Главная // Актуальные документы // ГОСТ (Государственный стандарт)СПРАВКА
Источник публикации
В данном виде документ опубликован не был.
Первоначальный текст документа опубликован в издании
М.: Издательство стандартов, 1989.
Информацию о публикации документов, создающих данную редакцию, см. в справке к этим документам.
Примечание к документу
По сведениям, размещенным на Информационном портале Росстандарта по адресу https://uvedns.gostinfo.ru/, данный документ утратил силу с 01.02.2024 в связи с изданием Приказа Росстандарта от 29.01.2024 N 144-ст. Взамен введен в действие ГОСТ 9949-2023.
По сведениям, размещенным на Информационном портале Росстандарта по адресу https://uvedns.gostinfo.ru/,
Приказ Росстандарта от 14.12.2022 N 1485-ст, отменявший действие данного документа, признан утратившим силу с 01.02.2024 Приказом Росстандарта от 20.12.2023 N 1601-ст.
Документ утрачивал силу на территории Российской Федерации с 01.03.2024 в связи с изданием
Приказа Росстандарта от 14.12.2022 N 1485-ст. Взамен вводился в действие
ГОСТ Р 70539-2022.
С 1 июля 2003 года до вступления в силу технических регламентов акты федеральных органов исполнительной власти в сфере технического регулирования носят рекомендательный характер и подлежат обязательному исполнению только в части, соответствующей целям, указанным в
пункте 1 статьи 46 Федерального закона от 27.12.2002 N 184-ФЗ.
Ограничение срока действия снято Постановлением Госстандарта СССР от 06.06.1991 N 828 ("ИУС", N 9. 1991).
Изменение N 3, утв. Постановлением Госстандарта СССР от 06.06.1991 N 828, введено в действие с 01.01.1992.
Взамен ГОСТ 9949-62.
Название документа
"ГОСТ 9949-76*. Государственный стандарт Союза ССР. Ксилол каменноугольный. Технические условия"
(введен Постановлением Госстандарта СССР от 17.02.1976 N 424)
(ред. от 06.06.1991)
"ГОСТ 9949-76*. Государственный стандарт Союза ССР. Ксилол каменноугольный. Технические условия"
(введен Постановлением Госстандарта СССР от 17.02.1976 N 424)
(ред. от 06.06.1991)
Введен в действие
Постановлением Государственного
комитета стандартов
Совета Министров СССР
от 17 февраля 1976 г. N 424
ГОСУДАРСТВЕННЫЙ СТАНДАРТ СОЮЗА ССР
КСИЛОЛ КАМЕННОУГОЛЬНЫЙ
ТЕХНИЧЕСКИЕ УСЛОВИЯ
Coal xylene. Specifications
ГОСТ 9949-76*
| | Список изменяющих документов (в ред. Изменения N 1, утв. в мае 1981 г., Изменения N 2, утв. в ноябре 1986 г., Госстандарта СССР от 06.06.1991 N 828) | |
Группа Л32
ОКП 24 1452 0100
Взамен
ГОСТ 9949-62
Постановлением Государственного комитета стандартов Совета Министров СССР от 17 февраля 1976 г. N 424 срок введения установлен
с 1 января 1977 года
Проверен в 1986 г. Постановлением Госстандарта от 24.11.86 N 3517 срок действия продлен
до 1 января 1992 года
Переиздание (сентябрь 1988 г.) с Изменениями N 1, 2, утвержденными в мае 1981 г., ноябре 1986 г. (ИУС 8-81, 2-87).
Несоблюдение стандарта преследуется по закону
Настоящий стандарт распространяется на каменноугольный ксилол - смесь трех изомеров ксилола и этилбензола, получаемый в процессе переработки каменноугольного сырого бензола и предназначенный для использования в качестве растворителя в производстве лаков, красок, эмалей и т.д., а также для других целей.
Формула C8H10.
Молекулярная масса (по международным атомным массам 1985 г.) - 106,17.
(в ред.
Изменения N 3, утв. Постановлением Госстандарта СССР от 06.06.1991 N 828)
Настоящий стандарт устанавливает требования к каменноугольному ксилолу, изготовляемому для нужд народного хозяйства и для экспорта.
Абзац исключен с 1 января 1992 года. -
Изменение N 3, утв. Постановлением Госстандарта СССР от 06.06.1991 N 828.
1. ТЕХНИЧЕСКИЕ ТРЕБОВАНИЯ
1.1а. Каменноугольный ксилол должен быть изготовлен в соответствии с требованиями настоящего стандарта по технологическому регламенту, утвержденному в установленном порядке.
(Введен дополнительно, Изм. N 2).
1.1. По физико-химическим показателям каменноугольный ксилол должен соответствовать требованиям и нормам, указанным в табл. 1.
Таблица 1
Наименование показателя | Норма | Метод анализа |
Высший сорт ОКП 24 1452 0120 | 1-й сорт ОКП 24 1452 0130 | 2-й сорт ОКП 24 1452 0140 |
1. Внешний вид и цвет | Прозрачная жидкость, не содержащая взвешенных частиц, в том числе и капелек воды, не темнее цвета раствора 0,003 г K2Cr2O7 в 1дм3 воды | |
(в ред. Изменения N 3, утв. Постановлением Госстандарта СССР от 06.06.1991 N 828) |
2. Плотность при 20 °C, г/см3 | 0,861 - 0,866 | 0,860 - 0,866 | 0,860 - 0,866 | |
3. Массовая доля основного вещества (сумма изомеров ксилола и этилбензола), %, не менее |
| 97 | 95 | Не определяется | |
в том числе м-ксилола | 54 | 52 | То же | |
(в ред. Изменения N 3, утв. Постановлением Госстандарта СССР от 06.06.1991 N 828) |
4. Пределы перегонки: 95% (по объему) от начала кипения перегоняется в интервале температур, °C | 137,5 - 140,5 | 137 - 141 | 136 - 141 | |
5. Окраска серной кислоты, номер образцовой шкалы, не более | 0,6 | 0,8 | 2,0 | |
6. Реакция водной вытяжки | Нейтральная | |
Примечания:
1. Допускается в цистерне с ксилолом слой воды высотой не более 5 мм, определяемый по
ГОСТ 2706.9-74.
2. (Исключен, Изм. N 1).
(Измененная редакция, Изм. N 1, 2).
2а. ТРЕБОВАНИЯ БЕЗОПАСНОСТИ
2а.1. Каменноугольный ксилол - легковоспламеняющаяся жидкость.
(в ред.
Изменения N 3, утв. Постановлением Госстандарта СССР от 06.06.1991 N 828)
Температура вспышки - 24 °C, температура самовоспламенения - 494 °C. Концентрационные пределы распространения пламени (воспламенения) - 1,0 - 6,0% (по объему).
(в ред.
Изменения N 3, утв. Постановлением Госстандарта СССР от 06.06.1991 N 828)
Температурные пределы воспламенения паров: нижний 19,5 °C, верхний 54,3 °C. Показатели пожаровзрывоопасности определяются по
ГОСТ 12.1.044-89.
(в ред.
Изменения N 3, утв. Постановлением Госстандарта СССР от 06.06.1991 N 828)
2а.2. Для тушения каменноугольного ксилола используют тонко распыленную воду и пену.
2а.3. Предельно допустимая концентрация (ПДК) паров ксилола в воздухе рабочей зоны - 50 мг/м
3, III класс опасности по
ГОСТ 12.1.005-88.
(в ред.
Изменения N 3, утв. Постановлением Госстандарта СССР от 06.06.1991 N 828)
2а.4. При работе с ксилолом необходимо использовать индивидуальные средства защиты от попадания паров в организм и жидкого продукта на кожу и слизистые оболочки.
Разд. 2а. (Введен дополнительно, Изм. N 2).
2.1. Правила приемки по
ГОСТ 5445-79 со следующим дополнением: партией считают каждую цистерну.
2.2. Массовую долю основного вещества и м-ксилола определяют только в продукте, предназначенном для нитрации.
(Измененная редакция, Изм. N 2).
Объем средней пробы должен быть не менее 1 дм3.
3.2. Определение массовой доли основного вещества и
м-ксилола
Метод позволяет определять массовую долю основного вещества от 70 до 100% и массовую долю м-ксилола от 40 до 60%.
(абзац введен
Изменением N 3, утв. Постановлением Госстандарта СССР от 06.06.1991 N 828)
3.2.1. Аппаратура, посуда и реактивы
Хроматограф газовый с пламенно-ионизационным детектором с порогом чувствительности по пропану не ниже 2,5·10-8 мг/с.
Колонка газохроматографическая длиной 5 м, внутренним диаметром 3 мм.
Микрошприц типа "Газохром 101".
Печь муфельная или тигельная, обеспечивающая нагрев до 400 °C.
Интегратор электронный или линейка измерительная металлическая по
ГОСТ 427-75.
(в ред.
Изменения N 3, утв. Постановлением Госстандарта СССР от 06.06.1991 N 828)
Набор сит "Физприбор".
Баня водяная.
Носитель твердый: динохром-Н с частицами размером (0,16 +/- 0,25) мм, прокаленный при 300 °C в течение 8 ч, или хезасорб.
Фаза неподвижная: бетон-245.
Модификатор фазы: масло вазелиновое медицинское по
ГОСТ 3164-78.
| | ИС МЕГАНОРМ: примечание. Взамен ГОСТ 8448-78 Приказом Росстандарта от 20.09.2019 N 729-ст с 01.03.2020 введен в действие ГОСТ 8448-2019. | |
Бензол по ГОСТ 8448-78.
Газ-носитель: гелий.
Воздух сжатый для питания пневматических приборов и средств автоматизации.
3.2.2. Подготовка к анализу
Насадку готовят следующим образом. Неподвижную фазу (5% от массы твердого носителя) в выпарительной чашке тщательно смешивают с модификатором фазы (5% от массы твердого носителя) и растворяют в бензоле, объем которого в 3 раза превышает массу твердого носителя. В полученный раствор при перемешивании вносят тщательно отсеянный от пыли твердый носитель и выдерживают при комнатной температуре не менее 12 ч, затем - в сушильном шкафу при температуре 140 °C в течение 8 ч.
(в ред.
Изменения N 3, утв. Постановлением Госстандарта СССР от 06.06.1991 N 828)
Приготовленной насадкой заполняют колонку, помещают ее в термостат хроматографа и, не присоединяя к детектору, продувают газом-носителем со скоростью 40 см3/мин при температуре 140 °C до тех пор, пока не установится стабильная нулевая линия при максимальной чувствительности прибора.
Монтаж, наладку и вывод хроматографа на рабочий режим производят в соответствии с инструкцией, прилагаемой к прибору.
3.2.3. Проведение анализа
Массовые доли основного вещества и м-ксилола определяют методом "внутренней нормализации". Пробу анализируемого продукта вводят в хроматограф микрошприцем.
Анализ каменноугольного ксилола проводят при следующих условиях:
Температура термостата, °C . . . . . . . . . . . . . 75 - 80
Температура испарителя, °C . . . . . . . . . . . . . 200 - 250
Скорость газа-носителя, см3/мин . . . . . . . . . . 60
Объем пробы, мм3 . . . . . . . . . . . . . . . . . . 0,1
Скорость движения диаграммной ленты, мм/ч . . . . . 240
Продолжительность анализа, мин . . . . . . . . . . . 40
(в ред.
Изменения N 3, утв. Постановлением Госстандарта СССР от 06.06.1991 N 828)
Относительное время удерживания компонентов указано в табл. 2.
Таблица 2
Наименование компонента | Относительное время удерживания |
Толуол | 1,00 |
Этилбензол | 1,93 |
п-Ксилол | 2,16 |
м-Ксилол | 2,35 |
о-Ксилол | 2,68 |
Типовая хроматограмма каменноугольного ксилола приведена на чертеже.
Типовая хроматограмма каменноугольного ксилола
1 - толуол; 2 - этилбензол; 3 - п-ксилол;
4 - м-ксилол; 5 - о-ксилол
3.2.4. Обработка результатов
Измеряют площади пиков каждого компонента на хроматограмме.
Площадь пика каждого компонента (Si) в квадратных миллиметрах вычисляют по формуле
Si = hi·bi·Mi·Ki,
где hi - высота пика, мм;
bi - ширина пика, измеренная на середине его высоты, мм;
Mi - масштаб записи сигнала пика;
Ki - градуировочный коэффициент.
В расчет принимают ширину линии, очерчивающей пик.
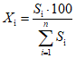
Массовую долю каждого компонента (Xi) в процентах вычисляют по формуле

,
где Si - площадь пика определяемого компонента, мм2;

- сумма площадей всех пиков, мм
2.
Массовую долю основного вещества (X) в процентах вычисляют как сумму массовых долей изомеров ксилола и этилбензола.
За результат анализа принимают среднее арифметическое результатов двух параллельных определений, допускаемые расхождения между которыми не должны превышать 1,3% при доверительной вероятности P = 0,95.
Разд. 3. (Измененная редакция, Изм. N 2).
3.3. При определении плотности ксилола по
ГОСТ 3900-85 для пересчета плотности при температуре испытания в плотность при 20 °C следует пользоваться формулой

,
где

- плотность ксилола при температуре испытания, г/см
3;

- температурная поправка к плотности, которая для ксилола равна 0,00086 г/см
3 на 1 °C;
t - температура испытания, °C.
(п. 3.3 введен
Изменением N 3, утв. Постановлением Госстандарта СССР от 06.06.1991 N 828)
4. УПАКОВКА, МАРКИРОВКА, ТРАНСПОРТИРОВАНИЕ И ХРАНЕНИЕ
| | ИС МЕГАНОРМ: примечание. Взамен ГОСТ 13950-84 Постановлением Госстандарта СССР от 16.12.1991 N 1954 с 1 января 1993 года введен в действие ГОСТ 13950-91. | |
4.1. Каменноугольный ксилол транспортируют в железнодорожных цистернах, предназначенный для экспорта, - в железнодорожных цистернах или стальных бочках по ГОСТ 13950-84 типа I вместимостью 200 дм3 в крытых вагонах в соответствии с правилами перевозки грузов, действующими на железнодорожном транспорте.
(в ред.
Изменения N 3, утв. Постановлением Госстандарта СССР от 06.06.1991 N 828)
Степень (уровень) заполнения цистерны рассчитывают с учетом полного использования вместимости (грузоподъемности) и объемного расширения продукта при возможном перепаде температур в пути следования.
(Измененная редакция, Изм. N 2).
4.2. (Исключен, Изм. N 2).
4.3. Упаковывание и маркирование ксилола для экспорта производятся в соответствии с договором между предприятием и внешнеэкономической организацией.
(п. 4.3 в ред.
Изменения N 3, утв. Постановлением Госстандарта СССР от 06.06.1991 N 828)
4.3а. Маркировку, характеризующую транспортную опасность груза, и знак опасности наносят в соответствии с
ГОСТ 19433-88 (класс 3, подкласс 3.3, классификационный шифр 3313, серийный номер ООН 1307).
(п. 4.3а в ред.
Изменения N 3, утв. Постановлением Госстандарта СССР от 06.06.1991 N 828)
(Введен дополнительно, Изм. N 2).
4.4. (Исключен, Изм. N 1).
4.5. Ксилол хранят в стальных резервуарах, снабженных воздушками, оборудованными предохранительными сетками или огнепреградителями, и размещенных в специально оборудованном открытом складе или в складском помещении.
5.1. Изготовитель гарантирует соответствие качества каменноугольного ксилола требованиям настоящего стандарта при соблюдении условий транспортирования и хранения.
5.2. Гарантийный срок хранения ксилола со дня изготовления в месяцах:
для высшего сорта - 6,
для 1-го сорта - 3,
для 2-го сорта - 2.
Разд. 5. (Измененная редакция, Изм. N 2).
Разд. 6. (Исключен, Изм. N 2).