Главная // Актуальные документы // ГОСТ (Государственный стандарт)СПРАВКА
Источник публикации
В данном виде документ опубликован не был.
Первоначальный текст документа опубликован в издании
М.: Издательство стандартов, 1985.
Информацию о публикации документов, создающих данную редакцию, см. в справке к этим документам.
Примечание к документу
С 1 июля 2003 года до вступления в силу технических регламентов акты федеральных органов исполнительной власти в сфере технического регулирования носят рекомендательный характер и подлежат обязательному исполнению только в части, соответствующей целям, указанным в
пункте 1 статьи 46 Федерального закона от 27.12.2002 N 184-ФЗ.
Ограничение срока действия снято по Протоколу N 4-93 Межгосударственного совета по стандартизации, метрологии и сертификации ("ИУС", N 4, 1994).
Взамен ГОСТ 22438-77.
Название документа
"ГОСТ 22438-85. Государственный стандарт Союза ССР. Эмали ЭП-525. Технические условия"
(введен в действие Постановлением Госстандарта СССР от 27.03.1985 N 886)
(ред. от 19.11.1996)
"ГОСТ 22438-85. Государственный стандарт Союза ССР. Эмали ЭП-525. Технические условия"
(введен в действие Постановлением Госстандарта СССР от 27.03.1985 N 886)
(ред. от 19.11.1996)
Постановлением Государственного
комитета СССР по стандартам
от 27 марта 1985 г. N 886
ГОСУДАРСТВЕННЫЙ СТАНДАРТ СОЮЗА ССР
ЭМАЛИ ЭП-525
ТЕХНИЧЕСКИЕ УСЛОВИЯ
Enamels ЭП-525. Specifications
ГОСТ 22438-85
| | Список изменяющих документов Госстандарта СССР от 26.11.1990 N 2929, от 19.11.1996 N 635) | |
Взамен
ГОСТ 22438-77
Постановлением Государственного комитета СССР по стандартам от 27 марта 1985 г. N 886 срок действия установлен
с 1 июля 1986 года
до 1 июля 1995 года
Настоящий стандарт распространяется на эмали ЭП-525 различных цветов, представляющие собой суспензию пигментов и наполнителей в растворе эпоксидной смолы 3-41 в смеси органических растворителей с добавлением отвердителя N 1.
Эмали ЭП-525 предназначаются для нанесения на предварительно загрунтованные металлические и неметаллические поверхности.
Эмали ЭП-525 темно-зеленая, темно-серая и серая предназначаются для получения ограниченно атмосферостойких покрытий, эксплуатирующихся в различных климатических районах по
ГОСТ 9.104-79 в условиях повышенной влажности, действия морской воды, ее паров и особых сред.
Эмали ЭП-525 темно-красная и защитная предназначаются для получения ограниченно атмосферостойких покрытий, эксплуатирующихся в районах с умеренно холодным климатом по
ГОСТ 9.104-79 в условиях повышенной влажности и действия особых сред.
Эмаль ЭП-525 темно-серая графитированная предназначается для получения токопроводящего покрытия при нанесении на стеклопластики, а также в качестве внешнего слоя по покрытию эмалью ЭП-525 темно-зеленой для окрашивания стальных поверхностей изделий при эксплуатации их в районах с умеренно холодным климатом по
ГОСТ 9.104-79 в условиях действия особых сред.
Эмали ЭП-525 наносят методом пневматического распыления.
(абзац введен
Изменением N 1, утв. Постановлением Госстандарта СССР от 26.11.1990 N 2929)
Требования настоящего стандарта являются обязательными.
(абзац введен
Изменением N 1, утв. Постановлением Госстандарта СССР от 26.11.1990 N 2929)
1. ТЕХНИЧЕСКИЕ ТРЕБОВАНИЯ
1.1. Эмали ЭП-525 должны изготовляться в соответствии с требованиями настоящего стандарта по рецептуре и технологическому регламенту, утвержденным в установленном порядке.
1.2. Абзац исключен с 1 июля 1991 года. -
Изменение N 1, утв. Постановлением Госстандарта СССР от 26.11.1990 N 2929.
Параметры методов окрашивания должны соответствовать требованиям
ГОСТ 9.105-80.
1.3. Эмали ЭП-525 должны изготовляться следующих цветов, указанных в табл. 1.
Таблица 1
Цвет эмали | Код ОКП |
Темно-красный | 23 1252 1064 03 |
Защитный | 23 1252 1011 05 |
Темно-зеленый | 23 1252 1008 00 |
Серый | 23 1252 1036 07 |
Темно-серый | 23 1252 1088 06 |
Темно-серый графитированный | 23 1252 1060 07 |
Соответствие изменившихся наименований цветов приведено в справочном приложении.
1.4. Эмали ЭП-525 поставляются комплектно: полуфабрикат эмали соответствующего цвета и отвердитель N 1, выпускаемый в соответствии с нормативно-технической документацией.
Перед применением в полуфабрикат эмали вводят отвердитель N 1 из расчета на 100 частей полуфабриката эмали:
темно-красной - 2,50 части;
защитной - 3,00 "
темно-зеленой - 2,80 "
серой - 2,40 "
темно-серой - 2,70 "
темно-серой графитированной - 3,25 части отвердителя по массе.
1.5. Для разбавления эмали ЭП-525 темно-серой графитированной до рабочей вязкости 14 - 16 с и эмалей ЭП-525 остальных цветов до рабочей вязкости 13 - 14 с по вискозиметру типа ВЗ-246 (или ВЗ-4) с диаметром сопла 4 мм по
ГОСТ 9070-75 при температуре (20,0 +/- 0,5) °C применяют растворители марки Р-5 или Р-5А по
ГОСТ 7827-74.
(п. 1.5 в ред.
Изменения N 1, утв. Постановлением Госстандарта СССР от 26.11.1990 N 2929)
1.6. Эмали ЭП-525 должны соответствовать требованиям и нормам, указанным в табл. 2.
Наименование показателя | Норма | Метод испытания |
| Должен находиться в пределах допускаемых отклонений, установленных образцами цвета картотеки эталонов | |
защитный | 715, 744 | |
темно-зеленый | 312, оттенок не нормируется | |
серый | 518, оттенок не нормируется | |
темно-серый | 812, оттенок не нормируется | |
темно-красной и темно-серый графитированный | Оттенок не нормируется | |
(п. 1 в ред. Изменения N 1, утв. Постановлением Госстандарта СССР от 26.11.1990 N 2929) |
2. Внешний вид пленки эмали | После высыхания пленка эмали должна быть матовой или полуматовой, однородной, без посторонних включений. Допускается легкая шагрень и единичные оспины (кроме эмалей защитной и темно-серой графитированной) и следы графита на пленке эмали темно-серой графитированной | |
3. Условная вязкость по вискозиметру типа ВЗ-246 (или ВЗ-4) с диаметром сопла 4 мм при температуре (20,0 +/- 0,5) °C, с, для полуфабриката эмали: | | |
темно-красной | 40 +/- 20 | |
темно-зеленой и темно-серой | 60 +/- 15 | |
серой | 33 +/- 10 | |
защитной и темно-серой графитированной | Не определяется | |
(п. 3 в ред. Изменения N 1, утв. Постановлением Госстандарта СССР от 26.11.1990 N 2929) |
4. Массовая доля нелетучих веществ, %, в полуфабрикате эмали: | | |
темно-красной | 60 +/- 3 | |
защитной | 65 +/- 2 | |
темно-зеленой | 70 +/- 3 | |
серой | 65 +/- 3 | |
темно-серой | 68 +/- 3 | |
темно-серой графитированной | 56 +/- 3 | |
(п. 4 в ред. Изменения N 1, утв. Постановлением Госстандарта СССР от 26.11.1990 N 2929) |
5. Степень перетира по прибору "Клин" с пределом измерения от 0 до 150 мкм, не более, для полуфабриката эмали: | - | |
темно-зеленой | 45 | |
защитной, серой и темно-серой | 40 | |
темно-красной и темно-серой графитированной | Не определяется | |
(п. 5 в ред. Изменения N 1, утв. Постановлением Госстандарта СССР от 26.11.1990 N 2929) |
6. Время высыхания пленки до степени 5, при температуре (50 +/- 3) °C, ч, не более | 5 | |
(п. 6 в ред. Изменения N 1, утв. Постановлением Госстандарта СССР от 26.11.1990 N 2929) |
7. Твердость пленки по маятниковому прибору типа ТМЛ (маятник А), относительные единицы, не менее, для эмали: | | |
темно-красной, защитной и темно-зеленой | 0,30 | |
остальных цветов | 0,25 | |
(п. 7 в ред. Изменения N 2, введенного в действие Постановлением Госстандарта России от 19.11.1996 N 635) |
8. Эластичность пленки при изгибе, мм, не более | 3 | |
9. Прочность пленки при ударе по прибору У-1, см, не менее | 50 | |
10. Адгезия пленки, баллы, не более | 1 | |
(п. 10 в ред. Изменения N 1, утв. Постановлением Госстандарта СССР от 26.11.1990 N 2929) |
11. Стойкость пленки при температуре (20 +/- 2) °C, ч, не менее, к статическому воздействию: | | |
воды (для эмали темно-красной, темно-серой графитированной, защитной) | 24 | |
3%-ного раствора хлористого натрия (для эмали темно-зеленой, серой, темно-серой) | 24 | |
трикрезилфосфата (для эмали темно-серой графитированной) | 24 | |
(п. 11 в ред. Изменения N 1, утв. Постановлением Госстандарта СССР от 26.11.1990 N 2929) |
12. Удельное объемное электрическое сопротивление пленки  , Ом·см, не более (для эмали темно-серой графитированной) | 10 | |
(п. 12 в ред. Изменения N 1, утв. Постановлением Госстандарта СССР от 26.11.1990 N 2929) |
13. Срок годности (жизнеспособности) эмали при температуре (20 +/- 2) °C, ч, не менее | 8 | |
(п. 13 в ред. Изменения N 1, утв. Постановлением Госстандарта СССР от 26.11.1990 N 2929) |
Примечания:
1. Исключено с 1 января 1997 года. -
Изменение N 2, введенное в действие Постановлением Госстандарта России от 19.11.1996 N 635.
2. При хранении допускается увеличение условной вязкости полуфабриката эмали при условии сохранения массовой доли нелетучих веществ в пределах нормы, указанной в
табл. 2, и соответствия эмали требованиям настоящего стандарта после перемешивания с отвердителем N 1 и разбавления до рабочей вязкости.
3. Допускается увеличение удельного объемного электрического сопротивления пленки эмали ЭП-525 темно-серой графитированной до 50 Ом·см.
(примечание 3 введено
Изменением N 1, утв. Постановлением Госстандарта СССР от 26.11.1990 N 2929)
2. ТРЕБОВАНИЯ БЕЗОПАСНОСТИ
2.1. Эмали ЭП-525 являются токсичными и горючими материалами по
ГОСТ 12.1.044-89, что обусловлено свойствами компонентов, входящих в их состав, растворителей, применяемых для их разбавления, и применяемого для их отверждения отвердителя N 1 (табл. 3).
(в ред.
Изменения N 1, утв. Постановлением Госстандарта СССР от 26.11.1990 N 2929)
Таблица 3
Госстандарта СССР от 26.11.1990 N 2929)
Наименование компонента | Предельно допустимая концентрация веществ в воздухе рабочей зоны производственных помещений, мг/м3 | Температура, °C | Концентрационные пределы воспламенения, %, (по объему) | Класс опасности |
вспышки | самовоспламенения |
Ацетон | 200 | Минус 18 | 600 | 2,2 - 13,0 | 4 |
Бутилацетат | 200 | 29 | 370 | 2,2 - 14,7 | 4 |
Ксилол | 50 | 23 | 450 | 1,1 - 6,0 | 3 |
Толуол | 50 | 4 | 536 | 1,25 - 6,5 | 3 |
Спирт этиловый | 1000 | 10 | 404 | 3,6 - 19,0 | 4 |
Спирт изопропиловый | 10 | 12 | 455 | 2,0 - 12,0 | 3 |
Гексаметилендиамин | 0,1 | - | - | - | 1 |
Соединения кадмия | 0,01 | - | - | - | 1 |
Соединения хрома | 1 | - | - | - | 3 |
Стронций хромовокислый | 0,01 | - | - | - | 2 |
Растворитель Р-5 | - | 6 | 513 | - | - |
Растворитель Р-5А | - | Минус 1 | 497 | - | - |
Эмали ЭП-525 | - | 1 - 10 | - | - | - |
2.2. Эмали ЭП-525, отвердитель N 1, растворитель Р-5, Р-5А оказывают токсическое действие при попадании на кожу и в глаза, при вдыхании паров, поэтому все работы, связанные с приготовлением и применением эмалей, должны проводиться в цехах, снабженных приточно-вытяжной вентиляцией, обеспечивающей чистоту воздуха рабочей зоны помещений. Содержание паров вредных веществ в помещении не должно превышать установленные предельно допустимые концентрации (ПДК).
(в ред.
Изменения N 1, утв. Постановлением Госстандарта СССР от 26.11.1990 N 2929)
(абзац введен
Изменением N 2, введенным в действие Постановлением Госстандарта России от 19.11.1996 N 635)
2.3. При попадании эмалей, отвердителя и растворителя на кожу их необходимо удалить ватным тампоном, а затем промыть кожу обильным количеством воды с мылом.
При попадании эмалей, отвердителя и растворителя в глаза, необходимо немедленно промыть глаза обильным количеством воды.
2.4. Все работы, связанные с приготовлением и применением эмалей, должны проводиться в соответствии с требованиями правил пожарной безопасности и промышленной санитарии по
ГОСТ 12.3.005-75 и по
ГОСТ 12.1.004-91.
(в ред.
Изменения N 2, введенного в действие Постановлением Госстандарта России от 19.11.1996 N 635)
Производство эмалей должно соответствовать "Общим правилам взрывобезопасности для взрывопожароопасных химических, нефтехимических и нефтеперерабатывающих производств", утвержденным Госгортехнадзором 06.09.88.
(абзац введен
Изменением N 2, введенным в действие Постановлением Госстандарта России от 19.11.1996 N 635)
2.5. Лица, связанные с приготовлением и применением эмалей, должны быть обеспечены средствами индивидуальной защиты по
ГОСТ 12.4.011-89.
(в ред.
Изменения N 1, утв. Постановлением Госстандарта СССР от 26.11.1990 N 2929)
2.6. Средства тушения пожара: песок, кошма, тонкораспыленная вода, воздушно-механическая пена из стационарных установок, огнетушители пенные или углекислотные.
2.7. Контроль за соблюдением предельно допустимых выбросов (ПДВ) осуществляется в соответствии с
ГОСТ 17.2.3.02-78.
(п. 2.7 введен
Изменением N 1, утв. Постановлением Госстандарта СССР от 26.11.1990 N 2929)
2.8. Утилизация отходов осуществляется в соответствии с
санитарными правилами "Порядок накопления, транспортирования, обезвреживания и захоронения токсичных промышленных отходов".
(п. 2.8 введен
Изменением N 2, введенным в действие Постановлением Госстандарта России от 19.11.1996 N 635)
| | ИС МЕГАНОРМ: примечание. Взамен ГОСТ 9980-80 в части раздела 1 Постановлением Госстандарта СССР от 20.06.1986 N 1618 с 1 июля 1987 года введен в действие ГОСТ 9980.1-86. | |
3.1. Правила приемки - по ГОСТ 9980-80, разд. 1.
(в ред.
Изменения N 2, введенного в действие Постановлением Госстандарта России от 19.11.1996 N 635)
для эмали темно-зеленой, серой и темно-серой - в каждой 50-й партии;
для эмали защитной и темно-серой графитированной - в каждой 10-й партии;
для эмали темно-красной - в каждой 5-й партии.
(п. 3.2 в ред.
Изменения N 1, утв. Постановлением Госстандарта СССР от 26.11.1990 N 2929)
При получении неудовлетворительных результатов периодических испытаний, изготовитель проверяет каждую партию до получения удовлетворительных результатов испытаний не менее чем на трех партиях подряд.
(абзац введен
Изменением N 2, введенным в действие Постановлением Госстандарта России от 19.11.1996 N 635)
| | ИС МЕГАНОРМ: примечание. Взамен ГОСТ 9980-80 в части раздела 2 Постановлением Госстандарта СССР от 20.06.1986 N 1618 с 1 июля 1987 года введен в действие ГОСТ 9980.2-86. | |
4.1. Отбор проб - по ГОСТ 9980-80, разд. 2.
4.2. Подготовка к испытаниям
4.2.1. Полуфабрикат эмали перед испытанием тщательно перемешивают и фильтруют через сетку 01 или 02 по
ГОСТ 6613-86.
Условную вязкость, массовую долю нелетучих веществ и степень перетира определяют в неразбавленном полуфабрикате эмали.
Для определения остальных показателей в полуфабрикат эмали соответствующего цвета добавляют отвердитель N 1 в количестве, указанном в
п. 1.4, тщательно перемешивают, разбавляют до рабочей вязкости в соответствии с
п. 1.5 и наносят краскораспылителем на подготовленные пластинки.
При разногласиях для разбавления эмали до рабочей вязкости применяют растворитель Р-5А.
(п. 4.2.1 в ред.
Изменения N 1, утв. Постановлением Госстандарта СССР от 26.11.1990 N 2929)
4.2.2. Подготовка пластинок для нанесения эмали и получение покрытия - по ГОСТ 8832-76,
разд. 3 -
4.
4.2.3. Цвет, внешний вид, время высыхания, эластичность пленки при изгибе определяют на пластинках из черной жести по
ГОСТ 13345-85 размером 20 x 150 мм (для определения эластичности пленки при изгибе) и 70 x 150 мм (для определения остальных показателей) и толщиной 0,25 - 0,32 мм.
(в ред.
Изменения N 1, утв. Постановлением Госстандарта СССР от 26.11.1990 N 2929)
4.2.4. Твердость и удельное объемное электрическое сопротивление пленки

определяют на стеклянных пластинках толщиной 1,2 мм и размером 90 x 120 мм (для определения твердости) и 15 x 120 мм (для определения удельного объемного электрического сопротивления).
(в ред.
Изменения N 2, введенного в действие Постановлением Госстандарта России от 19.11.1996 N 635)
| | ИС МЕГАНОРМ: примечание. Взамен ГОСТ 16523-89 Постановлением Госстандарта России от 04.04.1999 N 113 с 1 января 2000 года введен в действие ГОСТ 16523-97. | |
4.2.5. Прочность пленки при ударе, адгезию, стойкость пленки к статическому воздействию воды, 3%-ного раствора хлористого натрия и трикрезилфосфата определяют на пластинках из стали марок 08кп и 08пс размером 70 x 150 мм и толщиной 0,8 - 0,9 мм (ГОСТ 16523-89).
(в ред.
Изменения N 2, введенного в действие Постановлением Госстандарта России от 19.11.1996 N 635)
4.2.6. Для определения цвета и внешнего вида пленки эмаль наносят до полного укрытия окрашиваемой поверхности.
Для определения времени высыхания пленки, твердости, эластичности при изгибе, прочности при ударе, адгезии, удельного объемного электрического сопротивления пленки, стойкости пленки к статическому воздействию воды и 3%-ного раствора хлористого натрия эмаль наносят в один слой.
Для определения стойкости комплексного покрытия к статическому воздействию воды и трикрезилфосфата эмаль ЭП-525 темно-серую графитированную наносят в один слой по однослойному покрытию эмалью ЭП-525 темно-зеленой.
Нанесенные на пластинки однослойные пленки эмали для испытаний по
показателям 1,
2,
6,
7,
8,
9,
10,
11,
12 табл. 2 сушат при температуре (20 +/- 2) °C в течение 1 ч, затем при температуре (50 +/- 3) °C в течение 5 ч. Каждый слой комплексного покрытия сушат при температуре (20 +/- 2) °C в течение 1 ч, затем при температуре (50 +/- 3) °C в течение 5 ч.
Толщина высушенной однослойной пленки эмали должна быть 30 - 40 мкм для защитной эмали, 20 - 25 мкм для темно-красной и темно-серой графитированной эмали (за исключением пластинок с покрытием для определения удельного объемного электрического сопротивления) и 20 - 30 мкм для эмали остальных цветов. Для определения удельного объемного электрического сопротивления толщина высушенной однослойной пленки эмали должна быть 40 - 50 мкм.
Толщина комплексного покрытия, состоящего из одного слоя эмали ЭП-525 темно-серой графитированной, нанесенной по однослойному покрытию эмалью ЭП-525 темно-зеленой, должна быть 40 - 50 мкм.
Горячую сушку покрытия эмалью ЭП-525 проводят в сушильном шкафу с последующей выдержкой при температуре (20 +/- 2) °C в течение 0,5 ч.
(п. 4.2.6 в ред.
Изменения N 1, утв. Постановлением Госстандарта СССР от 26.11.1990 N 2929)
4.3. Проведение испытаний
4.3.1. Цвет и внешний вид высушенной пленки эмали определяют визуально при естественном рассеянном свете.
При определении цвета накраски испытуемой эмали сравнивают с соответствующими образцами цвета картотеки эталонов, сравниваемые образцы должны находиться в одной плоскости на расстоянии 30 - 50 см от глаз наблюдателя.
4.3.2. Массовую долю нелетучих веществ в полуфабрикате эмали определяют по
ГОСТ 17537-72 после выдержки в сушильном шкафу при температуре (120 +/- 5) °C в течение 1,5 ч. Масса навески - (2,0 +/- 0,2) г.
(п. 4.3.2 в ред.
Изменения N 1, утв. Постановлением Госстандарта СССР от 26.11.1990 N 2929)
4.3.3. Степень перетира полуфабриката эмали определяют по
ГОСТ 6589-74 по прибору "Клин" с пределами измерения 0 - 150 мкм.
При определении степени перетира в полуфабрикат добавляют дибутилфталат из расчета не более 15 частей пластификатора на 100 частей полуфабриката эмали по массе.
(п. 4.3.3 в ред.
Изменения N 1, утв. Постановлением Госстандарта СССР от 26.11.1990 N 2929)
4.3.4. Стойкость пленки к статическому воздействию воды, 3%-ного раствора хлористого натрия и трикрезилфосфата определяют по ГОСТ 9.403-80,
разд. 2.
После проведения испытания и выдержки на воздухе при температуре (20 +/- 2) °C в течение 1 ч проводят визуальный осмотр покрытия.
После воздействия воды и раствора хлористого натрия допускается незначительное побеление покрытия, после воздействия трикрезилфосфата на покрытии не должно быть пузырей и вздутий.
4.3.5. Удельное объемное электрическое сопротивление пленки

определяют на измерителях сопротивлений типа Е 6 - 10, Е 6 - 12 с использованием накладных электродов из медной фольги (ГОСТ 859-78). Измерения производят на 3 - 4 пластинках.
Удельное объемное электрическое сопротивление пленки

вычисляют по формуле
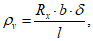
где Rx - сопротивление покрытия между электродами, Ом;
b - ширина полосы покрытия, см;

- толщина полосы покрытия, см;
l - расстояние между серединами электродов, см.
4.3.6. Срок годности (жизнеспособность) эмали определяют по
ГОСТ 27271-87. При этом в 100 - 150 г полуфабриката эмали добавляют отвердитель N 1, исходя из количества, указанного в
п. 1.4, и перемешивают до получения однородной массы. Эмаль разбавляют до рабочей вязкости в соответствии с
п. 1.5. По истечении 8 ч вязкость темно-зеленой, серой и темно-серой эмали не должна изменяться более чем на 5 с, эмалей остальных цветов - более чем на 10 с.
(п. 4.3.6 в ред.
Изменения N 1, утв. Постановлением Госстандарта СССР от 26.11.1990 N 2929)
5. УПАКОВКА, МАРКИРОВКА, ТРАНСПОРТИРОВАНИЕ И ХРАНЕНИЕ
5.1. Упаковка, маркировка, транспортирование и хранение полуфабриката эмали ЭП-525 и поставляемого с ним отвердителя - по ГОСТ 9980.3-86 - ГОСТ 9980.5-86.
(в ред.
Изменения N 2, введенного в действие Постановлением Госстандарта России от 19.11.1996 N 635)
5.2. На транспортную тару должны быть нанесены манипуляционные знаки по
ГОСТ 14192-77 "Беречь от нагрева" для всех эмалей и дополнительно для темно-серой графитированной эмали "Беречь от влаги", знак опасности и классификационный шифр группы опасных грузов 3212 по
ГОСТ 19433-88.
(в ред.
Изменения N 1, утв. Постановлением Госстандарта СССР от 26.11.1990 N 2929,
Изменения N 2, введенного в действие Постановлением Госстандарта России от 19.11.1996 N 635)
Серийный номер ООН - 1263.
(абзац введен
Изменением N 1, утв. Постановлением Госстандарта СССР от 26.11.1990 N 2929)
6. УКАЗАНИЯ ПО ПРИМЕНЕНИЮ
6.1. Эмаль ЭП-525 темно-зеленая рекомендуется для нанесения на изделия из углеродистых и коррозионно-стойких сталей, алюминиевых, магниевых и титановых сплавов, окрашенных грунтовкой АК-070
(ГОСТ 25718-83), а также для нанесения на изделия из дробеструйных углеродистых сталей по грунтовке ЭП-057.
6.2. Эмали ЭП-525 темно-красная, серая, темно-серая рекомендуются для нанесения на изделия из углеродистых и коррозионно-стойких сталей, алюминиевых, магниевых и титановых сплавов, окрашенных грунтовкой АК-070 и двумя слоями эмали ЭП-525 темно-зеленой, а также для нанесения на изделия из дробеструйных углеродистых сталей, предварительно окрашенных грунтовкой ЭП-057 и двумя слоями эмали ЭП-525 темно-зеленой.
(в ред.
Изменения N 1, утв. Постановлением Госстандарта СССР от 26.11.1990 N 2929)
6.3. При нанесении эмалей ЭП-525 темно-зеленой, темно-серой и серой на неметаллические поверхности (асботекстолит, стеклотекстолит, пресс-материал АГ-4) рекомендуется предварительно наносить на поверхность два слоя шпатлевки ЭП-0020 (первый слой - шпателем, второй слой - краскораспылителем).
6.4. Эмаль ЭП-525 защитная рекомендуется для нанесения на изделия из углеродистых сталей и сплавов алюминия, предварительно окрашенные грунтовкой АК-070, для нанесения на изделия из хлорсульфированного полиэтилена, предварительно окрашенные тремя слоями эмали ЭТ-147 и для нанесения на изделия из эпоксидного стеклопластика, предварительно окрашенные двумя слоями шпатлевки ЭП-0020 (
ГОСТ 28379-89).
(в ред.
Изменения N 1, утв. Постановлением Госстандарта СССР от 26.11.1990 N 2929)
6.5. Эмаль ЭП-525 темно-серая графитированная рекомендуется для нанесения на изделия из углеродистой и коррозионно-стойкой стали, предварительно окрашенные одним слоем грунтовки АК-070 и двумя слоями эмали ЭП-525 темно-зеленой, а также для нанесения на изделия из кремнийорганического стеклопластика для получения токопроводящего покрытия.
6.6. Эмали ЭП-525 до рабочей вязкости разбавляют растворителями марки Р-5 или Р-5А, при этом степень разбавления составляет (30 +/- 10)%.
(п. 6.6 в ред.
Изменения N 1, утв. Постановлением Госстандарта СССР от 26.11.1990 N 2929)
6.7. Ориентировочный расход эмалей ЭП-525, кроме эмали ЭП-525 темно-серой графитированной, при нанесении их на изделие простой конфигурации методом пневматического распыления в один слой (толщина покрытия 20 - 30 мкм составляет 110 - 130 г/м2, эмали ЭП-525 темно-серой графитированной - 75 - 100 г/м2.
(п. 6.7 в ред.
Изменения N 1, утв. Постановлением Госстандарта СССР от 26.11.1990 N 2929)
6.8. Покрытия эмалью ЭП-525 рекомендуется сушить при температуре (20 +/- 2) °C в течение 24 ч или при температуре (50 +/- 3) °C в течение 5 ч, или при температуре (75 +/- 5) °C в течение 3 ч, или при температуре (120 +/- 5) °C в течение 1 ч.
Режимы сушки изделий, окрашенных эмалями ЭП-525, должны быть указаны в НТД на конкретное изделие или в ТТП на нанесение данного лакокрасочного материала.
(п. 6.8 в ред.
Изменения N 1, утв. Постановлением Госстандарта СССР от 26.11.1990 N 2929)
7.1. Изготовитель должен гарантировать соответствие эмалей ЭП-525 требованиям настоящего стандарта при соблюдении условий транспортирования и хранения.
7.2. Гарантийный срок хранения полуфабрикатов эмалей ЭП-525 - двенадцать месяцев со дня изготовления.
Справочное
ТАБЛИЦА СООТВЕТСТВИЯ НАИМЕНОВАНИЯ ЦВЕТОВ ЭМАЛЕЙ ЭП-525
ГОСТ 22438-85 | ГОСТ 22438-77 | ТУ 6-10-1790-80 |
Темно-зеленый | Зеленый | - |
Темно-серый | Темно-шаровый | - |
Серый | Шаровый | - |
Темно-серый графитированный | - | Темно-серый |