Главная // Актуальные документы // ГОСТ (Государственный стандарт)
СПРАВКА
Источник публикации
М.: ИПК Издательство стандартов, 2002
Примечание к документу
С 1 июля 2003 года до вступления в силу технических регламентов акты федеральных органов исполнительной власти в сфере технического регулирования носят рекомендательный характер и подлежат обязательному исполнению только в части, соответствующей целям, указанным в пункте 1 статьи 46 Федерального закона от 27.12.2002 N 184-ФЗ.

Документ введен в действие с 1 января 1984 года.

Взамен ГОСТ 9198-76.
Название документа
"ГОСТ 9198-83. Межгосударственный стандарт. Эмали марок НЦ-11 и НЦ-11А. Технические условия"
(утв. и введен в действие Постановлением Госстандарта СССР от 01.03.1983 N 1154)
(ред. от 01.12.1996)

"ГОСТ 9198-83. Межгосударственный стандарт. Эмали марок НЦ-11 и НЦ-11А. Технические условия"
(утв. и введен в действие Постановлением Госстандарта СССР от 01.03.1983 N 1154)
(ред. от 01.12.1996)


Содержание


Утвержден и введен в действие
Постановлением Государственного
комитета СССР по стандартам
от 1 марта 1983 г. N 1154
МЕЖГОСУДАРСТВЕННЫЙ СТАНДАРТ
ЭМАЛИ МАРОК НЦ-11 и НЦ-11А
ТЕХНИЧЕСКИЕ УСЛОВИЯ
Enamels of types НЦ-11 and НЦ-11А. Specifications
ГОСТ 9198-83
Список изменяющих документов
(в ред. Изменения N 1, утв. в июне 1988 г.,
Изменения N 2, утв. в марте 1992 г.,
Изменения N 3, утв. в декабре 1996 г.)
Группа Л24
ОКП 23 1412
Дата введения
1 января 1984 года
ИНФОРМАЦИОННЫЕ ДАННЫЕ
1. РАЗРАБОТАН И ВНЕСЕН Министерством химической промышленности СССР
2. УТВЕРЖДЕН И ВВЕДЕН В ДЕЙСТВИЕ Постановлением Государственного комитета СССР по стандартам от 01.03.83 N 1154
Изменение N 3 принято Межгосударственным Советом по стандартизации, метрологии и сертификации (протокол N 9 от 12.04.96)
Зарегистрировано Техническим секретариатом МГС N 2005
За принятие проголосовали:
Наименование государства
Наименование национального органа по стандартизации
Азербайджанская Республика
Азгосстандарт
Республика Армения
Армгосстандарт
Республика Беларусь
Госстандарт Беларуси
Республика Казахстан
Госстандарт Республики Казахстан
Киргизская Республика
Киргизстандарт
Республика Молдова
Молдовастандарт
Российская Федерация
Госстандарт России
Республика Таджикистан
Таджикгосстандарт
Туркменистан
Главная государственная инспекция Туркменистана
Украина
Госстандарт Украины
3. ВЗАМЕН ГОСТ 9198-76
4. ССЫЛОЧНЫЕ НОРМАТИВНО-ТЕХНИЧЕСКИЕ ДОКУМЕНТЫ
Обозначение НТД, на который дана ссылка
Номер пункта, подпункта
ИС МЕГАНОРМ: примечание.
Взамен ГОСТ 9980.4-86 Постановлением Госстандарта России от 24.12.2002 N 500-ст с 1 сентября 2003 года введен в действие ГОСТ 9980.4-2002.
ГОСТ 9980.4-86
ТУ 16-90ИФМР675610.002 ТУ
ТУ 21-0284461-058-90
5. Ограничение срока действия снято Постановлением Госстандарта от 27.03.92 N 287
6. ИЗДАНИЕ (апрель 2002 г.) с Изменениями N 1, 2, 3, утвержденными в июне 1988 г., марте 1992 г., декабре 1996 г. (ИУС 10-88, 6-92, 3-97)
Настоящий стандарт распространяется на эмали марок НЦ-11 и НЦ-11А различных цветов, представляющие собой суспензию СВП (развальцованный пигмент с нитроцеллюлозой, пластификатором и диспергатором) в растворе коллоксилина и алкидной смолы в смеси летучих органических растворителей с добавлением пластификаторов, и для эмалей марки НЦ-11А - с добавлением полиметилсилоксановой жидкости ПМС-200А или ПМС-200.
Эмали марки НЦ-11 предназначаются для окраски предварительно загрунтованных или загрунтованных и зашпатлеванных поверхностей изделий, эксплуатируемых в атмосферных условиях и внутри помещений. Эмали марки НЦ-11А предназначаются для изготовления аэрозольных составов.
Система покрытия, состоящая из трех слоев эмали марки НЦ-11, нанесенных на загрунтованную поверхность, должна сохранять в умеренном и тропическом климате по ГОСТ 9.401 защитные и декоративные свойства до баллов не более АЗ1, АД3.
Система покрытия, состоящая из пяти слоев эмали марки НЦ-11 черной, нанесенных по трем слоям грунтовок, должна сохранять защитные и декоративные свойства в тропическом и умеренном климате в течение трех лет не более баллов АЗ1, АД3.
Испытание на стойкость в атмосферных условиях - по ГОСТ 6992, оценка защитных и декоративных свойств - по ГОСТ 9.407 (после обработки покрытия полировочным составом).
Эмали марки НЦ-11 наносят на поверхность методом пневматического распыления.
(Измененная редакция, Изм. N 1, 2, 3).
1. ТЕХНИЧЕСКИЕ ТРЕБОВАНИЯ
1.1. Эмали марок НЦ-11 и НЦ-11А должны изготовляться в соответствии с требованиями настоящего стандарта по рецептуре и технологическому регламенту, утвержденному в установленном порядке.
1.2. (Исключен, Изм. N 1).
1.3. Перед применением эмали марки НЦ-11 разбавляют до рабочей вязкости растворителями марок 646, 647 по ГОСТ 18188. Эмали марки НЦ-11А разбавляют смесью бутилацетата и этилацетата по ГОСТ 8981 в соотношении 3:2 или 1:1.
(Измененная редакция, Изм. N 1).
1.4. Система покрытия эмалями марок НЦ-11 и НЦ-11А обладает способностью шлифоваться и полироваться с образованием высокоглянцевой поверхности по ГОСТ 9.032.
1.5. Эмали марок НЦ-11 и НЦ-11А должны выпускаться цветов с соответствующими кодами ОКП, указанными в табл. 1.
Таблица 1
Цвет эмали
ОКП эмали марки НЦ-11
ОКП эмали марки НЦ-11А
Красный
23 1412 0106 02
23 1412 0306 07
Вишневый 25
23 1412 0164 03
23 1412 0364 08
Оранжевый 121
23 1412 0105 03
23 1412 0305 08
Кремовый 200
23 1412 0114 02
23 1412 0314 07
Лимонно-желтый
23 1412 0104 04
23 1412 0304 09
"Слоновая кость"
23 1412 0112 04
23 1412 0312 09
Золотисто-желтый
23 1412 0161 06
23 1412 0361 00
"Морская волна"
23 1412 0127 08
23 1412 0327 02
Светло-зеленый 369
23 1412 0167 00
23 1412 0367 05
Светло-бирюзовый
23 1412 0197 05
23 1412 0397 10
Светло-голубой 404
23 1412 0110 06
23 1412 0310 00
Синий 436
23 1412 0107 01
23 1412 0307 06
Серо-голубой
23 1412 0155 04
23 1412 0355 09
Серый 558
23 1412 0160 07
23 1412 0360 01
Серый 571
23 1412 0139 04
23 1412 0339 09
Серый 579
23 1412 0156 03
23 1412 0356 08
Песочный
23 1412 0116 00
23 1412 0316 05
Коричневый
23 1412 0109 10
23 1412 0309 04
Серо-бежевый
23 1412 0136 07
23 1412 0336 01
Темно-бежевый 683
23 1412 0195 07
23 1412 0395 01
"Белая ночь"
23 1412 0154 05
23 1412 0354 10
Рубин
23 1412 0123 01
23 1412 0323 06
Вишневый 01
23 1412 0124 00
23 1412 0324 05
Красновато-оранжевый
23 1412 0177 09
23 1412 0377 03
Темно-красно-оранжевый
23 1412 0157 02
23 1412 0357 07
Оранжевый
23 1412 0118 09
23 1412 0318 03
Лимонный
23 1412 0113 03
23 1412 0313 08
Охра золотистая
23 1412 0149 02
23 1412 0349 07
Ярко-зеленый
23 1412 0128 07
23 1412 0328 01
Зеленый 01
23 1412 0168 10
23 1412 0368 04
Зеленый 02
23 1412 0130 02
23 1412 0330 07
Светло-зеленый
23 1412 0129 06
23 1412 0329 00
Светло-фисташковый
23 1412 0143 08
23 1412 0343 02
Темно-молочный
23 1412 0137 06
23 1412 0337 00
Зелено-синий
23 1412 0175 00
23 1412 0375 05
Темно-синий
23 1412 0166 01
23 1412 0366 06
Васильковый
23 1412 0126 09
23 1412 0326 03
Голубой
23 1412 0172 03
23 1412 0372 08
Светло-голубой
23 1412 0171 04
23 1412 0371 09
Серо-белый
23 1412 0180 03
23 1412 0380 08
Светло-серый 01
23 1412 0159 00
23 1412 0359 05
Светло-дымчатый
23 1412 0198 04
23 1412 0398 09
Палевый
23 1412 0115 01
23 1412 0315 06
Зеленовато-песочный
23 1412 0173 02
23 1412 0373 07
Светло-песочный
23 1412 0196 06
23 1412 0396 00
Бледно-бежевый
23 1412 0117 10
23 1412 0317 04
Светло-коричневый
23 1412 0169 09
23 1412 0369 03
Темно-коричневый
23 1412 0170 05
23 1412 0370 10
Оливковый
23 1412 0144 07
23 1412 0344 10
Светло-оливковый
23 1412 0187 07
23 1412 0387 01
Светло-желтый
23 1412 0189 05
23 1412 0389 10
Синий
23 1412 0165 02
23 1412 0365 07
Темно-бежевый
23 1412 0194 08
23 1412 0394 02
Белый
23 1412 0101 07
23 1412 0301 01
Черный
23 1412 0102 06
23 1412 0302 00
Светло-серый 02
23 1412 0103 05
23 1412 0303 10
Кремовый
23 1412 0179 07
23 1412 0379 01
Желтовато-белый
23 1412 0162 05
23 1412 0362 10
Серовато-зеленый
23 1412 0108 00
23 1412 0308 05
Светлый серо-бежевый
23 1412 0188 06
23 1412 0388 00
Вишневый 02
23 1412 0122 02
23 1412 0322 07
Серовато-голубой
23 1412 0176 10
23 1412 0376 04
Синевато-зеленый
23 1412 0131 01
23 1412 0331 06
Соответствие изменившихся наименований цветов эмали, приведенных в настоящем стандарте с изменением N 3, наименованиям, указанным в стандарте с изменением N 2, дано в приложении 1.
1.6. Эмали должны соответствовать нормам, указанным в табл. 2.
Таблица 2
Наименование показателя
Норма для эмали марок
Метод испытания
НЦ-11
НЦ-11А
1. Цвет пленки:
Должен находиться в пределах допускаемых отклонений, установленных образцами (эталонами) цвета "Картотеки" или контрольными образцами цвета
По п. 4.3
красный
7, 37
7, 37
вишневый 25
25, 28
25, 28
оранжевый 121
121, 128
121, 128
кремовый 200
200, 201
200, 201
лимонно-желтый
221, 220
221, 220
"слоновая кость"
251, 252
251, 252
золотисто-желтый
285, 286
285, 286
"морская волна"
330, 387
330, 387
светло-зеленый 369
369, 370
369, 370
светло-бирюзовый
379, 380
379, 380
светло-голубой 404
404, 407
404, 407
синий 436
436, 437
436, 437
серо-голубой
491, 492
491, 492
серый 558
558, 559
558, 559
серый 571
571, 572
571, 572
серый 579
579, 580
579, 580
песочный
609, 610
609, 610
коричневый
663, 664
663, 664
серо-бежевый
681, 682
681, 682
темно-бежевый 683
683, 687
683, 687
"белая ночь"
858, 859
858, 859
остальных цветов
Контрольные образцы цвета
2. Внешний вид пленки
После высыхания пленка должна быть гладкой, однородной, без оспин и посторонних включений. В проходящем свете пленка не должна иметь вкраплений и сгустков
По п. 4.3
3. Условная вязкость при (20,0 +/- 0,5) °C по вискозиметру типа ВЗ-246 (или ВЗ-4), с, при разбавлении эмалей растворителем в количестве:
17 - 22
17 - 22
По ГОСТ 8420 и по п. 4.4 настоящего стандарта
90 - 120% для белой и цветных эмалей марки НЦ-11
80 - 110% для белой и цветных эмалей марки НЦ-11А
20 - 35% для черной эмали марок НЦ-11 и НЦ-11А
4. Массовая доля нелетучих веществ, %, для эмалей:
По ГОСТ 17537 и по п. 4.4а настоящего стандарта
белой и цветных
33 - 39
33 - 39
черной
17 - 23
17 - 23
5. Укрывистость высушенной пленки, г/м2, не более, для эмалей:
По ГОСТ 8784, разд. 1 и п. 4.5 настоящего стандарта
лимонно-желтой, вишневой 25
140
140
лимонной, светло-желтой
120
120
золотисто-желтой, белой
130
130
желтовато-белой, кремовой
110
110
зеленовато-песочной, светло-песочной
90
90
"слоновой кости", песочной, вишневой 01, серо-белой, светло-серой 01, светло-голубой 404, серо-голубой, светло-бирюзовой, светло-голубой, голубой, светло-зеленой, светло-серой 02, серовато-зеленой, светлой серо-бежевой, синевато-зеленой
70
70
бледно-бежевой, темно-молочной
85
85
кремовой 200, васильковой
75
75
серо-бежевой
65
65
темно-бежевой 683, "морской волны", серой 571, "белой ночи"
55
55
коричневой, синей 436, темно-синей, зелено-синей, синей
40
40
темно-коричневой, светло-дымчатой, серой 579, серой 558, ярко-зеленой
50
50
оранжевой 121, красной, оранжевой, вишневой 02
150
150
зеленой 01, светло-зеленой 369, светло-фисташковой, оливковой, зеленой 02, темно-бежевой, серовато-голубой
60
60
палевой
45
45
черной
17
17
красновато-оранжевой, охры золотистой, рубин, светло-оливковой
100
100
светло-коричневой, темно-красно-оранжевой
80
80
6. Время высыхания при (20 +/- 2) °C, до степени 3, ч, не более
1
1
По ГОСТ 19007 и по п. 4.6 настоящего стандарта
7. Эластичность пленки при изгибе, мм, не более
5
5
8. Прочность пленки при ударе на приборе У-2, см, не менее
40
40
9. Твердость пленки, условные единицы, не менее
для эмали НЦ-11 черной по маятниковому прибору
типа М-3
0,65
-
типа ТМЛ (маятник А)
0,30
-
для остальных эмалей по маятниковому прибору
типа М-3
0,60
0,60
типа ТМЛ (маятник А)
0,26
0,26
10. Адгезия покрытия эмали к грунтовке, баллы, не более
2
2
По ГОСТ 15140, разд. 2
11. Стойкость пленки к воздействию переменных температур от плюс 60 °C до минус 40 °C, циклы, не менее, для эмалей:
По ГОСТ 27037 и п. 4.7 настоящего стандарта
светло-песочной, кремовой 200, серо-бежевой, синей 436, синей, васильковой, серо-белой, светло-фисташковой, палевой, серой 571, "белой ночи", светло-дымчатой, серой 579, черной, темно-молочной, темно-бежевой 683, светло-желтой, темно-бежевой, серовато-голубой, светло-серой 02, серовато-зеленой, светлой серо-бежевой, желтовато-белой, кремовой, вишневой 02, синевато-зеленой
15
10
остальных цветов
10
10
12. Стойкость пленки при (20 +/- 2) °C к статическому воздействию воды, ч, не менее
24
24
По ГОСТ 9.403 и п. 4.8 настоящего стандарта
13. Условная светостойкость пленки эмали марки НЦ-11 черной, ч, не менее
3
-
По ГОСТ 21903 и п. 4.9 настоящего стандарта
14. Блеск пленки эмали марки НЦ-11 черной, %, не менее
65
-
15. Совместимость эмалей марки НЦ-11А с пропеллентом, %, не менее
-
53
Примечания:
1. Допускается при хранении эмали изменение пределов количества растворителя, если эмаль, разбавленная до нормы, указанной в подпункте 3 табл. 2, отвечает техническим требованиям настоящего стандарта.
2. Норма твердости по показателю 9 на приборе типа М-3 действует до 01.01.97.
Норма твердости при определении на приборе типа ТМЛ (маятник А) не является браковочной до 01.01.97. Определение обязательно.
1.5, 1.6. (Измененная редакция, Изм. N 1, 3).
2. ТРЕБОВАНИЯ БЕЗОПАСНОСТИ
2.1. Эмали являются токсичными и пожароопасными материалами, что обусловлено свойствами входящих в их состав компонентов, характеристика которых приводится в табл. 3.
Таблица 3
Наименование компонентов
Предельно допустимая концентрация паров вредных веществ в воздухе рабочей зоны производственных помещений, мг/м3
Температура, °C
Концентрационные пределы воспламенения, % (по объему)
Класс опасности
вспышки
самовоспламенения
Ацетон
200
Минус 18
500
2,2 - 13,0
4
Бутилацетат
200
29
370
2,2 - 14,7
4
Этилацетат
200
Минус 3
400
3,55 - 16,8
4
Этилцеллозольв
10
40 - 46
228
1,8 - 15,7
3
Спирт бутиловый
10
34
345
1,70 - 12,0
3
Спирт этиловый
1000
10
404
3,6 - 19,0
4
Толуол
50
4
536
1,25 - 6,50
3
Соединение свинца
0,01
-
-
-
1
Соединения хрома
0,01
-
-
-
1
(Измененная редакция, Изм. N 1, 2).
2.2. Эмали и растворители, применяемые для разбавления эмалей, при попадании на кожу действуют раздражающе и могут вызвать экзему. Компоненты, входящие в состав эмалей, при попадании в воздух производственных помещений, оказывают вредное действие на кровь, слизистую оболочку глаз и верхних дыхательных путей, нервную систему.
2.3. При производстве, применении и испытании эмалей должны соблюдаться требования пожарной безопасности и промышленной санитарии по ГОСТ 12.1.004, ГОСТ 12.3.005 и ГОСТ 12.3.002.
Работы, связанные с изготовлением, применением и испытанием эмалей, должны проводиться в помещениях, снабженных приточно-вытяжной вентиляцией по ГОСТ 12.4.021 и противопожарными средствами.
Контроль за состоянием воздушной среды - по ГОСТ 12.1.007 и ГОСТ 17.2.3.02.
2.4. Меры предосторожности: герметизация производственного оборудования, обеспечение работников средствами индивидуальной защиты, отвечающими требованиям ГОСТ 12.4.103, ГОСТ 12.4.011.
2.3, 2.4. (Измененная редакция, Изм. N 1).
2.5. Средства тушения пожара: песок, кошма, тонкораспыленная вода, химическая или воздушно-механическая пена из стационарных установок или огнетушителя.
3. ПРАВИЛА ПРИЕМКИ
3.1. Правила приемки - по ГОСТ 9980.1.
3.2. Нормы по показателям 10 и 14 табл. 2 изготовитель определяет периодически в каждой 50-й партии.
Нормы по показателям 11 для эмали черного цвета и 13 табл. 2 изготовитель проверяет периодически в каждой 100-й партии.
Нормы по показателям 11 для всех цветов эмалей, кроме черного, и 12 изготовитель проверяет по требованию потребителя.
(Измененная редакция, Изм. N 2).
4. МЕТОДЫ ИСПЫТАНИЙ
4.1. Отбор проб - по ГОСТ 9980.2.
4.2. Подготовка к испытанию
4.2.1. Пластинки для нанесения покрытий подготавливают по ГОСТ 8832, разд. 3.
4.2.2. Эмали перед испытанием тщательно перемешивают и разбавляют: эмали марки НЦ-11 растворителем марки 647 или 646, эмали НЦ-11А - смесью бутилацетата с этилацетатом в соотношении 3:2 до условной вязкости 17 - 22 с по вискозиметру типа ВЗ-246 (или ВЗ-4) с диаметром сопла 4 мм при температуре (20,0 +/- 0,5) °C, затем фильтруют через сетку 01 - 02 по ГОСТ 6613. Эмали наносят на пластинки методом пневматического распыления, за исключением определения внешнего вида в проходящем свете. Каждый слой эмали сушат при (20 +/- 2) °C в течение 10 мин.
(Измененная редакция, Изм. N 1).
4.2.3. Массовую долю нелетучих веществ определяют в неразбавленной эмали.
4.2.4. Твердость и внешний вид пленки в проходящем свете определяют на стеклянных пластинах специального назначения размером 90 x 120 мм, толщиной 1,2 мм по ТУ 21-0284461-058.
Цвет пленки, внешний вид и эластичность пленки при изгибе определяют на пластинках из черной жести N 28 размером 20 x 150 мм - для определения эластичности пленки при изгибе; 70 x 150 или 90 x 120 мм - для определения цвета и внешнего вида, толщиной (0,28 +/- 0,03) мм.
Остальные показатели определяют на пластинках из стали марок 08кп и 08пс размером 70 x 150 мм и толщиной 0,8 - 0,9 мм по ГОСТ 16523. Допускается определять цвет и внешний вид на стальных пластинках.
(Измененная редакция, Изм. N 1, 2).
4.2.5. Для определения времени высыхания, твердости пленки эмаль наносят в один слой.
4.2.6. Для определения цвета, внешнего вида при рассеянном свете, эластичности пленки при изгибе, прочности пленки при ударе, адгезии, стойкости и пленки к воздействию переменных температур и статическому воздействию воды эмаль наносят в три слоя по одному слою грунтовки (ГФ-0163 или ГФ-021, или ПФ-033П, или ГФ-017), нанесенной на пластинку и высушенной в соответствии с действующей на нее нормативно-технической документацией.
Для определения цвета и внешнего вида пленки допускается наносить эмали на пластинку, предварительно не окрашенную грунтовкой. Допускается для определения цвета наносить эмаль более трех слоев до полного укрытия подложки.
После охлаждения загрунтованной пластинки поверхность грунтовки шлифуют шкуркой с размером зерна 4; 5 по ГОСТ 10054 и протирают мягким материалом типа фланели. Толщина слоя грунтовки после шлифовки должна быть 8 - 15 мкм. На зашлифованную грунтовку наносят испытуемую эмаль.
При определении эластичности пленки при изгибе, прочности пленки при ударе, адгезии, стойкости пленки к воздействию переменных температур и статическому воздействию воды эмали НЦ-11 черной на зашлифованную грунтовку наносят два слоя грунтовки ГФ-018, как указано в п. 4.2.12, затем наносят пять слоев эмали НЦ-11 черной.
4.2.7. При определении стойкости пленки к статическому воздействию воды и условной светостойкости грунтовку наносят на обе стороны пластинки, как указано в п. 4.2.6.
4.2.6, 4.2.7. (Измененная редакция, Изм. N 1).
4.2.8. Для определения цвета и внешнего вида последний слой эмали сушат при (60 +/- 2) °C в течение 15 мин.
4.2.9. При определении эластичности пленки при изгибе, прочности пленки при ударе, адгезии, стойкости пленки к воздействию переменных температур и к статическому воздействию воды последний слой эмали сушат в течение 2 ч при (20 +/- 2) °C, а затем в течение 3 ч при (60 +/- 2) °C.
При определении твердости эмаль сушат в течение 24 ч при (20 +/- 2) °C или в течение 1 ч при (60 +/- 2) °C.
(Измененная редакция, Изм. N 1).
4.2.10. После горячей сушки перед испытанием пленку выдерживают в течение 30 мин при (20 +/- 2) °C.
4.2.11. Толщина однослойной пленки эмали должна быть 15 - 20 мкм; толщина системы покрытия - грунтовка и три слоя эмали - 50 - 70 мкм, толщина системы покрытия - три слоя грунтовки и пять слоев эмали - 110 - 120 мкм.
4.2.12. При определении блеска и условной светостойкости эмали марки НЦ-11 черной испытуемую эмаль наносят в пять слоев по слою грунтовки, высушенной и зашлифованной в соответствии с п. 4.2.6, и двум слоям грунтовки ГФ-018. Перед нанесением грунтовку ГФ-018 разбавляют сольвентом по ГОСТ 10214, ГОСТ 1928 или ксилолом по ГОСТ 9949, ГОСТ 9410 до условной вязкости 26 - 29 с по вискозиметру типа ВЗ-246 (или ВЗ-4) с диаметром сопла 4 мм при (20,0 +/- 0,5) °C и наносят один слой за другим через 7 - 10 мин. Второй слой грунтовки ГФ-018 сушат при 135 - 145 °C в течение 40 мин. Высушенную и охлажденную пленку грунтовки ГФ-018 шлифуют шлифовальной водостойкой шкуркой с величиной зерна 4; 5 с водой, после этого промывают водой, протирают и высушивают при 50 - 60 °C в течение 10 мин. Толщина пленки грунтовки после шлифования должна быть 30 - 40 мкм. Затем наносят пять слоев эмали, при этом последний слой эмали сушат при (60 +/- 2) °C в течение 15 мин.
После охлаждения пластинки пленку шлифуют водостойкой шкуркой с величиной зерна 3 по ГОСТ 10054 с водой, промывают водой, протирают и сушат при (60 +/- 2) °C в течение 10 - 15 мин. На шлифованную поверхность наносят краскораспылителем растворитель марки 648, после этого пленку сушат сначала при (20 +/- 2) °C в течение 15 мин, а затем при (60 +/- 2) °C в течение 1 ч. После охлаждения пленку полируют полировочной пастой N 291 или ВАЗ-2 на полировочном круге, протирают ватным тампоном, смоченным полировочным составом ВАЗ-03, а затем чистой фланелью или ватой.
4.3. Цвет и внешний вид высушенной пленки эмали определяют визуально при естественном или искусственном дневном рассеянном свете.
Цвет пленки испытуемой эмали сравнивают с образцами (эталонами) цвета "Картотеки" или контрольными образцами цвета.
Сравниваемые образцы должны находиться в одной плоскости на расстоянии 300 - 500 мм от глаз наблюдателя под углом зрения, исключающим блеск поверхности.
В случае разногласий в оценке за окончательный результат принимают определение цвета при естественном дневном свете.
Для определения внешнего вида в проходящем свете профильтрованную эмаль с условной вязкостью 17 - 22 с наносят наливом в один слой на пластинку, которую с нанесенной эмалью устанавливают под углом 45 °C, окрашенной стороной книзу в защищенное от пыли место и сушат при (20 +/- 2) °C в течение 10 мин. Высохшую пленку эмали рассматривают в проходящем свете.
4.2.12, 4.3. (Измененная редакция, Изм. N 1).
4.4а. Массовую долю нелетучих веществ определяют по ГОСТ 17537. Пробу массой (1,8 +/- 0,2) г помещают в сушильный шкаф и выдерживают при температуре (105 +/- 2) °C до постоянной массы.
Первое взвешивание проводят через 20 мин.
Допускается определение массовой доли нелетучих веществ под инфракрасной лампой при той же температуре.
В случаях разногласий в оценке данного показателя окончательным результатом является определение в сушильном шкафу.
(Введен дополнительно, Изм. N 1).
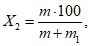
4.4. Условную вязкость определяют по ГОСТ 8420 при помощи вискозиметра типа ВЗ-246 (или ВЗ-4) с диаметром сопла 4 мм. Перед определением условной вязкости в эмали добавляют растворители в соответствии с п. 4.2.2 в количествах, указанных в подпункте 3 табл. 2. Массу вводимого растворителя (X) в процентах вычисляют по формуле
где m - масса эмали, г;
m1 - масса растворителя, израсходованная для разбавления эмали, г.
4.5. Укрывистость определяют по ГОСТ 8784, разд. 1. Для определения укрывистости эмаль разбавляют растворителями, указанными в п. 4.2.2, до условной вязкости 14 - 16 с по вискозиметру типа ВЗ-246 (или ВЗ-4) с диаметром сопла 4 мм при (20,0 +/- 0,5) °C.
4.4, 4.5. (Измененная редакция, Изм. N 1).
4.6. Время высыхания эмали определяют по ГОСТ 19007. Бумажный диск с поверхности пленки допускается удалять любым способом.
4.7. Определение стойкости пленки к воздействию переменных температур
4.7.1. Аппаратура
Сушильный шкаф, в котором автоматически поддерживается в течение времени испытания температура (60 +/- 2) °C.
Камера холода типа ТКСИ-02-08 (или другого типа), в которой автоматически поддерживается в течение времени испытания температура минус (40 +/- 2) °C.
4.7.2. Проведение испытания
Образцы, полученные в соответствии с п. 4.2, испытывают по ГОСТ 27037. Время выдержки образцов в сушильном шкафу - 30 мин. Цикл повторяют в соответствии с требованиями п. 11 табл. 2. После испытания на поверхности пленки не должно наблюдаться растрескивания при визуальном определении.
4.7.1, 4.7.2. (Измененная редакция, Изм. N 1).
4.8. Стойкость пленки к статическому воздействию воды определяют по ГОСТ 9.403, разд. 2, при этом применяют дистиллированную воду по ГОСТ 6709. После испытания пластинки с пленкой выдерживают на воздухе при (20 +/- 2) °C в течение 2 ч и осматривают невооруженным глазом. Пленка должна быть без изменений.
4.9. Условную светостойкость пленки эмали определяют по ГОСТ 21903, метод 1. Перед испытанием пластинку с пленкой, полученной по п. 4.2.12, выдерживают в течение 24 ч при (20 +/- 2) °C и относительной влажности (65 +/- 5)%. Измеряют блеск и при необходимости продолжают полировку, как указано в п. 4.2.12, до тех пор, пока блеск пленки после последующей полировки не будет изменяться более чем на 1%. Затем пластинку помещают под ртутно-кварцевую лампу марки ДРТ-400 по ТУ 16-90ИФМР675610.002 ТУ. Допускается применять лампы марок ПРК-2 и ДРК-375.
Расстояние от пластинки до лампы должно быть (240 +/- 5) мм.
Электрические параметры лампы фиксируются при помощи вольтметра и амперметра.
Температура воды в ванночке во время испытания должна быть (50 +/- 1) °C.
Испытание проводят в течение времени, указанного в подпункте 13 табл. 2 без светофильтра.
По истечении времени испытания пластинку вынимают из воды и выдерживают в течение 5 - 10 мин при (60 +/- 2) °C. Затем пленку протирают полировочным составом чистой фланелью и определяют блеск. При этом допускается потеря блеска не более 2% от первоначальной величины.
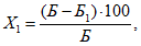
Потерю блеска (X1) в процентах вычисляют по формуле
где Б - блеск пленки до испытания, %;
Б1 - блеск пленки после испытания, %.
(Измененная редакция, Изм. N 1, 2).
4.10. При определении совместимости эмалей марки НЦ-11А с пропеллентом в качестве пропеллента применяют хладон-12 (ГОСТ 19212). В стеклянный баллончик загружают примерно 10 г эмали, разбавленной и профильтрованной в соответствии с п. 4.2.2, и баллончик герметично закрывают клапаном. Из лабораторного дозатора в баллончик под давлением постепенно вводят хладон-12 до начала коагуляции эмали.
Введение хладона-12 прекращают в момент появления первых точечных сгустков, не исчезающих после встряхивания в течение 2 - 3 мин. Затем баллончик взвешивают.
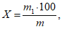
Совместимость эмали с пропеллентом (X2) в процентах вычисляют по формуле
где m - масса хладона-12, израсходованная на анализ, г;
m1 - масса эмали, взятая для анализа, г.
5. УПАКОВКА, МАРКИРОВКА, ТРАНСПОРТИРОВАНИЕ И ХРАНЕНИЕ
5.1. Упаковка - по ГОСТ 9980.3.
(Измененная редакция, Изм. N 1).
ИС МЕГАНОРМ: примечание.
Взамен ГОСТ 9980.4-86 Постановлением Госстандарта России от 24.12.2002 N 500-ст с 1 сентября 2003 года введен в действие ГОСТ 9980.4-2002.
5.2. Маркировка - по ГОСТ 9980.4 с нанесением на транспортную тару знака опасности для класса 3 и классификационного шифра 3212 по ГОСТ 19433, регистрационный номер ООН 1263.
(Измененная редакция, Изм. N 1, 2).
5.3. На потребительскую тару с эмалями марки НЦ-11, предназначенными для розничной торговли, должна быть нанесена маркировка по ГОСТ 9980.4. Назначение, способ применения и меры предосторожности при обращении с эмалями указаны в приложении 2.
5.4. Транспортирование и хранение - по ГОСТ 9980.5.
5.3, 5.4. (Измененная редакция, Изм. N 1).
6. ГАРАНТИИ ИЗГОТОВИТЕЛЯ
6.1. Изготовитель гарантирует соответствие эмалей требованиям настоящего стандарта при соблюдении условий транспортирования и хранения.
6.2. Гарантийный срок хранения эмалей - 6 мес со дня изготовления.
Приложение 1
Справочное
ТАБЛИЦА СООТВЕТСТВИЯ ИЗМЕНИВШИХСЯ НАИМЕНОВАНИЙ ЦВЕТОВ
ЭМАЛЕЙ МАРОК НЦ-11 И НЦ-11А, ПРИВЕДЕННЫХ В НАСТОЯЩЕМ
СТАНДАРТЕ С ИЗМЕНЕНИЕМ N 3, НАИМЕНОВАНИЯМ, УКАЗАННЫМ
В СТАНДАРТЕ С ИЗМЕНЕНИЕМ N 2
ГОСТ 9198-83 с изменением N 3
ГОСТ 9198-83 с изменением N 2
Кремовый 200
Кремовый
Вишневый 01
Вишневый
Светло-серый 01
Светло-серый
Светло-серый 02
-
Кремовый
-
Желтовато-белый
-
Серовато-зеленый
-
Светлый серо-бежевый
-
Вишневый 02
-
Серовато-голубой
-
Синевато-зеленый
-
Приложение 1. (Измененная редакция, Изм. N 3).
Приложение 2
Обязательное
НАЗНАЧЕНИЕ, МЕРЫ ПРЕДОСТОРОЖНОСТИ, СПОСОБ ПРИМЕНЕНИЯ
ЭМАЛЕЙ МАРКИ НЦ-11, ПРЕДНАЗНАЧЕННЫХ ДЛЯ РОЗНИЧНОЙ ТОРГОВЛИ
Эмали предназначаются для окрашивания предварительно загрунтованных или загрунтованных и зашпатлеванных поверхностей изделий, эксплуатируемых в атмосферных условиях и внутри помещений, а также для подкраски небольших участков кузовов легковых автомобилей, мотоциклов, приборов и других изделий.
Перед применением эмаль тщательно перемешивают, разбавляют растворителями марок 646, 647, в количестве: 20 - 35% для черной эмали и 90 - 120% для эмалей других цветов от массы эмали.
Эмаль наносят на поверхность методом пневматического распыления до пяти слоев. Допускается для устранения небольших дефектов наносить эмаль кистью. Время высыхания эмали при (20 +/- 2) °C не менее 10 мин для каждого слоя, а последнего слоя - не менее 1 ч.
Для придания зеркального блеска пленку обрабатывают полировочной пастой типа N 291, ВАЗ-2, полировочным составом типа ВАЗ-03.
Расход эмали на однослойное покрытие 120 - 200 г/м2.
Эмали следует хранить в плотно закрытой таре, предохраняя от влаги и солнечных лучей. Помещение, где производится окраска, должно проветриваться. Пленка эмали после высыхания не оказывает вредного воздействия на организм человека.
Приложение 2. (Измененная редакция, Изм. N 1).