Главная // Актуальные документы // ГОСТ (Государственный стандарт)СПРАВКА
Источник публикации
М.: ИПК Издательство стандартов, 1997
Примечание к документу
С 1 июля 2003 года до вступления в силу технических регламентов акты федеральных органов исполнительной власти в сфере технического регулирования носят рекомендательный характер и подлежат обязательному исполнению только в части, соответствующей целям, указанным в
пункте 1 статьи 46 Федерального закона от 27.12.2002 N 184-ФЗ.
Документ
введен в действие с 1 января 1987 года.
Взамен ГОСТ 13345-78, ГОСТ 15580-70, ГОСТ 18178-72.
Название документа
"ГОСТ 13345-85. Государственный стандарт Союза ССР. Жесть. Технические условия"
(утв. и введен в действие Постановлением Госстандарта СССР от 29.12.1985 N 4761)
(ред. от 01.12.1992)
"ГОСТ 13345-85. Государственный стандарт Союза ССР. Жесть. Технические условия"
(утв. и введен в действие Постановлением Госстандарта СССР от 29.12.1985 N 4761)
(ред. от 01.12.1992)
Утвержден и введен в действие
Постановлением Государственного
комитета СССР по стандартам
от 29 декабря 1985 г. N 4761
ГОСУДАРСТВЕННЫЙ СТАНДАРТ СОЮЗА ССР
ЖЕСТЬ
ТЕХНИЧЕСКИЕ УСЛОВИЯ
Tin-plate and black plate. Specifications
ГОСТ 13345-85
| | Список изменяющих документов (в ред. Изменения N 1, утв. в сентябре 1987 г., Изменения N 2, утв. в марте 1990 г., Изменения N 3, утв. в декабре 1992 г.) | |
Дата введения
1 января 1987 года
1. Разработан и внесен Министерством черной металлургии СССР.
Разработчики: А.Г. Шалимов, д-р техн. наук; В.Т. Абабков, канд. техн. наук; В.А. Парамонов, канд. техн. наук; В.Д. Хромов, канд. техн. наук; В.А. Литвиненко, канд. техн. наук; Э.Д. Петренко, канд. техн. наук, Г.А. Шардин.
2. Утвержден и введен в действие Постановлением Государственного комитета СССР по стандартам от 29.12.85 N 4761.
3. Взамен ГОСТ 13345-78, ГОСТ 15580-70, ГОСТ 18178-72.
4. Ссылочные нормативно-технические документы
───────────────────────────────────────┬───────────────────────────────────
Обозначение НТД, на который дана ссылка│Номер пункта, подпункта, Приложения
───────────────────────────────────────┼───────────────────────────────────
ИС МЕГАНОРМ: примечание.
ИС МЕГАНОРМ: примечание.
Взамен ГОСТ 7502-89 Постановлением Госстандарта России от 27.07.1999
ИС МЕГАНОРМ: примечание.
ГОСТ 15483.0-78 - ГОСТ 15483.10-78 │
5.14
ИС МЕГАНОРМ: примечание.
В официальном тексте документа, видимо, допущена опечатка: имеется в
виду пункт 1.3, а не 1.13.
5. Постановлением Госстандарта от 29.12.91 N 2296 снято ограничение срока действия.
6. Переиздание (апрель 1997 г.) с Изменениями N 1, 2, 3, утвержденными в сентябре 1987 г., марте 1990 г., декабре 1992 г. (ИУС 12-87, 6-90, 2-93).
Настоящий стандарт распространяется на холоднокатаную черную и белую жесть (горячего и электролитического лужения), применяемую для изготовления консервной тары, тароупаковочных и других изделий.
1.1. В зависимости от назначения, состояния поверхности, требований к качеству и свойств жесть подразделяют на марки: ЧЖК, ЧЖР, ГЖК, ГЖР, ЭЖК, ЭЖК-Д, ЭЖР, ЭЖР-Д.
В обозначении марок буквы обозначают:
ЖК - жесть консервная; ЖР - жесть разного назначения (кроме производства тары под пищевые продукты и укупорочных изделий); Ч - черная; Г - горячего лужения; Э - электролитического лужения; Д - жесть с дифференцированным покрытием.
Жесть марок ЖР получается при сортировке жести марок ЖК; жесть марки ЧЖК предназначена для изготовления из нее жести белой консервной.
1.2. Жесть подразделяют:
по видам (табл. 1):
Таблица 1
──────────────────────────────────┬─────────────┬──────────────────────────
Вид жести │ Код ОКП │ Марка
──────────────────────────────────┼─────────────┼──────────────────────────
Черная │ 09 7500 │ ЧЖК, ЧЖР
Белая горячего лужения │ 11 1530 │ ГЖК, ГЖР
Белая электролитического лужения │ 11 1510 │ ЭЖК, ЭЖК-Д, ЭЖР, ЭЖР-Д
по сортаменту:
лист,
рулон;
по степени твердости: А1, А2, В, С, Д;
по массе покрытия оловом:
для жести белой горячего лужения - I и II классов,
для жести электролитического лужения;
с одинаковым покрытием - I, II, III классов,
с дифференцированным покрытием - ДI, ДII, ДIII.
(Измененная редакция, Изм. N 3).
2.1. В зависимости от толщины основного металла жесть изготовляют следующих номеров: 18, 20, 22, 25, 28, 32 и 36.
2.2. Предельные отклонения по толщине и разность толщины в разных точках листа или полосы на участке 1 м для консервной жести (ЖК) должны соответствовать табл. 2.
Таблица 2
мм
─────────────┬─────────────────┬──────────┬────────────────────────────────
Номер жести │Толщина основного│Предельное│ Наибольшая разность толщины
│ металла │отклонение│ в разных точках одного листа
│ │ │ или 1 м полосы
─────────────┼─────────────────┼──────────┼────────────────────────────────
18 │ 0,18 │ +0,01 │ 0,01
│ │ -0,02 │
─────────────┼─────────────────┼──────────┼────────────────────────────────
20 │ 0,20 │ +0,01 │ 0,02
22 │ 0,22 │ -0,02 │
25 │ 0,25 │ │
28 │ 0,28 │ │
─────────────┼─────────────────┼──────────┼────────────────────────────────
32 │ 0,32 │ +/- 0,02 │ 0,02
─────────────┼─────────────────┼──────────┼────────────────────────────────
36 │ 0,36 │ +/- 0,02 │ 0,03
2.3. Для жести разного назначения (ЖР) отклонение по толщине может составлять +/- 10%; величина разнотолщинности - на 0,01 мм больше приведенной в табл. 2.
2.4. Жесть изготовляют размеров, приведенных в табл. 3.
Таблица 3
───────────┬───────────┬───────────────┬───────────────────────────────────
Вид жести │Номер жести│ Ширина полосы │ Размер листов, мм
│ │ в рулоне, мм ├────────┬──────────────────────────
│ │ │ ширина │ длина
───────────┼───────────┼───────────────┼────────┼──────────────────────────
Черная │18, 20, 22,│712, 724, 820, │ 712 │512, 635, 724, 743
│25, 28, 32,│836, 910, 965, │ │820, 910
│36 │1000, 1024 │ 724 │658, 820
│ │ │ 820 │712, 724
│ │ │ 836 │716, 820, 910
│ │ │ 1000 │820, 910
│ │ │ 1024 │712
───────────┼───────────┼───────────────┼────────┼──────────────────────────
Белая │20, 22, 25,│ - │ 712 │512
горячего │28, 32, 36 │ │ │
лужения │ │ │ │
───────────┼───────────┼───────────────┼────────┼──────────────────────────
Белая │18, 20, 22,│712, 724, 820, │ 712 │512, 635, 724, 743,
электроли- │25, 28, 32,│836, 1000, 1024│ │794, 820, 910
тического │36 │ │ 724 │658, 820
лужения │ │ │ 770 │642, 648
│ │ │ 810 │910
│ │ │ 820 │658, 712, 716, 724, 844,
│ │ │ │910
│ │ │ 836 │716, 820, 910
│ │ │ 1000 │820, 910
│ │ │ 635, │712
│ │ │ 1024 │
Примечание. По согласованию изготовителя с потребителем допускается замена размера ширины листа на размер длины листа.
(Измененная редакция, Изм. N 2, 3).
2.5. Предельные отклонения по ширине листа и полосы в рулоне и длине листа не должны превышать значений, приведенных в табл. 4.
Таблица 4
────────────────────────┬──────────────────────────────────────────────────
Марка жести │ Предельное отклонение, мм
├──────────────────────────┬───────────────────────
│ по ширине │ по длине
────────────────────────┼──────────────────────────┼───────────────────────
Консервная (ЖК) │ -0,0 │ -0,0 <*>
│ +3,0 │ +3,0
────────────────────────┼──────────────────────────┼───────────────────────
Разного назначения (ЖР) │ -2,0 │ -2,0
│ +3,0 │ +4,0
--------------------------------
<*> Для жести марок ЧЖК и ГЖК предельные отклонения

.
2.6. Косина реза листов жести шириной 712 мм не должна превышать 1,5 мм; листов жести, предназначенных для литографирования, - 1,0 мм. Для листов жести шириной более 712 мм - не должна превышать 0,25%; листов жести, предназначенных для литографирования, - 0,20% ширины листа.
(Измененная редакция, Изм. N 3).
2.7. Серповидность не должна превышать 0,15% длины (ширины) листа или длины полосы на участке 1 м.
2.8. Отклонение от плоскостности для жести марок ЖК не должно превышать 5 мм, для жести марок ЖР - 10 мм.
Примеры условного обозначения
Жесть черная рулонная, номера 22, шириной 712 мм, марки ЧЖК, степени твердости А1:
Жесть 22 - 712 - ЧЖК - А ГОСТ 13345-85
Жесть белая электролитического лужения листовая, номера 22, шириной 712 мм, длиной 512 мм, марки ЭЖК, степени твердости В, класса покрытия III:
Жесть 22 - 712 x 512 - ЭЖК - В - III ГОСТ 13345-85
(Измененная редакция, Изм. N 3).
3. ТЕХНИЧЕСКИЕ ТРЕБОВАНИЯ
3.1. Общие требования к жести
3.1.1. Жесть изготовляют из стали марок 08кп, 08пс, 10кп, 10пс с химическим составом по
ГОСТ 1050.
3.1.2. Твердость основного металла жести всех марок должна соответствовать нормам, приведенным в табл. 5.
──────────────────┬────────────────────────────────────────────────────────
Степень твердости│Твердость по Супер-Роквеллу HR 30T с применением столика
├────────────────────────────┬───────────────────────────
│ алмазного │ стального
──────────────────┼────────────────────────────┼───────────────────────────
А1 │ 53 +/- 3 │ 57 +/- 3
А2 │ 57 +/- 3 │ 61 +/- 3
В │ 61 +/- 3 │ 65 +/- 3
С │ 65 +/- 3 │ 68 +/- 3
Д │ 70 +/- 3 │ 73 +/- 3
3.1.3. Глубина лунки по Эриксену для консервной жести степеней твердости А1, А2, В, С должна соответствовать нормам, приведенным в табл. 6.
Таблица 6
─────────────┬───────────────┬─────────────────────────────────────────────
Номер жести │ Толщина жести,│ Глубина лунки по Эриксену, мм, не менее,
│ мм │ для степеней твердости
│ ├──────────────┬───────────────┬──────────────
│ │ А1, А2 │ В │ С
─────────────┼───────────────┼──────────────┼───────────────┼──────────────
18 │ 0,18 │ 6,2 │ 5,7 │ 5,2
20 │ 0,20 │ 6,4 │ 5,9 │ 5,4
22 │ 0,22 │ 6,7 │ 6,2 │ 5,7
25 │ 0,25 │ 7,0 │ 6,5 │ 6,0
28 │ 0,28 │ 7,4 │ 6,9 │ 6,4
32 │ 0,32 │ 7,7 │ 7,2 │ 6,7
36 │ 0,36 │ 8,0 │ 7,5 │ 7,0
3.1.4. Для жести разного назначения глубина лунки на 1 мм меньше норм, приведенных в табл. 6.
3.1.5. (Исключен, Изм. N 2).
3.2. Требования к черной жести
| | ИС МЕГАНОРМ: примечание. Нумерация пунктов дана в соответствии с официальным текстом документа. | |
Параметр шероховатости Ra поверхности черной жести, предназначенной для нанесения покрытия электролитическим способом, должен быть не более 0,63 мкм по
ГОСТ 2789.
3.2.2. Шероховатость поверхности черной жести, предназначенной для последующего покрытия оловом способом горячего лужения, не нормируется.
3.2.3. Характеристика поверхности и допустимые дефекты черной жести приведены в табл. 7.
Таблица 7
───────┬────────────────────────┬──────────────────────────────────────────
Масса │ Характеристика │ Дефекты поверхности на 1 листе
жести │ поверхности │ или 1 м полосы
───────┼────────────────────────┼──────────────────────────────────────────
ЧЖК │ Поверхность должна быть│ Отдельные незначительные надавы и
│гладкой, чистой, без │отпечатки от валков и роликов; рванины на
│рванин, ржавых пятен, │на кромках глубиной до 1,5 мм; легкие
│плен, расслоений и │царапины и скобки; цвета побежалости;
│загрязнений │оттенки на поверхности и легкая коррозия,
│ │не препятствующая выявлению поверхностных
│ │дефектов
───────┼────────────────────────┼──────────────────────────────────────────
ЧЖР │ Поверхность гладкая, │ Кроме дефектов, указанных для ЧЖК,
│чистая с отдельными │допускаются: загнутые уголки со стороной
│дефектами поверхности и │до 25 мм; мятость и скобки (без заворотов
│формы │и рванин); рванины на кромках не более
│ │5 мм; матовость и темные пятна; проколы
│ │(не более 6 шт.) в разных местах листа или
│ │полосы; заусенцы высотой не более
│ │1/2 толщины жести; отдельные выступающие
│ │витки не более 5 мм
(Измененная редакция, Изм. N 3).
3.2.4. Допускается в пачке или рулоне жести марки ЧЖК не более 3,5% жести, имеющей: отклонение от плоскостности до 10 мм, отклонения по толщине +/- 10%, отклонение по ширине полосы и листа

и длине листа

, загнутые уголки со стороной до 25 мм, мятость и скобки (без заворотов и рванин), рванины на кромках не более 5 мм, матовость и темные пятна, заусенцы высотой не более 1/2 толщины жести, отдельные выступающие витки не более 5 мм.
3.3. Требования к белой жести горячего лужения
3.3.1. Для лужения должно применяться олово марок 01 и 01пч по
ГОСТ 860. Количество примесей в оловянном покрытии не должно превышать 0,14%, в том числе свинца - не более 0,04%.
(Измененная редакция, Изм. N 3).
3.3.2. Масса оловянного покрытия в зависимости от класса покрытия должна соответствовать нормам, приведенным в табл. 8.
Таблица 8
──────────────────────┬────────────────────────────────────────────────────
Класс покрытия │Масса покрытия, нанесенного с двух сторон на 1 м2, г
├───────────────────────────┬────────────────────────
│ номинальная │ минимальная
──────────────────────┼───────────────────────────┼────────────────────────
I │ 25,0 │ 23,0
II │ 33,6 │ 28,0
3.3.3. По согласованию изготовителя с потребителем допускается изготовление жести, на которую с двух сторон нанесено олово с номинальной массой 39,2 г/м2. Минимальная масса покрытия должна быть 33,5 г/м2.
Примечание. Жесть изготовляют для длительного хранения и по наряду-заказу внешнеторгового объединения.
3.3.2, 3.3.3. (Измененная редакция, Изм. N 2).
3.3.4. Характеристика поверхности белой жести горячего лужения и допустимые дефекты оловянного покрытия приведены в табл. 9.
Таблица 9
───────┬──────────────────────────┬────────────────────────────────────────
Марка │Характеристика поверхности│ Дефекты поверхности на 1 листе
жести │ │
───────┼──────────────────────────┼────────────────────────────────────────
ГЖК │ Поверхность должна быть │ Незначительные дефекты, не нарушающие
│чистая, блестящая, без │целостность покрытия: разнотонность
│ржавых пятен, незалуженных│оловянного покрытия; легкие надавы и
│участков, плен и │отпечатки от валков; отдельные
│загрязнений │поверхностные загрязнения в виде точек;
│ │легкие царапины и скобки; крупинки олова
│ │диаметром до 2 мм, пузырьки диаметром
│ │до 2 мм - не более 3 шт.; рванины на
│ │кромках глубиной не более 1,5 мм;
│ │наплывы олова (облой) на кромках листов
│ │шириной не более 3 мм; до двух загнутых
│ │уголков с размером стороны не более 2 мм
│ │или отсутствие уголков того же размера
│ │
ГЖР │ Поверхность чистая, │ Кроме указанных дефектов допускаются:
│блестящая, с отдельными │поверхностные царапины и скобки;
│дефектами поверхности и │непролуженные пятна общей площадью не
│формы │более 50 см2; наплывы олова на кромках
│ │листов, пузырьки диаметром до 5 мм в ко-
│ │личестве до 10 шт.; два загнутых уголка
│ │со стороной до 25 мм или отсутствие
│ │уголков того же размера; загрязненная
│ │хлористым цинком поверхность в виде
│ │пятен общей площадью до 50 см2; мятость
│ │кромок до 5 мм в виде скобок без
│ │заворотов; рванины на кромках не более
│ │5 мм; незначительные заусенцы высотой
│ │не более 1/2 толщины жести; проколы
│ │(не более 6 шт. в разных местах листа)
3.3.5. Жесть марки ГЖК I класса покрытия не должна иметь более пяти пор, II класса - не более трех пор на 1 см2 поверхности.
3.3.6. Для жести марки ГЖР обоих классов покрытия количество пор на поверхности не нормируется.
3.3.7. Допускается в пачке жести ГЖК не более 3,5% листов, имеющих: отклонение от плоскостности до 10 мм, отклонения по толщине +/- 10%, отклонения по ширине листа

, и длине листа

, поверхностные царапины и скобки, наплывы олова на кромках листов, пузырьки диаметром до 5 мм в количестве до 10 шт., два загнутых уголка со стороной до 25 мм или отсутствие уголков того же размера, мятость кромок до 5 мм в виде скобок без заворотов, рванины на кромках не более 5 мм, незначительные заусенцы высотой не более 1/2 толщины жести.
(Измененная редакция, Изм. N 3).
3.4. Требования к белой жести электролитического лужения
3.4.1. Для лужения должно применяться олово марок 01 и 01пч по
ГОСТ 860 с массовой долей олова не менее 99,90%.
3.4.2. Масса оловянного покрытия в зависимости от класса покрытия должна соответствовать нормам, приведенным в табл. 10.
Таблица 10
────────┬──────────────────────────────────────────────────────────────────
Класс │ Масса покрытия на 1 м2, г
покрытия├────────────────────────────────┬─────────────────────────────────
│ номинальная │ минимальная
├────────────────┬───────────────┼────────────────┬────────────────
│ каждой стороны │ общая │ каждой стороны │ общая
────────┼────────────────┼───────────────┼────────────────┼────────────────
I │ 2,8/2,8 │ 5,6 │ 2,23/2,23 │ 4,46
II │ 5,6/5,6 │ 11,2 │ 5,25/5,25 │ 10,50
III │ 8,4/8,4 │ 16,8 │ 7,60/7,60 │ 15,20
ДI │ 2,8/5,6 │ 8,4 │ 2,23/5,25 │ 7,48
ДII │ 2,8/8,4 │ 11,2 │ 2,23/7,60 │ 9,83
ДIII │ 5,6/8,4 │ 14,0 │ 5,25/7,60 │ 12,85
3.4.3. Жесть подвергают пассивации и промасливанию диоктилсебацинатом по
ГОСТ 8728.
3.4.4. Характеристика поверхности белой жести электролитического лужения и допустимые дефекты оловянного покрытия приведены в табл. 11.
Таблица 11
───────┬─────────────────────┬─────────────────────────────────────────────
Марка │ Характеристика │ Дефекты поверхности на 1 листе
жести │ поверхности │ или 1 м полосы
───────┼─────────────────────┼─────────────────────────────────────────────
ЭЖК │ Поверхность чистая, │ Отдельные незначительные дефекты, не
│блестящая, без ржавых│нарушающие целостность оловянного покрытия:
│пятен, незалуженных │разнотонность оловянного покрытия;
│участков, плен │неоплавленная кромка шириной не более 3 мм;
│ │легкие царапины, потертости; скобки; капли
│ │олова диаметром не более 1 мм; пузырьки
│ │диаметром 1 мм, не более 3 шт.; рванины по
│ │кромкам глубиной не более 1,5 мм; до двух
│ │загнутых уголков с размером стороны не более
│ │2 мм или отсутствие уголков того же размера;
│ │отпечатки от валков, надавы
│ │
ЭЖР │ Поверхность чистая, │ Кроме дефектов, указанных для жести марки
│блестящая с │ЭЖК, допускаются: царапины, скобки и
│отдельными дефектами │непролуженные полосы шириной до 5 мм общей
│поверхности и формы │площадью не более 50 см2; два загнутых уголка
│ │со стороной до 25 мм или отсутствие уголков
│ │того же размера; темные шероховатые осадки
│ │олова площадью не более 30 см2, отдельные
│ │плены и раковины; наплывы олова в виде капли
│ │диаметром 3 мм в количестве до 5 шт.;
│ │пузырьки диаметром до 5 мм в количестве до
│ │10 шт.; неоплавленные участки в отдельных
│ │местах; мятость кромок до 5 мм в виде скобок
│ │без заворотов и рванин; рванины на кромках
│ │не более 5 мм; незначительные заусенцы
│ │высотой не более 1/2 толщины жести; проколы
│ │в количестве не более 6 шт. в разных местах
│ │полосы или листа; следы коррозии на отдельных
│ │участках жести
3.4.5. Допускается в пачке или рулоне жести марок ЭЖК и ЭЖК-Д не более 5% листов или участков полосы жести, имеющей: отклонение от плоскостности до 10 мм, отклонение по толщине +/- 10%, отклонение по ширине полосы и листа

и длине листа

, царапины и скобки, два загнутых уголка со стороной до 25 мм или отсутствие уголков того же размера, наплывы олова в виде капли диаметром до 3 мм в количестве до 5 шт., пузырьки диаметром до 5 мм в количестве до 10 шт., неоплавленные участки в отдельных местах, мятость до 5 мм в виде скобок без заворотов и рванин, рванины на кромках не более 5 мм, незначительные заусенцы высотой не более 1/2 толщины жести. Сварные швы не вырезаются.
4.1. Жесть принимают партиями. Партия должна состоять из жести одной марки, одного номера, одного размера и класса покрытия, одной степени твердости и оформляться одним документом о качестве, содержащим:
товарный знак предприятия-изготовителя;
наименование потребителя;
марку жести и класс покрытия (для белой жести);
номер и размер жести;
степень твердости;
знак "ТМ";
площадь жести;
теоретическую массу партии для листовой жести и теоретическую и фактическую массу партии для рулонной жести;
число пачек или рулонов;
результаты испытаний на соответствие продукции требованиям настоящего стандарта;
дату изготовителя;
обозначение настоящего стандарта.
При замене размера ширины листа на размер длины листа дополнительно указывают, какой размер является шириной.
(Измененная редакция, Изм. N 2).
4.2. Для проверки размеров, качества поверхности жести отбирают 1% от массы или площади партии, но не менее одной пачки или рулона.
(Измененная редакция, Изм. N 3).
4.3. Для проверки твердости, глубины лунки по Эриксену, шероховатости поверхности, массы оловянного покрытия, пористости оловянного покрытия отбирают по два листа или по две полосы длиной 1 м из разных мест пачек или рулонов, отобранных в выборку для наружного осмотра.
(Измененная редакция, Изм. N 2).
4.4. При получении неудовлетворительных результатов испытаний хотя бы по одному из показателей повторные испытания проводят на выборке, отобранной по ГОСТ 7566.
5.1. Качество поверхности листов и рулонов проверяют внешним осмотром без применения увеличительных приборов.
5.2. Толщину жести измеряют микрометром
(ГОСТ 6507) с погрешностью не более 0,004 мм на расстоянии от кромки не менее 15 мм.
| | ИС МЕГАНОРМ: примечание. Взамен ГОСТ 7502-89 Постановлением Госстандарта России от 27.07.1999 N 220-ст с 1 июля 2000 года введен в действие ГОСТ 7502-98. | |
5.3. Линейные размеры листовой и рулонной жести проверяют линейкой (
ГОСТ 427), рулеткой (ГОСТ 7502) или другими мерительными инструментами, обеспечивающими требуемую точность измерения.
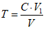
5.4. Косину реза определяют отношением проекции кромки A к ширине листа B:

(черт. 1).
Черт. 1
(Измененная редакция, Изм. N 3).
5.5. Серповидность определяют отношением отрезка C к длине листа или 1 м полосы:

(черт. 2).
Черт. 2
5.6. Отклонение от плоскостности определяют по
ГОСТ 26877.
(Измененная редакция, Изм. N 3).
5.7. Образцы для испытаний вырезают из отрезков полосы или листа в соответствии с черт. 3 -
5.
Вырезка образцов из листов и полос черной жести
1 - образцы для измерения твердости (70 x 70 мм);
2 - полоса шириной 90 мм для испытания на
выдавливание лунки по Эриксену;
3 - образец для определения параметра
шероховатости (100 x 100 мм)
Вырезка образцов из листов белой жести горячего лужения
1 - образцы для измерения твердости (70 x 70 мм);
2 - образцы для измерения оловянного
покрытия (100 x 100 мм);
3 - образцы для определения массы оловянного
покрытия (

20 мм);
4 - полоса шириной 90 мм по диагонали листа
для испытания на выдавливание лунки по Эриксену
Вырезка образцов из листов и полос
белой жести электролитического лужения
1 - образцы для измерения твердости (70 x 70 мм);
2 - полоса шириной 90 мм для испытания на
выдавливание лунки по Эриксену;
3 - образцы для определения массы
оловянного покрытия (

20 мм)
(Измененная редакция, Изм. N 2).
5.8. Измерение твердости проводят методом Супер-Роквелла по методике, приведенной в
Приложении 1. Измерение проводят после снятия защитных покрытий и удаления смазки.
За результат испытания принимают среднее арифметическое значение твердости, измеренной на четырех образцах для каждого вида жести.
При возникновении разногласий твердость измеряют с применением алмазного столика.
5.9. Испытание на выдавливание по Эриксену проводят по
ГОСТ 10510 на двух образцах для каждого вида жести. Результатом испытания является среднее арифметическое значение определений глубины шести лунок, расположенных по краям и в середине образца.
5.10. (Исключен, Изм. N 2).
5.11. Определение шероховатости поверхности проводят на одном образце по
ГОСТ 2789.
5.12. Испытания на твердость и определение глубины лунки могут быть проведены в потоке неразрушающими методами контроля, включая физические (магнитные) методы, обеспечивающие требуемую точность измерения. При возникновении разногласий твердость, глубину лунки определяют прямыми испытаниями согласно
пп. 5.9 -
5.11.
(Измененная редакция, Изм. N 2).
5.13. Определение массы оловянного покрытия проводят йодометрическим методом с применением

или йодид-йодатной смеси по методике, приведенной в
Приложении 2. Допускается применять другие методы определения количества и толщины слоя олова, обеспечивающие необходимую точность контроля.
За результат испытания принимают среднее арифметическое всех измерений.
При возникновении разногласий массу оловянного покрытия определяют йодометрическим методом.
(Измененная редакция, Изм. N 3).
5.14. Содержание вредных примесей в олове, используемом для покрытия, определяют по ГОСТ 15483.0 - ГОСТ 15483.10.
5.15. Испытание на пористость горячелуженой жести марки ГЖК проводят по методике, приведенной в
Приложении 3.
5.16. Определение теоретической массы и площади
5.16.1. Площадь листовой жести определяют умножением размеров листов с прибавлением 0,5 допуска по длине и ширине листа.
Площадь рулонной жести определяют умножением длины полосы в рулоне на ширину полосы с прибавлением 0,5 допуска по ширине полосы.
5.16.2. Теоретическую массу листовой и рулонной жести определяют умножением площади на толщину и плотность основного металла, равную 7,85 т/м3. Масса покрытия не учитывается.
Значения теоретической массы и площади листовой и рулонной жести в зависимости от ее размера приведены в
табл. 1 и
2 Приложения 4.
6. МАРКИРОВКА, УПАКОВКА, ТРАНСПОРТИРОВАНИЕ И ХРАНЕНИЕ
6.1. Маркировка, упаковка, транспортирование и хранение - по ГОСТ 7566.
6.2. Листовую жесть упаковывают в пачки.
6.3. Пачка жести должна состоять из числа листов, кратного 50, уложенных на одном поддоне.
Количество листов в пачках одной партии должно быть одинаковым.
6.3.1. Масса брутто одной пачки не должна превышать 1,5 т.
6.3.2. Масса брутто одного рулона устанавливается потребителем в заказе и не должна превышать:
15 т - при транспортировании на открытом подвижном составе;
1,5 т - при транспортировании в крытых транспортных средствах.
6.4. Внутренний диаметр рулонов жести шириной 712 - 1024 мм составляет 400 и 500 мм. Максимальный наружный диаметр - до 1200 мм.
6.3 - 6.4. (Измененная редакция, Изм. N 3).
6.5. При транспортировании жести в районы Крайнего Севера и труднодоступные районы упаковывание проводят в соответствии с
ГОСТ 15846.
6.6. Маркировку жести с дифференцированным покрытием проводят нанесением продольных полосок на стороне толстого покрытия.
В зависимости от класса покрытия расстояние между маркировочными полосками составляет:
ДI - (50 +/- 5) мм;
ДII - (75 +/- 5) мм;
ДIII - (100 +/- 5) мм.
По согласованию изготовителя с потребителем допускается маркировать жесть с другими интервалами между полосками или без маркировки с указанием класса покрытия на ярлыке.
6.7. К каждому рулону, пачке прикрепляют ярлык, в котором указывают:
товарный знак предприятия-изготовителя;
наименование жести;
марку жести;
номер и размер жести;
класс покрытия (для белой жести);
степень твердости;
количество листов в пачке или количество метров полосы в рулоне;
площадь жести;
теоретическую массу жести в пачке или теоретическую и фактическую массу жести в рулоне;
знак "ТМ";
номер партии;
номер сортировщика, контролера отдела технического контроля;
номер упаковщика или номер бригады;
дату изготовления;
обозначение настоящего стандарта.
6.8. С наружной стороны упаковочной тары несмываемой краской наносят данные из ярлыка или прикрепляют второй (металлический) ярлык с этими данными.
Для жести, предназначенной для длительного хранения, в наносимой с наружной стороны маркировке дополнительно наносят слово "хранение" и теоретическую массу нетто каждого места.
При транспортировании жести водным транспортом с наружной стороны упаковочной тары наносят знак "Боится сырости".
6.7, 6.8. (Измененная редакция, Изм. N 3).
| | ИС МЕГАНОРМ: примечание. Нумерация пунктов дана в соответствии с официальным текстом документа. | |
6.10. При транспортировании рулонов водным транспортом упаковывание проводят с вертикальной осью.
6.11. Хранение жести проводят в сухих закрытых помещениях в условиях, исключающих попадание на нее влаги.
6.12. На предприятиях, осуществляющих длительное хранение, жесть должна храниться при температуре воздуха не ниже +4 °C и относительной влажности воздуха не более 80%.
Обязательное
МЕТОД ОПРЕДЕЛЕНИЯ ТВЕРДОСТИ ПО СУПЕР-РОКВЕЛЛУ
1. Подготовка образцов
1.1. Образцы жести для испытания на твердость размером 70 x 70 мм вырезают из каждого листа или куска полосы по схемам, приведенным на
черт. 3 -
5 настоящего стандарта.
1.2. Образец должен быть плоским, с чистой сухой поверхностью, без царапин, выбоин, следов смазки, ржавчины или каких-либо покрытий. Образцы с изогнутой поверхностью, следами деформации, а также с промасленной поверхностью к испытаниям на твердость не допускаются.
1.3. Оловянное покрытие снимают в подогретом до 50 - 70 °C растворе состава: 50 г/дм3 гидроксида натрия (
ГОСТ 24363), 25 г/дм3 метанитробензойной кислоты, приготовленном на дистиллированной воде
(ГОСТ 6709).
Свободные от покрытия пластинки промывают водой и протирают спиртом
(ГОСТ 18300).
2. Средства измерений
2.1. Твердость измеряют на приборах по
ГОСТ 23677.
(Измененная редакция, Изм. N 3).
2.2. Измерение проводят по шкале 30Т, при нагрузке 294 Н (30 кгс) шариком диаметром 1,588 мм, на точечном опорном столике.
2.3. Опорная поверхность точечного столика должна быть чистой, не иметь следов отпечатков, царапин, выбоин, смазки или других загрязнений. При появлении следов отпечатков поверхность столика следует полировать до шероховатости

не более 0,32 мкм по
ГОСТ 2789.
(Измененная редакция, Изм. N 3).
2.4. На оборотной стороне испытуемого образца допускают заметные следы отпечатков.
2.5. После каждой замены наконечника проводят проверку показаний прибора с помощью образцовых мер твердости (эталонов).
3. Выполнение измерений
3.1. Твердость измеряют с соблюдением указаний, приведенных в инструкциях по эксплуатации приборов по
ГОСТ 23677.
(Измененная редакция, Изм. N 3).
3.2. Центры отпечатков следует располагать на расстоянии не менее 6 мм друг от друга или от кромки образца.
3.3. Оценку твердости проводят в условных единицах в зависимости от глубины проникновения стального шарика в испытуемое тело под действием двух последовательно прилагаемых нагрузок: предварительной 29,4 Н (3 кгс) и основной 294 Н (30 кгс).
3.4. Отсчет результатов измерений твердости проводят по шкале индикатора автоматического снятия основной нагрузки (в приборе это фиксируется щелчком), при продолжающемся действии предварительной нагрузки.
Числом твердости считается показание стрелки на шкале индикатора в целых единицах.
3.5. За результат измерения принимают среднее арифметическое значение не менее трех определений твердости, полученных на одном образце.
Первые два измерения на образцах после смены наконечника или опорного точечного столика в расчет не принимают.
3.6. Общий разброс значений твердости на испытуемом образце не должен превышать +/- 2 ед.
Если разброс составляет более +/- 2 ед., допускается повторное измерение.
3.7. Значения норм твердости, приведенные в
табл. 5 настоящего стандарта и относящиеся к жести толщиной 0,25 - 0,28 мм, получены на опорном точечном столике с алмазной контактной поверхностью и на стандартном столике к приборам по
ГОСТ 23677.
При испытании твердости на приборе с алмазной контактной поверхностью твердость обозначают HR30TA.
3.8. При определении значений твердости для жести толщиной менее 0,25 мм и более 0,28 мм необходимо учитывать влияние твердости опорного точечного столика и корректировать полученные измерения на величину поправки в соответствии с таблицей.
─────────────────────────────────────┬─────────────────────────────────────
Толщина жести, мм │ Величина поправки, HR30T
─────────────────────────────────────┼─────────────────────────────────────
0,18; 0,20 │ -2,0
0,22 │ -1,0
─────────────────────────────────────┼─────────────────────────────────────
0,25; 0,28 │ 0,0
─────────────────────────────────────┼─────────────────────────────────────
0,32 │ +1,0
0,36 │ +2,0
Из таблицы следует, что материал с одинаковым металлургическим качеством толщиной 0,22 мм имеет замеренную на приборе твердость на одну единицу выше, а материал толщиной 0,32 мм - на одну единицу ниже фактической.
В журнале и сертификате записывают твердость с учетом поправки. Так, например, для жести толщиной 0,18 мм при получении на приборе средней твердости 55 ед. значение учитываемой твердости будет 55 - 2 = 53 ед.
3.7, 3.8. (Измененная редакция, Изм. N 3).
Обязательное
ЙОДОМЕТРИЧЕСКИЙ МЕТОД ОПРЕДЕЛЕНИЯ МАССЫ
ОЛОВЯННОГО ПОКРЫТИЯ ЖЕСТИ
Метод основан на реакции окисления йодом двухвалентного олова в солянокислой среде.
1. Подготовка образцов
1.1. Для определения массы оловянного покрытия на жести горячего лужения и электролитически луженой жести из каждого листа или куска полосы вырезают полоску по схемам, приведенным на
черт. 4 и
5 настоящего стандарта.
1.2. Из полоски калиброванным штампом на равном расстоянии друг от друга выштамповывают 10 или 20 образцов диаметром 20 мм.
(Измененная редакция, Изм. N 3).
1.3. Для определения массы оловянного покрытия на электролитически луженой жести с дифференцированным покрытием на вырезанной полоске с одной из сторон удаляют олово наждачной бумагой или методом химического растворения. При возникновении разногласий олово удаляют методом химического растворения. После снятия олова с одной из сторон выштамповывают образцы по
п. 1.2.
2. Реактивы и аппаратура
Посуда и оборудование лабораторные стеклянные по
ГОСТ 23932.
Приборы мерные лабораторные стеклянные: бюретки, пипетки по НТД.
Посуда мерная лабораторная стеклянная: цилиндры, мензурки, колбы по
ГОСТ 1770.
Кислота соляная по
ГОСТ 3118, плотность 1,19 г/см3.
Калий йодноватокислый по
ГОСТ 4202, раствор с молярной концентрацией эквивалента 0,1 моль/дм3.
Сурьма треххлористая по НТД.
Крахмал растворимый по
ГОСТ 10163, раствор с массовой долей крахмала 1% (свежеприготовленный).
Цинк по НТД.
Свинец марки СО по ГОСТ 3778.
Трехокись сурьмы по НТД.
Все реактивы должны иметь квалификацию не ниже ч.д.а.
3. Приготовление раствора
3.1. Йодид-йодатная смесь, раствор, в котором молярная концентрация эквивалента равна 0,15 моль/дм3; навеску йодноватокислого калия 5,1 г помещают в мерную колбу вместимостью 1000 см3. Приливают 500 см3 дистиллированной воды. После полного растворения добавляют 0,2 г гидроокиси калия. Раствор перемешивают. Добавляют 80 г йодистого калия. После полного растворения йодистого калия объем раствора доводят дистиллированной водой до 1000 см3.
3.2. Стандартный раствор олова: 7 г олова в виде тонких пластин или мелкого порошка растворяют в 500 см3 соляной кислоты в конической колбе вместимостью 1000 см3 без нагревания в вытяжном шкафу, прикрыв колбу воронкой. Изредка раствор взбалтывают. После полного растворения олова (прекращения выделения пузырьков газа) объем раствора доводят до 1000 см3 дистиллированной водой. Масса олова в 1 см3 раствора равна 0,007 г.
3.3. Определение массовой концентрации по олову с применением йодноватокислого калия с молярной концентрацией эквивалента 0,1 моль/дм3 или раствора йодид-йодатной смеси с молярной концентрацией эквивалента 0,15 моль/дм3.
Пипеткой отбирают 10 - 20 см3 стандартного раствора олова, помещают в коническую колбу вместимостью 250 см3, добавляют 70 см3 дистиллированной воды, восемь гранул металлического цинка (4 - 5 г) или 10 - 15 г свинца без мышьяка. Раствор выдерживают 30 - 35 мин, пока олово не восстановится до губчатого состояния. Затем бросают в колбу 1 - 2 кусочка мрамора (углекислого кальция), добавляют 80 см3 соляной кислоты (плотность 1,19 г/см3) и нагревают до полного растворения губки. Затем еще раз бросают мрамор и раствор охлаждают проточной водой (в вытяжном шкафу).
После охлаждения титруют раствором йодноватокислого калия с молярной концентрацией эквивалента 0,1 моль/дм3 или раствором йодид-йодатной смеси с молярной концентрацией эквивалента 0,15 моль/дм3 в присутствии 1 - 2 см3 раствора крахмала с массовой долей 1%. Титрование заканчивают после достижения устойчивой синей окраски.
Массовую концентрацию (T) по олову, выраженную в г/см3, вычисляют по формуле

,
где C - масса олова с 1 см3 стандартного раствора, г;

- объем стандартного раствора, взятый для титрования, см3;
V - объем раствора, израсходованный на титрование, см3.
Определение массовой концентрации по олову в растворе проводят по трем - пяти пробам; объемы растворов, израсходованных на титрование, не должны отличаться более чем на 0,2 см3. За окончательный результат принимают среднее арифметическое значение полученных результатов.
3.4. Растворитель для снятия олова: 32 г треххлористой сурьмы растворяют в 1000 см3 соляной кислоты плотностью 1,19 г/см3.
Растворителем при помощи ваты удаляют олово с одной стороны полоски, затем выштамповывают 10 или 20 образцов диаметром 20 мм и определяют массу и толщину покрытия. Определение массы и толщины оловянного покрытия с другой стороны проводят аналогично.
(Измененная редакция, Изм. N 3).
4. Проведение анализа
4.1. В колбу вместимостью 100 см3 наливают 10 или 20 см3 соляной кислоты и подогревают до кипения. В кипящий раствор опускают кусочек мрамора (углекислого кальция) и образцы жести. Колбу закрывают пробкой с клапаном и выдерживают в течение 5 мин.
(Измененная редакция, Изм. N 3).
4.2. В полученный раствор опускают кусочек мрамора и добавляют 50 см3 свежепрокипяченной и охлажденной дистиллированной воды.
4.3. После охлаждения приливают 1 - 2 см3 раствора крахмала с массовой долей 1% и титруют до неисчезающей синей окраски раствором йодноватокислого калия или йодид-йодатной смеси.
5. Обработка результатов
5.1. Массу оловянного покрытия (X), г на 1 м2 поверхности жести, вычисляют по формуле

,
где V - объем раствора, израсходованный на титрование, см3;
T - массовая концентрация раствора по олову, г/см3;
S - суммарная площадь 10 или 20 образцов жести, см2 (для электролитически луженой жести с дифференцированным покрытием поверхности 10 образцов с одной стороны).
(Измененная редакция, Изм. N 3).
5.2. Для жести с дифференцированным покрытием массу олова определяют последовательно на каждой стороне. Контрольную проверку количества олова проводят определением общего количества олова на обеих сторонах листа. Оно должно быть равно суммарному количеству олова, полученному на каждой стороне листа.
Обязательное
МЕТОД ОПРЕДЕЛЕНИЯ ПОРИСТОСТИ НА БЕЛОЙ ЖЕСТИ
ГОРЯЧЕГО ЛУЖЕНИЯ
1. Подготовка образцов
Из каждого листа вырезают образцы размером 100 x 100 мм по схеме, приведенной на
черт. 4 настоящего стандарта.
2. Аппаратура и реактивы
Желатин по ГОСТ 11239.
Кислота серная по
ГОСТ 4204 с молярной концентрацией эквивалента 0,5 моль/дм3.
Спирт этиловый ректификованный технический по
ГОСТ 18300.
3. Приготовление растворов
Раствор А: 20 г желатина заливают 500 см3 дистиллированной воды и оставляют набухать. Затем нагревают на водяной бане при температуре 65 - 70 °C для образования коллоидного раствора.
Раствор Б: 2 г железосинеродистого калия растворяют в 290 см3 дистиллированной воды. Затем к раствору добавляют 10 см3 серной кислоты с молярной концентрацией эквивалента 0,5 моль/дм3 и 200 см3 этилового спирта.
Раствор для определения пористости: в раствор А при помешивании приливают раствор Б.
4. Проведение измерений
На поверхность образца размером 100 x 100 фильтровальной бумагой наносят тонкий слой раствора. После застывания наносят второй слой. Подсчет пор проводят через 10 мин по выявившимся на поверхности пластины синим точкам.
(Измененная редакция, Изм. N 3).
5. Обработка результатов
Количество пор (X) на поверхности в 1 см3 определяют по формуле

,
где S - площадь образца, см2;
W - количество пор на площади образца.
Обязательное
ТЕОРЕТИЧЕСКАЯ МАССА И ПЛОЩАДЬ ЛИСТОВОЙ И РУЛОННОЙ ЖЕСТИ
─────────────┬────────┬────────────────────────────────────────────────────
Размер листа,│Площадь │Теоретическая масса 1000 шт. листов, кг, при толщине
мм │1000 шт.│ листовой жести электролитического лужения, мм
│ листов,├───────┬───────┬───────┬──────┬──────┬──────┬───────
│ м2 │ 0,18 │ 0,20 │ 0,22 │ 0,25 │ 0,28 │ 0,32 │ 0,36
─────────────┼────────┼───────┼───────┼───────┼──────┼──────┼──────┼───────
635 x 716 │ 456,7 │ 644 │ 717 │ 790 │ 895 │ 1005 │ 1146 │ 1292
712 x 512 │ 366,4 │ 518 │ 575 │ 633 │ 719 │ 805 │ 920 │ 1035
712 x 635 │ 454,1 │ 642 │ 713 │ 784 │ 891 │ 898 │ 1141 │ 1283
712 x 724 │ 517,6 │ 731 │ 813 │ 894 │ 1016 │ 1138 │ 1300 │ 1463
712 x 743 │ 531,2 │ 751 │ 834 │ 917 │ 1042 │ 1168 │ 1334 │ 1501
712 x 794 │ 567,6 │ 802 │ 891 │ 980 │ 1114 │ 1248 │ 1426 │ 1604
712 x 820 │ 586,1 │ 828 │ 920 │ 1012 │ 1150 │ 1288 │ 1472 │ 1656
712 x 910 │ 650,4 │ 919 │ 1021 │ 1123 │ 1276 │ 1430 │ 1634 │ 1838
724 x 658 │ 478,5 │ 676 │ 751 │ 826 │ 939 │ 1052 │ 1202 │ 1352
724 x 820 │ 596 │ 842 │ 936 │ 1029 │ 1170 │ 1310 │ 1497 │ 1684
770 x 648 │ 501,1 │ 708 │ 787 │ 865 │ 983 │ 1101 │ 1259 │ 1416
810 x 910 │ 739,7 │ 1045 │ 1161 │ 1277 │ 1452 │ 1626 │ 1858 │ 2090
820 x 716 │ 589,4 │ 833 │ 925 │ 1018 │ 1157 │ 1295 │ 1481 │ 1666
820 x 844 │ 694,6 │ 981 │ 1091 │ 1200 │ 1363 │ 1527 │ 1745 │ 1963
820 x 910 │ 748,8 │ 1058 │ 1176 │ 1293 │ 1470 │ 1646 │ 1881 │ 2116
836 x 716 │ 600,9 │ 849 │ 943 │ 1038 │ 1179 │ 1321 │ 1509 │ 1698
836 x 820 │ 688 │ 972 │ 1080 │ 1188 │ 1350 │ 1512 │ 1728 │ 1944
836 x 910 │ 763,4 │ 1079 │ 1199 │ 1318 │ 1498 │ 1678 │ 1918 │ 2157
1000 x 820 │ 822,7 │ 1162 │ 1292 │ 1421 │ 1615 │ 1808 │ 2067 │ 2325
1000 x 910 │ 912,9 │ 1290 │ 1433 │ 1577 │ 1792 │ 2007 │ 2293 │ 2580
1024 x 712 │ 731,7 │ 1034 │ 1149 │ 1264 │ 1436 │ 1608 │ 1838 │ 2068
────────┬──────────┬───────────────────────────────────────────────────────
Ширина │ Площадь │ Теоретическая масса 1000 м полосы, кг, при толщине
полосы,│ 1000 м │рулонной жести черной и электролитического лужения, мм
мм │полосы, м2├───────┬───────┬───────┬───────┬───────┬───────┬───────
│ │ 0,18 │ 0,20 │ 0,22 │ 0,25 │ 0,28 │ 0,32 │ 0,36
────────┼──────────┼───────┼───────┼───────┼───────┼───────┼───────┼───────
712 │ 713,5 │ 1008 │ 1120 │ 1232 │ 1400 │ 1568 │ 1792 │ 2016
724 │ 725,5 │ 1025 │ 1139 │ 1253 │ 1424 │ 1595 │ 1822 │ 2050
820 │ 821,5 │ 1161 │ 1290 │ 1419 │ 1612 │ 1806 │ 2064 │ 2322
836 │ 837,5 │ 1183 │ 1315 │ 1446 │ 1644 │ 1841 │ 2104 │ 2367
910 │ 911,5 │ 1288 │ 1431 │ 1574 │ 1788 │ 2003 │ 2290 │ 2576
965 │ 966,5 │ 1366 │ 1517 │ 1669 │ 1896 │ 2124 │ 2428 │ 2731
1000 │ 1001,5 │ 1415 │ 1572 │ 1730 │ 1965 │ 2201 │ 2516 │ 2830
1024 │ 1025,5 │ 1449 │ 1610 │ 1771 │ 2013 │ 2254 │ 2576 │ 2898
Таблица 3
─────────────┬────────┬────────────────────────────────────────────────────
Размер листа,│Площадь │Теоретическая масса 1000 шт. листов, кг, при толщине
мм │1000 шт.│ листовой жести черной и горячего лужения, мм
│ листов,├───────┬───────┬───────┬──────┬──────┬──────┬───────
│ м2 │ 0,18 │ 0,20 │ 0,22 │ 0,25 │ 0,28 │ 0,32 │ 0,36
─────────────┼────────┼───────┼───────┼───────┼──────┼──────┼──────┼───────
712 x 512 │ 366,7 │ 518 │ 576 │ 633 │ 720 │ 807 │ 920 │ 1038
Приложение 4. (Измененная редакция, Изм. N 3).
Обязательное
Схема упаковки листов черной жести
Черт. 1
На деревянном поддоне 1, имеющем снизу два опорных бруска 2 сечением не менее 60 x 80 мм, набирают пачку листов черной жести 8.
На верхние грани пачки накладывают четыре металлических уголка 7 и затем на боковые стороны пачки надевают изготовленный из тонколистовой стали разъемный кожух 3.
На верх пачки надевают металлическую крышку 5, а низ пачки обкладывают металлическими уголками 9, после чего всю пачку стягивают двумя поперечными и одной или более продольными стальными полосами 6 и скрепляют замком 4.
Схема упаковки листов белой жести
Черт. 2
На деревянный поддон 1, имеющий снизу два опорных бруска сечением 80 x 80 мм, кладут бракованный лист жести.
Набранную пачку обертывают вначале оберточной бумагой по
ГОСТ 8273 или подпергаментной по
ГОСТ 1760, затем водонепроницаемой бумагой по
ГОСТ 8828. Сверху пачки накладывают лист коробочного картона по
ГОСТ 7933 или бракованный лист жести 5.
На все ребра пачки накладывают металлические уголки 2, после чего пачку скрепляют двумя продольными и двумя поперечными упаковочными лентами 4. Затем на боковые стороны скрепленной пачки надевают разъемный кожух 7, изготовленный из тонколистовой стали, сверху закрывают металлической крышкой 6 и вновь скрепляют двумя поперечными и двумя продольными упаковочными лентами при помощи замков 3.
Схема упаковки рулонов жести с горизонтальной осью
Черт. 3
Рулоны жести обертывают слоем подпергамента 1 по
ГОСТ 1760 или оберточной бумагой по
ГОСТ 8273, упаковочной бумагой 2 по
ГОСТ 8273, водонепроницаемой бумагой по
ГОСТ 8828 и черной жестью 3.
Края подпергамента или бумаги подгибают так, чтобы закрыть торцы рулонов.
Рулоны укладывают на деревянные поддоны 5, состоящие из двух продольных и двух поперечных брусьев, при этом ось рулона должна быть в горизонтальном положении.
Снаружи на торцы рулонов накладывают диски 6 из черной жести. Обернутый рулон стягивают стальными полосками 4 и прикрепляют к поддону.
(Измененная редакция, Изм. N 3).
Схема упаковки рулонов жести с вертикальной осью
Черт. 4
1 - рулон жести; 2 - бумага оберточная по
ГОСТ 8273;
3 - бумага упаковочная водонепроницаемая двухслойная
5 - металлический кожух; 6 - поддон деревянный;
7 - лента упаковочная; 8 - нижний подкладной лист