 6/1, 6/2, 7/1, 7/2, 7/3, 7/4, 9/1
48. Грунтовка АК-070М по ГОСТ 25718
В1, 4/1, 4/2, 6/1, 6/2, 7/1, 7/2, 7/3, 7/4, 9/1
49. Грунтовка АК-0138
У1, Т1
50. Грунтовка АК-0209
В1
51. Грунтовка "ЯрЛИ" АК-0267 проникающая
У1, УХЛ1
52. Грунтовка "ЯрЛИ" АК-0295
В1, О2, 4/1, 6/1
53. Лак АК-5242
У1
54. Состав АК-027 пропиточный
О1
55. Шпатлевка АК-0012
У1
Перхлорвиниловые и поливинилхлоридные
56. Грунтовка ХВ-050
О1, 4/1, 6/1, 6/2, 7/1, 7/2, 7/3, 7/4
57. Грунтовка ХВ-0265
О1
58. Грунт-эмаль по ржавчине ХВ-0278
В1, 6/1, 6/2, 7/4
59. Грунтовка Дельта PRO-01
В1, 4/1, 6/1, 7/3
60. Лак ХВ-148
У1
61. Шпатлевка ХВ-004
У1, Т1
62. Шпатлевка ХВ-0015
У1
63. Шпатлевка ХВ-0018
УХЛ4
Поливинилацетальные
64. Грунтовка ВЛ-02 по ГОСТ 12707
В1, 4/1, 4/2, 6/1, 6/2, 7/1, 7/2, 7/3, 7/4, 9/1
65. Грунтовка ВЛ-02 по ГОСТ 12707 с алюминиевой пудрой по ГОСТ 5494
В1, 4/1, 6/1, 6/2, 7/1, 7/2, 7/3, 7/4
66. Грунтовка ВЛ-023 по ГОСТ 12707
В1, 4/1, 4/2, 6/1, 6/2, 7/1, 7/2, 7/3, 7/4
67. Грунтовка ВЛ-023 по ГОСТ 12707 с алюминиевой пудрой по ГОСТ 5494
В1, 4/1, 6/1, 6/2, 7/1, 7/2, 7/3, 7/4
68. Грунтовка ВЛ-05
У1, ОМ1, 4, 6
69. Грунтовка ВЛ-09
В1
70. Грунтовочный лак ВЛ-278
У2
Полиуретановые
71. Грунтовка УРФ-0106
У1
72. Грунтовка УРФ-0110
У1
73. Грунтовка УР-0131
Т1
74. Грунтовка УР-0432 "Уретан-Антикор"
У1, УХЛ1, ХЛ1, ОМ1
75. Грунтовка УР-0432 "Уретан-Антикор-протектор"
У1, УХЛ1, ХЛ1, ОМ1
76. Грунтовка УР-0438
В1, 4, 6, 7, 8150 °C
77. Грунтовка УР-0442
О1
78. Грунтовка КПУ-02
О1
79. Эмаль УР-1513 "Уретан-Антикор"
У1, УХЛ1, ХЛ1
80. Эмаль УР-1520
В1, 4, 6, 7, 8150 °C
81. Эмаль УР-1526
В1, 4, 6, 7, 8150 °C
Полиэфирные насыщенные
82. Грунтовка ПЛ-07
О1
83. Грунтовка ПЛ-0213
В1
Полиэфирные ненасыщенные
84. Грунтовка ПЭ-047
У1, УХЛ1, ХЛ1
85. Грунтовка ПЭ-0211
УХЛ4
86. Шпатлевка ПЭ-0025
У1
87. Шпатлевка ПЭ-0044
У1
88. Шпатлевка ПЭ-0089
О1
Сополимеро-винилхлоридные
89. Грунтовка ХС-04
У1
90. Грунтовка ХС-04 "В"
У1
91. Грунтовка ХС-010
В1, 4/1, 4/2, 6/1, 6/2, 7/1, 7/2, 7/3, 7/4
92. Грунтовка ХС-059 по ГОСТ 23494
О1, 4/1, 6/1, 6/2, 7/1, 7/2, 7/3, 7/4
93. Грунтовка ХС-068
В1, 6/1, 6/2, 7/1, 7/2, 7/3, 7/4
Фенольные
94. Грунтовка ФЛ-03Ж по ГОСТ 9109
В1, 4/1, 4/2, 6/1, 6/2, 7/1, 7/2, 7/3, 7/4
95. Грунтовка ФЛ-03К по ГОСТ 9109
У1, Т1, ОМ1, 4/1, 6/1, 6/2, 7/1, 7/2, 7/3, 7/4, 9/1
96. Грунтовка ФЛ-05К
У1
97. Грунтовка ФЛ-086 по ГОСТ 16302
У1, Т1, 4/1, 7/1, 7/2
98. Грунтовка ФЛ-087
У1, Т2, 6/1, 6/2
Фенолоалкидные
99. Грунтовка ФА-014
УХЛ1
Эпоксидные
100. Композиция ЭП-1-100 "Корника"
В1
101. Грунтовка ЭП-09Т
В1, 4/1, 6/1, 6/2, 7/1, 9
102. Грунтовка ЭП-045
В1, 7/1, 7/2, 7/3, 7/4
103. Грунтовка ЭП-057
В1, 4/1, 6/1, 6/2, 7/1, 7/3, 7/4
104. Грунтовка ЭП-076
В1, 4/1, 6/1, 6/2, 7/1
105. Грунтовка ЭП-0107
У1, 7/1, 7/2, 7/3
106. Грунтовка ЭП-0109
О2
107. Грунтовка ЭП-0156
В1, 4/1, 6/1, 6/2
108. Грунтовка ЭП-0180
У1, УХЛ1, ХЛ1, 4/1, 4/2, 6/1, 6/2, 7/1, 7/3, 7/4, 8100 °C
109. Грунтовка "ЯрЛИ" ЭП-0182
В1
110. Грунтовка ЭП-0199, ЭП-0199 "Инкор"
В1, 4/1, 4/2, 7/1
111. Грунтовка ЭП-0199 "Пигма"
У1
112. Грунтовка ЭП-0200
О1
113. Грунтовка ЭП-0208
О1
114. Грунтовка ЭП-0215
О1
115. Грунтовка ЭП-0228
В1
116. Грунтовка ЭП-ПЛ-0235
О1
117. Грунтовка ЭП-0259
В1
118. Грунтовка ЭП-0263 С ("Праймер-17")
В1, 4/2
119. Грунтовка ЭП-0266
У1, УХЛ1, ХЛ1
120. Грунтовка ЭП-0270
О1
121. Грунтовки "ЯрЛИ" ЭП-0280, "ЯрЛИ" ЭП-0280 ГЛ
В1, 4/1, 6/1, 6/2, 7/1, 7/4
122. Грунтовка "ЯрЛИ" ЭП-0281
В1, 4/1, 4/2, 6/1, 6/2
123. Грунтовка "ЯрЛИ" ЭП-0282
В1, 4/1, 4/2, 7/4
124. Грунтовки "ЯрЛИ" ЭП-0283, "ЯрЛИ" ЭП-0283 ОУ
В1, 4/1, 4/2, 7/2, 7/3, 7/4
125. Грунтовка "ЯрЛИ" ЭП-0286
В1
126. Грунтовка "ЯрЛИ" ЭП-0287
В1, 4/1, 6, 7/4
127. Грунтовка "ЯрЛИ" ЭП-0289
В1, 4/1, 4/2, 7/4
128. Грунтовка "ЯрЛИ" ЭП-0296
У1
129. Грунтовка Эпобен Б-ЭП-0261
В1, 4, 6/1, 6/2
130. Грунтовка "Эпокур" ЭП-0316
В1
131. Грунтовка "Влагокор" (ЭП-0436) <*>
У1, В2, 6/2, 7/1
--------------------------------
<*> Далее по тексту и в таблицах настоящего стандарта обозначается как грунтовка ЭП-0436.
132. Грунтовка ЭП-0439
В1, 4, 6, 7, 8150 °C , 9/2
133. Грунтовка ВГ-28
УХЛ1
134. Грунтовка "Танкпрайм"
В1, 4, 6/1, 6/2
135. Грунтовка Эпипрайм марки А
В1, 4/1, 4/2
136. Грунтовка Эпипрайм марки Б
В1, 4/1, 6/1, 6/2, 7/1
137. Грунтовка Эпипрайм марки Т
В1, 4/1, 4/2, 7/1
138. Шпатлевка ЭП-0010 по ГОСТ 28379
В1, 4/1, 6/1, 7/1, 7/2, 7/3, 7/4, 9
139. Шпатлевка ЭП-0020
У2
Эпоксиэфирные
140. Грунтовка ЭФ-065
В1
141. Грунтовка ЭФ-0121
У1, 4/1, 6/1, 6/2
142. Грунтовка ЭФ-0137
В1, 4/1, 6/1, 6/2
143. Грунтовка "ЯрЛИ" ЭФ-0292
В1
144. Эмаль ЭФ-1219
У2
Этилсиликатные
145. Грунтовка ЭС-0422
В1, 4, 6, 7/4, 8 150 °C
Порошковые
146. Грунтовка П-ЭП-0130
У2, 7
147. Грунтовка П-ЭП-0305
У1
Водоразбавляемые
148. Грунтовка В-МЛ-0143 по ГОСТ 24595
В1
149. Грунтовка В-МЛ-0160
В1
150. Грунтовка В-МЛ-0275
О1
Водоразбавляемые для электроосаждения
151. Грунтовка В-КФ-093
В1
152. Грунтовка В-КЧ-0207
В1
153. Грунтовка В-КЧ-0254
У2, УХЛ2, ХЛ2
154. Грунтовка В-ЭП-0101
В1
155. Грунтовка В-ЭП-0103
В1
156. Грунтовка В-ЭП-0190
В1
157. Грунтовка В-ЭП-0196
В1
Водно-дисперсионные
158. Грунтовка АКВАЛАЙН ВД-КЧ-083
У1
159. Грунтовка по ржавчине АКВАЛАЙН ВД-КЧ-083
У1
160. Грунтовка ВД-КЧ-0176
О1
161. Грунтовка ВД-КЧ-0247
УХЛ1
162. Грунтовка ВД-АК-034
У1
163. Грунтовка АКВАЛАЙН ВД-АК-0106 глубокопроникающая
У1
164. Грунтовка ВД-АК-0-150
У1
165. Грунтовка "ЯрЛИ" ВД-АК-0247
УХЛ1, 4/1
166. Грунтовка ВД-АК-0284
У1, УХЛ1, О4, 4/1, 5/4
167. Грунтовка "ЯрЛИ" ВД-АК-0285 проникающая
У1, УХЛ1, 4/1
168. Грунтовка ВД-АК "ГАММА-Элан"
УХЛ1, ОМ1, 6/1, 7/2
169. Грунтовка ВД-АК-0298
У1
170. Грунтовка ВД-ВА-0112
У1, УХЛ1, ХЛ1, 4/1, 4/2, 6/2
171. Грунтовка "Акрилакс"
У1
172. Грунтовка "Антигриб"
УХЛ1, 5/4
173. Грунтовка - преобразователь ржавчины "Кронос"
УХЛ1
174. Грунтовки "Уникор-ЖД", "Уникор-К", "Уникор-М"
У1
175. Грунтовка "ЭнергоКор-5"
У1, УХЛ1, ХЛ1, 4/1
176. Грунт-краска ВД-АК-1-097
У1, УХЛ4
177. Композиция ВАК-01
УХЛ1
178. Композиция ВАК-001
УХЛ1
179. Композиция ВАК-25
УХЛ1
180. Композиция ВАК ВД-АК-012ПК
УХЛ1
181. Композиция ВАК ВД-АК-013ПК
УХЛ1
182. Композиция ВАК ВД-АК-014ПК
УХЛ1
183. Композиция ВАК ВД-АК-015ПК
УХЛ1
184. Композиция ВАК ВД-АК-017ПК
УХЛ1
185. Композиция ВАК ВД-АК-01110
У1
186. Композиция ВДМ-ДМ ВД-АК-01111
У1
187. Композиция ВДМ-ДН ВД-АК-01112
У1
188. Композиция ВДМ-ДН ВД-АК-01114
У1
189. Композиция ВДМ-ДН ВД-АК-01115
У1
190. Композиция ВАК ВД-АК-02103
УХЛ4
191. Композиция ВАК ВД-АК-00126
УХЛ1
192. Композиция ВАК ВД-АК-125КО
УХЛ1
193. Композиция ВАК ВД-АК-125Ц
УХЛ1
194. Композиция ВАК ВД-АК-125
УХЛ1
195. Композиция ВАК ВД-ЖС-011
УХЛ1
196. Композиция ВАК ВД-ЖС-125
УХЛ1
197. Композиция ВАК ВД-КС-021ПК
УХЛ4
198. Композиция ВАК ВД-КС-0112
УХЛ1
199. Краски "Полифан" ВД-КЧ-1ФА, "Полифан" ВД-АК-1ФА
У1, УХЛ1, 4
200. Краска-грунт "МетаТэкс-М"
УХЛ1
201. Краска-грунтовка ВД-АК-1503
УХЛ1
202. Пропитка "Котакс-Праймер"
УХЛ4
203. Состав глубокого проникновения ВД-АК-0315 "ЭнергоКор-5"
У1, УХЛ1, ХЛ1, 4/1
204. Шпатлевки ВД-АК-001, ВД-АК-002, ВД-АК-003
У1
205. Шпатлевка "ЯрЛИ" ВД-АК-0091
У1, УХЛ1
206. Шпатлевка ВД-АК-0114
У1
207. Шпатлевка АКВАЛАЙН ВД-АК-0016
У1
Примечания. 1. Материалы, предназначенные для эксплуатации при категории размещения 1, 2, 3, могут применяться в условиях при категории размещения 4 при наличии положительных результатов санитарно-химических исследований покрытий.
2. Материалы, выпускаемые по техническим условиям, имеют зарегистрированные каталожные листы в соответствии с ГОСТ 2.114.
3. Композиции ВАК марок ВД-АК-12ПК, ВД-АК-014ПК, ВД-АК-015ПК, ВД-АК-017ПК, ВД-АК-018ПК применяют для промежуточных слоев и внешнего слоя покрытия.
Приложение 1
Рекомендуемое
ПЕРЕЧЕНЬ ЛАКОКРАСОЧНЫХ МАТЕРИАЛОВ
И ИХ СОЧЕТАЕМОСТЬ ДЛЯ ОКРАШИВАНИЯ МЕТАЛЛОВ
Таблица 1
Перечень материалов, применяемых для металлов
без предварительного грунтования
Марка материала
Обозначение условий эксплуатации по ГОСТ 9.104 и ГОСТ 9.032
Применяемость материалов
Сталь, чугун
Сталь
Сплавы
окисленная
оцинкованная
кадмированная
алюминиевые
медные
магниевые
Алкидно-акриловые
1. Лак АС-16
У1
-
-
-
-
+
-
-
2. Лак АС-82
У2, Т2
-
-
-
+
+
+
-
3. Лак АС-176, АС-176 М
У2, Т2
-
-
-
-
+
-
-
4. Эмали АС-1101, АС-1101 "М"
У1, Т2
-
-
-
-
+
-
-
5. Эмаль "ЯрЛИ" АС-1280
О2
+
-
-
-
-
-
-
6. Эмаль "ЯрЛИ" АС-5305
О1
+
-
-
-
-
-
-
Акрил-уретановые
7. Грунтовка "ЯрЛИ" АК-0293
УХЛ1
+
-
+
-
+
-
-
8. Эмаль "ЯрЛИ" АК-1316
У3, УХЛ1
+
-
+
-
+
-
-
9. Эмали "ЯрЛИ" АК-1349 ПМ, "ЯрЛИ" АК-1349 М, "ЯрЛИ" АК-1349 ГЛ
УХЛ1
+
-
+
-
+
-
-
10. Эмали "ЯрЛИ" АК-1379 М, "ЯрЛИ" АК-1379 ГЛ
УХЛ1
+
-
+
-
+
-
-
Битумные
11. Лак БТ-577
У2
+
-
-
-
-
-
-
12. Лак БТ-783
У2
+
-
-
-
-
-
-
13. Эмаль БТ-177
У1, 8200 °C
+
-
-
-
+
-
-
14. Эмаль БТ-1141
У1
+
-
-
-
-
-
-
Глифталевые
15. Лак ГФ-95 с алюминиевой пудрой
У1, Т2, 8300 °C, 6/1200 °C
+
-
-
-
+
+
-
16. Лак ГФ-166
У2
+
-
-
-
-
-
-
17. Эмали ГФ-92ХС, ГФ-92ГС
У2, УХЛ2, 9/1130 °C
+
-
-
-
-
-
-
18. Эмаль ГФ-820
УХЛ4, 8300 °C, 6/1120 °C
+
-
-
-
+
-
+
Карбамидные
19. Эмаль МЧ-123
У1, УХЛ2, ХЛ2
+
-
-
-
-
-
-
Каучуковые
20. Эмаль КЧ-190
У2
+
-
-
-
-
-
-
Кремнийорганические
21. Грунтовка КО-0441
В1, 4, 5/4, 6, 7/4, 8350 °C
+
-
-
-
-
-
-
22. Эмаль КО-88
О2, 8500 °C
+
-
-
-
+
-
-
23. Эмали КО-811, КО-811К
О2, 8400 °C
+
-
-
-
+
+
-
24. Эмаль КО-813
О2, 8500 °C
+
-
-
-
-
-
-
25. Эмаль КО-814
О2, 8400 °C
+
-
-
-
-
-
-
26. Эмаль КО-822
У2, 8300 °C
+
-
-
-
+
-
-
27. Эмаль КО-828
О2, 8400 °C
+
-
-
-
+
-
-
28. Эмаль КО-935
О2, 9/1180 °C
+
-
-
-
+
+
-
29. Эмаль КО-976
О2, 9/1180 °C
+
-
-
-
+
+
-
30. Эмаль КО-8104, марка А
У1, 8400 °C
+
-
-
-
-
-
-
31. Эмаль КО-8104, марка Б
У1, 8600 °C
+
-
-
-
-
-
-
Меламинные
32. Лак МЛ-92
У2, Т2
-
-
-
-
+
+
-
33. Лак МЛ-133
У1
+
-
+
-
+
-
-
34. Эмаль МЛ-104
У1, Т2
+
-
-
-
+
-
-
35. Эмаль МЛ-148
УХЛ4
+
-
-
-
-
-
-
36. Эмаль МЛ-1203
У2
+
-
-
-
-
-
-
Нитроцеллюлозные
37. Лак НЦ-62
УХЛ4
+
-
-
-
-
-
-
38. Лак НЦ-134 с алюминиевой пудрой
У2
+
-
-
-
-
-
-
39. Эмаль НЦ-273 с алюминиевой пудрой
У2
+
-
-
-
-
-
-
40. Эмаль НЦ-5123
У2, 6/1
+
-
-
-
-
-
-
Органосиликатные
41. Композиция ОС-12-01
У1, 8300 °C
+
-
-
-
+
-
-
42. Композиция ОС-12-03
УХЛ1, 8300 °C
+
-
-
-
+
-
-
43. Композиция ОС-51-03
УХЛ1
+
-
-
-
+
-
-
Пентафталевые
44. Лаки ПФ-170, ПФ-171
У1, УХЛ1, ХЛ1
+
-
-
-
+
-
-
45. Лаки ПФ-170, ПФ-171 с алюминиевой пудрой
О1, 8300 °C
+
-
-
-
+
-
-
46. Эмаль ПФ-120
У1, УХЛ1
+
-
-
-
-
-
-
47. Эмаль ПФ-837
6/1120 °C, 8300 °C
+
-
-
-
-
-
-
48. Эмаль ПФ-910 <*>
-
+
-
-
-
-
-
-
--------------------------------
<*> Эмаль ПФ-910 применяют для окрашивания металлов, подлежащих электросварке.
49. Эмаль ПФ-1148 "ВЭ"
У1
+
-
-
-
-
-
-
50. Эмаль ПФ-1189
У1
+
-
-
-
-
-
-
51. Эмаль "ЯрЛИ" ПФ-1315
УХЛ1, О2
+
-
+
-
+
-
-
52. Эмаль "ЯрЛИ" ПФ-1387
УХЛ1, О2
+
-
+
-
+
+
-
Перхлорвиниловые и поливинилхлоридные
53. Грунтовка ХВ-0265
У1, УХЛ1, ХЛ1
+
-
-
-
-
-
-
54. Грунт-эмаль по ржавчине "ЯрЛИ" ХВ-0278
У1, УХЛ1, 6/1, 6/2, 7/4
+
+
-
-
-
-
-
55. Лак ХВ-5179
УХЛ2
+
-
-
-
-
-
-
56. Эмаль "Эвинал-28"
У1, 4, 6
+
-
-
-
-
-
-
Полиакриловые
57. Грунтовка АК-0440
В1, 4, 7/4, 8150 °C
+
-
-
-
-
-
-
58. Лаки АК-113, АК-113Ф
У1, Т2
+
-
-
+
+
+
-
Поливинилацетальные
59. Эмаль ВЛ-515
В2, 4/1100 °C, 6/1150 °C, 6/2
+
-
-
-
+
-
-
Полиуретановые
60. Грунтовка УР-0432 "Уретан-Антикор"
У1, УХЛ1, ХЛ1, ОМ1
+
-
-
-
-
-
-
61. Грунтовка УР-0432 "Уретан-Антикор-протектор"
У1, УХЛ1, ХЛ1, ОМ1
+
-
-
-
-
-
-
62. Грунтовка УР-0438
В1, 4, 6, 7, 8150 °C
+
-
-
-
-
-
-
63. Лак УРФ-1
У1, УХЛ1
+
-
-
-
-
-
-
64. Лаки УР-231, УР-231Л
В2, 9/1120 °C
+
-
+
+
+
-
-
65. Лак УР-268П
У2, Т3
+
-
-
-
+
-
-
66. Лак УР-797
В2, 6, 7
+
-
-
-
-
-
-
67. Лак УР-976
У2, 9/1130 °C
+
-
-
-
-
+
-
68. Состав-консервант "Разноцвет"
У1, УХЛ1, ХЛ1
+
-
-
-
-
-
-
69. Эмаль УР-1519
В1, 6, 7, 8150 °C
70. Эмаль УР-1520
В1, 4, 6, 7, 8150 °C
+
-
-
-
-
-
-
71. Эмаль УР-1526
В1, 4, 6, 7, 8150 °C
+
-
-
-
-
-
-
Полиэфирные насыщенные
72. Грунтовка ПЛ-0213
О2
+
-
+
-
-
-
-
Полиэфирные ненасыщенные
73. Эмаль ПЭ-9114
В1, 9180 °C
+
-
-
-
-
-
-
Полиэфирноуретановые
74. Эмали "ЯрЛИ" УР-1368 Г, "ЯрЛИ" УР-1368 ПГ, "ЯрЛИ" УР-1368 М
О2
+
-
-
-
+
-
-
Сополимеро-винилхлоридные
75. Состав ХС-500
У1, О2, 7/1
+
-
-
-
-
-
-
76. Состав ХС-500 "Пигма"
У1, 7/1
+
-
-
-
-
-
-
77. Эмаль ХС-436 С
У1, ОМ1, 4, 6
+
-
-
-
-
-
-
78. Эмаль Дельта PRO-500
У1, УХЛ1, ХЛ1, 4/1, 7/1, 7/2, 7/3, 7/4
+
-
-
-
-
-
-
Фенолоалкидные
79. Эмаль "ЯрЛИ" ФА-1393
УХЛ1, 4/1, 8200 °C
+
-
-
-
-
-
-
80. Эмаль ФА-5104
У1
+
-
-
-
-
-
-
Фенольные
81. Эмаль ФЛ-511
У1
+
-
-
-
-
-
-
Фторопластовые
82. Эмаль ФП-566 <*>
-
+
-
-
-
-
-
-
--------------------------------
<*> Эмаль ФП-566 применяют для окрашивания металла по специальной технологии.
Хлорированные полиэтиленовые
83. Эмали ХП-1267, ХП-7120
О1
+
-
-
-
-
-
-
84. Эмаль ХП-1512 "Марион-Антикор"
У1, УХЛ1, ХЛ1, 7
+
-
-
-
-
-
-
Этилсиликатные
85. Грунтовка ЭС-0422
В1, 4, 6, 7/4, 8150 °C
+
-
-
-
-
-
-
Эпоксидные
86. Грунтовка ЭП-0180
У2, УХЛ2, ХЛ2, 4/1, 4/2, 6/1, 6/2, 7/1, 7/3, 8100 °C
-
+
-
-
-
-
-
87. Грунтовки ЭП-0199, ЭП-0199 "Инкор"
У2, УХЛ2, ХЛ2, 4/1, 4/2, 7/1
-
+
-
-
-
-
-
88. Грунтовка ЭП-0199 "Пигма"
У1
-
+
-
-
-
-
-
89. Грунтовка ЭП-0259
О1
+
-
-
-
-
-
-
90. Грунтовка ЭП-0266
У1, УХЛ1, ХЛ1
+
-
-
-
-
-
-
91. Грунтовка ЭП-0436
У1, В2, 6/2, 7/1
-
+
-
-
-
-
-
92. Грунтовка ЭП-0439
В1, 4, 6, 7, 8150 °C, 9/2
+
-
-
-
-
-
-
93. Грунт-эмаль ЭП-1-089 "Опал"
У2, УХЛ1, ХЛ1, 6/1, 7/4, 8100 °C
+
+
-
-
-
-
-
94. Грунт-эмаль ЭП-1112 "Корнет"
В1
+
-
-
-
+
-
-
95. Компаунд "Гамма"
УХЛ3, 6/1, 6/2, 7/1, 7/3, 7/4
+
-
-
-
-
-
-
96. Композиция "ГРЭМИРУСТ"
В1
+
+
-
-
-
-
-
97. Композиция ЭП-1-100 "Корника"
В1
+
+
-
-
+
-
-
98. Композиция ЭП-1-158
УХЛ4
+
-
-
-
-
-
-
99. Лак ЭП-730
В2
+
-
+
+
+
+
+
100. Лак ЭП-733
4/1, 7/2, 7/3, 8
-
-
-
-
+
-
-
101. Лак ЭП-9114
У2, Т2
-
-
-
-
+
+
-
102. Эмаль ЭП-56
УХЛ4
+
-
-
-
-
-
-
103. Эмаль ЭП-91
У2, Т2, ОМ2, 9/1180 °C
+
-
-
-
+
-
-
104. Эмаль ЭП-148
У2, О4
+
-
-
-
-
-
-
105. Эмаль ЭП-148 светло-голубая
У2, О4
+
-
-
-
-
-
-
106. Эмаль ЭП-439
В1, 4/1, 4/2, 5/1
+
-
-
-
-
-
-
107. Эмаль ЭП-451
ОМ2, 4/1, 4/2
+
-
-
-
-
-
-
108. Эмаль ЭП-586
У2
+
-
+
-
-
-
-
109. Эмали ЭП-773, ЭП-773М
У2, УХЛ2, ХЛ2, 4/1, 6/1, 6/2, 7/1
+
-
-
-
+
-
-
110. Эмаль ЭП-793
У2, Т2
-
-
-
-
-
-
+
111. Эмаль ЭП-925
УХЛ2
+
-
-
-
-
+
-
112. Эмаль ЭП-1155
У2, Т2, 7/4
+
-
-
-
-
-
-
113. Эмаль "ЯрЛИ" ЭП-1223
О2
+
-
-
-
-
-
-
114. Эмаль ЭП-1236
В1
+
-
-
-
+
-
-
115. Эмаль ЭП-1240
О2
+
-
-
-
-
-
-
116. Эмаль ЭП-1267
В1, 4, 6, 7/1, 7/3
+
-
-
-
+
-
-
117. Эмали ЭП-1294, ЭП-1294М
В1
+
-
-
-
-
-
-
118. Эмаль "ЯрЛИ" ЭП-1305
У1, УХЛ1, В2, 4/1, 6/1, 6/2
+
-
-
-
+
-
-
119. Эмаль ЭП-5287
В1
+
-
-
-
-
-
-
120. Эмаль "ЯрЛИ" ЭП-5301
В1, 4/1, 6/1, 6/2
+
-
-
-
-
-
-
121. Эмаль "ЯрЛИ" ЭП-7126
В2, 6, 7/1, 7/2, 7/4
+
-
-
-
+
-
-
122. Эмаль "Эпокур" ЭП-7142
В2
+
-
+
+
+
+
+
123. Эмаль ЭП-9111
В1, 9155 °C
+
-
-
-
-
-
-
124. Эмаль "Эповин" БЭП-5297
4/1, 4/2, 6/1, 7
+
-
-
-
-
-
-
125. Эмаль Дельта PRO-510
В1, 4/1, 6/1, 6/2, 7/1, 7/2, 7/3, 7/4
+
-
-
-
+
-
-
126. Эмаль "ЭнергоКор-1"
В1, 4/1, 6/1, 6/2, 7/1, 7/2, 7/3, 7/4
+
-
-
-
+
-
-
Эпоксистирольные
127. Эмаль ЭС-5299
У2, УХЛ2, ХЛ2, В3
+
-
-
-
-
-
-
Эпоксиэфирные
128. Эмаль ЭФ-1219
У1, ОМ1
+
-
-
-
-
-
-
129. Эмаль ЭФ-1242
О2
+
-
-
-
-
-
-
130. Эмаль ЭФ-1335
У1
+
-
-
-
-
-
-
131. Эмаль "ЯрЛИ" ЭП-1323 Б
У1, О2, 4/1, 6/1, 6/2
+
-
-
-
-
-
-
132. Эмаль "ЯрЛИ" ЭП-1323 М ЖТ
УХЛ1, В2, 4/1, 6/1, 6/2
+
-
-
-
-
-
-
Порошковые
133. Грунтовка П-ЭП-0130
У2, 7
+
-
-
-
+
-
-
134. Грунтовка П-ЭП-0305
У1, 4/1, 6/2
+
-
-
-
-
-
-
135. Компаунды ПДФ-4, ПДФ-10
У2, Т2, 4, 6, 7, 8220 °C, 9/1220 °C
+
-
-
-
-
-
-
136. Компаунд ЭП-49 А/1
У2, Т2, 4, 6, 8130 °C, 9/1130 °C
+
-
-
-
-
-
-
137. Компаунд ЭП-49 А/2
У2, Т2, 6, 8130 °C, 9/1130 °C
+
-
-
-
-
-
-
138. Компаунды ЭП-49 Д/1, ЭП-49 Д/2, ЭП-49С
У2
+
-
-
-
-
-
-
139. Композиция УП-2155
УХЛ4, 6, 8180 °C, 9/1180 °C
+
-
-
-
-
-
-
140. Композиция УП-2191 "А"
У2, Т2, 4, 6, 8125 °C, 9/1125 °C
+
-
-
-
-
-
-
141. Композиция УП-2191 "К"
У2, Т2
+
-
-
-
-
-
-
142. Краска ППК-101
Т1
+
-
-
-
+
-
-
143. Краска П-ПЛ-131
О2
+
-
-
-
-
-
-
144. Краска П-ПЛ-1010
У1
+
-
-
-
+
-
-
145. Краска П-ПЛ-1020
У1
+
-
-
-
+
-
-
146. Краска П-ПЛ-1030
У1
+
-
-
-
+
-
-
147. Краска П-ПЛ-1040
У1
+
-
-
-
+
-
-
148. Краска П-ПЛ-1050
У1
+
-
-
-
+
-
-
149. Краска П-ПЛ-1104
У1
+
-
-
-
+
-
-
150. Краска П-ПЭ-1130У
О2, 4, 6, 8100 °C
+
-
-
-
+
-
-
151. Краска П-ЭП-61
О2, 4, 6, 7, 8100 °C
+
-
-
-
-
-
-
152. Краски П-ЭП-91, П-ЭП-91-Н
О4
+
-
-
-
-
-
-
153. Краска П-ЭП-95
О2, Т2
+
-
-
-
-
-
-
154. Краска П-ЭП-134 с металлическим эффектом
У1, 4/1
+
-
-
-
-
-
-
155. Краска П-ЭП-135
О4
+
-
-
-
-
-
-
156. Краски П-ЭП-177, П-ЭП-177(ОН)
О2, 4, 6, 7, 8120 °C, 9/1120 °C
+
-
-
-
-
-
-
157. Краски П-ЭП-219, П-ЭП-219(ОН)
О2, 4, 6, 7, 8100 °C, 9/1100 °C
+
-
-
-
-
-
-
158. Краски П-ЭП-256, П-ЭП-256-У, П-ЭП-257, П-ЭП-258
О4
+
-
-
-
-
-
-
159. Краски П-ЭП-259, П-ЭП-259-Т, П-ЭП-259-ПГ, П-ЭП-259-ПМ, П-ЭП-259-У
О4
+
-
-
-
-
-
-
160. Краска П-ЭП-534
В2, 4, 6, 7, 8120 °C, 9/1120 °C
+
-
-
-
-
-
-
161. Краска П-ЭП-585
У1, 4/1, 6/2
+
-
-
-
-
-
-
162. Краска П-ЭП-971
У2, Т2, 4, 6, 7, 8120 °C, 9/1120 °C
+
-
-
-
-
-
-
163. Краска П-ЭП-7120У
У2, 7
+
-
-
-
+
-
-
164. Краски П-ЭП-ПЛ-102, П-ЭП-ПЛ-102Т
О2
+
-
-
-
-
-
-
165. Краска П-ЭП-ПЛ-104
О2
+
-
-
-
-
-
-
166. Краска П-ЭП-ПЛ-2060
У2
+
-
-
-
+
-
-
167. Краска П-ЭП-ПЛ-2070
У2
+
-
-
-
+
-
-
168. Краска П-ЭП-ПЛ-2080
У2
+
-
-
-
+
-
-
169. Краска П-ЭП-ПЛ-2090
У2
+
-
-
-
+
-
-
170. Краски "ПЭПЛАКС 1", "ПЭПЛАКС 2"
О2
+
-
-
-
-
-
-
171. Краска ЭК-201
В2, 4/1
+
-
-
-
+
-
-
172. Краски ЭПК-202, ЭК-502
Т2
+
-
-
-
+
-
-
173. Краска ЭК-501
В2
+
-
-
-
+
-
-
174. Краска ЭК-801
В2, 4/1, 8150 °C
+
-
-
-
-
-
-
175. Краска ЭК-802
В2, 8150 °C
+
-
-
-
+
-
-
176. Краска ЭК-901
В2, 9/1
+
-
-
-
+
-
-
177. Краска "МЕДЛАК"
О4
+
-
-
-
-
-
-
178. Краска ОХТЭК-1
У1, УХЛ1, ХЛ1
+
-
-
-
-
-
-
179. Краска ОХТЭК-2
У2, УХЛ2, ХЛ2, 6/1
+
-
-
-
-
-
-
180. Краска ОХТЭК-3
О2, 4, 6, 880 °C
+
-
-
-
-
-
-
181. Краска ОХТЭК-трубная
В2, 4, 6, 7, 8100 °C
+
-
-
-
-
-
-
182. Краска "ПАЙПЛАК"
О2, 4/1, 6/2, 7
+
-
-
-
-
-
-
183. Краска "ТЕХНОЛАК"
У1, 6/2, 7, 9/1
+
-
-
-
-
-
-
184. Краска "УФОЛАК"
У1
+
-
-
-
-
-
-
185. Краска "ЭКОЛАК"
О4
+
-
-
-
-
-
-
186. Лак П-ПЛ-1140
У1
+
-
-
-
+
-
-
187. Лак П-ЭП-ПЛ-2100
У2
+
-
-
-
+
-
-
188. Фторопласт Ф-2М
У2, Т2, 4, 6, 7, 9/175 °C
+
-
-
-
-
-
-
189. Фторопласт Ф-30-Б
У2, Т2, 4, 6, 7, 9/1170 °C
+
-
-
-
-
-
-
190. Фторопласт Ф-3Б
У2, Т2, 4, 6, 7, 9/1125 °C
+
-
-
-
-
-
-
191. Фторопласт Ф-40-ДП
У2, Т2, 4, 6, 7, 9/1170 °C
+
-
-
-
-
-
-
192. Фторопласт Ф-4МБП
У2, Т2, 4, 6, 7, 9/1250 °C
+
-
-
-
-
-
-
Водоразбавляемые
193. Грунтовка В-МЛ-0143
У2, УХЛ2, ХЛ2
+
-
+
-
-
-
-
194. Грунтовка В-МЛ-0160
У2, УХЛ2, ХЛ2
+
-
+
-
-
-
-
195. Грунтовка В-МЛ-0275
УХЛ2
+
-
-
-
-
-
-
196. Грунтовка ВД-ВА-0112
У1, УХЛ1, ХЛ1, 4/1, 4/2, 6/2
-
+
-
-
-
-
-
197. Краска "Гамма-ВЭП"
У1, УХЛ2, 6/1, 6/2, 7/3, 7/4
+
-
-
-
-
-
-
198. Эмаль В-МА-1232
У1, УХЛ1, ХЛ1, В2
+
-
-
-
+
-
+
199. Эмаль В-МА-1232
О1
-
-
-
-
+
-
-
200. Эмаль В-МС-1279
У1
+
-
-
-
-
-
-
201. Эмаль В-ПЭ-1179
УХЛ4
+
-
-
-
-
-
-
202. Эмаль В-ФЛ-1199
О2
+
-
-
-
-
-
-
203. Эмаль "ЯрЛИ" В-ЭФ-1372
У2, УХЛ1, 4/1, 6/1
+
-
+
-
+
-
-
204. Эмаль УР-1154 водоразбавляемая
У2
+
-
-
-
-
-
-
Водоразбавляемые для электроосаждения
205. Грунтовка В-КФ-093
У2, УХЛ2, ХЛ2
+
-
+
-
+
-
-
206. Грунтовка В-ЭП-0101
У2, УХЛ2, ХЛ2
+
-
+
+
+
+
+
207. Грунт-эмаль В-МЧ-11
О1
+
-
-
-
+
+
-
208. Эмали В-МС-278М, В-МС-278МК
У2, УХЛ2, ХЛ2, Т3
+
-
-
-
+
+
-
209. Эмаль В-ФЛ-1199Э
О2
+
-
-
-
-
-
-
210. Грунтовка В-ЭП-0103
У2, УХЛ2, ХЛ2
+
-
+
+
+
+
+
211. Грунтовка В-ЭП-0190
У2, УХЛ2, ХЛ2
+
-
+
+
+
+
+
212. Эмаль В-ЭП-2100
О2
+
-
-
-
+
-
-
Водно-дисперсионные
213. Грунтовка "ЯрЛИ" ВД-АК-0247
УХЛ1, 4/1
+
-
+
-
+
-
-
214. Композиция ВАК ВД-АК-012ПК
УХЛ1
+
+
-
-
-
-
-
215. Композиция ВАК ВД-АК-016ПК
УХЛ1
+
+
+
-
+
-
-
216. Композиция ВАК ВД-АК-017ПК
УХЛ1
+
+
+
-
-
-
-
217. Композиция ВАК ВД-АК-018ПК
УХЛ1
+
+
+
-
-
-
-
218. Композиция ВАК ВД-КС-021ПК
УХЛ4
+
+
+
-
-
-
-
219. Грунт-краска "Акрокор-1"
УХЛ1
+
+
-
-
-
-
-
220. Грунт-краска "Акрокор-2"
УХЛ1
-
+
-
-
-
-
-
221. Краска-грунтовка ВД-АК-1503
УХЛ1
+
-
-
-
+
-
-
222. Краска ВД-АК "Гамма-Элан"
УХЛ1, ОМ1, 6/1, 7/2
-
-
+
-
+
-
+
223. Краска "МетаТэкс-А"
УХЛ1, 4/1,
6, 8250 °C, 7/4
+
-
+
-
+
-
-
224. Краска "МетаТэкс-М"
УХЛ1, 4/1, 6, 8250 °C, 7/4
+
-
+
-
+
-
-
225. Краски "Полифан" ВД-АК-1ФА, "Полифан" ВД-КЧ-1ФА
У1, УХЛ1, 4
-
-
+
-
+
-
+
Примечания. 1. Знак "+" означает допустимость применения, знак "-" - необходимость проведения испытаний для данного металла.
2. Лак БТ-577 и состав-консервант "Разноцвет" применяют для защиты черных металлов при непродолжительном хранении и транспортировании.
3. Лаки АК-113, АК-113Ф применяют по латуни и чугунному литью; лак АС-82 - по латуни, бронзе; эмаль МС-278 - по латуни.
4. Грунтовки ПЛ-0213, ХВ-0265, ЭП-0266 и ЭП-0259 применяют в качестве самостоятельного двухслойного покрытия.
5. Перед применением лаков ПФ-170, ПФ-171, ГФ-95, БТ-142 вводят алюминиевую пудру в количестве 10 - 15 массовых частей на 100 массовых частей лака; в лак НЦ-134 - 6 - 12 массовых частей на 100 массовых частей лака.
6. Композиция ВАК ВД-АК-016ПК применяется для временной защиты от коррозии чугуна, стали, цветных металлов и их сплавов.
7. Эмаль ПФ-910 применяют для окрашивания металлических поверхностей, подлежащих электросварке, эмаль ЭП-925 - для окрашивания непроволочных резисторов.
8. Эмаль ФА-5104 применяют по поверхности со свинцовым покрытием.
9. Эмали Дельта PRO-510 и "ЭнергоКор-1" применяют по стали, чугуну, алюминиевым и титановым сплавам.
10. Эмаль "ЯрЛИ" АС-5305 перекрывается консервирующим антикоррозионным составом АСЛ.
11. Эмаль "ЯрЛИ" ПФ-1315 применяют в качестве самостоятельного двухслойного покрытия по освинцованной стали.
12. Эмали "ЯрЛИ" ЭП-1223 М, "ЯрЛИ" ЭП-1323 ПГ, "ЯрЛИ" ЭП-1323 Б применяют для окрашивания стальных бочек.
13. Окисленная сталь означает металлические поверхности, покрытые плотно сцепленной с металлом неосыпающейся ржавчиной толщиной не более 100 мкм.
Таблица 2
Перечень материалов первичного (грунтовочного) слоя
лакокрасочных покрытий, применяемых для металлов
Марка материала
Применяемость материалов
Сталь, чугун
Сталь
Сплавы
окисленная
коррозионно-стойкая
оцинкованная
кадмированная
алюминиевые
медные
магниевые
титановые
Алкидно-акриловые
1. Грунтовка АС-071
+
-
-
-
-
-
-
-
-
Акрил-уретановые
2. Грунтовка АК-0291
+
-
-
-
-
-
-
-
-
3. Грунтовка "ЯрЛИ" АК-0293
+
-
-
+
-
+
-
-
-
4. Грунтовка "ЯрЛИ" УР-0273 В
+
-
-
+
-
+
-
-
-
Глифталевые
5. Грунтовка ГФ-017
+
-
-
-
-
-
-
-
-
6. Грунтовка ГФ-018
+
-
-
-
-
-
-
-
-
7. Грунтовка ГФ-021
+
-
-
-
-
-
-
-
-
8. Грунтовка ГФ-021 "Виктория"
+
-
-
-
-
-
-
-
-
9. Грунтовка ГФ-021 "Л"
+
-
-
-
-
-
-
-
-
10. Грунтовка ГФ-021 "Люкс"
+
-
-
-
-
-
-
-
-
11. Грунтовка ГФ-021 серая
+
-
-
-
-
-
-
-
-
12. Грунтовка ГФ-031
+
-
+
+
-
+
-
+
-
13. Грунтовка ГФ-032 желтая
+
-
-
-
-
+
-
-
-
14. Грунтовка ГФ-032 коричневая
+
-
-
-
-
-
+
-
-
15. Грунтовка ГФ-0119
+
-
-
-
-
-
-
-
-
16. Грунтовка ГФ-0163
+
-
-
-
-
+
+
-
-
17. Грунтовка АГЗ-К антикоррозионная графитовая
+
-
-
-
-
-
-
-
-
18. Грунтовка АГЗ-Х антикоррозионная графитовая химстойкая
+
-
-
-
-
-
-
-
-
19. Эмаль ГФ-571
+
-
-
-
-
-
-
-
-
Канифольные
20. Грунтовка КФ-030 желтая
+
-
-
-
-
+
-
-
-
21. Грунтовка КФ-030 серо-зеленая
+
-
-
-
-
+
-
+
-
Кремнийорганические
22. Грунтовка КО-052
+
-
-
-
-
+
-
-
-
Масляно- и алкидно-стирольные
23. Грунтовка МС-067
+
-
-
-
-
-
-
-
-
Меламинные
24. Грунтовка МЛ-029
+
-
-
-
-
-
-
-
-
25. Грунтовка МЛ-064
+
-
-
-
-
-
-
-
-
Пентафталевые
26. Грунтовка ПФ-025
+
-
-
-
-
-
-
-
-
27. Грунтовка ПФ-031
+
-
+
-
-
-
-
-
-
28. Грунтовка ПФ-0244
+
-
-
-
-
-
-
-
-
29. Грунтовка ПФ-0260
+
-
-
-
-
-
-
-
-
30. Грунтовка "ЯрЛИ" ПФ-0294
+
-
-
+
-
+
-
-
-
31. Грунтовка КПФ-01
+
-
+
-
-
-
-
-
-
32. Грунтовка "ПФ-ВЕГА ЖД"
+
-
-
-
-
-
-
-
-
33. Грунтовка "Кронос-Спринт"
+
-
-
-
-
-
-
-
-
34. Грунтовка "Ореол"
+
-
-
-
-
-
-
-
-
35. Грунтовка "Праймер Обь-ЖД"
+
-
-
-
-
-
-
-
-
Полиакриловые
36. Грунтовка АК-069
+
-
-
-
-
+
-
-
-
37. Грунтовка АК-070
+
-
+
+
+
+
х
+
+
38. Грунтовка АК-070М
+
-
+
+
+
+
х
+
+
39. Грунтовка АК-0138
+
-
-
-
-
-
-
-
-
40. Грунтовка АК-0209
+
-
+
+
-
+
+
-
-
41. Грунтовка "ЯрЛИ" АК-0295
+
-
-
+
-
+
-
-
-
Перхлорвиниловые и поливинилхлоридные
42. Грунтовка ХВ-050
+
-
-
-
-
-
-
-
-
43. Грунтовка ХВ-0265
+
-
-
-
-
-
-
-
-
44. Грунт-эмаль по ржавчине "ЯрЛИ" ХВ-0278
+
+
-
-
-
-
-
-
-
45. Грунтовка Дельта PRO-01
+
-
-
+
-
-
-
-
-
Поливинилацетальные
46. Грунтовка ВЛ-02
+
-
+
+
+
+
+
+
+
47. Грунтовка ВЛ-02 с алюминиевой пудрой
+
-
+
+
+
+
+
+
+
48. Грунтовка ВЛ-023
+
-
-
-
-
+
-
-
-
49. Грунтовка ВЛ-023 с алюминиевой пудрой
+
-
-
-
-
+
-
-
-
50. Грунтовка ВЛ-05
+
-
-
-
-
+
-
-
-
51. Грунтовка ВЛ-09
+
-
-
-
-
+
+
-
-
Полиуретановые
52. Грунтовка КПУ-02
+
-
-
-
-
+
-
-
-
53. Грунтовка УРФ-0106
+
-
-
-
-
-
-
-
-
54. Грунтовка УРФ-0110
+
-
-
-
-
-
-
-
-
55. Грунтовка УР-0131
+
-
-
-
-
-
-
-
-
56. Грунтовка УР-0432 "Уретан-Антикор"
+
-
-
-
-
-
-
-
-
57. Грунтовка УР-0432 "Уретан-Антикор-протектор"
+
-
-
-
-
-
-
-
-
58. Грунтовка УР-0442
+
-
-
-
-
+
-
-
-
59. Грунтовка УР-0438
+
-
-
-
-
-
-
-
-
Полиэфирные насыщенные
60. Грунтовка ПЛ-07
+
-
-
-
-
-
-
-
-
61. Грунтовка ПЛ-0213
+
-
-
+
-
-
-
-
-
Полиэфирные ненасыщенные
62. Грунтовка ПЭ-047
+
-
-
-
-
-
-
-
-
Фенольные
63. Грунтовка ФЛ-03Ж
+
-
-
+
-
+
+
+
-
64. Грунтовка ФЛ-03К
+
-
-
-
-
-
+
-
+
65. Грунтовка ФЛ-05К
+
-
-
-
-
-
-
-
-
66. Грунтовка ФЛ-086
+
-
-
-
-
+
-
-
-
67. Грунтовка ФЛ-087
+
-
-
-
-
-
-
-
-
Фенолоалкидные
68. Грунтовка ФА-014
+
-
-
+
-
+
-
-
-
Сополимеро-винилхлоридные
69. Грунтовка ХС-04
+
-
-
-
-
-
-
-
-
70. Грунтовка ХС-04 "В"
+
-
-
-
-
-
-
-
-
71. Грунтовка ХС-010
+
-
-
-
-
-
-
-
-
72. Грунтовка ХС-059
+
-
-
-
-
-
-
-
-
73. Грунтовка ХС-068
+
-
-
-
-
-
-
-
-
74. Грунтовка ХС-077
+
-
-
-
-
-
-
-
-
Эпоксидные
75. Грунтовка ЭП-09Т желтая
+
-
-
+
+
+
-
+
-
76. Грунтовка ЭП-09Т красная
+
-
-
-
+
-
+
-
-
77. Грунтовка ЭП-045
+
+
+
+
-
+
+
-
-
78. Грунтовка ЭП-057
+
-
-
-
-
-
-
-
-
79. Грунтовка ЭП-076
+
-
-
-
-
+
-
-
-
80. Грунтовка ЭП-0107
+
-
-
-
-
-
-
-
-
81. Грунтовка ЭП-0109
+
-
-
-
-
-
-
-
-
82. Грунтовка ЭП-0156
+
-
-
+
-
+
+
+
-
83. Грунтовка ЭП-0180
-
+
-
-
-
-
-
-
-
84. Грунтовка "ЯрЛИ" ЭП-0182
+
-
+
+
-
+
-
-
-
85. Грунтовки ЭП-0199, ЭП-0199 "Инкор"
-
+
-
-
-
-
-
-
-
86. Грунтовка ЭП-0199 "Пигма"
-
+
-
-
-
-
-
-
-
87. Грунтовка ЭП-0200
+
-
-
+
-
-
-
-
-
88. Грунтовка ЭП-0208
-
-
-
-
-
+
-
-
-
89. Грунтовка ЭП-0215
-
-
-
-
-
+
-
-
-
90. Грунтовка ЭП-0228
+
-
-
+
-
-
-
-
-
91. Грунтовка ЭП-ПЛ-0235
+
-
-
-
-
-
-
-
-
92. Грунтовка ЭП-0259
+
-
-
-
-
-
-
-
-
93. Грунтовка ЭП-0263 С
+
-
-
-
-
+
-
-
-
94. Грунтовка ЭП-0266
+
-
-
-
-
-
-
-
-
95. Грунтовка ЭП-0270
+
-
-
-
-
-
-
-
-
96. Грунтовки "ЯрЛИ" ЭП-0280, "ЯрЛИ" ЭП-0280 ГЛ
+
-
+
+
-
+
+
-
-
97. Грунтовка "ЯрЛИ" ЭП-0281
+
-
-
-
-
-
-
-
-
98. Грунтовка "ЯрЛИ" ЭП-0282
+
-
-
+
-
+
-
-
-
99. Грунтовки "ЯрЛИ" ЭП-0283, "ЯрЛИ" ЭП-0283 ОУ
+
-
-
+
-
+
-
-
-
100. Грунтовка "ЯрЛИ" ЭП-0286
-
-
-
+
-
-
-
-
-
101. Грунтовка "ЯрЛИ" ЭП-0287
+
-
+
+
-
+
-
-
-
102. Грунтовка "ЯрЛИ" ЭП-0289
+
-
+
+
-
+
-
-
-
103. Грунтовка "ЯрЛИ" ЭП-0296
+
-
-
-
-
-
-
-
-
104. Грунтовка Эпобен Б-ЭП-0261
+
-
-
-
-
-
-
-
-
105. Грунтовка ЭП-0436
+
-
-
-
-
-
-
-
-
106. Грунтовка ВГ-28
+
-
-
-
-
+
-
-
-
107. Грунтовка "Эпокур" ЭП-0316
+
-
+
+
+
+
+
+
+
108. Грунтовка ЭП-0439
+
-
-
-
-
-
-
-
-
109. Грунтовка "Танкпрайм"
+
-
-
-
-
-
-
-
-
110. Грунтовка Эпипрайм марки А
+
-
-
+
-
+
-
-
-
111. Грунтовка Эпипрайм марки Б
+
-
-
-
-
-
-
+
+
112. Грунтовка Эпипрайм марки Т
-
+
-
-
-
-
-
-
-
113. Композиция ЭП-1-100 "Корника"
+
+
-
-
-
+
-
-
-
114. Лак ЭП-9200
+
-
-
-
-
-
-
-
-
115. Шпатлевка ЭП-0010
+
-
-
+
-
+
+
х
+
Эпоксиэфирные
116. Грунтовка ЭФ-065
+
-
-
-
-
+
-
-
-
117. Грунтовка ЭФ-0121
+
-
-
-
-
-
-
-
-
118. Грунтовка ЭФ-0137
+
-
+
+
+
+
+
+
+
119. Грунтовка "ЯрЛИ" ЭФ-0292
+
-
-
-
-
-
-
-
-
120. Эмаль ЭФ-1219
+
-
-
-
-
-
-
-
-
Этилсиликатные
121. Грунтовка ЭС-0422
+
-
-
-
-
-
-
-
-
Водоразбавляемые
122. Грунтовка В-МЛ-0143
+
-
-
+
-
+
-
-
-
123. Грунтовка В-МЛ-0160
+
-
-
-
-
+
-
-
-
124. Грунтовка В-МЛ-0275
+
-
-
-
-
-
-
-
-
Водоразбавляемые для электроосаждения
125. Грунтовка В-КФ-093
+
-
-
+
-
+
-
-
-
126. Грунтовка В-КЧ-0207
+
-
-
+
-
+
-
-
-
127. Грунтовка В-КЧ-0254
+
-
-
-
-
-
-
-
-
128. Грунтовка В-ЭП-0101
+
-
+
+
+
+
+
+
+
129. Грунтовка В-ЭП-0103
+
-
+
+
+
+
+
+
+
130. Грунтовка В-ЭП-0190
+
-
+
+
+
+
+
+
+
131. Грунтовка В-ЭП-0196
+
-
+
+
+
+
+
+
+
Водно-дисперсионные
132. Грунтовка "ЯрЛИ" ВД-АК-0247
+
-
-
+
-
+
-
-
-
133. Грунтовка ВД-АК "Гамма-Элан"
+
-
-
+
-
+
-
+
-
134. Грунтовка ВД-ВА-0112
-
+
-
-
-
-
-
-
-
135. Грунтовка АКВАЛАЙН ВД-КЧ-083
-
+
-
-
-
-
-
-
-
136. Грунтовка ВД-АК-0-150
+
-
-
+
-
+
+
+
-
137. Грунтовка ВД-КЧ-0176
+
-
-
-
-
-
-
-
-
138. Грунтовка ВД-КЧ-0247
+
-
-
-
-
-
-
-
-
139. Грунтовки "Уникор-ЖД", "Уникор-К", "Уникор-М"
+
+
-
-
-
-
-
-
-
140. Грунтовка "ЭнергоКор-5"
+
-
-
-
-
+
-
-
-
141. Грунтовка - преобразователь ржавчины "Кронос"
-
+
-
-
-
-
-
-
-
142. Композиция ВАК ВД-АК-012ПК
+
+
-
-
-
-
-
-
-
143. Композиция ВАК ВД-АК-013ПК
+
+
-
+
-
+
-
-
-
144. Композиция ВАК ВД-АК-014ПК
+
+
-
-
-
-
-
-
-
145. Композиция ВАК ВД-АК-015ПК
+
+
-
+
-
+
-
-
-
146. Композиция ВАК ВД-АК-017ПК
+
+
-
+
-
-
-
-
-
147. Композиция ВАК ВД-КС-021ПК
+
+
-
+
-
-
-
-
-
148. Краски "Полифан" ВД-АК-1ФА, "Полифан" ВД-КЧ-1ФА
+
+
-
-
-
+
-
-
-
149. Краска-грунтовка ВД-АК-1503
+
-
-
-
-
+
-
-
-
150. Грунт-краска МетаТэкс-М
+
-
-
+
-
+
-
-
-
151. Грунт-краска "Акрокор-1"
+
+
-
-
-
-
-
-
-
152. Грунт-краска "Акрокор-1"
-
+
-
-
-
-
-
-
-
Примечания. 1. Знак "+" означает допустимость применения; "х" - недопустимость; "-" - необходимость проведения испытаний для данного металла.
2. Окисленная сталь означает металлические поверхности, покрытые плотно сцепленной с металлом неосыпающейся ржавчиной толщиной не более 100 мкм.
3. Грунтовки ВЛ-02, ВЛ-023 и АК-0209 для чугуна не применяют.
4. Грунтовки марок ХВ и ХС и грунтовку ЭП-057 наносят на поверхности, обработанные металлическим песком или дробью.
5. Эмаль ГФ-571 применяют для окрашивания автомобилей в качестве промежуточного слоя под меламиноалкидные эмали.
6. Грунтовку ФЛ-03Ж для магниевых сплавов для условий холодного климата не применяют.
7. Грунтовку "ЯрЛИ" УР-0273 В применяют для выравнивания загрунтованных грунтовками "ЯрЛИ" АК-0293, "ЯрЛИ" ЭП-0280, "ЯрЛИ" ЭП-0282 поверхностей.
Таблица 3
Сочетаемость материалов при получении покрытий изделий
для эксплуатации в районах с умеренным климатом
Марка материала внешнего слоя покрытия
Марка материала, применяемого в качестве первичного и промежуточного слоя
Грунтовка
Шпатлевка
1. Эмаль АС-131
Грунтовки ГФ-032, ГФ-0119, ГФ-021 "Виктория", ГФ-021 "Люкс", ГФ-021 серая, "Ореол", В-КФ-093, АК-069, АК-070, АК-070М, ФЛ-03К, ФЛ-05К, ФЛ-03Ж, ЭП-09Т
ПФ-002
2. Эмаль АС-182
Грунтовки ГФ-017, ГФ-021, ГФ-021 "Виктория", ГФ-021 "Л", ГФ-021 "Люкс", ГФ-021 серая, ПФ-031, ПФ-0244, ПФ-0260, ГФ-031, ГФ-032, ГФ-0119, "Ореол", ГФ-0163, В-КФ-093, В-МЛ-0143, В-МЛ-0160, В-МЛ-0275, ПФ-025, ПФ-031, АК-070, АК-070М, ВЛ-02, ВЛ-023, ВЛ-09, ВЛ-02 с алюминиевой пудрой, ВЛ-023 с алюминиевой пудрой, ФЛ-03К, ФЛ-05К, ФЛ-03Ж, ФЛ-086, ЭП-09Т, ЭП-0199, ВД-АК-0-150, ВД-КЧ-0176, В-КЧ-0207, эмаль В-МА-1232
ПФ-002, КФ-003, МС-006
3. Эмаль АС-554, АС-555, затем лак АС-528
Грунтовки ВЛ-02, ВЛ-023, ВЛ-09, АК-069, АК-070, АК-070М, АС-071
-
4. Эмаль АС-730
Грунтовка ВЛ-02 с алюминиевой пудрой
-
5. Эмаль АС-1115
Грунтовки АК-069, АК-070, АК-070М, ВЛ-02, ВЛ-023, ВЛ-09, ВЛ-02 с алюминиевой пудрой, ВЛ-023 с алюминиевой пудрой
6. Эмаль АС-1171
Грунтовка ЭП-0200
-
7. Эмаль "ЯрЛИ" АС-1280
Грунтовки ГФ-0163, ФЛ-03Ж, ФЛ-03К, "ЯрЛИ" АК-0293, "ЯрЛИ" ЭП-0280, "ЯрЛИ" ЭП-0282, "ЯрЛИ" ЭП-0280 ГЛ, ЭФ-065, "ЯрЛИ" ЭФ-0292
-
8. Эмаль АУ-1518 "Универсал-люкс"
Грунтовки ГФ-017, ГФ-021, ГФ-021 "Виктория", ГФ-021 "Л", ГФ-021 "Люкс", ГФ-021 серая, ГФ-031, ГФ-032, ГФ-0119, ГФ-0163, АК-069, АК-070, АК-070М, ВЛ-02, ВЛ-09, ВЛ-023, ВЛ-02 с алюминиевой пудрой, ВЛ-023 с алюминиевой пудрой, ФЛ-03Ж, ФЛ-03К, ФЛ-05К, ФЛ-086, ЭП-0199, ВД-АК-0-150, композиция "ГРЭМИРУСТ"
-
9. Эмаль АУ-1104 "ПФ-ФЕРРА-ЖД"
Грунтовки ФА-014, ЭП-0199, композиция "ГРЭМИРУСТ"
-
10. Эмали "ЯрЛИ" АК-1316, "ЯрЛИ" АК-1349, "ЯрЛИ" АК-1379; эмали "ЯрЛИ" АК-1316, "ЯрЛИ" АК-1349, "ЯрЛИ" АК-1379, затем лак "ЯрЛИ" АК-1104
Грунтовки В-МЛ-0143, "ЯрЛИ" АК-0293, "ЯрЛИ" ЭП-0280, "ЯрЛИ" ЭП-0282; грунтовки В-КЧ-0207, В-МЛ-0143, "ЯрЛИ" АК-0293, "ЯрЛИ" ЭП-0280, "ЯрЛИ" ЭП-0282, затем "ЯрЛИ" УР-0273 В, ЭП-0228; грунтовки "ЯрЛИ" ЭП-0281, "ЯрЛИ" ЭП-0282, затем "ЯрЛИ" ЭП-0283, "ЯрЛИ" ЭП-0283 ОУ; грунтовка ВЛ-02, затем "ЯрЛИ" АК-0293, "ЯрЛИ" ЭП-0280, "ЯрЛИ" ЭП-0282, затем "ЯрЛИ" УР-0273 В, ЭП-0228; грунт-эмаль ХВ-0278
-
11. Эмаль Гамма-УР-11
Грунтовки АК-070, ЭП-057, Эпипрайм марок Б, Т
-
12. Эмаль ГФ-571
Грунтовки В-КФ-093, В-КЧ-0207, В-ЭП-0101, В-ЭП-0103, В-ЭП-0190, В-ЭП-0196, ГФ-018
-
13. Эмали ГФ-820, ГФ-1151, ГФ-1426
Грунтовки ГФ-017, ГФ-021, ГФ-021 "Виктория", ГФ-021 "Люкс", ГФ-021 серая, ГФ-031, ГФ-032, ГФ-0119, "Ореол", ГФ-0163, АК-070, АК-070М, ВЛ-02 с алюминиевой пудрой, ФЛ-03Ж, ФЛ-03К, ФЛ-05К, ВД-КЧ-0176
ПФ-002, МС-006
14. Эмаль ГФ-2136
Грунтовки ГФ-021, ГФ-021 "Виктория", ГФ-021 "Л", ГФ-021 "Люкс", ГФ-021 серая, ГФ-0119, "Ореол", ГФ-0163, ПФ-025, ПФ-031, АК-070, АК-070М, ФЛ-03Ж, ФЛ-03К, ФЛ-05К
ПФ-002, МС-006
15. Эмали ГФ-1147 "ВЭ", ПФ-1147 "ВЭ"
Грунтовки ГФ-017, ГФ-021, ГФ-021 "Виктория", ГФ-021 "Л", ГФ-021 "Люкс", ГФ-021 серая, ГФ-031, ГФ-032, ГФ-0119, "Ореол", ГФ-0163, КФ-030, ПФ-031, ФЛ-03Ж, ФЛ-03К, ФЛ-05К, ФЛ-086
-
16. Лак ГФ-95 с алюминиевой пудрой
Грунтовки ГФ-017, ГФ-0119, ГФ-021, ГФ-021 "Виктория", ГФ-021 "Л", ГФ-021 "Люкс", ГФ-021 серая, ГФ-031, ГФ-032, "Ореол", КФ-030, ПФ-031, ФЛ-03Ж, ФЛ-03К, ФЛ-05К, ФЛ-086, ВЛ-02, ВЛ-023, ВЛ-09
-
17. Эмаль КЧ-190
Грунтовка В-КФ-093
-
18. Эмали КО-88, КО-811, КО-813, КО-814, КО-828
Грунтовки ГФ-021, ГФ-021 "Виктория", ГФ-021 "Л", ГФ-021 "Люкс", ГФ-021 серая, ГФ-031, ГФ-032, ГФ-0119, "Ореол", ГФ-0163, КФ-030, ПФ-025, ПФ-031, ВЛ-02 с алюминиевой пудрой, ФЛ-03Ж, ФЛ-03К, ФЛ-05К, КО-0441
-
19. Эмаль КО-834
Грунтовка КО-052
-
20. Эмаль КО-885
Грунтовка КО-0441
-
21. Эмаль МС-17
Грунтовки ГФ-0119, ГФ-017, ГФ-021, ГФ-021 "Виктория", ГФ-021 "Л", ГФ-021 "Люкс", ГФ-021 серая, "Ореол", ПФ-0244, ПФ-0260, В-КФ-093, В-МЛ-0143, В-МЛ-0275, ФЛ-03Ж, ФЛ-03К, ФЛ-05К, ПФ-025, ПФ-031, АК-070, АК-070М, ВЛ-02, ВЛ-023, ВЛ-09, ВЛ-02 с алюминиевой пудрой, ВЛ-023 с алюминиевой пудрой, эмаль В-МА-1232
-
22. Эмаль МА-224
Грунтовки ГФ-017, ГФ-021, ГФ-021 "Виктория", ГФ-021 "Л", ГФ-021 "Люкс", ГФ-021 серая, ГФ-031, ГФ-032, ГФ-0119, "Ореол", ГФ-0163, В-КФ-093, В-КЧ-0207, В-МЛ-0143, В-МЛ-0160, В-МЛ-0275, ПФ-0244, ПФ-025, ПФ-0260, ПФ-031, ФЛ-03Ж, ФЛ-03К, ФЛ-05К
ПФ-002, КФ-003, МС-006
23. Эмали МЛ-197, МЛ-1110, МЛ-1111, МЛ-1300, МЛ-1500, МЛ-1120, АК-1301, АК-1112 "Люкс-комплект"; эмали АК-1301, АК-1112 "Люкс-комплект", затем лак АК-1112; эмали ПЛ-1348, ПЛ-1382 затем лаки АК-1103, АС-1105Т
Грунтовки ГФ-017, ГФ-018, ПФ-0244, ПФ-0260, ГФ-031, ГФ-032, КФ-030, В-КФ-093, В-КЧ-0207, ВД-КЧ-0176, В-МЛ-0143, В-МЛ-0160, В-МЛ-0275, АК-070, АК-070М, АК-0291, ПЭ-047, ВЛ-02, ВЛ-023, ВЛ-09, ВЛ-02 с алюминиевой пудрой, ВЛ-023 с алюминиевой пудрой, ПЛ-0213, ФЛ-03К, ФЛ-05К, ФЛ-03Ж, ФЛ-086, ЭП-09Т, ЭП-076, ЭП-ПЛ-0235, В-ЭП-0101, В-ЭП-0103, В-ЭП-0190, В-ЭП-0196, В-ЭП-0254, ЭП-0107, ЭП-0228, ЭФ-0137, ЭП-0156, ЭП-0270, эмали ГФ-571, В-МА-1232, В-ФЛ-1199, В-ФЛ-1199Э
ПФ-002, КФ-003, МС-006, ПЭ-0089
24. Эмали МЛ-12, МЛ-12 "К", МЛ-152, МЛ-158, МЛ-279ОП, МЛ-1156, МЛ-1214МЭ, МЛ-1225, В-ПЭ-1179, МЛ-867, АК-1511 "Разноцвет"
Грунтовки ГФ-017, ГФ-018, ГФ-031, ГФ-032, ГФ-0119, ГФ-021 "Виктория", ГФ-021 "Л", ГФ-021 "Люкс", ГФ-021 серая, "Ореол", КФ-030, В-КФ-093, В-КЧ-0207, ВД-КЧ-0176, В-МЛ-0143, В-МЛ-0160, В-МЛ-0275, ПФ-031, ПФ-0244, ПФ-0260, АК-070, ВЛ-02, ВЛ-023, ВЛ-09, ВЛ-02 с алюминиевой пудрой, ВЛ-023 с алюминиевой пудрой, ПЛ-0213, ПЛ-07, ФЛ-03Ж, ФЛ-03К, ФЛ-05К, ФЛ-086, ЭП-09Т, ЭП-045, ЭП-076, ЭП-ПЛ-0235, В-ЭП-0101, В-ЭП-0103, В-ЭП-0190, В-ЭП-0196, В-ЭП-0254, ЭП-0107, ЭП-0228, ЭП-0270, ЭФ-0137, ЭП-0156, ВД-АК-0-150, "Уникор-К", "Уникор-ЖД", "Уникор-М", эмали ГФ-571, В-МА-1232, В-ФЛ-1199, В-ФЛ-1199Э
ПФ-002, КФ-003, МС-006, ПЭ-0089
25. Эмали МЛ-165, МЛ-165ПМ, МЛ-165, затем МС-160
Эмали МЛ-12, МЛ-152, МЛ-1156, ПФ-115, ПФ-223, В-МА-1232
ПФ-002, КФ-003, МС-006, ПЭ-0089
26. Эмаль МЛ-169, затем лаки МЛ-133, МЛ-21
Грунтовки ГФ-017, ГФ-021, ГФ-021 "Виктория", ГФ-021 "Л", ГФ-021 "Люкс", ГФ-021 серая, ГФ-0119, "Ореол", В-КФ-093, В-КЧ-0207, ПФ-025, ПФ-031, ФЛ-03К, ФЛ-05К, затем грунтовка МЛ-064
-
27. Эмаль МЛ-629
Грунтовка МЛ-029
-
28. Эмаль МЛ-1195
Грунтовки ГФ-021, ГФ-021 "Виктория", ГФ-021 "Л", ГФ-021 "Люкс", ГФ-021 серая, ГФ-0119, "Ореол", ПФ-031, ПФ-025
ПФ-002, КФ-003, МС-006
29. Эмали МЛ-133, МЛ-1202, МЛ-1202ПМ, МЛ-1203, ЭФ-1242
Грунтовка ЭП-0200
-
30. Эмали "ЯрЛИ" МЛ-5257, "ЯрЛИ" МЛ-5265
Эмали МЛ-942, ЭП-969
-
31. Лак МЛ-21
Эмали АС-182, МЛ-12, МЛ-152
-
32. Эмали МЧ-145, ПФ-145
Грунтовка ГФ-017, В-КФ-093, В-КЧ-0207, В-МЛ-0143, ФЛ-03Ж, ФЛ-03К, ФЛ-05К, ВД-КЧ-0184
-
33. Эмали МЧ-240, МЧ-277
Грунтовки ГФ-021, ГФ-021 "Виктория", ГФ-021 "Л", ГФ-021 "Люкс", ГФ-021 серая, ГФ-031, ГФ-032, ГФ-0119, "Ореол", ПФ-031, АК-070, АК-070М, ВЛ-02 с алюминиевой пудрой, ФЛ-03Ж, ФЛ-03К, ФЛ-05К, ФЛ-086, ЭП-09Т
ПФ-002, КФ-003, МС-006
34. Эмали НЦ-1-085, НЦ-11, НЦ-11А, НЦ-25, НЦ-132, НЦ-184
Грунтовки ГФ-021, ГФ-021 "Виктория", ГФ-021 "Л", ГФ-021 "Люкс", ГФ-021 серая, ПФ-0244, ПФ-0260, ГФ-032, ГФ-0119, "Ореол", ГФ-0163, КФ-030, ПФ-025, ПФ-031, АК-070, АК-070М, "ЯрЛИ" АК-0295, ВЛ-02, ВЛ-023, ВЛ-09, ФЛ-03Ж, ФЛ-03К, ФЛ-05К, ФЛ-086
ГФ-018, НЦ-008, ПЭ-0044, грунтовка ГФ-018
35. Эмали НЦ-221, НЦ-246, НЦ-256, НЦ-273
Грунтовки ГФ-021, ГФ-021 "Виктория", ГФ-021 "Л", ГФ-021 "Люкс", ГФ-021 серая, ПФ-0244, ПФ-0260, ГФ-0119, "Ореол", ГФ-0163, ПФ-025, ПФ-031, АК-070, АК-070М, ФЛ-03Ж, ФЛ-05К, ФЛ-03К
НЦ-008, грунтовка ГФ-018
36. Эмали НЦ-1125, НЦ-1200, НЦ-1249
Грунтовки ГФ-021, ГФ-021 "Виктория", ГФ-021 "Л", ГФ-021 "Люкс", ГФ-021 серая, ГФ-031, ГФ-032, ГФ-0119, "Ореол", ГФ-0163, КФ-030, ПФ-031, АК-070, АК-070М, "ЯрЛИ" АК-0295, ФЛ-03Ж, ФЛ-05К, ФЛ-03К
НЦ-005, грунтовка ГФ-018
37. Лак НЦ-134 с алюминиевой пудрой
Грунтовки ГФ-021, ГФ-021 "Л", ГФ-032, ГФ-0119, ГФ-021 "Виктория", ГФ-021 "Люкс", ГФ-021 серая, ПФ-031, АК-070, ВЛ-02, ВЛ-023, ВЛ-09, ФЛ-03Ж, ФЛ-05К, ФЛ-03К
-
38. Эмали ПФ-19, ПФ-19М, ПФ-115, ПФ-115 "Экстра", ПФ-115 М, ПФ-115 ВЭ, ПФ-115 РАСЦВЕТ, "ГАММА-стандарт", "Ореол", "Интерьер", ПФ-126, ПФ-131, ПФ-133, ПФ-163, ПФ-188, ПФ-218, ПФ-223, ПФ-225, ПФ-241, ПФ-1217 "ВЭ", ПФ-122 "Гамма", ПФ-1234, ПФ-1246, ПФ-1248, ПФ-1250ВС, ВД-ПФ-1324, ПФ-1331, ПФ-113ВЭ "Стройлакс", В-МС-1252, "Престиж", краска "Акрэм-Металл"
Грунтовки ГФ-017, ГФ-021, ГФ-021 "Виктория", ГФ-021 "Л", ГФ-021 "Люкс", ГФ-021 серая, ГФ-031, ГФ-032, ГФ-0119, "Ореол", ГФ-0163, КФ-030, В-КФ-093, МС-067, В-МЛ-0143, В-МЛ-0160, В-МЛ-0275, ПФ-025, ПФ-031, АК-070, АК-070М, "ЯрЛИ" АК-0293, "ЯрЛИ" АК-0295, ВЛ-02, ВЛ-023, ВЛ-09, ВЛ-02 с алюминиевой пудрой, ВЛ-023 с алюминиевой пудрой, ФЛ-03Ж, ФЛ-03К, ФЛ-05К, ФЛ-086, ЭП-09Т, ЭП-0199, "ЯрЛИ" ЭП-0282, "ЯрЛИ" ЭП-0287, ВГ-28, ВД-КЧ-0176, В-КЧ-0207, ВД-АК-0-150, "Уникор-ЖД", "Уникор-К", "Уникор-М", "ЯрЛИ" ВД-АК-0247, ВД-КЧ-0184, краска-грунтовка ВД-АК-1503, эмаль В-МА-1232; композиции ВАК ВД-АК-012ПК, ВАК ВД-АК-014ПК, ВАК ВД-АК-015ПК, ВАК ВД-АК-017ПК, ВАК ВД-АК-018ПК, ВАК ВД-КС-021ПК, грунт-краски "Акрокор-1", "Акрокор-2"
КФ-003, МС-006, ПФ-002
39. Эмали ПФ-К "Кронос", "Кронос-ЖД", ПФ-ВЕГА, ПФ-Обь ЖД, ПФ-Сибатекс, ПФ-101 ЛОКО "Омега", ПФ-115 Е ЖТ, ПФ-115 "Кронос", ПФ-115 СВ, ПФ-ОД-15 ЖВ, ПФ-188 СВ, ПФ-188 ЖТ, ПФ-1305 ЖД, ПФ Крата-СТ, ПФС "Стрела", "АКРЕМ-Металл", "АКРЕМ-Уретал", ПЕНТАКРИЛ-ЖД, Поликор-7, "Экспресс", ВД-АК-1309 ЖТ
Грунтовки ГФ-0119, ГФ-0163, ПФ-025, ПФ-0244, ВЛ-02, ВЛ-023, АГЗ-К, ФЛ-03К, ФЛ-03Ж, ЭФ-065, ВД-КЧ-0247, УР-0432 "Уретан-Антикор, "Уникор-ЖД", УР-0432 "Уретан-Антикор-протектор", краска-грунтовка ВД-АК-1503; грунтовка ВЛ-02, затем грунтовка ГФ-0308
-
40. Эмаль ПФ-123
Грунтовки ФЛ-03К, ГФ-0119
-
41. Эмаль ПФ-167
Грунтовки ГФ-021, ГФ-0119, ГФ-021 "Виктория", ГФ-021 "Люкс", ГФ-021 серая, ВЛ-05, ВЛ-023, ЭП-0263 С, ЭФ-065
-
42. Эмали ПФ-837, ПФ-1147 "ВЭ"
Грунтовки ГФ-021, ГФ-021 "Виктория", ГФ-021 "Л", ГФ-021 "Люкс", ГФ-021 серая, ПФ-0244, ПФ-0260, ГФ-031, ГФ-032, ГФ-0119, "Ореол", ГФ-0163, КФ-030, В-КФ-093, ПФ-025, ПФ-031, АК-070, АК-070М, ВЛ-02, ВЛ-09, ВЛ-02 с алюминиевой пудрой, ФЛ-03Ж, ФЛ-03К, ФЛ-05К, ФЛ-086
КФ-003, МС-006, ПФ-002
43. Эмаль ПФ-1145
Грунтовка ЭФ-065, эмаль ЭФ-1219
-
44. Эмаль "ЯрЛИ" ПФ-1315
Грунтовки ГФ-0119, ГФ-0163, ПФ-0244, "ЯрЛИ" ПФ-0294, ВЛ-02, АК-070, АК-0209, "ЯрЛИ" АК-0293, "ЯрЛИ" ЭП-0280, "ЯрЛИ" ЭП-0280 ГЛ, ЭФ-065, "ЯрЛИ" ЭФ-0292, "ЯрЛИ" ВД-АК-0247
-
45. Эмаль "ЯрЛИ" ПФ-1387
Грунтовки ГФ-0119, ГФ-021, ГФ-0163, ФЛ-03Ж, ФЛ-03К, ВЛ-02, АК-070, АК-0209, "ЯрЛИ" АК-0293, "ЯрЛИ" ЭП-0286, ЭФ-065, "ЯрЛИ" ЭФ-0292
-
46. Лак ПФ-170 с алюминиевой пудрой
Грунтовки ГФ-021, ГФ-021 "Л", ГФ-021 "Виктория", ГФ-021 "Люкс", ГФ-021 серая, ПФ-0244, ПФ-0260, ГФ-031, ГФ-0119, "Ореол", ПФ-025, ПФ-031, АК-070, АК-070М, ВЛ-02, ВЛ-023, ВЛ-09, ФЛ-03Ж, ФЛ-05К, ФЛ-03К
-
47. Эмаль Дельта PRO-115
Грунтовки ГФ-021, ЭП-0259, Дельта PRO-01
-
48. Эмаль ХВ-БГО
Грунтовки ХВ-050, ХС-010, ХС-059, ХС-068
-
49. Эмали ХВ-16, ХВ-16Р, ХВ-124, ХВ-179, ХВ-518, ХП-7120, ХП-1267
Грунтовки ГФ-021, ГФ-021 "Виктория", ГФ-021 "Л", ГФ-021 "Люкс", ГФ-021 серая, ПФ-0244, ПФ-0260, ГФ-031, ГФ-032, ГФ-0119, "Ореол", ГФ-0163, В-МЛ-0143, В-МЛ-0275, ХВ-050, ХВ-0278, АК-069, ПФ-025, ПФ-031, АК-070, АК-070М, ВЛ-02, ВЛ-023, ВЛ-09, ВЛ-02 с алюминиевой пудрой, ВЛ-023 с алюминиевой пудрой, ВЛ-09, ХС-010, ХС-059, ХС-068, ФЛ-03Ж, ФЛ-03К, ФЛ-05К, ФЛ-086, ЭП-0199, ВД-КЧ-0176, ХВ-0265, ЭП-0180, ЭП-0199, ЭП-0199 "Инкор", ЭП-0259, ЭС-0422, УР-0438, композиции "ГРЭМИРУСТ", ЭП-1-100 "Корника"
ХВ-004
50. Эмали ХВ-110, ХВ-113
Грунтовки ГФ-021, ГФ-021 "Виктория", ГФ-021 "Л", ГФ-021 "Люкс", ГФ-021 серая, ПФ-0244, ПФ-0260, ГФ-032, ГФ-0119, "Ореол", ПФ-031, ХВ-050, ХВ-0278, АК-069, АК-070, АК-070М, ВЛ-02, ВЛ-023, ВЛ-09, ХС-010, ХС-068, ХС-059, ФЛ-03Ж, ФЛ-03К, ФЛ-05К, ЭП-0180, ЭП-0199, ЭП-0199 "Инкор", композиции "ГРЭМИРУСТ", ЭП-1-100 "Корника"
ХВ-004
51. Эмаль ХВ-238
Грунтовки В-МЛ-0143, В-МЛ-0275, ХВ-050, АК-070, АК-070М, ФЛ-03Ж, ФЛ-03К, ФЛ-05К, ВЛ-02, ВЛ-023, ВЛ-09, ВЛ-02 с алюминиевой пудрой, ВЛ-023 с алюминиевой пудрой, ХС-059, ХС-068
ХВ-004, ХВ-0015
52. Эмаль ХВ-536
Грунтовки АК-069, АК-070, АК-070М; грунтовка ФЛ-086, затем грунтовки АК-070, АК-070М
-
53. Эмали ХВ-553 М, ХВ-556
Грунтовки АК-070, АК-070М, ВЛ-02, ВЛ-023, ВЛ-09
-
54. Эмаль ХВ-714
Грунтовки АК-070, АК-070М, ВЛ-02, ВЛ-023, ВЛ-09, ХС-059, ХС-068
-
55. Эмаль ХВ-774
Грунтовки ХС-010, ХС-068, ФЛ-03Ж, ФЛ-03К, АК-070, АК-070М
-
56. Эмали ХВ-785, ХВ-1120
Грунтовки ХВ-050, ХВ-0278, ХС-010, ХС-059, ХС-068, АК-070, АК-070М, ВЛ-02, ВЛ-023, ВЛ-09, ВЛ-02 с алюминиевой пудрой, ВЛ-023 с алюминиевой пудрой, ВЛ-09, ФЛ-03Ж, ФЛ-03К, ФЛ-05К, ЭП-0180, ЭП-0199, ЭП-0199 "Инкор", композиции "ГРЭМИРУСТ", ЭП-1-100 "Корника", грунтовка ЭС-0422
ХВ-004
57. Эмаль ХВ-7141
Грунтовка ЭП-0259
-
58. Лак ХВ-784
Эмаль ХВ-785
-
59. Эмаль Дельта PRO-116
Грунтовка Дельта PRO-01
-
60. Эмаль Дельта PRO-720
Грунтовки ГФ-021, ФЛ-03К, ЭП-0259, Дельта PRO-01
-
61. Эмаль "ЭнергоКор-2"
Грунтовки ГФ-021, АК-070, ЭП-0259
-
62. Эмаль АК-142
Грунтовки ЭП-0228, ЭП-0270, эмали МЛ-1110, МЛ-1300, МЛ-1500
-
63. Эмаль АК-1341
Грунтовки ЭП-0228, ЭП-0270
-
64. Эмали АК-194, АК-1102, АК-192, АК-5178М
Грунтовки ГФ-017, ГФ-021, ГФ-021 "Виктория", ГФ-021 "Л", ГФ-021 "Люкс", ГФ-021 серая, ПФ-0244, ПФ-0260, ГФ-031, ГФ-032, ГФ-0119, "Ореол", ПФ-025, ПФ-031, ГФ-0163, В-КФ-093, АК-070, АК-070М, "ЯрЛИ" АК-0293, "ЯрЛИ" АК-0295, ВЛ-02 с алюминиевой пудрой, ВЛ-023 с алюминиевой пудрой, ФЛ-03Ж, ФЛ-03К, ФЛ-05К, ФЛ-086, ЭП-09Т, "ЯрЛИ" ЭП-0281, "ЯрЛИ" ЭП-0282, "ЯрЛИ" ЭП-0287, шпатлевка ЭП-0010, эмаль В-МА-1232
МС-006, НЦ-008, ПФ-002
65. Эмаль АК-1239, затем лак АК-181, эмаль ПЭЦ-1140, затем лак АК-1141
Грунтовки В-КФ-093, В-КЧ-0207, В-ЭП-0101, В-ЭП-0103, В-ЭП-0190, ЭП-0228, ЭП-ПЛ-0235; В-КФ-093, В-КЧ-0207, В-ЭП-0101, В-ЭП-0103, В-ЭП-0190, В-ЭП-0196, затем грунтовка ЭП-0270
МС-006, ПЭ-0089
66. Эмаль "ЯрЛИ" АК-1340
Грунтовка "ЯрЛИ" АК-0267
-
67. Эмаль АК-1522
Грунтовки ЭП-0439, АК-0440, ЭС-0422, УР-0438
-
68. Эмаль ВЛ-515
Грунтовки ВЛ-02, ВЛ-023
-
69. Эмаль УРФ-1128
Грунтовки ГФ-017, ГФ-021, ГФ-021 "Виктория", ГФ-021 "Л", ГФ-021 "Люкс", ГФ-021 серая, ПФ-0244, ПФ-0260, ГФ-0119, "Ореол", ПФ-025, ПФ-031, В-КФ-093, МС-067, ВЛ-02, ВЛ-09, ВЛ-02 с алюминиевой пудрой, УРФ-0106, УРФ-0110, ФЛ-03Ж, ФЛ-05К, ФЛ-03К
КФ-003, МС-006, ПФ-002
70. Эмали "ЯрЛИ" УР-1368 Г, "ЯрЛИ" УР-1368 ПГ, "ЯрЛИ" УР-1368 М
Грунтовки ВЛ-02, АК-070, АК-0209, "ЯрЛИ" АК-0293, "ЯрЛИ" АК-0295, "ЯрЛИ" ЭП-0182, "ЯрЛИ" ЭП-0280
-
71. Эмаль КПУ-1
Грунтовки ЭП-0208, ЭП-0215
-
72. Эмаль КПУ-12
Грунтовки КПФ-01, КПУ-02
-
73. Эмаль УР-1161
Грунтовки ФЛ-03Ж, ФЛ-03К, ФЛ-05К, ЭП-0156, ЭП-0208
-
74. Эмаль УР-1524
Грунтовки ГФ-021, ВЛ-02, УР-0442
-
75. Эмаль АК-1521
Грунтовки ЭП-0439, УР-0438, ЭС-0422, эмаль УР-1526, затем эмаль УР-1520; грунтовки ЭП-0439, УР-0438, ЭС-0422, эмаль УР-1526
-
76. Лак УР-797
Грунтовка УР-0438, затем эмаль УР-1520
-
77. Эмаль АК-1523
Грунтовка АК-0440
-
78. Эмаль ЭС-1524
Грунтовка ЭС-0422
-
79. Эмали АК-1511 "Разноцвет", УР-1515 "Уретан-Антикор"
Грунтовка УР-0432 "Уретан-Антикор", затем эмаль УР-1513 "Уретан-Антикор"; грунтовка УР-0432 "Уретан-Антикор-протектор"
-
80. Эмаль УР-1513 "Уретан-Антикор"
Грунтовки УР-0432 "Уретан-Антикор", УР-0432 "Уретан-Антикор-протектор"
-
81. Эмаль ПЛ-18
Грунтовки ГФ-021, ФЛ-03К
-
82. Эмаль ХС-119
Грунтовки ГФ-021, ГФ-021 "Л", ГФ-021 "Люкс", ГФ-021 серая, ГФ-031, ГФ-032, ГФ-0119, ГФ-0163, "Ореол", ПФ-025, ПФ-031, ПФ-0244, ПФ-0260, ХВ-050, АК-070, АК-070М, ВЛ-02 с алюминиевой пудрой, ВЛ-023 с алюминиевой пудрой, ХС-059, ХС-068, ФЛ-03Ж, ФЛ-03К, ФЛ-05К, ФЛ-086, ЭП-057
ХВ-004
83. Эмали ХС-436С, ХС-436Т
Грунтовки ВЛ-02, ВЛ-05, ВЛ-09, ВЛ-023, ЭП-0263С
-
84. Эмаль ХС-759
Грунтовки ХВ-050, ХВ-0278, ХС-010, ХС-059, ХС-068, ЭП-0180, ЭП-0199, ЭП-0199 "Инкор", композиции "ГРЭМИРУСТ", ЭП-1-100 "Корника"
ХВ-004
85. Лак ХС-76
Грунтовки ХС-04, ХС-04 "В", эмали ХС-75У, ХС-558, ХС-558 "В"
-
86. Лак ХС-724
Эмаль ХС-759
-
87. Эмаль ХС-75У
Грунтовки ГФ-021, ГФ-021 "Виктория", ГФ-021 "Л", ГФ-021 "Люкс", ГФ-021 серая, ПФ-0244, ПФ-0260, ГФ-0119, ГФ-0163, "Ореол", ПФ-025, ПФ-031, ХВ-050, АК-069, АК-070, АК-070М, ВЛ-02 с алюминиевой пудрой, ХВ-0278, ХС-010, ХС-059, ХС-068, ФЛ-03Ж, ФЛ-03К, ФЛ-05К, ФЛ-086, ЭП-0180, ЭП-0199, ЭП-0199 "Инкор", композиции "ГРЭМИРУСТ", ЭП-1-100 "Корника"
ХВ-004
88. Эмаль ФП-1516
Грунтовки "Эпокур" ЭП-0316, ЭП-0263 С, эмали МЛ-12, ЭП-773, ЭП-525, "Эпокур" ЭП-7142
-
89. Эмаль ХС-5146
Грунтовка АК-070, АК-070М
-
90. Эмаль ФЛ-687
Грунтовка ФЛ-087
-
91. Эмаль ФА-5104
Грунтовка В-КФ-093
-
92. Эмаль В-ФЛ-1199
Грунтовки ГФ-017, ГФ-021, ГФ-021 "Виктория", ГФ-021 "Л", ГФ-021 "Люкс", ГФ-021 серая, ГФ-0119, "Ореол", ПФ-025, ПФ-031, ПФ-0244, ПФ-0260, В-КФ-093, В-КЧ-0207, В-МЛ-0143, В-МЛ-0275, ФЛ-03Ж, ФЛ-03К, ФЛ-05К, В-ЭП-0101, В-ЭП-0190, В-ЭП-0196
-
93. Эмаль ФП-545
Грунтовки АК-070, АК-070М, ЭП-057, ЭП-0109
-
94. Эмаль "ЭнергоКор-4"
Грунтовки ГФ-021, АК-070, АК-070М, ФЛ-03К, ЭП-0259
-
95. Эмаль ХП-1512 "Марион-Антикор"
Грунтовки УР-0432 "Уретан-Антикор", УР-0432 "Уретан-Антикор-протектор"
-
96. Эмаль ЭП-51
Грунтовки ГФ-032, АК-070, АК-070М, ВД-КЧ-0176, ВЛ-02, ВЛ-023, ВЛ-09, ВЛ-02 с алюминиевой пудрой, ВЛ-023 с алюминиевой пудрой, ВЛ-09, ФЛ-03Ж, ФЛ-03К, ЭП-09Т, ЭП-057, ЭП-076, ЭП-0156, ЭП-0180, ЭП-0199, ЭП-0199 "Инкор", "Эпокур" ЭП-0316, композиции "ГРЭМИРУСТ", ЭП-1-100 "Корника", шпатлевка ЭП-0010
НЦ-008, ПФ-002
97. Эмали ЭП-91, ЭП-255
Грунтовки АК-070, АК-070М, ВЛ-02, ВЛ-023, ВЛ-02 с алюминиевой пудрой, ВЛ-09, ЭП-09Т, ЭП-057
-
98. Эмали ЭП-140, ЭП-586
Грунтовки АК-069, АК-070, АК-070М, ВЛ-02, ВЛ-023, ВЛ-02 с алюминиевой пудрой, ВЛ-023 с алюминиевой пудрой, ВЛ-09, ЭП-09Т, ЭП-057, ЭП-076, ЭП-0156, "Эпокур" ЭП-0316, ЭС-0422, ЭП-0439, шпатлевка ЭП-0010, эмаль В-МА-1232
ПФ-002, ЭП-0010
99. Эмали ЭП-148, ЭП-148 светло-голубая
Грунтовки АК-070, АК-070М, ВЛ-02, ВЛ-023, ВЛ-09, ВЛ-02 с алюминиевой пудрой, ЭП-09Т, ЭП-057
-
100. Эмаль ЭП-191
Грунтовки АК-069, АК-070, ВЛ-02, ВЛ-023, ВЛ-09, ЭП-09Т
-
101. Эмаль ЭП-274
Грунтовки ГФ-031, ГФ-032, ГФ-0119, "Ореол", ГФ-0163, В-КФ-093, АК-070, АК-070М, ВЛ-02, ВЛ-023, ВЛ-02 с алюминиевой пудрой, ВЛ-023 с алюминиевой пудрой, ВЛ-09, ФЛ-03Ж, ФЛ-03К, ФЛ-05К, ЭП-09Т, ЭП-057, ЭП-076, ЭП-0156, "ЯрЛИ" ЭП-0281, "Эпокур" ЭП-0316, шпатлевка ЭП-0010
КФ-003, МС-006, ЭП-0020
102. Эмаль ЭП-275
Грунтовки АК-070, АК-070М, ВЛ-02, ВЛ-023, ВЛ-02 с алюминиевой пудрой, ВЛ-023 с алюминиевой пудрой, ВЛ-09, ЭП-09Т, ЭП-057, ЭП-076, ЭФ-0121, ЭП-0156, "ЯрЛИ" ЭП-0281, "Эпокур" ЭП-0316
ЭП-0010
103. Эмаль ЭП-422
Грунтовка ЭП-0109, "Эпокур" ЭП-0316
-
104. Эмали ЭП-525, ЭП-567, ЭП-575, ЭП-525 "П"
Грунтовки АК-069, АК-070, АК-070М, ВЛ-02, ВЛ-023, ВЛ-02 с алюминиевой пудрой, ВЛ-023 с алюминиевой пудрой, ВЛ-09, ЭП-09Т, ЭП-057, ЭП-076, ЭП-0156, ЭП-0180, ЭП-0199, ЭП-0199 "Инкор", "ЯрЛИ" ЭП-0281, композиции "ГРЭМИРУСТ", ЭП-1-100 "Корника", шпатлевка ЭП-0010
ЭП-0010, ЭП-0020
105. Эмаль ЭП-525 РБ
Грунтовка АК-070, эмаль ЭП-525
-
106. Эмали ЭП-715, ЭП-716
Грунтовки АК-070, ФЛ-03Ж, ФЛ-03К, ЭП-09Т
-
107. Эмаль ЭП-711
Грунтовки АК-070, АК-070М, ВЛ-02, ВЛ-023, ВЛ-09, ЭП-057, "Эпокур" ЭП-0316, шпатлевка ЭП-0010
ЭП-0010, ЭП-0020
108. Эмали ЭП-773, ЭП-773М
Грунтовки АК-070, АК-070М, ВЛ-02, ВЛ-023, ВЛ-09, ЭП-09Т, ЭП-057, ЭП-076, ЭП-0156, ЭП-0180, ЭП-0199, ЭП-0199 "Инкор", "ЯрЛИ" ЭП-0281, ЭП-0439, ЭС-0422, композиции "ГРЭМИРУСТ", ЭП-1-100 "Корника", шпатлевка ЭП-0010, эмаль В-МА-1232
ЭП-0010, ЭП-0020
109. Эмаль ЭП-793
Грунтовка ЭП-076, затем шпатлевка ЭП-0010
-
110. Эмаль ЭП-1143
Грунтовка ЭП-0156
-
111. Эмаль ЭП-1236
Грунтовки АК-070, АК-070М, ВЛ-02, ВЛ-09, ЭП-045, ЭП-057, ЭП-0156, ЭП-0199, ЭП-0266, ЭП-0259, "Эпокур" ЭП-0316
ЭП-0010, МС-006
112. Эмаль ЭП-1155
Грунтовка ЭП-057, шпатлевка ЭП-0010
-
113. Эмаль "ЯрЛИ" ЭП-1223
Грунтовка ГФ-021, ГФ-021 "Л", ГФ-021 "Люкс", ГФ-021 серая, ПФ-0244, ПФ-0260, ПФ-031, В-КФ-093, В-КЧ-0207, В-МЛ-0143, В-МЛ-0160, В-МЛ-0275, ФЛ-03Ж, ФЛ-03К, ФЛ-05К, В-ЭП-0190, В-ЭП-0101
114. Эмали ЭП-1267, ЭП-1294, ЭП-1294М, ЭП-5287, ЭС-5299, грунт-эмаль ЭП-1112 "Корнет"
Грунтовки АК-070, АК-070М, ВЛ-02, ВЛ-09, ЭП-045, ЭП-057, ЭП-0199, ЭП-0266, ЭП-0259, ЭП-0180, ЭП-0199, ЭП-0199 "Инкор", "Эпокур" ЭП-0316, ВД-АК-0-150, композиции "ГРЭМИРУСТ", ЭП-1-100 "Корника"
ЭП-0010, МС-006
115. Эмаль ЭП-1299
Эмаль ЭП-1294
-
116. Эмали Эвикор-алюминиевая, Эвикор марок А, В, Т
Грунтовки ХС-010, ХС-059, ВЛ-02, ВЛ-023, ЭП-0263С, ЭП-057, ЭП-0199, Эпипрайм марок А и Т
-
117. Эмали "ЯрЛИ" ЭП-1302, "ЯрЛИ" ЭП-5308
Грунтовка "ЯрЛИ" ЭП-0287, затем грунтовка "ЯрЛИ" ЭП-0289
-
118. Эмали "ЯрЛИ" ЭП-1323 М, "ЯрЛИ" ЭП-1323 ПГ
Грунтовки ГФ-017, ГФ-021, ГФ-0119, ГФ-0163, ПФ-0244, ВЛ-02, ВЛ-023, ВЛ-02 с алюминиевой пудрой, ВЛ-023 с алюминиевой пудрой, АК-070, АК-070М, АК-0209, ФЛ-03К, "ЯрЛИ" ЭП-0280, "ЯрЛИ" ЭП-0286
-
119. Эмали "ЯрЛИ" ЭП-5301, "ЯрЛИ" ЭП-7126
Грунтовка "ЯрЛИ" ЭП-0280
-
120. Эмаль ЭП-2114
Грунтовки АК-070, АК-070М, ЭП-09Т, ЭП-0156
-
121. Эмаль ЭП-9111
Лак ЭП-9200
-
122. Эмаль Дельта PRO-510
Грунтовки УР-0432 "Уретан-Антикор", УР-0432 "Уретан-Антикор-протектор"
-
123. Эмаль "Танкпейн"
Грунтовка "Танкпрайм"
-
124. Эмаль Эпобен Б-ЭП-610
Грунтовка Эпобен Б-ЭП-0261
-
125. Эмаль Дельта PRO-710
Грунтовки АК-070, АК-070М, ФЛ-03К, ЭП-0259, Дельта PRO-01
-
126. Эмаль "ЭнергоКор-3"
Грунтовки АК-070, АК-070М, ФЛ-03К, ЭП-0259
-
127. Эмаль "Эвинал-21"
Грунтовки ВЛ-02, ВЛ-05, ВЛ-09, ВЛ-023, ЭП-0263С, эмаль ХС-436Т
-
128. Эмаль "Эвинал-28"
Грунтовки ВЛ-05, ВЛ-09, ВЛ-023, ЭП-263 С, "Эпокур" ЭП-0316
-
129. Эмаль ЭТ-199
Грунтовки ГФ-017, ГФ-021, ГФ-021 "Виктория", ГФ-021 "Л", ГФ-021 "Люкс", ГФ-021 серая, ГФ-032, ГФ-0119, ГФ-0163, "Ореол", ПФ-025, ПФ-031, ПФ-0244, ПФ-0260, В-КФ-093, В-МЛ-0143, В-МЛ-0275, АК-070, АК-070М, ВЛ-02, ВЛ-023, ВЛ-02 с алюминиевой пудрой, ВЛ-023 с алюминиевой пудрой, ФЛ-03Ж, ФЛ-03К, ФЛ-05К, В-КЧ-0207, В-ЭП-0101, В-ЭП-0196, эмаль В-МА-1232
КФ-003, МС-006, ПФ-002
130. Эмали ЭФ-1118ПГ, ЭФ-1118ПМ, ЭФ-1118М
Грунтовки ГФ-017, ВЛ-02, ВЛ-023, ВЛ-02 с алюминиевой пудрой, ФЛ-03Ж, ФЛ-03К, ФЛ-05К, ЭФ-0137
-
131. Эмаль ЭФ-1219
Грунтовки ВЛ-02, ВЛ-023, ФЛ-03Ж, ФЛ-05К, ФЛ-03К
-
132. Эмаль "ЯрЛИ" В-ЭФ-1372
Грунтовка "ЯрЛИ" ЭП-0282
-
133. Композиции ОС-12-01, ОС-12-03, ОС-51-03
Грунтовки ВЛ-02, ВЛ-023, АК-070, ФЛ-03К, ФЛ-03Ж, ФЛ-05К, композиция ЭП-1-100 "Корника"
-
134. Композиция ОС-56-22
Грунтовки АК-070, АК-070М, ВЛ-02, композиция ЭП-1-100 "Корника"
-
135. Эмаль "ЯрЛИ" В-ЭФ-1372
Грунтовки ФЛ-03К, "ЯрЛИ" ЭФ-0292
-
136. Краска ВД-АК "Гамма-Элан"
Грунтовка ВД-АК "Гамма-Элан"
-
137. Состав "ЯрЛИ" ВД-АК-511
Грунтовка "ЯрЛИ" ЭП-0296
-
138. Лак "ЯрЛИ" ВД-АК-1106 по составу "ЯрЛИ" ВД-АК-511
Грунтовка "ЯрЛИ" ЭП-0296
-
139. Композиция ВАК ВД-АК-012ПК
Грунтовки ГФ-0119, ГФ-021, композиции ВАК ВД-АК-013ПК, ВАК ВД-АК-014ПК, ВАК ВД-АК-015ПК, ВАК ВД-АК-017ПК, ВАК ВД-КС-021ПК
-
140. Композиция ВАК ВД-АК-014ПК
Композиция ВАК ВД-АК-013ПК, грунтовки ГФ-0119, ГФ-021
-
141. Композиция ВАК ВД-АК-015ПК
Композиция ВАК ВД-АК-012ПК, ВАК ВД-АК-013ПК, грунтовки ГФ-0119, ГФ-021
-
142. Композиция ВАК ВД-АК-017ПК
Грунтовки ГФ-0119, ГФ-021, композиции ВАК ВД-АК-012ПК, ВАК ВД-АК-013ПК, ВАК ВД-АК-014ПК, ВАК ВД-АК-015ПК, ВАК ВД-АК-017ПК, ВАК ВД-КС-021ПК
-
143. Композиция ВАК ВД-АК-018ПК
Композиция ВАК ВД-АК-017ПК, грунтовки ГФ-0119, ГФ-021
-
144. Композиция ВАК ВД-КС-021ПК
Композиции ВАК ВД-АК-012ПК, ВАК ВД-АК-021К, грунтовки ГФ-0119, ГФ-021
-
145. Краска "МетаТэкс-А"
Грунт-краска "МетаТэкс-М"
-
146. Эмаль "Акрокор"
Грунт-краски "Акрокор-1", "Акрокор-2"
-
Примечания. 1. Знак "-" означает необходимость проверки сочетаемости материалов.
2. Лак МЛ-21 наносят по декалькомании на поверхность, окрашенную эмалями АС-182, МЛ-12, МЛ-152, с соответствующими грунтовками.
3. Грунтовки ВЛ-02 и ВЛ-023 по стали применяют с последующим перекрытием антикоррозионной грунтовкой. Под эпоксидные материалы допускается применять грунтовки ВЛ-02 и ВЛ-023 без перекрытия антикоррозионной грунтовкой.
4. Эмали МЛ-165, МЛ-165ПМ для условий У1 наносят на предварительно загрунтованные поверхности, окрашенные соответствующими меламинными и пентафталевыми эмалями.
Для условий эксплуатации У2, У3, УХЛ4 допускается наносить эмали МЛ-165, МЛ-165ПМ на загрунтованные поверхности без предварительного перекрытия меламинными и пентафталевыми эмалями.
5. Покрытия на основе эмалей марок ХВ и ХС после получения выдерживают при температуре 15 - 30 °C в течение 5 сут или при температуре 60 °C в течение 5 - 6 ч.
6. Композиции ВАК марок ВД-АК-012ПК, ВД-АК-014ПК, ВД-АК-015ПК, ВД-АК-017ПК, ВД-АК-018ПК, ВД-КС-021ПК сочетаются с грунтовками ГФ-0119, ГФ-021 и эмалью ПФ-115 при любом порядке слоев покрытия.
Таблица 4
Сочетаемость материалов при получении покрытий изделий
для эксплуатации в районах с холодным климатом
Марка материала внешнего слоя покрытия
Марка материала, применяемого в качестве первичного и промежуточного слоя
1. Эмаль АС-131
Грунтовка ВЛ-02, затем грунтовки АК-070, АК-070М
2. Эмали АС-182, ЭТ-199
Грунтовки ГФ-017, ГФ-0119, В-КФ-093, В-МЛ-0143, В-МЛ-0160, В-МЛ-0275, ВД-КЧ-0176, эмаль В-МА-1232
3. Эмали АС-730, АС-1115
Грунтовка ВЛ-02 с алюминиевой пудрой, АК-070, АК-070М
4. Эмали АС-554, АС-555, затем лак АС-528
Эмали МЛ-12, МЛ-152 по грунтовке АС-071
5. Эмаль "ЯрЛИ" АС-1280
Грунтовки ФЛ-03Ж, "ЯрЛИ" АК-0293, "ЯрЛИ" ЭП-0280, "ЯрЛИ" ЭП-0280 ГЛ, ЭФ-065, "ЯрЛИ" ЭФ-0292
6. Эмаль АУ-1518 "Универсал-люкс"
Грунтовки ГФ-017, АК-070, АК-070М, ВЛ-02 с алюминиевой пудрой, ВЛ-023 с алюминиевой пудрой, ФЛ-03Ж, ЭП-0199, композиция "ГРЭМИРУСТ"
7. Эмаль АУ-1004 "ПФ-ФЕРРА-ЖД"
Грунтовка ЭП-0199, композиция "ГРЭМИРУСТ"
8. Эмаль Гамма-УР-11
Грунтовки АК-070, ЭП-057, Эпипрайм марок Б и Т
9. Эмаль ГФ-820
Грунтовки АК-070, АК-070М, ВЛ-02 с алюминиевой пудрой
10. Эмали КО-88, КО-811, КО-813, КО-814, КО-828
Грунтовки ВЛ-02 с алюминиевой пудрой, ФЛ-03Ж
11. Эмаль КО-834
Грунтовка КО-052
12. Эмаль УР-1519
Грунтовки ЭП-0439, УР-0438, ЭС-0422
13. Эмали МЛ-12, МЛ-12 "К", МЛ-152, МЛ-197, МЛ-1110, МЛ-1111, МЛ-1225, МЛ-1300, МЛ-1500, В-ПЭ-1179, МЛ-1120, АК-1511 "Разноцвет", АК-1301, АК-1112 "Люкс-комплект"; эмали АК-1112 "Люкс-комплект", АК-1301, затем лак АК-1112; эмали ПЛ-1348, ПЛ-1382, затем лаки АК-1103, АС-1105Т
Грунтовки ГФ-017, ГФ-018, В-КФ-093, В-КЧ-0207, ВД-КЧ-0176, В-МЛ-0143, В-МЛ-0160, В-МЛ-0275, АК-070, АК-070М, АК-0291, ПЭ-047, ВЛ-02, ВЛ-09, ВЛ-02 с алюминиевой пудрой, ВЛ-023 с алюминиевой пудрой, ФЛ-03Ж, ПЛ-0213, ПЛ-07, ЭП-045, ЭП-0228, ЭП-0270, ЭП-ПЛ-0235, ЭФ-0137, В-ЭП-0101, В-ЭП-0103, В-ЭП-0190, В-ЭП-0196, В-ЭП-0254, эмали В-МА-1232, ГФ-571, В-ФЛ-1199, В-ФЛ-1199Э
14. Эмали МЛ-165, МЛ-165ПМ
Эмали ПФ-115, МЛ-12, МЛ-152, МЛ-1156, В-МА-1232, грунтовка ЭП-0439
15. Эмаль МЛ-279ОП
Грунтовки АК-070, АК-070М, ВЛ-02, ВЛ-09, ВЛ-02 с алюминиевой пудрой, ФЛ-03Ж, ЭП-09Т, ЭФ-0137
16. Эмаль МЛ-1156
Грунтовки ГФ-017, В-МЛ-0143, В-МЛ-0160, В-МЛ-0275, АК-070, В-КФ-093, В-КЧ-0207, В-ЭП-0190, В-ЭП-0196, эмаль В-МЛ-1232
17. Эмали "ЯрЛИ" МЛ-5257, "ЯрЛИ" МЛ-5265
Эмали МЛ-942, ЭП-969
18. Эмаль МЧ-145
Грунтовки ГФ-017, В-КФ-093, В-КЧ-0207, В-МЛ-0143, В-МЛ-0160
19. Композиция ОС-56-22
Грунтовки ВЛ-02, ВЛ-09, АК-070
20. Эмали ПФ-115, ПФ-115 "Экстра", ПФ-115 М, ПФ-126, ПФ-131, ПФ-188, ПФ-223, ПФ-1217ВЭ, ПФ-1250ВС, ПФ-1331, "ГАММА-стандарт", "Интерьер"
Грунтовки "ЯрЛИ" УР-0273 В, ГФ-017, ГФ-0119, В-КФ-093, В-МЛ-0143, В-МЛ-0160, В-МЛ-0275, ПФ-031, АК-070, АК-070М, "ЯрЛИ" АК-0295, ВЛ-02, ВЛ-023, ВЛ-09, ВЛ-02 с алюминиевой пудрой, ВЛ-023 с алюминиевой пудрой, ВД-КЧ-0176, ФЛ-03Ж, эмаль В-МА-1232, "ЯрЛИ" ЭП-0287, "ЯрЛИ" ВД-АК-0247
21. Эмаль "ЯрЛИ" ПФ-1315
Грунтовки ПФ-0244, "ЯрЛИ" ПФ-0294, ВЛ-02, АК-070, АК-0209, "ЯрЛИ" АК-0293, "ЯрЛИ" ЭП-0280, "ЯрЛИ" ЭП-0280 ГЛ, ЭФ-065, "ЯрЛИ" ЭФ-0292, "ЯрЛИ" ВД-АК-0247
22. Эмаль "ЯрЛИ" ПФ-1387
Грунтовки ФЛ-03Ж, АК-070, АК-0209, "ЯрЛИ" АК-0293, ВЛ-02, "ЯрЛИ" ЭП-0280, "ЯрЛИ" ЭП-0286, ЭФ-065, "ЯрЛИ" ЭФ-0292
23. Лак ПФ-170 с алюминиевой пудрой
Грунтовки АК-070, АК-070М, ВЛ-02, ВЛ-023, ВЛ-09, ФЛ-03Ж
24. Эмали ХВ-16, ХВ-16Р, ХВ-110, ХВ-113, ХВ-124, ХВ-238
Грунтовки В-МЛ-0143, В-МЛ-0275, АК-070, АК-070М, ВЛ-02 с алюминиевой пудрой, ВЛ-023 с алюминиевой пудрой, ВЛ-09, ХС-010, ХС-059, ХС-068, ВД-КЧ-0176, ЭП-0180, ЭП-0199, ЭП-0199 "Инкор", ЭС-0422, композиции "ГРЭМИРУСТ", ЭП-1-100 "Корника"
25. Эмаль ХВ-518
Грунтовки АК-070, АК-070М, ХС-059, ХС-068; грунтовки ВЛ-02, затем АК-070, АК-070М
26. Эмаль ХВ-536
Грунтовки АК-070, АК-070М
27. Эмали ХВ-714, ХВ-774, ХС-119, ХС-75У, ХП-7120, ХП-1267
Грунтовки АК-070, АК-070М; АК-070, АК-070М, по грунтовке ВЛ-02, ВЛ-09, ХС-010, ХС-059, ХС-068, ХВ-050, ВЛ-02 с алюминиевой пудрой, ХВ-0265, УР-0438, ЭП-0259, ЭП-0180, ЭП-0199, ЭП-0199 "Инкор", композиции "ГРЭМИРУСТ", ЭП-1-100 "Корника"
28. Эмали ХВ-785, ХС-759
Грунтовки ХС-010, ХС-059, ХС-068, УР-0438, ЭП-0180, ЭП-0199, ЭП-0199 "Инкор", композиции "ГРЭМИРУСТ", ЭП-1-100 "Корника"
29. Эмаль ХВ-7141
Грунтовка ЭП-0259
30. Лак ХС-76
Эмаль ХС-75У
31. Эмали Дельта PRO-116, Дельта PRO-720
Грунтовка Дельта PRO-01
32. Эмаль "ЭнергоКор-2"
Грунтовки АК-070, АК-070М
33. Эмаль АК-1239, затем лак АК-181, эмаль ПЭЦ-1140, затем лак АК-1141
Грунтовки ЭП-0228, ЭП-ПЛ-0235 по грунтовкам В-КФ-093, В-КЧ-0207, В-ЭП-0101, В-ЭП-0103, В-ЭП-0190, ПЛ-07
34. Эмали "ЯрЛИ" АК-1316, "ЯрЛИ" АК-1349, "ЯрЛИ" АК-1379; эмали "ЯрЛИ" АК-1316, "ЯрЛИ" АК-1349, "ЯрЛИ" АК-1379, затем лак "ЯрЛИ" АК-1104
Грунтовки В-МЛ-0143, "ЯрЛИ" АК-0293, "ЯрЛИ" ЭП-0280, "ЯрЛИ" ЭП-0282; грунтовки В-КЧ-0207, В-МЛ-0143, "ЯрЛИ" АК-0293, "ЯрЛИ" ЭП-0280, "ЯрЛИ" ЭП-0282, затем "ЯрЛИ" УР-0273 В, ЭП-0228; грунтовки "ЯрЛИ" ЭП-0281, "ЯрЛИ" ЭП-0282, затем "ЯрЛИ" ЭП-0283, "ЯрЛИ" ЭП-0283 ОУ; грунтовка ВЛ-02, затем "ЯрЛИ" АК-0293, "ЯрЛИ" ЭП-0280, "ЯрЛИ" ЭП-0282, затем "ЯрЛИ" УР-0273 В, ЭП-0228; грунт-эмаль ХВ-0278
35. Эмаль АК-1388
Грунтовки В-КЧ-0207, В-КФ-093, В-МЛ-0143, В-МЛ-0160, "ЯрЛИ" АК-0293, ЭП-0228, "ЯрЛИ" ЭП-0280, "ЯрЛИ" ЭП-0282
36. Эмаль АК-1522
Грунтовки ЭП-0439, УР-0438, ЭС-0422, АК-0440
37. Эмаль ВЛ-515
Грунтовки ВЛ-02, ВЛ-09
38. Эмаль ПЛ-18
Грунтовка ФЛ-03Ж
39. Эмаль КПУ-1
Грунтовки ЭП-0208, ЭП-0215
40. Эмаль КПУ-12
Грунтовки КПФ-1, КПУ-02
41. Эмаль УР-1128
Грунтовки ГФ-017, В-КФ-093, ВЛ-02, ВЛ-09, ВЛ-02 с алюминиевой пудрой
42. Эмали УР-1161, УР-1180
Грунтовка ЭП-0156
43. Эмали "ЯрЛИ" УР-1368 ПГ, "ЯрЛИ" УР-1368 Г, "ЯрЛИ" УР-1368 М
Грунтовки АК-070, АК-0209, "ЯрЛИ" АК-0293, "ЯрЛИ" АК-0295, ВЛ-02, "ЯрЛИ" ЭП-0182, "ЯрЛИ" ЭП-0280
44. Эмали УР-1515 "Уретан-Антикор", АК-1511 "Разноцвет"
Грунтовка УР-0432 "Уретан-Антикор", затем эмаль УР-1513 "Уретан-Антикор"; грунтовка УР-0432 "Уретан-Антикор-протектор"
45. Эмаль УР-1513 "Уретан-Антикор"
Грунтовка УР-0432 "Уретан-Антикор"
46. Эмаль УР-1524
Грунтовки ВЛ-02, УР-0442
47. Эмаль АК-1521
Грунтовки ЭП-0439, УР-0438, ЭС-0422, эмаль УР-1526, затем эмаль УР-1520; грунтовки ЭП-0439, УР-0438, ЭС-0422
48. Лак УР-797
Эмаль УР-1520, грунтовка УР-0438
49. Эмаль ЭС-1524
Грунтовка ЭС-0422
50. Эмаль АК-1523
Грунтовка АК-0440
51. Эмаль В-ФЛ-1199
Грунтовки ГФ-017, В-КФ-093, В-КЧ-0207, В-МЛ-0143, В-МЛ-0160, В-МЛ-0275, В-ЭП-0101, В-ЭП-0190, В-ЭП-0196
52. Эмаль ФП-545
Грунтовки ЭП-057, ЭП-0109
53. Эмаль ФП-1516
Грунтовки ВЛ-02, ЭП-0263 С, "Эпокур" ЭП-0316
54. Эмаль "ЭнергоКор-4"
Грунтовки АК-070, АК-070М
55. Эмаль Дельта PRO-710
Грунтовки АК-070, АК-070М, Дельта PRO-01
56. Эмаль ХП-1512 "Марион"
Грунтовки УР-0432 "Уретан-Антикор", УР-0432 "Уретан-Антикор-протектор"
57. Грунтовка "ЯрЛИ" ЭП-0283 ОУ
Грунтовка "ЯрЛИ" ЭП-0282
58. Эмаль ЭП-140
Грунтовки АК-070, АК-070М, ЭП-09Т, ЭП-045, ЭП-076, ЭП-0156, ЭП-0439, ЭС-0422, эмаль В-МА-1232
59. Эмаль ЭП-422
Грунтовка ЭП-0109
60. Эмаль ЭП-525
Грунтовки АК-070, АК-070М, ВЛ-02, ВЛ-023, ВЛ-09, ЭП-09Т, ЭП-057, ЭП-076, ЭП-0156, ЭП-0180, ЭП-0199, ЭП-0199 "Инкор", композиции "ГРЭМИРУСТ", ЭП-1-100 "Корника", шпатлевка ЭП-0010
61. Эмаль ЭП-525 "П"
Грунтовка ЭП-0156
62. Эмаль ЭП-525 РБ
Эмаль ЭП-525
63. Эмали ЭП-773, ЭП-773 М
Грунтовки ЭП-045, ЭП-057, ЭП-0180, ЭП-0199, ЭП-0199 "Инкор", ЭП-0439, ЭС-0422, композиции "ГРЭМИРУСТ", ЭП-1-100 "Корника", шпатлевка ЭП-0010, эмаль В-МА-1232
64. Эмаль "ЯрЛИ" ЭП-1223
Грунтовки В-КФ-093, В-КЧ-0207, В-МЛ-0143, В-МЛ-0160, В-МЛ-0275, В-ЭП-0190
65. Эмали ЭП-1267, ЭП-1236, ЭП-1294, ЭП-1294М, ЭП-5287, ЭС-5299, грунт-эмаль ЭП-1112 "Корнет"
Грунтовки АК-070, АК-070М, ВЛ-02, ВЛ-09, ЭП-057, ЭП-0199, ЭП-0259, ЭП-0266, ЭП-0180, ЭП-0199, ЭП-0199 "Инкор", композиции "ГРЭМИРУСТ", ЭП-1-100 "Корника", шпатлевка ЭП-0010
66. Эмали "ЯрЛИ" ЭП-1302, "ЯрЛИ" ЭП-5308
Грунтовка "ЯрЛИ" ЭП-0287, затем грунтовка "ЯрЛИ" ЭП-0289
67. Эмаль ЭП-1299
Эмаль ЭП-1294
68. Эмали "ЯрЛИ" ЭП-1323 М, "ЯрЛИ" ЭП-1323 ПГ
Грунтовки ГФ-017, ПФ-0244, АК-070, АК-070М, АК-0209, ВЛ-02, ВЛ-023, ВЛ-02 с алюминиевой пудрой, ВЛ-023 с алюминиевой пудрой, "ЯрЛИ" ЭП-0280, "ЯрЛИ" ЭП-0286
69. Эмаль ЭП-2114
Грунтовки АК-070, АК-070М, ЭП-09Т, ЭП-0156
70. Эмали "ЯрЛИ" ЭП-5301, "ЯрЛИ" ЭП-7126
Грунтовка "ЯрЛИ" ЭП-0280
71. Эмаль ЭП-9111
Лак ЭП-9200
72. Эмаль Эпобен Б-ЭП-610
Грунтовка Эпобен Б-ЭП-0261
73. Эмаль "Танкпейнт"
Грунтовка "Танкпрайм"
74. Эмали Эвикор-алюминиевая, Эвикор марок А, В, Т
Грунтовки ХС-010, ХС-059, ВЛ-02, ВЛ-023, ЭП-0267С, ЭП-057, ЭП-0199
75. Эмаль "ЭнергоКор-3"
Грунтовки АК-070, АК-070М
76. Эмали ЭФ-1118ПГ, ЭФ-1118ПМ, ЭФ-1118М
Грунтовки ГФ-017, ВЛ-02 с алюминиевой пудрой, ЭФ-0137
77. Эмаль ЭФ-1219
Грунтовки ВЛ-02, ВЛ-09
78. Эмаль ЭФ-1242
Грунтовка ЭП-0200
79. Эмаль "ЯрЛИ" В-ЭФ-1372
Грунтовка ЭФ-0282
80. Композиции ОС-12-03, ОС-51-03
Грунтовки ВЛ-02, ВЛ-023, АК-070, ФЛ-03Ж
81. Краска ВД-АК "Гамма-Элан"
Грунтовка ВД-АК "Гамма-Элан"
82. Краска МетаТэкс-М
Краска-грунт МетаТэкс-М
83. Эмаль "Акрокор"
Грунт-краски "Акрокор-1", "Акрокор-2"
Примечания. 1. Покрытия на основе марок ХВ и ХС после получения выдерживают при температуре 15 - 30 °C в течение 5 сут или при температуре 60 °C - в течение 5 - 6 ч.
2. Эмаль ХВ-124 в сочетании с грунтовкой АК-070 применяют для стали.
3. Эмаль ПФ-115 в сочетании с грунтовкой АК-070 применяют для алюминия и оцинкованной стали.
4. Эмаль ХВ-110 в сочетании с грунтовкой ВЛ-02 с алюминиевой пудрой применяют для всех металлов, кроме алюминия и его сплавов.
5. Эмаль ЭТ-199 в сочетании с грунтовкой ВЛ-02 с алюминиевой пудрой применяют для стали, чугуна и оцинкованной стали.
6. Эмаль ПФ-188 в сочетании с грунтовкой АК-070 применяют для алюминия и его сплавов.
7. Грунтовку ВЛ-02 по стали применяют с последующим перекрытием антикоррозионной грунтовкой.
Под эпоксидные материалы допускается применять грунтовки ВЛ-02 и ВЛ-023 без перекрытия антикоррозионной грунтовкой.
8. Эмаль ХС-5146 в сочетании с грунтовкой АК-070 применяют для алюминия и его сплавов.
9. Эмали МЛ-165, МЛ-165ПМ, АС-554 дневные флуоресцентные наносят на предварительно загрунтованные поверхности, окрашенные соответствующими алкидными эмалями.
10. Эмаль КО-834 в сочетании с грунтовкой КО-052 применяют для алюминия и его сплавов.
Таблица 5
Сочетаемость материалов при получении покрытий изделий
для эксплуатации в районах с тропическим климатом
Марка материала внешнего слоя покрытия
Марка материала, применяемого в качестве первичного и промежуточного слоя
Грунтовка
Шпатлевка
1. Эмаль АС-182
Грунтовки ГФ-017, ГФ-0119, ГФ-021 "Виктория", В-КФ-093, В-КЧ-0207, В-МЛ-0143, В-МЛ-0160, В-МЛ-0275, АК-070, АК-070М, ВЛ-02, ВЛ-09, ВЛ-023, ВЛ-02 с алюминиевой пудрой, ВЛ-023 с алюминиевой пудрой, ФЛ-03Ж, ФЛ-03К, ВД-КЧ-0176
МС-006, ПФ-002
2. Эмаль АС-1115
Грунтовки АК-069, АК-070, АК-070М
-
3. Эмаль АС-1171
Грунтовка ЭП-0200
-
4. Эмаль "ЯрЛИ" АС-1280
Грунтовки "ЯрЛИ" АК-0293, ФЛ-03Ж, ФЛ-03К, "ЯрЛИ" ЭП-0280, "ЯрЛИ" ЭП-0280 ГЛ, ЭФ-065, "ЯрЛИ" ЭФ-0292
-
5. Эмаль АС-1383
Грунтовки В-КЧ-0207, В-КФ-093, "ЯрЛИ" АК-0293, затем грунтовки "ЯрЛИ" УР-0273 В, ЭП-0228
-
6. Эмаль Гамма-УР-11
Грунтовки АК-070, ЭП-057, Эпипрайм марок Б и Т
-
7. Эмали ГФ-820, ГФ-1426, лак ГФ-95 с алюминиевой пудрой
Грунтовки ГФ-017, АК-070, АК-070М, ФЛ-03Ж, ФЛ-03К
МС-006, ПФ-002
8. Эмали КО-88, КО-811, КО-813, КО-814, КО-828
Грунтовки ФЛ-03Ж, ФЛ-03К
-
9. Эмаль УР-1519
Грунтовки ЭП-0439, УР-0438, ЭС-0422
-
10. Эмали МЛ-12, МЛ-12 "К", МЛ-148, МЛ-152, МЛ-158, МЛ-197, МЛ-279ОП, МЛ-1110, МЛ-1111, МЛ-1156, МЛ-1120, МЛ-1300, МЛ-1500, АК-1301, АК-1112 "Люкс-комплект"; эмали АК-1112 "Люкс-комплект", АК-1301, затем лак АК-1112; эмали ПЛ-1348, ПЛ-1382, затем лаки АК-1103, АС-1105Т
Грунтовки ГФ-017, ГФ-018, ГФ-0119, ГФ-021 "Виктория", В-КФ-093, В-КЧ-0207, В-МЛ-0143, В-МЛ-0160, АК-070, АК-070М, ВЛ-02, ВЛ-09, ВЛ-023, ВЛ-02 с алюминиевой пудрой, ВЛ-023 с алюминиевой пудрой, ПЛ-0213, ПЛ-07, ФЛ-03Ж, ФЛ-03К, ФЛ-086, ЭП-045, ЭП-0156, ЭП-0228, ЭП-0270, ЭП-ПЛ-0235, ЭФ-0137, В-ЭП-0101, В-ЭП-0103, В-ЭП-0190, ВЭП-0196, ВД-КЧ-0176, эмали ГФ-571, В-МА-1232
МС-006, ПФ-002, ПЭ-0089
11. Эмали МЛ-165, МЛ-165ПМ, МЛ-165, затем эмаль МС-160
Эмали МЛ-12, МЛ-152, МЛ-1156, В-МА-1232, грунтовка ЭП-0439
МС-006, ПФ-002
12. Эмаль МЛ-169, затем лак МЛ-21
Грунтовки ГФ-017, В-КФ-093, В-КЧ-0207, ФЛ-03К, затем грунтовка МЛ-064
-
13. Эмаль МЛ-1214МЭ
Грунтовки ГФ-017, В-КФ-093, ЭП-0228
-
14. Эмаль МЛ-1225
Грунтовки ГФ-017, В-КФ-093, В-КЧ-0207
-
15. Эмали "ЯрЛИ" МЛ-5257, "ЯрЛИ" МЛ-5265
Эмали МЛ-942, ЭП-969
-
16. Лак МЛ-21
Эмали АС-182, МЛ-12, МЛ-152
-
17. Эмали ГФ-2136, НЦ-11, НЦ-11А, НЦ-143, НЦ-256, НЦ-1249
Грунтовки ГФ-017, АК-070, "ЯрЛИ" АК-0295, ФЛ-03Ж, ФЛ-03К
НЦ-008
18. Эмали ПФ-115, ПФ-115 М, ПФ-115 "Экстра", ПФ-163, ПФ-188, ПФ-223, ПФ-1250ВС, ПФ-1331, "ГАММА-стандарт", "Престиж"
Грунтовки ГФ-017, ГФ-0119, В-КФ-093, В-МЛ-0143, В-МЛ-0160, В-МЛ-0275, АК-070, АК-070М, "ЯрЛИ" АК-0295, ВЛ-02, ВЛ-09, ВЛ-023, ВЛ-02 с алюминиевой пудрой, ВЛ-023 с алюминиевой пудрой, "ЯрЛИ" УР-0273 В, ФЛ-03Ж, ФЛ-03К, "ЯрЛИ" ЭП-0287, ВД-КЧ-0176, эмаль В-МА-1232
МС-006, ПФ-002
19. Эмаль ПФ-123
Грунтовка ФЛ-03К
-
20. Эмаль ПФ-1246
Грунтовка ПФ-0244
-
21. Эмаль "ЯрЛИ" ПФ-1315
Грунтовки ПФ-0244, "ЯрЛИ" ПФ-0294, ВЛ-02, АК-070, АК-0209, "ЯрЛИ" АК-0293, ВЛ-02, "ЯрЛИ" ЭП-0280, "ЯрЛИ" ЭП-0280 ГЛ, ЭФ-065, "ЯрЛИ" ЭФ-0292
22. Эмаль "ЯрЛИ" ПФ-1387
Грунтовки ВЛ-02, АК-070, АК-0209, "ЯрЛИ" АК-0293, ФЛ-03К, "ЯрЛИ" ЭП-0280, "ЯрЛИ" ЭП-0286, ЭФ-065, "ЯрЛИ" ЭФ-0292
-
23. Эмаль ПФ-837
Грунтовки ВЛ-02, ВЛ-09, ВЛ-023, ВЛ-02 с алюминиевой пудрой, ВЛ-023 с алюминиевой пудрой, ФЛ-03Ж, ФЛ-03К, ФЛ-086
-
24. Лак ПФ-170 с алюминиевой пудрой
Грунтовки АК-070, АК-070М, ВЛ-02, ВЛ-09, ВЛ-023, ФЛ-03Ж, ФЛ-03К
-
25. Эмали ХВ-110, ХВ-124, ХВ-518
Грунтовки ХВ-050, АК-070, АК-070М, ВЛ-02, ВЛ-09, ВЛ-023, ВЛ-02 с алюминиевой пудрой, ВЛ-023 с алюминиевой пудрой, ХВ-0278, ХС-010, ХС-059, ХС-068, ФЛ-03Ж, ФЛ-03К, ВД-КЧ-0176, композиции "ГРЭМИРУСТ", ЭП-1-100 "Корника"
ХВ-004
26. Эмали ХВ-16, ХВ-16Р, ХВ-785, ХВ-1120
Грунтовки ХВ-050, АК-070, АК-070М, ВЛ-02, ВЛ-09, ВЛ-023, ВЛ-02 с алюминиевой пудрой, ВЛ-023 с алюминиевой пудрой, ХС-010, ХС-059, ХС-068, ФЛ-03Ж, ФЛ-03К, ВД-КЧ-0176, ЭС-0422
ХВ-004
27. Эмаль ХВ-238
Грунтовки ХВ-050, ФЛ-03К
ХВ-004
28. Эмаль ХВ-714
Грунтовки АК-070, АК-070М, ВЛ-02, ВЛ-09, ВЛ-023
-
29. Эмаль ХВ-7141
Грунтовка ЭП-0259
-
30. Эмаль Дельта PRO-116
Грунтовка Дельта PRO-01
-
31. Эмали ХП-7120, ХП-1267
Грунтовки ХВ-0265, ХВ-0278, АК-070, ВЛ-02, ВЛ-09, УР-0438, ЭП-0199, ЭП-0259, композиции "ГРЭМИРУСТ", ЭП-1-100 "Корника"
-
32. Эмали АК-192, АК-194
Грунтовки В-КФ-093, АК-070, АК-070М, ФЛ-03К, ЭП-09Т, шпатлевка ЭП-0010, эмаль В-МА-1232
МС-006, ПФ-002
33. Эмаль АК-1102
Грунтовки АК-070, АК-070М, ЭП-09Т, шпатлевка ЭП-0010, эмаль В-МА-1232
МС-006, ПФ-002
34. Эмаль АК-1239, затем лак АК-181; эмаль ПЭЦ-1140, затем лак АК-1141
Грунтовки В-КФ-093, В-КЧ-0207, В-ЭП-0101, В-ЭП-0190, В-ЭП-0196, затем грунтовки ЭП-0228, ЭП-0270, ЭП-ПЛ-0235
МС-006, ПЭ-0089
35. Эмали "ЯрЛИ" АК-1316, "ЯрЛИ" АК-1349, "ЯрЛИ" АК-1379; эмали "ЯрЛИ" АК-1316, "ЯрЛИ" АК-1349, "ЯрЛИ" АК-1379, затем лак "ЯрЛИ" АК-1104
Грунтовки В-МЛ-0143, "ЯрЛИ" АК-0293, "ЯрЛИ" ЭП-0280, "ЯрЛИ" ЭП-0282; грунтовки В-КЧ-0207, В-МЛ-0143, "ЯрЛИ" АК-0293, "ЯрЛИ" ЭП-0280, "ЯрЛИ" ЭП-0282, затем "ЯрЛИ" УР-0273 В, ЭП-0228; грунтовки "ЯрЛИ" ЭП-0281, "ЯрЛИ" ЭП-0282, затем "ЯрЛИ" ЭП-0283, "ЯрЛИ" ЭП-0283 ОУ; грунтовка ВЛ-02, затем "ЯрЛИ" АК-0293, "ЯрЛИ" ЭП-0280, "ЯрЛИ" ЭП-0282, затем "ЯрЛИ" УР-0273 В, ЭП-0228; грунт-эмаль ХВ-0278
-
36. Эмаль АК-1522
Грунтовки ЭП-0439, ЭС-0422, УР-0438
-
37. Эмаль ВЛ-515
Грунтовки ВЛ-02, ВЛ-09, ВЛ-023
-
38. Эмаль КПУ-1
Грунтовки ЭП-0208, ЭП-0215
-
39. Эмаль КПУ-12
Грунтовка КПУ-02
-
40. Эмаль УР-1161
Грунтовки АК-0138, ЭП-0208, затем грунтовки ФЛ-03К, УР-0131
-
41. Эмали "ЯрЛИ" УР-1368 Г, "ЯрЛИ" УР-1368 ПГ, "ЯрЛИ" УР-1368 М
Грунтовки АК-070, АК-0209, "ЯрЛИ" АК-0293, "ЯрЛИ" АК-0295, ВЛ-02, "ЯрЛИ" ЭП-0182, "ЯрЛИ" ЭП-0280
-
42. Эмаль УР-1524
Грунтовки ВЛ-02, УР-0442
-
43. Эмаль АК-1521
Грунтовки ЭП-0439, УР-0438, ЭС-0422, эмаль УР-1526, затем эмаль УР-1520; грунтовки ЭП-0439, УР-0438, ЭС-0422, эмаль УР-1526
44. Лак УР-797
Эмаль УР-1520, грунтовка УР-0438
-
45. Эмаль ЭС-1524
Грунтовка ЭС-0422
-
46. Эмаль АК-1523
Грунтовка АК-0440
-
47. Эмаль В-ПЭ-1179
Грунтовки ГФ-017, ГФ-018, В-КФ-093, В-КЧ-0207, В-МЛ-0143, В-МЛ-0160, В-МЛ-0275, ВЛ-02 с алюминиевой пудрой, ФЛ-03Ж, ФЛ-03К, ПЛ-0213, В-ЭП-0190, ЭП-0228
МС-006, ПФ-002, ПЭ-0089
48. Эмаль ХС-119
Грунтовки ХВ-050, ВЛ-02 с алюминиевой пудрой, ВЛ-023 с алюминиевой пудрой, ХС-059, ХС-068
-
49. Эмаль ХС-75У
Грунтовки ХВ-050, ХС-010, ХС-068, АК-070, АК-070М, ФЛ-03Ж, ФЛ-03К
ХВ-004
50. Лак ХС-76
Эмаль ХС-75У
-
51. Эмаль ХС-759
Грунтовки ХВ-0278, ХС-010, ХС-059, ХС-068, композиции "ГРЭМИРУСТ", ЭП-1-100 "Корника"
ХВ-004
52. Эмаль ХС-5146
Грунтовки АК-070, АК-070М
-
53. Эмаль ФЛ-687
Грунтовка ФЛ-087
-
54. Эмаль В-ФЛ-1199
Грунтовки В-КФ-093, В-КЧ-0207, В-ЭП-0190, В-МЛ-0143, В-МЛ-0160
-
55. Эмаль ФП-545
Грунтовки АК-070, АК-070М, ЭП-057, ЭП-0109
-
56. Эмаль ФП-1516
Грунтовки ВЛ-02, ЭП-0263, "Эпокур" ЭП-0316
-
57. Эмаль Дельта PRO-710
Грунтовки АК-070, АК-070М, Дельта PRO-01
-
58. Эмаль "ЭнергоКор-4"
Грунтовки ФЛ-03К, АК-070, АК-070М
-
59. Эмали ЭП-51, ЭП-140, ЭП-274, ЭП-525, ЭП-525 "П"
Грунтовки АК-070, АК-070М, ВЛ-02, ВЛ-09, ВЛ-023, ВЛ-02 с алюминиевой пудрой, ВЛ-023 с алюминиевой пудрой, ЭП-09Т, ЭП-057, ЭП-076, ЭП-0156, ВД-КЧ-0178, ЭП-0439, ЭС-0422, эмаль В-МА-1232
ЭП-0010, ЭП-0020
60. Эмаль ЭП-525 РБ
Эмаль ЭП-525
-
61. Эмаль ЭП-91
Грунтовки ЭП-076, ЭП-057
-
62. Эмаль ЭП-148
Грунтовки ВЛ-02, ВЛ-09, ВЛ-023
-
63. Эмаль ЭП-275
Грунтовки АК-070, АК-070М, ЭП-09Т, ЭП-057, ЭП-076, ЭП-0156
-
64. Эмаль ЭП-567
Грунтовки АК-070, АК-070М
-
65. Эмаль ЭП-716
Грунтовки ФЛ-03Ж, ФЛ-03К, ЭП-09Т
-
66. Эмали ЭП-773, ЭП-773М
Грунтовки ЭП-045, ЭП-057, ЭП-0439, ЭС-0422, шпатлевка ЭП-0010, эмаль В-МА-1232, композиции "ГРЭМИРУСТ", ЭП-1-100 "Корника"
-
67. Эмаль ЭП-793
Грунтовка ЭП-076, затем шпатлевка ЭП-0010
-
68. Эмали ЭП-1143, ЭП-1236, ЭП-2114
Грунтовка ЭП-0156
-
69. Эмаль "ЯрЛИ" ЭП-1223
Грунтовки ГФ-017, В-КФ-093, В-КЧ-0207, В-МЛ-0143, В-МЛ-0160, В-МЛ-0275, ФЛ-03К, В-ЭП-0190
-
70. Эмали ЭП-1236, ЭП-1267, ЭП-1294, ЭП-1294М, ЭП-5287, ЭС-5299, грунт-эмаль ЭП-1112 "Корнет"
Грунтовки АК-070, АК-070М, ВЛ-02, ЭП-045, ЭП-0199, ЭП-0259, композиции "ГРЭМИРУСТ", ЭП-1-100 "Корника"
-
71. Эмаль ЭП-1155
Грунтовка ЭП-057, шпатлевка ЭП-0010
-
72. Эмаль ЭП-1299
Эмаль ЭП-1294
-
73. Эмали "ЯрЛИ" ЭП-1302, "ЯрЛИ" ЭП-5308
Грунтовка "ЯрЛИ" ЭП-0287, затем грунтовка "ЯрЛИ" ЭП-0289
-
74. Эмали "ЯрЛИ" ЭП-1323 М, "ЯрЛИ" ЭП-1323 ПГ
Грунтовки ГФ-017, ПФ-0244, АК-070, АК-070М, АК-0209, ВЛ-02, ВЛ-023, ВЛ-02 с алюминиевой пудрой, ВЛ-023 с алюминиевой пудрой, ФЛ-03К, "ЯрЛИ" ЭП-0280, "ЯрЛИ" ЭП-0286
-
75. Эмали "ЯрЛИ" ЭП-5301, "ЯрЛИ" ЭП-7126
Грунтовка "ЯрЛИ" ЭП-0280
-
76. Эмаль ЭП-9111
Лак ЭП-9200
-
77. Эмаль Эпобен Б-ЭП-610
Грунтовка Эпобен Б-ЭП-0261
-
78. Эмаль "Танкпейнт"
Грунтовка "Танкпрайм"
-
79. Эмаль "ЭнергоКор-3"
Грунтовки АК-070, АК-070М, ФЛ-03К
-
80. Эмали ЭФ-1118ПГ, ЭФ-1118ПМ, ЭФ-1118М
Грунтовки ГФ-017, ВЛ-02, ВЛ-023, ФЛ-03К, ЭФ-0137
-
81. Эмаль ЭФ-1219
Грунтовки ВЛ-02, ВЛ-09, ВЛ-023, ФЛ-03Ж, ФЛ-03К
-
82. Эмаль ЭФ-1242
Грунтовка ЭП-0200
-
83. Эмаль ЭТ-199
Грунтовки ГФ-017, В-КФ-093, В-МЛ-0143, В-МЛ-0160, В-МЛ-0275, АК-070, АК-070М, ВЛ-02, ВЛ-09, ВЛ-023, ВЛ-02 с алюминиевой пудрой, ВЛ-023 с алюминиевой пудрой, ФЛ-03Ж, ФЛ-03К, эмаль В-МА-1232
МС-006, ПФ-002
84. Композиции ОС-12-01, ОС-12-03, ОС-51-03
Грунтовки ВЛ-02, ВЛ-023, АК-070, затем грунтовка ФЛ-03К; композиция ЭП-1-100 "Корника"
-
Примечания. 1. Знак "-" означает необходимость проверки сочетаемости материалов.
2. Лак МЛ-21 наносят по декалькомании на поверхность, окрашенную эмалями МЛ-12, МЛ-152, АС-182, с соответствующими грунтовками.
3. Грунтовки ВЛ-02 и ВЛ-023 по стали применяют с последующим перекрытием антикоррозионной грунтовкой. Под эпоксидные материалы допускается применять грунтовки ВЛ-02 и ВЛ-023 без перекрытия антикоррозионной грунтовкой.
4. Для условий Т1 эмали МЛ-165, МЛ-165ПМ наносят на предварительно загрунтованные поверхности, окрашенные соответствующими меламинными эмалями, для условий эксплуатации Т2, Т3 допускается наносить эмали на предварительно загрунтованные поверхности, окрашенные соответствующими алкидными эмалями.
5. Эмаль АС-1115 применяют для алюминия и его сплавов.
6. Покрытия на основе эмалей марок ХВ и ХС после получения выдерживают при температуре 15 - 30 °C в течение 5 сут или при температуре 60 °C - в течение 5 - 6 ч.
7. Эмали АС-182, ПФ-115, ПФ-163, ПФ-188, ПФ-223 в сочетании с грунтовкой ГФ-0119 применяют для условий эксплуатации Т3.
Таблица 6
Сочетаемость материалов при получении покрытий изделий
для общеклиматического исполнения
Марка материала внешнего слоя
Марка материала, применяемого в качестве промежуточного слоя
1. Эмаль АС-182
Грунтовки ГФ-017, В-КФ-093, В-МЛ-0143, В-МЛ-0160, В-МЛ-0275, АК-070, АК-070М, ВЛ-02, ВЛ-09, ВЛ-023, ВЛ-02 с алюминиевой пудрой, ВЛ-023 с алюминиевой пудрой, ФЛ-03Ж, ВД-КЧ-0176, эмаль В-МА-1232
2. Эмаль АС-1115
Грунтовки ВЛ-02, ВЛ-09, затем грунтовки АК-070, АК-070М; АК-070, АК-070М
3. Эмаль "ЯрЛИ" АС-1280
Грунтовки "ЯрЛИ" АК-0293, ФЛ-03Ж, "ЯрЛИ" ЭП-0280, ЭФ-065, "ЯрЛИ" ЭФ-0292
4. Эмаль Гамма-УР-11
Грунтовки АК-070, ЭП-057, Эпипрайм марок Б и Т
5. Эмаль ГФ-820
Грунтовки ГФ-017, АК-070, ВЛ-02 с алюминиевой пудрой, ФЛ-03Ж
6. Эмали КО-88, КО-811, КО-813, КО-814, КО-828
Грунтовка ФЛ-03Ж
7. Эмаль УР-1519
Грунтовки ЭП-0439, УР-0438, ЭС-0422
8. Эмали МЛ-12, МЛ-12 "К", МЛ-152, МЛ-197, МЛ-1110, МЛ-1111, МЛ-1120, МЛ-1300, МЛ-1500, В-ПЭ-1179, АК-1301, АК-1112 "Люкс-комплект"; эмали АК-1112 "Люкс-комплект", АК-1301, затем лак АК-1112; эмали ПЛ-1348, ПЛ-1382, затем лаки АК-1103, АС-1105Т
Грунтовки ГФ-017, ГФ-0119, ГФ-021 "Виктория", ГФ-018, В-КФ-093, В-КЧ-0207, В-МЛ-0143, В-МЛ-0160, В-МЛ-0275, АК-070, АК-070М, ВЛ-02, ВЛ-09, ВЛ-023, ВЛ-02 с алюминиевой пудрой, ВЛ-023 с алюминиевой пудрой, ПЛ-0213, ПЛ-07, ФЛ-03Ж, ЭП-045, ЭП-0228, ЭП-0270, ЭП-ПЛ-0235, В-ЭП-0101, В-ЭП-0103, В-ЭП-0190, В-ЭП-0196, эмали ГФ-571, В-ФЛ-1199, В-ФЛ-1199Э, В-МА-1232
9. Эмали МЛ-165, МЛ-165ПМ, МЛ-279ОП
Эмали МЛ-12, МЛ-152, МЛ-1156, В-МА-1232; грунтовки В-КФ-093, В-КЧ-0207, АК-070, АК-070М, ВЛ-02, ВЛ-09, ВЛ-02 с алюминиевой пудрой, ЭФ-0137; грунтовка ЭП-0439
10. Эмаль МЛ-1156
Грунтовки ГФ-017, В-КФ-093, В-КЧ-0207, В-МЛ-0143, В-МЛ-0160, В-МЛ-0275, АК-070, АК-070М, эмаль В-МА-1232
11. Эмаль МЛ-1225
Грунтовки ГФ-017, В-КФ-093, В-КЧ-0207, ФЛ-03Ж
12. Эмали "ЯрЛИ" МЛ-5257, "ЯрЛИ" МЛ-5265
Эмали МЛ-942, ЭП-969
13. Эмали ПФ-115, ПФ-115 М, ПФ-115 "Экстра", ПФ-188, ПФ-1250ВС, ПФ-1331, "ГАММА-стандарт", "Престиж"
Грунтовки ГФ-017, В-КФ-093, В-МЛ-0143, В-МЛ-0160, В-МЛ-0275, АК-070, АК-070М, ВЛ-02, ВЛ-09, ВЛ-023, ВЛ-02 с алюминиевой пудрой, ВЛ-023 с алюминиевой пудрой, ФЛ-03Ж, эмаль В-МА-1232
14. Эмаль "ЯрЛИ" ПФ-1315
Грунтовки ПФ-0244, "ЯрЛИ" ПФ-0294, АК-070, АК-0209, "ЯрЛИ" АК-0293, ВЛ-02, "ЯрЛИ" ЭП-0280, "ЯрЛИ" ЭП-0280 ГЛ, ЭФ-065, "ЯрЛИ" ЭФ-0292
15. Эмаль "ЯрЛИ" ПФ-1387
Грунтовки АК-070, АК-0209, "ЯрЛИ" АК-0293, ВЛ-02, ФЛ-03Ж, "ЯрЛИ" ЭП-0280, "ЯрЛИ" ЭП-0286, ЭФ-065, "ЯрЛИ" ЭФ-0292
16. Лак ПФ-170 с алюминиевой пудрой
Грунтовки АК-070, АК-070М, ВЛ-02, ВЛ-09, ВЛ-023, ФЛ-03Ж
17. Эмали ХВ-16, ХВ-16Р, ХВ-110, ХВ-113, ХВ-124, ХВ-238
Грунтовки ХВ-050, АК-070, АК-070М, ВЛ-02, ВЛ-09, ВЛ-02 с алюминиевой пудрой, ХС-010, ХС-059, ХВ-068, ХВ-0278, ФЛ-03Ж, ЭС-0422, ВД-КЧ-0176, композиции "ГРЭМИРУСТ", ЭП-1-100 "Корника"
18. Эмаль ХВ-518
Грунтовки АК-070, АК-070М, ХС-059, ХС-068
19. Эмаль Дельта PRO-116
Грунтовка Дельта PRO-01
20. Эмаль ХС-714
Грунтовки АК-070, АК-070М, ВЛ-02, ВЛ-09, ВЛ-023
21. Эмали ХВ-785, ХС-759
Грунтовки ХВ-050, ХВ-0278, ХС-010, ХС-059, ХС-068, ЭС-0422, композиции "ГРЭМИРУСТ", ЭП-1-100 "Корника"
22. Эмаль ХВ-7141
Грунтовка ЭП-0259
23. Эмаль АК-1239, затем лак АК-181; эмаль ПЭЦ-1140, затем лак АК-1141
Грунтовки В-КЧ-0207, В-ЭП-0101, В-ЭП-0103, В-ЭП-0190, В-ЭП-0196, затем грунтовки ЭП-0228, ЭП-0270, ПЛ-07, ЭП-ПЛ-0235
24. Эмали "ЯрЛИ" АК-1316, "ЯрЛИ" АК-1349, "ЯрЛИ" АК-1379; эмали "ЯрЛИ" АК-1316, "ЯрЛИ" АК-1349, "ЯрЛИ" АК-1379, затем лак "ЯрЛИ" АК-1104
Грунтовки В-МЛ-0143, "ЯрЛИ" АК-0293, "ЯрЛИ" ЭП-0280, "ЯрЛИ" ЭП-0282; грунтовки В-КЧ-0207, В-МЛ-0143, "ЯрЛИ" АК-0293, "ЯрЛИ" ЭП-0280, "ЯрЛИ" ЭП-0282, затем грунтовки "ЯрЛИ" УР-0273 В, ЭП-0228; грунтовки "ЯрЛИ" ЭП-0281, "ЯрЛИ" ЭП-0282, затем грунтовки "ЯрЛИ" ЭП-0283, "ЯрЛИ" ЭП-0283 ОУ; грунтовка ВЛ-02, затем грунтовки "ЯрЛИ" АК-0293, "ЯрЛИ" ЭП-0280, "ЯрЛИ" ЭП-0282, затем грунтовки "ЯрЛИ" УР-0273 В, ЭП-0228; грунт-эмаль ХВ-0278
25. Эмаль УР-1524
Грунтовки ВЛ-02, УР-0442
26. Эмаль АК-1522
Грунтовки ЭП-0439, АК-0440, УР-0438, ЭС-0422
27. Эмали ХП-1267, ХП-7120
Грунтовки ВЛ-02, ВЛ-09, АК-070, АК-070М, УР-0438, ЭП-0199, ЭП-0259, композиции "ГРЭМИРУСТ", ЭП-1-100 "Корника"
28. Эмаль ВЛ-515
Грунтовки ВЛ-02, ВЛ-09
29. Эмаль УР-1161
Грунтовка ЭП-0156
30. Эмали "ЯрЛИ" УР-1368 Г, "ЯрЛИ" УР-1368 ПГ, "ЯрЛИ" УР-1368 М
Грунтовки АК-070, АК-0209, "ЯрЛИ" АК-0293, "ЯрЛИ" АК-0295, "ЯрЛИ" ЭП-0182, ВЛ-02, "ЯрЛИ" ЭП-0280
31. Лак УР-797
Грунтовка УР-0438, затем эмаль УР-1520
32. Эмаль КПУ-1
Грунтовки ЭП-0208, ЭП-0215
33. Эмаль КПУ-12
Грунтовка КПУ-02
34. Эмаль АК-1521
Грунтовки ЭП-0439, УР-0438, ЭС-0422, эмаль УР-1526, затем эмаль УР-1520; грунтовки ЭП-0439, УР-0438, ЭС-0422, эмаль УР-1526
35. Эмаль ЭС-1524
Грунтовка ЭС-0422
36. Эмаль АК-1523
Грунтовка АК-0440
37. Эмаль ПЛ-18
Грунтовка ФЛ-03Ж
38. Эмаль ХС-119
Грунтовки ВЛ-02 с алюминиевой пудрой, ХС-059, ХС-068
39. Эмаль ХС-75У
Грунтовки АК-070, АК-070М, ХС-068, ХВ-050, ХС-010, ХС-059, композиции "ГРЭМИРУСТ", ЭП-1-100 "Корника"
40. Лак ХС-76
Эмаль ХС-75У
41. Эмаль В-ФЛ-1199
Грунтовки ГФ-017, В-КФ-093, В-КЧ-0207, В-МЛ-0143, В-МЛ-0160, В-МЛ-0275, В-ЭП-0101, В-ЭП-0190
42. Эмаль ФП-545
Грунтовки ЭП-057, ЭП-0109
43. Эмаль ФП-1516
Грунтовки ВЛ-02, ЭП-0263 С, "Эпокур" ЭП-0316
44. Эмаль "ЭнергоКор-4"
Грунтовки АК-070, АК-070М
45. Эмаль Дельта PRO-710
Грунтовки АК-070, АК-070М, Дельта PRO-01
46. Эмаль ЭП-51
Грунтовки АК-070, АК-070М, шпатлевка ЭП-0010
47. Эмали ЭП-140, ЭП-525
Грунтовки АК-070, АК-070М, ВЛ-02, ВЛ-09, ВЛ-023, ВЛ-02 с алюминиевой пудрой, ВЛ-023 с алюминиевой пудрой, ЭП-09Т, ЭП-057, ЭП-076, ЭП-0156, ЭП-0439, ЭС-0422, композиции "ГРЭМИРУСТ", ЭП-1-100 "Корника", эмаль В-МА-1232
48. Эмали ЭП-525 "П", ЭП-2114
Грунтовка ЭП-0156
49. Эмаль ЭП-525 РБ
Эмаль ЭП-525
50. Эмали ЭП-773, ЭП-773М
Грунтовки ЭП-045, ЭП-057, ЭП-0439, ЭС-0422, шпатлевка ЭП-0010, композиции "ГРЭМИРУСТ", ЭП-1-100 "Корника", эмаль В-МА-1232
51. Эмаль "ЯрЛИ" ЭП-1223
Грунтовки В-КФ-093, В-КЧ-0207, В-МЛ-0143, В-МЛ-0160, В-МЛ-0275, В-ЭП-0101, В-ЭП-0190
52. Эмали ЭП-1236, ЭП-1267, ЭП-1294, ЭП-1294М, ЭП-5287, ЭС-5299, грунт-эмаль ЭП-1112 "Корнет"
Грунтовки АК-070, АК-070М, ЭП-045, композиции "ГРЭМИРУСТ", ЭП-1-100 "Корника"
53. Эмаль ЭП-1299
Эмаль ЭП-1294
54. Эмали "ЯрЛИ" ЭП-1323 М, "ЯрЛИ" ЭП-1323 ПГ
Грунтовки ГФ-017, ПФ-0244, ВЛ-02, ВЛ-023, ВЛ-02 с алюминиевой пудрой, ВЛ-023 с алюминиевой пудрой, АК-070, АК-070М, АК-0209, "ЯрЛИ" ЭП-0280, "ЯрЛИ" ЭП-0286
55. Эмали "ЯрЛИ" ЭП-5301, "ЯрЛИ" ЭП-7126
Грунтовка "ЯрЛИ" ЭП-0280
56. Эмаль ЭП-9111
Лак ЭП-9200
57. Эмаль Эпобен Б-ЭП-610
Грунтовка Эпобен Б-ЭП-0261
58. Эмаль "Танкпейнт"
Грунтовка "Танкпрайм"
59. Эмаль "ЭнергоКор-3"
Грунтовки АК-070, АК-070М
60. Эмали ЭФ-1118ПГ, ЭФ-1118ПМ, ЭФ-1118М
Грунтовки ГФ-017, ЭФ-0137
61. Эмаль ЭФ-1219
Грунтовки ВЛ-02, ВЛ-09, ВЛ-023, ФЛ-03Ж
62. Эмаль ЭФ-1242
Грунтовка ЭП-0200
63. Эмаль ЭТ-199
Грунтовки ГФ-017, В-КФ-093, В-МЛ-0143, В-МЛ-0160, В-МЛ-0275, ВЛ-02, ВЛ-02 с алюминиевой пудрой
64. Композиции ОС-12-03, ОС-51-03
Грунтовки ВЛ-02, ВЛ-023, АК-070, ФЛ-03Ж
Примечания. 1. Эмали МЛ-165, МЛ-165ПМ для условий эксплуатации О1 наносят на предварительно загрунтованные поверхности, окрашенные соответствующими меламинными эмалями.
Для условий эксплуатации О4 допускается наносить эмали МЛ-165, МЛ-165ПМ на поверхности, загрунтованные грунтовками В-КФ-093, В-КЧ-0207, ФЛ-03Ж, ГФ-017.
2. Эмаль ПФ-115 в сочетании с грунтовкой АК-070 применяют для алюминия и его сплавов и оцинкованной стали.
3. Эмаль ХВ-110 в сочетании с грунтовкой ВЛ-02 с алюминиевой пудрой применяют для всех металлов, кроме алюминия и его сплавов.
4. Эмаль ЭТ-199 в сочетании с грунтовкой ВЛ-02 с алюминиевой пудрой применяют для стали, чугуна и оцинкованной стали.
5. Эмаль ПФ-188 в сочетании с грунтовкой АК-070 применяют для алюминия и его сплавов.
6. Грунтовки ВЛ-02, ВЛ-023 по стали применяют с последующим перекрытием антикоррозионной грунтовкой. Под эпоксидные материалы допускается применять грунтовки ВЛ-02 и ВЛ-023 без перекрытия антикоррозионной грунтовкой.
7. Покрытия на основе эмалей марок ХВ и ХС после получения выдерживают при температуре 15 - 30 °C в течение 5 сут или при температуре 60 °C - в течение 5 - 6 ч.
Таблица 7
Сочетаемость материалов при получении покрытий изделий
для эксплуатации в районах с умеренно-холодным,
с тропическим климатом и для судов
неограниченного района плавания
Марка материала внешнего слоя покрытия
Марка материала, применяемого в качестве промежуточного слоя
1. Эмаль "ЯрЛИ" АС-1280
Грунтовки "ЯрЛИ" АК-0293, ФЛ-03Ж, ФЛ-03К, "ЯрЛИ" ЭП-0280, ЭФ-065, "ЯрЛИ" ЭФ-0292
2. Эмаль Гамма-УР-11
Грунтовки АК-070, ЭП-057, Эпипрайм марок Б и Т
3. Эмаль УР-1519
Грунтовки ЭП-0439, УР-0438, ЭС-0422
4. Эмаль ГФ-820
Грунтовка ЭФ-065
5. Эмали МЛ-12, МЛ-12 "К", МЛ-197, МЛ-279ОП, МЛ-1110, МЛ-1300, МЛ-1500, АК-1301; эмаль АК-1301, затем лак АК-1112
Грунтовки ГФ-017, ГФ-0119, ГФ-018, В-КФ-093, В-КЧ-0207, В-МЛ-0143, В-МЛ-0160, ПЛ-0213, ФЛ-03Ж, ФЛ-03К, ЭП-045, ЭП-0156, ЭП-0228, В-ЭП-0101, В-ЭП-0103, В-ЭП-0190, В-ЭП-0196, ЭФ-0137, эмали ГФ-571, В-МА-1232
6. Эмали МЛ-165, МЛ-165ПМ
Грунтовки ФЛ-03Ж, ФЛ-03К, затем эмаль МЛ-12; грунтовка ЭП-0439, затем эмаль В-МА-1232
7. Эмали ПФ-115, ПФ-115 "Экстра"
Грунтовка ЭФ-065, эмали ЭФ-1219, В-МА-1232
8. Эмаль ПФ-167
Грунтовки ГФ-0119, ВЛ-02, ВЛ-09, ВЛ-023, ЭФ-065, эмали ЭФ-1219, В-МА-1232
9. Эмаль ПФ-218
Грунтовки ФЛ-03Ж, ФЛ-03К
10. Эмаль ПФ-1145
Грунтовка ЭФ-065, эмаль ЭФ-1219
11. Эмаль "ЯрЛИ" ПФ-1315
Грунтовки ГФ-0119, ПФ-0244, "ЯрЛИ" ПФ-0294, АК-070, АК-0209, "ЯрЛИ" АК-0293, ВЛ-02, "ЯрЛИ" ЭП-0280, "ЯрЛИ" ЭП-0280 ГЛ, ЭФ-065, "ЯрЛИ" ЭФ-0292
12. Эмаль "ЯрЛИ" ПФ-1387
Грунтовки ГФ-0119, АК-070, АК-0209, "ЯрЛИ" АК-0293, ВЛ-02, ФЛ-03К, "ЯрЛИ" ЭП-0280, "ЯрЛИ" ЭП-0286, ЭФ-065, "ЯрЛИ" ЭФ-0292
13. Эмали ХВ-16, ХВ-16Р, ХВ-124, ХВ-518, ХВ-1120
Грунтовки ХС-010, ХС-068, ФЛ-03Ж, ФЛ-03К, ЭС-0422, композиции "ГРЭМИРУСТ", ЭП-1-100 "Корника"
14. Эмаль ХВ-785, затем лак ХВ-784
Грунтовки ХС-010, ХС-068, ЭФ-065, ЭС-0422, композиции "ГРЭМИРУСТ", ЭП-1-100 "Корника"
15. Эмаль Дельта PRO-116
Грунтовка Дельта PRO-01
16. Эмаль ВЛ-515
Грунтовки ВЛ-02, ВЛ-09
17. Эмали "ЯрЛИ" АК-1316, "ЯрЛИ" АК-1349, "ЯрЛИ" АК-1379; эмали "ЯрЛИ" АК-1316, "ЯрЛИ" АК-1349, "ЯрЛИ" АК-1379, затем лак "ЯрЛИ" АК-1104
Грунтовки В-МЛ-0143, "ЯрЛИ" АК-0293, "ЯрЛИ" ЭП-0280, "ЯрЛИ" ЭП-0282; грунтовки В-КЧ-0207, В-МЛ-0143, "ЯрЛИ" АК-0293, "ЯрЛИ" ЭП-0280, "ЯрЛИ" ЭП-0282, затем грунтовки "ЯрЛИ" УР-0273 В, ЭП-0228; грунтовки "ЯрЛИ" ЭП-0281, "ЯрЛИ" ЭП-0282, затем грунтовки "ЯрЛИ" ЭП-0283, "ЯрЛИ" ЭП-0283 ОУ; грунтовка ВЛ-02, затем грунтовки "ЯрЛИ" АК-0293, "ЯрЛИ" ЭП-0280, "ЯрЛИ" ЭП-0282, затем грунтовки "ЯрЛИ" УР-0273В, ЭП-0228; грунт-эмаль ХВ-0278
18. Эмаль АК-1522
Грунтовки ЭП-0439, АК-0440, УР-0438
19. Эмаль УР-1176
Грунтовка ЭФ-065, эмаль ЭФ-1219
20. Эмаль АК-1521
Грунтовки ЭП-0439, УР-0438, ЭС-0422, эмаль УР-1526; грунтовки ЭП-0439, УР-0438, ЭС-0422, эмаль УР-1526, затем эмаль УР-1520
21. Лак УР-797
Грунтовка УР-0438, эмаль УР-1520
22. Эмаль ЭС-1524
Грунтовка ЭС-0422
23. Эмаль АК-1523
Грунтовка АК-0440
24. Эмаль ХС-75У
Грунтовки ФЛ-03Ж, ФЛ-03К, композиции "ГРЭМИРУСТ", ЭП-1-100 "Корника"
25. Лак ХС-76
Эмаль ХС-75У
26. Эмали ХС-436С, ХС-436Т
Грунтовки ВЛ-02, ВЛ-05, ВЛ-09, ВЛ-023, ЭП-0263С, композиции "ГРЭМИРУСТ", ЭП-1-100 "Корника"
27. Эмаль ХС-510
Грунтовки ФЛ-03К, ЭП-0263 С, ЭФ-065
28. Эмаль Дельта PRO-710
Грунтовки АК-070, АК-070М, Дельта PRO-01
29. Эмали "ЭнергоКор-3", "ЭнергоКор-4"
Грунтовки АК-070, АК-070М
30. Эмаль "Эвинал-21"
Грунтовки ВЛ-02, ВЛ-05, ВЛ-09, ВЛ-023, ЭП-0263С, эмаль ХС-436Т
31. Эмаль ХС-527
Грунтовки ВЛ-02, ВЛ-023, затем эмаль ХС-720; эмаль ЭФ-1219
32. Эмали ЭП-51, ЭП-140, ЭП-525, ЭП-773, ЭП-773М
Грунтовки ЭП-09Т, ЭП-057, ЭП-076, ЭП-0156, ЭП-0439, ЭС-0422, шпатлевка ЭП-0010, композиции "ГРЭМИРУСТ", ЭП-1-100 "Корника", эмаль В-МА-1232
33. Эмаль ЭП-525 РБ
Эмаль ЭП-525
34. Эмаль ЭП-91
Грунтовки ЭП-057, ЭП-076
35. Эмаль ЭП-1236
Грунтовки ВЛ-02, ВЛ-023, ВЛ-09, ЭП-045
36. Эмали ЭП-1267, ЭП-1294, ЭП-1294М, ЭП-5287, ЭС-5299, грунт-эмаль ЭП-1112 "Корнет"
Грунтовки АК-070, ЭП-0259, ВЛ-02, композиции "ГРЭМИРУСТ", ЭП-1-100 "Корника"
37. Эмали "ЯрЛИ" ЭП-1302, "ЯрЛИ" ЭП-5308
Грунтовка "ЯрЛИ" ЭП-0287, затем грунтовка "ЯрЛИ" ЭП-0289
38. Эмали "ЯрЛИ" ЭП-5301, "ЯрЛИ" ЭП-7126
Грунтовка "ЯрЛИ" ЭП-0280
39. Эмаль ЭП-9111
Лак ЭП-9200
40. Эмаль Эпобен Б-ЭП-610
Грунтовка Эпобен Б-ЭП-0261
41. Эмаль "Танкпейнт"
Грунтовка "Танкпрайм"
42. Эмаль "Эвинал-28"
Грунтовки ВЛ-02, ВЛ-05, ВЛ-09, ЭП-0263 С, "Эпокур" ЭП-0316
43. Эмаль ЭФ-1219
Грунтовки ВЛ-02, ВЛ-09, ВЛ-023, ФЛ-03Ж, ФЛ-03К
44. Композиции ОС-12-03, ОС-51-03
Грунтовки ВЛ-02, ВЛ-023, АК-070, затем грунтовки ФЛ-03К, ФЛ-03Ж, композиция ЭП-1-100 "Корника"
45. Краска ВД-АК "Гамма-Элан"
Грунтовка ВД-АК "Гамма-Элан"
Примечание. Покрытия на основе эмалей марок ХВ и ХС после получения выдерживают при температуре 15 - 30 °C в течение 5 сут или при температуре 60 °C - в течение 5 - 6 ч.
Таблица 8
Сочетаемость материалов при получении покрытий изделий
для всеклиматического исполнения
Марка материала внешнего слоя покрытия
Марка материала, применяемого в качестве промежуточного слоя
1. Эмаль АС-182
Грунтовки ГФ-017, В-КФ-093, В-МЛ-0143, В-МЛ-0160, ФЛ-03Ж, эмаль В-МА-1232
2. Эмаль "ЯрЛИ" АС-1280
Грунтовки ГФ-017, В-КФ-093, В-МЛ-0143, В-МЛ-0160, "ЯрЛИ" ПФ-0294, "ЯрЛИ" АК-0293, ФЛ-03Ж, "ЯрЛИ" ЭП-0280, ЭФ-065, "ЯрЛИ" ЭФ-0292
3. Эмаль Гамма-УР-11
Грунтовки АК-070, ЭП-057, Эпипрайм марок Б и Т
4. Эмаль УР-1519
Грунтовки ЭП-0439, УР-0438, ЭС-0422
5. Эмаль ГФ-820
Грунтовка ЭФ-065
6. Эмали МЛ-12, МЛ-12 "К", МЛ-152, МЛ-197, МЛ-279ОП, МЛ-1110, МЛ-1300, МЛ-1500, АК-1301; эмаль АК-1301, затем лак АК-1112
Грунтовки ГФ-017, ГФ-0119, ГФ-018, В-КФ-093, В-КЧ-0207, В-МЛ-0143, В-МЛ-0160, ПЛ-0213, ФЛ-03Ж, ЭП-045, ЭП-0156, ЭП-0228, ЭФ-0137, В-ЭП-0101, В-ЭП-0103, В-ЭП-0190, В-ЭП-0196, эмали ГФ-571, В-МА-1232
7. Эмали МЛ-165, МЛ-165ПМ
Грунтовка ФЛ-03Ж, затем эмаль МЛ-12; эмаль В-МА-1232; грунтовка ЭП-0439
8. Эмаль ПФ-188
Грунтовки ГФ-017, В-КФ-093, В-МЛ-0143, В-МЛ-0160, ФЛ-03Ж, эмаль В-МА-1232
9. Эмали ПФ-115, ПФ-115 М, ПФ-115 "Экстра", ПФ-1331, ПФ-1250ВС, "Престиж"
Эмали ЭФ-1219, В-МА-1232
10. Эмаль "ЯрЛИ" ПФ-1315
Грунтовки ГФ-017, В-КФ-093, В-МЛ-0143, В-МЛ-0160, ПФ-0244, "ЯрЛИ" ПФ-0294, АК-070, АК-0209, "ЯрЛИ" АК-0293, ВЛ-02, ФЛ-03Ж, "ЯрЛИ" ЭП-0280, "ЯрЛИ" ЭП-0280 ГЛ, ЭФ-065, "ЯрЛИ" ЭФ-0292
11. Эмаль "ЯрЛИ" ПФ-1387
Грунтовки АК-070, АК-0209, "ЯрЛИ" АК-0293, ВЛ-02, "ЯрЛИ" ЭП-0280, "ЯрЛИ" ЭП-0286, ЭФ-065, "ЯрЛИ" ЭФ-0292
12. Эмали ХВ-16, ХВ-16Р, ХВ-124, ХВ-518
Грунтовки ХС-010, ХС-068, ФЛ-03Ж, ЭС-0422, композиции "ГРЭМИРУСТ", ЭП-1-100 "Корника"
13. Эмаль ХВ-785, затем лак ХВ-784
Грунтовки ХС-010, ХС-068, ЭС-0422, композиции "ГРЭМИРУСТ", ЭП-1-100 "Корника"
14. Эмали "ЯрЛИ" АК-1316, "ЯрЛИ" АК-1349, "ЯрЛИ" АК-1379; эмали "ЯрЛИ" АК-1316, "ЯрЛИ" АК-1349, "ЯрЛИ" АК-1379, затем лак "ЯрЛИ" АК-1104
Грунтовки В-МЛ-0143, "ЯрЛИ" АК-0293, "ЯрЛИ" ЭП-0280, "ЯрЛИ" ЭП-0282; грунтовки В-КЧ-0207, В-МЛ-0143, "ЯрЛИ" АК-0293, "ЯрЛИ" ЭП-0280, "ЯрЛИ" ЭП-0282, затем грунтовки "ЯрЛИ" УР-0273 В, ЭП-0228; грунтовки "ЯрЛИ" ЭП-0281, "ЯрЛИ" ЭП-0282, затем "ЯрЛИ" ЭП-0283, "ЯрЛИ" ЭП-0283 ОУ; грунтовка ВЛ-02, затем грунтовки "ЯрЛИ" АК-0293, "ЯрЛИ" ЭП-0280, "ЯрЛИ" ЭП-0282, затем грунтовки "ЯрЛИ" УР-0273 В, ЭП-0228; грунт-эмаль ХВ-0278
15. Эмаль АК-1522
Грунтовки ЭП-0439, АК-0440, ЭС-0422, УР-0438
16. Эмаль Дельта PRO-116
Грунтовка Дельта PRO-01
17. Эмаль ВЛ-515
Грунтовки ВЛ-02, ВЛ-09
18. Лак УР-797
Грунтовка УР-0438, эмаль УР-1520
19. Эмали "ЯрЛИ" УР-1368 Г, "ЯрЛИ" УР-1368 ПГ, "ЯрЛИ" УР-1368 М
Грунтовки АК-070, АК-0209, "ЯрЛИ" АК-0293, "ЯрЛИ" АК-0295, ВЛ-02, "ЯрЛИ" ЭП-0182, "ЯрЛИ" ЭП-0280
20. Эмаль АК-1521
Грунтовки ЭП-0439, УР-0438, ЭС-0422, эмаль УР-1526; грунтовки ЭП-0439, УР-0438, ЭС-0422, эмаль УР-1526, затем эмаль УР-1520
21. Эмаль ЭС-1524
Грунтовка ЭС-0422
22. Эмаль АК-1523
Грунтовка АК-0440
23. Эмаль ХС-75У
Грунтовки ХС-010, ХС-068, ФЛ-03Ж
24. Лак ХС-76
Эмаль ХС-75У
25. Эмаль Дельта PRO-710
Грунтовки АК-070, АК-070М, Дельта PRO-01
26. Эмали "ЭнергоКор-3", "ЭнергоКор-4"
Грунтовки АК-070, АК-070М
27. Эмаль ЭП-51
Грунтовка ЭП-0156, шпатлевка ЭП-0010, эмаль В-МА-1232
28. Эмали ЭП-140, ЭП-525, ЭП-773, ЭП-773М
Грунтовки ЭП-09Т, ЭП-045, ЭП-057, ЭП-076, ЭП-0156, ЭП-0439, ЭС-0422, композиции "ГРЭМИРУСТ", ЭП-1-100 "Корника", шпатлевка ЭП-0010, эмаль В-МА-1232
29. Эмаль ЭП-525 РБ
Эмаль ЭП-525
30. Эмали ЭП-1267, ЭП-1294, ЭП-1294М, ЭП-5287, ЭС-5299, грунт-эмаль ЭП-1112 "Корнет"
Грунтовки АК-070, ЭП-0199, ЭП-0259, ВЛ-02, ВЛ-09, композиции "ГРЭМИРУСТ", ЭП-1-100 "Корника"
31. Эмаль ЭП-1299
Эмаль ЭП-1294
32. Эмаль ЭП-1236
Грунтовки ВЛ-02, ВЛ-023, ЭП-09Т, ЭП-045, ЭП-057, ЭП-076, ЭП-0156, композиции "ГРЭМИРУСТ", ЭП-1-100 "Корника", шпатлевка ЭП-0010, эмаль В-МА-1232
33. Эмали "ЯрЛИ" ЭП-1302, "ЯрЛИ" ЭП-5308
Грунтовка "ЯрЛИ" ЭП-0287, затем грунтовка "ЯрЛИ" ЭП-0289
34. Эмали "ЯрЛИ" ЭП-5301, "ЯрЛИ" ЭП-7126
Грунтовка "ЯрЛИ" ЭП-0280
35. Эмаль ЭП-9111
Лак ЭП-9200
36. Эмаль Эпобен Б-ЭП-610
Грунтовка Эпобен Б-ЭП-0261
37. Эмаль "Танкпейнт"
Грунтовка "Танкпрайм"
38. Эмаль ЭФ-1219
Грунтовки ВЛ-02, ВЛ-09, ВЛ-023, ФЛ-03Ж
39. Композиции ОС-12-03, ОС-51-03
Грунтовки ВЛ-02, ВЛ-023, АК-070, затем ФЛ-03Ж, ФЛ-03К; композиция ЭП-1-100 "Корника"
Примечания. 1. Эмали МЛ-165, МЛ-165ПМ для условий эксплуатации В1 наносят на предварительно загрунтованные поверхности, окрашенные соответствующими меламинными эмалями.
Для условий эксплуатации В4 допускается наносить эмали МЛ-165, МЛ-165ПМ на поверхности, загрунтованные грунтовками В-КФ-093, В-КЧ-0207, ФЛ-03Ж, ГФ-017.
2. Покрытия на основе эмалей марок ХВ и ХС после получения выдерживают при температуре 15 - 30 °C в течение 5 сут или при температуре 60 °C - в течение 5 - 6 ч.
Приложение 1. (Измененная редакция, Изм. N 2).
Приложение 2
Рекомендуемое
ПЕРЕЧЕНЬ ЛАКОКРАСОЧНЫХ МАТЕРИАЛОВ И ИХ СОЧЕТАЕМОСТЬ
ДЛЯ ОКРАШИВАНИЯ НЕМЕТАЛЛОВ
Таблица 1
Перечень и сочетаемость материалов для окрашивания
древесины и древесных материалов
Марка материала внешнего слоя лакокрасочного покрытия
Обозначение условий эксплуатации по ГОСТ 9.104 и ГОСТ 9.032
Марка материала, применяемого в качестве первичного и промежуточного слоя
Грунтовка
Шпатлевка
Алкидно-акриловые
1. Эмаль АС-1383
У1
Без грунтовки
-
Алкидно-уретановые
2. Лак АУ-271
УХЛ4
Без грунтовки
-
3. Лаки КАУ-1, КАУ-25
УХЛ4
Без грунтовки
-
Битумные
4. Эмаль БТ-591
УХЛ4
Без грунтовки
-
Глифталевые
5. Лак ГФ-166
У2
Без грунтовки
-
6. Эмаль ГФ-230ВЭ
УХЛ4
Без грунтовки
-
Карбамидные
7. Лаки МЧ-0163, МЧ-212, МЧ-223, МЧ-236 "М", МЧ-236 "ПМ"
УХЛ4
Без грунтовки
-
8. Лаки МЧ-52, МЧ-270
У1
Грунтовки НЦ-0135, НЦ-0302, без грунтовки
НЦ-008, МЧ-0054
9. Лак МЧ-2151
УХЛ4
Без грунтовки
-
10. Эмаль МЧ-145
У1, УХЛ1, ХЛ1
Без грунтовки
МС-006, НЦ-008, ПФ-002
11. Эмаль ПФ-145
У1
Грунтовки ГФ-017, ФЛ-03К, без грунтовки
-
12. Эмаль МЧ-173
У1
Без грунтовки
-
13. Эмаль МЧ-181
У1
Без грунтовки
МЧ-0054
Кремнийорганические
14. Эмаль КО-174
У1
Без грунтовки
-
Масляно- и алкидно-стирольные
15. Лак МС-25
УХЛ4
Без грунтовки
-
Масляные
16. Краска МА-15
У1
Без грунтовки
-
17. Краска МА-25
УХЛ4
Без грунтовки
-
Меламинные
18. Лак "Мелакс-1"
У1
Без грунтовки
-
19. Лак МЛ-248
УХЛ4
Без грунтовки
-
20. Лак МЛ-2110
У2, Т3
Без грунтовки
-
21. Эмали МЛ-12, МЛ-12 "К", АС-182
УХЛ4
Грунтовки ГФ-021, ГФ-021 "Л", ПФ-031
-
22. Эмали МЛ-12, МЛ-12 "К", МЛ-152
У1
Грунтовки ГФ-017, ГФ-018, ГФ-032, ЭП-0107
МЧ-0054
23. Эмали МЛ-12, МЛ-12 "К", МЛ-152
Т1
Грунтовки ГФ-017, ГФ-018, ФЛ-03К, ФЛ-05К, ЭП-0107
МЧ-0054
24. Эмаль МЛ-104
У1
Без грунтовки
-
Нитроцеллюлозные
25. Лак НЦ-134
УХЛ4
Без грунтовки
-
26. Лак НЦ-218
УХЛ4
Грунтовки ГФ-032, ГФ-0119, "Ореол", НЦ-0135, НЦ-0205, НЦ-0302, без грунтовки
-
27. Лаки НЦ-222, НЦ-223
УХЛ4
Грунтовки НЦ-0135, НЦ-0205, НЦ-0302, без грунтовки
-
28. Лаки НЦ-237 "М" и "ПМ", НЦ-243, НЦ-243М, НЦ-2101, НЦ-2101 "В", НЦ-2105
УХЛ4
Грунтовки НЦ-0135, НЦ-0205, НЦ-0302, без грунтовки
НЦ-008
29. Лак НЦ-269
УХЛ4
Без грунтовки
-
30. Лак НЦ-291Ц
УХЛ4
Грунтовка НЦ-0205, без грунтовки
-
31. Лаки НЦ-2102, НЦ-2103, НЦ-2139, НЦ-2144, НЦ-2180, "Нитроуретановые"
УХЛ4
Без грунтовки
-
32. Эмаль НЦ-1-085
У1
Без грунтовки
-
33. Эмаль НЦ-11
У1, Т2
Грунтовки ГФ-021, ГФ-021 "Л", ГФ-032, ФЛ-03К, ФЛ-05К
НЦ-008, ПФ-002
34. Эмаль НЦ-25
УХЛ4
Грунтовки ГФ-018, ФЛ-03К, ФЛ-05К, без грунтовки
-
35. Эмаль НЦ-132
У1
Грунтовки ГФ-021, ГФ-021 "Л", ГФ-032, ГФ-0119, "Ореол"
-
36. Эмаль НЦ-257М
УХЛ4
Без грунтовки
НЦ-008, ПФ-002
37. Эмаль НЦ-1200
У1
Без грунтовки
-
38. Эмаль НЦ-2192
УХЛ4
Без грунтовки
-
Пентафталевые
39. Лаки ПФ-231, ПФ-283 М
УХЛ4
Без грунтовки
-
40. Лак ПФ-283
У2
По окрашенной масляными красками поверхности, без грунтовки
-
41. Лаки ПФ-157, ПФ-157Л
У1
Без грунтовки
-
42. Лаки ПФ-170, ПФ-171
У1, УХЛ1, ХЛ1
Без грунтовки
-
43. Лаки "Ореол", "Ореол для паркета"
УХЛ4
Без грунтовки
-
44. Эмали ПФ-113 ВЭ "Стройлакс", ПФ-225, ПФ-266, ПФ-266 "Люкс", ПФ-268, ПФ-2140, "Эмаль для пола Ореол", "Эмаль РАСЦВЕТ для пола"
УХЛ4
Грунтовки ГФ-021, ГФ-021 "Л", ПФ-031, по окрашенной поверхности эмалями ПФ-113 ВЭ "Стройлакс", ПФ-225, ПФ-266, ПФ-266 "Люкс", ПФ-268, ПФ-2140
-
45. Эмали ПФ-115, ПФ-115 М, ПФ-115 "Экстра", ПФ-123, ПФ-124 М, ПФ-126, ПФ-131, ПФ-133, ПФ-1250ВС, ПФ-1331, "ГАММА-стандарт", "Ореол", "Престиж"
У1, УХЛ1, ХЛ1, В3
Грунтовки ГФ-021, ГФ-021 "Л", ГФ-031, ГФ-0119, "Ореол", ГФ-0163, ПФ-025, ПФ-031, КФ-030, ФЛ-03К; без грунтовки
МС-006, ПФ-002
46. Эмали ПФ-115 РАСЦВЕТ, ПФ-115 (матовые)
У1
Грунтовки ГФ-021, ГФ-021 "Л", ГФ-031, ГФ-0119, "Ореол", ГФ-0163, ПФ-025, ПФ-031, КФ-030, ФЛ-03К, без грунтовки
МС-006, ПФ-002
47. Эмаль ПФ-115 ВЭ
У1, УХЛ1
Грунтовки ГФ-021, ГФ-0119, ГФ-0163, ФЛ-03К, без грунтовки
-
48. Эмали ПФ-120, ПФ-122 "Гамма", ПФ-1148 "ВЭ", ПФ Крата-СТ
У1, УХЛ1
Без грунтовки
-
49. Эмаль ПФ-167
У1, ОМ1, 4
Грунтовки ГФ-0119, без грунтовки
-
50. Эмаль ПФ-218
У2, УХЛ2, ХЛ2, ОМ3, О4
Грунтовки ГФ-021, ГФ-021 "Л", "Ореол", ГФ-0119, ФЛ-03К, ФЛ-05К
МС-006, ПФ-002
51. Эмаль ПФ-223
У2, УХЛ2, ХЛ2, Т3
Грунтовки ГФ-021, ГФ-021 "Л", "Ореол", ГФ-0119
МС-006, ПФ-002
52. Эмаль ПФ-1217 "ВЭ"
У1
Грунтовки ГФ-021, ГФ-021 "Л", ГФ-031, ГФ-0119, "Ореол", ГФ-0163, ПФ-025, ПФ-031, КФ-030, ФЛ-03К, без грунтовки
-
53. Эмаль ПФ-1246
У1, УХЛ1
Без грунтовки
-
54. Эмаль ПФ-1283
У1
Грунтовки ГФ-032, ГФ-0119, "Ореол"
-
55. Эмаль Дельта PRO-115
У1, УХЛ1, ХЛ1, 4/1
Грунтовка ГФ-021
-
56. Эмаль "Интерьер"
У1, УХЛ1, ХЛ1
Грунтовки ГФ-021, ГФ-021 "Л", ГФ-0119, ГФ-0163, ПФ-031, ФЛ-03К, без грунтовки
-
57. Состав "Кофадекс"
У1
Без грунтовки
-
58. Состав "Пентанил"
У1, УХЛ1, ХЛ1
Без грунтовки
-
59. Состав "Тэкотекс"
У1
Без грунтовки
-
Перхлорвиниловые и поливинилхлоридные
60. Эмали ХВ-16, ХВ-16Р, ХВ-124
У1
Грунтовки ГФ-021, ГФ-021 "Л", "Ореол", ГФ-0119, ФЛ-03К, ФЛ-05К
ХВ-004
61. Эмали ХВ-16, ХВ-16Р, ХВ-124
Т1
Грунтовки ФЛ-03К, ФЛ-05К
-
62. Эмаль ХВ-110
У1
Грунтовки ГФ-021, ГФ-021 "Л", "Ореол", ГФ-0119, ФЛ-03К, ФЛ-05К, ХВ-050
ХВ-004
63. Эмаль ХВ-110
Т1
Грунтовки ФЛ-03К, ФЛ-05К, ХВ-050
ХВ-004
64. Эмаль ХВ-1121
У1
Без грунтовки
-
65. Эмаль ХВ-5169
У1, Т1, 5/3
Без грунтовки
-
66. Эмаль Дельта PRO-116
В1, 4/1, 6
Без грунтовки
-
Полиакриловые
67. Краска АК-125
У1
Без грунтовки
-
68. Краска АК-1108 фасадная
У1
По пропитанной олифой поверхности
АК-003-02
Полиуретановые
69. Лак УРФ-1
У1, УХЛ1
Без грунтовки
-
70. Лаки УР-145, "Полиур"
УХЛ4
Без грунтовки
-
71. Лак УР-293
УХЛ4
Без грунтовки
-
72. Лак УР-2197
УХЛ4
Грунтовки НЦ-0135, НЦ-0140, НЦ-0305, без грунтовки
-
73. Лак УР-797
В2, 6, 7, 8140 °C, 9/1
Без грунтовки
-
Полиэфирные ненасыщенные
74. Лаки ПЭ-232, ПЭ-250, ПЭ-250М, ПЭ-265
У2, Т2
Без грунтовки
МЧ-0054
75. Лак ПЭ-246
УХЛ4
Без грунтовки
МЧ-0054
76. Лаки ПЭ-247, ПЭ-284А, ПЭ-284Б
У2
Без грунтовки
-
77. Лак ПЭ-251
УХЛ4
Без грунтовки
-
78. Лак ПЭ-587
УХЛ4
Грунтовка НЦ-0205
-
79. Лак ПЭ-2136У
УХЛ4
Без грунтовки
-
80. Эмаль ПЭ-276
У2
Без грунтовки
-
Фенольные
81. Эмаль ФЛ-254
7/1, 7/2, 7/3
Без грунтовки
-
82. Эмали ФЛ-2128, ФЛ-5109
УХЛ4
По окрашенной поверхности эмалями ФЛ-2128, ФЛ-5109
-
Хлорированные полиэтиленовые
83. Эмали ХП-188 "Хапилен", ХП-1267, ХП-7120
О1
Без грунтовки
-
84. Эмаль Дельта PRO-710
В1, 4/1, 7/1, 7/2, 7/3, 7/4
Грунтовка ФЛ-03К
-
85. Эмаль "ЭнергоКор-4"
В1, 4/1, 7/1, 7/2, 7/3, 7/4
Грунтовка ГФ-021
-
Сополимеро-винилхлоридные
86. Лак ХС-76
УХЛ4
Без грунтовки
-
87. Эмаль ХС-75У
У1, УХЛ1, ХЛ1, В2, 4/1, 6, 7/1, 7/2, 7/3, 7/4
Без грунтовки
-
88. Эмаль ХС-510
ОМ1
Грунтовки ФЛ-03К, ФЛ-05К
-
Эпоксидные
89. Эмаль ЭП-1268
У1
Без грунтовки
-
90. Эмали ЭП-1294, ЭП-1294М
В1
Без грунтовки
-
91. Эмаль ЭП-1299
У1, УХЛ1, ХЛ1, О2, В3
Эмали ЭП-1294, ЭП-1294М
-
92. Эмаль ЭП-773 марки Б
В2, 4/1
Без грунтовки
-
Эпоксиэфирные
93. Эмаль ЭФ-1335
У1
Без грунтовки
-
Водно-дисперсионные
94. Грунтовка глубокопроникающая АКВАЛАЙН ВД-АК-0106
У1
Без грунтовки
-
95. Грунт-краска ВД-АК-1-097
УХЛ4
Без грунтовки
ВД-АК-00-097
96. Композиция ВАК марок ВД-АК-1401, композиция ВДМ-ДН марки ВД-АК-1411
У1
Композиция ВАК ВД-АК-0110, композиции ВДМ-ДН марок ВД-АК-01111, ВД-АК-01112, ВД-АК-01114
-
97. Композиции ВАК марок ВД-АК-1601, ВД-АК-1602, композиция ВДМ-ДН ВД-АК-1611
У1
Композиция ВАК ВД-АК-0110, композиции ВДМ-ДН марок ВД-АК-01111, ВД-АК-01112, ВД-АК-01115
-
98. Композиции ВАК марок ВД-АК-2401, ВД-АК-2402, ВД-АК-2403, ВД-АК-2404, ВД-АК-2405
УХЛ4
Композиции ВАК марок ВД-АК-02103, ВД-АК-0110, композиции ВДМ-ДН марок ВД-АК-01111, ВД-АК-01112, ВД-АК-01114
-
99. Композиции ВАК марок ВД-АК-2501, ВД-АК-2502, ВД-АК-2503, ВД-АК-2603, ВД-АК-2606ГС
УХЛ4
Композиции ВАК марок ВД-АК-02103, ВД-АК-0110, композиции ВДМ-ДН марок ВД-АК-01111, ВД-АК-01112, ВД-АК-01115
-
100. Краски ВД-АК-1-097, ВД-АК-1-097Ф
У1
Грунт-краска ВД-АК-1-097, без грунтовки
ВД-АК-00-097
101. Краска ВД-АК-2-097П
УХЛ4
Без грунтовки
ВД-АК-00-097
102. Краски ВД-АК-101, ВД-АК-101Ш, ВД-АК-111
У1
Грунтовка ВД-АК-0298, без грунтовки
ВД-АК-00114
103. Краски ВД-ВА-27А, ВД-КЧ-26, ВД-КЧ-26А, ВД-КЧ-227
УХЛ4
Без грунтовки
-
104. Краска ВД-АК-117
У1
Без грунтовки
-
105. Краска ВД-АК-133 "Гамма-Аква"
У1
Без грунтовки
ВД-АК-0016
106. Краска ВД-АК-134
У1
Грунтовка ВД-АК-034
-
107. Краска ВД-АК-192 "ЭнергоКор-5"
У1, УХЛ1, ХЛ1, 4/1
Состав глубокого проникновения ВД-АК-0315, затем грунтовка "ЭнергоКор-5"
-
108. Краски "Кралат", "Акра"
У1
Без грунтовки
-
109. Краска ВД-АК-226
У2
Без грунтовки
-
110. Краски "ЯрЛИ" ВД-АК-235, "ЯрЛИ" ВД-АК-236
У3, 4/1
Грунтовка "ЯрЛИ" ВД-АК-0285 проникающая
АКВАЛАЙН ВД-АК-0016
111. Краска для влажных помещений АКВАЛАЙН ВД-АК-282
УХЛ4, 4/1
Без грунтовки
АКВАЛАЙН ВД-АК-0016
112. Краска ВД-АК-1111
У1, УХЛ1, ХЛ1, 4/1
Без грунтовки
-
113. Краска "АкваКор"
УХЛ1, 4/1, 5/4
Грунтовка "Антигриб"
-
114. Краски "Полифан" ВД-АК-1ФО, "Полифан" ВД-КЧ-1ФО
У1, УХЛ1, 4
Без грунтовки
-
115. Краска ВД-ВА-224
УХЛ4
Без грунтовки
-
116. Краски ВД-ВА-251, ВД-ВА-252
УХЛ4
Без грунтовки
АКВАЛАЙН ВД-АК-0016
117. Краска АКВАЛАЙН ВД-ВА-281
УХЛ4, 4/1
Без грунтовки
ВД-АК-0016
118. Краска ВД-ПФ-136
У1
Без грунтовки
АКВАЛАЙН ВД-АК-0016
119. Краска ВД-ПФ-180
У1
Без грунтовки
ВД-АК-0016
120. Краска ВД-ПФ-1321, эмаль ВД-ПФ-1324
У1
Без грунтовки
-
121. Краска "АКРЭМ-Металл"
У1
Без грунтовки
-
122. Краска-грунтовка ВД-АК-1503
УХЛ1
Без грунтовки
-
123. Состав "ЯрЛИ" ВД-АК-510 (ПИРО-АКВА), затем лак "ЯрЛИ" ВД-АК-1101
У2, 5/3
Грунтовка "ЯрЛИ" ВД-АК-0284
-
124. Лак "ЯрЛИ" ВД-АК-1102
УХЛ1, О4, 4/1
Грунтовка "ЯрЛИ" ВД-АК-0284
-
125. Лак "АКВОС"
УХЛ1, 4/1
Без грунтовки
-
126. Лак ОРЕОЛ паркетный, ОРЕОЛ панельный
УХЛ4
Без грунтовки
-
127. Состав огнезащитный "ЯрЛИ" ВД-АК-510 (ПИРО-АКВА)
У3, 5/3
Грунтовка ВД-АК-0284
-
128. Состав ВД-ПФ-114 "Диплакс"
У1
Без грунтовки
-
129. Состав "ТЭКОТЕКС"
У1
Без грунтовки
-
130. Эмаль "ЯрЛИ" ВД-АК-1308
У1, УХЛ1, 4/1
Грунтовка "ЯрЛИ" ВД-АК-0285 проникающая
-
131. Эмаль ВД-АК-1364
У1, УХЛ1, О4, 4/1
Грунтовка "ЯрЛИ" ВД-АК-0284
-
132. Эмаль ВД-АК-2150
УХЛ4
Без грунтовки, по окрашенной поверхности
-
133. Эмаль ОРЕОЛ для столярных изделий
УХЛ4
Без грунтовки
-
Водоразбавляемые
134. Эмаль В-МС-1252
У1
Без грунтовки
-
Примечания. 1. Знак "-" означает необходимость проверки сочетаемости материалов.
2. Эмаль ЭП-773 марки Б применяют для окрашивания школьных досок.
Таблица 2
Перечень и сочетаемость материалов
для окрашивания пластмассы
Марка материала внешнего слоя покрытия
Обозначение условий эксплуатации по ГОСТ 9.104 и ГОСТ 9.032
Марка материала, применяемого в качестве промежуточного слоя
Материал окрашиваемой поверхности
Алкидно-стирольные
1. Лак АС-82
У2, Т2
Без грунтовки
Пластик АБС
2. Эмаль АС-85
УХЛ4
Без грунтовки
Стеклотекстолит ВФГ
Акрил-уретановые
3. Эмали "ЯрЛИ" АК-1379 ГЛ, "ЯрЛИ" АК-1379 М
В1, 4/1, 4/2, 6/1, 6/2
Без грунтовки
Пластик АБС
4. Эмаль Гамма-УР-11
В1
Без грунтовки
Пластмасса
Карбамидные
5. Лак МЧ-52
У1
Без грунтовки
Пластик АБС
Меламинные
6. Лак МЛ-133
У1
Без грунтовки
Пластик АБС
7. Эмаль "ЯрЛИ" МЛ-5257
О2, 6/2, 8125 °C
Эмали МЛ-942, ЭП-969
Пластмасса
8. Эмаль "ЯрЛИ" МЛ-5265
О2, 6/2, 8155 °C
Эмали МЛ-942, ЭП-969
Пластмасса
Нитроцеллюлозные
9. Эмаль НЦ-1-085
У1
Без грунтовки
Пластик АБС
Перхлорвиниловые и поливинилхлоридные
10. Эмаль ХВ-124
В1, 7/1, 4/1
Грунтовка АК-070 Шпатлевка ЭП-0010, без грунтовки
Винипласт Органопластик ЭХД-М, ЭТД-10
11. Эмаль ХВ-518
У1
Шпатлевка ЭП-0010, без грунтовки
Органопластик ЭХД-М
Полиакриловые
12. Эмаль АК-1301
В1
Шпатлевки ЭП-0010, ПЭ-0025, ПЭ-0089, без грунтовки
Пластик АБС
13. Эмаль АК-1341
У1
Без грунтовки
Полипропилен
Полиуретановые
14. Лаки УР-231, УР-231Л
УХЛ4
Без грунтовки
Текстолит, стеклопластик
15. Лак УР-9130
УХЛ4, 9/1
Без грунтовки
Текстолит, гетанакс
Фенольные
16. Эмаль ФЛ-5233
УХЛ4
Без грунтовки
Ударопрочный полистирол
Фторопластовые
17. Эмаль ФП-566 <*>
-
Без грунтовки
Стеклотекстолит
18. Эмаль ФП-1516
О1, 4, 6, 7/1, 7/2, 7/3
Без грунтовки
Полистирол, пластик АБС, эпоксидный фольгированный пластик
Эпоксидные
19. Грунтовка "Эпокур" ЭП-0316
В2
Без грунтовки
Полистирол, эпоксидный фольгированный пластик
20. Эмаль ЭП-148
9/1
Шпатлевка ЭП-0020
Эпоксидный фольгированный стеклопластик
21. Эмали ЭП-255, ЭП-51
У2
Без грунтовки
Стеклотекстолит
22. Эмаль ЭП-255
У2
Шпатлевка ЭП-0020
Асботекстолит, стеклотекстолит, пресс-материал АК-4
23. Эмаль ЭП-567
У2
Шпатлевка ЭП-0020
Ударопрочный полистирол
24. Эмаль ЭП-716
У2, Т2
Без грунтовки
Стеклотекстолит
25. Эмаль ЭП-773М
У1, 4, 5, 6/1, 7/2, 7/4
Без грунтовки
Пластик АБС, стеклопластик
26. Эмаль ЭП-1155
У2, Т2, 4/1, 7/1, 7/4
Без грунтовки
Эпоксидный фольгированный текстолит
27. Эмаль ЭП-1267
У1, Т1
Без грунтовки
Пластик АБС, стеклопластик
28. Эмаль ЭП-5261 Р
УХЛ4
Грунтовка АК-070, без грунтовки
Ударопрочный полистирол
29. Эмаль "Эпокур" ЭП-7142
В2
Без грунтовки
Пластик АБС, полиолефины
30. Эмаль АК-2130М
УХЛ4
Без грунтовки, грунтовка АК-070
Пластик АБС, полистирол, полипропилен, модифицированный полифениленоксид
--------------------------------
<*> Эмаль ФП-566 применяют для окрашивания стеклотекстолита по специальной технологии.
Таблица 3
Перечень лакокрасочных материалов для окрашивания
бетона, шифера, кирпича, асфальта, штукатурки
Марка материала
Обозначение условий эксплуатации по ГОСТ 9.104 и ГОСТ 9.032
Применяемость материалов
Асфальт
Асбоцемент
Бетон
Шифер
Штукатурка
Кирпич
Алкидно-акриловые
1. Эмаль АС-5307
О1
+
-
+
-
-
-
2. Эмаль АС-1383
У1
-
-
+
-
-
+
Кремнийорганические
3. Эмали КО-174, КО-174М
У1
-
+
+
-
+
+
4. Эмаль КО-1283Н
У1
-
+
+
-
+
+
Органосиликатные
5. Композиция ОС-12-01
У1, Т2, ОМ2
-
+
+
-
+
+
6. Композиция ОС-12-03
В1
-
+
+
-
+
+
Пентафталевые
7. Эмаль ПФ-167
У1, ОМ1
-
-
-
-
+
-
8. Эмаль ПФ-1148 "ВЭ"
У1
-
-
+
-
+
-
9. Эмаль ПФ-1246
У1
-
-
+
-
-
+
10. Эмаль ПФ-2135
УХЛ4
-
+
+
-
+
-
11. Эмаль "Интерьер"
У1, УХЛ1, ХЛ1
-
-
+
-
+
+
Перхлорвиниловые и поливинилхлоридные
12. Грунтовка Дельта PRO-01
У1, УХЛ1, ХЛ1, 4/1, 6/1, 7/3
-
-
+
-
-
-
13. Лак ХВ-148
У1
-
-
-
-
+
-
14. Краски ХВ-161, ХВ-161 "Л", ХВ-161 "Пигма", ХВ-161 "Пигма" люкс
У1
-
-
+
-
+
+
15. Эмаль ХВ-1121
У1
-
-
+
-
-
+
16. Эмаль ХВ-785
У1, УХЛ1, ХЛ1, В2, 7/1, 7/2, 7/3, 7/4
-
-
+
-
-
-
17. Эмаль ХВ-5323
У1, УХЛ1, ХЛ1
+
-
-
-
-
-
18. Эмаль ХВ-7141
О1
-
-
+
-
-
-
19. Эмаль Дельта PRO-116
В1, 4/1, 6
-
-
+
-
-
-
20. Эмаль Дельта PRO-720
У1, УХЛ1, ХЛ1, 7/1, 7/2, 7/3, 7/4
-
-
+
-
-
-
21. Эмали Дельта PRO-510, "ЭнергоКор-1"
В1, 4/1, 6/1, 6/2, 7/1, 7/2, 7/3, 7/4
-
-
+
-
-
-
22. Эмаль "ЭнергоКор-7"
У1, УХЛ1, ХЛ1, 4/1
-
-
+
-
-
-
23. Эмаль "ЭнергоКор-3"
В1, 4/1, 6/1, 7/3
-
-
+
-
-
-
24. Шпатлевка ХВ-0018 <*>
-
-
-
-
-
+
-
--------------------------------
<*> Шпатлевку ХВ-0018 применяют в качестве промежуточного слоя.
Полиакриловые
25. Лак АК-5242
У1
-
-
-
-
+
-
26. Краска АК-1108
У1
-
-
+
-
+
+
27. Краска АК-124
О1
-
-
+
-
+
+
28. Краска АК-125
У1
-
-
+
-
+
+
29. Краска АК-511
У1
+
-
+
-
-
-
30. Краска АК-539
У1, УХЛ1
+
-
-
-
-
-
31. Краска АК-540
О1
+
-
+
-
-
-
32. Краска АК-585
У1
+
-
+
-
-
-
33. Композиция АКФ-1
УХЛ1
-
+
+
+
+
+
34. Эмаль "ЯрЛИ" АК-1340
У1, УХЛ, 4/1
-
-
+
-
+
+
35. Эмаль АК-1522
В1, 7/1
-
-
+
-
+
-
36. Краска "Штольрефлекс Д1163"
О1
+
-
-
-
-
-
37. Состав АК-027 пропиточный <*>
О1
-
-
+
-
+
+
38. Состав для разметки дорог АК-549
У1
+
-
-
-
-
-
39. Состав "ЯрЛИ" АК-1362 "Декор" ("Шуба ФС Р")
У1, 4/1
-
+
+
-
+
+
40. Шпатлевка АК-0012 <*>
-
-
-
-
+
-
--------------------------------
<*> Пропиточный состав АК-027 и шпатлевку АК-0012 применяют в качестве промежуточного слоя.
Полиуретановые
41. Лак УР-797
В2, 6, 7,
8140 °C, 9/1
-
-
+
-
-
-
42. Эмаль УР-1526
В1, 4, 6, 7, 8150 °C
-
-
+
-
-
-
43. Состав-консервант "Разноцвет"
У1, УХЛ1, ХЛ1
-
-
+
-
-
-
44. Эмаль УР-1520
В1, 4, 6, 7, 8150 °C
-
-
+
-
-
-
Сополимеро-винилхлоридные
45. Составы ХС-500, ХС-500 "Пигма"
7/1
-
-
+
-
-
-
46. Эмаль Дельта PRO-500
У1, УХЛ1, ХЛ1, 4/1, 7/1, 7/2, 7/3, 7/4
-
-
+
-
-
-
Хлорированные полиэтиленовые
47. Эмаль ХП-188 "Хапилен"
О1
-
-
+
-
+
+
48. Эмаль ХП-1267
О1
-
-
+
+
-
-
49. Эмаль ХП-7120
О1
-
-
+
+
-
-
50. Эмали Дельта PRO-710, "ЭнергоКор-4"
В1, 4/1, 7/1, 7/2, 7/3, 7/4
-
-
+
-
-
-
51. Эмаль ХП-1512 "Марион-Антикор"
У1, УХЛ1, ХЛ1, 7
-
-
+
-
-
-
Эпоксидные
52. Грунтовки "ЯрЛИ" ЭП-0283, "ЯрЛИ" ЭП-0283 ОУ
УХЛ1, ОМ1, ОМ2, 4/1, 4/2, 7/2, 7/3, 7/4
-
-
+
-
-
-
53. Грунтовка "ЯрЛИ" ЭП-0286
В1
-
-
+
-
-
-
54. Композиция "ГРЭМИРУСТ"
В1
-
-
+
-
-
-
55. Композиция ЭП-1-100 "Корника"
В1
-
-
+
-
-
-
56. Композиция ЭП-1-158
УХЛ4
-
-
+
-
-
-
57. Состав "Эпол-282"
УХЛ4
-
-
+
-
-
-
58. Эмаль ЭП-555 "Котолайн"
У1
+
-
+
-
-
-
59. Эмаль ЭП-773М марки А
В2, 4/1, 5/1, 6/1, 6/2, 7/1, 7/2, 7/3, 7/4
-
-
+
-
-
-
60. Эмаль ЭП-1267
В1, 4, 6, 7/1, 7/3
-
-
+
-
-
-
61. Эмаль ЭП-1268
У1
-
-
+
-
+
-
62. Эмаль ЭП-5155
У1
+
-
-
-
-
-
63. Эмаль ЭП-5285
У1
-
-
+
-
-
-
64. Эмаль ЭП-5287
В1
-
-
+
-
-
-
65. Эмаль ЭП-5327
У1
+
-
-
-
-
-
66. Эмаль Эпобен Б-ЭП-610
В1
-
-
+
-
-
-
67. Эмаль Б-ЭП-5297 "Эповин"
4/1, 4/2, 6/1, 7
-
-
+
-
-
-
68. Компаунд "Гамма"
УХЛ3, 6/1, 6/2, 7/1, 7/3, 7/4
-
-
+
-
-
-
69. Эмаль "ЭнергоКор-2"
У1, УХЛ1, ХЛ1, 4/1, 7/1, 7/2, 7/3, 7/4
-
-
+
-
-
-
Водоразбавляемые
70. Краска "Гамма-ВЭП"
У1, УХЛ2, 6/1, 6/2, 7/3, 7/4
-
+
+
-
-
+
Водно-дисперсионные
71. Грунтовка глубокопроникающая АКВАЛАЙН ВД-АК-0106
У1
-
-
+
-
+
+
72. Грунт-краска ВД-АК-1-097
УХЛ4
-
-
+
+
+
+
73. Композиции ВАК марок ВАК-01, ВАК-001, ВАК-25
УХЛ1
-
+
+
+
+
+
74. Композиция ВАК марок ВД-КС-011, ВД-ЖС-011, ВД-АК-00126, ВД-АК-125, ВД-ЖС-125, ВД-АК-127, ВД-КО-11
УХЛ1
-
+
+
+
+
+
75. Композиции ВАК марок ВД-АК-125КО, ВД-АК-125Ц
УХЛ1
-
-
+
-
+
+
76. Краски ВД-АК-1-097, ВД-АК-1-097Ф
У1
-
-
+
+
+
+
77. Краска ВД-АК-2-097П
УХЛ4
-
-
+
+
+
+
78. Краска ВД-АК-101
У1
-
-
+
-
+
+
79. Краски ВД-АК-111, ВД-АК-117
У1
-
-
+
-
+
+
80. Краска АК-122
УХЛ1
-
-
+
-
+
+
81. Краска ВД-АК-130 "Рельеф"
У1
-
-
+
-
-
+
82. Краска ВД-АК-133 "Гамма-Аква"
У1
-
-
+
-
+
+
83. Краска ВД-АК "Гамма-Элан"
УХЛ1, ОМ1, 6/1, 7/2
-
+
+
+
-
-
84. Краска ВД-АК-192, грунтовка, состав глубокого проникновения "ЭнергоКор-5"
У1, УХЛ1, ХЛ1, 4/1
-
-
+
-
+
+
85. Краски ВД-АК-201, ВД-КЧ-201
УХЛ4
-
-
+
-
+
+
86. Краски ВД-АК-226, ВД-ВА-224
У2
-
-
+
-
+
+
87. Краска "Кралат"
У1
-
-
+
-
+
+
88. Краски ВД-АК-228 "ОП" и "ОС"
УХЛ4
-
-
+
-
+
+
89. Краска АКВАЛАЙН ВД-АК-282
УХЛ4
-
-
+
-
+
+
90. Краска АКВАЛАЙН для потолков
УХЛ4
-
-
+
-
+
+
91. Краски "ЯрЛИ" ВД-АК-235, "ЯрЛИ" ВД-АК-236
У3, 4/1
-
+
+
-
+
+
92. Краска ВД-АК-528 "Зебра"
У1
+
-
+
-
-
-
93. Краски "Полифан" ВД-АК-1ФО, "Полифан" ВД-КЧ-1ФО
У1, УХЛ1, 4
-
+
+
-
+
+
94. Краска ВД-ВА-224
УХЛ4
-
-
+
-
+
+
95. Краски ВД-ВА-251, ВД-ВА-252
УХЛ4
-
-
+
-
+
-
96. Краска АКВАЛАЙН ВД-ВА-281
УХЛ4, 4/1
-
-
+
-
+
+
97. Краска ВД-КЧ-101
У1
-
-
-
-
+
+
98. Краска ВД-КЧ-227
У2
-
-
+
-
+
+
99. Краска ВД-ПФ-136
У1
-
-
+
+
+
+
100. Эмаль ВД-ПФ-180
У1
-
-
+
-
+
+
101. Краска ВД-АК-1111
У1, УХЛ1, ХЛ1, 4/1
-
-
+
-
+
+
102. Краска ВД-ПФ-1321
У1
-
+
-
-
-
-
103. Эмаль ВД-ПФ-1324
У1, 4, 6/1, 6/2
-
-
+
-
+
-
104. Краска ВД-ЭП-012
У1, 6, 7/3
-
+
+
-
-
+
105. Краски "Котакс", "Котакс-Люкс"
У1
-
-
+
+
+
+
106. Краска "АкваКор"
УХЛ1, 4/1, 5/4
-
+
+
-
+
+
107. Грунтовка "Антигриб"
УХЛ1, 5/4
-
-
+
-
+
+
108. Краска "Акра", эмаль "Акрилакс"
У1
-
-
+
-
+
+
109. Краски "Аквест 4", "Аквест 7"
У1
-
-
+
-
+
+
110. Краска "Аквест Фасад"
У1
-
-
+
-
-
+
111. Краска "Акрэал-Люкс"
У1
-
-
+
-
+
+
112. Краска ОРЕОЛ для наружных работ
У1
-
+
+
-
+
+
113. Краска ОРЕОЛ белоснежная для стен и потолков
УХЛ4
-
-
+
-
+
+
114. Краска ОРЕОЛ белоснежная суперстойкая для влажных помещений
У3, 4/1
-
+
+
-
+
+
115. Краска-грунтовка ВД-АК-1503
УХЛ1
-
+
+
+
-
+
116. Пропитка "Котакс-Праймер"
УХЛ4
-
-
-
-
+
+
117. Состав "ЯрЛИ" ВД-АК-515 (Декор "Шуба ФС")
У1, 4/1
-
-
+
-
+
+
118. Эмаль "ЯрЛИ" ВД-АК-1314
У1, УХЛ1, 4/1
-
-
+
+
-
-
119. Эмаль "ЯрЛИ" ВД-АК-1364
У1, УХЛ1, О4, 4/1, 5/4
-
-
+
-
+
+
Примечания. 1. Лак ХВ-148 и шпатлевку ХВ-0018 применяют в качестве промежуточных слоев под краски ХВ-161, ХВ-161 "Пигма"; лак АК-5242 и шпатлевку АК-0012 - под эмаль АК-1108.
2. Систему покрытия из эмали БЭП-610 и грунтовки БЭП-0261 применяют для железобетонных поверхностей.
3. Систему покрытия "ЭнергоКор-5" применяют для бетонных, железобетонных, кирпичных оштукатуренных поверхностей, а также по гипсокартону.
4. Состав "ЯрЛИ" ВД-АК-515 (Декор "Шуба ФС") применяют для цементных и других пористых поверхностей, эмаль ВД-АК-1314 - для цементно-песчаной черепицы.
5. Эмаль "ЯрЛИ" АК-1340 применяют по грунтовке "ЯрЛИ" АК-0267 проникающей.
6. Уретановый ремонтный состав-консервант "Разноцвет" применяют для защиты бетона при непродолжительном хранении и транспортировании.
7. Композицию ВАК ВД-АК-125 применяют для покрытия стеновых материалов и штукатурных растворов с низкой и средней паропроницаемостью; композицию ВАК ВД-АК-125КО - для покрытия стеновых материалов и штукатурных растворов со средней и высокой паропроницаемостью; композицию ВАК ВД-АК-125Ц - для окраски цокольных элементов зданий и сооружений, выполненных из стеновых материалов и штукатурных растворов с низкой паропроницаемостью; композицию ВАК ВД-ЖС-125 - для окраски силикатных минеральных поверхностей стеновых материалов и штукатурных растворов со средней и высокой паропроницаемостью.
8. Композицию ВАК ВД-АК-125 применяют по грунтовке ВАК ВД-АК-011; композицию ВАК ВД-ЖС-125 - по грунтовке ВАК ВД-ЖС-011.
9. Композиции ВАК ВД-АК-00126 и ВАК-001 применяют для выравнивания дефектов поверхности при применении композиций ВАК всех марок, кроме композиции ВАК ВД-ЖС-125.
10. Композицию ВАК ВД-КО-11 применяют в качестве последнего слоя для придания покрытиям на основе композиций ВАК гидрофобных свойств.
11. Компаунд "Гамма" применяют для железобетонных поверхностей. При окрашивании мокрого бетона поверхность предварительно грунтуют краской "Гамма-ВЭП".
Приложение 2. (Измененная редакция, Изм. N 2).
Приложение 3
Справочное
ПЕРЕЧЕНЬ ЛАКОКРАСОЧНЫХ МАТЕРИАЛОВ,
ДОПУСКАЕМЫХ ДЛЯ ОКРАШИВАНИЯ АВТОМОБИЛЕЙ, ТРАКТОРОВ,
ЖЕЛЕЗНОДОРОЖНЫХ ВАГОНОВ ОБЩЕКЛИМАТИЧЕСКОГО ИСПОЛНЕНИЯ,
В ТОМ ЧИСЛЕ ПРЕДНАЗНАЧЕННЫХ ДЛЯ ЭКСПЛУАТАЦИИ В УСЛОВИЯХ
ТРОПИЧЕСКОГО И ТРОПИЧЕСКОГО МОРСКОГО КЛИМАТА
Марка материала и цвет
Категория размещения по ГОСТ 15150
Область применения
1. Мастика 579 черная
2
Для внутренней и наружной поверхности кузова, кабин и других деталей автомобилей
2. Мастика АПМ черная
3
Для отраслей вагоностроения
3. Мастика "Изомаст"
3
Для противокоррозионной защиты внутренних поверхностей пассажирского и тягового подвижного состава
4. Мастика ВД-АК-5
3
Для противокоррозионной защиты внутренних поверхностей пассажирского и тягового подвижного состава и днищ автомобиля
5. Эмаль "ЯрЛИ" АК-1316
1
Для окрашивания подвижного состава железнодорожного транспорта, кузова и деталей пассажирского и грузового транспорта
6. Эмали "ЯрЛИ" АК-1349, "ЯрЛИ" АК-1379, "ЯрЛИ" ПФ-1315
1
Для окрашивания металлоконструкций, в том числе транспортных средств, подвижного состава железнодорожного транспорта, сельскохозяйственных машин и сельскохозяйственного оборудования
7. Эмали АС-182, ПФ-188
1
Для тракторов и другой сельскохозяйственной техники
8. Эмали "ЯрЛИ" АС-1280, АК-1301, АК-1511 "Разноцвет", ПФ-К "Кронос", "Кронос-ЖД", ПФ Крата-СТ, ПФС "Стрела", ПФ-101 ЛОКО "ОМЕГА", ПФ-115 "Кронос", ПФ-115 СВ, ПФ-115Е ЖТ, ПФ-188, ПФ-188 СВ, ПФ-188 ЖТ, Пентакрил-ЖД, ПФ-ВЕГА ЖД, ПФ-1246, ПФ-1250ВС, ПФ-1305 ЖД, ПФ-Обь ЖТ, "Экспресс", Поликор-7, ПФ-ОД-15 ЖВ, "АКРЕМ-Металл", ВД-АК-1309 ЖТ, "Кронос-Спринт", ПФ-Ферра ЖД, "Промос-ПС"
1
Для окрашивания пассажирского и тягового подвижного состава
9. Грунтовки ГФ-0119, ГФ-0163, АГЗ-К, АГК-Х, ПФ-025, ПФ-0244, ВЛ-02, ВЛ-023, УР-273В, ФЛ-03Ж, ФЛ-03К, "ЯрЛИ" ЭП-0280, ЭФ-065, "Уникор-ЖД", ВД-КЧ-0247, грунтовка УР-0432 "Уретан-Антикор-протектор", краска-грунтовка ВД-АК-1503, "ВЕГА-ЖД", ВГ-28, "Праймер Обь-ЖД", "Кронос-Спринт", "АКРЭМ-Уретал"
2
Для грунтования пассажирского и тягового подвижного состава
10. Эмали "Элакор-ПУ", "Элакор-ПУ" "Стандарт", "Эмакоут-5311", "ЭПИВИН", СП-1266 С, грунтовка - преобразователь ржавчины "Кронос", состав "Гермокрон-ЖД", праймер "Гермокрон"
1
Для окрашивания грузового подвижного состава
11. Грунтовка ГФ-0308
2
В качестве промежуточного слоя для грунтования пассажирского и тягового подвижного состава
12. Грунтовка АК-0440
2
Грунтование металлоконструкции кузова под контактную сварку
13. Мастика БПМ-1 черная
1
Для внутренней и наружной поверхности кузова, кабин и других деталей автомобилей и тракторов
14. Грунтовка В-КФ-093 черная
2
Для деталей шасси автомобилей
15. Грунтовка В-МЛ-0143 черная
2
Для деталей шасси автомобилей
16. Грунтовка ГФ-089 черная
-
Для карданных валов автомобилей
17. Грунтовка ГФ-0119
-
Для деталей автомобилей
18. Грунт-эмаль ЭП-1-089 "Опал"
1
Для окрашивания дизельных двигателей
19. Пластизоль Д-11А серая
2
Для днищ и других деталей автомобилей
20. Пластизоль Д-4А серая
2
Для герметизации сварных швов
21. Эмаль МС-17 серая
2
Для автомобильных двигателей
22. Эмали МС-17 черная, ЭП-1267 черная
2
Для рам, колес и других деталей автомобилей и тракторов
23. Эмаль НЦ-184 черная
2
Для стальных и чугунных отливок
24. Эмали МЛ-12, МЛ-12 "К", МЛ-1110, МЛ-1111, МЛ-1112, МЛ-1300
1
Для декоративной отделки автомобилей и комплектующих деталей отделки автомобилей
25. Эмаль МЧ-145 различных цветов
1
Для деревянных и металлических платформ грузовых автомобилей
26. Эмаль НЦ-271М черная
2
Для декоративной отделки автомобилей
27. Эмаль НЦ-273 серебристая
2
Для автомобильных моторов и двигателей
28. Эмаль НЦ-1200 защитная
2
Для корпусов и деталей автомобилей
29. Эмали НЦ-5123 красно-коричневая, серая
3
Для внутренних необработанных поверхностей литых деталей двигателя автомобилей, соприкасающихся с маслом
30. Эмали ПФ-115, ПФ-115 "Экстра", ПФ-126
1
Для деревянных платформ автомобилей и судов морского транспорта
31. Эмаль "ЯрЛИ" ПФ-1387
2
Для окрашивания корпусных деталей электродвигателя, радиаторов автомобиля
32. Эмаль В-ФЛ-1199 черная
1
Для шасси и других деталей автомобилей
33. Эмаль ФП-1516
1
Для окрашивания вагонов
34. Эмаль "ЯрЛИ" УР-1368 М
1
Для окрашивания предварительно загрунтованных корпусных деталей электродвигателя
35. Эмаль "ЯрЛИ" УР-1368 ПГ
1
Для окрашивания техники специального назначения, для ремонтного окрашивания автомототехники
36. Эмаль "ЯрЛИ" УР-1368 Г
1
Для окрашивания загрунтованных металлических поверхностей пассажирских вагонов
37. Эмали АК-1511 "Разноцвет", УР-1515 "Уретан-Антикор", УР-1513 "Уретан-Антикор"
1
Для окрашивания железнодорожных и других транспортных металлоконструкций
38. Эмаль ЭП-1267 различных цветов
2
Для окрашивания корпусов электродвигателей, технического электрооборудования и нефтебензиновых цистерн
39. Эмаль ЭП-1236
1
Для железнодорожных вагонов, для судов морского транспорта неограниченного района плавания, для защиты емкостей для хранения светлых нефтепродуктов и реактивного топлива
40. Эмаль ЭП-1240
1
Для деталей автомобиля
41. Эмаль ЭП-1294
2
Для окрашивания корпусов электродвигателей
42. Эмаль "ЯрЛИ" ЭП-1302
1
Для окрашивания наружных поверхностей кузовов вагонов-минераловозов и вагонов-зерновозов
43. Эмаль "ЯрЛИ" ЭП-1305
2
Для окрашивания полов в тамбурах железнодорожных вагонов
44. Эмаль "ЯрЛИ" ЭП-5301
1, 2
Для окрашивания авто- и железнодорожных цистерн для перевозки нефти и бензина, емкостей и резервуаров для перевозки и хранения топлив, горюче-смазочных материалов и нефтепродуктов
45. Эмаль "ЯрЛИ" ЭП-5308, ЭП-5287
2
Для окрашивания внутренних поверхностей кузовов вагонов-минераловозов
46. Эмаль "ЯрЛИ" ЭП-7126
2
Для окрашивания аккумуляторных ящиков пассажирских вагонов
47. Эмаль "ЯрЛИ" ЭП-1323 М ЖТ
2
Для окрашивания незагрунтованных металлических поверхностей рам вагонов, тележек, подвагонного оборудования, пружинных клемм
Примечание. Знак "-" означает, что материал применяется в качестве промежуточных слоев.
Приложение 3. (Измененная редакция, Изм. N 2).
Приложение 3а
Справочное
ПЕРЕЧЕНЬ ЛАКОКРАСОЧНЫХ МАТЕРИАЛОВ ДЛЯ МАРКИРОВКИ ИЗДЕЛИЙ
Марка материала
Обозначение условий эксплуатации по ГОСТ 9.104
Маркируемый материал
1. Краска ГФ-57Ш
У1
Резина
2. Краски жестепечатные
У1, Т1
Черные и цветные металлы, пластмасса, древесина, поверхность, окрашенная эмалями марок МЛ, ХВ, НЦ
3. Краска КФ-513
У1
Алюминиевые и магниевые сплавы
4. Краска МА-514
У1, Т1
Черные и цветные металлы
5. Эмали "ЯрЛИ" МЛ-5257, "ЯрЛИ" МЛ-5265
О2
Поверхность, окрашенная эмалями марок КО, МЛ, ЭП
6. Эмаль НЦ-132
У1
Поверхность, окрашенная эмалями марок ЭП, МЛ, ГФ, ПФ
7. Краски переплетные
У1
Черные и цветные металлы, пластмасса, древесина
8. Эмали ПФ-115, ПФ-123
У1, УХЛ1, ХЛ1, В3
Древесина, поверхность, окрашенная эмалями марок ХС, ХВ, ЭП, МЛ, ГФ, ПФ
9. Краска ТНПФ
У2
Черные и цветные металлы, пластмасса, поверхность, окрашенная эмалями марок МЛ, ПФ, ХВ, ЭП, НЦ
10. Эмаль УР-175
У1, Т1
Черные и цветные металлы, пластмасса, поверхность, окрашенная эмалями марок МЛ, ГФ, ПФ
11. Краска ФЛ-59
У1, Т1
Черные и цветные металлы, пластмасса, древесина, поверхность, окрашенная эмалями марок МЛ, ЭП
12. Эмаль ХВ-16
У1, Т1
Древесина
13. Эмаль ХВ-БГО
У1
Древесина, железобетонные поверхности
14. Эмаль ЭП-572
У1, Т1
Черные и цветные металлы, пластмасса, поверхность, окрашенная эмалями марок ЭП, УР, ХВ, ХС, НЦ, ПФ, МЛ
Приложение 3а. (Введено дополнительно, Изм. N 2).
Приложение 4. (Исключено, Изм. N 2).
Приложение 5
Справочное
ПЕРЕЧЕНЬ КОНСЕРВАЦИОННЫХ СОСТАВОВ,
ПРИМЕНЯЕМЫХ ДЛЯ ДОПОЛНИТЕЛЬНОЙ ЗАЩИТЫ
Составы на водно-восковой основе: Составы на органической основе:
Автоконсервант; БНГМ-МЛ;
СИТАКВА-1 ЗЛПР-12;
Мовиль;
Мовиль-Супер
НГ-216;
НГ-222 марки А;
НГ-222 марки Б;
Оремин;
ПИНС-АТ;
ПЭВ-74
Приложение 5. (Измененная редакция, Изм. N 2).
Приложения 6, 7. (Исключены, Изм. N 2).
Приложение 8
Рекомендуемое
КОЛИЧЕСТВЕННАЯ ОЦЕНКА ВНЕШНЕГО ВИДА ПОКРЫТИЙ ИЗДЕЛИЙ,
ПРЕДНАЗНАЧЕННЫХ ДЛЯ ЭКСПЛУАТАЦИИ В МАКРОКЛИМАТИЧЕСКИХ
РАЙОНАХ С МОРСКИМ УМЕРЕННО-ХОЛОДНЫМ
И ТРОПИЧЕСКИМ МОРСКИМ КЛИМАТОМ
(группы условий эксплуатации ОМ1, ОМ2, ОМ3 по ГОСТ 9.104)
1. Количественная оценка внешнего вида покрытия учитывает виды разрушений, характеризующие изменение декоративных и защитных свойств.
2. Для учета в обобщенных оценках влияния отдельных видов разрушения в зависимости от условий эксплуатации для них установлены коэффициенты весомости (X), приведенные в табл. 1.
Таблица 1
Виды разрушения
Условное обозначение
Коэффициент весомости видов разрушения (X)
Изменение блеска
Б
0,24
Изменение цвета
Ц
0,23
Грязеудержание
Г
0,25
Меление
М
0,28
Растрескивание
Т
0,18
Отслаивание
С
0,25
Образование пузырей
П
0,20
Коррозия металла
К
0,37
3. Обобщенную количественную оценку изменения декоративных свойств покрытий (АД) вычисляют по формуле
АД = XaБ + XaЦ + XaГ + XaМ,
где X - коэффициент весомости каждого вида разрушения;
aБ, aЦ, aГ, aМ - относительные оценки изменения блеска, цвета, грязеудержания, меления, величины которых в зависимости от балла определяют по табл. 2.
Таблица 2
Балл по ГОСТ 9.407
Относительная оценка по изменению декоративных свойств покрытия (a)
Относительная оценка по изменению защитных свойств покрытия (a)
Относительная оценка по размеру разрушения (aЛР)
1
1
1
1
2
0,7
0,8
0,7
3
0,5
0,4
0,5
4
0,1
0,2
0,1
5
0,0
0,0
0,0
При расчете относительную оценку отсутствующего вида разрушения принимают равной 1.
4. Обобщенную количественную оценку изменения защитных свойств покрытия (АЗ) рассчитывают по формуле
ИС МЕГАНОРМ: примечание.
Нумерация формул дана в соответствии с официальным текстом документа.
АЗ = XТ + XС + XП + XК, (3)
где X - коэффициенты весомости каждого вида разрушения;
Т, С, П, К - количественные оценки растрескивания, отслаивания, образования пузырей, коррозии металла, величины которых вычисляют по формулам:
Т = 0,6aТ + 0,4aЛР; (4)
С = 0,6aС + 0,4aЛР; (5)
П = 0,6aП + 0,4aЛР; (6)
К = 0,6aК + 0,4aЛР, (7)
где aТ, aС, aП, aК - относительные оценки растрескивания, отслаивания, образования пузырей, коррозии металла, величины которых в зависимости от балла по ГОСТ 9.407 определяют по табл. 2.
При расчете относительную оценку отсутствующего вида разрушения принимают равной 1.
Результаты расчетов записывают с точностью до сотых долей.
5. Пример расчета количественной оценки внешнего вида покрытия.
Краткая запись оценки внешнего вида после испытаний: Б4, Ц2, Г2, М3, С2/2, П2/3, К3/4.
Расчет обобщенной оценки по изменению декоративных свойств (АД) проводят по формуле (2).
Коэффициенты весомости устанавливают по табл. 1. Относительные оценки изменения декоративных свойств устанавливают по табл. 2.
В приведенном примере: aБ = 0,1; aД = 0,7; aГ = 0,7; aМ = 0,5
АД = 0,24 x 0,1 + 0,23 x 0,7 + 0,25 x 0,7 + 0,28 x 0,5 = 0,5.
Расчет обобщенной оценки по изменению защитных свойств (АЗ) проводят по формуле (3).
Коэффициенты весомости устанавливают по табл. 1.
Количественные оценки Т, С, П, К рассчитывают по формулам (4 - 7).
Относительную оценку каждого вида разрушения устанавливают по табл. 2.
В приведенном примере: Р = 1; С = 0,6 x 0,8 + 0,4 x 0,7 = 0,76; П = 0,6 x 0,8 + 0,4 x 0,5 = 0,68; К = 0,6 x 0,4 + 0,4 x 0,1 = 0,28; АЗ = 0,18 x 1 + 0,25 x 0,76 + 0,20 x 0,68 + 0,37 x 0,28 = 0,61.
Приложение 8. (Измененная редакция, Изм. N 2).
Приложение 9
Справочное
ПОСЛЕДОВАТЕЛЬНОСТЬ ПЕРЕМЕЩЕНИЯ И ПРОДОЛЖИТЕЛЬНОСТЬ
ВЫДЕРЖКИ ОБРАЗЦОВ ПРИ УСКОРЕННЫХ ИСПЫТАНИЯХ
Таблица 1
Последовательность перемещения и продолжительность
выдержки образцов при испытаниях покрытий,
предназначенных для эксплуатации во всех
макроклиматических районах на суше
Аппаратура
Режим испытаний
Продолжительность выдержки образцов в одном цикле для методов испытаний в зависимости от макроклиматического района, ч
Температура, °C
Относительная влажность, %
Макроклиматический район
умеренный (У)
холодный (ХЛ, УХЛ)
тропический (Т)
общеклиматический (О)
Методы испытаний
2
5
12
15
3
6
13
16
4
7
14
17
1
8
18
Камера влаги
40 +/- 2
97 +/- 3
6
4
6
4
2
2
2
2
-
-
-
-
1
-
-
55 +/- 2
97 +/- 3
-
-
-
-
-
-
-
-
10
8
10
8
-
7
7
Камера влаги с выключенным обогревом
Не нормируется
97 +/- 3
2
2
2
2
2
-
2
-
2
2
2
2
2
1
1
Камера сернистого газа (концентрация SO2 (5 +/- 1) мг/м3)
40 +/- 2
97 +/- 3
-
2
-
2
-
2
-
2
-
2
-
2
-
2
2
Камера тепла и холода
Минус
(30 +/- 3)
Не нормируется
-
-
-
-
6
6
6
6
-
-
-
-
-
-
-
Минус
(45 +/- 3)
То же
3
3
3
3
-
-
-
-
-
-
-
-
-
-
-
Минус
(60 +/- 3)
"
-
-
-
-
-
-
-
-
-
-
-
-
-
3
3
Аппарат искусственной погоды:
режим 4 - 16
60 +/- 3
"
-
-
-
-
-
-
-
-
10
10
-
-
-
10
-
режим 3 - 17
60 +/- 3
"
7
7
-
-
5
5
-
-
-
-
-
-
2
-
-
Термокамера
60 +/- 2
"
-
-
7
7
-
-
5
5
-
-
10
10
-
-
10
Камера тепла и холода
Минус
(60 +/- 3)
"
-
-
-
-
3
3
3
3
-
-
-
-
-
-
-
Выдержка на воздухе
15 - 30
Не должно быть более 80
6
6
6
6
6
6
6
6
2
2
2
2
19
1
1
Примечание. Для аппаратов искусственной погоды открытого типа ИП-1-3 температура в полезном объеме камеры - 50 - 60 °C.
Таблица 2
Последовательность перемещения и продолжительность
выдержки образцов при испытаниях покрытий,
предназначенных для эксплуатации во всех
макроклиматических районах на море
Аппаратура
Режим испытаний
Продолжительность выдержки образцов в одном цикле для методов испытаний в зависимости от макроклиматического района, ч
Температура, °C
Относительная влажность, %
Макроклиматический район
Тропический (прибрежная территория, Т)
Умереннохолодный и тропический морской (ОМ)
Методы испытаний
9
11
19
21
10
20
Камера соляного тумана (концентрация раствора NaCl для распыления (50 +/- 5) г/дм3; концентрация раствора Na2SO3 - (10 +/- 1) г/дм3; концентрация SO2 - (40 +/- 10) мг/м3)
35 +/- 2
Не нормируется
-
-
-
-
4
-
Камера соляного тумана (концентрация раствора NaCl для распыления (10 +/- 1) г/дм3; концентрация раствора Na2SO3 - (5 +/- 0,5) г/дм3; концентрация SO2 - (20 +/- 5) мг/м3)
35 +/- 2
То же
-
-
-
-
-
2
Камера влаги
55 +/- 2
97 +/- 3
5
5
5
5
-
-
Камера соляного тумана (концентрация раствора NaCl для распыления (50 +/- 5) г/дм3)
35 +/- 2
Не нормируется
3
3
3
3
-
-
Камера влаги
55 +/- 2
97 +/- 3
5
3
5
3
-
-
Камера сернистого газа (концентрация SO2 - (5 +/- 1) мг/м3)
40 +/- 2
97 +/- 3
-
2
-
2
-
-
Аппарат искусственной погоды (режим 4-16)
60 +/- 3
Не нормируется
10
10
-
-
-
-
Термокамера
60 +/- 2
То же
-
-
10
10
-
-
Камера солнечной радиации
55 +/- 2
Не нормируется
-
-
-
-
16
-
Камера влаги
55 +/- 2
95 +/- 3
-
-
-
-
16
-
45 +/- 2
97 +/- 3
-
-
-
-
38
-
Камера соляного тумана (концентрация раствора NaCl для распыления (50 +/- 5) г/дм3)
35 +/- 2
Не нормируется
-
-
-
-
4
-
Камера влаги
60 +/- 2
Не нормируется
-
-
-
-
2
12
55 +/- 2
95 +/- 3
-
-
-
-
8
-
35 +/- 2
95 +/- 3
-
-
-
-
-
60
25 +/- 2
97 +/- 3
-
-
-
-
-
14
Камера тепла и холода
Минус
(40 +/- 3)
Не нормируется
-
-
-
-
6
6
Выдержка на воздухе
15 - 30
Не должно быть более 80
1
1
1
1
2
2
Примечание. Для аппаратов искусственной погоды открытого типа ИП-1-3 температура воздуха в полезном объеме камеры - 50 - 60 °C.
Приложение 9. (Измененная редакция, Изм. N 1, 2).
Приложение 10
Справочное
ОПРЕДЕЛЕНИЕ СРОКА СЛУЖБЫ ПОКРЫТИЙ В МАКРОКЛИМАТИЧЕСКИХ
РАЙОНАХ С УМЕРЕННЫМ, ХОЛОДНЫМ И ТРОПИЧЕСКИМ КЛИМАТОМ
1. Выбор метода испытаний в зависимости от условий эксплуатации по ГОСТ 9.104 и типа атмосферы по ГОСТ 15150 проводят в соответствии с п. 1.15 настоящего стандарта.
2. Для определения срока службы лакокрасочных покрытий испытания продолжают до достижения покрытиями критических обобщенных оценок и , значения которых приведены в табл. 1.
Таблица 1
Обозначение критической обобщенной оценки
Значение критической обобщенной оценки по ГОСТ 9.407
Примечание
количественная
балльная, балл
АДкр
0,9
2
Незначительное изменение декоративных свойств
0,65
3
Значительное изменение декоративных свойств
0,40
4
Сильное изменение декоративных свойств
АЗкр
0,95
2
Разрушение до 5% поверхности, коррозия 1%
0,80
3
Разрушение до 25% поверхности, коррозия 2,5%
3. По результатам испытаний рассчитывают среднее значение продолжительности ускоренных испытаний в месяцах до достижения покрытием критического состояния.
4. Прогнозируемый срок службы лакокрасочных покрытий в условиях эксплуатации в месяцах рассчитывают по формуле
,
где - коэффициент ускорения.
5. Значения коэффициента ускорения для различных условий эксплуатации приведены в табл. 2.
Таблица 2
Макроклиматические районы
Условия эксплуатации по ГОСТ 9.104
Коэффициент ускорения, kу
Умеренный
У1
46
У2, У3
52
Холодный
ХЛ1, УХЛ1
41
ХЛ2, УХЛ2, ХЛ3, УХЛ3
47
Тропический
Т1
18
Т2, Т3
24
6. Ошибка прогнозирования составляет +/- 10%, поэтому срок службы покрытий определяют как .
Приложение 10. (Измененная редакция, Изм. N 2).
Приложение 11
Справочное
ОПРЕДЕЛЕНИЕ СРОКА СЛУЖБЫ ПОКРЫТИЙ ИЗДЕЛИЙ,
ПРЕДНАЗНАЧЕННЫХ ДЛЯ ЭКСПЛУАТАЦИИ В МАКРОКЛИМАТИЧЕСКИХ
РАЙОНАХ С МОРСКИМ УМЕРЕННО-ХОЛОДНЫМ И ТРОПИЧЕСКИМ КЛИМАТОМ
(группы условий эксплуатации ОМ1, ОМ2, ОМ3 по ГОСТ 9.104)
1. Для определения срока службы покрытий на основе новых лакокрасочных материалов испытания по методам 10 или 20 продолжают до достижения покрытиями критических значений обобщенных оценок или .
Для условий эксплуатации ОМ1 , ; для условий эксплуатации ОМ3 , .
2. По результатам испытаний рассчитывают среднее значение продолжительности ускоренных испытаний в месяцах до достижения покрытием критического состояния.
3. Прогнозируемый срок службы лакокрасочных покрытий в условиях эксплуатации () в месяцах рассчитывают по формуле
, (8)
ИС МЕГАНОРМ: примечание.
Обозначение коэффициента ускорения испытаний дано в соответствии с официальным текстом документа.
где - коэффициент ускорения испытаний, равный 22 для условий эксплуатации ОМ1; 28 - для условий эксплуатации ОМ3.
Ошибка прогнозирования составляет +/- 10%, поэтому срок службы покрытий определяют как .
Приложение 11. (Измененная редакция, Изм. N 2).
Приложение 12
Справочное
ПЕРЕЧЕНЬ АППАРАТУРЫ ДЛЯ ПРОВЕДЕНИЯ ИСПЫТАНИЙ
Наименование аппаратуры
Тип аппаратуры
Камера тепла и холода
ТКСИ-0,2-80, КТХ-0,4-65/155
Камера соляного тумана
КТС-0,4, 12КТС-0,4-001
Камера влаги
Гидростат Г-4, КВ-0,4-95/70, КВ-1-95/55
Камера сернистого газа
КИС-0,4
Аппарат искусственной погоды
ИП-1-3, АИП-К по ГОСТ 23750
Камера солнечной радиации
12 КСР-0,4-001
Термокамера
Электрошкаф сушильный лабораторный СНОЛ-3,5.3,5.3,5/3-И3, СНОЛ-3,5,3,5,3,5/3,5-И*М
Приложение 12. (Измененная редакция, Изм. N 2).
Приложение 13. (Исключено, Изм. N 2).